Пифагоровы тройки их количество

  • Вид работы:
    Статья
  • Предмет:
    Математика
  • Язык:
    Русский
    ,
    Формат файла:
    MS Word
    602,31 Кб
  • Опубликовано:
    2015-12-31
Вы можете узнать стоимость помощи в написании студенческой работы.
Помощь в написании работы, которую точно примут!

Пифагоровы тройки их количество
















Пифагоровы тройки их количество


Белотелов В.А.







г. Заволжье

г.

Требуется знание алгоритма решения диофантовых уравнений (АРДУ) и знание прогрессий многочленов.

ПЧ - простое число.

СЧ - составное число.

Пусть есть число N нечётное. Для любого нечётного числа, кроме единицы, можно составить уравнение.

р 2 + N = q2,

где р + q = N, q - р = 1.

Например, для чисел 21 и 23 уравнениями будут,

+ 21 = 112, 112 + 23 = 122.

Если число N простое, данное уравнение единственное. Если число N составное, тогда можно составить подобных уравнений по числу пар сомножителей представляющих это число, включая 1 х N.

Возьмём число N = 45, -

х 45 = 45, 3 х 15 = 45, 5 х 9 = 45.

+ 45 = 232,

+ 45 = 92,

+ 45 = 72.

Мечталось, а нельзя ли уцепившись за это различие между ПЧ и СЧ найти метод их идентификации.

Введём обозначения;

р 2 + N = q2,

a2 + N = в2.

Изменим нижнее уравнение, -

N = в2 - а2 = (в - а)(в + а).

Сгруппируем величины N по признаку в - а, т.е. составим таблицу.


Числа N были сведены в матрицу, -

Таблица 1

а\в-а

3

5

7

9

11

13

1

15

35

63

99

143

195

2

21

45

77

117

165

221

3

27

55

91

135

187

247

4

35

65

105

153

209

273

5

39

75

119

171

231

299

6

45

85

133

189

253

325

7

51

95

147

207

275

351









Именно под эту задачу пришлось разбираться с прогрессиями многочленов и их матрицами. Всё оказалось напрасно, - ПЧ оборону держат мощно. Давайте в таблицу 1 введём столбец, где в - а = 1 (q - р = 1).

Таблица 2

а\в-а

1

3

5

7

9

11

13

1

3

15

35

63

99

143

195

2

5

21

45

77

117

165

221

3

7

27

55

91

135

187

247

4

9

33

65

105

153

209

273

5

11

39

75

119

171

231

299

6

13

45

85

133

189

253

325

7

15

51

95

147

207

275

351


И ещё раз. Таблица 2 получилась в следствии попытки решения задачи об идентификации ПЧ и СЧ. Из таблицы следует, что для любого числа N, существует столько уравнений вида а2 + N = в2, на сколько пар сомножителей можно разбить число N, включая сомножитель 1 х N. Кроме чисел N = ℓ2, где

ℓ - ПЧ. Для N = ℓ2,

где ℓ - ПЧ, существует единственное уравнение р2 + N = q2. О каком дополнительном доказательстве может идти речь, если в таблице перебраны меньшие множители из пар сомножителей, образующих N, от единицы до ∞. Таблицу 2 поместим в сундучок, а сундучок спрячем в чуланчике.

Вернёмся к теме заявленной в названии статьи.

Эта статья является ответом одному профессору - щипачу.

Обратился за помощью, - требовался ряд чисел, который не мог найти в интернете. Напоролся на вопросы типа, - «а за чем?», «а покажи метод». Был в частности задач вопрос, бесконечен ли ряд пифагоровых троек, «а как доказать?». Не помог он мне. Смотри, профессор, как это у нас в деревне делают. Возьмем формулу пифагоровых троек, -

х2 = у2 + z2. (1)

Пропустим через АРДУ.

Возможны три ситуации:.    х - нечётное число,

у - чётное число,

z - чётное число.

И есть условие

х > у > z

.        х - нечётное число,

у - чётное число,

z - нечётное число.

х > z > у

III.х - чётное число,

у - нечётное число,

z - нечётное число.

х > у > z

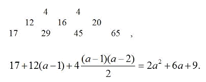
Начнём по порядку с I.

Введём новые переменные

диофантовый уравнение пифагоровы тройки

х = 2α + 2к + 1,

у = 2β + 2к,

z = 2γ + 2к + 1.

Подставим в уравнение (1).

(2α + 2к + 1)2 = (2β + 2к)2 + (2γ + 2к + 1)2.

Сократим на меньшее переменное 2γ.

(2α - 2γ + 2к + 1)2 = (2β - 2γ + 2к)2 + (2к + 1)2.

Сократим на меньшее переменное 2β - 2γ с одновременным введением нового параметра ƒ, -

(2α - 2β + 2ƒ + 2к + 1)2 = (2ƒ + 2к)2 + (2к + 1)2 (2)

2α = х - 2к - 1,

2β = у - 2к.

Тогда, 2α - 2β = х - у - 1.

Уравнение (2) примет вид, -

(х - у + 2ƒ + 2к)2 = (2ƒ + 2к)2 + (2к + 1)2

Возведём в квадрат, -

(х - у)2 + 2(2ƒ + 2к)(х - у) + (2ƒ + 2к)2 = (2ƒ + 2к)2 + (2к + 1)2,

(х - у)2 + 2(2ƒ + 2к)(х - у) - (2к + 1)2 = 0. (3)

АРДУ даёт через параметры соотношение между старшими членами уравнения, поэтому мы получили уравнение (3).

.

Не солидно заниматься подбором решений. Но, во - первых, деваться некуда, а во - вторых, этих решений нужно несколько, а бесконечный ряд решений мы сможем восстановить.

При ƒ = 1, к = 1, имеем х - у = 1.

При ƒ = 12, к = 16, имеем х - у = 9.

При ƒ = 4, к = 32, имеем х - у = 25.

Подбирать можно долго, но в конечном итоге ряд примет вид, -

х - у = 1, 9, 25, 49, 81, … .

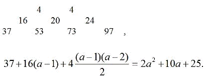
Рассмотрим вариант II.

Введём в уравнение (1) новые переменные

х = 2α + 2к + 1,

у = 2β + 2к,

z = 2γ + 2к + 1.

(2α + 2к + 1)2 = (2β + 2к)2 + (2γ + 2к + 1)2.

Сократим на меньшее переменное 2 β, -

(2α - 2β + 2к + 1)2 = (2α - 2β + 2к+1)2 + (2к)2.

Сократим на меньшее переменное 2α - 2β, -

(2α - 2γ + 2ƒ + 2к + 1)2 = (2ƒ + 2к + 1)2 + (2к)2. (4)

2α = х - 2к - 1,

2γ = z - 2к - 1.

2α - 2γ = х - z и подставим в уравнение (4).

(х - z + 2ƒ + 2к + 1)2 = (2ƒ + 2к + 1)2 + (2к)2

(х - z)2 + 2(2ƒ + 2к + 1)(х - z) + (2ƒ + 2к + 1)2 = (2ƒ + 2к + 1)2 + (2к)2

(х - z)2 + 2(2ƒ + 2к + 1)(х - z) - (2к)2 = 0


При ƒ = 3, к = 4, имеем х - z = 2.

При ƒ = 8, к = 14, имеем х - z = 8.

При ƒ = 3, к = 24, имеем х - z = 18.

Если дальше будем подбирать, получим ряд

х - z = 2, 8, 18, 32, 50, … .

Нарисуем трапецию, -



4


4


4





6


10


14


18



2


8


18


32


50



Напишем формулу.

,

где n=1, 2, . . . ∞.

Случай III расписывать не будем, - нет там решений.

В соответствии с полученными рекомендациями из I и II сгруппируем имеющиеся в популярной литературе тройки. На практике пришлось самому рассчитывать частично.

Для условия II набор троек будет таким:

х - z = 2 х - z = 8 х - z = 18 х - z = 32

= 32 + 42 132 = 52 + 122 252 = 72 + 242 412 = 92 + 402

= 152 + 82 292 = 212 + 202 452 = 272 + 362 652 = 332 + 562

= 352 + 122 532 = 452 + 282 732 = 552 + 482 972 = 652 + 722

= 632 + 162 852 = 772 + 362 1092 = 912 + 602 1372 = 1072 + 882

= 992 + 202 1252 = 1172 + 442 1532 = 1352 + 722 1852 = 1532 + 1042

Уравнение (1) представлено в виде х2 = z2 + у2 для наглядности.

Для условия I набор троек будет таким:

х - у = 1 х - у = 9 х - у = 25

= 42 + 32 452 = 362 + 272 972 = 722 + 652

= 122 + 52 652 = 562 + 332 1252 = 1002 + 752

= 242 + 72 892 = 802 + 392 1572 = 1322 + 852

= 402 + 92 1172 = 1082 + 452 1932 = 1682 + 952

= 602 + 112 1492 = 1402 + 512 2332 = 2082+ 1052

х - у = 49 х - у = 81

= 1202 + 1192 3052 = 2242 + 2072

= 1562 + 1332 3532 = 2722 + 2252

= 1962 + 1472 4052 = 3242 + 2432

= 2402 + 1612 4612 = 3802 + 2612

= 2882 + 1752 5212 = 4402 + 2792

В общей сложности расписано 9 столбцов троек, по пять троек в каждом. И каждый из представленных столбцов можно писать до ∞.

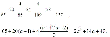
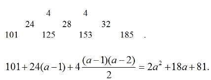
В качестве примера рассмотрим тройки последнего столбца, где х - у = 81.

Для величин х распишем трапецию, -














4


4


4





48


52


56


60



305


353


405


461


521


Напишем формулу, -

.

Для величин у распишем трапецию, -














4


4


4





48


52


56


60



224


272


324


380


440


Напишем формулу, -

.

Для величин z распишем трапецию, -













18


18


18


18



207


225


243


261


279


Напишем формулу, -

.

Итого:

хn = 2n2 + 42n + 261,

уn = 2n2 + 42n + 180,

zn = 18n + 189.

Где n = 1 ÷ ∞.

Как и обещано, ряд троек при х - у = 81 летит в ∞.

Была попытка для случаев I и II построить матрицы для величин х, у, z.

Выпишем из последних пяти столбцов величины х из верхних строк и построим трапецию.





8


44







12


20


64





40


52


72


136



5


45


97


169


305


Не получилось, а закономерность должна быть квадратичной. Чтобы всё было в ажуре, оказалось, что надо объединить столбцы I и II.

В случае II величины у, z снова поменяем местами.



Объединить удалось по одной причине, - карты хорошо легли в этой задаче, - повезло.

Теперь можно расписать матрицы для х, у, z.

Возьмём из последних пяти столбцов величины х из верхних строк и построим трапецию.



8


8


8





12


20


28


36



5


17


37


65


101













Всё нормально, можно строить матрицы, и начнём с матрицы для z.

Таблица 3

х-у=1

25

49

81

3

 15

35

63

99

5

 21

45

77

117

7

 27

55

91

135

9

 33

65

105

153

11

 39

75

119

171

13

 45

85

133

189

15

 51

95

147

207


Итого: Кроме единицы, каждое нечётное число числовой оси участвует в образовании пифагоровых троек равным количеству пар сомножителей образующих данное число N, включая сомножитель 1 х N.

Число N = ℓ2, где ℓ - ПЧ, образует одну пифагорову тройку, если ℓ - СЧ, то на сомножителях ℓхℓ тройки не существует. Построим матрицы для величин х, у.

Таблица 4

х-у=1

9

25

49

81

5

17

37

65

101

13

29

53

85

125

25

45

73

109

153

41

65

97

137

185

61

89

125

169

221

85

117

157

205

261

113

149

193

245

305


Таблица 5

х-у=1

9

25

49

81

4

8

12

16

20

12

20

28

36

44

24

36

48

60

72

40

56

72

88

104

60

80

100

120

140

84

108

132

156

180

112

140

168

196

224

Начнём работать с матрицей для х. Для этого натянем на неё координатную сетку из задачи по идентификации ПЧ и СЧ.

Таблица 6

( в-а-1)/2 а

0

1

2

3

4

1

5

17

37

65

101

2

13

29

53

85

125

3

25

45

73

109

153

4

41

65

97

137

185

5

61

89

125

169

221

6

85

117

157

205

261

7

113

149

193

245

305


Нумерация вертикальных рядов нормирована выражением .

Первый столбец уберём, т.к.

Матрица примет вид, -

Таблица 7

( в-а-1)/2 а

1

2

3

4

1

17

37

65

101

2

29

53

85

125

3

45

73

109

153

4

65

97

137

185

5

89

125

169

221

6

117

157

205

261

7

149

193

245

305


Опишем вертикальные ряды, -



Составим общую формулу для «х», -


Если провести подобную работу для «у», получим, -

Можно подойти к этому результату и с другой стороны.

Возьмём уравнение, - а2 + N = в2.

Чуть преобразуем, - N = в2 - а2.

Возведём в квадрат, - N2 = в4 - 2в2а2 + а4.

К левой и правой части уравнения добавим по величине 4в2а2, -

N2 + 4в2а2 = в4 + 2в2а2 + а4.

И окончательно, - (в2 + а2)2 = (2ва)2 + N2.

Пифагоровы тройки составляются так:

Рассмотрим пример с числом N = 117.

х 117 = 117, 3 х 39 = 117, 9 х 13 = 117.

Вертикальные столбцы таблицы 2 пронумерованы величинами в - а, тогда как вертикальные столбцы таблицы 3 пронумерованы величинами х - у.

х - у = (в - а)2,

х = у + (в - а)2.

Составим три уравнения.

(у + 12)2 = у2 + 1172,

(у + 32)2 = у2 + 1172,

(у + 92)2 = у2 + 1172.

х1 = 6845, у1 = 6844, z1 = 117.

х2 = 765, у2 = 756, z2 = 117 (х2 = 85, у2 = 84, z2 = 13).

х3 = 125, у3 = 44, z3 = 117.

Сомножители 3 и 39 не являются взаимно простыми числами, поэтому одна тройка получилась с коэффициентом 9.

Изобразим выше написанное в общих символах, -


В данной работе всё, включая пример на расчёт пифагоровых троек с числом

N = 117, привязано к меньшему сомножителю в - а. Явная дискриминация по отношению к сомножителю в + а. Исправим эту несправедливость, - составим три уравнения с сомножителем в + а.

(у + 1172)2 = у2 + 1172

(у + 392)2 = у2 + 1172

(у + 132)2 = у2 + 1172

х1 = 6845, у1 = - 6844, z1 = 117.

х2 = 765, у2 = - 756, z2 = 117.

х3 = 125, у3 = - 44, z3 = 117.

Вернёмся к вопросу об идентификации ПЧ и СЧ.

Много что было совершено в этом направлении и на сегодняшний день через руки дошла следующая мысль, - уравнения идентификации, да такого чтобы и сомножители определить, не существует.

Допустим найдено соотношение F = а,в (N).

Есть формула

.

.

Можно избавиться в формуле F от в и получится однородное уравнение n - ой степени относительно а, т.е. F = а(N).

При любой степени n данного уравнения найдётся число N имеющее m пар сомножителей, при m > n.

И как следствие, однородное уравнение n степени должно иметь m корней.

Да быть такого не может.

В данной работе числа N рассматривались для уравнения х2 = у2 + z2, когда они находятся в уравнении на месте z. Когда N на месте х, - это уже другая задача.

Похожие работы на - Пифагоровы тройки их количество

 

Не нашли материал для своей работы?
Поможем написать уникальную работу
Без плагиата!
Без нейросетей!