Разработка композиции на основе полиэтилена для термоусадочных пленок

  • Вид работы:
    Курсовая работа (т)
  • Предмет:
    Химия
  • Язык:
    Русский
    ,
    Формат файла:
    MS Word
    801,63 Кб
  • Опубликовано:
    2015-07-20
Вы можете узнать стоимость помощи в написании студенческой работы.
Помощь в написании работы, которую точно примут!

Разработка композиции на основе полиэтилена для термоусадочных пленок

РЕФЕРАТ

Ключевые слова: ε-капролактам, сульфамид фталоцианина никеля, термогравиметрический анализ, дифференциальная сканирующая калориметрия, термомеханический анализ, динамический механический анализ.

Объект исследования: термические свойства полиамида окрашенного сульфамидом фталоцианина никеля

В работе термическими методами анализа (ДСК, ТМА, ТГА) изучено влияние красителя сульфамид фталоцианина никеля на свойства поликапроамида, полученного взаимодействием e-капролактама, в присутствии 2,4-толуилендиизоцианата в условиях анионного инициирования. Методом ТМА установлено, что введение красителя на более поздней стадии полимеризации ε-КЛ приводит к образованию полимера, характеризующегося температурой размягчения подобной для ПКА, полученного без участия красителя. Образцы, в которых краситель был добавлен через 2 минуты от начала реакции, теряют вес при более низкой температуре, чем ПКА, в котором ввод красителя осуществлялся через 20 минут. Методом ДСК показано, что чем позднее вводится краситель в систему, тем меньше в ней содержаться низкомолекулярных фракций.

СПИСОК ПРИНЯТЫХ СОКРАЩЕНИЙ

ПВХ - поливинилхлорид

ПЭ - полиэтилен

ПО- полиолефин

ПЭНП - полиэтилен низкой плотности

ПЭВП - полиэтилен высокой плотности

ПП - полипропилен

ЭВА - сополимер этилена с винилацетатом

ПА - полиамид

ПС - полистирол

ВХВД - сополимер винилхлорида с винилиденхлоридом

ЛПЭ - линейный полиэтилен

мПЭ-полиэтилен катализированный металлоценом

ММР - молекулярно-массовое распределение

УФ - ультрафиолет

БСК -бутадиен-стирольный каучук

МН -прдольное (машинное) направление

ПН - поперечное направление

СОДЕРЖАНИЕ

ВВЕДЕНИЕ

АНАЛИТИЧЕСКИЙ ОБЗОР

.1Что такое термоусадочная пленка

.2 Материалы, используемые для производства термоусадочных пленок

ЭКСПЕРИМЕНТАЛЬНАЯ ЧАСТЬ

.1 Характеристика используемых в работе веществ

.1.1 Полимер полиэтилен низкой плотности

.2 Методики получение полимерных композиций

.2.1 Методика получения полимерных композиций

.3 Методы исследования свойств полимерных композиций

.3.1 Методы исследования структуры полимерных композиций.

Рентгенографический анализ

.3.2 Методы исследования технологических и эксплуатационных свойств полимерных композиций

.3.3 Измерения эффективной вязкости расплава

.3.4 Термические методы исследования

Обсуждение результатов

.1 Свойства смесей на основе ПЭНП марки 10803-020 и ЛПЭНП марки 5118Q

.2 Свойства ПЭ 153 и ЛПЭ

Заключение

СПИСОК ИСПОЛЬЗОВАННЫХ ИСТОЧНИКОВ

ВВЕДЕНИЕ

В современном мире значимость и объемы производимой упаковки все время возрастают. Она является мощным средством продвижения товара на рынке, при этом постоянно увеличивается роль ее качества.

На качество мягкой полимерной упаковки оказывают влияние исходные свойства полимерных пленочных материалов, а также технологические режимы и стабильность работы печатного и фасовочно-упаковочного оборудования.

Работа печатного, отделочного и фасовочно-упаковочного оборудования находится в прямой зависимости от вида и качества полимерного пленочного материала. К упаковочным материалам, перерабатываемым на высокопроизводительном оборудовании, предъявляются жесткие требования по свойствам (толщина, шероховатость, коэффициент трения, коэффициент усадки, деформационные и прочностные свойства и др.). Разброс значений этих свойств должен быть минимальным, чтобы исключить возможные остановки машин. В процессе эксплуатации упаковки важными показателями являются адгезионная прочность соединения краски с полимерной пленкой, прочность упаковки, сварных швов и др [1].

Этим свойствам соответствую пленки из полиэтилена высокой (ПЭВП) и низкой плотности (ПЭНП), из полипропилена (ПП) и других полеолефинов (ПО). Наиболее распространены пленки из ПЭНП.

По сравнению с термоусадочной пленкой ПВХ пленка ПЭНП имеет ряд преимуществ: усадка в 2 раза выше; температура усадки ниже; отсутствие мутности, высокий блеск; из-за отсутствия молекул хлора не пахнет и легко подвергается вторичной переработке [5].

Наиболее современными и качественными являются термоусадочныепленки на основе линейного ПЭ (ЛПЭ). Обладая превосходной прочностью, они, в отличие от ПП пленок, совершенно не деформируют продукт и пригодны для упаковки даже газет и журналов[2].

Термоусадочные пленки из ПП в сравнении с ПЭ отличаются повышенной жесткостью и более высокими прочностными показателями. Но по сравнению с термоусадочной ПЭ пленками имеют более высокую стоимость и мало пригодны к использованию при отрицательных температурах [5].

Термоусадочные пленки получают также на основе радиационно-модифицированного ПЭ. Это позволяет повысить их термостойкость и улучшить прочностные свойства. При производстве радиационное излучение вредит здоровью человека, себестоимость продукта возрастает по сравнению с ПО пленками, и затруднена вторичная [3].

Используя пленки на основе ПО смесей позволяет устранить некоторые недостатки, расширяют комплекс свойств смеси. Свойства смесей в отсутствии растворителя зависят от физического состояния полимерных компонентов [4].Например в промышленности к ПЭНП добавляют различные количества ЛПЭ, чтобы увеличить прочность расплава и увеличить расход потока при промышленных скоростях сдвига; а также уменьшить склонность к разрыву экструзионного потока. Однако такие смеси обычно имеют плохие механические свойства по сравнению с беспримесным ЛПЭ [2].

Целью данной работы являлось изучить влияние полиэтилена низкой плотности (ПЭНП) и линейного полиэтилена (ЛПЭ) на свойства смесей.

Конкретными задачами исследования являлись:

.        Провести литературный обзор по существующим смесям термоусадочных пленок.

.        Получение смеси при разных температурах

.        Оценить изменения ПТР, физико-механические свойства

1 АНАЛИТИЧЕСКИЙ ОБЗОР

.1 Что такое термоусадочная пленка

Термоусадочная пленка − это вид упаковочной пленки <#"876973.files/image001.gif">, (1)

где Iк - суммарная интенсивность всех кристаллических рефлексов; Iа - интенсивность аморфного гало.

Интенсивности кристаллических пиков и аморфного гало на дифрактограммах выражали в единицах площади.

Размер кристаллитов определяли по формуле Шерера [18]:

, (2)

где L - эффективный размер кристаллита (Å); l - длина волнырентгеновского излучения, Å; b - расширение линии, рад; К - коэффициент, зависящий от формы кристаллита; Q - брегговский угол, град.

Для сравнительных измерений вместо величины расширения b в формулу Шерера подставляли значение ширины линии В, которую определяли на уровне половины высоты максимума линии после вычета фона и аморфного гало, если оно находилось под линией (рисунок. 2.1).

.3.2 Методы исследования технологических и эксплуатационных свойств полимерных композиций

Исследование физико-механических характеристик

Физико-механические характеристики (разрушающее напряжение σр, относительное удлинение ε) определялись в соответствии с ГОСТ 11262-80 при температуре испытания 20±2оС. Образцы крепились на разрывной машине Inspektmini3kN (Trilogica, Германия) и растягивались со скоростью движения зажимов 100 мм/мин. Определяли среднее арифметическое каждых пяти полученных значений прочности при растяжении в продольном и поперечном направлении.

Измерение показателя текучести расплава

ПТР определялся в соответствии с ГОСТ 11645-83 на капиллярном вискозиметре типа ИИРТ (Россия) с диаметром капилляра 0,2095±0,0005 см после выдержки материала в нагретом приборе в течение 4-5 мин. Температура испытаний составляла 1900С, нагрузка - 2,16 кг. Образцы загружали примерно на ¾ высоты цилиндра. Выдавленные порции расплавленных образцов за определенный промежуток времени взвешивали.

По полученным значениям массы определяли численное значение ПТР:

ПТР=600∙G/t, г/10 мин , (3)

где G − масса выдавленного расплавленного образца, г; t − время выдавливания образца.

За истинное значение ПТР принимали среднее значение пяти замеров.

В процессе выполнения настоящей НИОКР осуществляется изучение новой композиции для термоусадочной пленки с новыми улучшенными физико-механическими свойствами. Вязкость является одним из важнейших свойств полимеров. В соответствии с наиболее популярным определением, вязкость - это свойство жидкости сопротивляться ее движению, т.е. вязкость полимеров зависит от строения молекул полимера, межмолекулярных связей, скорости сдвига и свойств различных наполнителей, которые могут входить в состав полимера. ПТР определяет рекомендуемый метод переработки полимеров.

Величина показателя текучести для различных полимерных материалов определяется при различных нагрузках и температурах. Поэтому надо иметь в виду, что абсолютные величины показателя текучести сравнимы лишь для одного и того же материала. Так, например, можно сравнивать величину показателя текучести ПЭНП и ЛПЭ различных марок. Оба ПТР определяются при нагрузке в 2,16 кг. Следует отметить, что вязкость расплавов полимеров существенно зависит от приложенной нагрузки. Так как показатель текучести того или иного полимерного материала измеряют лишь при одном значении нагрузки, то этот показатель характеризует только одну точку на всей кривой течения в области относительно низких напряжений сдвига. Поэтому полимеры, несколько различающиеся по разветвленности макромолекул или по молекулярной массе, но с одинаковым показателем текучести расплава, могут вести себя по-разному в зависимости от условий переработки. Однако, несмотря на это, по показателю текучести расплава для многих полимеров устанавливают границы рекомендуемых технологических параметров процесса переработки. Значительное распространение этого метода объясняется его быстротой и доступностью [19].

.3.3 Измерения эффективной вязкости расплава

Эффективная вязкость определяет величину силы, которая должна вызвать течение. Реологическая кривая течения термопласта определяется капиллярным методом. При течении расплава через капиллярные насадки находят объемный секундный расход при различных значениях грузов. Используя уравнение течения ньютоновских жидкостей через цилиндрические каналы рассчитывают напряжение сдвига и градиент скорости сдвига, а затем строят график этой зависимости - кривую течения. Реологическую кривую термопласта снимают на капиллярном вискозиметре Reograph 75.

Прибор включают в электросеть, устанавливают значение температуры по трем зонам, устанавливают скорость сдвига, капилляр помещают в цилиндр. В данных экспериментах устанавливали температуру испытаний 190 С, так как для ПЭ применяется данная температура, скорость сдвига установили от 0,00444 мм/с до 4,44445 мм/с, в цилиндр поместили капилляр 20/2 мм. После установления заданной температуры загружаю полимер на ¾ глубины цилиндра, периодически уплотняя специальным штоком. Поршень опускают вниз и устанавливают в канале цилиндра примерно 1/3 его длины, после чего всю систему прогревают в течение 10 минут. После прогрева поршень опускается с заданной скоростью сдвига в течение 15 минут, далее скорость увеличивается до 0,02222 мм/с в течение 10 минут, оставшиеся точки поршень проходит с равным интервалом в 5 минут. После окончания эксперимента поршень вынимают и производят очистку прибора.

2.3.4 Термические методы исследования

Дифференциально-термический и термогравиметрический анализ

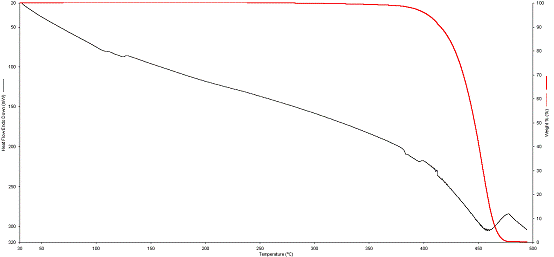
Термические характеристики исходных и модифицированных полимеров оценивались с помощью дифференциально-термического (ДТА) и термогравиметрического (ТГА) анализов, совместное использование которых позволяет достаточно подробно охарактеризовать поведение полимера в условиях изменяющегося температурного поля. Типичные кривые ДТА и ТГА кристаллических полимеров представлены на рисунке 2.2.

Рисунок 2.2 − Типичные кривые ДТА и ТГ кристаллических полимеров

Термо- и дериватограммы образцов снимались на приборе STA 6000 (PerkinElmer, США) с учетом релаксационного характера при скорости нагревания 5оС/мин от 30оС до 500оС. Масса каждого образца составляла 25-27 грамм. Перед снятием дериватограмм все образцы подвергались отжигу в термошкафу при соответствующей температуре.

В качестве критериев термодеструкции были выбраны температура начала деструкции и температуры 5 и 50-ти %-ой потери массы [20].

Принцип данного метода заключается в измерении температурной разности между образцом и инертным веществом при непрерывном нагревании или охлаждении. Нагревание образца сопровождается тепловым эффектом. Если при нагревании протекает какой-либо процесс, то создается разность температур между исследуемым образцом и веществом для сравнения. Изменения, которые сопровождаются тепловыми эффектами, такими как кристаллизация, плавление, на термограммах проявляются в виде пиков. Плавление сопровождается поглощением тепла, это приводит к эндотермическим пикам. ДТА позволяет определить температуру плавления и температурный интервал. Температурой плавления считается температура, соответствующая максимуму пика плавления. Процессы охлаждения наоборот сопровождаются выделением тепла, что на термограммах выражается экзотермическим пиком. По термограммам могут быть определены и тепловые эффекты процессов. Эти процессы основаны на анализе площадей пиков. Термогравиметрический (ТГА) метод является широко распространенным методом анализа полимеров. Для ТГА исследования применяется прибор дериватограф. Этот прибор позволяет регистрировать изменение массы и скорость изменения для данного образца. Регистрируя во времени температуру и потерю массы образца, определяют температуру разложения материала. В качестве вещества для сравнения очень часто используют оксид алюминия. В процессе деструкции полимерного образца на кривых ТГА отмечается вначале медленное уменьшение веса, затем снижение веса происходит быстро в узком температурном интервале. Когда вещества остается мало, потери веса становятся малозаметны. В качестве материала были использованы композиции на основе марок ПЭНП 15313-003 и 10803-020 и 30% ЛПЭНП.

Дифференциально-сканирующая калориметрия

Согласно методу дифференциальной сканирующей калориметрии измеряется количество энергии, поглощенной образцом или выделившейся из образца при непрерывном повышении или понижении температуры или при выдержке материала при постоянной температуре. Этот метод является одним из наиболее эффективных способов исследования плавления, включая определение области стеклования, значения температур плавления и кристаллизации, а также температуры термической деструкции. Этот метод также дает полезную информацию, позволяющую определить степень кристалличности полимера и кинетику кристаллизации. Применение метода дифференциальной сканирующей калориметрии также позволяет судить о наличии или отсутствии антиоксиданта в полимере, поскольку это влияет на окислительную стабильность материала. Метод также может использоваться для определения относительного содержания компонент в смесях, блок- и статистических сополимерах, которое сказывается на характеристиках полимера в области плавления.

Использование техники дифференциального термического анализа также дает количественную информацию о содержании в композиции самых различных добавок: антистатиков, поглотителей ультрафиолетового излучения, модификаторов ударной прочности материала. Рассмотрение типичных термограмм позволяет судить о поведении материала во всем температурном диапазоне от температуры стеклования до области деструкции, а также об изменениях, происходящих между этими двумя крайними точками. Исследования проводились на приборе DSC1 фирмы MettlerToledo (США). Образцы массой до 6мг загружались в алюминиевую кювету. Кювету закрывали, ставили в печь, устанавливали температуру от 30°С до 120°С и скоростью нагрева 3°С в минуту. Нажимали кнопку «start». Для исследования использовали образцы ПВД 13403-020, 15313-003 и ЛПВД.

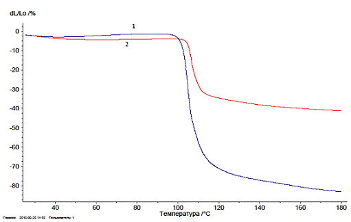
Метод термомеханического анализа

Термомеханический анализ (ТМА) использовался для определения температуры размягчения (Тразм), по которой оценивается теплостойкость полученных полимерных композиций. Тразм определялась по кривым зависимости изменения линейных размеров образца от температуры при постоянной нагрузке.

Образцы толщиной 1 мм вырубались из отпрессованных пластин и подвергались нагреванию со скоростью 3 ºС/мин до температуры 180°С. Термограммы снимались на аппарате TMA 402F1Netzsch − GeratebauGmbH, Германия.

3 Обсуждение результатов

.1 Свойства смесей на основе ПЭНП марки 10803-020 и ЛПЭНП марки 5118Q

Рисунок 3.1 - Кривая течения ПЭНП 10803-020 и композиций с добавлением ЛПЭНП 5118Q при различных концентрациях: 1 - 0%; 2 - 10%; 3 - 20%; 4 - 30%

Таблица 3.2 - Показатель текучести расплава для ПЭНП 10803-020 и композиций с добавлением ЛПЭНП 5118Q

Содержание ЛПЭНП, масс.%

ПТР композиции (г/10 мин), полученной при температуре:


1800С

1950С

2100С

0

1,120

0,925

0,514

10

1,465

1,131

0,474

20

1,530

1,053

0,611

30

1,699

1,150

0,781


Рисунок 3.2 - ТМА-кривые ПЭНП 10803-020, переработанного при температуре: 1 − 1800С и 2 − 210 0С

Рисунок 3.5 - ТГА-кривые: 1 − ПЭНП 10803-020, 2 - смесевой композиции ПЭНП 10803-020 с добавлением 30 масс.% ЛПЭНП 5118Q

Поскольку ПЭ являются кристаллическими соединениями, и основным их недостатком является низкая термостабильность, представляло интерес изучить влияние на полученные образцы методом термогравиметрии. На ТГА-кривых видно, что введение 30% ЛПЭ приводит к увеличению термостабильности образцов ПЭНП 108. (таблица 3.1, рисунок 3.6- 3.8).

Рисунок 3.6 - ДТА и ТГА - кривые полимера ПЭНП 10803-020

Рисунок 3.7 - ДТА и ТГА - кривые полимера ПЭНП 10803-020 с добавлением ЛПЭНП 5118Q (30%)

Рисунок 3.8 - Рентгенограммы: 1 − ПЭНП 10803-020; 2 - смесевой композиции ПЭНП 10803-020 с добавлением 10 масс.% ЛПЭНП 5118Q; 3 − смесевой композиции ПЭНП 10803-020 с добавлением 30 масс.% ЛПЭНП 5118Q

Таблица 3.4 - Свойства ПЭНП марки 10803-020 и его композиции с ЛПЭНП

Содержание ЛПЭНП, масс.%

s, МПа

e,%

Е, МПа

0

16,4

274,7

10

14,7

400

210,1

20

15,0

468

297,0

30

16,1

487

243,2

100

13,0

301

235,3


3.2 Свойства ПЭ 153 и ЛПЭ

Рисунок 3.9 - Кривая течения ПЭНП 15313-003 и композиций с добавлением ЛПЭНП 5118Q при различных концентрациях: 1 - 0%; 2 - 10%; 3 - 20%; 4 - 30%

Таблица 3.6 - Показатель текучести расплава для ПЭНП 15313-003 и композиций с добавлением ЛПЭНП 5118Q

Содержание ЛПЭНП, масс.%

ПТР композиции (г/10 мин), полученной при температуре:


180

195

210

153

0.393

0.326

0.138

153+10%

0.4455

0.338

0.275

153+20%

0.458

0.345

0.386

153+30%

0.601

0.486

0.371


Рисунок 3.10 - ТМА-кривые ПЭНП 10803-020, переработанного при температуре: 1 − 1800С и 2 − 210 0С

Рисунок 3.11 - Кривая ТГА для ПЭНП 10803-020 и ПЭНП 10803-020 с добавлением ЛПЭНП 5118Q (30%)

Рисунок 3.12 - ДТА и ТГА - кривые полимера ПЭНП 15313-003

Рисунок 3.13 - ДТА и ТГА - кривые полимера ПЭНП 15313-003 с добавлением ЛПЭНП 5118Q (30%)

Рисунок 3.14 - ДСК-кривые полимера ПЭНП марки 15313-003

Рисунок 3.15 - ДСК-кривые полимерной композиции ПЭНП 15313-003 содержащей 30%ЛПЭНП 5118Q

Рисунок 3.16 - Рентгенограмма для ПЭНП 15313-003 и ПЭНП 15313-003 с добавлением ЛПЭНП 5118Q (10%;30%)

полиэтилен термоусадочный пленка полимерный

Таблица 3.6 - Свойства ПЭНП марки 15313-003 и его композиции содержащих 10 мас.%; 20мас.%; 30 мас.% ЛПЭНП. Температура переработки 1800С

Содержание ЛПЭНП, масс.%

s, МПа

e,%

Е, МПа

0

18,7

490,0

213,7

10

19,6

514,8

233,5

18,7

449,0

314,4

30

19,9

533,9

291,4


ЗАКЛЮЧЕНИЕ

Термоусадочные пленки получают также на основе радиационно-модифицированного ПЭ. Это позволяет повысить их термостойкость и улучшить прочностные свойства. При производстве радиационное излучение вредит здоровью человека, себестоимость продукта возрастает по сравнению с ПО пленками, и затруднена вторичная [3].

Используя пленки на основе ПО смесей позволяет устранить некоторые недостатки, расширяют комплекс свойств смеси. Свойства смесей в отсутствии растворителя зависят от физического состояния полимерных компонентов [4].Например в промышленности к ПЭНП добавляют различные количества ЛПЭ, чтобы увеличить прочность расплава и увеличить расход потока при промышленных скоростях сдвига; а также уменьшить склонность к разрыву экструзионного потока. Однако такие смеси обычно имеют плохие механические свойства по сравнению с беспримесным ЛПЭ [2].

СПИСОК ИСПОЛЬЗОВАННЫХ ИСТОЧНИКОВ

1. Колесниченко М.Г. Исследование взаимодействия процесса производства пленок полиэтилена и печати на них // Вестник МГУП. − М.: МГУП, 2009. − №7.

. Уайт Дж.Л. Полиэтилен, полипропилен и другие полиолефины /Дж.Л.Уайт, Д.Д. Чой.- Издательство профессия, 2006. - 122с.

.Пат. RU 2448132. Полиэтиленовые композиции, обладающие улучшенными свойствами. / ГУД Марк Г., КОЛЬБ Райнер, КУО Чии, КВАЛЬК Таэ Хунь, ЛИ Донмин, ЛЮЙ Чинтай, РИКС Франсис С., ЗИЛКЕР Даниел П. //Опубл.20.04.2012.

. Кулезнёв В.Н. Исследование структуры и свойств смесей полимеров. Дис. канд. хим. наук: 02.00.06: защищена 9.04.1973, утв. 1973 - 24с.

. Колесниченко М.Г. Технологические свойства полимерных пленочных материалов, применяемых в производстве мягкой тары на фасовочно-упаковочных автоматах вертикального типа/М.Г.Колесниченко, Н.Ф.Ефремов, П.Н.Силенко// Проблемы полиграфии и издательского дела. - М.: МГУП, 2009. - № 6. - С. 14-22. . (1,4 п.л./ 0,5 п.л./)

. Чалых Т. И., Коснырева Л. М., Пашкевич Л.А. Товароведение упаковочных материалов и тары для потребительских товаров - М. : Академия, 2004.

. Бортников,В.Г. Основы технологии переработки пластических масс: учебное пособие/ В.Г. Бортников - Л.: Химия.˗ 1983.-304с.

. Абдель-Бари, Е.М. Полимерные пленки/ Е.М.Абдель-Бари (ред.); пер. с англ. под ред. Г.Е.Заикова.СПб.: Профессия, 2005.

. Зуев В.В. Классификация полимеров/ В.В. Зуев, М.В. Успенская, А.О. Олехнович//Физика и химия полимеров. - 18.05.2010 -6с.

. ООО «Деловые Медия» Журнал Полимерные материалы изделия оборудование технологии. - М., 2012/№7. - 48 с.

. Пат. 200900059. Полимерная смесь./Квамме Ларс Инге, ДавикнесХанс Георг, НильсенЙорунн, Хелланд Ирене// Опубл. 30.06.2009

12. Пат. 2372360 РФ. Способ производства термоусадочных пленок. Термоусадочная пленка/ Л.Ю. Воронина //Опубл.10.11.2009

. Пат. US4503102. Пакет для текучего материала из смеси полиэтилена и сополимера этилен-винилацетат/ Алистер Н., Моллисон// Опубл. 5.03.1985.

. Мамаев А.В. Тара и упаковка молочных продуктов / А.В. Мамаев, А.О. Куприна, М.В. Яркина//2014 - 280с.

. Пат. SU 1348354. Композиция для изготовления упаковочной пленки методом экструзии/ Кулезнев В.В., Замулин В.Г., Марков А.В., Власов С.В., Виноградова Э.С., Марушко З.П.// Бюл. №40.

. Пат. 2459841 РФ. Лента-обертка. / Рожков И.А. // Опубл. 27.08.2012

. Мартынов, М. А. Рентгенография полимеров / М. А. Мартынов, К. А. Вылегжанина. - Л.: Химия. - 1972. - 96 с.

. Тагер, А. А. Физикохимия полимеров / А. А. Тагер // М.: Химия. - 1978. -543 с.

. Кулезнев,В.Н. Структура и механические свойства полимеров: учебное пособие/ В.Н. Кулезнев, О.Б. Ушакова// М.: Химия 2006 - 60с.

. Райх,Л. Динамический термогравиметрический анализ при деструкции полимеров. Новое в методах исследования полимеров / Л. Райх, Д. Леви - Под ред. З.А. Роговина. - М.: Мир, 1968. - 376 с.

Похожие работы на - Разработка композиции на основе полиэтилена для термоусадочных пленок

 

Не нашли материал для своей работы?
Поможем написать уникальную работу
Без плагиата!
Без нейросетей!