Методы, применяемые в анализе синтетических аналогов папаверина и многокомпонентных лекарственных форм на их основе
Содержание
Введение
. Папаверин и его синтетические аналоги
. Оценка качества лекарственных препаратов и
лекарственных форм, содержащих синтетические аналоги папаверина
.1 Дротаверина гидрохлорид
.2 Дибазол
. Методы, применяемые в анализе синтетических аналогов
папаверина и многокомпонентных лекарственных форм на их основе
.1 Хроматографические методы
.2 Электрохимические методы
.3 Фотометрические методы
Заключение
Список литературы
Введение
Папаверин применяется в качестве спазмолитического средства
при гипертонии, стенокардии, мигрени [1]. В настоящее время созданы
синтетические аналоги папаверина - дротаверин, дибазол и др.
Данные вещества широко применяются в составе
многокомпонентных препаратов спазмолитического действия.
Многокомпонентные лекарственные препараты на сегодняшний день
занимают значительную долю на рынке фармацевтической продукции, что связано с
ростом числа заболеваний, приходящихся на одного пациента.
Кроме того, комбинация нескольких лекарственных веществ в
одном препарате позволяет снизить нежелательные побочные эффекты, получить
синергическое действие лекарственных веществ, избавить пациента от
необходимости приема нескольких монопрепаратов.
Целью настоящего исследования является рассмотрение
особенностей анализа субстанций и лекарственных форм, содержащих синтетические
аналоги папаверина.
Для достижения цели поставлены следующие задачи:
химическая и фармакологическая характеристика синтетических
аналогов папаверина;
изучение данных литературы и нормативной документации на
препараты, содержащие синтетические аналоги папаверина;
сравнение аналитических методик и выбор оптимальных для
осуществления контроля качества препаратов по различным показателям.
1. Папаверин и его синтетические аналоги
Препараты, влияющие на спазм (спазмолитики), снимающие его и
восстанавливающие функциональные (в первую очередь моторные) расстройства,
наиболее часто используются в терапевтической практике. Они могут применяться в
качестве этиотропной терапии при первичных функциональных расстройствах и в качестве
патогенетического компонента лечения при вторичном характере этих расстройств.
Снимая спазм и нормализуя моторику, они способствуют восстановлению пассажа
содержимого по кишечнику и секрета по выводным протокам, что является основным
залогом нормальной работы ЖКТ. Очень важным постулатом их использования в
«острых» клинических ситуациях является то, что они не влияют на механизмы
болевой чувствительности и не затрудняют диагностику «острой хирургической
патологии» [1, 2].
Спазмолитики представляют разнородную группу препаратов,
отличающихся по механизму и избирательности действия на разные органы [1].
В зависимости от механизма действия спазмолитики делятся на 2
группы: миотропные и нейротропные. На сегодняшний день мы располагаем большим
арсеналом препаратов, действующих на разные патологические звенья спазма
гладкой мускулатуры, формирующие боль. Задача врача состоит в том, чтобы
выбрать адекватный спазмолитик, свести к минимуму побочные эффекты, максимально
быстро купировать боль и не допускать ее возврата.
Характеристика основных групп спазмолитиков
. Миотропные спазмолитики.
Уменьшают мышечный тонус путем прямого воздействия на
гладкомышечные клетки:
• блокаторы ионных каналов;
• ингибиторы фосфодиэстеразы (ФДЭ) 4-го типа;
• нитраты.
В свою очередь они подразделяются на селективные и
неселективные.
Селективные - блокаторы кальциевых каналов: пинаверия бромид
(Дицетел), отилония бромид (Спазмомен); блокаторы натриевых каналов: мебеверин
(Дюспаталин); донаторы оксида азота: изосорбид динитрата, нитроглицерин,
нитропруссид натрия.
Неселективные - ингибиторы ФДЭ: дротаверин (Но-шпа),
папаверин, аминофиллин, бенциклан.
. Нейротропные спазмолитики.
Блокируют процесс передачи нервных импульсов в вегетативных
ганглиях и нервных окончаниях, стимулирующих гладкомышечные клетки.
Нейротропные спазмолитики, осуществляющие блокаду М1,2,3-
холинорецепторов гладкой мышечной клетки:
• природные (атропин, гиосцинамин, препараты красавки,
платифиллин, скополамин);
• синтетические центральные (адифенин, апрофен, апренал,
циклозил);
• полусинтетические периферические гиосцина бутилбромид
(Бускопан) [3, 5].
Широкая распространенность и разнообразие мускариновых
рецепторов в организме, подтверждают теоретическое обоснование применения
холинолитиков [3].
Выбор спазмолитика в каждом конкретном случае боли зависит от
локализации спазма и выраженности спазмолитического эффекта препарата [1].
Папаверин вместе с некоторыми алкалоидами (лауданозин,
лауданин, наркотин, нарцеин) принадлежит к алкалоидам опия, добываемого из
незрелых плодов мака снотворного (Papaver somniferum L.). Папаверин и наркотин
в отличие от морфина, который также является алкалоидом опия, обладают очень
слабыми наркотическими свойствами [4].
Папаверин угнетает фермент фосфодиэстеразу и вызывает
внутриклеточное накопление циклического 3',5'-аденозинмонофосфата, который
способствует связыванию ионов кальция внутри мышечной клетки, что, в конечном
итоге, приводит к нарушению сократимости гладких мышц и их расслаблению при
спастических состояниях. Папаверина гидрохлорид снижает тонус крупных сосудов и
артериол, в том числе мозговых сосудов, оказывает спазмолитическое действие на
вены и другие гладко-мышечные органы. В больших дозах снижает возбудимость
сердечной мышцы и замедляет внутрисердечную проводимость [6,7].
Дротаверина гидрохлорид является синтетическим аналогом
папаверина гидрохлорида, а с точки зрения химического строения является
производным бензилизохинолина.
Дротаверина гидрохлорид принадлежит к группе лекарственных
средств, обладающих спазмолитической активностью (спазмолитик миотропного
действия), и является основным действующим веществом препарата
"но-шпа". По химической структуре и фармакологическим свойствам
близок к папаверину, но обладает более сильным и продолжительным действием
[10].
Дротаверин (Но-шпа) имеет большой рейтинг популярности
благодаря универсальности действия. Основной механизм действия препарата
обусловлен влиянием на активность фермента, регулирующего процесс мышечного
сокращения и расслабления - ФДЭ 4-го типа, препарат проникает в разные ткани
ЖКТ, билиарную систему, мочевыводящие пути, сосуды, воздействует на повышенный
тонус матки, эффективен при нефролитиазе [2, 10]. Выпускается в таблетированном
виде и может применяться парентерально для оказания быстрой помощи при коликах.
Предпочтение дротаверину отдают при сочетанной локализации болей или при болях,
склонных к генерализации. Папаверин - также ингибитор ФДЭ, но не обладает
селективностью в отношении определенного семейства ФДЭ. Действие его на миоциты
ЖКТ в 5 раз ниже, чем у Но-шпы [2, 10].
Бендазол - Bendazol - Bendazolum (Дибазол - Dibazolum) 2-(Фенилметил) -
1Н-бензимидазол - важнейшее производное бензимидазола.
Общетонизирующее, общеукрепляющее средство, адаптоген.
Средство, влияющее на нервномышечную передачу. Вазодилататор. Спазмолитик
миотропный. Применяется как мягкое антигипертензивное средство.
Используют при обострении гипертонической болезни и кризах,
спазмах гладких мышц внутренних органов (язвенная болезнь, спазмы кишечника) и
как мягкое иммуностимулирующее средство.
Лекарственные формы: таблетки по 0,02, 0,002, 0,003, 0,004 г;
0,5% или 1% раствор в ампулах по 1, 2 и 5 мл; входит в состав таблеток:
«Папазол» (с папаверином), «Амазол» (с амидопирином), «Андипал» (с анальгином),
«Теодибаверин» (с теобромином).
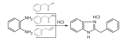
Впервые 2-бензилбензимидазол был синтезирован в 1899 г.
немецкими химиками Р. Вальтером и Т. Пулавски длительным нагреванием
о-фенилендиамина с небольшим избытком фенилуксусной кислоты до 180 °C. В конце 1940-х гг. О.Ф.
Гинзбург детально изучил кислотно-катализируемую конденсацию о-фенилендиамина с
карбоновыми кислотами, приводящую к образованию 2-алкил- и
2-арилбензимидазолов, и установил её механизм. 2-Бензилбензимидазол был получен
им нагреванием в запаянной трубке эквимолярной смеси о-фенилендиамина и фенилуксусной
кислоты в 10% соляной кислоте в течение 40 мин при 180-185 °C с выходом 98%.
Гидрохлорид был выделен кристаллизацией свободного основания из 5% соляной
кислоты. Этот способ получения 2-замещённых производных бензимидазола в 1947 г.
был защищён авторским свидетельством и в этом же году опубликован в «Журнале
общей химии». Гетероциклизацию о-фенилендиамина с фенилуксусной кислотой можно
осуществить не только под давлением, но и при атмосферном давлении, а также в
условиях микроволновой активации.
Предложенный в 1947 г. О.Ф. Гинзбургом, Л.С. Эфросом и Б.А.
Порай-Кошицем способ получения 2-бензилбензимидазола лёг в основу промышленной
технологии дибазола: первый технологический регламент получения лекарственной
субстанции дибазола нагреванием о-фенилендиамина с фенилуксусной кислотой в
солянокислой среде при атмосферном давлении был разработан на ленинградском
химико-фармацевтическом предприятии «Фармакон» Василием Федоровичем Морозовым
совместно с сотрудниками кафедры красителей в 1951 г [9, 25].
Первая промышленная партия дибазола была выпущена на этом
заводе несколько раньше, в 1950 г. Впоследствии на этом производстве, вплоть до
его остановки в 2004 г., вместо фенилуксусной кислоты использовали её нитрил.
В настоящее время в промышленном синтезе дибазола в качестве
предшественника бензильного фрагмента используют не только фенилуксусную
кислоту или её нитрил, но также и её амид - фенилацетамид, при этом во всех
случаях пятичленный цикл формируется комбинацией фрагментов по схеме 4 + 1
[25]:
В начале 1950-х гг. Ленинградский химико-фармацевтический
завод (ныне не существует) первым в стране начал выпускать лекарственные формы
дибазола в виде таблеток и ампулированных растворов.
В постперестроечные годы субстанцию и лекарственные формы
дибазола производили многочисленные предприятия России и ближнего зарубежья,
некоторые из них продолжают выпуск этой продукции и в настоящее время [25].
Благодаря простоте молекулярной структуры дибазол очень
технологичен: его производят из дешёвого и доступного сырья практически в одну
стадию. По этой причине он является одним из самых дешёвых синтетических
лекарственных препаратов, что, в свою очередь, позволяет использовать его в
медико-социальных программах, подразумевающих длительное курсовое применение
препарата большими контингентами населения [25].
2. Оценка качества лекарственных препаратов и лекарственных
форм, содержащих синтетические аналоги папаверина
.1 Дротаверина гидрохлорид
Фармакопейная статья на дротаверина гидрохлорид представлена
в Фармакопее 12 издания. Рассмотрим ее требования к данной субстанции.
ДРОТАВЕРИНА ГИДРОХЛОРИД
-(3,4-Диэтоксибензил)-6,7-диэтокси-3,4-дигидроизохинолина
гидрохлорид
С24Н31NO4 • НС1 М.м. 434,0
Содержит не менее 98,0% и не более 101,0% C24H31NO4 • НС1 в пересчете на
безводное вещество.
Описание. От светло-желтого до зеленовато-желтого цвета
кристаллический порошок почти без запаха.
Подлинность. Инфракрасный спектр субстанции, снятый в диске с
калия бромидом, в области от 4000 до 400 см-1, по положению полос
поглощения должен соответствовать рисунку спектра дротаверина (рис.1).
Рис.1. ИК-спектр дротаверина гидрохлорида.
Спектр поглощения 0,0015% раствора субстанции в 0,1 М
растворе хлористоводородной кислоты в области от 210 до 440 нм должен иметь
максимумы при 241 нм, 302 нм и 353 нм и минимумы при 223 нм, 262 нм и 322 нм.
,01 г субстанции растворяют в 5 мл серной кислоты
концентрированной, прибавляют 0,03 мл 0,1 М раствора железа(III) хлорида; при нагревании
смеси появляется зеленое окрашивание. После охлаждения прибавляют 0,03 мл азотной
кислоты разведенной; появляется коричнево-красное окрашивание.
,05 г субстанции растворяют в 2 мл спирта 96%; полученный
раствор дает характерную реакцию на хлориды.
Температура плавления. От 208 до 212 °С (с разложением, метод
1а с предварительным высушиванием в условиях, описанных в разделе «Потеря в
массе при высушивании»).
Прозрачность раствора. Раствор 0,1 г субстанции в 10 мл воды
должен быть прозрачным или выдерживать сравнение с эталоном I.
Цветность раствора. Окраска раствора, полученного в испытании
на Прозрачность раствора, должна быть не интенсивнее окраски эталона GY3 и интенсивнее окраски
эталона GY4.
рН. От 3,5 до 5,5 (1 % раствор).
Посторонние примеси. Определение проводят одним из методов.
Метод ТСХ
Испытуемый раствор. 0,1 г субстанции растворяют в 10 мл
хлороформа.
Раствор сравнения. 1 мл испытуемого раствора разбавляют
хлороформом до 100 мл.
На линию старта пластинки со слоем силикагеля 60 F254 наносят 10 мкл (100
мкг) испытуемого раствора, 10 мкл (1 мкг), 5 мкл (0,5 мкг) и 2,5 мкл (0,25 мкг)
раствора сравнения. Пластинку с нанесенными пробами сушат на воздухе, помещают
в камеру со смесью бензол - метанол - аммиака раствор концентрированный 25%
(20:4:0,1) и хроматографируют восходящим методом. Когда фронт подвижной фазы
дойдет до конца пластинки, ее вынимают из камеры, сушат на воздухе до
исчезновения запаха растворителей и просматривают в УФ-свете при 254 нм.
Пятно любой посторонней примеси на хроматограмме испытуемого
раствора по совокупности величины и интенсивности поглощения не должно
превышать пятно на хроматограмме раствора сравнения (0,5 мкг) (не более 0,5%).
Суммарное содержание примесей, оцененное по совокупности величины и
интенсивности поглощения их пятен на хроматограмме испытуемого раствора в
сравнении с пятнами на хроматограммах раствора сравнения, не должно превышать
1%. Пятно на старте в расчет не принимают.
Результаты испытания считаются достоверными, если на
хроматограмме раствора сравнения (0,25 мкг) четко видно пятно.
Метод ВЭЖХ
Ацетатный буферный раствор. 2,176 г натрия ацетата безводного
растворяют в 500 мл воды, прибавляют 6 мл уксусной кислоты ледяной,
перемешивают, доводят объем раствора водой до 1000 мл и перемешивают.
Испытуемый раствор. 0,01 г субстанции растворяют в 5 мл
подвижной фазы (ПФ).
Раствор сравнения. 0,5 мл испытуемого раствора переносят в
мерную колбу вместимостью 100 мл, доводят объем раствора ПФ до метки и
перемешивают.
Раствор для проверки пригодности системы. 0,02 г субстанции
растворяют
в 19 мл воды при нагревании до 40-50 °С, прибавляют 0,005 г
растертого калия перманганата, перемешивают в течение 2 мин, прибавляют 1 мл
ортофосфорной кислоты и вновь перемешивают до получения прозрачного раствора.
Хроматографические условия
Колонка - 25 х 0,40 см с октадецилсилил силикагелем (С 18), 5
мкм;
ПФ - метанол - ацетонитрил - ацетатный буферный раствор
(8:48:44);
Скорость потока - 1,0 мл/мин;
Детектор - спектрофотометрический, 254 нм;
Объем пробы - 10 мкл.
Хроматографируют раствор для проверки пригодности системы.
После пика дротаверина должны элюироваться 3 пика продуктов окисления.
Разрешение (R)
между соседними пиками должно быть не менее 3,0. Эффективность колонки (N), рассчитанная по пику
дротаверина, должна быть не менее 3000 теоретических тарелок. Асимметрия (Т)
пика дротаверина должна быть не более 1,3.
Хроматографируют раствор сравнения и испытуемый раствор.
Время регистрации хроматограммы испытуемого раствора должно не менее чем в 2,5
раза превышать время удерживания основного пика.
Площадь пика любой посторонней примеси на хроматограмме
испытуемого раствора должна быть не более площади пика на хроматограмме
раствора сравнения (не более 0,5%); сумма площадей всех пиков посторонних
примесей не должна более чем в 2 раза превышать площадь пика на хроматограмме
раствора сравнения (не более 1,0 %).
Вода. Не более 3,0%. Около 0,5 г (точная навеска) субстанции
растворяют в 10 мл смеси хлороформ - метанол (9:1) и титруют реактивом К.
Фишера.
Сульфатная зола и тяжелые металлы. Сульфатная зола из 0,5 г
(точная навеска) субстанции не должна превышать 0,1% и должна выдерживать
испытание на тяжелые металлы (не более 0,002 % в субстанции).
Остаточные органические растворители. В соответствии с
требованиями ОФС «Остаточные органические растворители».
Бактериальные эндотоксины. Не более 4,3 ЕЭ на 1 мг
субстанции.
Для проведения испытания готовят исходный раствор субстанции
(концентрация 10 мг/мл), а затем разводят его не менее чем в 200 раз.
Испытание проводят для субстанции, предназначенной для
приготовления инъекционных лекарственных форм.
Микробиологическая чистота. В соответствии с требованиями ОФС
«Микробиологическая чистота».
Количественное определение. Около 0,3 г субстанции (точная
навеска) растворяют в 20 мл уксусной кислоты ледяной, прибавляют 3 мл раствора
ртути окисной ацетата и титруют 0,1 М раствором хлорной кислоты до появления
зеленого окрашивания (индикатор - 0,1 мл 0,1 % раствора кристаллического
фиолетового).
Параллельно проводят контрольный опыт.
мл 0,1 М раствора хлорной кислоты соответствует 43,40 мг C24H31NO4 • НС1. Хранение. Список
Б. В сухом, защищенном от света месте [11].
.2 Дибазол
Дибазол
Описание: Белый или белый со слегка сероватым оттенком
кристаллический порошок. Гигроскопичен.
Растворимость. Трудно растворим в вод е и хлороформе, легко
растворим в спирте, мало растворим в ацетоне, практически нерастворим в эфире
[12].
Подлинность. 0,02 г препарата растворяют в 5 мл воды,
прибавляют 3 капли разведенной соляной кислоты, 2-3 капли 0,1 н. раствора йода
и взбалтывают; образуется красновато-серебристый осадок.
,02 г препарата растворяют в 3 мл воды, прибавляют 1 мл
раствора аммиака и образующийся осадок отфильтровывают. Фильтрат, подкисленный
2,5 мл разведенной азотной кислоты дает характерную реакцию на хлориды.
Температура плавления 182-186° (в пределах 3°).
Возможная примесь в субстанции дибазола - исходный реагент
орто-фенилендиамин. [20].
Фенилендиамин. 0,5 г препарата растворяют в 10 мл воды при
нагревании до 90°, подкисляют 0,5 мл 1 н. раствора соляной кислоты, прибавляют
1 каплю 1% раствора хлорида окисного железа; не должно появляться розовое
окрашивание.
Потеря в весе при высушивании. Около 0,5 г препарата (точная
навеска) сушат при 70-80° до постоянного веса. Потеря в весе не должна
превышать 1,5%.
Органические примеси. 0,3 г препарата растворяют в 5 мл
концентрированной серной кислоты. Окраска полученного раствора не должна быть
интенсивнее эталонов № 5а или № 4в.
Сульфатная зола и тяжелые металлы. Сульфатная зола из 0.5 г
препарата не должна превышать 0,1% и должна выдерживать испытание на тяжелые
металлы (не более 0,001% в препарате).
Количественное определение. Около 0,15 г препарата (точная
навеска), предварительно высушенного при 70-80° до постоянного веса, растворяют
в 10 мл безводной уксусной кислоты, прибавляют 5 мл раствора ацетата окисной
ртути и титруют 0,1 н. раствором хлорной кислоты до голубовато-зеленого
окрашивания (индикатор - кристаллический фиолетовый).
Параллельно проводят контрольный опыт.
мл 0,1 н. раствора хлорной кислоты соответствует 0,02447 г C4H12N2
-HC1, которого в высушенном препарате должно быть не менее 99,0%.
Хранение. Список Б. В хорошо укупоренной таре.Dibazoli 0,02
Таблетки дибазола 0,02 г
Состав на одну таблетку.
Дибазола 0,02 г
Вспомогательных веществ до получения таблетки весом 0,26 г
Описание. Таблетки белого цвета.
Подлинность. 0,5 г порошка растертых таблеток растворяют в 10
мл воды и фильтруют. Фильтрат дает реакции подлинности, указанные для
«Dibazolum».
Количественное определение. Около 1 г (точная навеска)
порошка растертых таблеток обрабатывают хлороформом 1 раз 15 мл и 3 раза по 5
мл. Хлороформные извлечения фильтруют в сухую колбу через фильтр, смоченный
хлороформом. Хлороформ отгоняют до объема 1 мл, прибавляют 10 мл безводной
уксусной кислоты и далее проводят определение, как указано для «Dibazolum».
мл 0,1 н. раствора хлорной кислоты соответствует 0,02447 г С4H12N2
• НСl,
которого должно быть 0,018-0,022 г, считая на средний вес одной таблетки.
Хранение. Список Б [12].
Образование осадка основной формы дибазола за счет
увеличенной щелочности стекла может быть причиной нестабильности его
инъекционных растворов. Поэтому эти растворы стабилизируют 0,1М раствором НС1.
При действии на спиртовой раствор дибазола аммиачным
комплексом серебра(1) образуется белый осадок серебряной соли дибазола [20]:
3. Методы, применяемые в анализе синтетических аналогов
папаверина и многокомпонентных лекарственных форм на их основе
.1 Хроматографические методы
Для идентификации изохинолиновых алкалоидов предложены
хроматографические методики [14].
Установлено, что для определения примесей в лекарственных
формах, содержащих производные изохинолина, обычно используются
хроматографические методы - ТСХ и ВЭЖХ.
Сравнительный анализ имеющихся условий определения посторонних примесей
дротаверина гидрохлорида методом ТСХ, включенных в действующие НД, показал,
что:
анализ, как правило, проводится на пластинах Kieselgel F254 (предварительно активированных или неактивированных).
оценка результатов проводится в ультрафиолетовом свете при длинах волн
254 нм (фиолетовые пятна на желтовато-зеленоватом фоне), редко - при 366 нм
(пятна голубого цвета на темном фоне), очень редко - с использованием
модифицированного реактива Драгендорфа и 0,05М раствора серной кислоты.
используется около десятка подвижных фаз, включающих в себя такие
растворители, как татрагидрофурaн,
этилацетат, спирты, амины, органические кислоты, бензол и его гомологи,
хлороформ, н-гексан и др. В одном НД предусмотрено последовательное
хроматографирование в 2-х подвижных фазах.
в качестве растворителей проб используется хлороформ, метанол, буферные
растворы с различным рН
в роли вещества свидетеля, как правило, используется дротаверин, редко -
дротавералдин (основной продукт окисления)
Для выбора оптимальных условий оценки содержания примесей в дротаверина
гидрохлориде методом ТСХ нами было изучено хроматографическое поведение
дротаверина в следующих ПФ:
. бензол-спирт метиловый-концентрированный раствор аммиака (40:8:0.1)
. ксилол-метилэтилкетон- спирт метиловый- диэтиламин (20:20:3:1)
. дихлорэтан- спирт метиловый-ацетон-диэтиламин (80:10:5:5)
. бензол-спирт метиловый-раствор аммиака концентрированный (20:4:0,1).
Оптимальной оказалась подвижная фаза: бензол, спирт метиловый, раствор
аммиака концентрированный - 20:4:0,1.
В качестве базового растворителя проб использован хлороформ, поскольку
дротаверина гидрохлорид в нем легко растворим, а возможность его гидролиза в
данном случае минимальна.
Изучено влияние активирования пластин на результат хроматографирования.
Экспериментально установлено, что активирование пластин в течение 1 часа при
110 оС не оказывает существенного влияния на характер хроматограммы,
поскольку расположение пятен дротаверина и примесей на активированных и
неактивированных пластинах практически ничем не отличается.
Выбран способ детектирования и вещество-свидетель. В качестве вещества
свидетеля был использован непосредственно дротаверин, так как в РФ стандарты
дротавералдина, либо других известных примесей дротаверина не являются широко
доступными, а чувствительность определения как для основного, так и для
примесных веществ составляет 0,25 мкг. Для детектирования был выбран наиболее
распространенный способ - оценка в ультрафиолетовом свете при 254нм [16].
Для определения посторонних примесей в комбинированном препарате «СПАЛГИН
форте» в качестве основной выбрана подвижная фаза: бензол, спирт метиловый,
раствор аммиака концентрированный - 20:4:0,1, которая, как показано выше,
пригодна для определения содержания примесей как дротаверина гидрохлорида, так
и анальгина.
В качестве растворителя использовали хлороформ (применяемый в анализе
посторонних примесей каждого индивидуального компонента препарата).
Однако в процессе исследований было отмечено, что присутствие дротаверина
гидрохлорида улучшает растворимость анальгина в хлороформе. Хроматографирование
хлороформного экстракта модельной смеси таблеток СПАЛГИН форте показало, что
дротаверина гидрохлорид частично разрушается в растворе. Этот факт, вероятно,
обусловлен влиянием анальгина.
С целью устранения описанного выше взаимного влияния
компонентов рассмотрены различные способы обработки хлороформа и получения
хлороформных растворов исследуемого препарата.
Использование безводного хлороформа не оказало существенного
влияния на результаты хроматографирования - вид хроматограмм, полученных при
применении коммерческого и безводного хлороформа одинаков; в случае
использования хлороформа, насыщенного аммиаком, либо раствором сульфита натрия,
общий вид хроматограммы также не изменяется.
При извлечении модельных смесей анальгина и дротаверина
гидрохлорида в хлороформ из водного раствора с рН 8-9 результаты были
сопоставимы с полученными при растворении непосредственно в хлороформе, но при
этом интенсивность пятна примеси с Rf 0,58 (дротавералдин) несколько снизилась.
Оптимальные результаты были получены после обработки
хлороформа раствором натрия гидроксида и натрия сульфитом.
Двумерное хроматографирование смеси анальгина и дротаверина
гидрохлорида в выбранных условиях показало, что в процессе хроматографирования
не происходит разрушения соединений. В результате первого хроматографирования
отмечен рост интенсивности пятна примеси дротаверина гидрохлорида с Rf 0,58 (дротавералдин) по
сравнению с аналогичным на хроматограмме дротаверина гидрохлорида в чистом
виде, при последующем хроматографировании в перпендикулярном направлении
образования подобного пятна не наблюдалось, то есть, качественный и
количественный состав примесей не меняется.
В качестве веществ-свидетелей выбраны дротаверин и 4-аминоантипирин, что
обусловлено результатами исследования по определению чувствительности
обнаружения соединений и, кроме того, доступностью указанных веществ, о чем
говорилось ранее.
Типичная хроматограмма, полученная в выбранных условиях
представлена на рисунке 2.
- препарат «СПАЛГИН форте»
- дротаверина гидрохлорид, Rf=0,48
- анальгин, Rf= 0,06
- 4-аминоантипирин, Rf=0,21
- антипирин, Rf=0,24
- 4-метиламиноантипирин, Rf=0,26
- дротавералдин, Rf=0,58
На хроматограмме обнаружено несколько пятен незначительного
размера и интенсивности между пятнами анальгина и дротаверина [17].
Предложена методика количественного анализа нового
многокомпонентного лекарственного препарата «Пентамакс» методом ВЭЖХ (рис. 3).
Методом "введено-найдено" проанализированы модельные смеси,
содержащие все действующие и все вспомогательные вещества таблеток, показано
отсутствие систематической погрешности определения. Проанализированы
опытно-экспериментальные образцы таблеток. Полученные результаты соответствуют
требованиям нормативно-технической документации и технологическим загрузкам.
Рисунок 2. Хроматографическое разделение примесей анальгина и
дротаверина гидрохлорида
Таблетки "Пентамакс" - новый оригинальный препарат
отечественного производства (г. Курск). В состав препарата входят следующие
компоненты: парацетамол, ибупрофен, кофеин), дротаверина гидрохлорид,
фенобарбитал, а также ряд вспомогательных веществ [26].
Рис. 3. Хроматограмма испытуемого раствора для анализа
таблеток "Пентамакс": 1 - парацетамол, 2 -кофеин, 3 - фенобарбитал, 4
- дротаверин, 5- ибупрофен
3.2 Электрохимические методы
Универсальным, доступным, чувствительным и экспрессным
методом количественного определения лекарственных препаратов в готовых
лекарственных формах, промышленном химико-фармацевтическом сырье и
полупродуктах, в крови, в сыворотке и в ряде других объектов является
потенциометрия с ионоселективными электродами (ИСЭ) [10].
Изучен потенциометрический отклик ионселективных электродов
(ИСЭ) на основе различных липофильных производных тетрафенилбората по отношению
к гидрохлориду дротаверина. Оптимизирован состав полимерной мембраны для
достижения наилучших электроаналитических характеристик ИСЭ. Изучены
транспортные свойства селективных мембран - проницаемость и поток ионов через
межфазную поверхность. Обнаружены линейные корреляционные зависимости между
растворимостью электродноактивных компонентов мембран, их транспортными и
электроаналитическими свойствами. На основании исследований по кинетике
ионообменной сорбции показано наличие двух лимитирующих стадий переноса -
диффузии через пограничный слой и фазу мембраны. Предложены методики
ионометрического определения гидрохлорида дротаверина в лекарственных формах
[19].
ИСЭ, обратимые к катиону [C24H32O4N]+, имеют
вполне приемлемые электроаналитические и метрологические характеристики и могут
быть рекомендованы для определения дротаверина гидрохлорида в различных
лекарственных формах методами ионометрии и потенциометрического осадительного
титрования.
Для потенциометрического определения таблетку препарата (или
раствор из ампулы) переносят в мерную колбу емкостью 50.0 мл, помешают ее в
гнездо встряхивателя, включают прибор и оставляют в таком состоянии до полного
"разрушения" таблетки. Полученный мутный (из-за наличия не мешающего
определению наполнителя раствор разбавляют дистиллированной водой до метки и
перемешивают. Часть раствора переносят в ячейку и измеряют ЭДС элемента,
состоящего из электрода сравнения и соответствующего ИСЭ. Содержание
дротаверина гидрохлорида находят по градуировочному графику.
Для потенциометрического осадительного титрования таблетку
препарата (или раствор из ампулы) переносят в стаканчик, добавляют 10 мл теплой
дистиллированной воды и оставляют до полного "разрушения" таблетки.
Вводят индикаторный ИСЭ и электрод сравнения, заполненный насыщенным раствором
хлорида натрия. Включают магнитную мешалку и титруют 0.05 М раствором
тетрафенилбората натрия из микробюретки. Содержание дротаверина гидрохлорида
(г) в лекарственной форме рассчитывают по формуле [19]:
где
- точная концентрация титранта, М;
- объем раствора NaTФБ, пошедший
на титрование аликвоты раствора, мл.
Предложена следующая методика определения дротаверина гидрохлорида
с помощью ионселективных электродов.
Методика определения дротаверина гидрохлорида в таблетках и
растворах для инъекций
Для потенциометрического определения таблетку препарата (или
раствор из ампулы) переносят в мерную колбу емкостью 50 мл, помешают ее в
гнездо встряхивателя, включают прибор и оставляют в таком состоянии до полного
"разрушения" таблетки. Полученный мутный (из-за наличия не мешающего
определению наполнителя) раствор разбавляют дистиллированной водой до метки и
перемешивают. Часть раствора переносят в ячейку и измеряют ЭДС элемента,
состоящего из электрода сравнения и ИСЭ. Содержание дротаверина гидрохлорида
находят по градуировочному графику. Если для ионометрического определения
препарата используют метод стандартных добавок, то содержание лекарственного
вещества рассчитывают по формуле:
где Vx и Vст -
объемы анализируемого раствора и стандартного раствора соответственно,
сст - концентрация стандартного раствора (рекомендуемая
концентрация стандартного раствора добавки около 5 х 10-2 М),
ΔE - разность потенциалов ИСЭ в анализируемом растворе и в
растворе после введения стандартной добавки.
Для потенциометрического осадительного титрования таблетку препарата
(или раствор из ампулы) переносят в стаканчик, добавляют 10 мл теплой
дистиллированной воды и оставляют до полного "разрушения" таблетки.
Вводят ИСЭ и электрод сравнения, заполненный насыщенным раствором NaCl. Включают магнитную мешалку и титруют
0,05 М раствором тетрафенилбората натрия из микробюретки. Содержание
дротаверина гидрохлорида (г) в лекарственной форме рассчитывают по формуле
[10]:
Где
- точная концентрация титранта, М;
- объем раствора тетрафенилбората натрия, пошедший на титрование
аликвоты раствора, мл.
Рис. 4. Конструкция ИСЭ.
Рис. 5. Зависимость потенциала ИСЭ от концентрации раствора
дротаверина гидрохлорида
Описаны потенциометрические сенсоры для определения дротаверина в
лекарственных формах [18].
Для определения дротаверина предложена вольтамперметрическая
методика [18].
Методика определения дротаверина в лекарственных формах:
около 0.02 г (точная навеска) порошка растертых таблеток растворяли в
дистиллированной воде в мерной колбе емк. 50.0 мл. Полученный раствор
отфильтровывали. Затем аликвоту раствора (0.7 мл) вносили в ячейку, содержащую
0.1 М H2SO4 и регистрировали вольтамперограммы.

Дротаверин окисляется только на графитовом электроде. В
условиях опыта гидрохлоридный фрагмент электрохимически не активен.
На вольтамперограммах дротаверина на графитовом электроде
(рис. 6) наблюдаются две волны окисления при 1.05 и 1.28 В. Предельный ток
первой волны линейно зависит от концентрации дротаверина в растворе. Нижняя
граница определяемых содержаний дротаверина составляет 2.16 х 10-5М
[18].
Представляет интерес применение для количественного
определения производных бензилизохинолина метода кулонометрического титрования.
Особенность этого метода заключается в том, что титрант генерируется
непосредственно в электрохимической ячейке в ходе электрохимической реакции и
затем вступает в химическую реакцию с исследуемым веществом. При этом не требуется
стандартный образец, поскольку расчет ведется по числу Кулонов, которое само
выступает в роли стандарта. Метод характеризуется экспрессивностью, простотой
исполнения, высокой точностью и возможностью определять малые количества
вещества [6].
Методика количественного определения препаратов в субстанции:
растворы папаверина гидрохлорида и дротаверина гидрохлорида готовили по точной
навеске, растворяя 0,02 г препарата в дистиллированной воде в мерной колбе
емкостью 50,0 мл. Аликвоты полученных растворов вносили в ячейку для
кулонометрического титрования.
Методика количественного определения препаратов в таблетках:
около 0,02 г (точная навеска) порошка растертых таблеток растворяли в
дистиллированной воде в мерной колбе вместимостью 50,0 мл. Полученный раствор
отфильтровывали. Затем аликвоту раствора (0,7 мл) вносили в кулонометрическую
ячейку.
Объем полученного раствора доводили до метки той же кислотой.
Аликвоту полученного раствора вносили в электрохимическую ячейку для
титрования.
Для кулонометрического определения производных
бензилизохинолина были исследованы кулонометрические титранты-окислители -
галогены I2, Вr2, С12. Для выяснения стехиометрии реакций проводили
кулонометрическое титрование растворов. Установлено, что реакция протекает
только с электрогенерированным хлором. Электрогенерированные бром и йод не
взаимодействуют с исследуемыми соединениями, вероятно, вследствие их меньшей
реакционной способности.
Необходимо отметить, что реакция с электрогенерированным
хлором протекает ступенчато, о чем свидетельствует вид кривых титрования
(рисунок 7). Для кулонометрического определения использовали первую ступень.
Рис. 7. Вид кривой титрования производных бензилизохинолина
электрогенерированным хлором.
Результаты кулонометрического титрования позволили установить
стехиометрические коэффициенты реакций папаверина и дротаверина с
электрогенерированными хлором, которые составляют 1:3 и 1:2,5 соответственно. В
связи с возможностью различных путей протекания реакций строгие схемы
взаимодействия привести сложно. Это требует дополнительных исследований.
Метод кулонометрического титрования позволяет определять
препараты по физиологически активной части молекулы, не требует применения
органических растворителей и дорогостоящих реактивов.
Полученные результаты позволили рекомендовать данный способ
количественного определения препаратов в лекарственных формах к внедрению в
практику фармацевтических предприятий и центров контроля качества лекарственных
средств. Установлено, что вспомогательные компоненты таблеточной массы не
взаимодействуют с электрогенерированным хлором и не мешают определению
действующих веществ [6].
.3 Фотометрические методы
Разработаны методики количественного определения дибазола и
его лекарственных форм спектрофотометрическим методом по внешним образцам
сравнения кислоте бензойной и фенолфталеину. Методика характеризуется, хорошей
воспроизводимостью [15]. Обоснованы оптимальные условия определения:
растворитель - 0,1М раствор кислоты хлористоводородной, аналитическая длина
волны - 270 нм. Определены коэффициенты пересчета. Относительное стандартное
отклонение разработанной методики для субстанции составило 0,004.
Фотометрическое определение азотсодержащих лекарственных
веществ в видимой области спектра основано на измерении оптической плотности
окрашенных растворов. Для их получения используют реакции образования ионных
ассоциатов или проводят реакции на функциональные группы. Высокомолекулярные
амины и их соли можно определять экстракционно-фотометрическим методом,
применяя в качестве реагента кислотный краситель. Использование кислотных
красителей, растворы которых отличаются высокими значениями молярных
коэффициентов поглощения, позволяет определять микроколичества лекарственных
веществ основного характера. На способность комплексов экстрагироваться
органическими растворителями влияет целый ряд факторов, в том числе химическая
природа определяемых веществ, свойства красителя, рН водной фазы.
В настоящее время известно значительное число работ, в
которых показана возможность экстракционно-фотометрического определения
лекарственных веществ основного характера с применением азокрасителей.
Изучены условия экстракционно-фотометрического определения
дибазола с магнезоном ИРЕА [21].
Папаверина гидрохлорид, сальсолина гидрохлорид и дибазол
часто применяются в сочетании друг с другом и в смесях с другими
азотсодержащими лекарственными веществами. Существующие методы анализа таких
лекарственных форм нельзя признать удовлетворительными.
Были разработаны методики количественного определения
папаверина гидрохлорида, сальсолина гидрохлорида и дибазола при их совместном
присутствии в лекарственных формах. Для этого использованы различия при
экстрагировании хлороформом соединений препаратов с красителями и препаратов в
чистом виде в зависимости от рН водной фазы. Определения по этим методикам
характеризуются высокой чувствительностью, простым и быстрым выполнением и
достаточно точными результатами.
Определение папаверина гидрохлорида и дибазола при их
совместном присутствии основано на отделении папаверина гидрохлорида путем
экстракции хлороформом при рН 1,0 и последующем экстракционно-фотометрическом
определении папаверина гидрохлорида в хлороформном извлечении, а дибазола - в
водном. В качестве реагента для определения папаверина гидрохлорида
использовали кислотный оранжевый, для дибазола - магнезон ИРЕА.
Раздельное определение компонентов в смеси папаверина
гидрохлорида, дибазола и сальсолина гидрохлорида в одной пробе проводили путем
отделения папаверина с помощью хлороформа при рН 1,0 и последующего
экстракционно-фотометрического определения папаверина гидрохлорида в
хлороформном извлечении, а дибазола и сальсолина гидрохлорида в водном остатке
после отделения папаверина. Для определения дибазола в присутствии сальсолина гидрохлорида
мы использовали различие во взаимодействии этих препаратов с магнезоном ИРЕА
при рН 1,0. В этих условиях только дибазол образует соединение с красителем,
экстрагирующееся хлороформом. После отделения папаверина гидрохлорида и
дибазола в водной фазе определяли сальсолина гидрохлорид с помощью
однохромового красного 4Ж при том же значении рН.
По разработанным методикам был проведен анализ искусственно
приготовленных лекарственных смесей и лекарственных форм заводского
производства. Ошибка определения не превышает ±3% [22].
Метод Фирордта был предложен для анализа препарата «Папазол»
[23].
Метод Фирордта - общеизвестный способ спектрофотометрического
анализа смесей, используемый при перекрывании спектров поглощения компонентов
(рис.8).
Метод Фирордта можно использовать не только при «идеальной
аддитивности» оптических плотностей компонентов анализируемой смеси, но и в тех
случаях, когда имеются отклонения от аддитивности. Для анализа соответствующих
смесей следует выбирать те длины волн, где отклонения от аддитивности
статистически не значимы или, по крайней мере, не превышают критический
уровень, найденный в компьютерном эксперименте. Для повышения точности анализа
желательно использовать несколько однотипных наборов длин волн - из числа ранее
отобранных с помощью критерия, а затем усреднять результаты соответствующих
анализов [23].
Рис. 8. УФ-спектры поглощения водных растворов папаверина
(ПГ), дибазола (ДБ) и их смеси с массовым соотношением 1:1.
Реакция дротаверина гидрохлорида с феноловым красным положена
в основу качественного определения дротаверина. Исследована возможность
количественного спектрофотометрического определения дротаверина по реакции с
феноловым красным. Показана возможность количественного определения
фармацевтического препарата с феноловым красным в диапазоне концентраций
дротаверина от 0,498 мг/мл до 2,49 мг/мл [13].
Разработан тест-индикатор на дротаверин [13].
Наиболее оптимальной кислотностью среды идентификации
дротаверина является рН = 9. С учетом этого создаy тест-индикатор на
дротаверин: фильтровальную бумагу пропитывали водно-этанольным раствором
фенолового красного с рН = 9, высушивали при комнатной температуре в течение
суток. Для проверки действия приготовленной индикаторной бумаги на нее наносили
каплю дротаверина. В результате на красном фоне индикаторной бумаги возникало
желтое пятно. Индикаторная бумага может использоваться длительное время [13].
Заключение
лекарственный папаверин химический диабазол
Таким образом, мы можем сделать следующие выводы по теме
работы.
1. Важную роль в современной медицине играют алкалоиды группы
1-бензилизохинолина - предшественники в биосинтезе большинства изохинолиновых
алкалоидов. Среди них следует отметить папаверин.
Дротаверина гидрохлорид является синтетическим аналогом
папаверина гидрохлорида, а с точки зрения химического строения является
производным бензилизохинолина.
Дибазол - важнейшее производное бензимидазола.
Общетонизирующее, общеукрепляющее средство, адаптоген. Средство, влияющее на нервномышечную
передачу. Вазодилататор. Спазмолитик миотропный. Применяется как мягкое
антигипертензивное средство. Используют при обострении гипертонической болезни
и кризах, спазмах гладких мышц внутренних органов (язвенная болезнь, спазмы
кишечника) и как мягкое иммуностимулирующее средство.
. Требования к качеству дротаверина гидрохлорида описаны в
Государственной фармакопее 12 издания. В ГФ XII для идентификации
дротаверина предложены спектрофотометрические методики, для обнаружения
посторонних примесей в субстанциях дротаверина - хроматографические методы.
Требования к качеству дибазола представлены в ГФ Х. Для определения подлинности
предложен химический метод, для количественного определения - неводное
титрование.
. В соответствии с анализом новейшей периодической литературы
нами может быть сделан вывод о том, что наиболее перспективными методами для
анализа лекарственных препаратов и лекарственных форм, содержащих синтетические
аналоги папаверина, являются:
· спектрофотометрические (ИК-спектрофотометрия,
УФ-спектрофотометрия для идентификации);
· хроматографические (ТСХ, ВЭЖХ для
определения примесей, а также в анализе многокомпонентных ЛФ);
· электрохимические (вольтамперметрия,
кулонометрическое титрование, потенциометрия с ионселективными электродами).
Список литературы
1. Современная спазмолитическая терапия в
практике врача-терапевта/ О.Н. Минушкин, Г.А. Елизаветина, О.И. Иванова, М.Д.
Ардатская// Клинический вестник. - 2013. - №4. - С. 78-83.
2. Елизаветина Г.А, Минушкин О.Н.
Рациональный подход к выбору спазмолитиков для купирования абдоминальной боли.
//Cons. medicum. - 2011. - Том 13, - С. 3-6.
. Леонова М.В. Место дротаверина среди
современных спазмолитиков. //РМЖ Болезни органов пищеварения. - 2011. - Т. 19,
№15 (409). - С. 2-7.
. Юнусов М.С. Биологическая активность
алкалоидов. // Материалы
Первой Международной конференции "Химия и биологическая активность
азотистых гетероциклов и алкалоидов" (том 1). - М., 2001. - С. 203-209.
. Коздоба А.С. Спазмолитическая терапия
мочекаменной болезни. //РМЖ. Хирургия. - 2012. - №18.- С. 898-903.
. Зиятдинова Г.К., Самигуллин А.И.,
Абдуллина С.Г., Будников Г.К. Количественное определение производных
бензилизохинолина методом кулонометрического титрования.
//Химико-фармацевтический журнал. - 2008. - Т.42, №2. - С. 47-50.
. Гуревич К.Г., Лобанова Е.Г.
Неспецифические миотропные спазмолитики: применение в современной медицинской
практике. //Фарматека. - 2001. - №8. - С. 22-24.
. Карцев В.Г. Биологическая активность и
новые направления в химии изохинолиновых алкалоидов. // Материалы Первой Международной
конференции "Химия и биологическая активность азотистых гетероциклов и
алкалоидов" (том 1). - М., 2001. - С. 97-104.
. Яхонтов Л.Н., Глушков Р.Г. Синтетические
лекарственные средства. - М.: Медицина, 1983. - 272с.
. Харитонова С.В., Зарембо В.И.
Ионселективный электрод для количественного анализа лекарственных форм
препарата но-шпа. //Химико-фармацевтический журнал. - 2008.- №5. - С. 46-49.
. Определение дротаверина по реакции с
феноловым красным/ Карибьянц М. А., Мажитова М. В., Рыжкова А. В., Бисенова А.
Б. // Естественные науки. - 2010. - №3. - С. 161-166.
. Ларионова С.Г., Дементьева Н.Н., Нечаева
Е.Б., Назаренко П.В., Нестерова Г.А. Оптимизация условий анализа таблеток
сложного состава аналгезирующего и спазмолитического действия. //Фармация. -
2002.-№1. - С. 16-19.
. Иноземцев П.О. Cпектрофотометрический
анализ дибазола и его лекарственных форм. //Вопросы экспериментальной и
клинической медицины. Материалы 76-й итоговой научной студенческой конференции
СНО им. И.И. Мечникова ИГМУ. /Под ред. Ф.И. Белялова, В.А. Чипизубова, М.В.
Казакова. - Иркутск; 2009. - С. 85.
. Манаева С.А. Анализ однокомпонентных и
многокомпонентных препаратов, содержащих анальгин и дротаверина гидрохлорид. //
Автореф. дисс. на соискание ученой степени к.ф.н. -М., 2008. - 24с.
. Манаева С.А., Боковикова Т.Н., Стронова
Л.А. Изучение возможности использования метода тонкослойной хроматографии для
определения посторонних примесей в препарате «СПАЛГИН форте таблетки, покрытые
оболочкой»// Вопросы биологической, медицинской и фармацевтической химии.-
2008,- №5, - С. 53-55.
. Зиятдинова Г.К., Самигуллин А.И.,
Будников Г.К. Вольтамперметрическое определение папаверина и дротаверина.
//Журнал аналитической химии. - 2007.- №8. - С. 858-861.
. Харитонов С.В. Мембранные
дротаверинселективные электроды на основе производных тетрафенилбората:
электрохимические, сорбционные, транспортные свойства и аналитическое
применении. //Журнал аналитической химии. - 2006. - №9. - С. 975-984.
. Глущенко Н.Н. Фармацевтическая химия. -
М.: «Академия», 2004. - 384с.
19. Жебентяев А.И., Арзамасцев А.П. Фотометрия
азотсодержащих лекарственных веществ с применением кислотных красителей (обзор
литературы). //Фармация. - 1993. - №4. - С. 63-67.
. Северина А.И., Яворский Н.П., Куринная
Н.В. Раздельное экстракционно-фотометрическое определение нескольких
азотсодержащих препаратов в многокомпонентных лекарственных формах. - В кн.:
Материалы II Всесоюзного съезда фармацевтов, 1974. г. Рига, 1974. - С. 150.
. Власова И.В., Шилова А.В. Новые подходы
к спектрофотометрическому анализу многокомпонентных смесей. // Вicник
Харкiвского Нацiонального Унiверситету. - 2007.- №770. Хiмiя. Вип.15(38). -
С.141-146.
. Илларионова Е.А., Сыроватский И.П.,
Иноземцев П.О. Спектрофотометрическое определение бендазола. // Сибирский
медицинский журнал. - 2009. -№ 8.- С. 42-44.
. История создания отечественного
лекарственного препарата «Дибазол»/ С.М. Рамш. // Историко-биологические
исследования. - 2011. - Том 3, № 4. - С. 36-59.
. Количественный анализ таблеток
«Пентамакс» методом высокоэффективной жидкостной хроматографии/ Г.Б.
Голубицкий, В.М. Иванов. // Вестник Московского университета. Серия 2. Химия. -
2008. - Т. 49, №1. - С. 53-57.