Мультимедиа представление поэтапного возведения плавучего здания

  • Вид работы:
    Дипломная (ВКР)
  • Предмет:
    Информационное обеспечение, программирование
  • Язык:
    Русский
    ,
    Формат файла:
    MS Word
    1,18 Мб
  • Опубликовано:
    2015-07-27
Вы можете узнать стоимость помощи в написании студенческой работы.
Помощь в написании работы, которую точно примут!

Мультимедиа представление поэтапного возведения плавучего здания

Министерство образования и науки Российской Федерации

Казанский государственный архитектурно-строительный университет

Кафедра: «Информационные технологии и системы автоматизированного проектирования»







Пояснительная записка к бакалаврской работе

На тему:

Мультимедиа представление поэтапного возведения плавучего здания












Казань 2015 г.

РЕФЕРАТ

Пояснительная записка: 68 c., ил. 17, табл. 8., библ. названий 12.

Ключевыми словами в бакалаврской работе стали следующие слова:

Стальной понтон, легкие стальные тонкостенные конструкции, автономные коммуникации, 3d моделирование, технология возведения плавучего здания, семейства компонентов, визуализация, анимация

Объектом разработки является мультимедиа представление поэтапного возведения плавучего здания.

Цель работы - создать мультимедиа представление поэтапного возведения плавучего здания.

Метод разработки - компьютерное моделирование.

Средства реализации - Autodesk Revit Architecture, Аutodesk 3ds Max.

Полученные результаты и их новизна:

создана трехмерная модель стальных понтонов;

создана трехмерная модель двухэтажного здания из легких стальных тонкостенных конструкций;

создано мультимедийное представление поэтапного возведения плавучего здания;

новизна состоит в создании мультимедийного представления о поэтапном возведении плавучего здания на стальных понтонах.

Степень внедрения - планируется использование результатов БР в учебных целях в КазГАСУ; для проектировщиков - как наглядное представление технологии возведения плавучего дома; а также использование как части презентации строительных проектов с целью привлечения инвесторов.

Эффективность внедрения результатов БР оценивается следующими показателями:

повышение уровня усваиваемости материалов студентами;

повышение уровня наглядности исследуемого объекта.

Область применения - в учебном процессе в строительных ВУЗах страны.

Основные системные и технико-экономические характеристики:

- операционная среда Windows 7;

Autodesk Revit Architecture, Аutodesk 3ds Max;

- затраты на проектирование мультимедийного проекта - 214 тыс. руб.;

срок окупаемости - 0,6 года (8 месяцев);

СОДЕРЖАНИЕ

ВВЕДЕНИЕ

. ИССЛЕДОВАНИЕ КОНСТРУКТИВНОГО РЕШЕНИЯ, ПОЭТАПНОГО ВОЗВЕДЕНИЯ ПЛАВУЧЕГО ЗДАНИЯ И МЕТОДОВ ЕГО КОМПЬЮТЕРНОГО МОДЕЛЛИРОВАНИЯ

1.1 Анализ программных продуктов для создания наглядного представления процесса технологии плавучего здания

.2 Исследование объемно-планировочного, конструктивного решения здания

.2.1 Общая характеристика здания

.2.2 Архитектурное и объемно-планировочное решения

1.2.3 Конструктивное решение здания

.3 Устройство понтонов

.3.1 Этапы возведения здания

2.ПРОЕКТНЫЙ РАЗДЕЛ

2.1 Разработка 3D модели здания

.2 Реализация мультимедиа представления поэтапного возведения плавучего здания

2.2.1 Написание сценарий ролика

.2.2 Разработка раскадровки

.2.3 Создание основных объектов ролика

.2.4 Формирование геометрической модели сцены

.2.5 Настройка освещения и съемочных камер

3. ОЦЕНКА ЭКОНОМИЧЕСКОЙ ЭФФЕКТИВНОСТИ РЕАЛИЗАЦИИ ПРОЕКТА

3.1 Резюме

.2 Общая характеристика отрасли, продукции

.2.1 Характеристика отрасли

3.2.2 Описание продукции

3.3 Организационный план

.3.1 Деловое расписание

.4 Финансовый план

.4.1 Оценка финансовой состоятельности инвестиционного проекта

.5 Коммерческая эффективность проекта

.5.1 Бюджетная эффективность

.6 План по рискам

.6.1 Расчет ставки дисконтирования

.6.2 Анализ чувствительности

4. ОБЕСПЕЧЕНИЕ БЕЗОПАСНОСТИ ЭКСПЛУАТАЦИИ ПЛАВУЧЕГО ЗДАНИЯ НА ВОДЕ

4.1 Мероприятия по безопасной эксплуатации зданий на воде

.2 Основные правила безопасности на воде для семейного отдыха

.3 Действия при крушении плавучего средства

.4 Обеспечение безопасности на водном транспорте

ЗАКЛЮЧЕНИЕ

СПИСОК ИСПОЛЬЗОВАННОЙ ЛИТЕРАТУРЫ

ПРИЛОЖЕНИЕ

ВВЕДЕНИЕ

 

Плоды технической фантазии всегда стремились перейти на бумагу, затем и воплощаться в жизнь. Раньше, представить, каким будет дом или интерьер комнаты мы могли лишь по чертежу или рисунку, а сейчас, с появлением трехмерного моделирования стало реальным создать объемное изображение сооружения.

D модели отличаются точностью и дают возможность лучше представить, каким будет проект, реализованный в жизнь, внести любые исправления. 3D модель производит большее впечатление, чем все остальные способы презентации будущего проекта.

Что такое 3d моделирование?

Это создание с помощью компьютерных программ объемной виртуальной модели. В основу входят рисунки, фотографии, чертежи, подробные описания. Специалисты по компьютерной графике, опираясь на эти данные, создают объемную геометрическую модель. Модель можно посмотреть в специальной программе, поместить в любое окружение, анимировать. Где применяется 3d моделирование?

Сегодня, 3D модели используются в большом количестве областей. Медицинская область использует модели органов; они могут быть созданы с 2 ми частями изображения из MRI или компьютерной томографии. Киноиндустрия использует их в качестве знаков и объектов для мультипликационных и кинофильмов. Промышленность видеоигры использует их в качестве активов для компьютерных игр. Научный сектор использует их в качестве моделей химических соединений. Промышленность архитектуры использует их, чтобы показать предложенные здания и пейзажи через программу "Архитектурные Модели". Техническое сообщество использует их в качестве проектов новых устройств, транспортных средств и структур и т.д. За последнее время сообщество науки о Земле начало создавать 3D геологические модели как привычную практику. 3D модели могут быть основой для физических устройств, реализованные с 3D принтерами или машинами CNC. Наглядная визуализация трехмерного пространства производит впечатление на клиентов. При помощи 3d моделирования можно еще до начала строительных либо работ оценить, как все это будет выглядеть потом. Если необходимо, то можно внести поправки уже на этапе обсуждения проекта.

Цель: создать мультимедиа представление поэтапного возведения плавучего здания.

Задачи:

1)   Провести анализ программных продуктов для реализации проектов мультимедиа при представлении процесса поэтапного возведения здания;

2)      Исследовать объемно-планировочное, конструктивное решения плавучего здания;

)        Исследовать технологии возведения здания на стальных понтонах;

)        Разработать трехмерную модель здания;

)        Реализовать мультимедиа представление поэтапного возведения плавучего здания;

)        Оценить экономической эффективности реализации проекта;

)        Определить условия обеспечения безопасности эксплуатации плавучего здания на воде.

Создание мультимедиа представления позволит вывести на новый уровень процесс изучения строительных процессов благодаря наглядности будущего видеоролика.


1. ИССЛЕДОВАНИЕ КОНСТРУКТИВНОГО РЕШЕНИЯ, ПОЭТАПНОГО ВОЗВЕДЕНИЯ ПЛАВУЧЕГО ЗДАНИЯ И МЕТОДОВ ЕГО КОМПЬЮТЕРНОГО МОДЕЛЛИРОВАНИЯ


1.1    Анализ программных продуктов для создания наглядного представления процесса технологии плавучего здания


Для создания информационной модели необходимо выбрать наиболее подходящий и эффективный программный продукт, учесть нюансы, которые могут встретиться на пути реализации проекта и в дальнейшем его использовании.Revit Architecture принадлежит семейству программ, выступающих ядром технологии информационного моделирования зданий Autodesk Revit, в которое также входят Revit Structure и Revit МЕР. Они позволяют прорабатывать и изучать концепции будущих конструкций и зданий.

Revit Architecture ориентирован на работу с архитектурной частью проекта.Structure - ориентирован на проектирование и анализ конструкций.Программа для проектирования зданий Revit основана на технологии моделирования сооружений и включает в себя возможности для проектирования архитектурных элементов, инженерных систем и строительных конструкций.Revit Architecture дает возможность сосредоточиться на проектировании зданий, не уделяя при этом слишком много времени на обучение. В этом программном пакете имеется возможность работы с любым видом, корректировать на любом этапе разработки проекта, изменять основные строительные компоненты, а также формировать рабочие чертежи на основе 3 D моделирования.

Интерфейс имеет удобную организацию, обеспечивая большую площадь графической области и простой доступ к командам и инструментам.

Библиотека материалов Autodesk Revit насчитывает более 1200 компонентов, что позволяет создавать наиболее реалистичную картинку модели здания.

Данный продукт подходит для 3D моделирования монолитного здания, так как имеет обширную библиотеку типовых строительных элементов (колонны, плиты, стены). При этом возможно создавать новые семейства компонентов по шаблонам и использовать их в дальнейшем.

Однако Autodesk Revit Architecture не имеет возможностей для создания видеопрезентации процессов возведения здания. Присутствует только возможность анимации на уровне облета здания или прогулки внутри здания.3ds Мах обладает обширными средствами по созданию разных по форме и сложности трёхмерных компьютерных моделей реальных или фантастических объектов окружающего мира с использованием разнообразных техник и механизмов. В сфере строительства данной программой пользуются в основном дизайнеры и архитекторы. Программа 3ds Мах была разработана профессиональными инженерами, поэтому она позволяет производить точный расчёт планировки помещений.

1.2 Исследование объемно-планировочного, конструктивного решения здания

.2.1 Общая характеристика здания

Плавучий дом является полноценным судном, которое используется в качестве постоянного жилья. Одно из главных преимуществ такого дома является мобильность, благодаря автономным системам коммуникации, электричества и канализации.

Роль канализации выполняют специальные емкости для сточных вод. Система биологической очистки сточных вод подходит для плавучего дома круглогодичной эксплуатации без централизованной канализации. Проточного типа с производительностью 1м3 в сутки септик обслуживает до 12 человек.

Питьевая вода в дом поступает из реки через фильтры, расположенные в самих понтонах. Доступ к фильтрам обеспечивается через люки, установленные при возведении дома. В свою очередь фильтры нужно периодически очищать.

Электричество в доме также является автономным, благодаря дизельному генератору. Генераторы, работающие от дизельного топлива достаточно удобны и безопасны.

Для этого необходимо горючее залить в топливный бак, откуда оно, попадает в камеру внутреннего сгорания. Выделяемое при сгорании тепло преобразуется в электроэнергию.

Отопление в доме осуществляется с помощью электрических конвекторов. Электрический конвектор это обогреватель, работающий на электричестве. Электрические конвекторы обеспечивают естественную циркуляцию воздуха. Теплый воздух поднимается вверх из верхней части конвектора, а на его место снизу приходит холодный, который в свою очередь тоже нагревается.

В конвекторе, в отличие от радиатора, теплоносителем заполнен не весь прибор, а только внутренняя труба. За счет этого расход энергии на отопление значительно экономится. Устанавливаются электрические конвекторы под окнами, так как окна являются источником холода.

Во избежание замерзания воды возле плавучего дома используются специальные "антиледовые" устройства.

Благодаря двум подвесным моторам, мощностью 50 лошадиных сил и находящиеся в задней части здания, плавучий дом приобретает такую особенность, как самоходность.

Пост управления домом находится на первом этаже: здесь расположены штурвал, рычаги, кнопки управления различными механизмами, навигационное оборудование.

.2.2 Архитектурное и объемно-планировочное решения

Плавучий дом - современный и комфортабельный двухэтажный дом, состоящая из двух этажей, общая площадь которых 105 кв.м. Планировочная схема здания соответствует нормативным документам и обеспечивает комфортное проживание семьи.

Характерная черта проекта - уникальный, запоминающийся европейский дизайн, придающий легкость сооружению, в то же время конструкция плавучего дома сохраняет способность противостоять суровой русской зиме. Экологическая вата имеет отличные технические характеристики, которая обеспечивает идеальную теплоизоляцию надстройки.

Плавучий дом укомплектован необходимыми якорными и швартовными устройствами, сигнальными огнями, спасательными средствами и предметами снабжения.

На втором этаже сконструирован балкон. На первом и втором этажах расположены витражные окна и двери, что придает дому современность и привлекательность.

Рис. 1. План 1 этажа

Рис. 2. План 2 этажа

 

.2.3. Конструктивное решение здания

Таблица 1

Основные характеристики плавучего здания

название

Плавучее здание

тип строения

малоэтажное

основное использование

жилой

этажность (над водой)

2

этажность (под водой)

0

архитектурный стиль

модернизм

материал каркаса

легкие стальные тонкостенные конструкции

высота (архитектурная)

7,5 м

высота (до верхнего этажа)

3 м

общая площадь

105 м2


В качестве каркаса дома используются легкие стальные тонкостенные конструкции (ЛСТК). При использовании строительства ЛСТК в несущих конструкциях используются тонкостенные профили со сквозными прорезями, выполненными в шахматном порядке (Рис. 3). Таким образом, в конструкции значительно увеличивается путь прохождения тепловых потоков, что улучшает более чем втрое теплотехнические свойства стеновой панели, а также и её звукопоглощающие свойства.

Рис. 3. Термопрофиль

Система ЛСТК современна и популярна во многих странах в качестве удобного технологичного и быстрого способа возведения зданий.

Как всякая строительная технология, имеет преимущества и недостатки.

1. Основное преимущество технологии - скорость строительства. Лёгкие конструкции из прочной стали позволяют построить дом в 100 кв. м за две - три недели, причём усилиями одной рабочей бригады из 4 человек.

2.      Такая быстрая возводимость строения не мешает ему быть прочным и устойчивым к негативным воздействиям внешней среды, таким как сейсмоактивность, влага, ветер (что не маловажно для плавучего дома).

.        Технология достаточно экономична. Её использование предполагает весомое снижение затрат на материалы. Кроме того, технология ЛСТК требует небольшого расхода стали, что также снижает общую стоимость строительства. Расход стали при строительстве одноэтажного жилого дома по технологии ЛСТК не превышает 30 кг.

.        Так как стальные тонкостенные профили имеют высокие прочностные характеристики, конструкция здания получается также весьма надёжной и прочной.

.        "Сухая стройка" так можно охарактеризовать весь циклстроительно-монтажных работ, выполняемые по данной технологии. Отсутствие жидких и льющихся компонентов и материалов исключает проблемы с влажностью и, следовательно, с проблемами сырости, грибков и плесени.

.        Конструкции имеют малый вес. Это в первую очередь позволяет снизить затраты на возведение мощных фундаментов, что существенно удешевляет строительство. Для малоэтажных зданий, возводимых по данной технологии достаточно лёгкого малозаглубленного фундамента.

.        Технология ЛСТК относится к ресурсосберегающим, так как сталь расходуется очень экономно.

.        Огнестойкость и экологичность

.        Существенное отличие технологии ЛСТК от других, даже современных, в том, что такие конструкции обладают высокой огнестойкостью. Огнестойкость достигается наличием каркаса из металлических профилей. В каркасе отсутствуют горючие материалы. Кроме того, каркас из ЛСТК препятствует распространению огня. Время предохранения от возгорания соседних с очагом пожара помещений составляет около двух часов. Точное время защиты будет зависеть от материалов стеновых панелей и частоты расположения профилей в каркасе.

.        Конструкции выполняются на высокоточном заводском оборудовании, поэтому имею т точные размеры и очень стабильны, сохраняются практически на весь период службы здания.

.        Само строительство очень экологично. на строительной площадке отсутствует мусор, не образуются никакие технологические отбросы.

Сегодня необходимы не только новые технологии, но и новые экономические подходы к строительству. Необходимо применять одновременно и качественные материалы, и экономичные технологии, и точные инженерные решения. Строительство по технологии ЛСТК обладает всеми этими требованиями.

В качестве утеплителя дома используется экологическая вата. Прежде всего, потому, что эковата экологична и не вызывает аллергию. Также немаловажное значение имеет вопрос цены - эковата весьма доступный утеплитель, по сравнению с иными аналогами. Кроме того, эковата обеспечивает бесшовное утепление металлических конструкций из ЛСТК, что существенно увеличивает скорость проводимых работ по утеплению. Эковата имеет отличные технические характеристики: хорошие теплоизоляционные и шумоизоляционные свойства. Для использования в виде утеплителя эковаты не требуется специальных навыков. Производится эковата из обработанного древесного волокна (целлюлоза), с добавлением антипиренов и антисептика. Следующий этапом отделки является - гидроизоляционная мембрана. Её основная функция - защита от внешней влаги внутреннего пространства. После - пароизоляионный материал. Он предназначен для защиты от наружной влаги (снег, капли воды, конденсат), которая может проникать под кровельное покрытие при экстремальных погодных условиях (сильный ветер или косой ливень). Затем для отделки внутренних стен применяется гипсоволокно в два слоя, благодаря которому повышается уровень теплоизоляции и степень прочности дома.

Облицовка фасадов дома выполнена с применением сайдинга, который является не только стильным и эффектным декором, но и позволяет сохранить в доме тепло.

1.3 Устройство понтонов


В технологии плавучего дома роль фундамента играют модульную стальные понтоны. Важно чтобы дом был автономным и мобильным, поэтому более приемлемо использовать металлические понтоны. Они легче по массе, чем бетонные, что позволяет легко извлекать их из воды при суровых зимних условиях. Металлические понтоны, несмотря на высокую прочность, довольно легко разбираются. Они снабжены надежными замками, которые защищены от самостоятельного раскрывания. Не стоит бояться появления ржавчины - все металлические поверхности устойчивы к коррозии.

Понтоны плавающие металлические имеют и другие плюсы:

· поддаются ремонту;

·        прочны и надёжны;

·        универсальны в строительстве;

·        легки в перемещении;

·        относительно дешевы.

Производство понтонов начинается с листов стали. На специальном станке они приобретают форму трубы, затем трубы устанавливаются на конвейер для равномерной сварки. Затем на специальном устройстве изготавливается передние части понтонов - носовые обтекатели.

Далее носовой обтекатель делают водонепроницаемым с помощью ручной сварки вольфрамовым электродом. Ребристая поверхность хвостовой части камеры обеспечивает дополнительную защиту от проникновения воды. Гидравлический пресс плотно состыковывает отсеки камеры. Затем их сваривают в плавучие камеры. Поверх труб привариваются специальные выступы для крепления будущего возводимого дома. Каждый отсек накачивается сжатым воздухом, чтобы проверить герметичность. Затем трубы поливаются мыльным раствором, который будет пузыриться в случае утечки воздуха. Затем поверх понтонов происходит монтаж металлической конструкции, которая выдержит вес всего, что будет находиться выше.

1.3.1 Этапы возведения здания

Перечислим основные этапы сооружения ЛСТК:

.  Проектирование ЛСТК

2.      Сборка каркаса

.        Монтаж кровли

4. Монтаж наружной обшивки.

. Остекление и монтаж дверей.

. Прокладывание инженерных коммуникаций.

. Утепление.

. Внутренняя отделка.

Разработка эскизного проекта ведется архитекторами проектной организации.

Состав проектной документации включает в себя:

· Пояснительная записка

·        Ситуационный план с прилегающими территориями

·        Проект генеральный план

·        Поэтажные планы с экспликациями помещений

·        Разрезы здания

·        Фасады

·        Варианты цветовых и объемных решений фасадов.

ЛСТК технология использует несколько видов металлических профилей. Сборка происходит в соответствии с чертежами. Главный инструмент сборки - отвёртка и шуруповёрт.

Для сооружения каркаса использутся профили С и U, S и Z. Толщина металла в профилях не превышает 3-4 мм. Главное новшество энергоэффективности ЛСТК - это применение тёплого металлического профиля.

Металл является хорошим проводником тепла и холода. Для того чтобы дом получился тёплым, металлический профиль выполняют с отверстиями, расположенными в шахматном порядке. Такой профиль называют термопрофилем, его использование сокращает теплопотери (на 90% меньше, чем у сплошного металлического листа). Коэффициент сопротивления теплопередаче у металлического ЛСТК профиля с отверстиями такой же, как у деревянной балки.

.

Рис. 4. Термопрофиль

Каркас ЛСТК состоит из вертикальных и горизонтальных элементов. Вертикальные опорные стойки изготавливают из С-профиля (ТПС), горизонтальные - из U-образного (ТПП). Горизонтальные перекрытия называют обвязкой и монтируют внизу и вверху стоек. Нижняя обвязка крепится непосредственно к фундаменту анкерными болтами по углам и вдоль стены.

Кроме традиционных С- и U-образных профилей, ЛСТК технология использует Z-профиль (ТПZ), он соединяет разноуровневые поверхности. Шляпный профиль ПШ является обрешёткой для кровли и настенного профлиста. Жёсткость готового каркаса обеспечиваются с помощью панельных ферм, краевые балки, жёсткие диски перекрытий.

На этапе проектирования утверждается электротехническая схема дома, водопровод, канализация. Все эти магистрали прокладывают внутри стен. Для этого в профилях высверливают небольшие отверстия.

После прокладки внутренних коммуникаций приступают к закладке утеплителя внутрь стен. Затем стены затягивают снаружи ветро- гидрозащитной пленкой, а изнутри - пароизоляционной пленкой. Эти покрытия защищают толщу утеплителя от контакта с водой, которая ухудшает его теплопроводные качества.

Данная обшивка предназначена для защиты конструкции от неблагоприятных погодных условий и для придания жёсткости стенам. В качестве обшивки могут использоваться водостойкие ОСБ плиты, цементно-стружечные плиты или плиты ФСФ. Для внутренней обшивки применяют ГКЛ, древесноволокнистые листы и иные отделочные стройматериалы.

1.4 Регистрация плавучего дома

Плавучий дом является плавсредством и позволяет своим владельцам экономить на налогах на недвижимость, не требует разрешения на строительство и при получении соответствующего разрешения (аренды стоянки).

С точки зрения российского законодательства плавучий дом - это маломерное несамоходное судно, если его длина не превышает 20 метров и вместимость (по количеству спальных мест) не превышает 12 человек. Маломерное судно - плавучий дом необходимо зарегистрировать в ГИМС (государственной инспекции маломерных судов) и периодически проходить техосмотр. Для регистрации плавучего дома необходимо договор купли-продажи, технический паспорт, удостоверение личности владельца, ИНН, и квитанция за уплату госпошлины пропорциональной типу судна. После регистрации плавучего дома в ГИМС нужно получить судовой билет. Судовой билет утверждает право плавучего дома поднимать Государственный флаг Российской Федерации, удостоверяет принадлежность плавучего дома на праве собственности указанному в нем судовладельцу и вместимость плавучего дома. На борту плавучего дома должна находиться нотариально заверенная копия судового билета.

Так как плавучий дом является маломерным судном, то можно причалить на нем в любое место, где не запрещена стоянка и плавучий дом не будет мешать судоходству. Вероятно, что плавучий дом заинтересует местных чиновников и всевозможных контролеров. Необходимо заключить договор с местной администрацией, договор о водопользовании на 20 лет на основании главы 3 Водного кодекса РФ (ФЗ №74 от 03.06.2006). Статьи 11.1 и 11.2 главы 3 Водного кодекса допускает предоставление акватории в пользование для рекреационных целей, в частности для создания стационарных и (или) плавучих платформ на землях, покрытых поверхностными водами. Также необходимо платить транспортный налог, который будет исчисляться исходя из объема плавучего дома (1 рег. т = 2,83 куб. метров).

1.5 Особенности плавучего здания при эксплуатации на воде

1.      Плавучее здание на основе понтона обеспечивает прочность и стойкость в зимний период за счет прочного металла как сталь, а также служит для отдыха своих владельцев - для купания в проруби.

Рис. 5. Плавучий дом в зимнее время

.  С учетом того, что плавучее здание имеет значительный вес, то волны и ветер на него практически не оказывают влияния.

3.      Во время волн смещения стен дома не происходит, разве что легкое пошатывание всего судна.

.        Понтон погружается в воду всего на 50-70 сантиметров, благодаря чему можно причалить к любому участку берега без опасений сесть на мель.

2.      ПРОЕКТНЫЙ РАЗДЕЛ


Основным этапом при реализации БР является создание мультимедиа представления. С целью упрощения процесса проектирования данный этап разделяется на две основополагающие стадии:

2.1    Разработка 3D модели здания;

2.2    Реализация мультимедиа представления поэтапного возведения плавучего здания.

2.1 Разработка 3D модели здания


Новый проект в Revit начинается с создания файла проекта. Создать проект в Revit можно двумя способами.

)  Использовать шаблон по умолчанию default.rte, параметры которого настроены таким образом, чтобы можно было сразу приступить к проектированию. Сведения об изменении шаблонов по умолчанию приведены в разделе Вкладка - "Файлы".

2)      Использовать шаблон по умолчанию Structural Analysis-default.rte, параметры которого настроены таким образом, чтобы можно было сразу приступить к проектированию.

Проектирование модели начинается с определения уровней, сеток и местоположения проекта, создания плана стройплощадки и анализа формообразующих элементов.

Для создания 3D модели здания в Autodesk Revit была создана сетка осей. Оси (сетка) являются базовыми объектами Revit, то есть, служат для координации привязываемых к данным плоскостям объектов.

Для создания осей необходимо перейти на вкладку «Архитектура». Выбрать инструмент «Сетка», расположенный на панели «База» (рис. 6).

Рис. 6. Панель инструментов Autodesk Revit

Для создания нового уровня необходимо перейти на вид «Фасад» - «Восточный». Один за другим строятся уровни.

Каркас здания в Revit Architecture создается отдельными семействами: «Создать» - «Семейство» - «Метрическая система, типовая модель», затем выбирается инструмент «Выдавливание». Далее линиями создается элемент каркаса. Для завершения режима редактирования необходимо нажать  на контекстной вкладке.

Рис. 7. Пример создания семейства (термопрофиль)

Далее отдельными элементами возводится каркас всего здания. В результате получаем 3D модель здания со стенами и перекрытиями.

Рис. 8. Каркас здания

Следующим этапом является создание плавучих платформ (понтонов). Понтоны создаются аналогичным образом, также через семейства.


Рис. 8.1 Стальные понтоны

2.2 Реализация мультимедиа представления поэтапного возведения плавучего здания

 

D моделирование, анимация и рендеринг

3D-визуализация позволяет создать проект максимально схожий с эскизом проектируемого здания. С ее помощью любой проект можно сделать доступными широкой аудитории. Поэтому создание 3D-анимации идеально подходит для демонстрации проектов инвесторам и покупателям, для создания наглядных учебных пособий, в качестве презентационного материала и т.д.

Выделяются следующие этапы создания мультимедиа представления:

2.2.1 Написание сценария ролика;

2.2.2 Разработка раскадровки;

2.2.3 Создание основных объектов ролика;

.2.4   Соединение всех элементов в общий анимационный проект, наложение музыкального сопровождения, озвучивание, окончательный монтаж видеоролика.

2.2.1 Написание сценарий ролика

Составление сценария - это один из основных этапов создания видеоролика. Для того чтобы написать сценарий для данного проекта необходимо знать технологию возведения плавучего здания. Таким образом, после анализа технологии возведения был составлен следующий сценарий будущего видеоролика:

.  Стальные трубы большого диаметра, заглушаются по торцам

2.      Установка поперечных стальных балок

.        Установка настила из лиственницы

.        Установка системы биологической очистки сточных вод и фильтр для питьевой воды из реки

.        Демонстрация готового понтона

.        Повышение уровня воды - понтон имеет постоянную высоту возвышения, которая не зависит от колебаний уровня воды

.        Возведение дома на понтонах

.        Сборка каркаса здания из готовых стальных панелей

.        Конструирование междуэтажных и чердачных перекрытий

10. Заполнение промежутков между стальными стойками каркаса минеральным утеплителем

11.    Установка паропроницаемой ветро- гидроизоляции

.        Шпаклевка с последующей шлифовкой и покрытие водостойкой краской

.        Установка дизельного генератора

.        Установка электрического конвектора

.        Установка системы приточно-вытяжной вентиляции

.        Покраска фасад дома

.        Демонстрация плавучего дома в зимний период

.        Демонстрация воздействий волн на плавучий дом

.        Демонстрация погрузки всего здания в воду на небольшую глубину

.        Демонстрация работы системы освещения во всем доме

.        Поступление воды для питья, уход сточных вод (канализация)

.        Демонстрация системы отопления в доме (электрические конвекторы)

2.2.2 Разработка раскадровки

Раскадровка - последовательность рисунков, служащая вспомогательным средством при создании фильмов, мультфильмов, рекламных роликов.

Преимущество 3D раскадровок заключается в том, что в них отображается в точности то, что будет видеть камера во время съемки. Недостатком 3D моделирования раскадровок является количество времени, которое уходит на построение и конструирование сцен. 3D раскадровки можно смоделировать, используя программы 3D анимации. В 3ds max раскадровка делается с помощью специальной шкалы, которая на много упрощает работу (Рис. 9).

Рис. 9. Раскадровка

2.2.3 Создание основных объектов ролика

Основные объекты ролика создаются в программе AutoDesk Revit Architecture и импортируются в 3ds max.

Затем накладываются материалы и приступают к рендерингу

2.2.4 Формирование геометрической модели сцены

Предварительно перед формированием модели будущего проекта, продумывается состав сцены: здание, конструктивные элементы, прилегающая территория и т.п.

Для создания модели будущего проекта, используются инструменты 3D моделирования 3ds Max, с помощью которых строятся трехмерные геометрические модели объектов сцены.

Весь набор инструментов по созданию геометрических моделей объектов называют геометрическим конструктором сцен. 3ds Max обладает одним из самых развитых и удобных геометрических конструкторов из всех программ по 3D-графике.

После того как трехмерная геометрическая модель сцены создана, ее можно без труда рассматривать с любого требуемого ракурса.

2.2.5 Настройка освещения и съемочных камер

С помощью использования соответствующих средств программы производится настройка источников освещения. Освещенность всех объектов, тени и блики света рассчитываются программой автоматически. Модели съемочных камер дают возможность осматривать трехмерную сцену и выполнять ее съемку под любым выбранным углом зрения.

Источник света возможно использовать в различных режимах. Это позволяет производить симуляцию источника точечного освещения, или конусного, или источника расположенного на значительном расстоянии от сцены - источника удалённого типа. Эти и другие типы источников освещения расположены в диалоговом окне источника света.

Для этого имеется параметр, который предоставляет различные виды источников, имеющихся в программе. Для разных анимационных категорий подбираются разные световые решения.

Камера автоматически фиксируется на центральной перспективе в окне редактора программы. Сцена может иметь несколько камер, между которыми можно производить переключение. Чтобы направление камеры было предоставлено в окне редактора программы она должна быть отдельно установлена активной.

Существует два основных способа для установки камер для создания анимации. В первом случае камера движется вдоль сплайна, который реализуется непосредственно пользователем. Во втором случае движение камеры осуществляется по средствам нескольких установленных в разных ракурсах камер.

конструктивный архитектурный плавучий мультимедиа

3. ОЦЕНКА ЭКОНОМИЧЕСКОЙ ЭФФЕКТИВНОСТИ РЕАЛИЗАЦИИ ПРОЕКТА

3.1 Резюме


Основной целью данного бизнес-плана является обоснование эффективности нового проекта по созданию мультимедийного представления поэтапного возведения плавучего здания.

Данный проект является результатом работы с использованием инструментов по созданию 3D графики. Привлекательной стороной данного видеоролика является возможность использования его в качестве учебного пособия для строительных специальностей, поскольку при его создании на первый план выдвигалась задача отобразить все основные этапы процесса возведения плавучего здания.

Видеоролик описывает этапы возведения плавучего здания, установку систем коммуникации, следовательно, имеет возможность использоваться в качестве учебного пособия для студентов строительных вузов, а также для сотрудников и клиентов ряда строительных организаций.

Планируется выйти на показатель выручки не менее 448 тыс. руб. к концу 12 месяца реализации проекта.

Потенциальными потребителями являются строительные высшие учебные заведения Российской Федерации, также строительные организации страны.

Дисконтированный срок окупаемости проекта составляет 8 месяцев. Значение ставки дисконтирования для проекта -37%. Чистый приведенный доход составит 112 тыс. рублей, при этом внутренняя норма рентабельности составит 212,8%.

Таблица 2

Показатели

ед. изм.

всего

Ставка сравнения (номинальная годовая)

%

37

NPV

тыс. руб.

112

IRR (номинальная годовая)

%

212,8

Простой срок окупаемости

лет

0,61

Дисконтированный срок окупаемости

лет

0,68

Чистая прибыль нарастающим итогом

тыс. руб.

448

Основные показатели эффективности проекта

Необходимый объем финансирования проекта составляет 235 тыс. руб.

3.2 Общая характеристика отрасли, продукции

 

.2.1 Характеристика отрасли

Сегодня компьютерная графика стала основным средством связи между человеком и компьютером, так как в графическом виде результаты становятся более наглядными и понятными. С каждым днем компьютерные технологии развиваются и приобретают все более широкое распространение в разных областях жизни, в том числе и в сфере строительства.

Архитектурная визуализация квартир, домов, промышленных зданий и других, стала возможна благодаря развитию компьютерной графики и 3D-графики. Архитекторы создают на экране монитора объемное изображение здания, и это позволяет им увидеть, как оно впишется в ландшафт.

Развитие компьютерных технологий является одним из эффективных способов преодоления проблем на строительных объектах.

Сегодня услуги визуализации оказывают большое количество компаний и фирм, где специалисты создают трехмерную модель и анимацию. Фирмы такого рода не занимаются созданием учебного пособия по строительной дисциплине. Однако потребность со стороны учебных заведений в данной продукции имеется, поэтому, рынок сбыта новой продукции существует и в процессе продуктивной деятельности может быть полностью охвачен.

 

.2.2 Описание продукции

Планируется выдвинуть на рынок 3D графики и визуализации новый продукт - демонстрационный видеоролик о процессе поэтапного возведения плавучего здания. В процессе его создания использовались современные технологии 3D графики. Актуальность данного продукта обусловлена информационной составляющей, позволяющей наглядно проследить за процессом строительства плавучего здания. Таким образом, данный видеоролик является своего рода учебным пособием.

Рис. 10. Скриншоты видеоролика

3.3    Организационный план


3.3.1 Деловое расписание

Таблица 3

График ключевых событий с привязкой по времени

№ Наименование события

2015 г.


май

июнь

июль

1. Аренда помещения




2. Покупка компьютера




3. Покупка мебели




4. Производство




5. Реализация





На первом этапе осуществляется поиск помещения. Параллельно с этим осуществляется закупка всего оборудования. После того как помещение найдено, закупается необходимая мебель и другие бытовые принадлежности. По окончанию всех этих этапов проект готов к созданию и последующей реализации.

3.4    Финансовый план

 

.4.1 Оценка финансовой состоятельности инвестиционного проекта

Отчет о прибыли

Отчет о прибыли необходим для оценки эффективности деятельности предприятия (табл. 4). Он устанавливает соотношения между доходами и расходами.

Таблица 4

Отчет о прибылях и убытках

Отчет о прибылях и убытках


1 мес.

2 мес.

3 мес.

4 мес.

5 мес.

6 мес.

7 мес.

8 мес.

9 мес.

10 мес.

11 мес.

12 мес.

Итого

Выручка (нетто)

тыс. руб.

0

0

43

43

44

44

45

45

45

46

46

47

448

тыс. руб.

24

24

1

1

1

1

1

1

1

1

1

1

53

Валовая прибыль

тыс. руб.

-24

-24

43

43

43

44

44

44

45

45

46

46

395

Оплата административного и коммерческого персонала

тыс. руб.

0

0

0

0

0

0

0

0

0

0

0

0

0

Административные расходы

тыс. руб.

0

0

0

0

0

0

0

0

0

0

0

0

0

Коммерческие расходы

тыс. руб.

0

0

0

0

0

0

0

0

0

0

0

0

0

Налоги, кроме налога на прибыль

тыс. руб.

0

0

0

0

0

0

0

0

0

0

0

0

1

Проценты

тыс. руб.

0

0

0

0

0

0

0

0

0

0

0

0

0

Прибыль (убыток) от операционной деятельности

тыс. руб.

-24

-24

43

43

43

44

44

44

45

45

46

46

394

Прибыль / убыток от реализации вне оборотных активов

тыс. руб.

0

0

0

0

0

0

0

0

0

0

0

0

0

Прибыль / убыток от строительной деятельности

тыс. руб.

0

0

0

0

0

0

0

0

0

0

0

0

0

Курсовые разницы

тыс. руб.

0

0

0

0

0

0

0

0

0

0

0

0

0

Прочие доходы

тыс. руб.

0

0

0

0

0

0

0

0

0

0

0

0

0

Прочие расходы

тыс. руб.

0

0

0

0

0

0

0

0

0

0

0

0

0

Прибыль до налогообложения

тыс. руб.

-24

-24

43

43

43

44

44

44

45

45

46

46

394

Налог на прибыль

тыс. руб.

0

0

0

8

9

9

9

9

9

9

9

9

79

Чистая прибыль (убыток)

тыс. руб.

-24

-24

43

35

35

35

35

36

36

36

36

37

316


Выручка от реализации = цена продукции * объем

Совокупное значение выручки за 12 месяцев составляет 448 тыс. руб.

При расчете себестоимости были учтены расходы на:

. Аренду 1 рабочего места (6м2).

. Профессиональный компьютер.

. Монитор.

. Мебель.

. Зарплата программисту.

Таблица 5

Расходы на оборудование, мебель и лицензии

Наименование

Количество

Цена, руб.

Стоимость, руб.

Оборудование:




компьютер

1 шт.

25000

25000

монитор

1 шт.

6000

6000

клавиатура

1 шт.

2000

2000

Мебель:




стол

1 шт.

2000

2000

стулья

2 шт.

2000

2000

Лицензии:




Autodesk Revit

1 шт.

62000

62000

3Ds Max

1 шт.

98000

98000

Зарплата программисту

2 шт.

15000

15000

ИТОГО:

214000


Прибыль до налогообложения накопленная за 12 месяцев рассчитывается вычитанием себестоимости из выручки и составляет 394 тыс. руб. После учета налога на прибыль получаем чистую прибыль равную 316 тыс. руб.

Рис. 14. Динамика прибыли (АЛЬТ-Инвест 6.0)

По графику на рис. 14. видно, что прибыль возрастает с каждым месяцем. При этом минимальное значение было в 1-м месяце и составило - 24 тыс. руб., а максимальное значение было установлено в 3-м месяце и составило 43 тыс. руб. Средний уровень прибыли в целом за рассмотренные периоды составляет 28,16 тыс. руб.

Отчет о движении денег

Составление расчета является завершающей стадией финансовых расчетов по проекту. Эта таблица показывает обеспеченность финансовыми ресурсами процесса реализации проекта на каждом этапе.

Таблица 6

Сводный отчет о движении денежных средств (АЛЬТ-Инвест 6.0)

Отчет о движении денежных средств


1 мес.

2 мес.

3 мес.

4 мес.

5 мес.

6 мес.

7 мес.

8 мес.

9 мес.

10 мес.

11 мес.

12 мес.

Итого

Поступления от продаж

тыс. руб.

0

0

51

51

52

52

53

53

54

54

54

55

529

Затраты на материалы и комплектующие

тыс. руб.

0

0

0

0

0

0

0

0

0

0

0

0

0

Прочие переменные затраты

тыс. руб.

0

0

0

0

0

0

0

0

0

0

0

0

Зарплата

тыс. руб.

-15

-15

0

0

0

0

0

0

0

0

0

0

-30

Общие затраты

тыс. руб.

-5

-5

0

0

0

0

0

0

0

0

0

0

-10

Налоги

тыс. руб.

-5

-5

0

-8

-9

-9

-17

-17

-17

-17

-17

-18

-138

Выплата процентов по кредитам

тыс. руб.

0

0

0

0

0

0

0

0

0

0

0

0

0

Прочие поступления

тыс. руб.

0

0

0

0

0

0

0

0

0

0

0

0

0

Прочие затраты

тыс. руб.

0

0

0

0

0

0

0

0

0

0

0

0

0

Денежные потоки от операционной деятельности

тыс. руб.

-24

-25

51

44

43

43

36

36

36

37

37

37

351

Инвестиции в земельные участки

тыс. руб.

0

0

0

0

0

0

0

0

0

0

0

0

0

Инвестиции в здания и сооружения

тыс. руб.

0

0

0

0

0

0

0

0

0

0

0

0

0

Инвестиции в оборудование и прочие активы

тыс. руб.

-37

0

0

0

0

0

0

0

0

0

0

0

-37

Инвестиции в нематериальные активы

Тыс. руб.

-160

0

0

0

0

0

0

0

0

0

0

0

-160

Инвестиции в финансовые активы

тыс. руб.

0

0

0

0

0

0

0

0

0

0

0

0

0

Оплата расходов будущих периодов

тыс. руб.

0

0

0

0

0

0

0

0

0

0

0

0

0

Прирост чистого оборотного капитала

тыс. руб.

12

0

-12

8

1

0

8

0

0

0

0

0

18

Выручка от реализации активов

тыс. руб.

0

0

0

0

0

0

0

0

0

0

0

0

0

Денежные потоки от инвестиционной деятельности

тыс. руб.

-185

0

-12

8

1

0

8

0

0

0

0

0

-179

Поступления собственного капитала

тыс. руб.

235

0

0

0

0

0

0

0

0

0

0

0

235

Целевое финансирование

тыс. руб.

0

0

0

0

0

0

0

0

0

0

0

0

0

Средства от инвесторов строительства

тыс. руб.

0

0

0

0

0

0

0

0

0

0

0

0


Поступления кредитов

тыс. руб.

0

0

0

0

0

0

0

0

0

0

0

0

0

Возврат кредитов

тыс. руб.

0

0

0

0

0

0

0

0

0

0

0

0

0

Лизинговые платежи

тыс. руб.

0

0

0

0

0

0

0

0

0

0

0

0

0

Выплата дивидендов

тыс. руб.

0

0

0

0

0

0

0

0

0

0

0

0

0

тыс. руб.

235

0

0

0

0

0

0

0

0

0

0

0

235

Суммарный денежный поток за период

тыс. руб.

26

-24

39

51

44

43

44

36

37

37

37

37

407

Денежные средства на начало периода

тыс. руб.

0

26

1

40

91

135

179

223

259

296

332

370


Денежные средства на конец периода

тыс. руб.

26

1

40

91

135

179

223

259

296

332

370

407



Таблица отчета о движении денежных средств является основным документом, предназначенным для определения потребности в источниках финансирования для расчета эффективности проекта.

Все расчеты, выполненные в бизнес плане, в первую очередь проверяются на выполнение главного условия финансовой реализуемости проекта: на любом этапе свободные денежные средства, рассчитанные нарастающим итогом, должны быть величиной положительной. В данном отчете видно, что свободные денежные средства в плюсе.

Рис. 11. Движение денежных средств (АЛЬТ-Инвест 6.0)

График на рис. 11. показывает, что минимальное значение денежных средств было в 1-м месяце и составляло 0 тыс. руб. Для осуществления главного условия реализации проекта необходимы собственные источники финансирования в размере 235 тыс. руб.

Балансовый отчет и коэффициент финансовой оценки проекта

Все коэффициенты в «Альт-Инвесте» рассчитываются автоматически и их значения приведены в таблице 7.

Таблица 7

Показатели финансовой состоятельности проекта (АЛЬТ-Инвест 6.0)

Показатели финансовой состоятельности

1 мес.  %

2 мес. %

3 мес. %

4 мес. %

5 мес. %

6 мес. %

7 мес. %

8 мес. %

9 мес. %

10 мес.  %

11 мес. %

12 мес. %

Рентабельность активов

-126,6

-138,1

237,9

169,1

143,0

128,6

115,8

105,4

97,7

91,0

85,3

77,7

Рентабельность собственного капитала

-133,8

-146,5

244,9

171,7

147,1

132,1

120,0

110,0

101,6

94,5

88,3

80,2

Рентабельность внеоборотных активов

-169,4

-175,1

307,1

256,4

251,6

254,6

257,6

260,7

263,8

266,9

270,1

273,8

Прямые расходы к выручке от реализации

-

-

1,2

1,2

1,2

1,2

1,2

1,2

1,2

1,1

1,1

1,1

Прибыльность продаж

-

-

98,7

81,4

78,9

79,0

79,0

79,0

79,0

79,0

79,0

79,0

Доля постоянных затрат

100,0

100,0

100,0

100,0

100,0

100,0

100,0

100,0

100,0

100,0

100,0

100,0

Точка безубыточности

-

-

1

1

1

1

1

1

1

1

1

1

"Запас прочности"

-

-

98,8

98,8

98,8

98,8

98,8

98,8

98,8

98,9

98,9

98,9

Рентабельность по EBITDA

-100

-98

7439

7516

7593

7671

7750

7830

7911

7992

8075

8158

Рентабельность по EBIT

-100

-100

7349

7425

7503

7581

7659

7739

7820

7901

7983

8066

Рентабельность по чистой прибыли

-100

-100

7349

6126

6002

6064

6128

6191

6256

6321

6387

6453

Эффективная ставка налога на прибыль

0,0

0,0

0,0

17,5

20,0

20,0

20,0

20,0

20,0

20,0

20,0

20,0

Коэффициент общей ликвидности

4,71

2,71

1138,08

14,18

16,48

20,38

13,26

15,21

17,21

19,19

21,15

23,09

Чистый оборотный капитал

44

21

64

100

135

170

206

242

278

315

352

389

Коэффициент общей платежеспособности

0,95

0,94

1,00

0,97

0,97

0,97

0,96

0,96

0,96

0,96

0,97

0,97

Коэффициент автономии

17,62

15,42

4097,08

35,05

34,41

38,09

22,01

23,80

25,68

27,55

29,40

31,24

Доля долгосрочных кредитов в валюте баланса

0

0

0

0

0

0

0

0

0

0

0

0

Общий коэффициент покрытия долга

-

-

-

-

-

-

-

-

-

-

-

-

Покрытие процентов по кредитам

-

-

-

-

-

-

-

-

-

-

-

-


Рентабельность активов показывает эффективность использования всего имущества предприятия. Снижение показателя свидетельствует о падении спроса на продукцию. Рентабельность активов рассчитывается как:


Значение этого показателя в данном проекте менялось от min = - 126,6 % в 1-м до max = 237,9 % в 3-м месяце.

Коэффициент общей ликвидности говорит о том, способно ли предприятие погасить долг перед бюджетом, работниками за счет продажи не нужных запасов комплектующих, погашение дебиторской задолжности за счет денежных средств на счету.

Нормальное значение коэффициента - 2. В данном проекте среднее значение достигает 108,8. При этом минимальное значение установлено min = 2,71 в 2-м месяце, а максимальное max = 1138,08 в 3-м месяце.

Следующий показатель характеризует финансовую независимость предприятия от инвесторов - коэффициент автономии. Он определяется по формуле:


Нормальное значение составляет 0,6. Это означает, что собственные средства должны составлять 60% в структуре источников финансирования. Значение общего показателя платежеспособности в нашем проекте в среднем достигает 350%. Значение коэффициента склонно к изменению, т.е. наблюдается его рост и падение. На конец реализации проекта значение коэффициента 31,24%. Это означает, что собственные средства составляют 31,24% от общей суммы источников.

3.5 Коммерческая эффективность проекта


В основе принятия управленческих решений инвестиционного характера оценка и сравнение объема предполагаемых инвестиций и будущих денежных поступлений. Поскольку сравниваемые показатели относятся к разным моментам времени, ключевой проблемой является проблема их сопоставимости. Существующий подход к решению данной проблемы основывается на дисконтировании (приведении на текущий момент времени) будущих денежных расходов. Первоначальные инвестиции формируются на начальном этапе проекта, поэтому они не дисконтируются.

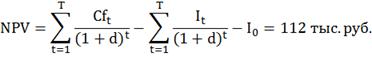
а) метод чистого дисконтируемого расчета (NPV).

Этот метод основан на сопоставлении величины исходных инвестиций (J0) с общей суммой дисконтируемых чистых денежных поступлений. NPV рассчитывается по следующей формуле:


Очевидно, что если NPV<0, то проект неэффективен. Если NPV=0, то проект ни прибылен, ни убыточен. Проект однозначно стоит принять только, если NPV>0. В данном случае показатель NPV положителен, следовательно, проект эффективен.

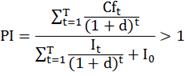
б) индекс доходности (PI).

Показывает относительную доходность инвестиций и равен отношению дисконтированного потока доходов к дисконтированному потоку затрат:

> 1,2 для получения кредитной поддержки.

в) внутренняя норма доходности (IRR).

Это та ставка дисконта при которой NPV=0. Чем больше IRR, тем проект выгоднее. Разница между IRR и ставкой дисконтирования d отражает внутреннюю эффективность проекта (рис. 12).

Рис. 12. График зависимости NPV от ставки дисконтирования d

Поскольку IRR много больше ставки дисконтирования d, то и по этому показателю проект можно считать коммерчески эффективным.

г) дисконтированный срок окупаемости (PP).

Это минимальный период, необходимый для достижения нулевого NPV. Для обеспечения государственной поддержки необходимо чтобы срок окупаемости был меньше 2-х лет.


3.5.1 Бюджетная эффективность

Бюджетная эффективность проекта заключается в выплате налогов и взносов в размере 235 тыс. руб. за год.

 

.6 План по рискам

 

.6.1 Расчет ставки дисконтирования

Ставка дисконтирования - это процентная ставка, которую используют при приведении будущих финансовых потоков к их стоимости в настоящее время. Ее расчет является одним из самых актуальных и сложных вопросов, который возникает при финансовой оценке любого инвестиционного проекта. От его корректности зависит, какую конечную величину будет иметь текущая денежная стоимость.

Если применить низкую ставку, то дисконтированная стоимость ожидаемых в будущем денежных поступлений может оказаться завышенной. Это повлечет за собой выбор инвестором неэффективного проекта, в результате чего он понесет серьезные потери. Чрезмерно высокая ставка, в свою очередь, может привести к потерям, которые есть - упущенная возможность получения дохода

Ставка дисконтирования, таким образом, представляет собой ту норму доходности в процентах, которую должен получить инвестор на вложенный капитал.

Предлагается рассчитать ставку дисконтирования по общей формуле:

,


где di - безрисковая ставка дисконтирования;- ставка рефинансирования ЦБ РФ, составляет 12,5%;темп инфляции, составляет 10,8%4/100% - поправка на риск.= +,

где -стартовой риск (10%);

- риск ненадежности участников проекта (5%);

- риск недополучения предусмотренных проектом доходов (25%).

=0,02+0,35=0,37

Вывод: Рассчитав ставку дисконтирования d, получили значение 37%.

3.6.2 Анализ чувствительности

Анализ чувствительности позволяет определить, как изменятся результирующие показатели эффективности проекта (NPV, IRR, PP) при изменении исходных показателей. В качестве исходных показателей удобнее всего принять цену реализации продукции, объем реализации, совокупные затраты. Анализ чувствительности позволяет ответить на вопрос: "А что будет, если...?" Таким образом, анализ чувствительности позволяет в рамках одного бизнес плана рассчитать несколько возможных вариантов развития ситуации. В программе "Альт-Инвест" можно провести однопараметрический анализ чувствительности, где рассматриваются изменения NPV и PP при изменении одного исходного показателя. Рассмотрим влияние изменения уровня цен на эффективность проекта (табл. 8).

Таблица 8

Однопараметрический анализ чувствительности (АЛЬТ-Инвесттм 3.0)

Однопараметрический анализ чувствительности

Начальное значение

Шаг изменения








Уровень цен на реализуемую продукцию (работы, услуги)

100%

-10%

100%

90%

80%

70%

60%

50%

40%

Результирующие показатели










NPV для полных инвестиционных затрат

тыс. руб.


112

80

48

15

-17

-49

-84

Дисконтированный срок окупаемости

лет


0,68








При падении цены на 40% проект становится не эффективным.

4. ОБЕСПЕЧЕНИЕ БЕЗОПАСНОСТИ ЭКСПЛУАТАЦИИ ПЛАВУЧЕГО ЗДАНИЯ НА ВОДЕ


Плавучие дома - это хорошее предложение для любителей активного отдыха. Он позволяет не привязываться к выбранному месту отдыха и сменить его как только пожелаете или совершить экскурсию по озеру. Или, например, сплавиться по реке. Что может быть лучше отдыха на природе в сочетании с домашним комфортом в кругу друзей и родственников?

Однако, несмотря на все меры безопасности, и в наши дни ежегодно гибнет до нескольких десятков судов. Основными причинами гибели судов являются столкновения судов в море, возникновение пожара на судне, шторм.

Каждые сутки в нашей стране речные и морские суда перевозят более миллиона человек. Современные корабли оборудованы средствами спутниковой навигации и радиосвязи. За всеми кораблями, находящимися в плавании, осуществляется контроль, и с ними поддерживается радиосвязь.

В настоящее время все пассажирские суда на случай аварии имеют спасательные средства: надувные плоты, шлюпки, спасательные жилеты и костюмы. Всем пассажирам и членам экипажа обеспечены места на спасательных средствах (в шлюпках и на плотах).

Кроме того, существуют международные сигналы бедствия на море, которые подаются терпящими бедствие судами, чтобы привлечь к себе внимание и помощь. Получив такой сигнал, капитан любого судна, оказавшегося поблизости, обязан принять все меры, чтобы помочь тем, кто оказался в опасности.

Зачастую беды можно избежать, если соблюдать определённые правила безопасности. Специалисты рекомендуют каждому человеку, поднявшемуся на палубу корабля, суда, плавучего средства знать и соблюдать ряд общепринятых правил.

Однако независимо от того, сколько опыта Вы имеете в водных прогулках, всегда хорошо вспомнить и рассмотреть вместе с другими участниками поездки основные правила безопасности перед отъездом, ведь большая часть аварий на морских и речных судах происходит в результате столкновений. Под воздействием ураганов, штормов, туманов, льдов, а также по вине людей, когда суда садятся на мель или сталкиваются друг с другом, случается большое число аварий и катастроф.

4.1    Мероприятия по безопасной эксплуатации зданий на воде


• Повышенные противопожарные требования (оснащение первичными индивидуальными и общими противопожарными средствами) в связи с наличием в плавучем доме горючего для приводящих в движение плавучие дома двигателей; забор воды для противопожарных целей производится непосредственно из водоема.

• Привлечение специально подготовленного экипажа для управления и обслуживания самоходных плавучих домов со знанием правил судоходства, морского и речного ориентирования и навигации.

• Освещение с учетом наличия специальной сигнальной системы в темное время суток для обозначения своего присутствия на воде и предупреждения других судов.

• Наличие на доме-судне спасательных средств, в том числе в виде плотов, ялов и шлюпок, спасательных жилетов и кругов.

Строительство, размещение и эксплуатация вторых жилищ разрешается при следующих условиях:

. Обеспечение прочности, жесткости, пространственной устойчивости плавучего (водного) жилища.

. Наличие технической проектной документации, разработанной с соблюдением существующих градостроительных, экологических, санитарно-гигиенических, противопожарных норм и правил пребывания на воде.

. Соблюдение требований охраны окружающей среды, предъявляемых к водным объектам и объектам в прибрежной и водоохранной зонах.

4.2    Основные правила безопасности на воде для семейного отдыха


1.      Учитывать погодные условия. Необходимо проверять местные погодные условия перед отъездом - ТВ и радио-прогнозы могут быть хорошим источником информации. Если вдруг замечено внезапное ухудшение погоды, сильная облачность, изменение ветра или температуры воздуха - желательно не рисковать и переждать в спокойном месте.

2.      Взять правильную одежду и обувь. Обычно на воде температура воздуха прохладнее, поэтому необходимо взять с собой комфортную одежду, которая сможет защитить от дождя и ветра.

.        Пользоваться здравым смыслом. Одна из самых важных основ безопасности - здравый смысл. Это означает плыть на безопасной скорости в любом случае. Быть внимательными, избегать столкновений с другими судами или препятствиями. Также необходимо пользоваться навигационной системой и всеми имеющимися средствами безопасности на борту.

.        Назначить помощника капитана. Необходимо удостоверится что больше, чем только один человек на борту знаком со всеми аспектами управления плавучего средства и мер предосторожности. Если капитан по какой-то причине не сможет управлять судном, важно удостовериться, что кто-то еще может взять управление на себя.

.        Соблюдать правила пожарной безопасности. Курить на борту разрешается только в разрешенном месте. Будьте внимательны и ознакомьтесь с правилами безопасности использования и заправки топлива и другого оборудования на борту.

.        Составить план плавания. Также необходимо спланировать плавание, места стоянок, причалов и сообщить о маршруте всем участникам поездки. План должен включать точку куда направляется судно, а также сколько по времени планируется плыть.

.        Проверить спасательные жилеты. Удостовериться, что каждому члену команды подходит по спасательному жилету - до отъезда.

.        Избегать алкоголя. На борту разрешено употреблять алкоголь, но для соблюдения безопасности во время прогулки, призывается к умеренному его употреблению. Исследования показывают, что влияние алкоголя усиливается внешними эффектами, такими как солнце и ветер.Капитану рекомендуется прервать поездку, если кто-то из пассажиров находится в состоянии алкогольного опьянения, которое может угрожать безопасности других пассажиров.

.        Ну и наконец, необходимо научиться плавать. Если Вы собираетесь плавать, выбирайте для этого наиболее комфортное место, удостоверьтесь, что все челны команды умеют плавать, а дети снабжены надувными плавучими средствами.

4.3 Действия при крушении плавучего средства


Пока судно остается на плаву, не стоит спешить его покидать. При подаче капитаном команды «Покинуть судно», немедленно направляйтесь к местам аварийной высадки.

Прежде чем покинуть судно:

.  помогайте тем, кто находится в затруднении;

2.      наденьте теплую одежду, перчатки и головной убор;

.        правильно наденьте спасательный жилет.

Места в спасательных шлюпках в первую очередь предоставляются женщинам, детям, раненым и старикам. Брать с собой разрешается только документы, спички или зажигалку, одеяло, личные лекарства, деньги;

.  Высаживайтесь на плот (шлюпку), по возможности, не входя в воду (сухая одежда лучше защищает от холода).

5.      В крайнем случае - прыгайте прямо в воду, убедившись, что спасательный жилет надежно закреплен. Для прыжка следует использовать следующие правила:

· соедините колени и держите ноги слегка согнутыми;

·        одной рукой закройте нос и приоткройте рот;

·        другой рукой крепко держитесь за жилет, положив руку под мышку, блокируя ее локтем - таким образом, жилет не поднимется вверх и не накроет голову;

·        при отсутствии коллективных спасательных средств ночью приведите в действие лампочку, встроенную в жилет, выдернув две пробки из батарейки.

После высадки:

.  Помогайте находящимся в воде подняться на плот;

7.      Закройте специальными пробками клапаны безопасности, имеющиеся на плоту;

.        Откройте пакет со стандартным оборудованием плота, чтобы проверить его содержимое;

.        Окажите помощь раненым и успокойте упавших духом;

.        Спустите в воду плавучий якорь, что позволит медленнее удаляться от места бедствия, а спасательному средству - не перевернуться.

4.4 Обеспечение безопасности на водном транспорте


Во избежание аварий и несчастных случаев во всех помещениях судна запрещается держать какие-либо инструменты, материалы, предметы обмундирования или личного обихода в непосредственной близости от механизмов, приводов, паропроводов, вентиляционных систем и т.п., а также крепить что-либо к электрическим кабелям и трубопроводам, проводить непредусмотренную технической документацией электропроводку.

Держать на судне животных разрешается лишь с ведома командира корабля. Животные должны быть немедленно удалены с корабля, если есть подозрение, что у них появилась болезнь, опасная для здоровья людей, а также - если замечены недостаточно хороший присмотр за животными и дурное обращение с ними.

Спортивные мероприятия (стрельбы, плавание, хождение на шлюпках, игры на воде и т.п.) проводятся лишь с разрешения командира судна или его помощника.

В любом случае, человек, путешествующий на водном транспорте, должен знать правила поведения при чрезвычайных ситуациях. Для этого, необходимо внимательно прослушать инструктаж по технике безопасности, который проводится капитаном судна. Следует обратить внимание на то, где находятся спасательные шлюпки и жилеты. Затем нужно прочитать инструкцию или поинтересоваться у капитана, как пользоваться спасательными жилетами, как правильно спускать шлюпку и садиться в неё. Кроме того, даже если ситуация критическая, команда корабля не может самостоятельно разрешить ситуацию, то не стоит заблаговременно паниковать и бездумно бегать по кораблю. В любой ситуации пассажир должен держать себя в руках и сохранять здравый рассудок. Потому, как часто во время паники люди оказываются попросту задавленные другими пассажирами. К тому же все действия по эвакуации пассажиров будут проводиться под чётким контролем капитана и его команды. О планах дальнейших действиях капитан оповестит всех пассажиров с помощью радиотрансляции.

Зачастую беды можно избежать, если соблюдать определённые правила безопасности. Специалисты рекомендуют каждому человеку, поднявшемуся на палубу корабля, суда, плавучего средства знать и соблюдать ряд общепринятых правил.

ЗАКЛЮЧЕНИЕ


В ходе выполнения бакалаврской работы выполнен ряд основополагающих задач.

В первую очередь был проведен анализ существующих программных продуктов для создания трехмерных моделей здания. Сформулированы критерии, согласно которым был произведен отбор наиболее привлекательных программ для реализации поставленных задач. Наиболее выгодным решением для создания 3D модели здания оказался программный продукт Autodesk Revit Architecture. Программный комплекс 3ds Max был выбран для создания анимации. Окончательный монтаж видеоролика с наложением музыкального сопровождения и озвучиванием осуществлялся в программной среде Pinnacle Studio.

В процессе исследования плавучего здания строительства были изучены объемно-планировочные и конструктивные решения здания на основе стальных модульных понтонов, а также решения по установке и проведение автономных коммуникаций в доме.

В следующем этапе работы была изучена технология плавучего здания. Выделены отличительные особенности и ключевые моменты, отличающие данный вид жилья от других видов строительства зданий. Исследована технология плавучих домов, изучены и выявлены основные преимущества.

В результате бакалаврской работы была спроектирована трехмерная модель плавучего здания, модульных плавучих платформ. Смоделированы основные конструктивные элементы здания.

Проведена анимация процесса поэтапного возведения плавучего здания, показаны погодные воздействия на само здание во время эксплуатации на воде, и непосредственно поведение дома на различные погодные условия. На созданный видеоролик были наложены музыкальное и голосовое сопровождения.

Кроме того, была произведена оценка экономической эффективности полученного проекта, а также изложены основные нормы и правила, обеспечивающие безопасность эксплуатации плавучего средства на воде.

Таким образом, в результате полученного мультимедиа представления поэтапного возведения плавучего здания, стало возможным получить сведения не только о внешнем облике смоделированного здания, но и ознакомиться с основными преимуществами жилья на воде. Благодаря своей наглядности и доступности реализованный видеоролик может использоваться не только в презентационных целях, но и в качестве учебного пособия для студентов строительных специальностей.

В ходе выполнения бакалаврской работы были решены все поставленные ранее задачи и достигнута цель проекта - создание мультимедиа представления поэтапного возведения плавучего средства.


СПИСОК ИСПОЛЬЗОВАННОЙ ЛИТЕРАТУРЫ


Законодательные материалы

1. Постановление Правительства РФ «Федеральный закон Российской Федерации от 23 апреля 2012 г. №36-ФЗ "О внесении изменений в отдельные законодательные акты Российской Федерации в части определения понятия маломерного судна»

. Приказ МЧС РФ от 29.06.2005 №500 «Об утверждении Правил государственной регистрации маломерных судов, поднадзорных Государственной инспекции по маломерным судам Министерства Российской Федерации по делам гражданской обороны, чрезвычайным ситуациям и ликвидации последствий стихийных бедствий»

. Приказ МЧС РФ от 21.07.2009 №423 «О внесении изменений в Правила аттестации судоводителей на право управления маломерными судами, поднадзорными Государственной инспекции по маломерным судам Министерства Российской Федерации по делам гражданской обороны, чрезвычайным ситуациям и ликвидации последствий стихийных бедствий, утвержденные Приказом МЧС России от 29.06.2005 №498

Электронные ресурсы

. Программа курганской области «модернизация систем коммунального теплоснабжения курганской области на 2010-2015 годы

. Материалы Всероссийского молодежного научного семинара "Наука и инновации - 2010

. Компьютерное моделирование и анимация персонажей в 3Ds Max: Создание 3D-мультфильма

. Revit Architecture 2009 - САПР для архитектурно-строительного проектирования

. Список программных продуктов Autodesk Academic Resource Center РГСУ

Монографии

9. Биктимирова А.С. Современное состояние учета, налогообложения и правовое обеспечения арендованного имущества предприятия [Текст] / А.С. Биктимирова // Техноцентр, 2001-374 с.

. Тихонова И.В. Характеристика разделов бизнес-плана, их взаимосвязь, методика разработки и оформления в ООО «Альметьевская кровельная компания» [Текст]/ И.В. Тихонова// ООО «Альметьевская кровельная компания», 2008-271 с.

. Тамаева З.К. Характеристика разделов бизнес-плана, их взаимосвязь; методика разработки и оформления в ООО «Омега» [Текст] / З.К. Тамаева // ООО «Омега», 2011-78 с.

. Михайлова Т.И. Показатели эффективности инвестиционных проектов в ОАО «Салават-нефтеоргсинтез» [Текст] / Т.И. Михайлова // ОАО «Салават-нефтеоргсинтез», 2005- 97 с.


ПРИЛОЖЕНИЕ


Продолжение приложения

Продолжение приложения

Продолжение приложения

Продолжение приложения

Продолжение приложения

Продолжение приложения

Продолжение приложения

Продолжение приложения

Продолжение приложения


Похожие работы на - Мультимедиа представление поэтапного возведения плавучего здания

 

Не нашли материал для своей работы?
Поможем написать уникальную работу
Без плагиата!
Без нейросетей!