Синтез новых гетероциклических соединений взаимодействием N, N-бинуклеофилов с карбонильными соединениями

  • Вид работы:
    Дипломная (ВКР)
  • Предмет:
    Химия
  • Язык:
    Русский
    ,
    Формат файла:
    MS Word
    506,09 Кб
  • Опубликовано:
    2015-07-23
Вы можете узнать стоимость помощи в написании студенческой работы.
Помощь в написании работы, которую точно примут!

Синтез новых гетероциклических соединений взаимодействием N, N-бинуклеофилов с карбонильными соединениями

МИНИСТЕРСТВО ОБРАЗОВАНИЯ И НАУКИ РОССИЙСКОЙ ФЕДЕРАЦИИ

Федеральное государственное бюджетное образовательное учреждение высшего профессионального образования

«КУБАНСКИЙ ГОСУДАРСТВЕННЫЙ УНИВЕРСИТЕТ»

(ФГБОУ ВПО «КубГУ»)

Кафедра органической химии и технологий

Допустить к защите в ГАК

Заведующий кафедрой

д-р хим. наук, профессор

__________ В.Д. Стрелков

________________2013г.

ВЫПУСКНАЯ КВАЛИФИКАЦИОННАЯ (ДИПЛОМНАЯ) РАБОТА

Синтез новых гетероциклических соединений взаимодействием N, N-бинуклеофилов с карбонильными соединениями

Работу выполнила __________________________________ М.А. Осташко

Факультет химии и высоких технологий, ОФО

Специальность «Химия» - 020101.65

Научный руководитель

канд. хим. наук,

доц._______________________________________________ К.С. Пушкарева

(подпись, дата)Нормоконтролер,

Преподаватель ___________ __________________ ________ А.В. Беспалов


Краснодар 2013

Реферат

Дипломная работа 66 страниц, 43 источника, 9 таблиц, приложение содержит 19 рисунков.

В приложении представлены данные ИК, РСА, ЯМР 1Н, 13С-спектров полученных соединений.

Гетероциклические соединения, кислород и азот содержащие соединения, Амид антраниловой кислоты, ФормилБензойный кислота, 4-оксохиназолин, 3,4-дигидрохиназолин, 2,3-дигидро - 4(1Н) хиназолинон, 5Н-изоиндоло [2,1-а] хиназолин -5,11 (6,6аН) - дион,2-(4-оксотетрогидро хиназолин-2-ил)-5’-нитро бензойная кислота

Объектом настоящего исследования являются некоторые производные хиназолинов, представляющие интерес как биологически активные соединения.

Цель данного исследования - поиск альтернативных способов синтеза и получение новых производных хиназолина, являющихся перспективными моделями как в теоретическом плане, так и в плане их практического использования.

Исследована реакция антраниламида с ароматическими альдегидами в воде и в уксусной кислоте.

Показано, что реакция антраниламида с орто-формил бензойными кислотами в воде протекает с образованием моноциклизации, в уксусной кислоте с бициклизацией молекул.

Получено13 новых соединений

Оглавление

Введение

.Литературный обзор

.1 Хиназолины и методы их синтеза

.2.1 Синтез 4-оксохиназолинов

.2.2 Синтез 3,4-дигидрохиназолинов

.2.3 Химические свойства хиназолинов и их производных

.3 Синтез 1,3-кислород и азотсодержащих 5-и 6-членных аннелированных гетероциклических систем.

.4 Цели и задачи исследований

. Обсуждение результатов

.1 Синтез замещенных 2,3-дигидро - 4(1Н) хиназолинонов

.2 Синтез 5Н-изоиндоло [2,1-а] хиназолин -5,11 (6,6аН)-дионов гетероциклизацией антраниламида с замещенными формилбензойными кислотами.

. Экспериментальная часть

.1 Методы анализа

.1.1 Спектральные методы

.1.2 Тонкослойная хроматография

.2 Рентгеноструктурный анализ

.3 Методы синтеза исходных веществ

.3.1 Синтез амида антраниловой кислоты

.3.2 Синтез 2-формилбензойных кислот

.4 Синтез целевых соединений

.4.1 Синтез 2-(2-гидрокси -5-нитрофенил-)2,3-дигидро-4(1Н) хиназолинона (2с).

.4.2 Синтез 2-(4-оксотетрогидро хиназолин-2-ил)-5’-нитробензойная кислота)(2`b)

.4.3 Синтез 9-нитро-5Н-изоиндоло[2,1-а]хиназолин-5,11(6, 6аН) - дион (3b)

.4.4 Синтез 9-нитро-5Н- изоиндоло[2,1-а]хиназолин-5,11- диона (4b)

Выводы

Список использованных источников

Приложение А

Приложение Б

Приложение В

Приложение Г

Введение


Химия 1,3-гетероциклических соединений циклогексана и их различных производных является одним из важных, интересных разделов органической химии и интенсивно развивается в последнее время. Это связано с широким диапазоном их полезного действия в качестве биологических веществ и активных комплексообразующих соединений. В отличие от хорошо изученных 1,3-оксазинов и пиримидинов, их бензопроизводные-бензоксазины и хинозалины изучены недостаточно, хотя подобные системы известны еще с конца XXI века. В патентной литературе имеются данные о ярко выраженной фармакологической и пестицидной активности производных 4Н-3,1-бензаксазинов, хиназолинов их солей в сочетании с низкой токсичностью(LD>2500 мг/кг). Пиримидиновый цикл, входящий в структуру последних, является одним из основных составных фрагментов в составе молекул многих лекарственных соединений, например сульфазина, пентоксила, метилтиоурацила, витамина В1, фолиевой кислоты. Кроме того, изучение механизмов гетероциклизации производных-3,1-бензаксазинов и их N-гетероаналогов- 3,4-дигидрохиназолинов, введение в их структуры новых функций, определение зависимостей между строением и свойствами веществ - важно для развития общей теории химии гетероциклических соединений.

1.Литературный обзор

 

.1 Хиназолины и методы их синтеза


Хиназолины, представляют собой бициклические ароматические системы, состоящие из аннелированныхбензольного и пиримидиновых ядер. Изучение этих соединений целесообразно и в химическом и в прикладном отношениях, как веществ, обладающих широким спектром биологической активности[1-3].

Для образования хиназолинов в качестве исходных соединений используют производные о-аминобензальдегида или о-аминоацетофенона. Циклизация гетероцикла осуществляется аммиаком в присутствии этилового спирта [4,5] по уравнению:


Катализируемый медью синтез хиназолиновых производных конденсацией типа Ульмана и анаэробным окислением приведен на схеме [6]:


Предполагаемый механизм синтеза данной реакции:



Мягкая и эффективная конденсация, для синтеза хиназолинов (N-арилирование Ульмана) в отсутствии лиганда, катализируется медью [7]:


Хиназолиниевые соли получаются при нагревании тетрафторбората и других солей арилдиазония с нитрилами [8]


1.2.1 Синтез 4-оксохиназолинов

Общие синтетические подходы для получения 4-оксохиназолинов исходят из антраниловой кислоты[9-11] или ее простых производных: N-ацильных производных амидов[10-12], амидоуретанов[12], о-аминобензонитрилов [13].

Реакция антраниловой кислоты с амидами идет через образование N-ацилантраниловой кислоты, ее амида и замыкание кольца с потерей воды [14,15].


Так же получают из замещенного метилантранилата [16]:

1-метил

R2-пропаргил

Синтез 2-алкиламино хиназолин -4(3Н) - она осуществляется через циклокарбонилирование с использованием микроволнового облучения [17]:


В работе [18] проведеноднореактный трехкомпанентный синтез 4(3Н)-хиназолинов из бензилгалогенидов, изатового ангидрида и первичных аминов:


Механизм данной реакции:


Взаимодействие антраниловой кислоты с изоцианатами изучено авторами[19]:


Реакцией бензаксазинонов с аминами проведена [4]:


Известен способ получения производных хиназолинов из соответствующих бензоксазинов [20-25].


Взаимодействие антраниламида с замещенными ацетиленами (по правилу Марковникова двойное гидрохлорирование) [26]


1.2.2 Синтез 3,4-дигидрохиназолинов

Из дигидропроизводных хиназалинов наиболее распространены 3,4-дигидрохиназолины. Отмечено [27], что 3,4 дигидропроизводные могут существовать в равновесии с таутомерной 1,4-дигидроформой. Однако,1,4- дигидрохиназолины удается получить только в тех случаях, когда положения 1,2 заняты алкильными и арильными группами.


В работе [28] описано взаимодействие 1,3-диаминов с карбоновыми кислотами.


Получение 2-метил-3,4-дигидрохиназолинов осуществляется взаимодействием ацетонитрила и гидрохлорида, о-хлорметиланилина в присутствии хлорного олова [8]:


Кроме того, 3,4-дигидрохиназолины получают селективным восстановлением хиназолинового цикла в реакциях с магний органическими соединениями и с рядом нуклеофилов,


а так же восстановительной циклизацией производных N-ацил-о-нитробензиламина [27].

 

1.2.3 Химические свойства хиназолинов и их производных

Хиназолины в отличае от других бензодиазинов имеют высоколокализованную 3,4 связь, по которой происходит реакции гидратации и реакции нуклеофильного присоединения с различными нуклеофилами [29].

Хиназолины и дигидрохиназолины являются органическими основаниями, которые протонируются в водных кислотах, катион хиназолина обратимо присоединяют воду по кратной связи. Степень гидратации хиназолина существенно зависиткак от заместителей в положениях 2 и 4 хиназолинового кольца, таки в его ароматическом кольце [25].


Кроме воды, по 3, 4 связи (в связи с ее локализацией) возможно присоединение других нуклеофилов с образованием устойчивых аддуктов,


которые в растворе могут существовать в двух таутомерных формах [15].


Хиназолины реагируют с алкилфенилмагнийгалогенидами, образуя продукты моноалкилирования -4-алкил-3,4-дигидрохиназолины[15].

Из реакции замещения хиназолина известны электрофильное замещение в ароматическое ядро и реакция окисления.

Реакция нитрования хиназолина нитрющей смесью дает с выходом 56% 6-нитрохиназолин [22].


Нуклеофильное замещение в хиназолинах в основном представлено замещением атома галогена в 4-ом и 2-ом положениях гетероцикла. Причем 4-хлор-хиназолин по реакционной способности значительно превосходит 2-изомер, что объясняется высокой резонансной стабильностью переходного состояния [15].


Кроме хлора, уходящей группой может выступать 4-трихлорметильная, обмениваемая на метоксигруппу [30]. Описано так же и прямое аминирование хиназолина амидом натрия в положение 4 [15].

Протоны алкильных групп в 2 или 4-положениях в хиназолинах имеют кислый характер. На примере 2-метилхиназолина известна конденсация (по типу конденсации Кляйзена) по метильной группе в щелочной среде с диэтиловым эфиром щавелевой кислоты [27].


Для 3,4-дигидрохиназолинов известна реакция метилирования иодистым метилом по атому N с образованием иодметилатов [27].

В ряде работ [21,30] представлены некоторые спектральные характеристики и данные масс-спектраметрического распада 3,4-дигидро-хиназхолин-4-онов. Приводится сведения о фармакологической и фунгицидной [30]активности ряда представителей этого класса соединений.

1.3 Синтез 1,3-кислород и азотсодержащих 5-и 6-членных аннелированных гетероциклических систем


В литературе[31] описаны реакцииформилбензойных кислот ( ФБК) с рядом бинуклеофилов. Так реакции с 2-(1-аминоалкил) фенолами и 2-аминофенил (диэтил-,дифенил)карбинолами, приводят соответственно к 10Н-изоиндоло[1,2-b][1,3],бензаксозин-12(4bH)-онам и 5Н-изоиндоло[2,1-a][3,1]бензаксозин-11(6аH)-онам. Среди последних выявлены соединения с пестицидной активностью.

В работах [37-41] описаны различные продукты взаимодействия ФБК с ФДА (о-фенилендиамин). При кипячении в метаноле при эквимолярных соотношениях реагентов и кислом катализе, получено соединение I, [32].


Соединение II получено при кипячении в бензоле в присутствии толуолсульфокислоты (ТСК, катализатор) и азеотропной отгонки воды продукт II, [33]. Авторы [34] кипячением исходных регентов в толуоле (12часов) в присутствии ТСК синтезировали соответствующие дегидропроизводные III. Кроме того для получения соединения III использовались различные варианты проведения реакций ФДА с фталевым ангидридом: кипячение эквимолярных количествреагентов в н-амиловом спирте [35], сплавление их без растворителя [36] или при микроволновом облучении [37].

Для получения IV в литературе описаны способы основанные на циклизации N-(2-дибромометилбензоил) антраниловой кислоты, окислении 1Н-изондоло [2,1-a]индол -11-карбоксиальдегида [35], пиролизе производных N-бензилбензизоксазолонов [38]. Образвание 5Н-изоиндоло [2,1-a ]хиназолин-5, 11(6,6аН)-дионов (V) возможно путем взаимодействия ФБК с антраниламидом в кипящем толуоле в присутствии ТСК , с азеотропной отгонкой воды [39]. Авторами получен изоиндолохиназолиндион (V) по новой трехкомпанентной реакции, включающей взаимодействие изового ангидрида с ФБК и ацетатом аммония, в качестве катализатора использовалась замещенная безводная сульфоновая кислота (CSA). При замене в этих превращениях ацетата аммония на амины различного строения, образуются соответствующие 6-замещенные изоиндолхиназолиндионы, молекулярная структура которых на примере 6-(п-хлорофенил)метил5Н-изоиндоло[2,1-a]хиназолин-5,11(6,6аН)-диона подтверждена методом рентгеноструктурного анализа.


В работе [40], исходя из 2-ацетилбензойной кислоты, антраниловой кислоты и антраниламида описано получение 6а-метил -5Н-изоиндоло [2,1-a][3,1]бензаксозин -5,11 (6aH)-диона(VII) и 6а-метил-5Н-изоиндоло[2,1a]хиназолин -5,11(6,6аН)-диона (VIII), причем в последнем случае доказывается образование структуры VIII, а не IX.

 

.4 Цели и задачи исследований


Хиназолиновые системы обладают ароматическим характером. Наличие двух эндоциклических атомов азота пиридинового типа обуславливает специфические свойства хиназолинов, которые частично представлены в обзоре. 3,4-Дигидрохиназолины в литературе мало описаны. В связи с этим синтез и исследование строения новых, ранее неизвестных производных хиназолина представляет большой интерес как с точки зрения биологической активности так и в теоретическом плане.

Исходя из изложенного сформулированы следующие задачи исследований:

синтез новых ранее неизвестных производных 2,3-дигидро-4(1Н)-хиназолинонов и 5Н-изоиндоло[2,1-a]хиназолин-5,11(6,6аН)-дионов

установление строения новых ранее неизвестных производных 4Н-3,1-хиназолин(дион)ов

исследование биологической активности полученных соединений и возможные пути применения полезных свойств новых синтезированных соединений.

2. Обсуждение результатов

 

.1 Синтез замещенных 2,3-дигидро - 4(1Н) хиназолинонов


Используя антраниламид как 1,3 N,N- бинуклеофил, нами проведена его конденсация с ароматическими альдегидами: п-нитробезальдегидом, салициловым альдегидом и 2-гидрокси-5-нитробензальдегидом(1а-с). Исходные вещества брались в эквимолярных соотношениях, реакция проводилась при комнатной температуре в концентрированной уксусной кислоте, которая использовалась как растворитель и кислотный катализатор (схема 1).

Схема 1



Методом ЯМР 1Н в (DMSO), ИК-спектроскопией и масс-спектрометрией установлено, что при взаимодействии антраниламида с п-нитробензальдегидом (1b), салициловым альдегидом (1a) и 2-гидрокси-5-нитробензальдегидом(1с) образуются 2- замещенные 2,3- дигидро 4(1Н)- хиназолиноны (2a-с). Полученные данные приведены в таблицах 1 и 2.

Таблица 1 - Характеристика синтезированных соединений 2a-c

Соединение

Брутто-Формула

Найдено Вычислено,%

Тп, С○

Rf (бензол+ацетон)

Выход,%



C

H

N

O




2a

C14H12N2O2

69,50 70,00

4,75 5,00

10,95 11,2

12,10 12,80

227

0,50

78

2b

C14H11N3O3

62,15 62,45

4,35 4,40

15,25 15,61

17,35 17,84

193

0,53

79

2c

C14H11N3O4

58,55 58,94

3,25 3,85

14,55 14,73

22,35 22,45

>260

0,33

75


Таблица 2 - Спектральные характеристики соединений 2а-с

Соединение

ИК спектр,ν,см-1

Спектр ЯМР 1Н(DMSO-d6)

М+, m/z



Химический сдвиг,δ, м.д.

КССВ,J, Гц


2a

3410(OH); 3287,3170(NH); 1647(C(O)-N<)

5.95(1H,д,H-2);6.63(1H,д.д,H-7); 6.72(3H,м,H-8+Н6+NH-1); 6.81(1H,д,H-5); 7.10(1H,т.д,H-3’);7.18(1H,т.д,H-4’);7.26 (1H,д.д,H-2);7.57(1H,д.д,H-5’); 7.88 (1H,д, NH-3);9.93(1H,уш.с, ОН)

3JCHNH=2,5; 3J7,8=7,1; 3J7,6=7,9; 3J5,6=7,2; 3J3’,4’=9,1; 3J3’,2’=8,0; 4J3’,5’=1,5; 3J3’,4’=8,6; 3J4’,5’=8,3; 4J4’,2’=1,2; 3J2’,3’=7,6; 3J5’,4’=7,8

240

2b

3281,3177(NH); 1642(C(O)N<); 1524,1348(NO2)

5.85(1H,д,H-2);6.66(1H,д.д,H-7); 6.72(1H,д,H-8); 7.23 (1H,д.д,H-6); 7.26(1H,уш.с,NН-1); 7.56 (1H,д,H-5);7.68(2H,д, H-2’+H-6’); 8.19 (2H,д, H-3’+H-5’); 8.47 (1H,д,NH-3)

3JNHCH=3,6; 3J7,8=8,0; 3J7,6=7,2; 3J5,6=8,0; 3J2’,3’=3J5’,6’=8,6

-

2c

3329(OH); 3285,3187(NH); 1630(C(O)N<); 1529,1340(NO2)

6.02(1H,c,H-2);6.68(1H,д.д,H-7); 6.77(1H,д,H-8);6.91(1H,уш.с, NН-1);7.02(1H,д,H-5’); 7.23(1H,д.д,H-6); 7.62(1H,д,H-5); 8.08(1H,д,H-4’); 8.14(1H,c,NH-3); 8.17(1H,c,H-2’); 11.80(11H,уш.с,O-H);

3J7,8=7,6; 4J7,6=7,2; 3J4’,5’=8,8; 3J5,6=7,4

285


Для решения задач экологического характера в рамках программы «GreenChemical» нами осуществлены эти же реакции в воде при кипячении без катализатора. При этом продукты конденсации антраниламида с альдегидами (1a-c) идентичны (по физико-химическим и спектральным характеристикам) продуктам, полученным в уксусной кислоте (2a,c).

хиназолин синтез изоцианат антраниловый

2.2 Синтез 5Н-изоиндоло [2,1-а] хиназолин -5,11 (6,6аН)-дионов гетероциклизацией антраниламида с замещенными формилбензойными кислотами


В настоящее время проведены реакции взаимодействия антраниламида с орто-формилбезойными кислотами (ФБК). Как и ранее мы решили осуществить эти реакции, и в воде, и в уксусной кислоте (схема 2). При проведении реакции в воде были получены хиназолиноновые производные бензойной кислоты (2`b,d), структура которых установлена спектральными методами (табл. 3-5).

Схема 2



В твердом состоянии, в соединениях 2`b и d, согласно спектрам ИК, присутствуют полосы при 1707-1703 см-1 и 1686-1680 см-1, относящиеся к валентным колебаниям С=О карбоксильной и амидной групп соответственно, и полосы при 3368-3353 см-1 и 3256-3246 см-1 на фоне широкой полосы поглощения валентных колебаний ОН группы, принадлежащие к валентным колебаниям двух NH связей, что свидетельствует о наличии в молекулах 2`b,d амино- и карбоксильных групп.

Таблица 3-Характеристика синтезированных соединений 2`b,d, полученных из воды

Соед.

Брутто-Формула

Найдено Вычислено,%

Тпл, С○

Rf (бензол+ацетон)

Выход,%



C

H

N

Hal




2`b

C15H11N3O5

57,5 57,48

3,51 3,48

13,4 13,38

-

229

0.25

62

2`d

C15H11IN2O2

47,60 47,63

2,95 2,91

7,43 7,40

33,63 33,58

256

0.30

75


Однако в ЯМР 1Н спектрах (DMSO - d6) протоны карбоксильной - и аминогрупп исследуемых соединений не определяются. Это можно объяснить тем, что диметилсульфоксид, используемый в качестве растворителя при снятии спектров ЯМР 1Н, являясь сильным основание, снимает кислый протон карбоксильной группы, переводя ее в анионную форму. Возможно так же, что в растворе молекулы 2`b,d находятся в состоянии динамического равновесия между двумя формами: нейтральной молекулой и ее биполярным ионом, что характерно для аминокислот[43]. Видимо из-за достаточно быстрого обмена протонов указанных групп, в шкале времени ЯМР, они не фиксируются в спектрах. В спектрах присутствуют сигналы всех ароматических протонов систем A-B-C-D и A-B-X и дублеты протонов H-C2-N-H связанных общей вицинальной константой равной 2,6 и 2,4 Гц (табл.4).

Таблица 4-Спектральные характеристики синтезированных соединений 2’b,d, полученных из воды

Соед.

ИК спектр,ν,см-1 (KBr)

Спектр ЯМР 1Н(DMSO-d6)

М+, m\z



Химический сдвиг,δ, м.д.

КССВ,J, Гц


2`b

3352,3256(NH); 1707,1686(C=O); 1524,1348(NO2)

6.65(1H,д,H-2); 6.67(1H,д.д,H-6); 6.71(1H,д,H-8); 7.21(1H,т.д,H-7); 7.60(1H,д.д,H-5); 7.88 (1H,д,H-3’); 8.12(1H,д,N-H);8.38 (1H,д,д,H-4’); 8.59(1H,д,Н-6’)

3JNHC2H=2,6;3J6,7=7,5; 3J6,5=7,8; 3J8,7=8,1; 4J7,5=1,4; 3J3’,4’=8,7; 4J4’,6’=2,5

313

2`d

3368,3246(NH); 1703, 1680(С=О);

6.45(1H,д,H-2);6.65(1H,д,д,H-6); 6.70(1H,д,H-8); 7.19 (1H,т.д,H-7); 7.41(1H,д,Н-3’); 7.58 (1H,д,д,H-5); 7.92(1H,д,д, H-4); 8.99 (1H,д,N-H); 8.14 (1H,д,H-6’)

3JNHC2H=2,4; 3J6,7=7,6; 3J6,5=7,7; 3J8,7=8,0; 3J7,5=1,5; 3J3’,4’=8,3; 4J4’,6’=1,8

394


Масс спектры соединений 2`b и 2`d содержат пики молекулярных ионов [M]+, начальная фрагментация которых начинается с отщепления молекулы воды и образованием иона Ф1(табл. 5; схема 3).

Таблица 5-Масс спектры соединений 2’b,d, полученных из воды

Соединение

m/z (Jотн, %)

2`b

313[M]+(4); 295(50); 294(100); 293(45); 265(18); 263(26); 248(18); 236(25); 219(13); 165(10); 146(18); 75(30)

2`d

394[M]+(7); 376(100); 375(40); 374(32); 349(12); 248(22);119(21); 929(18); 75(12)


Схема 3


Взаимодействие эквимолярных количеств ряда ФБК 1a-g с антраниламидом в уксусной кислоте одностадийно приводит к образованию 5Н-изоиндоло[2,1-а]хиназолин-5,11(6,6аН)-дионов 3a-g. Эти же соединения(3b,d) можно получить при нагревании соединений 2`b,d в полифосфорной кислоте. Строение синтезированных соединений подтверждено данными элементного анализа, ИК, ЯМР и масс-спектрами (табл. 6-8).

Таблица 6-Характеристика синтезированных соединений 3a-g, 4b, полученные из кислоты

Соед.

Брутто-Формула

Найдено Вычеслено,%

Тпл, С○

Rf (бензол+ацетон)

Выход,%



C

H

N

Hal




3a

C15H10N2O2

72.39 79.00

3.90 4.00

11.56 11.20

-

257

0.54

80

3b

C15H9N3O4

61.41 61.02

3.27 3.05

14.15 14.24

-

213

0.10

72

3c

C15H9N2ClO2

63.10 63.26

3.25 3.16

9.75 9.84

12.31 12.47

294

0.53

78

3d

C15H9IN2O2

47.55 47.87

2.23 2.39

7.30 7.45

33.52 33.78

283

0.6

73

3e

C15H9BrN2O2

54.75 54.71

2.35 2.74

8.63 8.51

24.07 24.32

266

0.56

80

3f

С17H14N2O4

65.45 65.81

4.71 4.52

8.85 9.03

-

299

0.15

52

3g

С16H12N2O3

68.57 68.55

4.28 4.30

10 10.15

-

297

0.52

80

4b*

C15H7N3O4

61.43 61.42

2.38 2.39

14.33 14.32

-

287

0.04

80

*вещество 4b полученное после обработки вещества 3b перекисью водорода.

Таблица 7-Спектральные характеристики синтезированных соединений 3a-g, 4b, полученные из кислоты

Соед.

ИК спектр,ν,см-1 (KBr)

Спектр ЯМР 1Н(DMSO-d6)

М+, m\z



Химический сдвиг,δ, м.д.

КССВ,J, Гц


3a

3170 (NH); 1720, 1680 (C=O)

6.41 (1Н, с, H-6a);7.30 (1Н, д.д, H-9); 7.61 - 7.65 (2Н, м, H-8+Н-2); 7.72 (1Н, д.д, H-3); 7.84 (1Н, д, H-4); 7.90 (1Н, д, H-7); 7.98 (1Н, д, H-10); 8.08 (1Н, д, H-1); 9.33 (1Н, уш.с, N-H)

3J2,3=7.5; 3J2,1=8.3; 3J3,4=7.9; 3J9,8=8.0; 3J9,10=8.1; 3J7,8=7.6

250

3b

3210 (NH); 1750, 1670 (C=O); 1510, 1330 (NO2)

6.92 (1Н, д, H-6a);6.96 (1Н, д.д, H-2); 7.29 (1Н, д, H-4); 7.49 - 7.53 (2Н, м, H-1+Н-3); 7.87 (1Н, д, H-7); 8.61 (1Н, д.д, H-8); 8.76 (1Н, д, H-10); 9.01 (1Н, д, N-H)*

3JСHNH=9.4; 3J3,2=7.7; 3J2,1=7.6; 3J4,3=8.5; 3J7,8=8.2; 4J8,10=2.1

295

3c

3210 (NH); 1710, 1676 (C=O)

6.47 (1Н, с, H-6a);7.33 (1Н, д.д, H-2); 7.68 (1Н, д.д, H-3); 7.83 (1Н, д, H-8); 7.86 (1Н, с, H-10); 7.89 (1Н, д, H-7); 7.97 (1Н, д, H-4); 8.05 (1Н, д, H-1); 9.39 (1Н, с, N-H)

3J2,1=3J7,8=8.0;3J3,2=7.6; 3J3,4=8.4

284

3d

3180 (NH); 1710, 1680 (C=O)

6.45 (1Н, с, H-6a); 7.33 (1Н, т.д, H-3);7.67 (1Н, т.д, H-2);7.78 (1Н, д, H-10); 7.84 (1Н, д.д, H-9); 7.92 (1Н, д.д, H-4); 8.00 (1Н, д.д, H-1); 8.07 (1Н, д, H-7); 9.31 (1Н, с, N-H)

3J2,3=7.5; 3J3,4=7.8; 4J3,1=1.0; 3J2,1=8.0; 4J4,2=1.5; 3J9,10=8.1; 4J9,7=1.6

376

3e

3200 (NH); 1730, 1680 (C=O)

3.85 и 3.90 [6Н, два с, (ОСН3)2]; 6.25 (1Н, с, H-6a);7.21 (1Н, с, H-7); 7.25 (1Н, д.д, H-2); 7.40 (1Н, с, H-10); 7.60 (1Н, д.д, H-3); 7.88 (1Н, д, H-4); 7.98 (1Н, д, H-1);9.27 (1Н, уш.с, N-H)

3J2,3=7.3; 3J3,4=6.5; 3J2,1=7.7

328

3f

3172 (NH); 1729, 1674 (C=O)

6.39 (1Н, с, H-6a); 7.32 (1Н, д.д, H-2); 7.65 - 7.71 (2Н, м, H-3+Н-7); 7.98 (1Н, д, H-4); 8.06 (1Н, д, H-8); 8.09 (1Н, д, H-1); 8.14 (1Н, с, H-10); 8.96 (1Н, уш.с, N-H)

3J2,1=3J3,2=3J4,3=8.3; 3J8,7=8.5

310

3g

3180(NH); 1710,1601(C=O)

3.83(1H,c,H-CH3);6.41(1H,c,H-6a); 7.30(1H,д,д,H-8);7.32(1H,д,H-10); 7.33 (1H,д,д,H-2);7.66(1H,т,д,H-3); 7.77 (1H,д,H-7);7.93(1H,д,д,Н-1); 8.00(1Н,д, Н-4);9.33(1H,c, N-H)

4J10,8=1,5; 4J7,8=8,2; 3J2,3=7,6; 4J3,1=1,5; 3J7,8=8,2; 3J1,2=7,7; 4J1,3=1,5; 3J4,3=8,0

280

4b*

1745 (C=O); 1512,1332 (NO2)

7.55(1Н,т,Н-2), 7.67(1Н,д,Н-4); 7.83(1Н,т,Н-3); 7.96(1Н,д,Н-7); 8.16(1Н,д,Н-1); 8.55(1Н,д,д,Н-8); 8.63(1Н,д,Н-10)

3J2,1=7,9; 3J2,3=7,55; 3J4,3=8,3; 4J3,2=7,55; 3J7,8=8,3 ;3J2,1=7,9; 3J8,7=8,3; 4J8,10=2,0; 4J10,8=2,0

293

*вещество 4b полученное после обработки вещества 3b перекисью водорода.

В ИК спектрах этих продуктов присутствуют полосы колебаний всех характеристических групп. Анализ масс-спектров свидетельствует о наличии во всех образцах пиков молекулярных ионов.

Таблица 8 -Масс спектры соединений 3a-g, 4bполученные в кислоте

Соединение

m/z (Jотн, %)

3a

250[M]+(41); 249(100); 222(28); 220(15); 192(6); 179(5); 146(6); 132(11); 130(45); 119(23); 102(13); 90(19); 77(37)

3b

295[M]+(25); 284(70); 293(51); 265(44); 263(50);249(40); 247(57); 236(43); 219(55); 191(33); 164(55); 146(70); 101(98); 90(100); 77(45)

3c

284[M]+(100);279 (72); 278 (7); 252 (15); 248(5); 236 (7); 195 (6); 191 (5); 181 (9), 119 (10); 107 (8); 76 (31)

3d

376[M]+(100); 375(45); 374(20); 295(25); 287(19); 249(25); 248(40); 222(10); 206(12); 191(12); 175(10); 119(13); 102(20); 90(29); 77(50)

3e**

328[M]+(13);328(100); 301(12); 249(25); 248(31); 208(53); 192(13); 182(18); 155 (21); 119(37); 103(20); 90(18); 77(9)

3f

310[M]+ (10); 309 (100); 308 (25);294 (10); 293 (13); 265 (32); 249 (29); 222 (10); 173 (25); 119 (12); 101 (18); 93 (13); 77 (12)

3g

280[M]+(100); 279 (72); 278 (7); 252 (15); 248 (5); 236 (7); 195 (6); 191 (5); 181 (9); 119 (10); 107 (8); 76 (31)

4b*

293[M]+(100); 292 (7); 265 (32); 247 (38); 230 (24); 219 (22); 202 (18); 164 (35); 146 (36); 116 (12); 101 (20); 95 (18); 63 (25); 50 (20); 43 (47)

*вещество 4b полученное после обработки вещества 3b перекисью водорода.

**значения m\z ионов соединений 3е,3с рассчитаны для легкого изотопа галогенов (79Br, 35Cl).

Следует отметить, что при получении изоиндолохиназолиндионов 3 не удается выделить промежуточные кислоты (А), поскольку их гетероциклизация в конечные продукты реакции протекает уже в уксусной кислоте. Можно предположить два направления этой циклизации: ацилирование по аминогруппе, либо по атому азота амидного фрагмента с образованием соединений 3 линеарного (В) или ангулярного (С) строения (схема 2).

Поскольку возможные изомеры В и С изоиндолохиназолиндионов 3а-g имеют одинаковые структурные фрагменты, данные спектров на ядрах 1Н либо 13С не позволяют сделать заключение по структуре исследуемых соединений, поэтому для продукта 3с нами были сняты двумерные спектры ЯМР гомоядерной (cosy, noesy) и гетероядерной1Н-13С корреляции через одну связь (HMQC) и через 2-3 связи HMBC.

Рассмотрение формул изомеров 3с показывает что в случае линеарного изомера 9-хлор-5Н- изоиндоло[2,1-а]хиназолин-5,11(6аН) - дион (3с, изомер В) следует ожидать пространственной близости протона фрагмента N-H с двумя ароматическими протонами H-1 и H-7, а в случае ангулярного изомера(3с, изомер С)- только с одним H-7. В NOESY спектре имеется только кросс-пик между сигналом протона фрагмента NH и сигналом Н-7 при 7.89 м.д., что свидетельствует в пользу ангулярного изомера структуры 3с. Другой кросс-пик указанного фрагмента N-H при 6.47 м.д. - прослеживается с сигналом протона Н-С6а. Дальнейшее подтверждение структуры изомера С следует из анализа данных спектра гетероядерной корреляции (табл.9, рис.1).

Таблица 9- Результаты эксперемента по гомоядерной (спектр NOESY) и гетероядерной корреляции(HMQC и HMBC) для соединения 3с.

Положение атома

Спектр ЯМР 1Н, δ, м.д.

HMQC (13C)

HMBC

NOESY

N-H

9.22

-

67.43 120.50

7.89; 6.47

1

8.05

119.99

125.39 120.50

7.68

4

7.97

128.65

163.89 137.38 133.91

7.33

7

7.89

133.80

135.59 133.50

6.47

10

7.86

123.93

135.59 163.54

-

8

7.83

126.48

139.84

6.47

3

7.68

133.91

137.38 128.65 119.99

8.05;7.33

2

7.33

125.39

120.50

7.97; 7.68

6a

6.47

67.43

163.54 139.84 133.80

9.22; 7.89


Отсутствие корреляции между сигналом протона N-H и сигналом атома 13С(1) ароматического цикла, расположенным при 119.99 м.д., не подтверждает линеарную структуру. В линеарной структуре (В) данная корреляция должна была бы быть достаточно интенсивной. Однако, найдена корреляция между протоном N-H и сигналом четвертичного 13С(14) при 120.5 м.д., которая как раз и подтверждает ангулярную структуру исследуемого соединения. Найденные корреляции позволили произвести надежное отнесение остальных сигналов и сделать выбор в пользу ангулярной структуры 3с.

Рисунок 1 - Гомоядерная и гетероядерная корреляции для соединения 3e

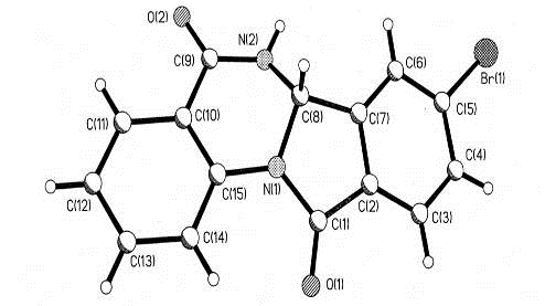
Для достоверного выбора между линеарным (В О,О-цис) и ангулярным (С О,О-транс) строением изомера изоиндолхиназолиндионов 3 нами был выращен кристалл и проведен рентгеноструктурный анализ одного из представителей этого ряда соединений -8-бромо-5Н-изоиндоло [2,1-а] хиназолин -5,11 (6,6аН)-диона(3е). Общий вид этой молекулы приведен на рисунке 2. Из рисунка 2 видно, что согласно данным РСА соединение 3е является ангулярным изомером (С).

Рисунок 2- Структура молекулы- 9-бромо-5Н-изоиндоло[2,1-а]хиназолин-5,11(6, 6аН)-диона

В гетероциклическом скелете (коре) молекулы имеется единственный sp3-гибридизированный атом-углерод С(8), в конечном итоге он и определяет стереостроение молекулы в целом. Молекула 8-бромоизоиндолхиназолиндиона (3е) не плоская и может быть описана набором трех пересекающихся плоскостей. Бензольное кольцо С(10)…С(15) и прилежащие к нему атомы С(9), N(1) и N(2) составляют плоскость 1(среднее отклонение атомов от плоскости составляет 0.0323 Ǻ). Атом С(8) выходит из этой плоскости на 0.4223Ǻ и вместе с атомами N(1) и N(2) образует плоскость 2. Угол между плоскостями 1 и 2 равен 143.7О. Изоиндольный фрагмент молекулы (атомыС(1)…С(8) и N(1)) плоский (плоскость 3, среднее отклонение атомов от плоскости равно 0.382 Ǻ). Угол между плоскостями 2 и 3 равен 127.4О. Такая геометрия гетероцикла обеспечивает отсутствие угловых напряжений тетраэдрического атома углерода С(8) и плоское тригональное окружение у обоих атомов азота.

Обработка соединения 3b перекисью водорода приводит к окислению хинизолинонового фрагмента с образованием соединения 4b. Строение соединения подтверждено данными ИК и ПМР спектроскопии. В ИК спектре появляется дополнительная полоса поглощения валентного колебания С=Nсвязи, которая отсутствует в соединении 3b, а так же в области 3500-3200 см -1 отсутствуют валентные колебания NHсвязи. В ПМР спектре полученного соединения отсутствует пик поглощения при 6.41 м.д. соответствующий протону 6а, а так же сигналпри 9.33 м.д., относящийся к протону аминогруппы.

Из литературных источников известно, что тетрациклические конденсированные структуры, содержащие аннелированный изоиндолоновый фрагмент, распространены в природе и обладают широким спектром биологической активности. Поэтому, полученные нами соединения (3a-d, g), проходили лабораторные испытания на пестицидную активность во Всероссийском Научно - Исследовательском институте биологической защиты растений (ВНИИБЗР, г. Краснодар) из результатов этих исследований следует, что изоиндоло [2,1-а] хиназолиндионы (3a,d,f) проявили антидотную активность по отношению к гербициду гормонального действия 2,4 - дихлорфеноксиуксусной кислоты (2,4 -Д) на проростках подсолнечника. В настоящее время проводятся полевые испытания этих соединений. После чего будет ясно о возможности использования их в качестве антидотов при возделывании подсолнечника.

3. Экспериментальная часть


3.1.Методы анализа


Для исследований применяли физико-химические методы анализа -ИК-спектроскопию, тонкослойную хроматографию, спектроскопию ЯМР 1H,13C, элементный анализ и метод РСА.

 

.1.1 Спектральные методы

ИК спектры сняты на приборе Specord-71(в виде суспензии в вазелиновом масле) и SpectrumTwo (с насадкой НПВО). Спектры ЯМР 1Н и 13С синтезированных соединений(3a-g), гетеро- и гомоядерные корреляционные спектры HSQC, HMBC, NOESY иCOSY соединения 3с зарегистрированы на спектрометре Agilent 400/54. Спектры ЯМР 1Н остальных соединений - на приборах BrukerDR-500 и Bruker АМ-300 - внутренний стандарт - ТМС. Масс - спектры полученные на приборе VarianCH-6 с применением метода прямого ввода вещества в ионный источник при температуре 70 - 180°C и энергией ионизации электронов 70эВ. Элементный анализ выполнен на C,H,N-анализаторе Hewlett-PackardHP-185B. Температуры плавления измерены на нагревательном приборе StuartSNP 30.

 

.1.2 Тонкослойная хроматография

Контроль за прохождением реакции осуществляли методом ТСХ (на пластинах Silufol-254 в системах бензол ацетон, 4:1 и бензол этанол, 4:1для соединений, соответственно, 2b,d, 3a-g, 4b). Проявитель - пары йода.

 

.2 Рентгеноструктурный анализ


Рентгеноструктурное исследование соединения 3е. Бесцветные моноклинические кристаллы 8-бромо-5Н-изоиндоло [2,1a]хиназолин-5,11(6,6aH)-диона выращены кристаллизацией из ледяной уксусной кислоты при 20ОС: а=13.6774(12)Ǻ, b=7.4981(6)Ǻ, C=24.544(2)Ǻ, ά=90O, β=103.258(2)Oγ=90OV=2450.0(4) Ǻ3, M=329.15, z=8, dвыч=1.785г/см3, μ=3.357 мм-1F(000)=1312. Пространственная группа Р21/n. Размер кристалла: 0.55*0.23*0.15 мм3.РСА выполнен на автоматическом круговом дифрактометре CAD4(графический монохроматор,МоКά)-излучение, w-сканирование, 2θmax=24.98О. Получено 16959 отражений( 7136 независимое), R(int)=0.0555. Структура расшифрована прямым методом по комплексу программ SHELXTL [42] и уточнена в анизотронном (изотронном для атомов водорода) приближении для достижения факторов расходимости R1=0.0389 wR2=0.0925. Полный набор координат атомов депонирован в Кембриджском банке структурных данных. (CCDC 934695).

3.3 Методы синтеза исходных веществ


3.3.1 Синтез амида антраниловой кислоты

Получали методике аммонолиза сложных эфиров аммиаком. Эта реакция протекает как нуклеофильная атака основанием, (аммиаком), по электродифицитному атому углерода, в результате чего метоксигруппа как менее нуклеофильная замещается на аминогруппу[33].

 

.3.2 Синтез 2-формилбензойных кислот

2-формилбензойные кислоты были получены по методам, описанным в литературе [41].

3.4 Синтез целевых соединений


3.4.1 Синтез 2-(2-гидрокси -5-нитрофенил-)2,3-дигидро-4(1Н) хиназолинона (2с).

Метод (А). В трехгорлую колбу, снабженную механической мешалкой, термометром, помещают 4-5 мл уксусной кислоты, (растворитель и катализатор), 0,136г (ν=0,01моль) амида антраниловой кислоты и 0,167г (ν=0,01) альдегида 1с. При смешении реагентов наблюдают образование желтого осадка, который при нагревании реакционной смеси до 750С исчезает. Нагрев и перемешивание продолжается в течение 3 часов, контроль реакции осуществляется методом ТСХ. Затем смесь охлаждают, образовавшийся осадок промывают водой, сушат, перекристаллизовывают из спирта. Выход 0.22 г (75%)

Метод (Б). В реакционную колбу помещаем 4-5мл дистиллированной воды, 0,136г (ν=0,01моль) амида антраниловой кислоты и 0,167г (ν=0,01) альдегида 1с.Смесь перемешивают на кипящей водяной бане, в течение 3,5 часов. Наблюдаем выпадение желтого осадка. Затем смесь охлаждают, образовавшийся осадок отфильтровывают, сушат, перекристаллизовывают из спирта. Выход 0.20 г (68%)

Аналогично получают, по методу А и Б, соединения 2а и 2b.

3.4.2 Синтез 2-(4-оксотетрогидро хиназолин-2-ил)-5’-нитробензойная кислота)(2`b)

Смесь 1.95 г (0.01 моль) 5-нитро-2-формилбензойной кислоты (1`b) и 1.36 г (0.01 моль) амида антраниловой кислоты в 10 мл дистиллированной воды перемешивают при кипячении 2 ч. Образовавшийся осадок отфильтровывают, промывают водой, сушат и перекристаллизовывают из спирта. Выход 1.90 г (84%).

Соединение 2`dполучены аналогично.

3.4.3 Синтез 9-нитро-5Н-изоиндоло[2,1-а]хиназолин-5,11(6, 6аН) - дион (3b)

(Метод А). Смесь 0.29 г (0.0015моль) ФБК (1`b) и 0,20 г (0.0015 моль) амида антраниловой кислоты в 15-20 мл уксусной кислоты. Смесь нагревают при перемешивании на водяной бане (70-75°C) 1.5-2 часа. По окончании реакции (контроль ТСХ), выпавший осадок отфильтровывают, перекристаллизовывают из спирта, сушат. Выход 0.31 г (72%).

Соединения 3а,3с-g получены аналогично.

(Метод Б) К 5 мл полифосфорной кислоты при перемешивании добавляют г (0.0015 моль) 2-(4-оксотетрагидрохиназолин-2-ил)-5’-нитробензойной кислоты (2`b). Смесь нагревают на водяной бане (70-75°C) 2 часа. Затем к охлажденной реакционной массе (ледяная баня) небольшими порциями добавляют 15 мл дистиллированной воды. Выпавший осадок экстрагируют хлористым метиленом, органический слой отделяют, растворитель отгоняют, осадок перекристаллизовывают из спирта. Выход 0.33 г (77%).

3.4.4 Синтез 9-нитро-5Н- изоиндоло[2,1-а]хиназолин-5,11- диона (4b)

Смесь состоящую из 0.44г (0.0015 моль) соединения 3b, 5мл ДМСО и 2 мл перекиси водорода, перемешивают при температуре 45ОС в течении 1,5-2 часов. Образовавшийся осадок выделяют и перекристаллизовывают из спирта. Выход 0.35 г (80%)

Выводы


1.      Проведен синтез антраниламида с ароматическими альдегидами в воде и в уксусной кислоте.

.        Установлено, что продукты взаимодействия антраниламида с ароматическими альдегидами, полученными как в воде так и в уксусной кислоте, являются одними и теми же соединениями.

.        Обнаружено, что реакция антраниламида с о-ФБК в воде протекает с образованием моноциклизации, в уксусной кислоте с бициклизацией молекул.

.        Получено 13 новых, ранее не описанных, конденсированных гетероароматических соединений.

.        Методами ИК, ЯМР 1Н и 13С, РСА и масс-спектроскопии доказано строение синтезированных соединений.

Результаты работы представлены в следующих публикациях

1.      Осташко М. А., Громачевская Е. В., Пушкарева К.С., Крапивин Г.Д. Синтез изоиндоло [2,1-а] - бензимидазолонов и - хиназолиндионов на основе замещенных 2-формилбензойных кислот. Тез. докл. на II Всерос. научной конф., с международным участием. «Успехи химии и комплексообразования»: Москва, Изд-во Росс. ун-та дружбы народов, 2012, 105с.

.        Осташко М. А., Громачевская Е. В., Пушкарева К. С. Синтез 5Н-изоиндоло [2,1a] хиназолин -5,11 (6,6aH)- дионов гетероциклизацией антраниламида с замещенными формилбензойными кислотами. Изучение структуры соединений. Тез. докл. на IV Открытой международной моложежной научно-практической конференции «Молодая наука-2013», посвященной Году охраны окружающей среды в Российской Федерации. Туапсе, 2013 (в печати).

.        Осташко М. А., Громачевская Е. В., Пушкарева К. С., Крапивин Г. Д. Синтез 5Н-изоиндоло [2,1a] хиназолин -5,11 (6,6aH)- дионов гетероциклизацией антраниламида с замещенными формилбензойными кислотами. Тез. докл. на III Международной конференции «Новые направления в химии гетероциклических соединений», г. Пятигорск, 17-21 сентября 2013 (в печати).

Список использованных источников


1.        Plecsia S. Synthesis and pharmacological study of some 3-(pyrazol-5-yl)-quinazolin-4(3H)-ones/S. Plecsia, M.L. Badjardi, D. Raffa // Eur. J. Med. Chem. - 1986. - №4. - P. 291-295.

2.        Iarhan R. Synthesys of some new 3-(2-benzothyazyl)-4H-Quinazolinnones as antifungal agents/ R. Iarhan ,B.J. Ral // J. Chem & Eng. Data. - 1986. - Т.31. - №4. - P. 501-502.

3.        Patent 459936 USA, HKU 514/529. Derivatives of (E)-3-(4-oxo-4H-quinazolin-3-yl) 2-propenamide /M. Carson, R.A. Mahieu, W.C. Nason // РЖХ. - 1987. -90150.

4.        Джилкрист Т. Химия гетероциклических соединений. - М.: Мир, 1996. - 329 с.

5.        Бартон Д. Общая органическая химия. Т.8. Азотсодержащие системы: Диазины и бензадиазины / Д. Бартон, У. Д. Оллис // Пер. с англ. Н. К. Кочеткова. - М.: 1985. - 167-168с.

6.        Wang С. Copper-Catalyzed Synthesis of Quinazoline Derivatives via Ullman-Type Coupling and Aerobic Oxidation / С. Wang, S. Li, H. Liu, Y. Jiang, H. Fu, // J. Org. Chem. - 2010. - Т.75. - P. 7936-7938.

7.        Linh V. T. Mild and efficient ligand-free copper-catalyzed condensation for the synthesis of quinazolines/ V.T. Linh, M. Morrow // Tetrahedron Letters. - 2010. - №51. - P. 758-760.

8.        Зильберман Е.Н. Реакции нитрилов. М.: Химия, 1972. - 267 с.

9.        Bernath G. Preparation and conformational study of partially saturated 3,1-benzoxazines, 3,1 benzoxazin-3-ones and 3, 1-benzoxazin-2-tiones / G. Bernath, G. Staser, A. E. Szabo. // Tetrahedron. - 1985. - V.41. - №7. - P. 1353-1356.

10.      Chaurasia N. R. Synthesys of some new 4(3H)quinazolines and as CNS depressants and antifungal agents/ N. R. Chaurasia, A.K. Sharma // J. Indian Chem. Soc.- 1985 -Т. 62. - №4. - P.308-309.

11.      Rao A.D. Synthes and biological activities of certain derivatives of 3-arly-4(3H)-quinazolinones / A. D. Rao, C.R. Shankar, P. B. Reddy // J. Indian Chem. Soc. - 1985. - Т.62. - №3. - P.234-237.

12.      Визгунова О.Л. Синтез перхлоратов 4(3Н)-хиназолинония на основе N-(2,3-диметилфенил)-антраниловой кислоты / О.Л. Визгунова , Ю.В. Кожевников, И.И. Градель и др. // Рукопись деп. ВВИНИТИ II.03.86,№1676.В. - Пермь, 1986. - 9с.

13.      Grout R. S. Cyclies Amidines. Part XIX. Refrrangement of quinazolinone ethers/ R. S.Grout, M. W. Partrige // J. Chem. Soc.-1960. - P.3546-3550.

14.      Taylor E. C. The pimerezation of 2-amino-5-nitrobenzonitrile/ E. C.Taylor, R. J. Knopf, A. L. Barror // J. Amer. Chem. Soc. - 1960. - Т.82. - P.3152.

15.      Бартон Д. Общая органическая химия. Т.8. Азотсодержащие системы: Диазины и бензадиазины. / Д. Бартон, У. Д. Оллис // Пер. с англ. Н. К. Кочеткова. - М.: 1985. - 160-185 с.

16.      Zeng L. Y. Three-Component Domino Synthesis of 2-Arylquinazoline-4-amines in One Pot by Activating an sp3 C-H Bond in a Nonmetal Catalytic Oxidation System / L.Y.Zeng, W. B.Yi, C. Cai // Eur. J. Org. Chem. - 2012. - P. 559-566.

17.      Roberts B. Molybdenum-mediated synthesis of quinazolin-4 (3H)-ones via cyclocarbonylation using microwave irradiation / B. Roberts, D. Liptrot, T. Luker, M. J. Stocks, C. Barber, N. Webb, R. Dods, B. Martin // Tetrahedron Letter. - 2011. - №52. - P. 3793-3796.

18.      Adib M. One-Pot Three-Component Synthesis of 4(3H)-Quinazolinones from Benzyl Halides, Isatoic Anhydride, and Primary Amines/ M. Adib, E. Sheikhi, R. H. Bijanzadeh // Synlett. -2012. - № 23. - P.85-88.

19.      Adib M. Solvent-free reaction between antranilic acids and isocyanides: A novel approach for the synthesis of 2-unsubstituted 4(3H)-quinazolinones / M. Adib, M. Karimzadeh, M. Mahdavi, E. Sheikhi, P. Mirzaei // Synlett. - 2011. -№ 6. - P.834-836.

20.      Козловская И.Н., Бадовская Л.А. Новые производные фурана на основе фурановых амидов. /И.Н. Козловская, Л. А. Бадовская // Тез. Докл. I Региональное совещание по хим. Реактивам республик средней Азии и Казахстана. Душанбе: 1986. - 110с.

21.      Ossman A.R. Synthesis of some new 4(3H)-quinazoline derivatives/A. R. Ossman, H. M. Safwat, M. A. Aziza // Indian J. Chem. - 1985. -V.24.-№3. - P.333-335.

22.      Salem M.A.I. Synthesis of some new 2-[2-(chlorbenzoyl)vinyl]-4H-3,1-quinazolin-4-one derivatives / M. A. I. Salem, E. A. Soliman // Egypt. J. Chem. - 1984. - V.27. - №6. - P.779-787.

23.      Shaukar C.R. Synthesys and biological activities of S-[n-[6,8-dibromo-2-methyl- 4(3H)-oxo-3-quinazolinyl]acetomido]-N-subsituted dithiocarbamates / С. R. Shaukar, A. Rao, P. B. Sattur // J. Chem. -1985. - №5. - P.580-582.

24.      Mohamed M.M. Synthesys and some reaction of 2-(α,β-naphtyl)-3,1-benzoksazin-(4H)-ones and 3-amino-2-( β-naphtyl)-quinazolin-4(3H)-one / M.M. Mohamed, A.A. EI-Khamary, S. El-Nagdy, S.W. Shoshaa // Indian J. Chem. -1986. - №2. - B25. - №7. - P.207-211.

25.      Padnaja J. Reaction of 2-alkyl-4H-napht[1,2-d][1,3]oxazin-4-ones with primary amines and Sohiff bases / J. Padnaja, M. Reddy, R. Satuanarayama // Indian J., Chem. - 1986. - №7. - P.712-715.

26.      Nitin T. P. Gold- and Platinum-Catalyzed Formal Markownikoff’s Double Hydroamination of Alkynes: A Rapid Access to Tetrahydroquinazolinones and Angularly-Fused Analogues Thereof / T. P. Nitin , R.D. Kavthe, V.S. Raut, V. S. Shinde, B. Sridhar // J. Org. Chem. - 2010. - V.75. - P.1277-1280.

27.      Гетероциклические соединения. Т.6. Под ред. Эльдерфильда / Пер.с англ. - М.: 1960. - 268-311с.

28.      Иванский В. И., Химия гетероциклических соединений. - М.: Высшая школа, 1978. - 322 с.

29.      Бартон Д. Общая органическая химия. Т.8. Азотсодержащие системы: Диазины и бензадиазины. / Д. Бартон, У. Д. Оллис // Пер. с англ. Н. К. Кочеткова. - М.: 1985. - 175-178 с.

30.      Пожарский А.Ф. Теоретические основы химии гетероциклов. - М.: Химия, 1985. - 278с.

31.      Практикум по органической химии Т.2. / Под ред. В.М. Потапова, С.В. Пономарева. М.: 1979. - 193-202с.

32.      Громачевская Е.В. Исследование в области 4H-3,1-бензоксазинов. 2. Синтез 2,4 -замещенных -1,2 - дигидро -4Н -3,1-бензоксазинов. / Е.В. Громачевская, В.Г. Кульневич, Т.П. Косулина, В. С. Пустоваров // ХГС. - 1988. - №6. - 842-847с.

33.      Вейгвед-Хильгетаг. Методы эксперимента в органической химии. - М.: Химия, 1968. - 944с.

34.      Chelardoni M. Condensation of antranilamide and its N-methyl derivatives with phthalaldehydic acid/ M. Chelardoni, V. Pastellini //. Italy Annali di Clinica (Rome, Italy). - 1974. - V.64 (5-6). - P.421-425

35.      Болтухина Е.В. Методы построения [1,2]изоиндолоконденсированных бензазепинов, бензазоцинов, хинолинов и изохиналинов. / Е.В Болтухина, Ф. И. Зубков, А.В. Варламов // ХГС. - 2006. - №7. 963с. [Chem. Heterocycl. Comp., 2006. - V.42. -P. 83].

36.      Громачевская Е. В. Исследования в области 4Н-3,1-бензоксазинов. 15. Тандемные гетероциклизации с участием 2-формилбензойной кислоты. Синтез изоиндоло [1,2-b][1,3]-и[2,1-a][3,1] / Е.В. Громачевская, А.С. Пилипенко, А.В. Бутин, В.Е. Заводник, Г.Д. Крапивин, // ХГС. - 2010. - №1. - .125-136с.

37.      Пат. РФ №2345083, Б. И. №3 Замещенные 6а,11-дигидро -5Н_бензо[4,5][1,3] оксазино [2,3] изиодол-11-оны-антидоты гербицида горомонального действия 2,4-дихлор-феноксиуксусной к-ты и способы их получения / Громачевская Е.В., Бутин А.В., Пилипенко А.С., Крапивин Г.В., Бородавко А.А., Исаева Л.И., Стрелков В.Д. №3 (2009).

38.      S.K. Meegala, G.J. Stevens, C.A. McQueen, A.Y. Chen, Ching Yu, J. Med.Chem., 37, 3434 (1994)

39.      Sherine N. K. Synthesis of new series of quinoxaline based MAO-inhibitors and docking studies / N. K Sherine, Y. H. Sehan, E. F. Ayman , A. M. El-Massry, A. J. Amer // Heterocyclic Chem. - 2007. - №44. -P.617

40.      Ласковский В.В. 11Н-изоиндоло[2,1-a]бензимидазолы / В.В. Ласковский, З.В. Войтенко, В. А. Ковтуненко // ХГС. - 2007.-323с.

41.      Дмитриев А.С. 2-(2-Карбоксибензил) фураны в синтезе бензаннелированных гетероциклов Дис. … канд. хим. наук/ Краснодар. 2006.- 138 с.

42.      Sheldrick G. M. Computational Crystallography / G. M. Sheldrick. - Oxford; New York: Oxford univ. Press. - 1982. - P. 506.

43.      Химическая энциклопедия. Т.5. Научное издательство «Большая Российская энциклопедия». - M.: 1988. - 653-654 с.

Приложение А


Рисунок А.1- ЯМР 1Н-спектр соединения 8-метокси-5Н-изоиндоло[2,1-а]хиназолин-5,11(6, 6аН)-диона (полученного из кислоты)

Рисунок А.2- ЯМР 1Н-спектр соединения 9-бромо-5Н-изоиндоло[2,1-а]хиназолин-5,11(6, 6аН)-диона (полученного из кислоты)

Рисунок А.3- ЯМР 1Н-спектр соединения 8,9-диметокси-5Н-изоиндоло[2,1-а]хиназолин-5,11(6, 6аН)-диона (полученного из кислоты)

Рисунок А.4- ЯМР 1Н-спектр соединения 5Н-изоиндоло[2,1-а]хиназолин-5,11(6, 6аН)-диона (полученного из кислоты)

Рисунок А.5- ЯМР 1Н-спектр соединения 2-(4-оксотетрогидро хиназолин-2-ил)-5’-йод бензойная кислота) (полученного из воды)

Рисунок А.6- ЯМР 1Н-спектр соединения 9-хлор-5Н-изоиндоло[2,1-а]хиназолин-5,11(6, 6аН)-диона (полученного из кислоты)

Рисунок А.7- ЯМР 1Н-спектр соединения 2-(4-оксотетрогидро хиназолин-2-ил)-5’-нитро бензойная кислота) (полученного из воды)

Приложение Б


Рисунок Б.1- ИК-спектр соединения 2-(4-оксотетрогидро хиназолин-2-ил)-5’-нитро бензойная кислота) (полученного из воды)

Рисунок Б.2 - ИК-спектр соединения 9-хлор-5Н-изоиндоло[2,1-а]хиназолин-5,11(6, 6аН)-диона (полученного из кислоты)

Рисунок Б.3- ИК-спектр соединения 2-(4-оксотетрогидро хиназолин-2-ил)-5’-йод бензойная кислота) (полученного из воды)

Рисунок Б.4 - ИК-спектр соединения 9-бромо-5Н-изоиндоло[2,1-а]хиназолин-5,11(6, 6аН)-диона (полученного из кислоты)

Рисунок Б.4 - ИК-спектр соединения 5Н-изоиндоло[2,1-а]хиназолин-5,11(6, 6аН)-диона (полученного из кислоты)

Рисунок Б.5 - ИК-спектр соединения 9-йод-5Н-изоиндоло[2,1-а]хиназолин-5,11(6, 6аН)-диона (полученного из кислоты)

Рисунок Б.6 - ИК-спектр соединения 2-(2- гидрокси -5-нитрофенил) -2,3-дигидро-4(1Н) хиназолинон (полученного из кислоты)

Рисунок Б.7 - ИК-спектр соединения 2-(п-нитрофенил) 2,3-дигидро 4(1Н)-хиназолинона (полученного из кислоты)

Рисунок Б.8 - ИК-спектр соединения 2,3-дигидро 4(1Н)-хиназолинона (полученного из кислоты)

Приложение В


Рисунок В.1 Двумерный гомоядерный спектр noesy соединения- 9-хлор-5Н-изоиндоло[2,1-а]хиназолин-5,11(6, 6аН)-диона (полученного из кислоты)

Рисунок В.2 Двумерный гомоядерный спектр COESY соединения- 9-хлор-5Н-изоиндоло[2,1-а]хиназолин-5,11(6, 6аН)-диона (полученного из кислоты)

Приложение Г


Рисунок Г.1 Димерная структура молекулы- 9-бромо-5Н-изоиндоло[2,1-а]хиназолин-5,11(6, 6аН)-диона в пространстве(полученной из кислоты)

Рисунок Г.2 Упаковка димеров в кристалле соединения-9-бромо-5Н-изоиндоло[2,1-а]хиназолин-5,11(6, 6аН)-диона (полученного из кислоты)

Похожие работы на - Синтез новых гетероциклических соединений взаимодействием N, N-бинуклеофилов с карбонильными соединениями

 

Не нашли материал для своей работы?
Поможем написать уникальную работу
Без плагиата!
Без нейросетей!