Моделирование структуры и свойств парацианогена

  • Вид работы:
    Курсовая работа (т)
  • Предмет:
    Химия
  • Язык:
    Русский
    ,
    Формат файла:
    MS Word
    1,42 Мб
  • Опубликовано:
    2016-01-21
Вы можете узнать стоимость помощи в написании студенческой работы.
Помощь в написании работы, которую точно примут!

Моделирование структуры и свойств парацианогена

МИНИСТЕРСТВО ОБРАЗОВАНИЯ И НАУКИ РОССИЙСКОЙ ФЕДЕРАЦИИ

Федеральное государственное бюджетное образовательное учреждение

высшего профессионального образования

"КУБАНСКИЙ ГОСУДАРСТВЕННЫЙ УНИВЕРСИТЕТ"

(ФГБОУ ВПО "КубГУ")

Физико-технический факультет

Кафедра радиофизики и нанотехнологий

ВЫПУСКНАЯ КВАЛИФИКАЦИОННАЯ РАБОТА

БАКАЛАВРА

МОДЕЛИРОВАНИЕ СТРУКТУРЫ И СВОЙСТВ ПАРАЦИАНОГЕНА

Работу выполнил Бондарев Олег Владимирович

Направление 11.03.04 Электроника и наноэлектроника

Научный руководитель

канд. хим. наук В.Ю. Бузько

Нормоконтролер,

канд. хим. наук М.Е. Соколов




Краснодар 2015

Реферат

Выпускная квалификационная работа __ с., 27 рис., 1 табл., 38 источников.

КВАНТОВО-ХИМИЧЕСКОЕ МОДЕЛИРОВАНИЕ, ПАРАЦИАНОГЕН, СТРУКТУРА, ЭЛЕКТРОННЫЕ СВОЙСТВ, СПЕКТРЫ ПОГЛОЩЕНИЯ

Объектом разработки данной выпускной квалификационной работы являлось молекулярное моделирование различных структурных форм полупроводникового сопряженного полимера парацианогена и анализ его предсказываемых свойств.

Целью работы было выполнение моделирования полуэмпирическим квантовохимическим методом MNDO/AM1 различных структурных форм парацианогена, анализ его предсказываемых энергетических, электронных и спектрофизических свойств и сравнение с известными экспериментальными спектроскопическими данными.

В работе рассмотрены: парацианоген, методы синтеза парацианогена, физико-химические свойства и структура парацианогена.

Содержание

 

Введение

1. Структура и свойства парацианогена

2. Методы молекулярного моделирования сопряженных полимеров

3. Полуэмпирические методы квантовой химии

4. Экспериментальная часть

4.1 Использованные подходы и программное обеспечение

4.2 Полученные результаты

Заключение

Список использованных источников

Введение

Сопряженные электропроводящие полупроводниковые полимеры имеют большую значимость в современных нанотехнологических разработках различных микро- и наноустройств. Особый интерес в последние годы обращается на разработки новых полупроводниковых азокарбосодержащих полимеров сопряженными двойными химическими связями, характеризующимися шириной запрещенной зоны более 3 эВ [1].

Обычно электропроводящие сопряженные полимеры получают путем полиприсоединения из мономеров, содержащих тройные связи и ароматические группы, вследствие чего основной скелет содержит цепь сопряженных кратных связей (рисунок 1) [2].

- полиэтилен, 2 - транс-полиацетилен, 3 - поли (пара-фениленвинилен), 4 - поли (пара-фениленвинилен), 5 - политиофен

Рисунок 1 - Структурные формулы полимерных цепей

Экономический фактор стоимости производства электропроводящих полимеров для масштабного внедрения в область наноэлектроники и оптоэлектроники играет значимую роль. По этой причине в последнее время внимание исследователей обращено на изучение свойств и методов синтеза такого низкостоимостного полимера как парацианоген.

Парацианоген известен практически около 200 лет (впервые открыт Геем-Лусаком в 1815-1816 во время экспериментов по пиролизу цианида ртути) [4] и до сих не имеет практического применения в микро - и наноэлектронике, хотя перспективы его внедрения в микроэлектронику неоднократно декларировались [5].

Стоит отметить, что литературные данные о химической структуре парацианогена крайне противоречивы. Также нет согласованного мнения о проявляемых спектрофизических электронных и спектрофизических свойств парацианогена в порошкообразном состоянии и виде тонких пленок [6].

В связи с этим представляет несомненный интерес изучение различных модельных структур парацианогена относительно низкозатратным, в отношении машинного времени, квантово-химическим методом MNDO/AM1.

Цель работы: выполнить молекулярное моделирование различных структурных, энергетических и электронных свойств различных возможных структурных форм парацианогена.

Задачи:

) изучить литературные данные о возможной химической структуре парацианогена и проявляемых им свойствах;

) рассмотреть методы молекулярного моделирования, пригодные для моделирования сопряженных полупроводниковых полимеров;

) построить модельные структуры возможных разных структурных форм парацианогена, оптимизировать их геометрию и рассчитать электронные и спектрофизические характеристики;

) на основании выполненных расчетов и сравнения с известными экспериментальными данными сделать выводы о химической структуре парацианогена.

парацианоген полупроводниковый сопряженный полимер

1. Структура и свойства парацианогена


Цианоген (дициан) с химической формулой (CN) 2, является газообразным веществом. Цианоген, который является полезным как органическое промежуточное звено в синтезах и из-за его высокой токсичности было предложено некоторое использование в качестве фумиганта [7]. На протяжении ряда лет цианоген рассматривался как высокоэффективное ракетное топливо и исследователи обнаружили его малую практическую применимость из-за его токсичности и чрезвычайно высокой температуры сгорания [7].

Оказалось, что конструкционные материалы, в настоящее время используемые в ракетных двигателях, не могут выдерживать высокие температуры и высокоагрессивные и токсичные продукты сгорания цианогена.

Одно возможных решений проблем использования цианогена в качестве эффективных высокоэнергетичных ракетных топлив - преобразовании цианогена к твердому полимеру [8]. Считается, что твердые полимеры цианогена могли бы быть менее токсичными и иметь достаточно уменьшенную температуру, чтобы быть полезными как твердое смесевое ракетное топливо. Цианоген, как известно, полимеризируется с образованием твердого порошкообразного материала, известного как парацианоген. Сильнополимеризованный парацианоген представляет собой черное, очень химически инертное тело с высокой молекулярной массой [4].

Плотность прессованных порошков парацианаогена около 2,0 г/см3 [9]. Свойства парацианогена малоинтенсивно изучались на протяжении более полувека и относительно хорошо определены [6]. Известно, что парацианоген присутствует в атмосфере крупнейшего спутника Сатурна Титана [10] и широко распространен на многих телах Солнечной системы [11], в частности содержится в атмосферах комет [12].

Также известны многочисленные методы получения парацианогена. Некоторые из этих методов следующие [13]:

) Парацианоген образуется, когда цианоген нагрет при атмосферном давлении и при температуре 300-350°С, или при более низких температурах под более высокими давлениями. Например, когда давление составляет 300 атмосфер, требуемая температура для полимеризации цианогена составляет 220°C.

) Парацианоген может быть получен электролизом растворов цианида калия.

) Нагревание оксамида при температуре в 250°-300°С в запаянной ампуле дает парацианоген.

) Цианоген и парацианоген образуются, когда или цианид серебра или цианид ртути нагревают в запаянной ампуле выше или около 300° C.

) Нагревание иодида цианогена или цианурового иодида (CNI) 3 при температуре в 250°-300°С в запечатанной ампуле также дает парацианоген [14].

) Фотополимеризация цианогена под действием ультрафиолетового излучения, высоковольтных разрядов или альфа-частиц.

) 2,4,6-трицианотриазин при нагревании 90-1000С превращается в парацианоген.

) При нагревании гидразулмина (C4H6N6), получаемого взаимодействием избытка цианогена с безводным аммиаком, образуется парацианоген.

) При адсорбции цианогена на графите и графите на медных подложках, облучение низкоэнергетичным рентгеновским излучением приводит к образованию парацианогена [15].

Парацианоген, как полагают, является длинной молекулой формы ленты, неопределенной длины и молекулярной массы, c общей формулой (CN) x [6].

Обычно получаемый в водных растворах парацианоген представляет собой темный, буровато-черный, твердый материал (рисунок 1) [16], который нерастворим в воде, органических растворителях и жидких цианах.

а) б) в)

а) термолиз оксамида, б) пиролиз цианида ртути, в) пиролиз цианида серебра


Термически парацианоген очень устойчив и выдерживает без разложения нагревание, в среде инертного газа, до 8600С, при более высокой температуре идет его распад до дициана [17]. При нагревании свыше 12000С, в отсутствии кислорода парацианоген разлагается на составляющие химические элементы.

Парацианоген нерастворим в азотной кислоте, но частично растворим в сильных щелочных растворах [16]. Сообщается, что парацианоген растворяется в холодной концентрированной серной кислоте и может быть восстановлен без изменений в виде осадка, путем разбавления с водой. Парацианоген может быть полностью преобразован в газообразный циан при нагревании примерно до 860°С, в токе инертного газа, такого как азот или гелий. Низкотемпературное сжигание парацианогена в качестве одного из продуктов дает циан, а сжигание при гораздо более высоких температурах дает оксиды углерода и азота. Парацианоген взаимодейтвует с металлическим калием давая цианистый калий. Отсутствуют признаки реакции парацианогена с расплавленной серой или фосфором. При сильном нагревании на воздухе дает углекислый газ. При взаимодествии с газообразным хлором образуется хлорциан [16].

Изучение особенностей синтеза парацианогена тремя различными синтетическими методами было выполнено в работе [16]. Формы полимеризованного парационогена путем термолиза оксамида, пиролизом цианида ртути и пиролизом цианида серебра имеют абсолютно отличный микроструктурный облик (рисунок 2) [16]. Как обнаружили авторы работы, темно-коричневый пористый остаток, полученный при нагревании оксамида в течение нескольких часов в герметично закрытой стеклянной пробирке при 250-300°С, представляет из себя парацианоген. Длительная, в течение суток полимеризация продукта термолиза оксамида дала почти черный плотный продукт. Было установлено, что целевой продукт внутри внутренней трубки, смешанный с оксамидом, получался лишь с малейшими следами на стенках трубок. Это показывает, что реакция образования парацианогена протекает либо на поверхности оксамида, или более вероятно, в кристалле с помощью простой конденсации в твердой фазе. Ярким подтверждением является электронно-микроскопическая фотография (рисунок 1 а)), где масса парацианогена заметно растет из кристаллов оксамида.

Химические и физические свойства и инфракрасные спектры этого парацианогена были сопоставлены с данными для парацианогена, приготовленного термическим разложением цианидов ртути и серебра. Химический анализ частиц парацианогена из оксамида показал содержание атомов С 32% -34% и N 32% -44%. Было установлено, что при термолизе оксамида наблюдается почти количественный выход парацианогена около 100.2%, тогда как при пиролизе цианида ртути выход парацианогена составляет только 96.9% [16]. Установлено, что получаемый из оксамида парацианоген растворим в расплавленном гидроксиде калия или натрия, давая темно-коричневые растворы, которые постепенно становятся оранжево-красными, а затем бесцветными. В этих бесцветных растворах содержится цианид - и цианат-, карбонат-анионы и связанный с водой аммиак. Парацианоген из оксамида очень слабо растворим в соляной кислоте, но более хорошо растворим в концентрированной серной кислоте, из раствора, в котором он осаждается при разбавлении водой без видимых изменений. Парацианоген из оксамида также растворим в коцентрированной фосфорной кислоте, 60% -ной хлорной кислоте и концентрированной азотной кислоте: все эти растворы, в отличие от твердого тела, обладают небесно-голубой флуоресценцией в ультрафиолетовом свете. Растворы парацианогена в серной кислоте обесцвечиваются при нагревании, выделяя циан. Отмечается, что парацианоген из цианида ртути обладает более худшей растворимостью в кислотах, чем оксамидный [16].

Было обнаружено, что при нагревании парацианогена на воздухе при 450° за 16 час., формируется кирпично-красное соединение неизвестной структурной природы [16]. Обычные методики микроанализа дают различные результаты для данного материала. Окисленные соединения, получаемые из оксамидного и ртуть-цианидного парацианогена, внешне они кажутся одинаковыми, но их инфракрасные спектры поглощения (рисунок 3) разные (таблица 1).

Рисунок 3 - ИК-спектры окисленных соединений, получаемых из а) оксамидного, б) ртуть-цианидного, в) серебро-цианидного парацианогена

Также обнаружено, что красная смесь из оксамидного парацианогена при нагревании в течение 1 часа в токе водорода дает черное соединение, которое при обработке концентрированной серной кислотой дает белое нерастворимое вещество [16].

Таблица 1 - Характеристики ИК-спектров окисленых соединений, получаемых из оксамидного, ртуть-цианидного и серебро-цианидного парацианогена

Источник и термическая обработка

Частота поглощения, см−№

спектр

1

Парацианоген (оксамидный)

1570 v. s.

A

2

Парацианоген (цианид ртути)

1570 v. s.

A′

3

1. нагрев до 450° 24 часа в вакууме

1570 v. s.

as A

4

1. нагрев до 450° 16 часов в воздухе

1100 m., 640 v. s.

B

5

2. нагрев до 450° 16 часов в воздухе

1570v. s.,810 w.,640 w.

B′

6

1. дисоциация в H2SO4 (конц.) по H2O

2070 v. v. s., 1570 v. s.

C

7

2. диссоциация в H2SO4 (конц.) по H2O

2070v. w., 1570 v. s.

C′

8

6. нагрев при 250° 6 часов в вакууме

2070 w., 1570 v. s.

C′

9

6. нагрев при 450° 16 часов в воздухе

1100 m., 640 v. s.

as B

10

7. нагрев при 450° 16 часов в воздухе

1570 v. s., 810 w., 640 w.

as B′

11

Парацианоген (цианид серебра)

1570 v. s.

as A′


Окисление парацианогена в растворе концентрированной серной кислоты, добавляемой по каплям к кипящей азотной кислоте, дает раствор бледно-соломенного цвета. С добавлением ртути раствор сульфата приобрел коричневый хлопьевидный осадок, который постепенно формировался в янтарно-игольчатые кристаллы цианида ртути. Оба раствора парацианогена в кислотах и их производных, со ртутью имеют небесно-голубую флуоресценцию [16].

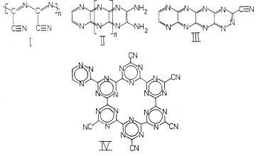
Согласно ранним воззрениям [17] парацианоген обладает двумерной или квазитрехмерной структурой. Предположительные структуры парацианогена по данным работы приведены на рисунке 4.

Рисунок 4 - Предположительные структуры парацианогена

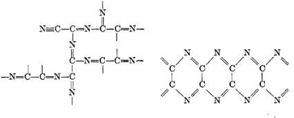
Расчеты расширенным методом Хюккеля четырех модельных структур парацианогена (рисунок 5), выполненные в работе [18] показали, что наибольшей энергетической устойчивостью характеризуется нециклическая структура 1. Ароматическая структура 4 является энергетически наименее устойчивой.

Рисунок 5 - Модельные структуры парацианогена, рассчитанные в работе

Расчеты методом эффективного валентного гамильтониана двух модельных структур парацианогена (рисунок 6), выполненные в работе [19], дали в качестве результата металлический тип проводимости для парацианогена, что отличается от экспериментальных результатов, свидетельствующих о полупроводниковом типе проводимости парацианогена.

Рисунок 6 - Циклические структуры парацианогена, рассмотренные в работе

Изучение удельной электропроводности двух образцов парацианогена, приготовленных из цианада ртути и оксамида проведено в работе [5]. Температурная зависимость удельной электропроводности двух образцов парацианогена приведена на рисунке 7. Рассчитанное значение ширины запрещенной зоны составило 1,12 эВ для парацианогена из цианида ртути и 1,14 эВ для парацианогена из оксамида.

□ - парацианоген из цианада ртути, ○ - парацианоген из оксамида

 

Образцы парацианогена были изучены в работе [20] методами ИК-спектроскопии, твердотельного 13C-MAS-ЯМР и масс-спектроскопии. Изучались образцы парацианогена, приготовленные методом пиролиза цианида серебра, УФ-полимеризацией дициана и распылением графитового электрода в азотной плазме.

Все три изученных образца парацианогена имеют похожие спектральные и термальные характеристики. Методы ИК - и ЯМР-спектроскопии показали присутствие во всех изученных образцах присутствие атомов углерода в состоянии sp2 гибридизации в форме структурного звена - C=N-.

На основании этого заключения автором работы [20] был сделан вывод, что парацианоген представляет собой двумерный полимер с сопряженными связями (рисунок 8).

Рисунок 8 - Возможная структура парацианогена на основании вывода работы

Парацианоген, полученный методом термолиза цианида ртути, был изучен в работе [21] методами DRIFT, ЭПР, UV-VIS-NIR и рентгенофотоэлектронной спектроскопии.

Рассчитанная из данных оптической спектроскопии (рисунок 9) ширина запрещенной зоны в парацианогене составляет Eg = 0,85 эВ.

Это значение Eg характерное для полупроводника хорошо согласуется с удельной электропроводностью 2,9∙10-5 См∙см-1 парацианогена.

Рисунок 9 - Спектр поглощения порошкообразного парацианогена (жирная линия) и продукта его термической обработки при 713 К в течение 40 минут (прерывистая линия)

Особенности фотополимеризации цианогена УФ-излучением и солнечным светом в различных растворителях изучены в работе [22]. Возможные структуры парацианогена, предположенные в этой работе приведены на рисунке 10.

Рисунок 10 - Возможные структуры парацианогена, рассмотренные в работе

Спектры оптического поглощения фотополимеров цианогена в УФ и видимой области, полученные в работе [22], приведены на рисунках 11 и 12. Согласно анализу изученных электронных спектров парацианогена, автором работы [22] сделан вывод, что фотополимеры цианогена в растворителях представляют собой структуры типа IV на 1,3,5-триазина с терминальными циано-группировками.

Рисунок 11 - Электронный спектр фотополимеризованного цианогена в растворе тетрагидрофурана

Рисунок 12 - Электронный спектр фотополимеризованного цианогена: (A) (С2N2) x фотополимер, полученный в метаноле с помощью УФ-облучения лампой, (B) (С2N2) x фотополимер, полученный в этаноле под воздействием солнечного света

2. Методы молекулярного моделирования сопряженных полимеров


Органические сопряженные полимеры являются типичными органическими соединениями с чередующимися двойными связями. В связи с этим для моделирования их свойств требуется производить адекватный учет поведения электронов π-связях [23-24].

Для моделирования структуры и свойств сопряженных полимеров имеются достаточно эффективные и точные полуэмпирические и неэмпирические варианты метода молекулярных орбиталей (МО) [24]. Таким образом, квантовохимические расчеты являются в настоящее время одним из наиболее важных инструментов физико-химических исследований структуры и свойств сопряженных полимеров.

В основе современной квантовой химии лежит уравнение Шредингера для стационарных состояний. Обычно используют адиабатическое приближение, т.е. предполагают, что ядра неподвижны и можно решать уравнения только для движения электронов [24]. Однако даже в этом случае точно решить уравнение Шредингера можно только для одноэлектронных систем. Поэтому в квантовохимических расчетах используют различные приближенные методы, наиболее распространенным из которых является метод самосогласованного поля (ССП) или метод Хартри-Фока. В этом методе полагается, что каждый электрон движется в поле атомных ядер и эффективном усредненном поле других электронов. Многоэлектронную волновую функцию ищут в виде антисимметричного произведения спин-орбиталей, т.е. одноэлектронных МО ф i (m), умноженных на спиновые волновые функции a (альфа) или b (бэтта) соответствующего электрона (1) [24].

Ф = ||ф1a ф1b ф2a ф2b.. фNa фNb||. (1)

Для расчетов молекулярных систем с закрытыми оболочками (где нет неспаренных электронов) используют обычно ограниченный метод Хартри-Фока (RHF), когда каждая одноэлектронная МО фi (m) занята двумя электронами с противоположными спинами. Тогда уравнение Шредингера преобразуется в систему интегрально-дифференциальных уравнений для движения каждого отдельного электрона (2) [23-24]:

F ф i = e iф i, (2)

где F - фокиан (гамильтониан специального вида в приближении ССП);i - энергия i-й МО.

Молекулярные орбитали ф i (m), как правило, ищут в виде линейных комбинаций атомных орбиталей x i (m) (приближение ЛКАО) (3):

ф i (m) = Sumj [Cmj (m) x j (m)], (3)

где Cmj - искомые коэффициенты.

Таким образом, совокупность атомных орбиталей (АО) xj является базисом для построения молекулярной волновой функции фi. Количество базисных АО как правило недостаточно велико, т.е. базис является неполным. Тем не менее, известно, что для адекватного описания диффузного поведения электронов необходимо чтобы базисный набор АО мог достаточно точно передавать распределение электронной плотности в молекуле. Выполнить это требование на практике бывает достаточно трудно и выбор подходящего базисного набора является серьезной методологической задачей [23-24].

Для определения величин Cmj используется вариационная процедура минимизации полной электронной энергии молекулы Е. Для этого решается система линейных уравнений специального вида (4) [23-24]:

j [ (Fij - e mSij) Cmj] = 0 (4)

где соответствующие матричные элементы гамильтониана имеют вид (5)

ij = Fij'+ Sumkl [Pkl (<ij|kl> - 1/2<ik| jl>] (5)

где Sij - интеграл перекрывания АО xi и xj;ij' - матричный элемент одноэлектронного гамильтониана, включающий кинетическую энергию электронов и энергию взаимодействия электронов и атомных ядер;kl - матрица зарядов и порядков связей;

<ij|kl> - кулоновский многоцентровый двухэлектронный интеграл вида (6):

<ij|kl> = Integral [xi* (1) xj* (1) ·1/r12 · xk (2) xl (2) dt1 dt 2] (6)

Решение системы (4) проводят методом самосогласования. Для этого в качестве нулевого приближения берется достаточно произвольная совокупность коэффициентов Cmj, по ним строится матрица Fij и решение (4) дает новый набор Cmj, которые дают новую матрицу Fij и т.д., пока коэффициенты Cmj не перестанут изменяться [23-24].

3. Полуэмпирические методы квантовой химии


На практике при машинных расчетах структуры и свойств химических обычно пользуются как неэмпирическими (ab initio), так и полуэмпирическими методами. Они отличаются методикой вычисления матричных элементов, описывающих электрон-электронные и электрон-ядерные взаимодействия в системе (4). В полуэмпирических методах для этой цели используют приближенные эмпирические формулы и известные из экспериментов параметры атомов. В неэмпирических методах проводится непосредственный аналитический расчет матричных элементов [25].

В прошедшие годы ранее на практике исследователи чаще пользовались полуэмпирическими методами квантовой химии, чем более сложными и требующими гораздо больше (на несколько порядков) машинного времени неэмпирическими методами [24]. В последние годы с ростом вычислительных возможностей компьютерной техники неэмпирические методы квантовой химии заняли прочное место в моделировании сопряженных полимеров [26,38].

Тем не менее, многие практические задачи в области моделирования сопряженных проводящих органических полимеров пока не поддаются решению неэмпирическими методами даже после предельного их упрощения. Следует особо отметить, что из-за ограниченности машинного времени большинство неэмпирических расчетов возможны лишь в базисах небольшого и среднего размеров. Но даже если расчет будет возможен и в достаточно большом базисе, будет найдено не точное решение уравнения Шредингера, а лишь его решение в приближении Хартри-Фока. Таким образом, существует авторитетное мнение, что по сути неэмпирические квантово-химические методы все равно являются приближенными [23-24].

Полуэмпирические расчеты в настоящее время проводят в валентных приближениях CNDO, INDO и NDDO [24]. В этих приближениях расчет проводится только для валентных электронов, а электроны внутренних оболочек включают в остов молекулы; используют минимальный базис; пренебрегают значительной частью кулоновских интегралов (6). Последнее упрощение является наиболее существенным и позволяет значительно упростить расчет. Неточность расчета при этом можно частично компенсировать за счет удачного подбора параметров. В приближении CNDO (Complete Neglect of Differential Overlap) учитываются только одноцентровые интегралы типа <ii|ii> и двухцентровые интегралы типа <ii|kk>. В приближении INDO (Intermediate Neglect of Differential Overlap) дополнительно учитываются кулоновские интегралы, у которых все четыре орбитали xi, xj, xk,xl принадлежат одному атому. В приближении NDDO (Neglect of Diatomic Differential Overlap), кроме интегралов, которые учитываются в приближениях CNDO и INDO, в расчет дополнительно включают интегралы <ij |kl>, у которых орбитали xi и xj принадлежат одному атому, а xk и xl - другому. Так как выбор параметров и эмпирических формул неоднозначен, существуют различные модификации всех этих методов.

В последние годы наиболее широко из полуэмпирических используют MNDO-подобные методы (приближение NDDO), к которым относят MNDO [27], AM1 [28] и PM3 [29]. Популярности MNDO-подобных методов в немалой степени способствовало некоммерческое распространение программ AMPAC и MOPAC, включающих эти методы [30]. Все три метода незначительно отличаются друг от друга и дают примерно одинаковые (вполне удовлетворительные для большинства практических ситуаций) результаты. Подробный обзор применения MNDO-подобных методов к различным задачам приводятся в работе [23-24]. Особенностью метода AM1 является несколько лучшее описание межмолекулярных взаимодействий [23], тогда как в методе PM3 разработаны параметры для большего числа элементов, в т. ч. и металлов [31].

Следует отметить, что из всех MNDO-подобных методов метод AM1 пожалуй наиболее подходящий к изучению структурных, электронных и фотофизических свойств органических электропроводящих полимеров с сопряженными связями [32,35-37].

При расчетах систем с открытыми оболочками (т.е. с неспаренными электронами) необходимо учитывать электронную корреляцию [33]. В приближении Хартри-Фока движение электронов не коррелированно, т.е. вероятность найти электрон в некоторой точке пространства не зависит от местонахождения других электронов, распределение в пространстве которых задано одноэлектронными функциями. В результате двум электронам с одинаковым спином не запрещено занимать одну и ту же точку пространства, что противоречит принципу Паули и ведет к ошибкам. Одним из методов учета электронной корреляции является неограниченный метод Хартри-Фока (UHF), когда электроны с разными направлениями спинов должны занимать, в отличие от RHF, разные МО. Неограниченный метод Хартри-Фока имеет один серьезный недостаток, особенно существенный при расчетах спиновых: плотностей [34]: волновая функция UHF не соответствует чистому спиновому состоянию, т.е. содержит примеси состояний более высоких мультиплотностей. Степень чистоты спинового состояния можно оценить, сравнивая расчетную величину <S2> с номинальной, равной S (S+1). Допустимым считается завышение порядка 10% [34]. Другой способ учета корреляционных эффектов состоит в использовании в рамках RHF метода конфигурационного взаимодействия (CI). В этом случае многоэлектронную волновую функцию ищут в виде линейной комбинации большого числа детерминантов (1). При расчетах MNDO-подобными методами систем с открытыми оболочками используют как UHF, так и CI.

4. Экспериментальная часть


На основании выполненного литературного обзора были выдвинуты следующие практические задачи работы:

. На основании изучения литературных данных относительно возможных структур парацианогена построить модельные структуры различных химических форм парацианогена и с помощью метода молекулярной механики определить их относительную устойчивость;

. Квантовохимическим методом MNDO-AM1 рассчитать наиболее устойчивые структурные модели парацианогена двух топологических рядов;

. Провести сравнение рассчитываемых спектроскопических характеристик модельных форм парацианогена с известными экспериментальными данными оптической и ИК-спектроскопии.

4.1 Использованные подходы и программное обеспечение


Для расчета свойств и характеристик модельных структур парацианогена был использован следующий подход. Предварительно оптимизированные методом молекулярной механики с силовым полем ММ+ модельные структуры парацианогена рассчитывались полуэмпирическим квантовохимическим методом AM1 в ограниченном по спину приближении MNDO. В ходе расчетов производилась оптимизация молекулярной геометрии градиентным методом Поллака-Рибера изучаемых модельных структур парацианогена без каких-либо ограничений по симметрии или структурных характеристик по достижению оптимизационного предела в 0,02 ккал/моль. Для оптимизированных структур определялись термодинамические (энергии связывания, энтальпии образования) и электронные (энергии граничных молекулярных орбиталей) характеристики. Фотофизические характеристики рассчитывались с использованием полуэмпирического метода ZINDO/S в приближении подхода конфигурационного взаимодействия (КВ) с однократными возбуждениями CIS. Использовалось два подхода определения параметра предельного возбуждения электрона с высшей занятой молекулярной орбитали (ВЗМО) модельной структуры для метода конфигурационного взаимодействия. В первом методе в качестве параметра предельного возбуждения бралось значение на 0,01 эВ меньше рассчитываемого методом MNDO/AM1 значения потенциала ионизации модельной структуры. Во втором методе в качестве параметра предельного возбуждения бралось значение на 0,01 эВ меньше рассчитываемого методом ZINDO/S значения потенциала ионизации модельной структуры, полученной методом MNDO/AM1.

Все проведенные расчеты выполнены с помощью лицензионной программы HyperChem версии 7.52.

4.2 Полученные результаты


Модельные структуры парацианогена, оптимизированные методом молекулярной механики в приближении силового поля ММ+ приведены на рисунках. Установлено, что наиболее устойчивыми структурами модельных форм парацианогена являются следующие топологические структуры:

) ациклическая форма (рисунок 13 а)),

) циклическая форма с боковыми NH2-группировками (рисунок 13 в)).

На основании этих двух топологических форм были построены и рассчитаны модельные структуры парацианогена с различным прогрессивно увеличивающимся числом структурных группировок.

На рисунке 13 приведены оптимизированные методом MNDO/AM1 модельные структуры ациклической формы парацианогена с различным числом структурных группировок. Можно видеть, что с ростом числа структурных группировок сохраняется линейный структурный мотив с чередованием двойных связей.

а) ациклическая форма шестичленного парацианогена

б) циклическая форма шестичленного парацианогена

в) циклическая форма шестичленного парацианогена с боковыми NH2-группировками

г) циклическая форма четырехчленного парацианогена

Рисунок 13 - Модельные формы парацианогена

Рисунок 14 - Модельная полициклическая форма парацианогена

= 2                                                           N = 4

Рисунок 15 - Оптимизированные структуры модельной ациклической формы парацианогена (в двух проекциях) с различным количеством циклов

= 6

= 8


= 12

Рисунок 15 (продолжение) − Оптимизированные структуры модельной ациклической формы парацианогена (в двух проекциях) с различным количеством циклов

Зависимость нормированной энергии связи для изученных модельных структур парацианогена от числа атомов в структуре представлена на рисунке 16. Согласно представленным данным, можно видеть, что линейная ациклическая форма парацианогена обладает большей энергетической устойчивостью, чем циклическая.

Рисунок 16 - Зависимость нормированной энергии связи для изученных модельных структур парацианогена от числа атомов в структуре

Зависимость рассчитанной энтальпии образования для изученных ациклических модельных структур парацианогена от числа структурных группировок в молекуле представлена на рисунке 17. Согласно представленным данным, можно видеть, что для линейной ациклической формы парацианогена каждая последующая группировка вносит добавочный энергетический вклад в энтальпию образования равный 52,13 ккал/моль.

Рисунок 17 - Зависимость энтальпии образования для изученных ациклических модельных структур парацианогена от числа структурных группировок в молекуле

Рассчитанные значения ширины энергетической щели для изученных ациклических модельных структур парацианогена приведены на рисунке 18.

Рисунок 18 - Зависимость рассчитанных значений ширины энергетической щели для изученных ациклических модельных структур парацианогена от числа структурных группировок в молекуле

Можно видеть систематическое снижение ширины энергетической щели (аналог запрещенной зоны) с ростом размера ациклических модельных структур парацианогена.

Можно оценить асимптотически достигаемое предельное значение ширины энергетической щели в 6,7 эВ.

Зависимость рассчитанного значения дипольного момента для изученных ациклических модельных структур парацианогена от числа структурных группировок в молекуле представлена на рисунке 19.

Согласно представленным данным, можно видеть, что для линейной ациклической форма парацианогена начиная с 3-х структурных группировок каждая последующая группировка приводит к монотонному росту значения дипольного момента.

Рисунок 19 - Зависимость рассчитанных значений дипольного момента для изученных ациклических модельных структур парацианогена от числа структурных группировок в молекуле

На рисунке 20 приведены рассчитанные значения для частоты наиболее длинноволнового электронного перехода в оптических спектрах изученных ациклических модельных структур парацианогена с помощью двух вышеописанных подходов.

Можно видеть, что с ростом числа структурных группировок в молекулах ациклических модельных структур парацианогена пик длинноволнового поглощения в оптических спектрах смещается область дальнего ультрафиолета.

Для изученных ациклических модельных структур парацианогена пиков поглощения в видимой области спектра предсказано не было.

Рисунок 20 - Зависимость рассчитанных значений длинноволнового электронного перехода для изученных ациклических модельных структур парацианогена от числа структурных группировок в молекуле

Вид спектров поглощения изученных ациклических модельных структур парацианогена представлен на рисунке 21. Вид спектров поглощения изученных ациклических модельных структур парацианогена свидетельствует, что наибольшее поглощение наблюдается в коротковолновой области УФ-диапазона.

Можно предполагать, что с ростом длины ациклических модельных структур парацианогена в районе 17-18 структурных группировок будет достигнута синяя область видимого спектра, следовательно, этот структурный тип молекулярных форм будет иметь черно-фиолетовую окраску.

Рисунок 21 - Спектры поглощения изученных ациклических модельных структур парацианогена

На рисунке 22 приведены оптимизированные методом MNDO/AM1 модельные структуры циклической формы парацианогена с различным числом структурных группировок. Можно видеть, что с ростом числа структурных группировок сохраняется линейный структурный мотив с чередованием двойных связей в сопряженной π-системе.

Рисунок 22 - Оптимизированные структуры модельной циклическая формы парацианогена

Зависимость рассчитанной энтальпии образования для изученных циклических модельных структур парацианогена от числа структурных группировок в молекуле представлена на рисунке 23. Согласно представленным данным, можно видеть, что для изученной циклической формы парацианогена каждая последующая группировка вносят добавочный энергетический вклад в энтальпию образования равный 43,18 ккал/моль.

Рисунок 23 - Зависимость энтальпии образования для изученных циклических модельных структур парацианогена от числа структурных группировок в молекуле

Рассчитанные значения ширины энергетической щели для изученных ациклических модельных структур парацианогена приведены на рисунке 11. Можно видеть систематическое снижение ширины энергетической щели (аналог запрещенной зоны) с ростом размера циклических модельных структур парацианогена. Можно оценить асимптотически достигаемое предельное значение ширины энергетической щели в 5,4 эВ.

Зависимость рассчитанного значения дипольного момента для изученных ациклических модельных структур парацианогена от числа структурных группировок в молекуле представлена на рисунке 24. Согласно представленным данным, можно видеть, что для изученной циклической формы парацианогена каждая последующая группировка приводит к монотонному росту значения дипольного момента.

Рисунок 24 - Зависимость рассчитанных значений ширины энергетической щели для изученных циклических модельных структур парацианогена от числа структурных группировок в молекуле

Рисунок 25 - Зависимость рассчитанных значений дипольного момента для изученных циклических модельных структур парацианогена от числа структурных группировок в молекуле

На рисунке 26 приведены рассчитанные значения для частоты наиболее длинноволнового электронного перехода в оптических спектрах изученных циклических модельных структур парацианогена с помощью двух вышеописанных подходов. Можно видеть, что с ростом числа структурных группировок в молекулах ациклических модельных структур парацианогена пик длинноволнового поглощения в оптических спектрах смещается из область дальнего ультрафиолета в красную область видимого спектра.

Рисунок 26 - Зависимость рассчитанных значений длинноволнового электронного перехода для изученных циклических модельных структур парацианогена от числа структурных группировок в молекуле

Вид спектров поглощения изученных циклических модельных структур парацианогена представлен на рисунке 27. Вид спектров поглощения изученных циклических модельных структур парацианогена свидетельствует, что наибольшее поглощение наблюдается в как в коротковолновой области УФ-диапазона так и в видимой части спектра. Можно предполагать, что для этого структурного тип молекулярной формы парацианогена будет наблюдаться интенсивное поглощение во всех частях видимого спектра в зависимости от степени полимеризации.

= 4                                              N = 6

= 8                                       N = 10

Рисунок 27 - Спектры поглощения изученных ациклических модельных структур парацианогена

Сравнение предсказываемые спектрофизических характеристики для изученных линейных ациклических и циклических молекул парацианогена в с известными экспериментальными спектроскопическими литературными данными позволяет сделать предположение, что при водной полимеризации дициана в основном образуются линейные полимеры парацианогена. Доля же циклических форм должна быть небольшой.

Заключение


Полуэмпирическим квантовохимическим методом MNDO/AM1 были изучены модельные структуры парацианогена с различным типом топологии и числом структурных группировок. Согласно выполненным расчетам наибольшая энергетическая устойчивость характерна для линейных ациклических молекул парацианогена. Предсказываемая ширина запрещенной зоны для этого типа молекул с ростом длины асимптотически приближается к 6,7 эВ. Предсказываемая ширина запрещенной зоны для циклических молекул парацианогена с ростом длины асимптотически приближается к 5,4 эВ.

Предсказываемые спектрофизические характеристики для изученных линейных ациклических и циклических молекул парацианогена в сравнении с известными экспериментальными спектроскопическими данными позволяют сделать вывод, что при водной полимеризации дициана в основном образуются линейные полимеры парацианогена.

Список использованных источников


1. Electrochemically synthesised conducting polymeric materials for applications towards technology in electronics, optoelectronics and energy storage devices / K. Gurunathan, A. V. Murugan, R. Marimuthu, U. P. Mulik, D. P. Amalnerkar // Materials Chemistry and Physics. - 1999. - № 61. - P.173-191.

. Блайт Э.Р. Электрические свойства полимеров / Э.Р. Блайт, Д. Блур - М.: Физматлит, 2008. - 376 с.

. Salaneck W. R. Electronic structure of conjugated polymers: consequences of electron-lattice coupling / W. R. Salaneck, R. H. Friend, J. L. Bredas // Physics Reports. - 1999. - № 319. - P.231-251.

. Salamone J. C. Concise Polymeric Materials Encyclopedia / J. C. Salamone - CRC Press, Florida, 1998. - 1760 p.

. Graham J. The electrical conductivity of some nitrogen containing heterocyclic polymers. / J. Graham, D. I Packham. // Polymer. - 1969. - Vol.10. - P.645-651.

. Salamone. J. C. Polymeric Materials Encyclopedia / J. C. Salamone - CRC Press, Florida, 1996. - 960 p.

. Пат.3020246 США, Carbon-nitrogen polymers and method of preparing same / W. L. Fierce, W. J. Sandner (США). - заявл.28.05.59; опубл.06.02.62. - 2 с.

. Kryszewski M. Semiconducting Polymers / M. Kryszewski - PWN-Polish Scientific Publishers, Warszawa, 1980. - 710 p.

. Schmidt C. L. New directions in carbonitride research: synthesis of resin-like dense-packed C3N4 using a hydrogen-free precursor / C. L. Schmidt, M. Jansen // J. Mater. Chem. - 2010. - № 20. - P.183-192.

. Coll P.organic chemistry in Titan’s atmosphere: new data from laboratory simulations at low temperature / P. Coll, D. Coscia, M. C. Gazeau // Adv. Space Res. - 1995. - № 16. - P.93-103.

. Coustenis A. Modeling Titan’s thermal infrared spectrum for high-resolution space observations / A. Coustenis, T. Encrenaz, B. Bezard // Icarus. - 1993. № 102. - P.240-260.

. Hudson R. L. Reactions of nitriles in ices relevant to Titan, comets, and the interstellar medium: formation of cyanate ion, ketenimines, and isonitriles / R. L. Hudson, M. H. Moore // Icarus - 2004. - № 172. - P.466-478.

. Brotherton T. K. The Synthesis and Chemistry of Cyanogen / T. K. Brotherton, J. W. Lynn // Chemical Review - 1959. - Vol.59. - № 5. - P.843-883.

. Bowden F. P. Initiation and propagation of explosion in azides and fulminates / F. P. Bowden, H. T. Williams // Proc. R. Soc. Lond. A. - 1951. - Vol. 208. - P.176-188.

. Carley A. F. Polymerisation of cyanogen on graphite and graphite supported copper films / A. F. Carley, M. Chinn, C. R. Parkinson. // Surface Science. - 2002. - № 17. - P.563-567.

. Bircumshaw L. L. Paracyanogen: its formation and properties. Part I / L. L. Bircumshaw, F. M. Tayler, D. H. Whiffen // J. Chem. Soc. - 1954. - № 15. - P.31-35.

. Brotherton T. K. The Synthesis and Chemistry of Cyanogen. / T. K. Brotherton, J. W. Lynn // Chemical Review. - 1959. - Vol.59. - №5. - P.843-883.

. Whangbo M. H. Conjugated one and two dimensional polymers / M. H. Whangbo, R. Hoffman, R. B. Woodward // Proclamations of Royal Society London. - 1976. - № 366. - P.23-46.

. Bredas J. L. Valence effective Hamiltonian technique for nitrogen containing polymers: Electronic structure of polypyrrole, pyrolized polyacrylonitrile, paracyanogen, polymethineimine, and derivatives / J. L. Bredas, B. Themans, J. M. Andre // The Journal of Chemical Physics. - 1983. - №.78. - P.137-148.

. Leon M. Paracyanogen reexamined / M. Leon // Journal of Polymer Science Part A: Polymer Chemistry. - 1993. - Vol.31. - № 10. - P.2595-2600.

. Jenneskens L. W. Structural Studies on Paracyanogen and Paraisocyanogen / L. W. Jenneskens, J. G. Mahyt, E. J. Vlietstra // Journal of Chemical Society. - 1994. - Vol.90. - № 2. - P.327-332.

. Cataldo F. On cyanogen photopolymerization / F. Cataldo // European Polymer Journal. - 1999. - № 35. - P.571-579.

. Минкин В.И. Теория строения молекул / В.И. Минкин, Б.Я. Симкин, Р.М. Миняев. - Ростов-на-Дону: Феникс, 1997. - 560 с.

. Минкин В.И. Молекулярный дизайн таутомерных систем / В.И. Минкин, Л.П. Олехнович, Ю.А. Жданов. - Ростов-на-Дону: Изд-во Ростов, 1993. - 272 с.

. Vukmirovic N. Charge Carrier Motion in Disordered Conjugated Polymers: A Multiscale Ab Initio Study / N. Vukmirovic, L. W. Wang // Nano Lett. - 2009. - № 12. - P.396-400.

. Dewar M. J. MNDO results for molecules containing hydrogen, carbon, nitrogen and oxygen / M. J. Dewar, W. Thiel // J. Am. Chem. Soc. - 1977. - Vol.99. - № 15. - P.4907-4917.

. Dewar M. J. AM1: a new general purpose quantum mechanical molecular model / M. J. Dewar, E. G. Zoebisch, E. F. Healy // J. Am. Chem. Soc. - 1985. - Vol.107. - № 15. - P.3902-3909.

. Stewart J. P. Optimization of parameters for semiempirical methods II. Applicatios / J. P. Stewart // J.comput. Chem. - 1989. - Vol.10. - № 2. - P.221-264.

. Stewart J. P. Mopac: a semiempirical molecular orbital program / Stewart J. P. // J.comput. Aided Mol. Des. - 1990. - Vol.4. - № 1. - P.1-105.

. Stewart J. P. Optimization of parameters for semiempirical methods III. Extensions of PM3 to Be, Mg, Zn, Ga, Ge, As, Se, Cd, In, Sn, Sb, Te, Hg, Tl, Pb, and Bi / J. P. Stewart // J.comput. Chem. - 1991. - Vol.12. - № 3. - P.320-341.

. Birgerson J. Electronic structure of some conjugated polymers for electron transport / J. Birgerson, N. Johansson, A. Pohl // Synthetic Metals. - 2001. - № 122. - P.67-72.

. Бучаченко А.Л. Стабильные радикалы. Электронное строение, реакционная способность и применение / А.Л. Бучаченко А.М. Вассерман. - М:. Химия, 1973. - 408 с.

. Кларк Т. Компьютерная химия / Т. Кларк - М.: Мир, 1990. - 383 с.

. Bredas J. L. Electronic structure of π-conjugated oligomers and polymers: a quantum-chemical approach to transport properties / J. L. Bredas, D. Beljonne, J. Cornil // Synthetic Metals. - 2002. - № 122. - P.107-116.

. Lawrence T. Spectroscopic Study of Polyaniline Emeraldine Base: Modelling Approach / T. Lawrence, Jr. Sein, W. Yen // Synt. Met. - 2004. - № 143. - P.1-12.

. Medhat I. Spectroscopic Study of Polyaniline Emeraldine Base: Modelling Approach / I. Medhat, K. Eckhard // Acta Chim. Slov. - 2005. - № 52. - P.159-163.

. Ferretti A. Ab initio complex band structure of conjugated polymers: Effects of hydrid density functional theory and GW schemes / A. Ferretti, G. Mallia, L. Martin-Samos // Phys. Rev. B: Condens. Matter Mater. Phys., - 2012. - №34 - P.85-102.

Похожие работы на - Моделирование структуры и свойств парацианогена

 

Не нашли материал для своей работы?
Поможем написать уникальную работу
Без плагиата!
Без нейросетей!