Подготовка и принятие управленческого решения в системе государственного и муниципального управления

  • Вид работы:
    Дипломная (ВКР)
  • Предмет:
    Менеджмент
  • Язык:
    Русский
    ,
    Формат файла:
    MS Word
    838,03 Кб
  • Опубликовано:
    2015-05-24
Вы можете узнать стоимость помощи в написании студенческой работы.
Помощь в написании работы, которую точно примут!

Подготовка и принятие управленческого решения в системе государственного и муниципального управления

Содержание

Введение

Глава 1. Теоретические аспекты подготовки и принятия решений в системе государственного и муниципального управления

1.1 Сущность и содержание управленческих решений в системе государственного и муниципального управления

1.2 Формы разработки и реализации управленческих решений

1.3 Процесс разработки управленческого решения

Глава 2. Оценка подготовки и принятия управленческого решения в условиях неопределённости и риска

2.1 Неопределенность как условие риска

2.2 Классификация неопределенных факторов

2.3 Критерии выбора оптимальных управленческих решений в условиях неопределённости и риска

Глава 3. Учет условий неопределённости и риска как фактор процесса подготовки и принятия управленческого решения в системе государственного и муниципального управления

3.1 Факторы риска в процессе разработки и принятия управленческого решения

3.2 Подготовка и принятие управленческих решений в условиях неопределённости и риска (на примере отдела муниципального имущества города Москвы)

3.3 Рекомендации по снижению факторов риска

Заключение

Список используемых источников и литературы

Приложение

Введение

Актуальность темы настоящей выпускной квалификационной работы обусловлена следующими аспектами.

Основой формирования любой организационной группы является управление. Управление - внутреннее качество целостной организационной системы - рассматривается как циклический информационный процесс, осуществляемый в замкнутом контуре для достижения конкретной цели. При этом составной частью управленческих функций являются выработка, принятие и реализация управленческих решений.

Современной динамике социально-политических процессов характерно сохранение роли государства как основного института политической системы, который выполняет функции организации, контроля, и преобразование ряда функций политического субъекта, который непосредственно принимает решения. Такое состояние обусловлено модернизацией и внедрением в социально-политический процесс инновационных методов управления и методов, определяющих процесс принятия решений.

Между государственным и муниципальным управлением существует корреляционная связь. Как управленческие системы они имеют свое политическое поле, процесс и субъект управления, через который взаимодействуют. Государство является составной частью управленческой системы, без которой целостность системы будет нарушена, и основной формой социально-политического управления, но не единственной. Государственное управление как сложное социально-политическое явление, с одной стороны, является главным субъектом, олицетворяя определенные действия людей, а с другой стороны, объектом, наполненным необходимым содержанием (целями и функциями), и имеет целесообразные формы (структуру и процессы).

Для управленческих решений важна последовательность этапов, без которой достичь максимально эффективного результата при минимальных затратах невозможно. В качестве первого этапа выступает «планирование решений», с одной стороны, как квинтэссенция последующих за ним действий, а с другой - как предполагаемо верный маршрут для достижения определенной цели. Вторым этапом является «разработка решений» (сочетание планирования с применением). Эти два этапа характеризуются технологичностью процесса принятия решений. Третий этап -«организация решений», его специфика заключается в применении конкретных структур, элементов. Четвертый - принятие решений, олицетворяющий предыдущие этапы в совокупности. Два последних этапа являются конструктивными. Следует подчеркнуть, что все этапы не могут быть разделены, они взаимосвязаны и дополняют друг друга.

Для государственного и муниципального управления характерны государственные решения, которые охватываю весь спектр отношений государства с обществом и другими государствами-партнерами. В условиях глобализации государственные решения являются важным инструментом консолидации законодательных, исполнительных органов власти и президента. Государственные и муниципальные решения являются одним из важнейших инструментов эффективного функционирования и трансформации системы государственного управления, ее влияния на все сферы жизнедеятельности общества.

Целью выпускной квалификационной работы является исследование специфики подготовки и принятия управленческого решения в системе государственного и муниципального управления.

Для достижения поставленной цели необходимо выполнить ряд задач:

рассмотреть теоретические аспекты подготовки и принятия решений в системе государственного и муниципального управления;

провести оценку подготовки и принятия управленческого решения в условиях неопределённости и риска;

проанализировать особенности учета условий неопределённости и риска как фактора процесса подготовки и принятия управленческого решения в системе государственного и муниципального управления.

Объектом исследования является отдел муниципального имущества г. Химки.

Предмет исследования - управленческое решение в системе государственного и муниципального управления.

Структура работы. Выпускная квалификационная работа состоит из введения, трех глав, заключения, списка используемых источников и литературы и приложений.

Глава 1. Теоретические аспекты подготовки и принятия решений в системе государственного и муниципального управления

.1 Сущность и содержание управленческих решений в системе государственного и муниципального управления

В настоящее время в литературе имеется большое количество научно-исследовательских и учебно-методических работ, посвященных теории принятия решений. В них рассматриваются разные теоретические и прикладные вопросы, связанные с подготовкой, обоснованием и принятием управленческих решений.

Управленческое решение означает подготовку совокупности оценок и выводов о текущем и будущем состоянии объекта управления и принятие уполномоченным лицом окончательного и обязательного для исполнения постановления об управляющем воздействии на объект управления.

Во-первых, решение рассматривается с ситуационной и процессной точек зрения. Управленческое решение - это разрешение проблемной ситуации, связанной с текущим или ожидаемым состоянием объекта управления. Как процесс решение означает поиск, идентификацию и анализ управленческих задач, изучение и прогнозирование состояния объекта управления, установление (переоценку) целей управления, разработку плана мероприятий, организацию их выполнения и контроль.

Во-вторых, организация как совокупность индивидов является объектом управления, состояние которого выступает предметом управленческого решения.

В-третьих, управляющее воздействие оказывается в отношении:

внутренней структуры, содержания, взаимосвязей элементов, состава и взаимосвязи входных и выходных параметров объекта управления;

модели поведения, организации функционирования объекта управления, а также порядка и способов взаимодействия с субъектом управления;

целей управления - желаемого состояния объекта управления, а также границ целевых значений его выходных параметров;

правил оценки достижения целей управления и критериев оценки соответствия выходных параметров целевым значениям;

изменения значений входных параметров объекта управления.

В-четвертых, решение принимается уполномоченным лицом - индивидом или группой индивидов. Полномочность выступает как право и обязанность осуществлять поиск проблем, подготовку, принятие и реализацию решений.

В организации права одних индивидов трансформируются в обязанности для других. Этим обусловливается высокая степень сложности управления: индивид может быть одновременно объектом одних решений и субъектом других; субъект управления глубоко интегрирован в объект управления. Если же решения предполагают системную трансформацию объекта управления, то это недопустимо без коренных изменений в субъекте управления, и наоборот.

В-пятых, решение как сущность и предмет управленческой деятельности предполагает наличие целей как желаемого состояния объекта управления в настоящем и будущем. Без целей невозможно понимание проблем, а подготовка и реализация управляющего воздействия представляются просто немыслимыми: организации создаются, действуют и упраздняются в соответствии с интересами, целями и ценностями заинтересованных сторон.

Основанием для принятия решения является наличие проблемы как комплекса сложных управленческих задач. В теоретическом плане управленческая проблема может пониматься с ситуационной и процессной точек зрения.

. Как отклонение состояния объекта управления от целей, установленных на текущую дату. Такими являются большинство задач оперативного характера. Управляющее воздействие, как правило, принимается в отношении входных параметров объекта управления для того, чтобы «выровнять» или «подогнать» выходные параметры в установленные границы целевых значений. В перспективе могут иметь место ситуационные планы, предназначенные для своевременного устранения отклонений от заданных параметров.

. Как отклонение прогнозируемого состояния объекта управления от целей, установленных на дату в будущем. Отсутствие проблем в данный момент не гарантирует их отсутствия в будущем; многие ситуационные проблемы возникли давно и обнаружились лишь сейчас. Кроме того, неразрешимость ряда проблем требует, с одной стороны, трансформации системы целей и коренного изменения модели поведения и характеристик объекта управления - с другой. Предвидимый разрыв, положительный или отрицательный, между траекторией движения объекта управления и целевыми установками требует приложения экстраординарных мер.

Воздействие производится не только на входные, но и на все структурные и функциональные параметры объекта управления, включая цели и критерии их оценки.

Организации постоянно подвергаются действию перемен во внешней среде. Стремительность изменений - самый устойчивый феномен внешнего мира, источник возможностей и угроз для организации. И возможности, и угрозы - суть управленческие проблемы, создающие в настоящем или будущем разрывы между состоянием объекта и целью управления. И только разрешение управленческих проблем создает возможности развития организации.

Управленческое решение в системе государственного и муниципального управления создает выгоду. Каждое решение принимается в интересах лиц, получающих выгоду (бенефициаров), иначе для чего еще оно нужно? Идея удовлетворения интересов бенефициаров дает объяснение, почему решения бывают такими нелегкими: индивиды сильно разнятся в своих ценностях и интересах. Почти всегда решение управленческой проблемы бывает выгодным для одних лиц, но невыгодным для других. Таким образом, приемлемость и результативность управленческого решения определяется степенью удовлетворения интересов бенефициаров. Любое управляющее воздействие на организацию как объект управления должно оцениваться с точки зрения полезности для ее участников деятельности. Причем оценка решения может быть не только прагматической (прибыльность), а, например, этической или эстетической, в зависимости от ценностей, принятых выгодоприобретателем.

Управленческое решение в системе государственного и муниципального управления не является выбором. Правильнее сказать, что выбор - частный случай управленческого решения, когда проблема хорошо структурирована, ясна, все альтернативы ее решения известны заранее, а составление адекватной математической модели не создает трудностей. Однако большинство проблем плохо структурировано, сведения о них мало доступны, моделирование весьма затруднительно. Ресурс времени, как правило, ограничен; но даже увеличение времени подготовки решения далеко не всегда ведет к росту вероятности успеха, поскольку внешняя среда терпит перемены. Все это обусловливает невозможность точно определить все факторы и параметры выбора. А в ситуации, когда возможности решения проблемы появляются не одновременно, а поочередно, выбор вообще теряет смысл.

Управленческое решение - следствие свободного волеизъявления. Индивид (группа индивидов) вправе принять решение или отказаться от него. Даже в тех случаях, когда принимается решение, невыгодное ни одному бенефициару, организация делает это по своей воле. Право принимать решения в сфере своей деятельности и в рамках своей компетенции неотъемлемо от индивида. Любой индивид управляет качеством и сроком выполняемой им работы. Даже если он не принимает решений о том, что делать, то всегда может управлять процессом исполнения решения или влиять на него. Свобода принятия решения состоит не в том, что индивид обретает право давать задачи, обязательные для исполнения другими, - в этом состоит сущность организационной деятельности. Управленческое решение является свободным оттого, что принимающее его лицо в пределах, отведенных ему в организации, имеет волю и свободу создавать возможности решения проблемы, которых нет во внутренней и внешней среде.

Управленческое решение в системе государственного и муниципального управления имеет инициатора и организатора. Инициатор выявляет наличие управленческой проблемы, организатор создает форум для анализа, обсуждения возможностей ее решения. Инициаторами являются не только руководители, но и контролирующие органы (служба внутреннего контроля, ревизор). Выделение функций организатора работы по анализу проблемы и принятию решения - общепринятая практика в проектном управлении. Поддержание в организации ролей инициатора и организатора управленческих решений может существенно повысить результативность управления, поскольку лицо, принимающее решения, может сосредоточить свое внимание на главном - анализе имеющихся возможностей, выработке, обсуждении и утверждении постановления об управляющем воздействии на объект управления.

Принятие решений - удел не только высшего руководства. Неумолимость предстоящих перемен, растущие неясность, неопределенность и многообразие внешнего окружения обусловливают нарастание сложности решения управленческих проблем. Разрешение комплексных, неструктурированных, подчас непонятных и неясных проблем требует скоординированной и взаимозависимой работы сотрудников разных уровней иерархии. С одной стороны, это определяет потребность все большего вовлечения ответственных лиц в управленческие процессы. С другой стороны, работники всех уровней организационной иерархии, операционных и функциональных бизнес-процессов все чаще стремятся поступать так, чтобы не только влиять на результаты деятельности всей организации, но и понимать свое влияние.

Принятие управленческого решения в системе государственного и муниципального управления не всегда бывает единовременным актом. Оформление решения в виде распорядительного документа (приказа, графика и пр.) не означает завершения процесса его принятия. Большое число проблем, когда неопределенные и неконтролируемые внешние факторы влияют на эффективность их решения, требует поэтапного, иногда даже итерационного принятия решения. Сначала изучается проблема, проекты решений обследуются с помощью имитационных моделей, затем производится пробное испытание решения в реальных условиях. И только после успеха эксперимента принимается окончательное решение с учетом имевших место поправок и улучшений.

1.2 Формы разработки и реализации управленческих решений

Принимаемые органами государственного и муниципального управления управленческие решения фиксируются в распорядительных документах, основное назначение которых состоит в реализации целей и задач, регулировании деятельности объекта управления, обеспечении его финансовыми, трудовыми, материальными и информационными ресурсами. К формам разработки управленческих решений относят: указ, закон, приказ, распоряжение, указание, акт, акцепт, протокол, инструкцию, договор, соглашение, план, контракт, оферту, положение, правила, модель.

Указ - решение верховного органа власти или главы государства, имеющее силу закона, например Указ Президента РФ «О структуре федеральных органов исполнительной власти», Указ Президента РФ «О неотложных мерах по повышению эффективности борьбы с терроризмом», Указ губернатора Ростовской области «О регламенте Администрации Ростовской области».

Указание - решение, разрабатываемое органом государственного или муниципального управления по вопросам информационно-методического характера, а также по вопросам, связанным с организацией исполнения приказов, инструкций и других актов данного органа и вышестоящих органов управления, носящее методический, технологический характер. Указание реализуется в форме наставления или разъяснения.

Закон - решение высшей государственной власти, носящее обязательный и непреложный характер, например Закон «Об общих принципах организации местного самоуправления в РФ».

Акт - решение широкого круга государственных и общественных организаций, подтверждающее установленные факты, события, действия. Например, акт о передаче чего-либо в собственность.

Приказ - решение, принимаемое руководителем органа государственного или муниципального управления, действующего на основе единоначалия, в целях решения основных и оперативных задач, стоящих перед данным органом. В некоторых случаях приказ может касаться широкого круга организаций и должностных лиц независимо от подчиненности.

Распоряжение - решение руководителя, главным образом коллегиального органа государственного или муниципального управления, принимаемое в целях разрешения оперативных вопросов. Например, Распоряжение главы администрации города «О присуждении премии главы администрации города одаренным учащимся общеобразовательных учреждений».

Протокол - решение, принимаемое коллегиальным органом или группой лиц, по вопросам, требующим совместного обсуждения. Например, протокол прошедшего собрания, дипломатический протокол.

Инструкция - решение, устанавливающее порядок и правила выполнения каких-либо действий в определенной сфере деятельности. Например, должностная инструкция специалиста Управления экономики и промышленной политики администрации города, инструкция по работе с обращениями граждан, инструкция по работе с персоналом.

Договор - решение двух и более сторон об установлении, изменении и прекращении правоотношений. Например, договор о портфельных инвестициях, договор кооперации с зарубежным производителем.

Соглашение - решение, формирующее общую позитивную инфраструктуру для какой-либо деятельности. Например, соглашение о намерениях, соглашение между РФ и США об избежании двойного налогообложения, соглашение о разделе рынков сбыта, соглашение о квотах на экспорт нефти странами ОПЕК.

План - решение, отражающее цели и конкретные задачи деятельности, средства, методы и время их реализации. Например, бизнес-план, план мероприятий по реформированию и реструктуризации организации.

Контракт - решение коммерческого характера о выполнении совместной деятельности с указанием взаимных прав и обязательств.

Положение - решение, представляющее собой набор законов, правил и инструкций, регламентирующих определенный вид деятельности. Например, положение об Управлении экономики и промышленной политики администрации города.

Правила - решение, представляющее набор предлагаемых для исполнения устоявшихся норм поведения и деятельности определенных групп работников. Например, правила предоставления льгот определенным слоям населения.

Модель какого-либо процесса или явления - решение, включающее набор определенных элементов и связей, который с заданной точностью воспроизводит реакции реального процесса или явления на внешние воздействия. Например, модель администрации города включает: справочные данные; организационную структуру; методики формирования статистической информации, проведения экономических расчетов и прогнозирования; информацию о решениях в аналогичных ситуациях и реальных полученных при этом результатах; нормативно-правовое обеспечение.

Формы реализации управленческих решений включают: деловую беседу, предписание, убеждение, разъяснение, принуждение, наставление, сообщение, личный пример, обучение, совет, деловые игры, совещания, заседания, отчет, деловое слово.

Для каждой формы разработки управленческого решения используется свой набор форм реализации (рис. 1).

Формы разработки



Формы реализации

Указ

А



Закон



Предписание

Приказ



Убеждение

Распоряжение



Разъяснение

Указание

Б


Принуждение

Положение



Наставление

Протокол



Сообщение

Инструкция



Деловая беседа

Правила



Личный пример

Соглашение

В


Обучение

Договор



Совет

Контракт



Деловая игра

Оферат



Совещание

Акцепт



Заседание

Акт

Г


Отчет

План



Деловое слово

Модель




Рисунок 1 - Совместное использование форм разработки и реализации управленческих решений

Деловая беседа - встреча руководителя с подчиненным для обсуждения заранее оговоренной темы. Включает следующие этапы:

организация атмосферы взаимной заинтересованности;

согласование целевых установок;

информационная подготовка исполнителей;

обоснование целей и задач;

учет предложений исполнителей;

принятие решения.

Предписание - официальное извещение, направленное конкретному исполнителю, об обязательном выполнении решения в установленный срок.

Убеждение - проводимая руководителем деловая беседа с целью добиться у исполнителей прочных взглядов и установок относительно содержания управленческого решения для его выполнения.

Разъяснение - проводимая руководителем деловая беседа, направленная на то, чтобы объяснить суть и содержание решения.

Принуждение - деловая беседа, цель которой - осознанно заставить работника выполнить управленческое решение.

Наставление - деловая беседа, цель которой - обучить, подготовить работника к выполнению решения.

Сообщение - передача информации, данных, необходимых для успешного исполнения управленческого решения.

Обучение - деловая беседа, цель которой - дать новую информацию и знания, необходимые исполнителям для реализации управленческого решения.

Совет - деловая беседа, цель которой - передать подчиненным рекомендации по поводу возможных вариантов реализации управленческого решения.

Деловая игра - мероприятия, проводимые на основе имитационных моделей реальных процессов с целью развития навыков и способностей сотрудников, необходимых для разработки и реализации управленческих решений.

Совещание - мероприятие, проводимое руководителем с целью оперативного сообщения подчиненным текущих задач, обмена информацией и обсуждения специальных вопросов, возникающих в процессе реализации решений.

Заседание - совещание для решения организационных проблем.

Отчет - результаты проделанной работы по воплощению в жизнь управленческого решения.

1.3 Процесс разработки управленческого решения

Важность процесса разработки решений была осознана человечеством одновременно с началом его сознательной коллективной деятельности. Поэтому вслед за возникновением и развитием теории управления возникла и развивалась теория управленческих решений. Проблемы управленческих решений находятся на стыке многих областей науки. Различные направления науки рассматривают построение научной теории принятия решений. Это теории: полезности, вероятности и надежности, оптимизации и математической статистики.

В принятии управленческих решений достаточно важным вопросом является технология этого процесса, поскольку только ее наличие позволяет контролировать процесс и управлять им. В науке принятия управленческих решений имеется теория процедурной рациональности и «теория перспектив» Даниеля Канемана. Идея процедурной (технологической) рациональности развита выдающимися учеными в области принятия решений лауреатом Нобелевской премии Г. Саймоном, И. Джэнисом, Л. Манном и др. Теория процедурной рациональности предполагает, что эффективность управленческого решения обусловлена качеством проведенной процедуры принятия решения. Эта идея - воплощение в области принятия решений более общей идеи, давно утвердившейся в сфере производства, менеджмента, а также в точных, естественных и технических науках: высокое качество продукта (изделия, проекта, научного результата) -со значительной вероятностью предопределяется высоким технологическим качеством процесса выработки (производства, проектирования, научного поиска) продукта. Рациональным полагается такое решение, технология разработки которого осуществлялась грамотно. Самые значительные отклонения от процедурной рациональности свойственны тем, для кого типично полностью полагаться на стереотипно-интуитивное принятие решений. Интуитивные механизмы принятия решений вырабатываются у людей в процессе их жизни в «привычной» окружающей среде. Поэтому лишь в данной среде «стереотипная» интуиция и может более-менее работать. Как только окружающая среда резко меняется, апробированный опыт зачастую не подходит в ситуации, устроены по-новому, усвоенные поведенческие решения не эффективны. В таких случаях решения, которые «подсказывает» «стереотипная» интуиция, непригодны.

Обычно рациональная технология аналитического принятия решения в сложных проблемах предполагает фазы, представленные на рисунке 2.

Рисунок 2 - Фазы рациональной технологии разработки и принятия управленческого решения

Теория рационального принятия решений является традиционной и исходит из посылок, что люди принимают решения на рациональных основаниях. В то же время достижения Даниеля Канемана опровергают данную теорию. Он проводил исследования механизмов принятия решений индивидуумом в ситуациях, связанных с неопределенностью и риском.

Рисунок 3 - Этапы технологии разработки и принятия управленческого решения

Канеман утверждает, что люди нерациональны в принятии решений, им свойственно делать выводы на основании ограниченного объема информации, которая еще и не всегда достоверна. Его исследования показали, что под влиянием своих трудно объяснимых причуд, вызванных, например, боязнью показаться чересчур доверчивыми, люди часто принимают неразумные, с экономической точки зрения, и часто невыгодные для них самих решения.

Под технологией разработки управленческих решений понимается последовательность действий, которые приводят к выбору и реализации оптимальной альтернативы, а также анализа и определения эффективности на основе данных обратной связи. Практически технология разработки и принятия управленческих решений представлена этапами процесса принятия управленческих решений, которые показаны на рисунке 3. Схема рациональной процедуры принятия управленческих решений может быть гибкой в двух отношениях. Во-первых, индивидуум или коллектив, принимающий решение, может возвращаться с более поздних фаз на начальные, если появившиеся в процессе решения данные наталкивают на переосмысление сделанных прежде выводов. Что, как правило, и происходит при решении сложных проблем.

Скажем, в связи со сгенерированным на второй фазе неожиданным вариантом решения может оказаться целесообразным уточнить постановку проблемы, вернувшись для этого на первую фазу. Или, например, получение на третьей фазе неблагоприятного прогноза последствий каждого из вариантов решения, возможно, потребует вновь обратиться ко второй фазе для поиска новых вариантов или даже к первой фазе для модификации видения проблемной ситуации.

Одной из наиболее сложных задач при внедрении процессного подхода к разработке управленческих решений является оценка результативности процесса. Результативность является прямым следствием процессного подхода и рассмотрения деятельности как процесса, преобразующего «вход» в «выход», т. е. в результат. Результативность должна рассчитываться по всей цепи ключевых процессов предприятия. Непременной составляющей анализа должно быть сопоставление значений показателей по отдельным процессам, которое следует применять как средство улучшения процессов - одной из основных целей внедрения СМК (системы менеджмента качества). Какая-либо конкретная, типовая методика количественной оценки результативности процессов на предприятиях отсутствует.

Применение процессного подхода в управлении подводит к использованию такого инструмента, как бенчмаркинг - наблюдение и анализ деятельности, продуктов и услуг компаний сходного профиля с целью выявления положения компании относительно конкурентов, повышения конкурентоспособности собственной продукции.

Переход от ориентации на функциональную составляющую структуры организации к процессному подходу обеспечивает значительное сокращение временных потерь. Помимо этого, выделяются некоторые частные преимущества процессного подхода:

обеспечение ясности всех операций, анализ возможных последствий сбоев и нарушений на отдельных этапах работы, эффективное управление операционными издержками;

легкость определения ключевых процессов и управления ими, а значит, и результатами деятельности организации;

объединение разрозненных действий функциональных подразделений;

большая гибкость предприятия в изменяющихся условиях как внутренней, так и внешней среды;

повышение эффективности горизонтальных связей между структурными подразделениями организации;

облегчение проведения аудита деятельности организации, необходимого для выявления происходящих изменений в деятельности компании, для приведения отчетности в соответствии с требованиями установленных стандартов;

системность мышления сотрудников организации: функционирование любого составляющего систему процесса начинает оцениваться в терминах его вклада в цели всей системы, а не по исключительно индивидуальному критерию;

реализация важнейшей идеи менеджмента качества: осуществление контроля качества в процессе производства, а не на выходе уже готового продукта.

Внедренным процессный подход можно считать только тогда, когда в организации созданы реально действующие механизмы управления процессами, существует возможность задания желаемых параметров деятельности и контроля соответствия полученных результатов. Контрольными параметрами для измерения результата процесса может являться система экономических показателей, призванная оценить деятельность каждого подразделения и сотрудника, причем не только в контексте достигнутого положительного результата, но и c критической точки зрения.

При правильном определении и выделении показателей эффективности и результативности процессов высшее руководство получает механизм для принятия управленческих решений, основанных на достоверной информации и фактах. Следствием более эффективного управления будет улучшение всех конечных результатов деятельности промышленного предприятия.

Применение процессного подхода к управлению позволяет значительно сократить штат сотрудников, что влечет за собой снижение затрат на фонд оплаты труда. В современных условиях постоянной модернизации производства и применения нового оборудования внешнее обучение сотрудников имеет значительный удельный вес в общей структуре затрат. Предприятия, использующие процессный подход к управлению, получают возможность снизить затраты на внешнее обучение персонала за счет организации внутреннего.

Применение процессного подхода к управлению позволяет повысить управляемость организации. Это может быть достигнуто за счет полного описания и стандартизации процессных технологий, что повышает прозрачность организации в целом.

Применение процессного подхода проявляется в снижении влияния человеческого фактора, что положительно сказывается на качестве производимой продукции, а, следовательно, на конкурентоспособности. До внедрения процессного подхода работа каждого сотрудника регламентируется в лучшем случае должностной инструкцией, то есть его эффективность напрямую зависит от его личных знаний, умений и навыков, а сам сотрудник не заинтересован в распространении своего опыта, передаче своих знаний, умений и навыков.

В целом, процессный подход позволяет создать эффективную систему инфраструктурного обеспечения предпринимательской деятельности для соответствия сложностям и динамике современной рыночной среды. Однако внедрение данного подхода возлагает на руководство отечественных предприятий качественно новые обязанности, предусматривающие постоянное совершенствование систем управления и инфраструктурного обеспечения.

Помимо того факта, что внедрение процессного подхода открывает российским предприятиям дорогу на международные рынки (обязательность наличия системы менеджмента качества на основе процессного подхода входит к требования ИСО серии 9000:2000), отказ от функционального восприятия организационной структуры предприятия в пользу процессного несет множество положительных моментов. Как мы выяснили, полноценное обеспечение качества процессов производства, отвечающего за соответствие потребительским нуждам и ожиданиям, невозможно без применения процессного подхода к оценке качества и принятию управленческого решения по результатам данной оценки. Именно процессный подход позволяет руководителям выявлять и формировать управление ключевыми процессами в развитии всех направлений деятельности предприятия, интегрируя часто разрозненные действия структурно-функциональных департаментов и направлять их усилия на единый результат.

Глава 2. Оценка подготовки и принятия управленческого решения в условиях неопределённости и риска

.1 Неопределенность как условие риска

Риск теснейшим образом связан с неопределенностью. Однако нередко эта связь интерпретируется односторонне. Так, в одних случаях неопределенность представляется как причинариска. Формулируя аксиомы теории риска, представляется возможным связать возникновение неопределенности с субъектом, а риск - с неопределенностью. Первая аксиома говорит о том, что нет безрисковых видов деятельности (всеохватность). Нет деятельности - нет и риска.

Риск может возникнуть только там, где есть деятельность. Во всяком виде деятельности присутствует субъект. Но там, где есть субъект, имеет место неопределенность, а неопределенность влечет риск с его непредсказуемыми последствиями. Ряд ученых риск вообще отождествляют с неопределенностью. При отождествлении этих понятий риск определяется как неопределенность последствий, наступление которых окажет влияние на результаты принятых решений, что может привести как к потерям, так и к выигрышам. Весьма характерно для этого подхода и такое понимание взаимосвязи неопределенности и риска: «Риск в нашем мире не более чем неопределенность решений, которые принимают наши собратья по обществу, и того, какая реакция на эти решения является наилучшей».

Некоторые исследователи неопределенность рассматривает как свойство риска. Большинство авторов, исследующих рисковую проблематику, считают, что неопределенность есть условие риска. Разделяя в том числе и последнюю точку зрения, отметим, что взаимосвязи между риском и неопределенностью намного сложнее и многограннее, что во многом обусловливает неверное представление не только о характере этих связей, но и о самих явлениях. Применительно к неопределенности это выражается в использовании ее понятия в некатегориальном, смещенном значении, для обозначения тех явлений, которые собственно неопределенностью не являются.

Правильное понимание соотношения между понятиями риска и неопределенности предполагает определенность содержания каждого из них.

Неопределенность представляет собой состояние явлений, процессов, отражающее меру изменения их сущностных характеристик (внутренних и внешних параметров), в силу этого качественно неидентифицируемое ввиду отсутствия достаточных оснований для оценочного суждения.

Констатируя наличие в неопределенности двух указанных выше моментов и признавая их взаимообусловленность, в то же время нельзя отрицать возможность их дискретного рассмотрения. Под этим углом зрения можно выделить два основных типа неопределенности: онтологическую и когнитивную.

В понятии онтологической неопределенности отражается сам факт бытия, фиксирующий различные проявления многозначной детерминации социальных, экономических, правовых и иных явлений и процессов либо вовлеченных непосредственно в правовое регулирование, либо оказывающих на него влияние. Конкретными ее выражениями выступают стохастичность, нестабильность общественных процессов, нелинейность траекторий их развития, дисфункции и дефектность правовых институтов и средств, кризисные состояния экономических и политических систем и др. Онтологическая неопределенность характеризует проявления неопределенности, лежащие за пределами сознания субъекта. Она не связана с процессами мышления и в этом смысле противоположна когнитивной неопределенности, хотя и не исключает ее отражения сознанием субъекта.

Когнитивная неопределенность - это неопределенность, находящая свое выражение в процессах мышления. Она характеризует состояние сознания субъекта права и выражается в недостаточности оснований для суждения, выбора или решения. Отсутствие таких оснований не обязательно вызывается неполнотой, недостаточностью или недостоверностью необходимой информации, но и ее избыточностью. В ряде случаев возникновению когнитивной неопределенности способствуют отсутствие или недостаточность знаний, необходимых для оценки и интерпретации «внешней» информации, неразвитость аналитического мышления, неспособность к выводам по аналогии в силу отсутствия опыта и прочее, в то время как объективно определенность ситуации, в отношении которой осуществляется оценка, или возможность правильного выбора существуют. Это неопределенность субъективна по форме своего существования, в связи с чем для ее обозначения допустимо выражение «субъективная неопределенность».

Роль каждого из указанных типов в детерминации разных видов риска различна. Активный риск может быть обусловлен как онтологической, так и когнитивной неопределенностью. Более того, значительно чаще в механизме его детерминации присутствуют и та, и другая, поскольку при активном риске, принимающем форму юридически значимого деяния, присутствуют и объективные, и субъективные моменты, а его юридическая оценка предполагает анализ объективной и субъективной сторон. При пассивном риске ведущая роль принадлежит онтологической неопределенности, поскольку даже в случае восприятия и оценки такого риска у субъекта - потребителя риска - возможность выбора отсутствует, а возможности минимизации его вредных последствий существенно ограничены.

Неопределенность в моделях принятии решений следует понимать как наличие нескольких возможных исходов каждой альтернативы. Действительно, в обыденном понимании неопределенность обычно связывается с такими характеристиками, как непредсказуемость, случайность, неоднозначность, нечеткость. Если факторы, влияющие на принятие решения, обладают этими свойствами, то нельзя говорить о каком-либо определенном исходе альтернативы. В этих условиях необходимо рассматривать все возможные исходы или хотя бы наиболее вероятные из них. Например, управленческое решение о производстве новой продукции или открытии нового вида деятельности принимается в условиях неопределенности, поскольку его последствия не определены в силу влияния таких факторов, как потребительский спрос, действия конкурентов, изменения в законодательстве и других. Следовательно, при анализе данного решения необходимо рассматривать несколько возможных исходов, т.е. значений показателей эффективности (ожидаемой прибыли, объема продаж, доли рынка и т.д.), которые используются для принятия решения.

Неопределенность выступает необходимым и достаточным условием риска в принятии решений. Под риском понимают действие, направленное на привлекательную цель, достижение которой сопряжено с элементом опасности, угрозой потери или неуспеха. В словаре русского языка риск определяется, во-первых, как возможная опасность чего-либо, и, во-вторых, как действие наудачу, требующее смелости, бесстрашия, в надежде на счастливый исход.

Кроме того, можно встретить определения, в которых риск трактуется как отклонение от желаемого результата, непредсказуемость результатов или просто возможность потерь. Однако во всех этих определениях внимание обращается только на то, что риск так или иначе связан с какими-либо неблагоприятными исходами альтернатив, потерями, угрозами, опасностями и т.п., но не отмечается, что риск - это, прежде всего, характеристика неопределенности. Дело в том, что и в условиях определенности возможны неблагоприятные исходы, но поскольку они предопределены и неизбежны, то риск в таких «заведомо проигрышных» ситуациях отсутствует. Например, нельзя говорить о риске, если вам говорят, что после подбрасывания монеты независимо от его исхода вы должны заплатить один рубль. Риск возникает только в условиях неопределенности. Поэтому более точным является определение, согласно которому риск понимается как возможность неблагоприятного исхода в условиях неопределенности. Противоположным риску является понятие «шанс», которое связывается не с угрозой потерь, а, напротив, с возможностью выигрыша или приобретений. Поэтому шанс можно определить как возможность благоприятного исхода в условиях неопределенности. Таким образом, и риски, и шансы в процессах принятия решений связаны с воздействием неопределенных факторов, которые могут приводить либо к неблагоприятным, либо к благоприятным исходам альтернатив.

Необходимо отметить, что родственным по отношению к риску является понятие опасности, которая также связана с возможностью неблагоприятного исхода, но в отличие от риска не зависит от решений и действий человека. Чтобы пояснить это, разделим все ситуации, которые потенциально могут привести к неблагоприятному исходу на два класса. Первый класс содержит ситуации, которые могут иметь неблагоприятный исход, который, однако, непосредственно не зависит от действий субъекта, включенного в данную ситуацию. Такие ситуации называются опасными. К ним относятся различные ситуации в обыденной жизни людей или их профессиональной деятельности, когда человек вынужденно, независимо от своей воли подвергается возможной опасности, связанной, например, с природными явлениями, терроризмом, загрязнением окружающей среды, военными конфликтами и т.д. Второй класс включает неопределенные ситуации, исход которых напрямую зависит от решений и действий человека. Такие ситуации называют рискованными. К ним относятся ситуации выбора в условиях неопределенности, когда человек, принимая решение, сознательно подвергается опасности ради достижения важного для себя результата.

Так, рискованные ситуации всегда связаны с предпринимательской и управленческой деятельностью, когда предприниматель или менеджер рискуют потерять вложенные средства ради получения прибыли и достижения других целей.

2.2 Классификация неопределенных факторов

Природа неопределенности может быть классифицирована достаточно широко. Проблема классификации и расчета неопределенности лежит скорее не в плоскости математики, а в формулировке ее на предметном языке. Выделим следующие признаки классификации понятия «неопределенность».

Классификация по субъекту, являющемуся источником неопределенности. Здесь можно выделить:

человеческую неопределенность, связанную с невозможностью точного предсказания поведения людей в процессе работы. Люди отличаются друг от друга уровнем образования, опытом, творческими способностями, интересами. Индивидуальные реакции меняются изо дня в день, в зависимости от самочувствия, настроения, контактов с другими людьми и т.д.;

техническую неопределенность, которая значительно меньше по сравнению с человеческой, однако и с ней надо считаться. Техническая неопределенность связана с надежностью оборудования, предсказуемостью производственных процессов, сложностью технологии, уровнем автоматизации, объемом производства, темпами обновления и т.д.

Классификация по времени возникновения неопределенности, подразделяющаяся на:

ретроспективную неопределенность, связанную с отсутствием информации о поведении изучаемого объекта в прошлом. Возможен либо переход к ситуациям определенности или риска, либо такой переход принципиально невозможен;

текущую неопределенность;

перспективную неопределенность, которая возникает вследствие появления непредусмотренных факторов, влияющих на ход развития и эффективность функционирования исследуемых объектов (процессов).

Необходимость учета фактора времени при оценке экономической эффективности принимаемых решений обусловлена тем, что как эффект, так и затраты могут быть распределены во времени. Равные по величине затраты, по-разному распределенные во времени, обеспечивают неодинаковый полезный результат того или иного вида (экономический, социальный и др.).

Классификация по факторам возникновения выделяет:

экономические неопределенности, обусловленные неблагоприятными изменениями в экономике предприятия или в экономике страны, к которым можно отнести неопределенность рыночного спроса; слабую предсказуемость рыночных цен; неопределенность рыночного предложения; недостаточность информации о действиях конкурентов и т. д.;

политические неопределенности, обусловленные изменением политической обстановки, влияющей на предпринимательскую деятельность. Экономические и политические виды неопределенности связаны между собой, и на практике их зачастую трудно разделить;

социальную неопределенность (тесносвязанную в то же время с человеческой неопределенностью), которая определяется стремлением людей образовывать социальные связи и помогать друг другу. Люди в коллективе и обществе в целом ведут себя в соответствии с взаимно принятыми обязательствами, служебными отношениями, ролями, стимулами, конфликтами, традициями и т. п. Структура таких взаимоотношений неопределена;

природную неопределенность, связанную с полным или частичным незнанием природных условий, при которых придется принимать решения, и которая описывается совокупностью факторов, среди которых могут быть: климатические, погодные условия, различного рода помехи (атмосферные, электромагнитные и др.);

демографическую неопределенность.

С точки зрения вероятности выпадения событий неопределенность можно подразделить на три вида:

полная неопределенность;

полная определенность;

частичная неопределенность.

Классификация неопределенности в зависимости от информации и формы этой информации, которой располагает субъект при принятии решений, подразделяется на:

неизвестность (незнание);

физическая неопределенность;

недостоверность (неполнота, недостаточность, неадекватность, расплывчатость);

неоднозначность;

лингвистическая неопределенность.

По экономической среде деятельности предприятия выделяют:

неопределенность внешней среды, представленную факторами, которые не связаны непосредственно с деятельностью предприятия и имеют более широкий социальный, демографический, политический и иной характер;

неопределенность внутренней среды;

неопределенность целенаправленного противодействия экономической среды, встречающаяся в ситуации конфликта двух или более сторон, когда каждая сторона не имеет сведений или располагает неполной, неточной информацией о мотивах и характере поведения противодействующих сторон.

К конфликтным ситуациям внешней среды можно отнести, например, действия конкурентов, ценовую политику олигополистов, стратегию и тактику лиц, участвующих в томили ином конкурсе и т. п.

Наконец, неопределенность, возникающая при выработке стратегии деятельности компании, которая может включать в себя:

неопределенность целей, связанную с неоднозначностью, а иногда и невозможностью выбора одной цели при принятии решения или построении оптимальной модели;

неопределенность условий, которая возникает при недостаточности или полном отсутствии информации об условиях, в которых принимаются решения;

неопределенность действий, когда отсутствует однозначность при выборе решений;

обособленную группу составляют также задачи, в которых рассматриваются проблемы несовпадающих интересов и многокритериального выбора оптимальных решений в условиях неопределенности.

По источнику неопределенности различают факторы неопределенности среды и факторы личностной неопределенности.

Неопределенность среды возникает в условиях неполной информации о значениях факторов внешней или внутренней среды организации. Это объясняется двумя основными причинами. Во-первых, неопределенность среды возникает при наличии целенаправленного противодействия других лиц или организаций, способы действий которых неизвестны. В этом случае говорят о «целенаправленной» среде, а связанную с ней неопределенность, обусловленную поведением других лиц, которые преследуют собственные цели, называют поведенческой неопределенностью. Принятие рациональных решений в подобных ситуациях основано на использовании принципов теории игр. Поэтому неопределенность такого рода иначе называют игровой. Наиболее яркий пример игровой неопределенности - это поведение конкурентов. Во-вторых, неопределенность среды возникает в силу недостаточной изученности некоторых явлений, имеющих объективный характер и сопровождающих процессы принятия управленческих решений. В этом случае имеет место так называемая объективная среда, а связанная с ней неопределенность называется природной. Примерами такой неопределенности служат экономические условия, политическая обстановка, поведение потребителей, социокультурные, природно-географические и другие факторы, которые являются неопределенными, однако в отличие от действий конкурентов не носят характера сознательного противодействия.

Неопределенность может быть обусловлена не только ситуацией, но и личностью руководителя. Дело в том, что объективно ситуация принятия решения может быть вполне определена и предсказуема, но субъективно она может выглядеть как неопределенная. Это объясняется тем, что разные люди неоднозначно воспринимают одну и ту же ситуацию, не обладают достаточными знаниями и опытом, мыслят непоследовательно и противоречиво, нечетко оценивают последствия альтернатив и т.д. В связи с этим говорят о личностной неопределенности, которая понимается как неопределенность психических процессов, состояний и свойств личности. В частности, можно говорить о таких проявлениях личностной неопределенности, как неопределенность восприятия, представления, мышления, памяти, воображения, эмоциональных состояний. Кроме того, существенное влияние на принятие решений оказывает неопределенность психических свойств, которая обычно проявляется как неопределенность предпочтений и неопределенность притязаний лица, принимающего решение (ЛПР). В силу этого часто возникает целевая неопределенность, которая выражается в нечеткой, расплывчатой формулировке ЛПР цели принятия решения или наличии у него нескольких противоречивых целей. Так, примером целевой неопределенности является стремление руководителя фирмы получить в результате проведения операции максимальную прибыль при минимальных издержках и уровне риска, что, как известно, очень редко встречается на практике и представляет собой крайне противоречивые требования к качеству управленческих решений.

Второй признак классификации неопределенных факторов - это природа неопределенности. По этому основанию выделяют вероятностную неопределенность и неопределенность уверенности.

К вероятностной неопределенности относят влияние случайных факторов, т.е. таких неопределенных факторов, которые при массовом появлении обладают свойством статистической устойчивости и описываются некоторым законом распределения вероятности. Если закон распределения и числовые характеристики случайной величины известны, то с их помощью можно относительно легко вычислить вероятность любого события, которое этому закону подчиняется. Когда закон распределения неизвестен, то решение принимается в условиях статистической неопределенности, которая, в свою очередь, делится на два вида - с известными и неизвестными параметрами распределения (числовыми характеристиками). К параметрам распределения, как известно, относятся математическое ожидание, дисперсия и другие характеристики случайной величины. Статистическая неопределенность менее «желательна», поскольку в таких ситуациях для определения закона распределения и вычисления вероятностей требуются накопление и обработка достаточно большого объема статистической информации, что не всегда возможно осуществить на практике.

Во многих случаях, когда отсутствует объективная информация, люди часто оценивают вероятности событий субъективно с помощью интуиции, знаний, опыта и косвенных данных о ситуации. Такие вероятности называются субъективными. Если они известны, то для принятия решений можно использовать аналогичные критерии, или правила, основанные на вычислении математического ожидания случайных исходов альтернатив. Однако в этом случае надо соблюдать известную осторожность, поскольку при использовании субъективных вероятностей может перестать действовать закон больших чисел. Тем не менее, эти вероятности играют важную роль в процессе принятия решений, так как субъективные оценки - это все-таки лучше, чем ничего, т.е. отсутствие каких-либо оценок вообще.

Таким образом, случайные факторы - это самый «удобный» вид неопределенности, поскольку при массовом появлении они подчиняются определенным закономерностям и становятся предсказуемыми в среднем, хотя и остаются непредсказуемыми в каждом конкретном проявлении. К случайным факторам, влияющим на процессы принятия управленческих решений, можно отнести изменения потребительского спроса, колебания курсов валют и ценных бумаг, отказы технических систем, климатические условия и другие.

Неопределенность уверенности характеризуется влиянием неслучайных факторов, т.е. таких факторов, которые не обладают свойством статистической устойчивости. Подобного рода неопределенность возникает, когда требующие учета факторы по своей природе не описываются никаким законом распределения либо эти факторы настолько новы и сложны, что о них невозможно получить достаточно достоверной информации. В итоге вероятность того, что неопределенные факторы примут некоторое значение, невозможно получить с требуемой точностью. Другими словами, неопределенность уверенности - это неизвестность, которая обусловлена нехваткой или отсутствием информации о личностных или ситуационных факторах, не подчиняющихся законам теории вероятностей. Например, к таким факторам относятся изменчивость психических состояний ЛПР, его индивидуальные психические свойства, нечеткие или противоречивые цели деятельности, поведение конкурентов и поставщиков, изменение экономических и политических условий, появление новых технологий, законов и решений правительства.

В самом худшем случае, когда отсутствует вообще какая-либо информация о факторах, влияющих на принятие решений, имеет место полная неопределенность. Однако на практике очень немногие управленческие решения приходиться принимать в условиях полной неопределенности. Это объясняется следующими причинами. Во-первых, у ЛПР всегда существует принципиальная возможность получения дополнительной информации о неизвестных факторах. Этим часто удается уменьшить новизну и сложность проблемы. Например, решение о разработке нового товара принимается после проведения маркетингового исследования, в ходе которого собирается информация о предпочтениях потребителей, поведении конкурентов и других факторах. Во-вторых, ЛПР может действовать по аналогии с прошлым опытом, чтобы сделать предположения о вероятности или об ожидаемых значениях неопределенных факторов. Например, если экономическая и политическая ситуации на протяжении долгого времени оставались стабильными, то можно предположить, что в ближайшей перспективе они существенно не изменятся. Использование прошлого опыта крайне необходимо, когда не хватает времени на сбор дополнительной информации или затраты на нее слишком велики. В-третьих, неслучайные факторы иногда удается перевести в разряд случайных с помощью рандомизации. Под рандомизацией понимают искусственное введение случайности в ситуацию, где она отсутствует. Например, принятие решения о разработке нового товара может зависеть от того, какую стратегию поведения на рынке выберет основной конкурент. Точная стратегия конкурента неизвестна, но и неслучайна. Однако можно выдвинуть ряд гипотез об основных вариантах поведения конкурента и предположить, что в пределах этого набора он будет применять смешанную стратегию на основе некоторого распределения вероятности, которое введено на множестве так называемых чистых стратегий. Такой прием используется, если ситуация выбора описывается с помощью игровых моделей, в частности матричных игр. Далее, после рандомизации, проблемную ситуацию можно исследовать, используя методы теории вероятностей и математической статистики.

Наличие неопределенностей значительно усложняет процесс выбора оптимальных решений и может привести к непредсказуемым результатам. На практике при проведении экономического анализа во многих случаях пытаются не замечать указанное «зло», вызванное фактором неопределенности, и действуют (принимают решение) на основе детерминированных моделей.

Иначе говоря, предполагается, что факторы, влияющие на принимаемые решения, известны точно. К сожалению, действительность часто не соответствует таким представлениям. Поэтому политика выбора эффективных решений без учета неконтролируемых факторов во многих случаях приводит к значительным потерям экономического, социального и иного содержания.

Сталкиваясь с неопределенностью, руководитель может использовать две основные возможности. Во-первых, попытаться получить дополнительную необходимую информацию и еще раз проанализировать проблему. Этим часто удается уменьшить новизну и сложность проблемы. Руководитель сочетает эту дополнительную информацию и анализ с накопленным опытом, способностью к суждению или интуицией, чтобы придать ряду результатов субъективную или предполагаемую вероятность и действовать уже в условиях«остаточной неопределенности». Вторая возможность - действовать в точном соответствии с прошлым опытом, суждениями или интуицией и сделать предположение о вероятности событий. Тогда неопределенность трансформируется в категорию «риск», просчитывается и, при необходимости, страхуется.

2.3 Критерии выбора оптимальных управленческих решений в условиях неопределённости и риска

В структуре управленческих решений существенным элементом является разрешение проблем, связанных с фактором неопределенности, требующим предотвращения или минимизации последствий различного рода рисков. Нарастание сложности и неопределенности условий хозяйственной деятельности ведет к усилению управленческих рисков как в сфере предпринимательской деятельности, так и в области муниципального и государственного управления. Несмотря на наличие многочисленных научных трудов по данному вопросу, определенные аспекты этой актуальной проблемы требуют дальнейшего исследования. В частности, в теории рисков остается слабо разработанным вопрос о соотношении общих и специфических подходах к оценке и управлению рисками в различных сферах хозяйственной деятельности.

Из всего множества действующих в человеческом сообществе рисков наиболее значимыми и наиболее изученными являются экономические риски. Объектами их воздействия могут быть личность, домохозяйство, имущество, коммерческие структуры, общественные институты, природная среда, общественные отношения, государство. Чаще всего экономические риски отождествляются с рисками коммерческой (предпринимательской) деятельности, либо в структуре экономических рисков выделяются предпринимательские риски.

Необходимо обратить внимание на следующие исключительно актуальные, но недостаточно разработанные аспекты управленческих рисков.

Во-первых, отсутствуют теоретическое обоснование и сравнительный анализ дифференцированных подходов к анализу и управлению рисками в разных сферах хозяйственной деятельности: банковской, инновационной, налоговой, страховании, государственных институтах, отраслях инфраструктуры, производстве товаров и услуг и др.

Во-вторых, проблема рисков при принятии и реализации управленческих решений рассматривается исключительно на корпоративном уровне и не упоминаются управленческие риски в сфере муниципального и государственного управления, не определены специфика управления такими рисками и особый характер данных рисков.

В-третьих, слабо разработанным остается вопрос о механизмах управления рисками на этапе реализации управленческих решений. Проблема управленческих рисков рассматривается только с позиций принятия решения, а подход к стадии реализации управленческого решения представлен лишь вопросами контроля исполнения.

В-четвертых, сохраняется некоторая односторонность при определении области применения комплекса методов и инструментов оценки и измерения управленческих рисков.

Разработаны самые совершенные научные приемы измерения степени риска, масштабов возможного ущерба, определения альтернативных сценариев реализации управленческого решения, оценки эффективности принятого решения. Но при этом доминирует концепция определения принципов и проектирования методов измерения управленческих рисков как универсальных инструментов. Отсутствует четкая их дифференциация и специализация в зависимости от конкретного этапа в технологии управленческих решений.

Каждое из четырех отмеченных выше направлений расширения научного знания об управленческих рисках и его практического применения требует самостоятельного обоснования и рассмотрения.

По первому аспекту следует отметить, что, как правило, принципы и технологии принятия управленческих решений в условиях неопределенности и рисков рассматриваются в научных трудах в абстрактно-схематической форме без сравнительной оценки существующих подходов в разных сферах хозяйственной деятельности.

Рассмотрим более детально второй аспект. Анализ научной литературы привел нас к выводу, что риск как научная категория имеет далеко не однозначное толкование в разных областях научного знания и, соответственно, принципиально разными оказались подходы к определению природы рисков, к их диагностике и формированию комплекса мер по минимизации их последствий.

Можно выделить, как нам представляется, три наиболее ярко выраженные особые сферы проявления рисков: предпринимательская деятельность; государственное и муниципальное управление; естественно-природные процессы. Общим для них является то, что в случае реализации рисковой ситуации наступают те или иные негативные последствия для общества, а само наступление рисковой ситуации носит вероятностный характер, то есть присутствует фактор неопределенности. Но в каждом случае существуют свои специфические «пусковые механизмы» и особый характер протекания опасного процесса, резко различаются его последствия и возможные инструменты противодействия рискам. Такие различия предопределили несовпадение сложившегося понятийного аппарата и концептуальных подходов к интерпретации и исследованию рисков разного типа.

Риски в предпринимательской деятельности совершенно обоснованно рассматриваются как неотъемлемый элемент бизнес-процесса, следовательно должен существовать и действительно существует специальный сегмент управленческой деятельности на корпоративном уровне -риск-менеджмент. Это потребовало разработки и непрерывного совершенствования теоретической базы и комплекса эффективных инструментов для мониторинга рисков, их диагностики, предвидения, минимизации потерь. В научных трудах данного цикла преобладает абстрактный подход без учета необходимости дифференциации технологий в зависимости от вида и сферы предпринимательской деятельности. Отдельные работы посвящены исключительно управлению рисками в конкретной области бизнеса или вида деятельности, например в коммерческих банках, при разработке и реализации инновационных проектов.

Риски естественно-природного происхождения возникают за пределами подвластных человеку явлений и процессов. Поэтому обществу остается лишь пытаться прогнозировать разрушительные природные катаклизмы и по возможности подготовиться к ним, чтобы минимизировать свои потери и причиняемый ущерб.

Специфический характер носит общепринятая интерпретация рисков в области государственного и муниципального управления, что в свою очередь, предопределило особый подход к практике противодействия рискам (табл. 1). Изо всего спектра реально существующих рисков в сфере государственного управления предметом научных исследований стали только риски в деятельности налоговых органов. Причины такой ограниченности достаточно очевидны - не принято анализировать действия государственных служащих в контексте источников риска.

Таблица 1 - Источники рисков и управление рисками в различных сферах


Риски предпринимательской деятельности интерпретируются как управленческие риски, складывающиеся из неэффективных действий лица, принимающего решения, факторов внутренней среды и факторов внешней среды. Подход к пониманию рисков в сфере государственного и муниципального управления совершенно иной. Последние расценивают как угрозы безопасности государству, обществу, личности, возникающие вследствие действия ряда внутренних и внешних факторов. Это различие в видении природы данных двух типов рисков имеет принципиальное значение для формирования концептуальных основ исследования и решения прикладных вопросов экономической практики. Если в предпринимательской сфере акцент делается на управлении рисками с учетом влияния комплекса факторов и роли лица, принимающего управленческие решения, то в сфере государственного управления преобладает подход только с позиции анализа факторов риска, т.е. источников угроз безопасности.

Последнее обстоятельство означает, что в отношении рисков государственного управления подход науки и практики в большей мере совпадает с подходом к рискам естественно-природного характера, чем к предпринимательским рискам. В соответствии с данной концепцией предполагаются следующие выводы:

в бизнесе менеджер может выступать как в роли источника рисков, так и в роли субъекта управления рисками;

в сфере государственного и муниципального управления государственный или муниципальный служащий может выступать только в роли субъекта противодействия рискам (что противоречит реальной действительности как в российской, так и в мировой практике).

Указанная специфика интерпретации природы рисков имеет огромное практическое значение. Ею определяется официальный имидж и статус чиновника, как лица, которое якобы не может быть источником рисков и угроз, а лишь защищает общество от них. Невозможно дать однозначную оценку такой ситуации. С одной стороны, это рациональный и даже необходимый взгляд на должностное лицо в государстве, обеспечивающий доверие и уважение к государственным институтам. С другой стороны, теоретический принцип «непогрешимости» чиновника не соответствует действительности. Общеизвестны факты коррупции, нецелевого использования средств, непрофессионализма, недобросовестности должностных лиц. Более того, если чиновник изначально исключен из круга источников рисков и ответственных за возникновение угроз, это может создавать ощущение безнаказанности и провоцировать его к совершению неправильных действий при принятии решений, последствия которых зачастую многократно превышают тяжесть последствий неправильных действий менеджера корпорации.

Указанные различия в подходах к корпоративным рискам и рискам в сфере муниципального и государственного управления не могут не отразиться на формировании арсенала средств мониторинга, диагностики и противодействия рискам в этих двух разных сферах деятельности.

Управление рисками на предприятиях осуществляется с применением таких инструментов, как методы идентификации риска; оценки вероятности риска; разработка альтернативных вариантов реализации управленческого решения с учетом фактора риска; оценки чувствительности к рискам; оценки возможного ущерба; методы, основанные на теории полезности, теории матричных игр; экспертные методы; методы математического моделирования риска; методы учета субъективных факторов («человеческий фактор»), определяющих эффективность решения; методы определения индекса безопасности; методы прогнозирования риска; классификация видов риск-решений и их возможных последствий и др.

В рамках риск-менеджмента на уровне хозяйствующих субъектов среди внешних источников риска представлена и анализируется группа правовых рисков: изменения в законодательстве, микро- и макроэкономическое регулирование в форме законодательных ограничений (нормы гражданского кодекса, трудового кодекса, федерального закона о внешнеэкономической деятельности и др.), действия надзорных и контролирующих органов. В сфере муниципального и государственного управления принятие решений также урегулировано рядом правовых норм, но в практике исследования рисков в данной сфере правовой фактор не упоминается.

Глава 3. Учет условий неопределённости и риска как фактор процесса подготовки и принятия управленческого решения в системе государственного и муниципального управления

.1 Факторы риска в процессе разработки и принятия управленческого решения

С целью исключения возможности провала либо предупреждения значительного ущерба при принятии решений необходимо анализировать риск и определять его последствия. Назначение анализа риска - дать руководителям и потенциальным партнерам необходимые данные о целесообразности участия в проекте и предусмотреть меры по защите от возможных финансовых потерь. Анализ риска производится в последовательности, приведенной в Приложении 1.

При анализе риска в процессе принятия решений используются следующие принципы:

потери от риска независимы друг от друга;

потеря по одному направлению из «портфеля рисков» не обязательно увеличивает вероятность потери по другому;

максимально возможный ущерб не должен превышать финансовых возможностей участника.

По технологии проведения различают два взаимодополняющих вида анализа рисков: качественный и количественный.

Качественный анализ может быть сравнительно простым, его главная задача - определить факторы риска, этапы и работы, при выполнении которых он возникает.

Количественный анализ означает численное определение размеров рисков отдельных и проекта в целом.

Все факторы, так или иначе влияющие на риск, можно условно разделить на две группы: объективные и субъективные.

К субъективным относятся факторы, характеризующие непосредственно данную фирму. Это производственный потенциал, техническое оснащение, организация труда, его производительность, уровни специализации, техники безопасности и т. д.

Объективные факторы не зависят от деятельности предприятия (инфляция, конкуренция, политические и экономические кризисы). Специалисты признают, что рискованные решения определяются внешней средой и индивидуальными свойствами личности. Мнения расходятся по вопросу о приоритетности влияния этих факторов. Между тем истина находится посередине и состоит в необходимости учета как состояния внешней среды, так и психологических свойств лица, принимающего решение.

В практике принятия рискованных решений придерживаются шкалы допустимого риска, отражающей вид риска и величину связанных с ним потерь (таблица 2).

Таблица 2 - Шкалы допустимого риска

Вид риска

Величина (коэффициент) риска в %

Незначительный

До 5

Малый

5-10

Средний

11-20

Повышенный

21-30

Азартный

Свыше 30


Как правило, большинству рискованных решений соответствует средняя величина риска - в пределах 20%, хотя с учетом специфики ситуации выбор руководителя может быть и иным.

Управленческое поведение при принятии решений в условиях риска отличается некоторой спецификой. На начальном этапе происходит признание рискованной ситуации и оценивается возможность принятия ее для конкретного управляющего. На втором производится оценка степени риска. Третий этап характеризуется выбором действий, которые могут проявляться как по отношению к внешней, так и относительно внутренней среды предприятия. Влияние на внешнюю среду может включать воздействие на линию поведения партнеров при заключении договоров и коммерческих сделок. Приспособление к риску через фактор внутренней среды предполагает сбор дополнительной информации, разработку новых альтернатив, выигрыш во времени и др. Следует иметь в виду, что рискованные операции приносят больше прибыли, чем устоявшиеся, отработанные.

Глубокое рассмотрение особенностей ситуаций, связанных с неопределенностью и риском, позволяет использовать определенные приемы при разработке в этих условиях управленческих решений.

Для оценки степени приемлемости риска выделяют определенные зоны риска в зависимости от ожидаемой величины потерь. На рис. 4 представлены наиболее общие закономерности распределения вероятности потерь прибыли, которую называют кривой риска.

Рисунок 4 - Кривая риска

Зона допустимого риска - область, в пределах которой величина вероятных потерь не превышает ожидаемой прибыли. Зона критического риска - это область возможных потерь, превышающих величину ожидаемой прибыли вплоть до величины полной расчетной выручки (суммы прибыли и затрат). Зона катастрофического риска - область вероятных потерь, которые превосходят критический уровень и могут достигать величины, равной собственному капиталу организации (ситуация банкротства).

Управление рисками включает следующие основные направления деятельности: распознавание, анализ и оценка степени риска; разработка и осуществление мер по предупреждению, минимизации и страхованию риска; кризисное управление (выработка механизмов выживания организации).

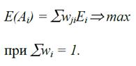
Условия риска и неопределенности характеризуются так называемыми условиями многозначных ожиданий будущей ситуации во внешней среде. В этом случае ЛПР должен сделать выбор одной альтернативы (Аi), не имея точного представления о факторах внешней среды и их влияния на результат. В этих условиях исход, результат каждой альтернативы представляет собой функцию условий - факторов внешней среды (функцию полезности), который не всегда способен предвидеть ЛПР.

Методы принятия решений в условиях риска используют теорию выбора, получившую название теории полезности. В соответствии с этой теорией, ЛПР выбирает Ai из совокупности Ai (i = 1 ... n), если она максимизирует ожидаемую стоимость его функции полезности Yij.

Существует два основных подхода к определению данного показателя: метод дедукции и статистический анализ данных.

Метод дедукции, как известно, не нуждается в экспериментировании, а статистический анализ данных предполагает наличие экспериментов в прошлом и определяет частоту наступления события, которую и принимают за вероятность. После определения вероятности наступления состояния среды Sj, определяют ожидаемую стоимость реализации каждой альтернативы, которая представляет собой средневзвешенную стоимость E(x):


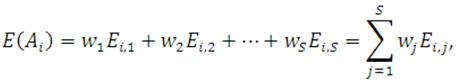
где Eij - результат реализации Ai;- вероятность реализации Ai в условиях Sj.

Оптимальной стратегией является та, которая обеспечивает наибольшую ожидаемую стоимость.


3.2 Подготовка и принятие управленческих решений в условиях неопределённости и риска (на примере отдела муниципального имущества города Москвы)

Отдел муниципального имущества города Москвы (далее - Отдел) является функциональным органом исполнительной власти города Москвы, осуществляющим функции по разработке и реализации государственной политики в области имущественных интересов города Москвы, межотраслевой координации управления собственностью города Москвы, выполнению полномочий собственника в сфере управления и распоряжения движимым и недвижимым имуществом города Москвы, в том числе объектами недвижимого имущества, являющимися объектами культурного наследия (памятниками истории и культуры), за исключением объектов земельных отношений и жилищного фонда; управления государственными унитарными, в том числе казенными, предприятиями города Москвы и государственными учреждениями города Москвы, а также хозяйственными обществами с долей города Москвы в уставных капиталах; приватизации имущества и имущественных комплексов (предприятий) города Москвы; защиты интересов города Москвы в делах о несостоятельности (банкротстве).

Отдел осуществляет свою деятельность в соответствии с Конституцией Российской Федерации, международными договорами, федеральными конституционными и федеральными законами, указами и распоряжениями Президента Российской Федерации, постановлениями и распоряжениями Правительства Российской Федерации, Уставом города Москвы, законами города Москвы, иными правовыми актами города Москвы и настоящим Положением.

Отдел осуществляет взаимодействие с федеральными органами государственной власти, органами государственной власти города Москвы и других субъектов Российской Федерации, органами местного самоуправления, общественными объединениями граждан и иными организациями.

Отдел в целях реализации полномочий в установленной сфере деятельности имеет право:

. Запрашивать в установленном порядке от федеральных органов государственной власти, иных государственных органов, органов власти города Москвы и других субъектов Российской Федерации, органов местного самоуправления, организаций и физических лиц необходимую информацию.

. Вносить в установленном порядке на рассмотрение уполномоченных органов государственной власти города Москвы и должностных лиц органов исполнительной власти города Москвы предложения по вопросам в пределах своей компетенции.

. Создавать совещательные, экспертные и иные рабочие органы.

. Привлекать научные и иные организации, ученых и специалистов в установленном порядке, а также организовывать профессиональные конференции, семинары, выставки города Москвы в сфере управления и распоряжения собственностью, участвовать в работе международных выставок недвижимости.

. Вносить в установленном порядке предложения для формирования тематических планов, прикладных научных исследований и проектов в интересах города Москвы.

. Заключать договоры с физическими и юридическими лицами в целях выполнения возложенных на Отдел полномочий.

. Давать разъяснения федеральным органам государственной власти, органам государственной власти субъектов Российской Федерации, органам местного самоуправления, а также юридическим и физическим лицам.

. Осуществлять иные права в соответствии с федеральными законами, иными нормативными правовыми актами Российской Федерации, законами города Москвы, иными правовыми актами города Москвы.

При принятии решений в условиях отсутствия информации о вероятности появления тех или иных событий используются критерии и правила: максимин (максимум из минимума) - выбор альтернативы из всех худших значений; максимакс (максимум из максимума) - выбор альтернативы с лучшим значением; минимакс (минимизация сожалений по поводу упущенной прибыли) и правило Гурвица (правило оптимизма-пессимизма).

В условиях неопределённости и риска руководителю Отдела необходимо принять решение а области строительства административного здания из нескольких альтернатив.

Возможны следующие варианты решений:

а1: Продолжать строительство здания, соответствующего по качеству нормативам.

а2: Добиться снижения цены путём снижения издержек на строительство и увеличить темп строительства на 10%.

а3: Улучшать качество строительства (с соответственным увеличением цены) при снижении темпов строительства на 15%.

В таблице 3 приведены прогнозируемые показатели прибыли (в тыс. руб.) по каждой альтернативе.

Таблица 3 - Прогнозируемые показатели прибыли

Альтернатива/ Спрос

Низкий

Средний

Высокий

а1

4000

7000

10000

а2

6000

8000

9500

а3

5000

9000

12000


Выберем необходимое решение, используя критерии и правила принятия управленческих решений в условиях неопределённости.

По правилу максимин (критерий Ваальда) из данных альтернатив выбираем ту, которая при самом неблагоприятном состоянии спроса имеет наибольшее значение прибыли. С этой целью в каждой сточке матрицы фиксируем альтернативы с самым маленьким значением прибыли, и из отмеченных минимальных выбираем максимальное. Результаты расчётов представлены в таблице 4.

Таблица 4 - Выбор альтернативы

Альтернатива / Спрос

Низкий

Средний

Высокий

mini

а1

4000

7000

10000

4000

а2

6000

9500

6000*

а3

5000

9000

12000

5000


Максимумом минимальных значений является значение прибыли для альтернативы а2. Следовательно, руководствуясь правилом Вальда, следует принять вторую альтернативу.

В соответствии с правилом максимакс выбирается альтернатива с наивысшим достижимым значением прибыли. Используя это правило, определяют максимальные значения для каждой строки и выбирают наибольшее из них. Данные расчётов представлены в таблице 5.

Таблица 5 - Выбор альтенитивы

Альтернатива/ Спрос

Низкий

Средний

Высокий

mini

а1

4000

7000

10000

10000

а2

6000

8000

9500

9500

а3

5000

9000

12000

12000*


Следуя правилу максимакса, необходимо выбрать третью альтернативу.

В отличие от максимина минимакс (критерий Севиджа) ориентирован на минимизацию не столько потерь, сколько сожалений по поводу упущенной прибыли.

Расчёт минимакса происходит в четыре этапа:

находится лучший результат каждой графы в отдельности;

определяется отклонение от лучшего результата каждой отдельной графы;

для каждой строчки матрицы сожалений находится максимальное значение;

выбирается решение, при котором максимальное сожаление будет меньше других.

Результат расчётов представлен в таблице 6.

Таблица 6 - Выбор альтернативы

Альтернатива / Спрос

Низкий

Средний

Высокий

mini

а1

2000

2000

2000

2000

а2

0

1000

2500

2500

а3

1000

0

0

1000*


В данном случае следует выбрать третью альтернативу.

В соответствии с правилом Гурвица, которое называют также правилом оптимизма-пессимизма, оптимальную альтернативу рассчитывают с помощью коэффициента оптимизма α. Учитывая боязнь риска, целесообразно задавать α=0,3. Наибольшее значение целевой величины и определяет необходимую альтернативу.

Расчётные данные представлены в таблице 7.

Таблица 7 - Выбор альтернативы

Альтернатива / Спрос

Низкий

Средний

Высокий

(1-0,3) miniП

0,3maxiП

(1-0,3) miniП +0,3maxiП

а1

4000

7000

10000

2800

3000

5800

а2

6000

8000

9500

4200

2850

7050

а3

5000

9000

12000

3500

3600

7100*


Согласно критерию Гурвица последняя графа содержит значение целевой величины, получаемой при α=0,3. Наибольшее значение целевой величины в данном случае имеет альтернатива а3.

На основании проведённых расчётов руководитель Отдела делает вывод о том, что альтернатива а3 является наиболее приемлемой и выгодной в данных условиях. Следовательно, Отделу муниципального имущества города Москвы необходимо в ближайшем будущем улучшать качество строительства (с соответственным увеличением цены) при снижении темпов строительства на 15%.

3.3 Рекомендации по снижению факторов риска

Для снижения факторов риска используют два метода: матрица результативности и дерево решений.

Пример матрицы решений приведен в табл. 8.

Таблица 8 - Матрица решений


где A1, A2, AA - альтернативные стратегии действий;, S2, SS - состояние экономики (стабильность, спад, рост и др.);(S1), w(S2), w(SS) - вероятность наступления состояния экономики.

Числа в ячейках матрицы представляют собой результаты реализации Ai стратегии в условиях Sj. При этом, в условиях риска вероятность наступления Sj известна, а в условиях неопределенности эта вероятность может быть определена субъективно, в зависимости от того какой информацией располагает ЛПР. В условиях риска при принятии решения основным моментом является определение вероятности наступления состояния среды Sj, т.е. степени риска.

При принятии решений в условиях риска после определения предполагаемой стоимости E(Ai) и степени риска v встает проблема определения компромисса между риском и прибылью. Как правило, получение больших доходов сопровождают более высокие значения степени риска, поэтому решения ЛПР будет зависеть не только от расчета показателей E(Ai), но и от финансового состояния предприятия. Экономическая теория разработала так называемые кривые рыночного безразличия описывающие необходимую прибыль (доход) как функцию риска. Но на практике они мало применимы из-за высокой степени абстракции.

Следующий метод, применяемый для принятия решений в условиях риска, носит название дерева решений. Его применяют тогда, когда необходимо принимать последовательный ряд решений. Дерево решений - графический метод, позволяющий увязать точки принятия решения, возможные стратегии Ai, их последствия Yij - с возможными факторами, условиями внешней среды. Построение дерева решений начинается с более раннего решения, затем изображается возможные действия и последствия каждого действия (событие), затем снова принимается решение (выбор направления действия) и т. д., до тех пор, пока все логические последствия результатов не будут исчерпаны.

Дерево решений - это схематическое представление процесса принятия последовательных решений, когда каждое решение зависит от исхода предыдущих решений. Дерево решений позволяет учесть различные направления действий, и на основе финансовых результатов каждого из них и вероятности их наступления сравнить альтернативы и выбрать лучшую последовательность действий. Построение дерева осуществляется слева направо, от корня (исходного момента принятия решения) по ветвям (возможные альтернативные решения), а расчет эффективности - от ветвей к корню. Элементами дерева являются:

действия, отвечающие на вопрос: «каков выбор?»; вилка действий (решений) отображается квадратом с исходящими из него возможными действиями;

события (исходы развития ситуации), на которые ЛПР не может влиять, с указанными вероятностями их совершения, позволяющими рассчитать средние результаты действий в условиях неопределенности хода последующего развития ситуации; вилка событий на дереве отображается кружком с исходящими ветвями;

последствия действий - оценочные показатели результатов принятия решений в различных ситуациях и в среднем (отображаются цифрами на концах ветвей и рядом с вилками действий и событий);

критерии оценки, отображающие предпочтения ЛПР или стратегию его действий; функция предпочтения показывает зависимость выгодности решения, по мнению ЛПР, относительно финансовых или иных последствий; с помощью данной функции денежная шкала, характеризующая безразличную (рациональную) стратегию, заменяется шкалой предпочтений.

Коэффициент вариации вычисляется в процентах и характеризует показатель риска для каждой стратегии. Чем выше значение коэффициента вариации, тем более рискованное решение принимает ЛПР.

Заключение

управленческий муниципальный решение риск

Итак, управленческое решение означает подготовку совокупности оценок и выводов о текущем и будущем состоянии объекта управления и принятие уполномоченным лицом окончательного и обязательного для исполнения постановления об управляющем воздействии на объект управления.

Принимаемые органами государственного и муниципального управления управленческие решения фиксируются в распорядительных документах, основное назначение которых состоит в реализации целей и задач, регулировании деятельности объекта управления, обеспечении его финансовыми, трудовыми, материальными и информационными ресурсами. К формам разработки управленческих решений относят: указ, закон, приказ, распоряжение, указание, акт, акцепт, протокол, инструкцию, договор, соглашение, план, контракт, оферту, положение, правила, модель.

В принятии управленческих решений достаточно важным вопросом является технология этого процесса, поскольку только ее наличие позволяет контролировать процесс и управлять им. В науке принятия управленческих решений имеется теория процедурной рациональности и «теория перспектив» Даниеля Канемана.

Под технологией разработки управленческих решений понимается последовательность действий, которые приводят к выбору и реализации оптимальной альтернативы, а также анализа и определения эффективности на основе данных обратной связи.

Применение процессного подхода к управлению позволяет значительно сократить штат сотрудников, что влечет за собой снижение затрат на фонд оплаты труда. В современных условиях постоянной модернизации производства и применения нового оборудования внешнее обучение сотрудников имеет значительный удельный вес в общей структуре затрат. Предприятия, использующие процессный подход к управлению, получают возможность снизить затраты на внешнее обучение персонала за счет организации внутреннего.

Риск теснейшим образом связан с неопределенностью. Однако нередко эта связь интерпретируется односторонне. Так, в одних случаях неопределенность представляется как причина риска. Формулируя аксиомы теории риска, представляется возможным связать возникновение неопределенности с субъектом, а риск - с неопределенностью.

Рискованные ситуации всегда связаны с предпринимательской и управленческой деятельностью, когда предприниматель или менеджер рискуют потерять вложенные средства ради получения прибыли и достижения других целей.

Сталкиваясь с неопределенностью, руководитель может использовать две основные возможности. Во-первых, попытаться получить дополнительную необходимую информацию и еще раз проанализировать проблему. Этим часто удается уменьшить новизну и сложность проблемы. Руководитель сочетает эту дополнительную информацию и анализ с накопленным опытом, способностью к суждению или интуицией, чтобы придать ряду результатов субъективную или предполагаемую вероятность и действовать уже в условиях «остаточной неопределенности». Вторая возможность - действовать в точном соответствии с прошлым опытом, суждениями или интуицией и сделать предположение о вероятности событий. Тогда неопределенность трансформируется в категорию «риск», просчитывается и, при необходимости, страхуется.

В структуре управленческих решений существенным элементом является разрешение проблем, связанных с фактором неопределенности, требующим предотвращения или минимизации последствий различного рода рисков. Нарастание сложности и неопределенности условий хозяйственной деятельности ведет к усилению управленческих рисков как в сфере предпринимательской деятельности, так и в области муниципального и государственного управления. Несмотря на наличие многочисленных научных трудов по данному вопросу, определенные аспекты этой актуальной проблемы требуют дальнейшего исследования. В частности, в теории рисков остается слабо разработанным вопрос о соотношении общих и специфических подходах к оценке и управлению рисками в различных сферах хозяйственной деятельности.

Все факторы, так или иначе влияющие на риск, можно условно разделить на две группы: объективные и субъективные.

К субъективным относятся факторы, характеризующие непосредственно данную фирму. Это производственный потенциал, техническое оснащение, организация труда, его производительность, уровни специализации, техники безопасности и т. д.

Объективные факторы не зависят от деятельности предприятия (инфляция, конкуренция, политические и экономические кризисы). Специалисты признают, что рискованные решения определяются внешней средой и индивидуальными свойствами личности. Мнения расходятся по вопросу о приоритетности влияния этих факторов. Между тем истина находится посередине и состоит в необходимости учета как состояния внешней среды, так и психологических свойств лица, принимающего решение

На основании проведённых расчётов руководитель Отдела делает вывод о том, что альтернатива а3 является наиболее приемлемой и выгодной в данных условиях. Следовательно, Отделу муниципального имущества города Москвы необходимо в ближайшем будущем улучшать качество строительства (с соответственным увеличением цены) при снижении темпов строительства на 15%.

Для снижения факторов риска используют два метода: матрица результативности и дерево решений.

Список используемых источников и литературы

1.      Афоничкин А.И., Михаленко Д.Г. Управленческие решения в экономических системах: учеб. для вузов. - СПб.: Питер, 2009.

.        Богомазов С.В. Формирование условий для принятия эффективных управленческих решений // Российское предпринимательство. - 2010. - №2.

.        Бородушко И.В. Разработка и принятие управленческого решения в условиях неопределенности. - М., 2012.

.        Герчикова И.Н. Менеджмент. Учебник. 5-е изд., перераб. и доп. - М.: ИНФРА-М, 2009.

.        Грицук Т.В. Система государственного и муниципального управления. - М.: РДЛ, 2011.

.        Дульзон А.А. Разработка управленческих решений. - Томск, 2009.

.        Зобнин А.В. Основы информационно-аналитической работы в органах государственного и муниципального управления Российской Федерации: учеб. пособие. - Иваново, 2010.

.        Зотов В.Б. Система муниципального управления. - СПб.: Питер, 2010.

.        Коняхин В.В. Эффективны ли управленческие решения? Политические акторы в системе государственного и муниципального управления // Вестник Тамбовского университета. Серия: Гуманитарные науки. - 2011. - №5.

.        Кортни Х., Керкленд Дж., Вигери П. Стратегия в условиях неопределенности. - М., 2009.

.        Лапыгин Ю.Н., Лапыгин Д.Ю. Управленческие решения. - М., 2009.

.        Лобанов А.А. Энциклопедия финансового риск-менеджмента. - М., 2007.

.        Лукичева Л.И., Егорычев Д.Н. Управленческие решения: учебник. - М.: Омега-Л, 2009.

.        Магданов П.В. Управленческое решение: понятие и определение // Вестник Оренбургского государственного университета. - 2011. - №8.

.        Наумов С.Ю. Система государственного управления. - М.: ФОРУМ, 2009.

.        Омаров М.М., Сергеев В.Ю. Концепция реализации управленческих решений в предпринимательских структурах // Российское предпринимательство. - 2011. - №1.

.        Омарова Н.Ю., Гнидковский В.Н. Формирование и диагностика системы риск-менеджмента. - М.: AcademicPublishing, 2011.

.        Острина И.А., Руднев А.В. Управление муниципальной собственностью. - М.: ГАУ, 2010.

.        Пикулькин А.В. Система государственного управления: учебник для вузов. 3-е изд., перераб. и доп. - М.: ЮНИТИ-ДАНА, 2010.

.        Прохоров Ю.К., Фролов В.В. Управленческие решения. -СПб.: СПбГУ ИТМО, 2011.

.        Рой О.М. Система государственного и муниципального управления. - СПб.: Питер, 2011.

.        Рольщиков В.Е. Принятие решения в условиях риска и неопределенности. - М., 2011.

.        Саак А.Э. Тюшняков В.Н. Разработка управленческого решения. - СПб.: Питер, 2008.

.        Стецык И.О. Преимущества внедрения процессного подхода к принятию управленческих решений на предприятии // Известия Волгоградского государственного технического университета. - 2011. - №12.

.        Ханова А.А. Структурно-функциональная модель сбалансированной системы показателей для принятия управленческих решений // Вестник Астраханского государственного технического университета. Серия: Управление, вычислительная техника и информатика. - 2012. - №1.

.        Цыгичко В.Н. Руководителю о принятии решений. -3-е изд., перераб. и доп. - М.: URSS, 2010.

.        Чавкин А.М. Методы и модели рационального управления. - М.: ЮНИТИ, 2008.

.        Шеремет А.Д. Теория экономического анализа: учебник. -3-е изд., доп. - М.: Инфра-М, 2011.

.        Шоломицкий А.Г. Теория риска. Выбор при неопределенности и моделирование риска: учеб. пособие. - М.: ГУ-ВШЭ, 2007.

.        Юкаева В.С. Управленческие решения: учеб. пособие. - 5-е изд. - М.: «Дашков и К», 2010.

Приложение

Последовательность проведения анализа риска


Похожие работы на - Подготовка и принятие управленческого решения в системе государственного и муниципального управления

 

Не нашли материал для своей работы?
Поможем написать уникальную работу
Без плагиата!
Без нейросетей!