Определение меди в виде аммиаката дифференциальным методом

  • Вид работы:
    Практическое задание
  • Предмет:
    Химия
  • Язык:
    Русский
    ,
    Формат файла:
    MS Word
    15,49 Кб
  • Опубликовано:
    2015-10-01
Вы можете узнать стоимость помощи в написании студенческой работы.
Помощь в написании работы, которую точно примут!

Определение меди в виде аммиаката дифференциальным методом

Министерство науки и образования Российской Федерации

Государственное образовательное учреждение высшего профессионального образования

«Владимирский Государственный Университет им. Александра Григорьевича и Николая Григорьевича Столетовых»

(ВлГУ)

Кафедра Химии




Лабораторная работа №20

по дисциплине «Аналитическая химия»

Определение меди в виде аммиаката дифференциальным методом










Владимир 2012

Цель работы:


Определить содержание меди в виде аммиаката в растворе, дифференциальным методом.

Аппаратура и реактивы


·        Фотоэлектрокалориметр;

·        Стандартный раствор меди с концентрацией 1 мг/мл;

·        Аммиак, 5%-й раствор;

·        Колба мерная, 50 мл - 8 шт.;

·        Пипетка градировочная, 10 мл - 8 шт.

 

Теоретическое введение


Если светопоглощение анализируемого раствора измеряют по отношению к среде сравнения (раствор сравнения, диафрагма, оптический клин), оптическая плотность А которой существенно больше нуля (например, А = 0,1-1,0), то такой спектрофотометрический метод называют дифференциальной спектрофотометрией, или дифференциальным фотометрическим методом.

Одно из основных достоинств дифференциальной спектрофотометрии состоит в уменьшении ошибки спектрофотометрических определений. Поэтому дифференциальную спектрофотометрию иногда называют прецизионной спектрофотометрией.

Среди различных вариантов дифференциальной спектрофотометрии в аналитической практике распространен простой способ, когда оптическую плотность анализируемого раствора измеряют по отношению к раствору сравнения, содержащему то же определяемое вещество, что и анализируемый раствор, но с несколько меньшей концентрацией. В этом случае измеряемая относительная оптическая плотность А, равна разности оптической плотности анализируемого раствора и оптической плотности А0 раствора сравнения.

Метод используют тогда, когда концентрация раствора - большая (десятки процентов) и оптическая плотность - высока. При высокой оптической плотности возрастает ошибка непосредственных спектрофотометрических определений.

Применение же раствора сравнения, также содержащего определяемое вещество, позволяет уменьшить измеряемую относительную оптическую плотность Ах анализируемого раствора, расширить протяженность шкалы светопропускания и снизить ошибку определений до нескольких десятых долей процента.

Наименьшую ошибку получают тогда, когда разность оптических плотностей измеряемого раствора и раствора сравнения минимальна, а оптическая плотность раствора сравнения - высокая, вплоть до А = 1. Однако на практике все же приходится избегать применение раствора сравнения с очень высоким с вето поглощением, так как при этом уменьшается энергия светового потока, попадающего в приемник излучения, вследствие чего работа приемника излучения становится менее устойчивой, уменьшается отношение сигнал: шум (уровень шумов обусловлен особенностями конструкции спектрофотометра).

 

Результаты опыта


λ

400

440

490

540

590

D

0,05

0,05

0,125

0,350

0,480



Для дальнейшей работы выбираем светофильтр, соответствующий наибольшему значению оптической плотности. λ = 590.

C

2

6

8

9

10

D

0,080

0,170

0,210

0,270


Градуировочный график



 

Обработка экспериментальных данных


По графику откладываем полученные значения D и получаем значения C:

Колба №1

Колба №2

Замер

D

С

Замер

С

D

1

0,440

14,2

1

12,2

0,350

0,440

14,2

2

12,2

0,350

3

0,440

14,2

3

12,2

0,350



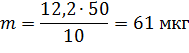
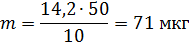
Рассчитываем массу аммиаката меди:

Колба №1

Колба №2

Погрешность опыта равна 0.

аммиакат раствор опыт спектрофотометрия

Вывод


В результате исследования растворов колб №1 и №2 дифференциальным методом, было выявлено, что в растворе колбы №1 содержание меди составляет 71 мкг, а в колбе №2 он равен 61 мкг.

Похожие работы на - Определение меди в виде аммиаката дифференциальным методом

 

Не нашли материал для своей работы?
Поможем написать уникальную работу
Без плагиата!
Без нейросетей!