Разработка методики оценки скорости распространения верховых лесных пожаров в сопряженной постановке
Министерство
образования и науки Российской Федерации
Федеральное
государственное образовательное учреждение высшего профессионального
образования
«Национальный
исследовательский Томский политехнический университет»
Институт
неразрушающего контроля
Направление
подготовки «Техносферная безопасность» 280700
Кафедра
экологии и безопасности жизнедеятельности
Бакалаврская
работа
Тема работы
Разработка
методики оценки скорости распространения верховых лесных пожаров в сопряженной
постановке
Томск -
2015г.
Реферат
Выпускная квалификационная работа выполнена на
81 с., содержит 13 рисунков, 16 таблиц, имеет 36 источников.
Ключевые слова: лес, верховой лесной пожар,
характеристики лесного массива, математическая модель, пожар, верховой пожар,
противопожарный разрыв.
Объектом исследования являются лесные пожары.
Предмет исследования - математическое моделирование возникновения и
распространения верхового лесного пожара при наличии и в отсутствии разрывов.
Цель работы - разработка математической модели распространения верховых лесных
пожаров в сопряженной постановке с учетом противопожарных разрывов.
В работе использовался метод математического
моделирования.
В результате исследования процесс возникновения
и развития верхового лесного пожара описан в рамках сопряженной математической
постановки, т.е., учитывается взаимное влияние горения в пологе леса и горения
над пологом леса. Изучено влияние метеоусловий и других факторов на скорость
распространения пожара и выбросы продуктов горения в приземных слой атмосферы.
Степень внедрения: разработанная в дипломной
работе модель возникновения и распространения верхового лесного пожара
опубликована в сборниках научных конференций.
Экономическая эффективность/значимость работы:
данная работа позволит в более точно рассчитать противопожарный разрыв.
В будущем планируется: создание более удобного
интерфейса, 3D восприятие ситуации.
Определения, обозначения, сокращения,
нормативные ссылки
Пожар - неконтролируемый процесс горения,
причиняющий материальный ущерб, вред жизни и здоровью людей, интересам общества
и государства.
Лесной пожар - стихийное, неуправляемое
распространение огня по лесным площадям.
Ярус - слой в вертикальной структуре леса.
Низовой пожар - пожар, распространяющийся по
нижнему ярусу леса и охватывающий лесную подстилку, мхи, траву, опавшие ветви.
Верховой пожар - пожар, распространяющийся по
листьям, ветвям, кроне.
Лесные горючие материалы (ЛГМ)- растения лесов,
их морфологические части и растительные остатки разной степени разложения,
которые могут гореть при лесных пожарах.
Математическая модель - некий заместитель
оригинала, обеспечивающий изучение некоторых свойств оригинала.
Противопожарный разрыв - специально созданный в
лесу разрыв, выполненный в виде просеки с минерализованной полосой, очищенный
от горючих материалов с целью устройства препятствий на пути распространения
пожара.
Контрольный объем - замкнутая область течения
жидкости или газа, для которой производится поиск полей макроскопических
величин (например, скорости, давления), описывающих состояние среды во времени
и удовлетворяющих определенным законам, сформулированным математически.
Обозначения и сокращения - ЛГМ - летучие горючие
материалы
Нормативные ссылки
В настоящей работе использованы ссылки на
следующие стандарты:
. ГОСТ Р 1.5 - 2012 Стандартизация в Российской
Федерации. Стандарты национальные Российской Федерации. Правила построения,
изложения, оформления и обозначения.
. ГОСТ 2.104 - 2006 Единая система
конструкторской документации. Основные надписи.
. ГОСТ 2.105 - 95 Единая система конструкторской
документации. Общие требования к текстовым документам.
. ГОСТ 2.106 - 96 Единая система конструкторской
документации. Текстовые документы.
. ГОСТ 2.301 - 68 Единая система конструкторской
документации. Форматы.
. ГОСТ 3.1102 - 2011 Единая система
технологической документации. Стадии разработки и виды документов.
. ГОСТ 3.1105 - 2011 Единая система
технологической документации. Формы и правила оформления документов общего
назначения.
. ГОСТ 7.0.5 - 2008 Система стандартов по
информации, библиотечному и издательскому делу. Библиографическая ссылка.
. ГОСТ 7.1 - 2003 Система стандартов по
информации, библиотечному и издательскому делу. Библиографическая запись.
Библиографическое описание.
. ГОСТ 7.9 - 95 Система стандартов по
информации, библиотечному и издательскому делу. Реферат и аннотация.
. ГОСТ 7.32 - 2001 Система стандартов по
информации, библиотечному и издательскому делу. Отчёт о
научно-исследовательской работе. Структура и правила оформления.
. ГОСТ 8.417 - 2002 Государственная система
обеспечения единства измерений. Единицы величин.
Введение
Трудно переоценить важность леса. Это не только
материалы для строительства, энергетической, химической и бумажной
промышленности. Лес - место обитания тысяч видов животных, лес - рекреационная
зона. Лес основной источник кислорода на Земле. К сожалению, издавна леса
подвергались уничтожению - вырубались в экономических целях, исчезали из-за
природных процессов, выгорали по неосторожности человека. Несмотря на меры
предосторожности, в Российской Федерации ежегодно уничтожается более 1 млн.
гектар леса.
И хотя существуют точки мнения, что лесные
пожары являются в какой-то степени благом для леса (в качестве аргументов
приводятся данные по повышению плодородия почвы, по увеличению видового разнообразия),
современное состояние лесов и антропогенная природа лесных пожаров говорит о
том, что отрицательных моментов гораздо больше, чем положительных. В качестве
примера подобных отрицательных моментов можно выделить установленную связь
глобального потепления с массовыми выбросами CO2
от лесных пожаров [2], задымленность городов, возможный переход лесного пожара
на постройки, находящиеся недалеко от границы леса. В частности, известны
случаи выгорания целых деревень [3].
По вышеуказанным причинам проблема лесных
пожаров весьма актуальна. Кроме того, высокая дальность распространения пожара
по массиву и возможное пересечение границ государств выводит эту проблему на
международный уровень. Однако, сегодня не уделяется достаточного внимания
физическому моделированию лесного пожара.
Целью данной работы является разработка
математической модели распространения верховых лесных пожаров в сопряженной
постановке с учетом противопожарных разрывов. Подобные модели используются для
составления прогнозов поведения реальных лесных пожаров, для разработки мер по
предупреждению и устранению пожаров в случае их возникновения.
Натурные исследования являются дорогостоящими,
оказывают воздействие на окружающую среду, а также могут выйти из-под контроля
и перейти в стадию ЧС. Кроме того, при необходимости проведения массовых
экспериментов с различными параметрами, невозможно применять натурные
испытания. Поэтому предпочтительнее использовать математические модели, которые
лишены этих недостатков. Именно этим обусловлена актуальность работы и ее
практическая значимость.
Объектом исследования являются лесные пожары.
Предмет исследования - математическое моделирование возникновения и
распространения верхового лесного пожара при наличии и в отсутствии разрывов.
Расчеты проводились при помощи модели, созданной
на основе модели А.М. Гришина [13], являющейся наиболее полной в том плане, что
предыдущие модели не учитывали некоторые параметры, а также вносили упрощения,
от которых отказались при составлении данной модели. Итогом расчетов стали
результаты - зависимость размеров противопожарного разрыва от параметров
лесного массива. Данные результаты были продемонстрированы в ходе научных
конференций.
лесной пожар ресурсоэффективность взрывной
1. Теоретическая часть
.1 Обзор литературы
Изучением лесных пожаров занимается лесная
пирология. Это научное направление зародилось давно и успело накопить большое
количество материала по возникновению, распространению, тушению пожаров, а
также по их влиянию на окружающую среду.
Лесной пожар - стихийное, неуправляемое
распространение огня в лесу или на землях лесного фонда. Лесные пожары принято
разделять на верховые, низовые и подземные [1].
Низовой пожар распространяется по приземному
слою - траве, кустарникам, листовому опаду, мелкому подросту и коре. По
скорости распространения бывает беглый и устойчивый. Беглый пожар
распространяется со значительной скоростью (до 300 м/ч) и зависит от скорости
ветра в приземном слое. Такой пожар возникает весной, когда просыхает только
верхний слой подстилки. Поэтому картина пожара имеет пятнистый вид, так как
непросохшие участки не возгораются. Устойчивый пожар наоборот, распространяется
медленнее (до 180 м/ч), однако напочвенный покров и лесная подстилка прогорают
полностью, поэтому картина пожара сплошная, без проплешин. Такой пожар может
перейти в другие формы - на торфяниках - в подземный, в молодых лесах - в
верховой. Такой пожар наносит вред деревьям из-за глубокого повреждения корней
и ствола.
Верховой пожар также бывает верховым и беглым.
Он распространяется по кронам деревьев, причем чаще всего является продолжением
низового пожара. Огонь поднимается по низкоопущенным кронам и разновозрастным
деревьям, поэтому он чаще возникает в хвойных, многоярусных и горных лесах, а
также в сухостоях. Скорость верховых пожаров велика - от 1500 м/ч при
устойчивом пожаре до 5000 м/ч при беглом.
Математическое моделирование лесных пожаров
возникло относительно недавно, но уже занимает важное место в деле изучения
лесных пожаров. Благодаря моделированию отпала необходимость в проведении
натурных испытаний, хотя имеющиеся модели не обладают абсолютной точностью и не
учитывают возможных случайных возмущений, а также отражают лишь некоторые из
возможных параметров.
Первая модель распространения пожаров была
опубликована в 1946 году В.Л. Фонсом [4]. Она была основана только на уравнении
теплового баланса и использовала в качестве коэффициентов данные, полученные
при сжигании горючих веществ в аэродинамической трубе. Далее стоит выделить
модель Г.М. Байрама (1970) [5], которая определяла соотношение между длиной
пламени, величиной расходуемых горючих веществ и теплотой их сгорания. В этой
модели использовались реальные данные, полученные при изучении пожаров в
сосновых лесах. Однако недостатком этой модели было то, что в качестве входных
данных использовались данные (например, длина и высота пламени), которые могут
быть получены только из наблюдения за конкретным пожаром. Первой моделью,
которая использовала только те данные, которые могут быть измерены заранее,
стала модель низовых пожаров Р.Ротермела (1972) [6], в основе которой лежит
баланс энергии твердой фазы горючего. Эта модель стала одной из наиболее
удачных, прошла многочисленные полевые проверки. Некоторые положения этой
модели используются до сих пор.
До 1980-х годов большинство математических
моделей распространения лесных и торфяных пожаров были одномерными и описывали
изменение только одного из параметров - скорости распространения, контуров,
характеристик течения, тепломассопереноса. Лишь немногие модели включали в себя
прогнозирование нескольких характеристик. Также не были изучены полностью
процессы перехода низового пожара в верховой - они были описаны лишь с точки
зрения прогрева и сушки ЛГМ и не затрагивали химические реакции в пологе леса.
Также в большинстве моделей того времени скорость распространения огня
задавалась эмпирически, не учитывалось влияние приземного слоя атмосферы и
фронта пожара друг на друга, хотя и позволяет определить контур и площадь
пожара. Также не были предсказаны критические условия для воспламенения и
распространения лесных пожаров, при которых горение не распространяется или
прекращается вовсе. Скорость распространения пожара рассчитывалась только в
направлении ветра [7].
В отечественной науке первая модель была создана
в 1949 году В.Г. Нестеровым и была основана на экспериментальных исследованиях
горимости лесов. Впервые были предложены критерии пожарной опасности [8].
Наиболее крупным ученым в области математического моделирования является
А.М.Гришин. Он разработал несколько моделей, использующихся и сегодня. Согласно
его моделям, лес при пожаре является пористо-дисперсной реакционноспособной
сплошной средой, неоднородной по структуре и составу. Для получения необходимых
данных о лесе (объемные доли фаз, аэродинамические характеристики лесных
массивов, механизм передачи энергии от фронта пожара к окружающей среде,
коэффициенты переноса, характеристики химических реакций) были проведены
многочисленные натуральные, полунатуральные и лабораторные экспериментальные
исследования и был сформирован один из крупнейших банков данных, использующийся
до сих пор [9].
Рассмотрим различные методы исследования
пожаров.
Физико-математическое моделирование поведения
пожаров условно делят на три группы:
модели, построенные «из первых принципов»;
модели «черного ящика»;
феноменологические [7].
· Модели первой группы основаны на
физике горения и для прогноза используют расчеты на основе исходной теории. Эти
модели учитывают три вида передачи тепла: теплопроводность, конвекция и
радиация.
· Модели второй группы рассматривают
только исходные данные пожара и сравнивают их с имеющимися экспериментальными
данными и на основании сходства выдают прогнозы. Однако, успешность применения
напрямую зависит от соответствия данных тем данным, которые содержатся в базе
данных.
· Модели третьей группы сочетают в
себе физические расчеты и константы, выявленные в ходе наблюдения за реальными
пожарами.
Отличие моделей первой и второй группы очевидно
- первые используют только расчеты, вторые - только экспериментальные данные.
Третья группа моделей занимает промежуточное положение. При этом первая группа
моделей обладает универсальностью, т.е, способностью рассчитывать параметры
любого пожара, а вторая - точностью и простотой построения при совпадении
параметров образца и текущего пожара. Поскольку граница между этими группами (а
особенно между первой и третьей), то возможно рассматривать два подхода - с
описанием физико-химических процессов горения и моделирование в виде «черного
ящика».
В зависимости от способа отображения данных модели
разделяются на пространственные и непространственные. Модели первой группы дают
возможность наблюдать визуализированное распространение пожара по массиву, а
модели второй группы выдают результаты в виде графов и таблиц. При этом
непространственные модели требуют меньшие вычислительные мощности, однако
сложнее для интерпретации, а пространственные интуитивно понятны, однако они
требуют больше памяти и сложнее в построении.
По возможному назначению модели делятся на три
уровня:
фундаментальное моделирование;
тактическое моделирование;
стратегическое моделирование [1].
Фундаментальное моделирование исследует горение
отдельных частиц, слоев из однородных частиц и слоев из разных горючих
материалов и основано на процессах тепломассопереноса. В качестве исходных
параметров берутся физико-химические свойства веществ (содержание, влажность,
теплопроводность, количество и состав выделяющихся при горении веществ) и
характеристики среды (скорость и направление ветра, влажность воздуха,
турбулентность атмосферы). Решениями для данных моделей являются распределение
температур, концентраций веществ, размеры пламени, скорость его
распространения. В качестве примера можно привести модели А.М.Гришина [1] и
Ю.А.Гостинцева. [9] Часто эти модели являются основой для тактического
моделирования.
Тактическое моделирование прогнозирует пожар в
целом - скорость распространения, контур и площадь горения, интенсивность
горения. Также в данных моделях определяется вид пожара и факторы, приводящие к
перемене вида пожара (параметры, при которых низовой пожар переходит в
верховой, а тот в свою очередь - в пятнистый). Данные модели разрабатывали
Э.В.Конев [10], Е.К. Кисиляхов [11].
Стратегическое моделирование изучает
совокупности пожаров - их возникновение, распространение, развитие, а также
основные важнейшие их характеристики - скорость, площадь, длину фронта. Эти
модели используются руководителями административных единиц, соответствующими
органами МЧС и имеют важное практическое значение, поскольку на основании их
прогнозов принимаются меры по защите населения и территории в пожароопасный
период. В нашей стране этими моделями занимался Г.Н.Коровин [12].
.2 Методика численного решения
Пусть очаг зажигания связан с началом системы
координат, причем начало системы координат X,
Y, Z
связано с центром очага. Ось ОZ
направлена вертикально вверх, а оси ОХ и ОY
- параллельно земной поверхности. Ось ОХ совпадает с направлением ветра. Под
действием ветра очаг верхового пожара начинает распространяться по лесному
массиву.
Рисунок 1.1. Система координат с
очагом зажигания в центре, где 1 - очаг зажигания, 2 и 3 - лесной массив
Основные допущения, принятые при
выводе системы уравнений начальных и граничных условий.
1. Ветер направлен вдоль оси Х;
. Течение носит развитый турбулентный
характер, и молекулярным переносом пренебрегаем по сравнению с турбулентным;
. Полог леса предполагается
недеформируемой пористо-дисперсной средой;
. Среда в пологе леса считается
двухтемпературной, т.к. различаются температура газовой и конденсированной
фазы.
. Среда находится в локальном
термодинамическом равновесии;
. Рассматривается так называемый
продуваемый лесной массив, когда объемной долей конденсированной фазы лесных
горючих материалов (ЛГМ), состоящей из сухого органического вещества, воды в
жидко-капельном состоянии и золы можно пренебречь по сравнению с объемной долей
газовой фазы, включающей в себя компоненты воздуха и газообразные продукты
пиролиза и горения.
. Плотность газовой фазы не зависит от
давления, т.к. скорость течения мала по сравнению со скоростью звука.
. Для описания процесса переноса энергии
излучением используется диффузионное приближение.
Математическая модель взята из [13] с некоторыми
поправками.
В области высоты h,
расположенной выше уровня шероховатости z0
и ниже уровня верхней границы полога леса в плоскости xz,
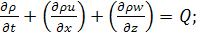
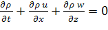
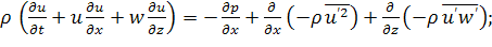
имеем уравнения, выражающие законы сохранения для многофазной многокомпонентной
сплошной реагирующей среды

(1.1)



; (1.2)

(1.3)

(1.4)

; (1.5)

; (1.6)

; (1.7)

(1.8)

(1.9)
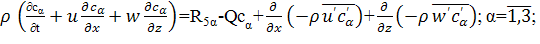
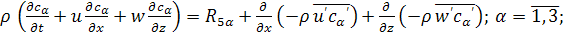
Для приземного слоя атмосферы при z≥h имеем
следующую систему уравнений:

; (1.10)

(1.11)

(1.12)

(1.13)

(1.14)

; (1.15)
Здесь 

; 
;

;

Система уравнений (1.1) - (1.15)
должна быть дополнена соответствующими начальными и граничными условиями.
В начальный момент времени во всем
контрольном объеме заданы распределения искомых функций:

(1.16)
На левой границе расчетной области 
известны параметры набегающего
потока

(1. 17)
На правой границе контрольного
объема ставятся «мягкие» граничные условия

(1.18)
На верхней границе значения искомых
функций считаются известными и равными значениям функций в набегающем потоке на
этой высоте

(1.19)
Считается, что границы контрольного
объема могут быть выбраны на достаточном удалении от фронта пожара, так что
возмущения, вносимые ограниченностью рассматриваемого объекта, слабо искажают
характеристики вблизи фронта.
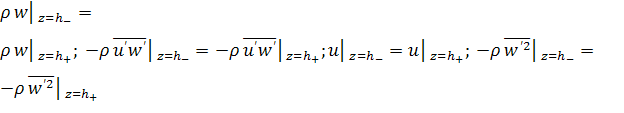
Граничные условия на уровне 
(нижний ярус леса) получены в
следующем виде:

;

. (1.20)
При записи граничных условий (1.20)
для нижнего яруса леса, в отличие от системы уравнений (1.1) - (1.8) для полога
леса, учитывается собственный объем конденсированной фазы (
).
По определению уровня шероховатости z0 (1.12) там
выполняется равенство. На границе раздела сред полог леса - приземный слой
атмосферы должны выполняться условия:

;

; 
; 
;

;
; 
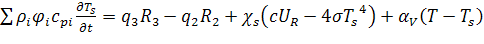
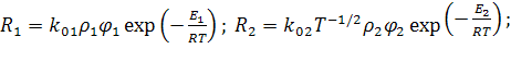
Здесь и выше - R1-R3, R5 - массовые
скорости пиролиза сухого органического вещества ЛГМ, испарения влаги, горения
конденсированных и летучих продуктов пиролиза соответственно; 
- удельные теплоемкости, истинные
плотности и объемные доли i - фазы многофазной реагирующей
среды (1 - сухое органическое вещество, 2 - вода, 3 - кокс, 4 - зола); u, w - проекции
скорости на оси x и z
соответственно; T, cα -
температура и массовые концентрации компонентов газовой фазы (α=1 -
кислород, 2 - горючие компоненты продуктов пиролиза, 3 - инертные компоненты воздуха
(водяной пар и нереагирующие продукты реакций окисления, пиролиза и горения
кокса); Ts -
температура твердой фазы; p, p∞
давления в потоке и гидростатическое; UR -
осредненная плотность излучения, χ - интегральный коэффициент
поглощения; 
- лучистый тепловой поток,
поступающий в полог леса от факела пламени; 
- лучистый тепловой поток,
теряющийся через верхнюю границу (в первом приближении 
, где ε -
интегральная степень черноты верхней границы полога леса, σ -
постоянная Стефана- Больцмана); R51 - R53 -
массовые скорости преобразования α-компонентов газовой фазы; q2, q3, q5, -
тепловые эффекты реакции испарения, горения кокса и испарения летучих продуктов
пиролиза; E1 - E3, E5, k01 - k03, k05 - энергии
активации и предэкспоненты; αc, νг - коксовое
число ЛГМ и массовая доля горючего газа в общей массе летучих продуктов
пиролиза; h - высота
полога леса; Q - массовая
скорость образования газовой фазы; sσ -удельная
поверхность элемента ЛГМ; Mα, Mc, M -
молекулярные веса индивидуальных компонентов углерода и смеси в целом; s - удельная
поверхность фитомассы полога леса; cd -
эмпирический коэффициент сопротивления; g - ускорение
свободного падения. Индексы «Н», «∞», «0» обозначают начальные условия
функций на удалении от фронта пожара и характеристики нижнего яруса леса, а
индексы 1-5 используются для обозначения термодинамических параметров фаз и
компонентов газовой фазы.
Система уравнений (1.1) - (11.5)
является обобщением известной системы уравнений Рейнольдса для турбулентных
течений однофазной инертной жидкости и в то же время представляет собой частный
случай математической модели лесных пожаров, предложенной в [1]. Наличие
последних двух слагаемый в уравнениях (1.2) - (1.5), (1.10) - (1.13)
обусловлено турбулентным характером течения как в приземном слое, так и в
пологе леса. Член сαQ в уравнениях
сохранения индивидуальных компонентов (1.4) является следствием недивергентной
формы уравнений и отражает факт разбавления газовой фазы продуктами пиролиза,
испарения влаги и горения ЛГМ.
Взаимодействие процессов горения в
нижних и верхних ярусах леса в данной модели учитывается через граничные
условия (1.19). Поскольку процессы, протекающие при пожаре в верхнем и нижнем
ярусах леса, аналогичны, последние описываются уравнениями, приведенными выше.
Интегрируя эти уравнения по высоте нижнего яруса леса (z0),
пользуясь соотношениями масштабов (z0<<h) и
отбрасывая производные в направлении x, получим
условия (1.19).
Таким образом, левые части
соотношений (1.19) представляют собой потоки массы и тепла на уровне z0 со стороны
полога леса. Правые части этих соотношений описывают процессы, протекающие в
нижнем ярусе леса.
В работе приводятся результаты математического
моделирования распространения верхового лесного пожара.
Все уравнения можно записать в виде:
или

Где Ф - зависимая переменная;
vi -
компонента скорости по оси y;
Г - коэффициент диффузии;
Sф -
источниковый член.
Для численного интегрирования
исходного системы уравнений используется метод контрольного объема. Расчетную
область разбиваем на некоторое число непересекающихся контрольных объемов.
Затем исходную систему уравнений интегрируем по каждому контрольному объему.
Выбираем в каждой области
контрольную точку (Рис.2):
Рисунок 1.2 Контрольный объем для
двумерного случая
Получаем двумерный аналог:

;

;

;



;

;

;

;

;

;

;

Где Fe, Fw, Fn,, Fs - расход
через грани e, w,n,s
соответственно;
S - площадь
боковой поверхности контрольного объема;
Q - массовый
источник в контрольном объеме;
лесной пожар
ресурсоэффективность взрывной
2. Результаты
Тестовые проверки программы расчета
осуществлялись путем сравнения с аналитическими решениями, а также с известными
численными решениями задач теории горения. Кроме того, для оценки точности
используемых разностных схем и проверки правильности работы программы в целом
использовался метод априори задаваемых аналитических решений, состоящий в том,
что в используемые уравнения подставлялись аналитические выражения искомых
функций, вычислялась неувязка уравнений, которая затем трактовалась как
фиктивный источник в каждом уравнении. Затем значения функций
восстанавливались. Точность восстановления этих функций составляла не менее
0,5%. Устойчивость и точность полученных решений проверялась также уменьшением
шагов по времени и пространству. В серийных расчетах использовался алгоритм
автоматического выбора шага по времени.
Проводились расчеты со следующими параметрами:
скорость ветра: 5м/с, влагосодержание: 0,2-0,8, запас ЛГМ: 0,2-0,8.
В результате расчетов получены значения скорости
распространения пожара, а также поля температур, концентраций кислорода и
летучих продуктов пиролиза.
Рисунок 2.1 Зависимость размеров критического
разрыва от влагосодержания
На рисунке 2.1 изображена зависимость размеров
критического разрыва от влагосодержания. Линии 1, 2, 3, 4 соответствуют запасам
0,2; 0,5; 0,66; 0,8 соответственно. Наглядно видно, что влагосодержание 50%
является наиболее благоприятным для распространения пожара, поэтому критический
разрыв при этом параметре максимален в каждом случае. При повышении влажности
до 80% и более разрывы резко уменьшаются, а при низком запасе ЛГМ (20%) горение
полностью прекращается.
Рисунок 2.2. Зависимость величины разрыва от
скорости ветра
На рисунке 2.2 отображена зависимость величины
разрыва от скорости ветра. Параметры, при которых проводились расчеты - запас
ЛГМ - 0,2, влагосодержание - 0,5, скорость ветра меняется от 3 до 7 м/с. С
увеличением скорости ветра пропорционально увеличиваются размеры
противопожарного разрыва. Ниже на рисунках 2.3-2.5 приведены примеры различных
ситуаций, которые могут возникнуть при расчете:
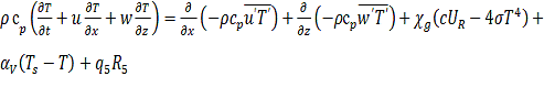
Рисунок 2.3 График распределения температуры
(А), концентрации кислорода (Б) и летучих горючих продуктов пиролиза (В). Пожар
проходит через разрыв. I
- параметры пожара до разрыва (время - 26 с от начала горения, расстояние до
фронта пламени - 49 м.), II
- после разрыва (время - 35 с, расстояние до фронта - 83 м). 1, 2, 3, 4, 5, 6
соответствуют изотермам 315, 330, 450, 600, 900, 1050, 1350 К
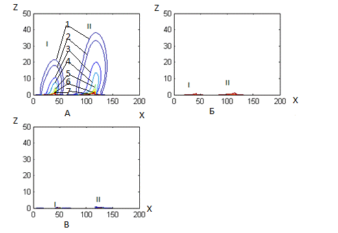
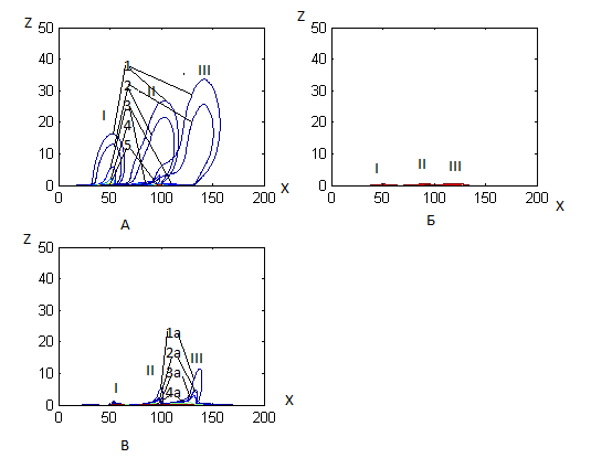
Рис 2.4. График распределения температуры (А),
концентрации кислорода (Б) и летучих горючих продуктов пиролиза (В). I
- начало пожара (время от начала горения - 27 с, расстояние до фронта горения -
49 м), II -
обстановка на разрыве (время от начала горения - 32 с, расстояние до фронта
горения - 78 м), III
- состояние массива после разрыва (время от начала горения - 36 с, расстояние
до фронта горения - 97 м). 1, 2, 3, 4, 5 соответствуют изотермам 315, 330, 450,
600, 900 К. Линии 1а, 2а, 3а, 4а соответствуют изолиниям равной концентрации
летучих продуктов пиролиза 1, 0.1, 0.05, 0.01. Массив леса прогревается, но
недостаточно для того, чтобы пожар перешел через разрыв
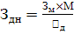
Рисунок 2.5 График распределения температуры
(t), концентрации кислорода (с1) и летучих горючих продуктов пиролиза (с2). I
- пожар перед разрывом (время от начала горения - 26 с, расстояние до фронта
пламени - 50 м), II
- состояние массива после разрыва (время от начала горения - 35 с, расстояние -
105 м). ). Линии 1, 2, 3, 4, 5, 6, 7 соответствуют изотермам 315, 330, 450,
600, 900, 1050, 1350 К. Линии 1а, 2а, 3а, соответствуют изолиниям равной
концентрации летучих продуктов пиролиза - 1, 0.1, 0.05, 0.01. Пожар не
преодолевает разрыв и практически не прогревает массив.
Рассмотрим изменение полей скоростей в
зависимости от скорости ветра.
Из рисунков 2.6 и 2.7 видно, что при увеличении
скорости ветра фронт вытягивается по направлению ветра (ось Х), с подветренной
стороны возникает вихрь, осуществляющий дополнительную подачу воздуха к месту
горения. Вблизи фронта линии тока отклоняются от первоначального
горизонтального направления вверх, причем длина стрелок увеличивается в
зависимости от близости к фронту. Следовательно, вблизи фронта горения скорость
ветра увеличивается за счет конвективного движения.
Рисунок 2.6. Поле скоростей для следующих
параметров: запас ЛГМ - 0.2, влагосодержание - 0.66, скорость ветра - 5 м/с,
время - 32 с, расстояние от источника зажигания - 76 м, совмещенное с
изотермами. Линии 1, 2, 3, 4, 5, соответствуют изотермам 315, 330, 450, 600,
900 К.
Рисунок 2.7. Поле скоростей для следующих
параметров: запас ЛГМ - 0.2, влагосодержание - 0.66, скорость ветра - 7 м/с,
совмещенное с изотермами. Линия 1 соответствует изотерма 315 К
Рисунок 2.8. Поле скоростей и изотермы при
параметрах: запас ЛГМ - 0.2, скорость ветра - 7 м/с, влагосодержание - 0.3,
время 25 с., расстояние от источника зажигания - 75 м.). Линии 1, 2, 3, 4, 5, 6
соответствуют изотермам 315, 330, 450, 600, 900, 1050 К
Рисунок 2.9. Поле скоростей и изотермы при
параметрах: запас ЛГМ - 0.2, скорость ветра - 7 м/с, влагосодержание- 0.5,
время - 28 с., расстояние от источника зажигания - 75 м. Линии 1, 2, 3, 4, 5
соответствуют изотермам 315, 330, 450, 600, 900 К
Рисунок 2.10. Поле скоростей и изотермы при
параметрах: запас ЛГМ - 0.2, скорость ветра - 7 м/с, влагосодержание - 0.66,
время - 34 с., расстояние до источника зажигания - 75 м. Линия 1 соответствует
изотерма 315 К
Рисунки 2.8-2.10 иллюстрируют зависимость полей
скоростей распространения пожара от влагосодержания ЛГМ. Видно, что с
увеличением доли влаги в лесном материале скорость распространения падает,
изотермы становятся более пологими, максимальная температура и расстояние между
соседними изотермами снижается, а также ширина фронта пожара уменьшается. Так,
скорость распространения фронта пожара при влагосодержании 0.5 равна примерно
7,8 м/с, а при влагосодержании 0.8 - 4,2 м/с,
3. Финансовый менеджмент, ресурсоэффективность и
ресурсосбережение
Математическое моделирование на сегодняшний день
становится одним из важнейших методов изучения различных процессов благодаря
своим преимуществам, главным из которых является минимальная потребность в
материальных и людских ресурсах. Объектом исследования в рамках данного раздела
является работа с программой для моделирования взаимодействия верхового лесного
пожара с противопожарными разрывами WIND2.
Цель исследования - определение потребности в интеллектуальных и материальных
ресурсах, необходимых для проведения комплекса этих работ. В ходе исследования
необходимо решить задачи:
Определить возможные альтернативы проведения
научных исследований.
Определить полный перечень работ, проводимых при
математическом моделировании, и их исполнителей;
Определить трудоемкость проведения работ;
Разработать график проведения работ;
Рассчитать бюджет исследований.
.1 Определение возможных альтернатив проведения
научных исследований
Для моделирования возникновения и распространения
лесного пожара существует несколько программ. Составим морфологическую матрицу
для возможных вариантов проведения исследования.
Таблица 3.1 Морфологическая таблица для
программы расчета распространения лесного пожара
|
1
|
2
|
3
|
4
|
|
А.
Количество описываемых параметров
|
1
|
2
|
3
|
4≤
|
|
Б.
Длительность расчета
|
10
минут
|
20
минут
|
40
минут
|
Больше
40 минут
|
|
В.
Язык программы
|
Русский
+английский
|
английский
|
немецкий
|
Иной
|
|
Г.
Способ визуализации
|
график
|
таблица
|
модель
|
нет
|
|
Д.
Выдача данных
|
Постоянная
иферная
|
Постоянная,
графическая
|
По
окончании расчета, циферная
|
По
окончании расчета, графическая
|
Предложим три варианта решения технической
задачи:
А3Б4В2Г1Д1 - (программа WIND
2) программа имеет возможность рассчитать до трех параметров, в зависимости от
необходимого расстояния, время расчета может достигать 3 часов, язык программы
- английский, , выдача данных в процессе расчета происходит постоянно,
визуализацией является график.
А4Б3В1Г3Д4 - (программа Phoenix)
- в данной программе есть возможность рассчитать более 4 параметров,
длительность расчета при этом - 30-50 минут, имеется возможность установить
различные языки, в том числе и руccкий,
при расчете информация выдается сразу, причем в виде готовой модели.
А1Б2В2Г4Д1 (программа break)
- в данной программе есть возможность вычисления только одного параметра,
поэтому время на расчеты снижается (15-20 минут), язык программы - английский,
визуализация не предусмотрена, выдача данных производится постоянно в виде
цифр.
3.2 Структура работ в рамках научного исследования
Структура, содержание и исполнители той или иной
части работ сведены в таблицу 3.2
Таблица 3.2
Перечень этапов, работ и распределение
исполнителей
|
Основные
этапы
|
№
работы
|
Содержание
работ
|
Должность
исполнителя
|
|
Определение
темы проекта
|
1
|
Определение
и утверждение темы проекта
|
Научный
руководитель, студент
|
|
Выбор
направления исследования
|
2
|
Анализ
актуальности темы
|
Студент
|
|
3
|
Подбор
литературы по теме
|
Научный
руководитель, студент
|
|
4
|
Выбор
направления исследования
|
Научный
руководитель, студент
|
|
5
|
Составление
календарного плана
|
|
|
Теоретические
исследования
|
6
|
Изучение
литературы, написание обзора
|
Студент
|
|
7
|
Изучение
программы
|
Студент
|
|
8
|
Изучение
нормативных документов
|
Студент
|
|
9
|
Изучение
темы с иных точек зрения
|
Студент
|
|
Практические
исследования
|
10
|
Работа
с программой
|
Студент
|
|
11
|
Обработка
результатов
|
Студент
|
|
12
|
Сопоставление
результатов с теоретическими исследованиями
|
Студент
|
|
Обобщение
и оценка результатов
|
13
|
Анализ
результатов
|
Студент,
научный руководитель
|
|
14
|
Вывод
по цели
|
Студент,
научный руководитель
|
|
|
|
|
|
|
.3 Определение трудоемкости выполнения работ
Определим среднее ожидаемое число человеко-дней tожi

, (3.1)
Где tож i - ожидаемая
трудоемкость выполнения i-ой работы, чел-дн.;
tmin i , tmax i -
минимально и максимально возможная трудоемкость выполнения заданной i-ой работы
соответственно, чел-дн.;
Далее определяем продолжительность
выполнения работ Tpi.

(3.2)
где Чi -
численность исполнителей, выполняющих одновременно одну и ту же работу на
данном этапе, чел.
Результаты расчетов приведены в
таблице 3.3.
Таблица 3.3 Временные показатели проведения
научного исследования
|
Название
работы
|
Трудоемкость
работ
|
Исполнители
|
Длительность
работ в рабочих днях  Длительность работ в календ. днях 
|
|
|
 , чел-дни , чел-дни , чел-дни
|
|
|
|
|
|
|
Исп.1
|
Исп.2
|
Исп.3
|
Исп.1
|
Исп.2
|
Исп.3
|
Исп.1
|
Исп.2
|
Исп.3
|
Исп.1
|
Исп.2
|
Исп.3
|
Исп.1
|
Исп.2
|
Исп.3
|
Исп.1
|
Исп.2
|
Исп.3
|
|
Определение
и утверж-дение темы проекта
|
1
|
1
|
1
|
3
|
3
|
3
|
1,8
|
1,8
|
1,8
|
Науч.руководитель,
студент
|
0,9
|
0,9
|
0,9
|
1
|
1
|
|
Анализ
актуальности темы
|
1
|
1
|
1
|
3
|
3
|
3
|
1,8
|
1,8
|
1,8
|
Студент
|
1,8
|
1,8
|
1,8
|
3
|
3
|
3
|
|
Подбор
литературы по теме
|
3
|
3
|
3
|
5
|
5
|
5
|
3,8
|
3,8
|
3,8
|
Науч.руководитель,
студент
|
1,9
|
1,9
|
1,9
|
3
|
3
|
3
|
|
Выбор
направления исследований
|
1
|
1
|
1
|
2
|
2
|
2
|
1,4
|
1,4
|
1,4
|
Науч.руководитель,
студент
|
0,7
|
0,7
|
0,7
|
1
|
1
|
1
|
|
Составление
календарного плана
|
1
|
1
|
1
|
2
|
2
|
2
|
1,4
|
1,4
|
1,4
|
Науч.руководитель,
студент
|
0,7
|
0,7
|
0,7
|
1
|
1
|
1
|
|
Изучение
литературы, написание обзора
|
7
|
7
|
7
|
14
|
14
|
14
|
9,8
|
9,8
|
9,8
|
Студент
|
9,8
|
9,8
|
9,8
|
14
|
14
|
14
|
|
Изучение
программы
|
1
|
2
|
1
|
3
|
3
|
2
|
1,8
|
2,4
|
1,4
|
Студент
|
1,8
|
2,4
|
1,4
|
3
|
4
|
2
|
|
Подбор
нормативных документов
|
2
|
2
|
2
|
4
|
4
|
4
|
2,8
|
2,8
|
2,8
|
Студент
|
2,8
|
2,8
|
2,8
|
4
|
4
|
4
|
|
Изучение
темы с иных точек зрения
|
7
|
7
|
7
|
14
|
14
|
14
|
9,8
|
9,8
|
9,8
|
Студент
|
9,8
|
9,8
|
9,8
|
14
|
14
|
14
|
|
Работа
с программой
|
15
|
17
|
15
|
21
|
25
|
21
|
17,4
|
20,2
|
17,4
|
Студент
|
17,4
|
20,2
|
17,4
|
26
|
30
|
26
|
|
Обработка
результатов
|
2
|
1
|
2
|
3
|
2
|
3
|
2,4
|
1,4
|
2,4
|
Студент
|
2,4
|
1,4
|
2,4
|
4
|
2
|
4
|
|
Сопоставление
резуль-татов с теоретическими исследованиями
|
1
|
1
|
1
|
2
|
2
|
2
|
1,4
|
1,4
|
1,4
|
Студент
|
1,4
|
1,4
|
1,4
|
2
|
2
|
2
|
|
Анализ
результатов
|
1
|
1
|
1
|
3
|
3
|
3
|
1,8
|
1,8
|
1,8
|
Науч.
уководитель, студент
|
0,9
|
0,9
|
0,9
|
1
|
1
|
1
|
|
Вывод
по цели
|
1
|
1
|
1
|
3
|
3
|
3
|
1,8
|
1,8
|
1,8
|
Науч
руководитель, студент
|
0,9
|
0,9
|
0,9
|
1
|
1
|
1
|
|
|
|
|
|
|
|
|
|
|
|
|
|
|
|
|
|
|
|
Таблица 3.4 Календарный план-график проведения
ВКР по теме
.4 Разработка графика проведения научного
исследования
Для визуализации ленточного графика можно
использовать диаграмму Ганта.
Диаграмма Ганта - горизонтальный ленточный
график, на котором работы по теме представляются протяженными во времени
отрезками, характеризующимися датами начала и окончания выполнения данных
работ.
Для построения графика необходимо перевести
длительность выполнения работ в календарные дни по формуле:

(3.3)
Где Tki
-продолжительность выполнения i-й работы в календарных днях;
Tpi -
продолжительность выполнения работы в рабочих днях;
kкал -
коэффициент календарности.
Коэффициент календарности
вычисляется по формуле:

(3.4)
Где Ткал - количество календарных
дней в году;
Твых - количество выходных дней в
году;
Тпр - количество праздничных дней в
году.

;
Полученные значения следует
округлить до целого и внести в таблицу 3.3.
На основании таблицы 3.3 строим
календарный план-график с разбивкой по декадам и месяцам (табл. 3.4)
3.5 Бюджет научно-технического исследования
В связи со спецификой работы, статьи расходов
имеют следующий вид:
· материальные затраты НТИ;
· затраты на специальное оборудование
для научных (экспериментальных) работ;
· основная заработная плата
исполнителей темы;
· дополнительная заработная плата
исполнителей темы;
· отчисления во внебюджетные фонды
(страховые отчисления);
· накладные расходы.
.5.1 Материальные затраты
В данной статье расходов необходимо учесть
стоимость всех материалов, используемых при НТИ. Величина затрат вычисляется по
формуле:

(3.5)
Где Зм - материальные затраты;
m -
количество видов материальных ресурсов;
kt -
коэффициент транспортно-заготовительных расходов (15-20% от стоимости
материалов);
Цi - цена единицы
товара;
Nрасх -
количество материального ресурса.
Материальные затраты сведены в
таблице 3.5
3.5.2 Расчет затрат на специальное оборудование
для научных (экспериментальных) работ
В данной статье рассчитывается стоимость
специального оборудования, необходимого для проведения работ. Для
научно-исследовательской работы по моделированию лесного пожара в качестве
специального оборудования выступают программы для расчета и моделирования.
Величина затрат приведена в таблице 3.6.
Таблица 3.5 Материальные затраты
|
Наименование
|
Единица
измерения
|
Количество
|
Цена
за ед., руб
|
Затраты
на материалы, руб
|
|
|
Исп.
1
|
Исп.
2
|
Исп.
3
|
Исп.
1
|
Исп.
2
|
Исп.
3
|
Исп.
1
|
Исп.
2
|
Исп.
3
|
|
Компьютер
|
шт
|
1
|
1
|
1
|
30000
|
30000
|
30000
|
36000
|
36000
|
36000
|
|
Бумага
|
лист
|
200
|
150
|
250
|
1
|
1
|
1
|
240
|
180
|
300
|
|
Картридж
ч/б
|
шт
|
3
|
3
|
3
|
1000
|
1000
|
1000
|
3600
|
3600
|
3600
|
|
Картридж
цветной, набор
|
шт
|
1
|
1
|
1
|
1400
|
1400
|
1400
|
1680
|
1680
|
1680
|
|
Ручка
|
шт
|
3
|
3
|
3
|
15
|
15
|
15
|
54
|
54
|
54
|
|
Интернет
|
Мбит/с
|
2
|
2
|
2
|
100
|
100
|
100
|
240
|
240
|
240
|
|
Итого
|
41814
|
41754
|
41874
|
Таблица 3.6 Расчет затрат на приобретение спец.
оборудования
|
Наименование
|
Количество
|
Цена
за ед., руб
|
Общая
стоимость оборудования, руб
|
|
Исп.
1
|
Исп.
3
|
Исп.
1
|
Исп.
2
|
Исп.
3
|
Исп.
1
|
Исп.
2
|
Исп.
3
|
|
Программа
для расчета противопожарных разрывов
|
1
|
1
|
1
|
2000
|
6000
|
1000
|
2000
|
6000
|
1000
|
|
Программа
для моделирования и создания графиков
|
1
|
0
|
1
|
2100
|
0
|
2100
|
2100
|
0
|
2100
|
|
Итого
|
4100
|
6000
|
3100
|
3.5.3 Основная заработная плата исполнителей
темы
Поскольку в ходе работы студент не получает
заработной платы, учитывать его в данном разделе не нужно. Расчет проводится
только относительно преподавателя.
Ззп = Зосн + Здоп (3.6)
Где Ззп - полная заработная плата;
Зосн - основная заработная плата;
Здоп - дополнительная заработная плата (12-20%
от основной)
Основная заработная плата (Зосн) рассчитывается
по следующей формуле:
Зосн=Здн*Тр (3.7)
Где Здн - среднедневная заработная плата, руб.
Тр - продолжительность работ, дн.
Среднедневная заработная плата рассчитывается по
формуле:

(3.8)
Где Зм - месячный должностной оклад
работника, руб.
М - количество месяцев работы без
отпуска в течение года (11,2);
Fд -
действительный годовой фонд рабочего времени научно-технического персонала.
Fд=Ткалендарное-Твыходные-Тпраздничные-Тотпуск=365-104-14-24=223
дня.
Месячный должностной оклад работника
рассчитывается по формуле:

(3.9)
Где Зтс - заработная плата по
тарифной ставке, руб;

- премиальный коэффициент (0,3);

- коэффициент надбавок и доплат
(0,3);

- районный коэффициент (1,3)
Согласно данным на сайте федеральной
службы государственной статистики, средняя заработная плата работников
образования в Томской области равна 27385 руб.
Тогда 
Ззп = 22886+0,15*22886=26318 руб.
Данные заносятся в таблицу 3.7
Таблица 3.7 Расчет основной заработной платы
|
Исполнители
|
Зтс
|
kпр
|
kд
|
kр
|
Зм
|
Здн
|
Тр
|
Зонс
|
|
Профессор
|
27385
|
0,3
|
0,3
|
1,3
|
59041
|
2860
|
8
|
26318
|
|
Итого
|
26318
|
Дополнительная заработная плата рассчитывается
по формуле:

(3.9)
Где kдоп - -
коэффициент дополнительной заработной платы (на стадии проектирования
принимается равным 0,12 - 0,15). Тогда 
3.5.4 Отчисления во внебюджетные фонды
(страховые отчисления)
Величина отчислений во внебюджетные фонды
определяется по формуле:

; (3.10)
Где kвнеб -
коэффициент отчислений на уплату во внебюджетные фонды (пенсионный фонд, фонд
обязательного медицинского страхования и пр.).
На 2015 г. в соответствии с
Федеральным законом от 24.07.2009 №212-ФЗ установлен размер страховых взносов
равный 30%. На основании пункта 1 ст.58 закона №212-ФЗ для учреждений,
осуществляющих образовательную и научную деятельность в 2014 году водится
пониженная ставка - 27,1%.
.5.5 Накладные расходы
Величина накладных расходов определяется по
формуле:

(3.11)
Где kнр -
коэффициент, учитывающий накладные расходы (16%).

- для 1 исполнения;

. - для 2 исполнения;

- для 3 исполнения.
Таблица 3.8 Отчисления во внебюджетные фонды
|
Исполнитель
|
Основная
заработная плата, руб
|
Дополнительная
заработная плата, руб
|
|
Исп.1
|
Исп.2
|
Исп.3
|
Исп.1
|
Исп.2
|
Исп.3
|
|
Руководитель проекта
|
26318
|
26318
|
26318
|
3421
|
3421
|
3421
|
|
Коэффициент
отчислений во внебюджетные фонды
|
0,271
|
|
Итого
|
|
Исполнение
1
|
8059
руб.
|
|
Исполнение
2
|
8059
руб.
|
|
Исполнение
3
|
8059
руб.
|
.5.6 Формирование бюджета затрат
научно-исследовательского проекта
Таблица 3.9 Бюджет НТИ
|
Наименование
статьи
|
Сумма,
руб.
|
Примечание
|
|
Исп.1
|
Исп.2
|
Исп.3
|
|
|
1. Материальные
затраты НТИ
|
41814
|
41754
|
41874
|
Пункт 4.4.1
|
|
2. Затраты
на специальное оборудование для научных (экспериментальных) работ
|
4100
|
6000
|
3100
|
Пункт 4.4.2
|
|
3. Затраты
по основной заработной плате исполнителей темы
|
26318
|
26318
|
26318
|
Пункт
4.4.3
|
|
1. Затраты
по дополнительной заработной плате исполнителей темы
|
3421
|
3421
|
3421
|
Пункт
4.4.3
|
|
2. Отчисления
во внебюджетные фонды
|
8059
|
8059
|
8059
|
Пункт
4.4.4
|
|
3. Накладные
расходы
|
13391
|
13668
|
13243
|
16
% от суммы ст.1-5
|
|
4. Бюджет
затрат
НТИ
|
97103
|
99220
|
96015
|
Сумма
ст.
1- 6
|
В ходе работы были решены следующие задачи:
Определены возможные альтернативы проведения
научных исследований методом морфологической матрицы;
Определен полный перечень работ, проводимых при
математическом моделировании, а также их исполнители. Данные сведены в таблицу
3.2. Общее число работ - 14;
Определена трудоемкость проведения работ. Данные
сведены в таблицу 3.3.
Максимальная трудоемкость при 2 исполнении
составляет 81 день;
Разработан календарный план-график проведения
ВКР (таблица 3.4). Время работы над ВКР - с марта по июнь;
Бюджет исследований рассчитан в ходе выполнения
пунктов 3.4.1-3.4.6. Итоговые данные сведены в таблицу 3.9. Максимальный бюджет
при 2 исполнении составляет 99220 руб.
4. Социальная ответственность
Человек, выполняющий работы по математическому
моделированию, подвергается воздействию опасных и вредных факторов, оценка
которых производится в данном разделе. Необходимо выявить их, оценить степени
воздействия на организм и дать рекомендации по уменьшению или устранению
влияния подобных факторов на человека. При несоблюдении привил и норм работа за
компьютером может привести к различным заболеваниям или травмам. Как и любая
иная работа за ПЭВМ, моделирование может влиять как на самого работника в
процессе его трудовой деятельности, так и спровоцировать возникновение ЧС, в
первую очередь, из-за неисправностей в электрической цепи. Также немаловажно
оценить воздействие на окружающую среду и при необходимости, дать рекомендации
по уменьшению этого воздействия.
.1 Производственная безопасность
Вначале, необходимо определить, какие опасные и
вредные факторы присущи данному типу работ и какие именно операции или процессы
их вызывают. Идентификация потенциальных опасных и вредных производственных
факторов проводится с использованием «Классификации вредных и опасных
производственных факторов по ГОСТ 12.0.003-74 [16] . Для математического
моделирования основным видом работ является работа за компьютером, поэтому
определять ОВПФ будем только для данного вида работ. Примерный перечень ОВПФ
приведен в таблице 4.1
Таблица 4.1 Основные элементы производственного
процесса, формирующие опасные и вредные факторы
|
Наименование
видов работ и параметров производственного процесса
|
Факторы
(ГОСТ 12.0.003-74 ССБТ )
|
Нормативные
документы
|
|
Вредные
|
Опасные
|
|
|
Работа
за компьютером
|
Состояние
воздушной среды
|
|
|
Повышенная
или пониженная температура воздуха
|
|
СанПиН
2.2.4.548-96. [20]
|
|
Повышенная
или пониженная влажность воздуха
|
|
|
|
Повышенная
или пониженная подвижность воздуха
|
|
|
|
Шум
и вибрации
|
|
|
Повышенный
уровень шума
|
|
ГОСТ
12.1.003-83 (1999) ССБТ. [21]; СНиП П-12-77.[22] СН 2.2.4/2.1.8. 562-96. [23]
|
|
Электробезопасность
|
|
|
|
Повышенное
значение напряжения в электрической цепи, замыкание которой может произойти
через тело человека
|
ГОСТ
12.1.030-81 ССБТ.[24]. ГОСТ 12.1.038-82 ССБТ. [25]
|
|
|
Повышенный
уровень статического напряжения
|
|
|
Повышенный
уровень электромагнитных излучений
|
|
ГОСТ
12.1.006-84.ССБТ. [26] СанПиН 2.2.4.1191-03. [27]
|
|
Повышенная
напряженность электрического поля
|
|
|
|
Повышенная
напряженность магнитного поля
|
|
|
|
Освещенность
|
|
|
Отсутствие
или недостаток естественного освещения
|
|
СанПиН
2.2.1/2.1.1.1278-03. [28] СанПиН
2.2.2/ 2.4.1340-03 [29]
|
|
Недостаточная
освещенность рабочей зоны
|
|
|
|
Повышенная
яркость экрана
|
|
СанПиН
2.2.1/2.1.1.1278-03. [28] СанПиН
2.2.2/2.4.1340-03 [29]
|
|
Пониженная
контрастность экрана
|
|
|
|
Прямая
и отраженная блесткость на экране
|
|
|
|
Повышенная
пульсация светового потока
|
|
|
|
Псхофизиологические
|
|
|
|
Умственное
перенапряжение
|
|
|
|
Монотонность
труда
|
|
|
Статическое
напряжение
|
|
Р
2.2.2006-05. [30]
|
|
|
|
|
|
.1.1 Анализ вредных производственных факторов и
обоснование мероприятий по их устранению.
Рассмотрим присущие данному виду работ вредные
факторы
Состояние воздушной среды
К параметрам микроклимата относятся температура,
влажность и скорость движения воздуха.
Нельзя выделить конкретный источник формирования
опасности, связанной с неблагоприятными параметрами микроклимата. Это могут
быть отсутствие кондиционирования воздуха, нагретые поверхности, нахождение
большого числа людей на относительно небольшом пространстве. Оптимальные
параметры микроклимата - параметры, при воздействии которых организм пребывает
в состоянии комфорта и не используем механизмы теплорегуляции. Допустимые
параметры - параметры, при систематическом воздействии которых у человека
возникают быстро проходящие изменения в организме, не выходящие за пределы
возможностей организма и не приводящие к серьезным нарушениям. Нахождение в
оптимальных (допустимых) условиях увеличивает производительность труда,
уменьшает риск заболеваемости и снижает утомляемость. Нахождение в
неблагоприятных условиях приводит к таким заболеваниям, как различные формы
простуды, радикулит, бронхит (в том числе, хронический) и иным, снижает
работоспособность, ухудшает самочувствие.
Параметры состояния воздуха нормируются СанПиН
2.2.4.548 - 96 Гигиенические требования к микроклимату производственных
помещений [20]. При нормировании параметров микроклимата учитывается тяжесть
работ, период года и характеристику помещения по тепловому излучению. Для
работы за компьютером (легкая степень работ 1а) и в теплый период года параметры
указаны в таблице 4.2
Таблица 4.2 Допустимые параметры микроклимата на
рабочих местах производственных помещений
|
Сезон
года
|
Категория
тяжести выполняемых работ
|
Температура
поверхностей, С0
|
Температура
воздуха, С0
|
Относительная
влажность, %
|
Скорость
движения воздуха, м/сек
|
|
Холодный
|
1а
|
19-26
|
20-25
|
15-75
|
0,1
|
В целях профилактики неблагоприятного
воздействия микроклимата на организм человека в случаях возможного выхода
фактических параметров за границы допустимых, необходимо применять меры защиты
- системы местного кондиционирования воздуха, обогреватели, использование СИЗ -
спецодежды, спецобуви, головных уборов, средств защиты рук, а также введение
регламента работы. В производственных помещениях, где невозможно приведение
фактических параметров к допустимым, рабочие места следует рассматривать как
вредные.
Высокий уровень шума.
Шум - это звук, оцениваемый негативно и
наносящий вред здоровью.
Для шума нет нижней границы благоприятного
значения. Даже небольшой уровень шума рассеивает внимание, вызывает утомление и
головную боль. Высокие уровни шума могут привести к частичной потере или
ослаблению слуха, или полной глухоте. Источником шумового загрязнения при
работе за компьютером могут служить неисправные системы охлаждения компьютера
или воздуха, а также различные механизмы и устройства, находящиеся в соседних
помещениях.
Различные виды шумов нормируются разными
величинами. Для постоянного шума нормируются уровни звукового давления в
октавных полосах со среднегеометрическими частотами 63, 125, 250, 500, 1000,
2000, 4000, 8000 Гц, для прерывистого и импульсного, а также для непостоянного
шума - эквивалентные уровни звукового давления для тех же октавных полос.
Нормативными документами являются ГОСТ 12.1.003-83(1999) «ССБТ Шум. Общие
требования безопасности», СНиП П-12-77. «Защита от шума» и СН
2.2.4/2.1.8.562-96. «Шум на рабочих местах, в помещениях жилых, общественных
зданий и на территории жилой застройки». Допустимый уровень шума для работающих
в конструкторских бюро и лабораториях, согласно этим документам, приведен в
таблице 4.3
При возникновении недопустимого уровня шума
необходимо выполнить меры либо по ограничению распространения шума, либо по
ограничению воздействия его на людей.
Таблица 4.3 Допустимые уровни звукового давления
и эквивалентного уровня звука (ГОСТ 12.1.003-83 с изм. 1999 г.)
|
Рабочее
место
|
Уровень
звукового давления, Дб, в октавных полосах со среднегеометрическими
значениями, Гц
|
Уровни
звука и эквивалентные уровни звука, ДбА
|
|
31,5
|
63
|
125
|
250
|
500
|
1000
|
2000
|
4000
|
8000
|
|
|
Конструкторские
бюро, лаборатории
|
86
|
71
|
61
|
54
|
49
|
45
|
42
|
40
|
38
|
50
|
К первой группе мероприятий относятся различные
короба, щиты, кожухи, установленные на оборудовании, изменение технологии или
конструкции. Также необходимо своевременно проверять и смазывать механизмы. Ко
второй группе относятся, в первую очередь, коллективные средства защиты -
устройство звукоизоляции, защита расстоянием, архитектурно-планировочные
изменения. Если иными средствами уменьшить воздействие шума не удается,
необходимо использовать индивидуальные средства защиты - наушники, беруши,
шлемы.
Освещение
При работе за компьютером именно глаза получают
наибольшую нагрузку. Это связано с тем, что воздействие оказывает не только
естественное и искусственное освещение, но и сам монитор. Неудовлетворительное
освещение влияет не только на скорость работы, оно вызывает общее утомление
организма, может привести к травматизму, а в перспективе - к нарушению или
полной потере зрения.
Нормирование параметров освещенности в данном
случае необходимо осуществлять при помощи двух документов - СанПиН
2.2.1/2.1.1.1278-03. «Гигиенические требования к естественному, искусственному
и совмещенному освещению жилых и общественных зданий», который определяет
наименьшую освещенность рабочих поверхностей в зависимости от вида производимой
деятельности и СанПиН 2.2.2/2.4.1340-03 «Гигиенические требования к
персональным электронно-вычислительным машинам и организации работы», который
нормирует параметры при работе за компьютером.
Допустимые параметры приведены в таблицах 4.4 и
4.5
В СанПиН 2.2.2/2.4.1340-03 «Гигиенические
требования к персональным электронно-вычислительным машинам и организации
работы» указаны следующие требования к параметрам освещения:
Освещенность на поверхности стола в зоне
размещения рабочего документа должна быть 300 - 500 лк
Освещенность поверхности экрана не должна быть
более 300 лк
Яркость светящихся поверхностей (окна,
светильники и др.), находящихся в поле зрения, должна быть не более 200 кд/м2.
яркость бликов на экране ПЭВМ не должна
превышать 40 кд/м2 и яркость потолка не должна превышать 200 кд/м2.
В качестве источников света при искусственном
освещении следует применять преимущественно люминесцентные лампы типа ЛБ и
компактные люминесцентные лампы (КЛЛ).
Коэффициент пульсации не должен превышать 5%.
При недостаточном освещении необходимо
использовать более сильные лампы, увеличить количество источников света. При
повышенной яркости необходимо снижать её, либо работать в спектральных очках.
Таблица 4.4 Допустимые визуальные параметры
устройств отображения информации
|
Параметры
|
Допустимые
значения
|
|
Яркость
белого поля
|
Не
менее 35 кд/м2
|
|
Неравномерность
яркости рабочего поля
|
Не
более ±20%
|
|
Контрастность
(для монохромного режима)
|
Не
менее 3:1
|
|
Временная
нестабильность изображения (непреднамеренное изменение во времени яркости
изображения на экране дисплея)
|
Не
должна фиксироваться
|
Таблица 4.5
Нормируемые параметры естественного и
искусственного освещения
|
Помещения
|
Рабочая
поверхность и плоскость нормирования КЕО и освещенности (Г- горизонтальная, В
- вертикальная) и высота плоскости над полом, м
|
Естественное
освещение
|
Совмещенное
освещение
|
Искусственное
освещение
|
|
|
КЕО
ен, %
|
КЕО
ен, %
|
|
|
|
при
верхнем или комбинированном освещении
|
при
боковом освещении
|
при
верхнем или комбинированном освещении
|
при
боковом освещении
|
Освещенность,
лк
|
|
|
|
|
|
|
при
комбинированном освещении
|
при
общем освещении
|
|
|
|
|
|
|
всего
|
от
общего
|
|
|
Помещения
для работы с дисплеями и видеотерминалами, залы ЭВМ
|
Г-0,8
|
3,5
|
1,2
|
2,1
|
0,7
|
500
|
300
|
400
|
|
|
Экран
монитора: В-1,2
|
-
|
-
|
-
|
-
|
-
|
-
|
200
|
|
|
|
|
|
|
|
|
|
|
|
|
|
|
|
|
|
|
Психофизиологические факторы.
Работа за компьютером связана с длительными
статическими нагрузками на позвоночник и динамическими нагрузками на кисти рук
и пальцы. Не эргономичное положение тела приводит не только к хроническим
проблемам со здоровьем, но и снижает производительность труда, ухудшает
восприятие информации, внимание, увеличивает утомляемость.
Длительное умственное перенапряжение, связанное с работой по математическому
моделированию, ведет к психосоматическим проблемам - головной боли,
утомляемости, нервозности.
Для снижения отрицательного воздействия на
организм этих вредных факторов, необходимо выполнять некоторые мероприятия.
Важно обеспечивать эргономичное место работы -иметь стулья со спинкой и
подлокотниками и регулируемой высотой, иметь достаточно просторный стол для
удобного размещения монитора, клавиатуры и документов.
Для снижения умственного напряжения необходимо устраивать перерывы в работе
(также это важно для сохранения зрения), использовать возможности цветового
оформления (например, окраска стен в неяркий синий цвет). Будет нелишним выдача
работникам памятки с различными упражнениями для снижения напряжения спины,
ног, шеи, глаз.
Электробезопасность
Источниками опасностей в данном случае являются
токоведущие части электрооборудования - компьютера и периферийных устройств.
Анализ опасных факторов - опасные уровни статического напряжения и опасность
замыкания цепи на человека будет приведен в следующем разделе. Повышенный
уровень электромагнитных излучений, высокая напряженность электрического и
магнитного полей относятся к вредным факторам. Эти воздействия нормируются
следующим образом:
Таблица 4.6
Временные допустимые уровни ЭМП, создаваемых
ПЭВМ
|
Наименование
параметров
|
ВДУ
ЭМП
|
|
Напряженность
электрического поля
|
в
диапазоне частот 5 Гц - 2 кГц
|
25
В/м
|
|
в
диапазоне частот 2 кГц - 400 кГц
|
2,5
В/м
|
|
Плотность
магнитного потока
|
в
диапазоне частот 5 Гц - 2 кГц
|
250
нТл
|
|
в
диапазоне частот 2 кГц - 400 кГц
|
25
нТл
|
|
Напряженность
электростатического поля
|
15
кВ/м
|
|
Электростатический
потенциал экрана видеомонитора
|
500
В
|
Для обеспечения защиты сотрудника от
электромагнитных излучений необходимо организовать правильное размещение и
порядок работы за компьютером. Мониторы следует размещать так, чтобы сзади и
сбоку в непосредственной близости не находились люди. Если планируется не
использовать компьютер некоторое время, то его лучше отключить. Также во время
перерывов работники не должны находиться возле компьютеров.
.1.2 Анализ опасных производственных факторов
Электробезопасность
Опасность поражения электричеством является
главной опасностью при работе за компьютером. Существует не только вероятность
поражения самого человека, возможно возникновение пожара вследствие замыкания
электрической цепи, возможна порча ценного оборудования. Поэтому электробезопасности
уделяется большое внимание.
Оценка и анализ электробезопасности в
лаборатории осуществляется при помощи «Правил устройства электроустановок»
[31].
Вначале необходимо определить класс помещения по
электробезопасности. Поскольку в лаборатории нет агрессивных веществ,
токопроводящей пыли и полов, и повышенной влажности (свыше 75%), высокой
температуры (свыше 35°С) и нет возможности одновременного прикосновения к
имеющим связь с землей металлоконструкциям и металлическим частям
электрооборудования, то помещение можно отнести к помещениям без повышенной
опасности. [32]
Для работы за компьютером установлены следующие
нормативы (табл. 4.7)
|
Наименование
параметров
|
ВДУ
ЭМП
|
|
Напряженность
электрического поля
|
в
диапазоне частот 5 Гц - 2 кГц
|
25
В/м
|
|
в
диапазоне частот 2 кГц - 400 кГц
|
2,5
В/м
|
|
Плотность
магнитного потока
|
в
диапазоне частот 5 Гц - 2 кГц
|
250
нТл
|
|
в
диапазоне частот 2 кГц - 400 кГц
|
25
нТл
|
|
Напряженность
электростатического поля
|
15
кВ/м
|
|
Электростатический
потенциал экрана видеомонитора
|
500
В
|
Воздействие электромагнитных полей на человека
проявляется в виде возникновения болезней в наиболее ослабленных системах
организма - нервной, иммунной, эндокринной. Увеличивается утомляемость,
нервозность, возбуждение ЦНС. Согласно ПУЭ и СанПиН 2.2.2/2.4.1340-03 [29], при
работе с компьютерами для обеспечения электробезопасности следует соблюдать
правила:
электрооборудование, имеющее контакты для
подключения заземления, должно быть заземлено, а помещения, где размещаются
рабочие места с ПЭВМ (компьютерами), должны быть оборудованы защитным
заземлением (занулением) в соответствии с техническими требованиями по
эксплуатации оборудования;
все крышки и защитные панели должны находиться
на своих местах (при отсутствии крышки или защитной панели эксплуатация
электрооборудования не допускается);
при работе с электрооборудованием не допускать
попадания влаги на поверхность электрооборудования, а также запрещается
работать на электрооборудовании влажными руками;
вентиляционные отверстия электрооборудования не
должны быть перекрыты находящимися вплотную стенами, мебелью, посторонними
предметами;
выдергивание штепсельной вилки электроприбора
необходимо осуществлять за корпус штепсельной вилки, при необходимости
придерживая другой рукой корпус штепсельной розетки;
подключение и отключение разъемов компьютеров и
оргтехники должно производиться при отключенном питании (за исключением
подключения и отключения USB-устройств);
удаление пыли с электрооборудования должно
производиться в отключенном от электрической цепи состоянии;
перед использованием электроприборов необходимо
проверить надёжность крепления электророзетки, свериться с номиналом
используемого напряжения;
в помещениях, в которых используется напряжение
двух и более номиналов, на всех штепсельных розетках должны быть надписи с
указанием номинального напряжения;
корпуса штепсельных розеток и выключателей не
должны содержать трещин, оплавлений и других дефектов, способных снизить
защитные свойства или нарушить надёжность контакта;
недопустимо использовать штепсельные разъёмы в
случае существенного нагревания штепсельной розетки или вилки электроприбора
при эксплуатации;
кабели (шнуры) электропитания не должны
содержать повреждений изоляции, сильных изгибов и скручиваний;
Персонал, работа которого связана с возможностью
поражения электрическим током, должен пройти обучение с присвоением I группы по
электробезопасности.
.2 Экологическая безопасность
Работы за ПЭВМ, к которым относится математическое
моделирование, напрямую не влияют на окружающую среду. Однако отслужившая
электроника, лампы, батареи при неправильной утилизации являются опасными и
требуют особого подхода. Также имеют место и другие воздействия.
Утилизация электроники.
Утилизация электроники контролируется по двум
причинам. Во-первых, на обычных свалках под открытым небом составляющие
компьютера разрушаются и в окружающую среду поступают такие вещества как
свинец, сурьма, кадмий, мышьяк, а также соединения на основе поливинилхлорида и
фенолформальдегида. А во-вторых, в состав компьютеров старых образцов входит
некоторое количество драгоценных металлов (в основном, золота), перемещение и
оборот которых находится под государственным контролем. Утилизация компьютеров
и оргтехники производится согласно методике, утвержденной государственным
комитетом РФ по телекоммуникациям [32]. Согласно этой методике, существуют 4
этапа проведения работ - информационное обеспечение, заключение договоров,
разборка техники и реализация партий лома. При этом в рамках договора
реализуются не только элементы, содержащие драгоценные металлы, но и ломы
цветных и черных металлов и пластмасса для вторичной переработки (до 95%).
Таким образом выполняется сразу две задачи - сбережение ресурсов и уменьшение количества
твердых отходов.
Утилизация люминесцентных ламп.
Что касается люминесцентных ламп, то тут
ситуация двоякая. С одной стороны, эти лампы считаются экономичными и
энергосберегающими, что, несомненно, является плюсом, поскольку массовое
использование энергосберегающих ламп несколько снизит потребность в
электроэнергии. С другой стороны, в люминесцентных лампах используется ртуть,
что переводит отработанные лампы из обычных отходов в опасные, требующие
специальной утилизации. Для юридических лиц необходимо заключать контракты с
компаниями, занимающимися утилизацией токсичных отходов, что несет
дополнительные расходы.
Стоит упомянуть также о том, что компьютерное
оборудование должно соответствовать различным стандартам безопасности для
обеспечения в том числе, и защиты окружающей среды. К таким стандартам можно
отнести:
FCC -
сертификат, устанавливающий нормативы электромагнитных и радионаводок,
создаваемых оборудованием. Компьютер относится к классу B.
MPR-II
- стандарт, определяющий предельные уровни электромагнитного излучения для
мониторов.
TCO-07 -
экологический стандарт, регламентирующий многие факторы эргономику,
электромагнитные излучения, акустический шум, электробезопасность,
экологическую безопасность, экономию электроэнергии.
EPA
Energy Star
- стандарт, распространяющийся на энергопотребление и обеспечивающий снижение
потребления энергии в период бездействия.
Другие воздействия
Стоит сказать и про некоторые другие воздействия
данного вида работ на окружающую среду. Это утилизация твердых бытовых отходов
и пользование коммунально-энергетическими сетями. Физические и юридические лица
обязаны платить налог на утилизацию ТБО, пользование КЭС и очистку сточных вод.
Для уменьшения воздействия на окружающую среду
этими путями можно использовать рациональный порядок пользования КЭС: не
оставлять открытыми краны, не использовать электроэнергию там, где это не нужно
(например, оставлять освещение после ухода), применять энергосберегающие лампы.
Для облегчения утилизации ТБО необходимо сортировать отходы.
.3. Безопасность в чрезвычайных ситуациях
Для лаборатории, находящейся в здании
промышленного корпуса, наиболее вероятными и опасными являются следующие ЧС:
Пожары (взрывы) в зданиях (сооружениях);
Внезапное обрушение зданий;
Повреждение зданий вследствие военных действий.
.3.1 Пожарная и взрывная безопасность
Согласно ФЗ №123 «Технический регламент о
требованиях пожарной безопасности» [36], помещение относится к классу Ф 4.3
(здание органов управления учреждений, проектно-конструкторских организаций,
информационных и редакционно-издательских организаций, научных организаций,
банков, контор, офисов.
Основными причинами пожаров и взрывов являются
электроустановки (ПЭВМ) - искры при замыкании электрической цепи, неисправности
в розетках и проводке, накопление статического электричества на токопроводящих
элементах. Также возможны и другие причины возгорания и взрывов, но они
маловероятны (неосторожное обращение с огнем, курение на рабочем месте,
размещение легковоспламеняемых конструкций и материалов вблизи отопительных
приборов, удар молнии).
Способы устранения причин пожаров могут быть
следующие:
Предупредительные (организационные):
правильный выбор электрооборудования и способов
его монтажа, систематический ремонт и контроль неисправности;
изолирование отопительных приборов от сгораемых
конструкций и материалов,
запрещение хранения, транспортирования и
содержания на рабочих местах огнеопасных жидкостей и растворов
предупреждение появления искровых разрядов
статического электричества;
Правильная организация заземления;
Обучение персонала правилам пожарной
безопасности;