Схемы строения лигнина, с описанием типов связей и структур
Курсовая работа
Схемы строения лигнина, с описанием типов связей и структур
Введение
лингин мономерный химический
макромолекула
Лигнин - вещество, характеризующее
одеревеневшие стенки растительных клеток. Сложное полимерное соединение, содержащееся
в клетках сосудистых растений и некоторых водорослях.
Одеревеневшие клеточные оболочки
обладают ультраструктурой, которую можно сравнить со структурой железобетона:
микрофибриллы целлюлозы по своим свойствам соответствуют арматуре, а лигнин,
обладающий высокой прочностью на сжатие, - бетону.
В анализе древесины
лигнин рассматривают как её негидролизуемую часть. Древесина лиственных пород
содержит 18-24% лигнина, хвойных - 27-30%.
Лигнин не является
самостоятельным веществом, а представляет собой смесь ароматических полимеров
родственного строения. Именно поэтому невозможно написать его структурную
формулу. В то же время известно, из каких структурных единиц он состоит и
какими типами связей эти единицы объединены в макромолекулу. Мономерные звенья
макромолекулы лигнина называют фенилпропановыми единицами, поскольку эти
структурные единицы являются производными фенилпропана. Хвойный лигнин состоит
практически целиком из гваяцилпропановых структурных единиц. В состав
лиственного лигнина кроме гваяцилпропановых единиц входят в большом количестве
сирингилпропановые единицы. В состав некоторых лигнинов, главным образом
травянистых растений, входят единицы, не содержащие метоксильных групп -
гидроксифенилпропановые единицы.
Лигнин - ценное
химическое сырьё, используемое во многих производствах и в медицине.
Лигнин - один из
основных компонентов, отвечающих за ванильный аромат старых книг. Лигнин, как и
древесная целлюлоза, разлагается со временем под действием окислительных
процессов и придаёт старым книгам приятный запах.
Сульфатный лигнин
ограниченно применяется в производстве полимерных материалов,
фенолформальдегидных смол, и как компонент клеящих композиций в производстве
ДСП, картона, фанеры и др. Гидролизный лигнин служит котельным топливом в
лесохимических производствах, а также сырьем для получения гранулированного
активного угля, пористого кирпича, удобрений, уксусной и щавелевой кислот,
наполнителей.
Сравнительно
недавно лигнин был успешно использован в производстве полиуретановой пены.
Активированный
путем щелочной обработки с последующей отмывкой и нейтрализацией лигнин
используется для сбора разливов нефти и нефтепродуктов с водных и твердых
поверхностей.
В медицине
«гидролизный лигнин» зарегистрирован как международное непатентованное название
и используется в качестве энтеросорбента.
Биосинтез лигнинов
Лигнин появляется в
растительной клетке на стадии одревеснения. Формирование зрелого древесного
волокна происходит через четыре фазы: деление клеток, расширение клеток,
утолщение клеточной стенки и лигнификация. Однако эти стадии не являются строго
последовательными и изолированными.
С точки зрения
биохимии процесс одревеснения делят на два этапа: образование первичных
структурных звеньев лигнина таких как n-кумаровый, конифериловый и синаповый спирты, и превращение этих
структурных звеньев в лигнин.
Лигнин образуется
из двуокиси углерода. В опытах С14О2 Стоун показал, что
вся радиоактивная двуокись углерода оказалась включена в лигнин при
лигнификации пшеницы.
Одним из основных
углеводных предшественников лигнина является D-глюкоза. Шуберт и Норд вводили
меченую D-глюкозу в норвежскую ель и установили, что радиоактивная глюкоза
в значительной степени оказалась включенной в лигнин. В дальнейшем изучались
пути превращения D-глукозы в процессе лигнификации на препаратах, специально меченых
углеродом С14 в положениях 1 или 6 и окислением выделенного лигнина
до ванилина, который обладал радиоактивностью. В.Н. Сергеева и З.Н. Кревцберг
показали, что в биосинтезе лигнина участвуют также пентозы [1].
С помощью метода
«меченых атомов» с использованием С14 было установлено, что из D-глюкозы в результате реакций
гликолиза и фосфорилирования образуются фосфоэнолпировиноградная кислота, и D-эритозо-4-фосфат, из которых
синтезируется фосфорнокислотныйй эфир сегогептулозы - сегогептулозо-7-фосфат
(рисунок 1).
- глюкоза; 2 -
фосфоэнолпировиноградная кислота; 3 - D-эритрозо-4-фосфат; 4 - сегогептулозо-7-фосфат.
Рисунок 1 - Схема
превращения D-глюкозы при биосинтезе лигнина
В дальнейшем
сегогептулозо-7-фосфат циклизируется в дегидрохинную кислоту, а иа с свою
очередь трансформируется в дегидрошикимовую кислоту и при восстановлении ее
образуется шикимовая кислота, являющаяся промежуточным звеном между углеводами
и арамотическими соединениями (рисунок2).
-
сегептулозо-7-фосфат; 2 - 5-дегидрохинная кислота; 3 - дегидрошикимовая
кислота; 4 - шикимовая кислота.
Рисунок 2 -
биосинтез шикимовой кислоты по Дэвису
В результате
последующих стадий биосинтеза шикимовая кислота прращается в каниферин,
гидролизующийся в конифериловый спирт (рисунок 3).
- шикимовая
кислота; 2 - префеновая кислота; 3 - фенилаланин; 4 - кониферин; 5 -
конифериловый спирт.
Рисунок 3 -
Биосинтез кониферилового спирта по Фрейденбергу
Промежуточные
стадии биосинтеза у различных видов древесных видов растений могут отличатья,
поэтому наряду с конифериовым спиртом могут образовываться n - кумаровый и синановый спирты
являющиеся мономерными предшественниками лигнина - монолигнолами.
Чрезвычайно важной
функциональной группой монолигнинов является фенольный гидроксил, благодаря
которому вследствие энзиматического дегидрирования они превращаются в
короткоживущие ароксильные радикалы, каждый из которых может быть представлен
четырьмя мезомерными структурами (рисунок 4).
Период полураспада
образовавшихся радикалов составляет около 45 секунд и, соединяясь между собой,
они образуют дилигнолы.
Для образования
макромолекул лигнина важно, что полученные дилигнолы остаются фенолами. Они
могут быть вновь ионизированы, дегидрованы ферментами до свободных феноксильных
радикалов, способных конденсироваться с другими свободными радикалами.
- конифериловый
спирт; 2 - ион кониферилового спирта; 3 - ароксильный радикал; 4 - β-радимал хинонметидный; 5
- ядро-5-радикал; 6 - ядро-1-радикал.
Рисунок 4 -
Образование мезомерных форм ароксильного радикала кониферилового спирта
Дальнейший рост и
разветление макромолекул лигнина происходит путем образования три-, тетра-,
пента-, гексалигнолов, которые также могут реагировать в хинонметидных формах,
давая более высокомолекулярные продукты. В настоящее время известно 12
дилигнолов, 6 трилигнола, 2 тетра- и по одному пента- и гексалигнолу.
Полилигнолы,
возникающие в растительной клетке, образуются не толькоиз кониферилового
спирта, но и с участием n-кумарового и синанового спиртов.
Стабилизация
хинонметидов в процессе биосинтеза лигнина может быть осуществлена также
углеводами, содержащими относительно сильно диссоциирующего гидроксильные
группы. В результате образуются бензильные эфиры сахоров, не являющиеся
гликозидами, за счет них реализуется образование лигноуглеводных связей.
Весьма вероятно,
что отдельные карбоксильные группы гемицеллюлоз или полиуронидов также могут
присоединяться у хинонметидам с образованием n-оксибензильной сложноэфирной связи.
Многие стадии
биосинтеза лигнина были изучены благодаря проведенному Фрейденбергом синтезу
искусственного лигнина - дигидрополимера (ДГП), полученного дегидрированием вне
растительной клетки с помощью ферментов смеси n-кумарового, кониферилового и
синанового спиртов в мольном соотношении 7:40:3. И сравнением свойств
полученного продукта с лигнином Бьеркмана выделенным из хвойной древесины. В
большинстве случаев они оказались идентичными. На основании этого Фрейденберг
предложил следующие этапы биосинтеза лигнина, которые накладываются друг на
друга:
. Непрерывное
дегидрирование фенолов.
. Присоединение
фенолов к хинонметидам
. Полимеризация
хинонметидов в бензилариловые эфиры.
. Преобразование
арилэфирных в углерод-углеодные связи.
Первая стадия
осуществляется под действием ферментов дегидрогеназ, имеющихся в клетках
камбия, остальные, по-видимому, осуществляются без ферментативного участия.
Относительно места
образования лигнина в растениях было установлено, что в камбиальном слое дерева
весной в период энергичного деления клеток происходит накопление кониферна, а в
клетках, близких к камбию, присутствует фермент β-глюкозидаза, способный расщеплять глюкозидные связи. Таким образом
кониферин может служить для молодых клеток источником кониферилого спирта для
лигнификации и снабжать их глюкозой для синтеза полисахаридов.
На начальной стадии
лигнин появляется в углах клеток, а затем лигнификация распространяется на все
межклеточное вещество, первичную и слои вторичной стенки [2].
2.
Химические и физические свойства лигнина
.1
Аналитическая характеристика лигнина
Основные
функциональные группы лигнина состоят из метоксильных, спиртовых и фенольных
гидроксильных групп, карбонильных (альдегидных и кетонных) и карбоксильных
групп. Весьма вероятно и наличие в лигнине небольшого количества хинонных
групп. Элементный состав лигнина сравнительно постоянен. В лигнине содержится
61-64% углерода и 5-6% водорода, остальное - кислород. Высокое содержание
углерода и низкое содержание водорода указывает на ароматическую природу
лигнина [3].
2.2
Основные мономерные звенья
Основными
мономерными звеньями макромолекул хвойных лигнинов являются производные
п-оксифенилпропановых и гваяцилпропановых едениц.
Лигнины древесины
лиственных пород имеют более слоное строение и значительно больше отличаются
друг от друга чем лигнины древесины хвойных. По этой причине хвойные лигнины
являются более изученными.
Считается, что
основные типы структур лиственных лигнинов близки аналогичным структурам
хвойных, за исключением дополнительных сирингильных структурных единиц. Потому
в лигнине лиственных древесных пород возможно наличие всех основных типов
связей, димерных структур и функциональных групп присущих лигнинам хвойных.
Существенным отличием между этими двумя группами лигнинов является различное
содержание конденсированных структур. В лиственных лигнинах их больше.
2.3
Схемы фрагментов макромолекул хвойного и лиственного лигнинов
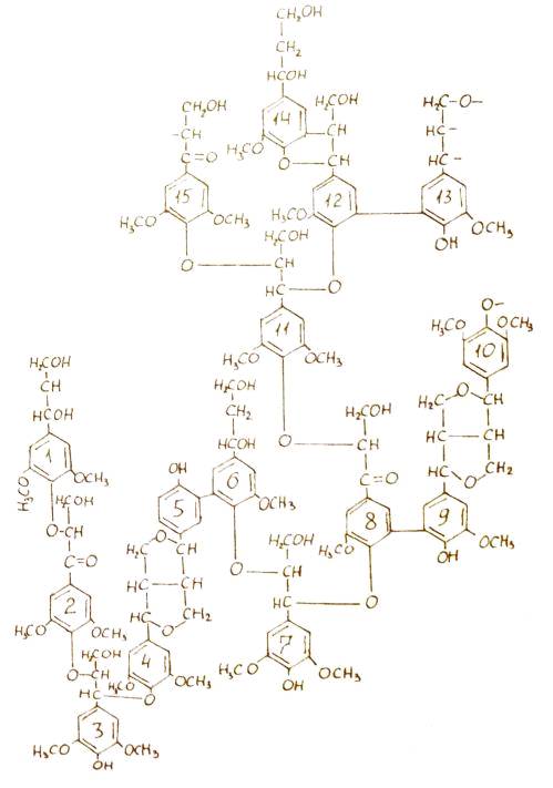
Фрейденберг на
основании многолетних фундаментальных работ по исследованию лигнина, изучению
биосинтеза лигнина вне растения, а также обобщения данных других исследователей
сконструировал схему фрагмента макромолекулы елового лигнина, состоящую из 18
структурных звеньев.
Сложность структуры лигнина
обусловлена отчасти различием в строении мономерных единиц и, главным образом,
многообразием типов связей между единицами. Порядок в расположении отдельных
структур в лигнине отсутствует.
В лигнине присутствуют все три типа
связей:
Связи «голова к хвосту» - это
алкиларильные простые эфирные связи b-О-4 и С-С связи b-5, то
есть. связи боковая цепочка - ароматическое кольцо.
Связи «голова к голове» - это
диалкильные простые эфирные связи, а также С-С связи между боковыми цепочками.
Связи «хвост к хвосту» - это С-С
связи 5-5 (дифенильные), т.е. связи между ароматическими кольцами.
Молекулы лигнина имеют высокую
степень разветвленности. Предполагают, что в этих молекулах связи «голова к
хвосту» образуют главные цепи, «голова к голове и «хвост к хвосту» - поперечные
между главными цепями. При этом в лигнине древесины образуется трехмерная
сетчатая структура.
Возможные связи и структуры в
лигнине предположительно представляют в виде различных схем строения. Из
существующих схем следует указать на схемы, предложенные Фрейденбергом. Они
составлены с учетом современных данных по количественному составу различных
группировок и структур в лигнине, экспериментов с модельными веществами и ЛМР и
исследований по биосинтезу лигнина. Эта схема не являются структурной формулой
лигнина и ее нельзя рассматривать как окончательную (рисунок 5).
Рисунок 5 - Схема
строения фрагмента хвойного лигнина по Фрейденбергу
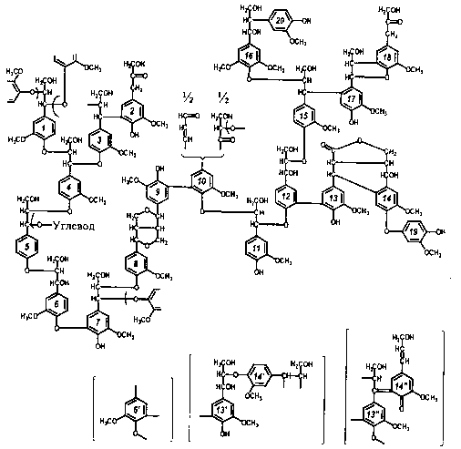
Позднее
Фрейденбергом была опубликована аналогичная схема строения фрагмнта лиственного
лигнина. Она состояла из 15 структурных единиц, 7 из которых были представлены
производными гваяцилпропана и 8-синингилпропана (рисунок 6) [2].

2.4 Функциональные
группы лигнина
Лигнин в отличие от полисахаридов -
полифункциональный полимер. Его функциональные группы разнообразны. Для них
характерны все свойства и закономерности химических реакций, известные в
органической химии. Эти реакции используются и для количественного определения
различных функциональных групп.
Метоксильные группы
Метоксильные группы - ОСН3
- самые характерные для лигнина, в лигнинах лиственных пород их массовая доля
20-22%, в хвойных - 15-17%. Это группы с арилалкильной простой эфирной связью.
Содержание метоксильных групп служит критерием чистоты препарата лигнина и
отсутствия в нем значительных химических изменений.
Для определения метоксильных групп
используют реакцию разложения простых эфиров концентрированной йодоводородной
кислотой при нагревании
Ar-OCH3 + HI →
Ar-OH + CH3I.
Выделяющийся летучий метилйодид
определяют гравиметрическим, титриметрическим и хроматографическим методами.
Гидроксильные группы
Гидроксильные группы - ОН бывают
фенольные и спиртовые (в боковой цепочке). Общее содержание свободных
гидроксильных групп составляет примерно 10…11%. Для определения общего
содержания гидроксильных групп используют два метода: метилирование и
ацетилирование. Применяют метод исчерпывающего (многократного) метилирвоания
диметилсульфатом в присутствии щелочи до достижения постоянного значения
массовой доли метоксильных групп. Содержание гидроксильных групп рассчитывают
по увеличению содержания метоксильных групп.
Массовая доля свободных фенольных
гидроксилов в лигнинах невелика (1…3%). Остальные находятся в связанном
состоянии, то есть участвуют в образовании простых эфирных связей между
структурными единицами лигнина и частично связей с гемицеллюлозами. Фенольные
гидроксилы определяют метилированием диазометаном:
ROH + CH2N2 ® ROCH3 + N2 ;
а также окислением перйодатом натрия
(NaIO4) по Адлеру (метиловый
спирт выделяется в количестве, эквивалентном содержанию свободных фенольных
гидроксилов) и другими способами.
Спиртовые (алифатические) гидроксилы
- СНОН находятся в пропановых цепях и их число составялет примерно 0,8…0,9 на
ФПЕ. Вторичные спиртовые группы находятся в a- и b-положениях
(последние отсутствуют в природном лигнине, но появляются в условиях ацидолиза
и этанолиза). Наиболее высокую реакционную способность имеют вторичные
спиртовые группы в a-положении
- группы бензилового спирта, особенно если в n-положении есть свободный фенольный
гидроксил. Она обусловлена влиянием бензольного кольца, благодаря чему
бензилспиртовые группы легко вступают в реакции нуклеофильного замещения.
Карбонильные группы
Карбонильные группы С=О. Альдегидные
группы в лигнине находятся в g-положении
пропановых цепей в основном в виде концевых звеньев кониферилового альдегида.
Группировки кониферилового альдегида ответственны за цветную реакцию с
солянокислым флорглюцином. Кетонные группы находятся в a- и b-положениях
пропановых цепей.
Карбонильные группы, двойные связи
которых находятся в сопряжении с бензольным кольцом, называются сопряженными в
отличие от несопряженных.
Кето-энольная таутомерия может
происходить и приучастии кетонной группы в a-положении с образованием хинонметидной структуры (схеме 1).
Схема 1 - Образование хинонметидной
структуры
Двойные связи (-СН=СН-) алкенового
типа находятся в пропановых цепях в положении a,b числом около 0,1 на ФПЕ
в виде группировок кониферилового альдегида или спирта:
Карбоксильные группы
Карбоксильные группы (-СООН) в
природном лигнине и в препаратах лигнина близких к природному присутствуют лишь
в очень небольшом числе - до 0,05 группы на ФПЕ. В природном лигнине
карбоксильные группы имеют алифатический характер и находятся в g-положении пропановой цепи.
2.5 Типы связей и
структур в макромолекулах лигнина
Между элементарными звеньями в
макромолекулах лигнинов существует два типа связей: простые эфирные и углерод -
углеродные. В природном лигнине, по-видимому, около половины связей приходится
на простые эфирные и другая половина - на С - С связи.
Простые эфирные связи
У лигнина возможны три типа простых
эфирных связей: между ароматическим кольцом и боковой цепочкой - алкиларильная;
между ароматическими кольцами - диарильная; между боковыми цепочками -
диалкильная. Простая эфирная связь, в отличие от углерод-углеродной, способна к
реакциям деструкции под действием различных реагентов.
Наличие в лигнине значительного
количества простых эфирных связей доказано путем расщепления лигнина
металлическим натрием в жидком аммиаке. В лигнине имеются алкиларильные и
алкилалкильные простыеэфирные связи и предполагается наличие простох диарильных
простых эфирных связей.
Алкиларильные простые эфирные связи.
Основном является β-алкиларильные эфирные связи (схема 2), которые образованы за счет
гидроксила у β-углеродного
атома пропановой цепочки одного звена и фенольного гидроксила другого.
Установлено, что около 70% фенольных гидроксилов гваяцилпропановых единиц
природного лигнина вовлечены в простую эфирную связь, а около 30% остаются
свободными.
Схема 2 - β-4-алкиларильная эфирная
связь
Структура с алкиларильной простой
эфирной связью a-О-4
существует в лигнине в основном в виде циклической структуры, содержащей
одновременно С-С b-5. Но
в небольшом количестве присутствуют нециклические структуры со связью a-О-4 (около 0,03 на 1 ФПЕ).
Схема 3 - Алкиларильная простая
эфирная a-О-4 связь
Структуры с диалкильными простыми
эфирными связями a-О-g присутствуют в лигнине в виде структуры пинорезинола. Точное
количество диалкильных простых эфирных свзей в лигнинах не установлено.
Структуры с диарильной простой
эфирной связью присутствуют в небольших количествах в положениях 4-О-5 и 4-О-1
(схема 4). Из хвойного лигнина до сих пор не было выделено соединений,
подтверждающих наличие диарильных простых эфирных связей [1].
Схема 4 - Диарильная простая эфирная
связь
Углерод-углеродные связи
Углеродные связи устойчивы к
воздействию различных химических реагентов и препятствуют полному распаду лигнина
до мономеров. определенных закономерностей в распределении как простых эфирных,
так и С-С связей не существует.
Алкиларильные С - С связи. Наличие в
лигнине С - С связей, образованных за счет β-углеродного атома в положении 5 ароматического кольца другого
доказано исследованиям с радиоактивными еловым лигнином (схема 5). Основной
структурой с С-С связью является структура со связью b-5, которая может существовать в виде открытой и закрытой (фенилкумарановой)
структур.
Схема 5 - b-5 связь
Фенилкумарановые структуры включают
в среднем 18-20% ФПЕ.
Фенилпропановые единицы, имеющие в
5-ом положении ароматического кольца углеродную связь, называют «замещенными»
единицами. В лиственных лигнинах содержание незамещенных единиц выше, чем в
хвойных за счет большого количества сирингилпропановых единиц.
Ариларильная С-С связь 5-5
(дифенильная структура) включает две замещенные структурные единицы (схема 6).
В структуры этого типа входит примерно 25% структурных единиц лигнина.
Схема 6 - Углеродоуглеродная связь
5-5
Кроме вышеуказанных. в лигнине
находят С-С связи в положениях b-1,
5-1, 5-6, a-6, a-a и др. Изолигнаны
содержат связь a-6 и
одновременно диалкильную простую эфирную связь g-О-g. У
структур со связью b-1
отщеплена пропановая цепочка у одной из единиц [1].
2.6 Молекулярная масса,
надмолекулярная структура лигнинов
Существующие в настоящее время
методы не позволяют непосредственно определять молекулярную массу и
полидисперсность природных лигнинов. Для косвенной оценки молекулярной массы
природных лигнинов используют нативные препараты. В большинстве случаев такими
препаратами являются Бьеркмана и Пеппера, как наименее измененные по сравнению
с протолигнинами.
Средневесовая молекулярная масса
лигнина Бьеркмана древесины ели колеблется от 7000 до 17000, при этом
полидисперсность составляет 1,75.
Для лигнина Пеппера молекулярная
масса сильно зависит от времени экстракции. Так, для елового лигнина при времени
экстракции 1 час, она составляет 4400, а при увеличении времени экстракции до
3,5 часов она возрастает до 85000. При этом его полидисперсность колеблется до
1,5 до 1,7. Такой эффект влияния времени экстракции может быть объяснен
извлечением более высокомолекулярных фракций лигнина при длительном воздействии
такого сильного апротонного растворителя как диоксан, хотя не исключено и
влияние конденсационных процессов, приводящих к увеличению молекулярной массы
лигнина.
Жесткие методы выделения лигнинов (технических
лигнинов) дают очень полидисперсные препараты. Так, полидисперсность сульфатных
лигнинов составляет от 3 до 5, а разброс молекулярных масс для разных образцов
может составлять от 250 до 48*106.
Кроме метода выделения образца
лигнина на величину молекулярной массы влияет сам метод ее определения,
применяемый растворитель и ряд других факторов (таблица 1).
Таблица 1 - Средневесовая
молекулярная масса лигнинов древесины ели, выделенных различными методами
|
Вид лигнина
|
Метод определения
|
Растворитель
|
Молекулярная масса
|
|
Бьеркмана
|
Ультрацентрифуги
|
Этанол
|
11000
|
|
Спиртовой
|
Осмометрический
|
Метанол
|
3870
|
|
Спиртовой
|
Диффузионный
|
Метанол
|
|
Спиртовой (клен)
|
Диффузионный
|
Ацетон
|
10000
|
|
Щелочной
|
Ультрацентрифуги
|
Вода
|
7000
|
|
Щелочной
|
Диффузионный
|
Вода
|
7000
|
|
Щелочной из
солянокислотного
|
Осмометрический
|
Аммиак
|
4000
|
|
Сульфитный
|
Диффузионный
|
Вода
|
6600
|
Форма макромолекулы лигнинов лежит
между сферой и хаотически спутанными клубком. Наиболее подходящей ее моделью в
растворе можно считать компактные структуры, образованные сильно разветвленными
цепями или цепями с поперечными связями, трудно проницаемые для растворителя,
вследствие чего лишь ограниченно набухающие.
Эффективные гидродинамические
радиусы макромолекул разных препаратов лигнина колеблются от 10 до 43 А̊.
В лигнинах обнаружено наличие
небольшого количества свободных радикалов. Так, в лигнине Бьеркмана оно
составляет 1 на 300 ФПЕ, а в щелочных лигнинах возрастает в 5 - 10 раз.
Вопрос о надмолекулярных структурах
лигнинов тесно связан с наличием лигноуглеводных связей, которые являются
аналогичными связям в бензильных эфирах сахаров. Связи подобного типа, а также,
возможно, и другие типы связей между лигнином и углеводами можно уподобить
образованию графит-сополимера лигнино-углеводного типа. В пользу наличия
подобного рода взаимодействия говорит тот факт, что при выделении лигнина
Бьеркмана, с применением только физических методов воздействия на древесину
(размол, экстракция) удается выделять не более 50% всего лигнина в чистом виде,
остальные же 50% выделяется в виде лигно-углеводных комплексов (ЛУК).
Влияние же водородных связей на
процесс образования надмолекулярных структур в лигнинах по-видимому
второстепенно в связи с нерегулярностью строения самих лигнинов [2].
3 Промышленное
использование лигнина
.1 Лигносульфонаты
Лигносульфонаты -
наиболее широко используемые сырьевые материалы для производства
добавок-водопонизителей, начало применения которых приходится на тридцатые
годы. Средняя молекулярная масса лигносульфонатов лежит в пределах 20 000 - 30
000 при молекулярно-массовом распределении от нескольких сот до 100 000.
Лигносульфонаты
получают в виде смолоподобного продукта при гидролизе древесины на
целлюлозно-бумажных комбинатах. Полупродукт содержит смесь сульфолигнина,
продуктов разложения целлюлозы и лигнина, различные углеводы и свободные серную
кислоту и сульфаты. Состав лигносульфонатов в большой мере зависит от того,
насколько удачно осуществляются процессы нейтрализации, осаждения и ферментации
конечного продукта, а равно от породы и возраста древесины, используемой в
качестве сырья.
Технические
(промышленные) лигносульфонаты, используемые в качестве водопонижающих добавок,
содержат до 30% углеводов (редуцирующие вещества или редуцирующие сахара).
Характерные данные анализов необработанных сульфитными щелоками углеводов
свидетельствуют о том, что они содержат 18% маннозы, 15% глюкозы, 15% ксилозы,
10% галактозы, 6% арабинозы, около 2% фруктозы и 4% прочих углеводов. В двух
технических водопонижающих добавках на основе лигносульфонатов были обнаружены
следующие редуцирующие вещества (сахара), полученные из древесины: 70 - 74%
пентозы (включая ксилозу и арабинозу) и 26-30% гексозы (включая маннозу,
рамнозу и галактозу). Как тип, так и концентрация Сахаров, содержащихся в
необработанных сульфитными щелоками добавках, зависят от условий и степени
протекания процессов ферментации. В основном микроорганизмы, используемые для
ферментации, съедают больше гексозы, чем пентозы, поэтому последняя в
значительном количестве содержится в очищенных лигносуль-фонатах.
Удаление сахаров из
добавок на основе лигносульфонатов производят по технологии, включающей
окисление Сахаров до соответствующих кислот с последующим упариванием пульпы
при образовании лигносульфонатов и управлением процессами получения таких кислот,
как ксилоновая, галактоновая или глюконовая в технических сульфонатах.
В лигносульфонатах,
используемых в качестве добавок, катион металла или аммония замещает Н+ в
сульфогруппах сульфоновых кислот. Наиболее распространены лигносульфо-наты
кальция и натрия. По данным кондуктометрических анализов, степень ионизации
растворов этих солей составляет не более 20-30%, причем сильнее ионизированы
натриевые соли. Это позволяет объяснить причины того, почему для обеспечения
одинакового водопонижения требуется вводить более концентрированные растворы
лигносульфонатов кальция, чем натрия. Однако лигносульфонаты кальция дешевле
лигносульфонатов натрия.
Лигносульфонаты -
главные представители замедляющих или замедляюще-водопо-нижающих добавок. При
необходимости сохранить водопони-жение, но исключить замедляющее схватывание и
раннее твердение действие лигносульфонаты совмещают с ускорителями, такими, как
триэтано-ламин (который сокращает сроки схватывания смеси) или хлорид и формиат
кальция, а также некоторые другие соли.
Обычно добавки на
основе лигносульфонатов обладают определенным воздухововлекаю-щим действием.
Этот эффект желателен, если нужно повысить морозостойкость бетона или улучшить
когезию в тощих смесях или в бетонах на крупных песках. Однако предпочтение следует
отдать комплексным добавкам, состоящим из водопонизителей и воздуховов-лекающих
веществ, причем последние вводят до получения заданного содержания воздуха,
зависящего от содержания крупного заполнителя, условий перемешивания, типа
цемента и песка.
С целью снижения
воздухо-вовлечения от лигносульфонатов в бетонную смесь иногда вводят
антипенные добавки, например трибутилфосфат, ди-бутилфталат, бораты и
производные силиконов в количестве около 1% от содержания лигносульфонатов [3].
3.2
Гидролизный лигнин
Применение
гидролизного лигнина. Предприятия строительных материалов, расположенные вблизи
гидролизных заводов, могут утилизировать лигнин - один из наиболее емких
отходов лесохимии.
Гидролизный лигнин
получают при переработке древесины хвойных и лиственных пород гидролизом
разбавленной серной кислотой. Выход лигнина в зависимости от вида древесины
составляет 17-32%, его образуется ежегодно около 5 млн т.
Гидролизный лигнин
представляет собой природное высокомолекулярное вещество с разветвленными макромолекулами,
образовавшимися при полимеризации спиртов ароматического ряда. Он имеет
молекулярную массу около 11 000, нерастворим в воде и органических
растворителях. Этот рыхлый продукт с размером кусков до 40 см имеет коричневый
цвет и влажность до 70%. При нагревании до температуры 400-600°С в парогазовой
среде он распадается с выделением 40-50% угля (полукокса), 13-20% смолы, 15-30%
надсмоль-ной воды, небольшого количества жидких (ацетона, метилового спирта) и
газообразных продуктов (СО, С02, этилена).
Сейчас сложились
следующие основные направления применения гидролизного лигнина: как
топливно-выгорающей добавки в производстве керамических материалов; заменителя
опилок в строительных изделиях; сырья для получения феноллигниновых полимеров;
пластификатора и интенсификатора измельчения.
Опыт работы ряда
кирпичных заводов позволяет считать лигнин эффективной выгорающей добавкой. Он
хорошо смешивается с другими компонентами шихты, не ухудшает ее формовочных
свойств и не затрудняет резку бруса. Его применение наиболее продуктивно при
сравнительно небольшой карьерной влажности глины.
Запрессованный в
сырец лигнин при сушке горит. Горючая часть лигнина полностью улетучивается при
температуре 350-400°С, зольность составляет 4-7%. Для обеспечения кондиционной
механической прочности обыкновенного керамического кирпича лигнин следует
вводить в формовочную шихту в количестве до 20-25% ее объема. Обладая высокой
дисперсностью, лигнин не требует, в отличие от большинства других видов
выгорающих добавок, измельчения.
При использовании
обычных древесных опилок в кирпиче часто образуются крупные незамкнутые поры.
Причиной их появления является то, что такие многозольные добавки как сланцы,
бурый уголь, изгарь, не сгорают полностью из-за трудного доступа воздуха в
заполненные золой поры кирпича, а использование лигнина в сочетании с этими
добавками устраняет или ослабляет эти недостатки.
Лигнин может быть
использован как порообразующая добавка в производстве теплоизоляционных и
легких конструкционных керамических изделий. Также он может применяться вместо
опилок в производстве аглопорита. При введении лигнина улучшаются
гранулометрический состав шихты (она более интенсивно и равномерно спекается) и
условия охлаждения аглопорита на агломерационной машине. Добавка лигнина, увеличивая
газопроницаемость шихты, тем самым снижает разрежение в вакуум-камерах
ленточной агломерационной машины на 200-400 Па. Введение в шихту лигнина
увеличивает пористость готового продукта за счет образования мелких замкнутых
пор с тонкими перегородками, что позволяет снизить среднюю плотность
аглопоритового щебня на 150-180 кг/м3, уменьшить расход угля на 20-25% и
одновременно повысить приведенную прочность (отношение прочности к квадрату
средней плотности).
Доказана
возможность применения лигнина в качестве заполнителя ксилолитовых плит и
других изделий.
Гидролизный лигнин
может быть использован в дорожном строительстве в качестве наполнителя
асфальтовых бетонов и сырья для производства лигниновых вяжущих. Асфальтовый
бетон, наполненный лигнином, по основным показателям не уступает бетону,
наполненному известняковым порошком.
Лигниновые вяжущие
состоят из двух компонентов: жидкой углеводородной фракции и продукта крекинга
в ней - гидролизного лигнина. Термический распад лигнина происходит при
300-310°С. В зависимости от вида жидкого компонента и его вязкости соотношение
между лигнином и углеводородной фракцией находится в пределах 1:2-1:7,5.
В основе технологии
лигниновых вяжущих лежит способ модификации жидкой углеводородной фракции
продуктами термического распада лигнина. В зависимости от вида жидкого
компонента и его вязкости соотношение между лигнином и углеводородной фракцией
находится в пределах от 1:2 до 1:7,5.
Технология
лигнинового вяжущего включает следующие операции: обезвоживание части
каменноугольной смолы (25-35%) в специальном котле при нагреве до 240°С; подачу
смолы в реактор и разогрев ее до 300-310°С; загрузку лигнина в реактор и нагрев
смеси до 310°С при перемешивании; крекирование лигнина при 310-320°С в течение
1 ч; диспергирование продукта крекинга путем перекачки насосом в течение 15-20
мин; подачу в реактор остальной части каменноугольной смолы, разогретой до
90-110°С, и смешивание ее с продуктом крекинга; перекачку вяжущего в котел и
перемешивание его с конденсатом, собранным при разогреве смолы и крекинге
лигнина.
Для производства
дорожных вяжущих предложено нагревать гидролизный лигнин в растворителе при
температуре 310-320°С в течение 50-60 мин при хорошем перемешивании. В качестве
растворителей для этого процесса могут служить каменноугольные дорожные
маловязкие дегти, смолы, нефтяные гудроны, мазут, сланцевые смолы, смолы
пиролиза нефтяных фракций, отходы лавсанового производства. В зависимости от
вида растворителя и его вязкости соотношение между количествами лигнина и
растворителя находится в пределах от 1:2,9 до 1:7,5. Количество растворителя
выбирается таким, чтобы температура размягчения продукта термопластификации
была не выше 140-160°С.
При получении
лигниновых вяжущих для термопластификации лигнина используют каменноугольную смолу
или жидкие каменноугольные дегти Д-1 - Д-4. Лигниновые вяжущие отличаются
хорошей адгезией, превосходят по этому показателю каменноугольные дегти и
рекомендуются к применению в дорожных смесях для нижних и верхних слоев
покрытий.
Бетоны на основе
лигнино-гудронового и лигнино-смоляного вяжущих по ряду свойств превосходят
асфальтобетоны. При использовании одинаковых каменных материалов бетон на
лигнино-вом вяжущем обладает повышенной водоустойчивостью, меньшим значением
показателя прочности при 0°С, высокими адгезионными свойствами.
Экономическая
эффективность применения лигниновых вяжущих обусловлена более низкой стоимостью
исходных компонентов и повышенной долговечностью дорожных покрытий.
Имеется
положительный опыт получения связующих на основе лигнина для теплоизоляционных
материалов.
Значительный
интерес представляет опыт получения связующих на основе технических
лигносульфонатов (ЛСТ) и лигниновых отходов для производства теплоизоляционных
материалов. Для изготовления теплоизоляционных материалов из вспученного
перлита и других заполнителей требуется большое количество дефицитных
связующих. В МИСИ им. В.В. Куйбышева было предложено использовать лигнин,
переведенный в водорастворимое состояние в процессе сульфитной варки целлюлозы,
в виде водного раствора лигносульфоновых кислот и их солей с примесью золы и
редуцирующих веществ. Процесс конденсации лигнина ускоряется в кислой среде и
при повышенных температурах. Для создания вяжущего использованы многоосновные
кислоты, в частности, серная и ортофосфорная в количестве 5-20%, образующие
ковалентные связи между различными частями макромолекул лигносульфонатов в
процессе этерификации гидроксильных групп. Оптимальная температура отверждения
составляет 220°С. Для улучшения адгезии к наполнителю в состав связующего
целесообразно вводить поверхностно-активные вещества (ГКЖ-10, ГКЖ-11).
Полученный полимер обладает хорошей водостойкостью. Было установлено также, что
для повышения когезионной прочности полимера целесообразно в состав вяжущего
вводить олигомеры синтетических смол.
На основе
лигнинового вяжущего и перлита освоено производство теплоизоляционного
материала - лигноперлита [4].
Для получения
лигноперлита было изучено вяжущее, составленное на основе лигносульфонатов
марки КБЖ, ортофосфорной кислоты, фенолоспиртов, мочевино-формальдегидной смолы
МФ-17, этилси-ликоната натрия (ГКЖ-10). Отверждение композиции лигносульфонатов
с ортофосфорной кислотой и мочевино-формальдегидной смолой проводилось при
80°С. Наполнителем служил невспученный перлитовый песок. Оптимальное содержание
в композиции вяжущего ГКЖ-10 составляет 3-5%, олигомеров синтетических смол - 2
- 15, ортофосфорной кислоты - 15-20. Изделия формовали из сырьевой омеси
влажностью 15-20%. Низкая влажность дает возможность в 2-2,5 раза сократить
расход топлива на производство изделий из лигноперлита в сравнении с
топливоемкостью минераловатных плит повышенной жесткости на синтетическом
связующем.
По
физико-механическим и техническим свойствам лигноперлит не уступает эффективным
теплоизоляционным материалам этого класса. Средняя плотность лигноперлитовых
плит и скорлуп - 130 - 250 кг/см3; предел прочности при сжатии - 0,2-1 МПа, при
изгибе - 0,1-0,8; водопоглощение - 4-10% по объему; коэффициент размягчения -
0,8-0,85; морозостойкость-не менее 25 циклов, теплопроводность - 0,04-0,08
Вт/(м°С). В зависимости от содержания связующего лигноперлит относится к
группам несгораемых и трудносгораемых материалов. Лигноперлит при содержании
связующего не более 7% относится к несгораемым материалам, а не более 20% - к трудносгораемым.
Содержание связующего в формовочной массе 5 - 20%. На 1 м3
теплоизоляционного материала расходуется в среднем (кг): лигносульфонатов - 14,
фенолоспиртов - 2, ГКЖ-10 - 0,8 и ор-тофосфорной кислоты - 3,2.
Плиты выпускают
длиной 1, шириной 0,5, толщиной 0,04-0,06 м. Их используют в качестве
теплоизоляционного слоя по профилированному металлическому настилу без
устройства стяжки под рулонную кровлю, а также в 3-слойных железобетонных
стеновых панелях. Установлена эффективность применения лигноперлита в качестве
термовкладышей в однослойных керамзитобетонных панелях. Этот материал может
служить и тепловой изоляцией оборудования при температуре до 200°С.
Лигноперлитовые
плиты изготавливают по полусухой технологии, которая включает: перемешивание связующего
с перлитовым песком; формование изделий из сырьевой смеси при удельном давлении
0,2 - 0,5 МПа и их тепловую обработку при 220°С. В отличие от традиционных
технологий изготовления перлитовых теплоизоляционных изделий, предусматривающих
сушку до 24 ч, хорошая смачиваемость связующим поверхности перлитового песка
позволяет снизить влажность сырьевой смеси и сократить продолжительность
тепловой обработки до 1,5-2 ч.
Практический
интерес представляет использование лигнина вместо формальдегида при получении
полимеров фенолоальдегидного типа. Поликонденсацию фенола с лигнином выполняют
при нагревании в присутствии серной кислоты. По основным свойствам
фенол-лигниновые полимеры, изготавливаемые в виде жидких резольных и твердых
новолачных смол, близки к фенолоформальдегидным. Жидкие смолы используются в
производстве древесностружечных плит, слоистых пластиков и фанеры. Также из
феноллигниновых смол изготавливают литьевые формы. На основе твердых смол
новолачного типа могут приготавливаться пресс-порошки для получения
вентиляционных решеток, электроарматуры, плитки для облицовки стен и покрытия
пола.
В производстве
цемента лигнин можно использовать как пластификатор сырьевого шлама и
интенсификатор измельчения сырьевой смеси и цемента. Дозировка лигнина в этом
случае составляет 0,2 - 0,3%. Разжижающее действие гидролизного лигнина
объясняется наличием в нем веществ фенольного характера, снижающих вязкость
известняково-глинистых суспензий. При помоле лигнин уменьшает слипание мелких
фракций материала, а также препятствует их налипанию на мелющие тела.
Гидролизный лигнин
может быть использован в качестве наполнителя пластмасс, резинотехнических
изделий, линолеума и др. Для достижения низкой влажности (до 10%) лигнина
перспективно совмещение сушки с измельчением. Разработан и применяется метод
струйной сушки и измельчения лигнина. Влажный лигнин, пройдя сепарацию,
подается в противоточную струйную мельницу, где захватывается потоками
перегретого пара при температуре 400°С и давлении 0,7 МПа. В камере смешения
мельницы при столкновении потоков лигнина происходит его сушка и измельчение
[4].
Рациональному
использованию лигнина и других мелкозернистых и слабоструктурированных
материалов способствует их брикетирование - окускование при давлениях
прессования от 15 до 150 МПа. Для брикетирования лигнина и подобных ему
материалов эффективно применение валковых прессов высокого давления (4.9,
4.10).
Применение отходов
целлюлозно-бумажного производства. К этому виду сырья относятся осадки сточных
вод целлюлозно-бумажного производства после первичной очистки - скоп.
Минеральная часть скопа составляет свыше 50% и содержит до 90% каолина.
Органические включения представлены в основном целлюлозными волокнами.
Скоп является
эффективной добавкой при производстве аглопори-тового гравия на основе зол ТЭС.
Он, обладая низкой кажущейся плотностью, высокими сорбционными свойствами и
пластичностью, улучшает условия комкования зольной шихты и способствует
увеличению прочности как влажных, так и сухих сырцовых гранул.
Испытания этого
заполнителя в бетоне показали, что на его основе могут быть получены легкие
бетоны классов В12,5-В20 со средней плотностью от 1350 до 1800 кг/м3 при
расходе цемента соответственно от 215 до 435 кг на 1 м3 бетона.
Скоп может быть
использован в качестве заполнителя конструкционно-теплоизоляционного легкого
бетона (скопобепгон). Скопобетонная масса приготавливается в смесителях
принудительного действия путем перемешивания портландцемента и влажного скопа
без добавления воды. Уплотнение массы осуществляется трамбованием или
прессованием при удельном давлении 0,08-0,12 МПа. Режим твердения -
естественная или искусственная сушка. На основе ско-побетона можно
изготавливать стеновые блоки с классом по прочности не менее В1,2, средней
плотностью 600-700 кг/м3, теплопроводностью 0,15 Вт/(м •°С) и морозостойкостью
до F35 и более. Расход портландцемента для изготовления скопобетонных блоков
составляет 220-230 кг/м3 и может быть доведен до 180-200 кг/м3 за счет введения
добавки золы-уноса.
Скоп можно
использовать в производстве теплоизоляционных волокнистых плит с применением
как органических, так и неорганических вяжущих.
Экспериментально-конструкторское бюро ЦНИИСК им. В.А. Кучеренко разработало
составы для изготовления теплоизоляционных материалов, включающие скоп -
60-90%, вспученный перлит 8-20%, фтористый натрий 0,5-2,5%, и связующее -
продукт совместной нейтрализации ортофосфорной кислоты, мочевины, формалина 1 -
12%. Показана возможность применения в качестве связующих глины,
фторангидритового вяжущего. Теплоизоляционные плиты на основе скопа имеют
среднюю плотность 300-400 кг/м3, прочность при изгибе 0,17-0,24 МПа и прочность
при сжатии 3,5- 5 МПа, водопоглощение 20-60% по массе и теплопроводность 0,063
- 0,087 Вт/(м •°С).
Разработаны также
теплоизоляционные материалы на основе активного ила. Последний, так же, как и
скоп, относится к многотоннажным отходам целлюлозно-бумажной промышленности.
Активный ил образуется при вторичной биологической очистке сточных вод и
представляет собой белково-углеводный комплекс. Активный ил может служить
пластифицирующей добавкой для дисперсных систем на основе вяжущих веществ и
связующим компонентом в смесях из органических волокон.
Заключение
В результате написания курсовой
работы я получил:
знание технологического процесса
производпства лигнинов, структурное строения лигнина; знание типов связи
лигнинов; использовании лигнинов в промышленности.
Список использованных
источников
1 Химия древесины и основы химии высокомолекулярных соединений.
Богомолов Б.Д. «Лесная промышленность», 1973 г., 400
Коногов Г.Н. Химия древесины и ее основных компонентов: Учебное
пособие для студентов специальностей 260200, 260300. 2-е изд., испр. и доп. -
МГУЛ, 2002. - 259 с.: ил.
Чудаков М.И. Промышленное использование лигнина. Изд. 3-е, испр. и
доп. - М.: Лесн. пром-сть, 1983. - 200 с.
Технология гидролизных производств. Шарков В.И., Сапотницкий С.А.,
«Лесная промышленность», 1973 г., 408
ГОСТ Р 1.5-2004 Стандартизация в Российской Федерации. Стандарты
национальные Российской Федерации. Правила построения, изложения, оформления и
обозначения.