Основная теорема теории матричных игр – теорема существования решения в смешанных стратегиях Дж. Фон Неймана
Основная теорема теории
матричных игр - теорема существования решения в смешанных стратегиях Дж. Фон
Неймана
Введение
Что общего у шахмат, карточных игр, войн, переговоров,
рыночной конкуренции, аукционов? Все эти ситуации можно описать c помощью
теории игр - раздела прикладной математики, ставшей неотъемлемой частью
экономической теории. Всюду, где только имеет место взаимодействие
самостоятельных рациональных (или частично рациональных) субъектов, возникает
игра. Главный вопрос теории игр заключается в предсказании поведения участников
игры: какие ходы сделают шахматисты, чем завершатся войны и переговоры, какие
цены сформируются на рынке и т.д. Оказывается, теория игр позволяет сделать
достаточно сильные предсказания. Механизмы конкуренции, функционирования рынка,
возникновения или краха монополий, способы принятия ими решений в условиях
конкурентной борьбы, то есть механизмы игры монополий, действующие в
экономической реальности, - все это является предметом анализа теории игр. Уже
в момент ее зарождения многие предсказали революцию в экономических науках
благодаря использованию нового подхода. Революции, возможно, и не произошло, но
тенденции развития экономики показал плодотворность методов теории игр в
прикладной сфере. Так, в 1994 году Дж. Харшаньи и Р. Зельтен получили
Нобелевскую премию по экономике за работы в области теории игр (приложения их
исследований, например - переговоры с односторонними трансакционными затратами,
равновесие рынка с продавцом и несколькими потенциальными покупателями). Теория
игр имеет не очень длинную историю. Решающий поворот в ее развитии произошел в
1928 году благодаря американцу Дж. фон Нейману. Именно тогда он представил
математическое обоснование общей стратегии для игры двух участников в терминах минимизации
и максимизации. В моей работе будет рассмотрена как раз та самая основная
теорема теории матричных игр - теорема существования решения в смешанных
стратегиях Дж. Фон Неймана.
1.
Теоретическая часть
В начале работы, на мой взгляд, необходимо сказать пару слов
о её основателе. Фон Нейман Джон - выдающийся американский математик, член
национальной АН США и Американской академии искусств и наук. Основные
исследования относятся к функциональному анализу, теории типологических групп,
теории вероятностей, математическим методам в экономике и вычислительной
математике; доказал основную теорему теории игр (1928), совместно с О.
Моргенштенром развил теорию игр и показал, как она может быть применена в
экономике и социальных науках; вместе они в 1944 написали книгу «Теория игр и
экономическое поведение»
Итак, основная теорема матричных игр фон Неймана гласит:
любая матричная игра имеет решение в смешанных стратегиях, т.е. существуют цена
игры в смешанных стратегиях V и оптимальные смешанные стратегии P0 и Q0 соответственно игроков A и B.
Формализованная запись теорема будет дана позже. Как мы
видим, в теореме присутствуют такие термины как игра, матричная игра,
стратегии, смешанные стратегии, цена игры, цена игры в смешанных стратегиях и
оптимальные смешанные стратегии. Я считаю, что прежде чем разбирать и
доказывать данную теорему, необходимо вкратце дать теоретический материал по
приведённым выше терминам.
Игра - это математическая модель реальной конфликтной
ситуации. Конфликтная ситуация двух игроков называется парной игрой. Конечная
парная игра с нулевой суммой называется матричной игрой; матрица, составленная
из чисел, называется платежной. Заинтересованные стороны (лица) в игре
называются игроками. С целью математической формализации игра должна проходить
по определённым правилам. Игра называется конечной, если множество стратегий
каждого игрока конечно, в противном случае она называется бесконечной.
Если говорить о стратегиях, то следует разделять их на чистые
и смешанные стратегии. Стратегии (чистые) - возможные действия игроков.
Смешанные стратегии - стратегия игрока, состоящая в случайном выборе одной из
его чистых стратегий. Таким образом, смешанная стратегия игрока - это
дискретная случайная величина, значениями которой являются номера его чистых стратегий.
Если говорить о взаимосвязи чистых и смешанных стратегий, то каждую чистую
стратегию Ai можно рассматривать как смешанную
A1=(1,0…,0,0)
A2=(0,1,…,0,0)
…………..
Am-1=(0,0,…1,0),
Am=(0,0,…,0,1)
в которой чистая стратегия Ai выбирается с
вероятностью pi=1, а все остальные чистые стратегии - с вероятностью, равной
нулю.
В то же время каждую смешанную стратегию можно представить
линейной комбинацией чистых стратегий с коэффициентами, являющимися
координатами данной смешанной стратегии:
управление нейман матричный
Перейдём к цене игры. Прежде всего,
стоит отметить, что цена игры бывает нижней и верхней. Начнём с ценой игры в
чистых стратегиях. Нижняя цена игры (α) - это выигрыш, не меньший
чем α, при использовании игроком А maxmin стратегии
Верхняя цена игры (β) - это максимальный проигрыш
игрока B
при использовании minimax стратегии.
Если говорить о смешанных стратегиях, то нижняя цены игры
обозначается
А верхняя цена игры - величина
Цены в смешанных и чистых стратегиях взаимосвязаны с между
собой. Нижняя цена игры
иверхняя цена игры β в чистых стратегиях, нижняя цена игры
и верхняя цена игры
в смешанных стратегиях
удовлетворяют следующим неравенствам:
Итак, ознакомившись с базовыми понятиями, перейдём к самой
теореме. Для Любая матричная игра имеет решение в смешанных стратегиях, т.е.
существуют цена игры в смешанных стратегиях V и оптимальные смешанные
стратегии P0 и Q0 соответственно игроков A и B, т.е:

Для того, чтобы доказать данную теорему необходимо ввести
понятие выпуклой функции и седловых точек функции. Для удобства все формулы
будут пронумерованы. Числовая функция
называется выпуклой на
выпуклом множестве X, если для любых точек
и произвольного числа
справедливо неравенство
Следует отметить, что при λ=0 и λ=1 неравество 1.2,превращающееся в равенство всегда справделиво. В
данном определении x - точка конечномерного евклидова пространства. На множество X налагается условие
выпуклости для того, чтобы для любых двух его точек x`, x`` точка
при любом
также принадлежала
множеству X.
Определение строго выпуклой функции вытекает, если ужесточить
определение выпуклой функции, потребовав вместо неравенства (1.2) строгое
неравенство для любых точек x`,x``
X, x`
x`` и произвольного
Следующий этап в доказательстве данной теоремы - определение
вогнутой и строго вогнутой функции. Они определяются аналогичным образом.
Функция
называется вогнутой на выпуклом множестве X, если для любых двух
точек
справедливо неравенство
Соответственно, функции называется строго вогнутой на
выпуклом множестве X если для любых двух точек x`, x``∈ X и произвольного числа λ∈[0,1] справедливо
неравенство
Важно отметить, что в определениях строго вогнутой и строго
выпуклой функций по сравнению с определениями просто выпуклой и вогнутой функции
введены условия x`
x``,
. Это связано с тем, что если хотя бы одно из них
не выполняется, то неравенства (1.3 и 1.5) превращаются в равенство.
Итак, перейдём к основной части доказательства. Пусть
действительная функция
двух векторных аргументов x
X и y
Y, заданная на декартовом произведении X * Y множеств X и Y. Точка (x0, y0), x0
, y0
, называется седловой
точкой функции
на декартовом произведении X*Y,
если
Левое неравенство (1.6) говорит о том, что максимум функции
на множестве X достигается в точке
,
т.е.
. Правое неравенство
(1.6) означает, что минимум функции
на множестве Y достигается в точке
,
т.е.
. Поэтому двойное
неравенство (1.6) эквивалентным образом можно переписать в виде двойного
равенства:
В определении равновесной ситуации в чистых стратегиях (
, учитывая, что F(Ai,Bj) = aij, где F - функция выигрыша, неравенство
можно переписать в виде неравенства
которое соответствует неравенству 1.6, а равенство
в виде равенства
которое, в свою очередь, соответствует равенству (1.7). Это
означает по данному определению седловой точки функции, что равновесная
ситуация в чистых стратегиях (
является седловой точки функции выигрыша F. Вместе с тем значение F(
=
, также называют седловой
точкой матрицы игры.
В общем случае седловые точки произвольных функций двух
векторных аргументов также обладают свойствами равнозначности и
взаимозаменяемости. Доказательство закончено.
2.
Практическая часть
Так как тема моей работы - основная теорема матричных игр фон
Неймана, то, на мой взгляд, практическую часть следует посвятить решению задач
в смешанных стратегиях.
Задача 1. Дана платёжная матрица игры 2x3
|
Bj Ai
|
B1
|
B2
|
B3
|
|
A1
|
6
|
12
|
0
|
|
A2
|
1
|
6
|
8
|
и смешанные стратегии P0 = (
) и Q0 = (
соответственно игроков A и B.
Определить выигрыши игрока А в ситуациях (P0,Q0), (P0, B1) (P0, B2), (P0,B3)
Решение:
Данную задачу решим матричным способом. Воспользуемся
матричной формулой.
H(P0,Q0) = P0 A (Q0)2 = (
) *
*
=
*
= 8,87
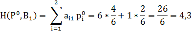
Выигрыш игрока А в ситуации (
), т.е. когда игрок
применяет смешанную стратегию P0 = (4/6, 2/6), а игрок B - чистую стратегию B2 = (0,1,0) следующий
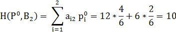
Выигрыш игрока А в ситуации (
), т.е. когда игрок
применяет смешанную стратегию P0 = (4/6, 2/6), а игрок B - чистую стратегию B2 = (0,0,1) следующий
Задача 2
Игрок А прячет в одной из рук монету. Игрок В пытается
угадать руку с монетой. Если В не угадывает, то А получает от В 1 у.е. Если В
угадывает руку с монетой и эта рука правая, то он получает от А 1 у.е. Если В
находит монету в левой руке, то он получает от А 2 у.е. Определить оптимальные
стратегии поведения для каждого игрока и средний выигрыш для А.
Пусть стратегии игроков: А1 - спрятать в правой; В1 - искать
в правой; А2 - спрятать в левой; В2 - искать в левой. Игровая матрица для
данной ситуации относительно игрока А имеет вид:
Найдём вероятности чистых стратегий в смешанных:
;
Аналогично с q.
;
Цена игры равна:
Подставим данные в формулу
p1=
q1=
Таким образом, игроку А нужно случайно чередовать руки с
монетой, но в правой руке прятать в среднем в трех случаях из пяти, а в левой в
двух случаях из пяти. В это случае в каждой игре в среднем А получит (-1/5)
руб., то есть теряет 20 коп., игра для А не выгодная. Для игрока В выгодно
также чередовать руки в которых он ищет монету, но в правой руке искать в 3
случаях из 5, что приведет к среднему выигрышу для него в 20 коп. за игру.
Заключение
Теория игр - наука, изучающая поведение многих участников,
когда достигаемые каждым результаты зависят от действий остальных.
"Есть в современной математике одна область, она носит
безобидное название теории игр, но ей, несомненно, суждено сыграть очень важную
роль в человековедении самого ближайшего будущего, - говорил Джон фон Нейман,
один из основоположников кибернетики. - Она занимается вопросами оптимального
поведения людей при наличии противодействующего противника. Для ученого
противник - это природа со всеми ее явлениями; экспериментатор борется со
средой; математик - с загадками математического мира; инженер - с
сопротивлением материалов".
В своей работе я рассмотрела основную теорему теории матричных
игр - теорему существования решения в смешанных стратегиях Дж. фона Неймана, а
также привела доказательство к ней. До рассмотрения самой теоремы были
повторены основные понятия теории игр, а также в практической части были
разобраны несколько задач на тему «Решение игры в смешанных стратегиях»
Список
использованной литературы
1. Лабскер
Л.Г., Бабешко Л.О. «Игровые методы в управлении экономикой и бизнесом»: Учеб.
Пособие. - М.; Дело, 2001.
. Луньков
А.Д. «Курс по теории игр»: Учеб. Пособие. - Саратов, 2008
. Курс
лекций Данеева О.В.