Экономическая эффективность внедрения инновационных 4-осных цистерн
МОСКОВСКИЙ ГОСУДАРСТВЕННЫЙ
УНИВЕРСИТЕТ ПУТЕЙ СООБЩЕНИЯ
Кафедра «Экономики, организации и
управления производством»
Курсовая работа
Экономическая эффективность внедрения
инновационных 4-осных цистерн
Москва- 2014
Оглавление
Исходные данные
. Задачи и
содержание работы
. Расчет
технико-эксплуатационных параметров базовой и проектируемой цистерн
.1 Оценка
производительности вагона
.2
Определение расхода топлива
. Определение
текущих издержек на перевозки нефтепродуктов методом расходных ставок
. Расчет
стоимостных показателей при оценке экономической эффективности для оператора
приобретения инновационных цистерн
Заключение
Исходные данные
Таблица 1
|
Наименование показаний
|
Условное обозначение
|
Единицы измерений
|
Величина по варианту
|
|
|
|
базовому
|
проектируемому
|
|
1
|
2
|
3
|
4
|
5
|
|
Масса тары вагона
|
T
|
Т/ваг
|
27,5
|
27,5
|
|
Грузоподъемность
|
P
|
Т/ваг
|
66
|
72,5
|
|
Длина вагона по осям сцепления
|
Lсц
|
Мм
|
12020
|
13100
|
|
Удельный объем котла с учетом коэффициента заполнения
|
Vкот
|
М3/т
|
1,297
|
1,375
|
|
Удельный объем грузов:
|
Vгр i
|
М3/т
|
|
|
|
1-го
|
|
|
1,346
|
1,346
|
|
2-го
|
|
|
1,389
|
1,389
|
|
3-го
|
|
|
1,397
|
1,397
|
|
4-го
|
|
|
1,399
|
1,399
|
|
5-го
|
|
|
1,401
|
1,401
|
|
Срок службы
|
Tсл
|
лет
|
32
|
32
|
|
Оптовая цена цистерны
|
Цваг
|
руб/ваг
|
1680000
|
|
|
Цена деповского ремонта цистерны
|
Цдр
|
Тыс. руб/ваг
|
170
|
175
|
|
Цена капитального ремонта
|
Цкр
|
Тыс. руб/ваг
|
300
|
330
|
|
Цена текующего отцепочного ремонта
|
Цтр-2
|
Тыс. руб/ваг
|
25
|
25
|
|
Коэффициент порожнего пробега вагонов к груженому пробегу
|
|
-
|
1
|
1
|
|
Длина приёмоотправочных станционных путей
|
Lп.о
|
M
|
850
|
850
|
|
Среднее вагонное плечо
|
αваг
|
км
|
170
|
170
|
|
Среднее маршрутное плечо
|
αмар
|
км
|
370
|
370
|
|
Коэффициент местной работы
|
kмест
|
-
|
2
|
2
|
|
Средний простой вагона на одной технической станции без
переработки
|
|
ч
|
3
|
3
|
|
-<<- с переработкой
|
|
ч
|
18
|
18
|
|
Средний простой вагона под одной грузовой операцией
|
tгр
|
ч
|
70
|
70
|
|
Среденесуточные размеры движения на однопутных линиях
грузовых поездов без учета составов с нефтепродуктами
|
Nпр
|
пар
|
16
|
16
|
|
-<<- пассажирских поездов
|
Nпас
|
пар
|
4
|
4
|
|
Величина руководящего уклона
|
iр
|
м/км
(тысячные)
|
5,79
|
5,79
|
|
Величина эквивалентного уклона
|
Iэк
|
м/км
(тысячные)
|
+0,2
|
+0,2
|
|
Отношение вспомогательного пробега локомотива к пробегу их
во главе поездав
|
алок
|
-
|
0,2
|
0,2
|
|
Отношение вспомогательного линейного пробега локомотивов к
пробегу их во главе поезда
|
|
-
|
0,18
|
0,18
|
|
Коэффициент, учитывающий дополнительное время работы
локомотивной бригады
|
kбр
|
-
|
1,6
|
1,6
|
|
Масса тепловоза
|
Рлок
|
Т
|
259
|
259
|
|
Масса электоровоза
|
Рлок
|
Т
|
194
|
194
|
|
Затраты маневровых лок-ч на 1 поездо-км
|
αман
|
лок-ч
|
0,044
|
0,044
|
Таблица 2
|
Варианты
|
|
Обозначение
|
Теполовозная тяга
|
Электрическая тяга
|
|
Г
|
1
|
2
|
3
|
4
|
5
|
6
|
7
|
8
|
9
|
10
|
11
|
12
|
|
3,5
|
4,6
|
4
|
5
|
6
|
7
|
8
|
9
|
10
|
11
|
12
|
13
|
Таблица 3
|
Варианты задания
|
|
Показатели
|
1
|
2
|
3
|
4
|
5
|
6
|
7
|
8
|
9
|
10
|
11
|
12
|
|
а1
|
7
|
5
|
12
|
7
|
17
|
9
|
2
|
24
|
8
|
9
|
10
|
15
|
|
а2
|
9
|
10
|
8
|
15
|
9
|
18
|
20
|
6
|
11
|
14
|
21
|
9
|
|
а3
|
15
|
20
|
30
|
17
|
20
|
19
|
34
|
41
|
30
|
5
|
18
|
31
|
|
а4
|
35
|
56
|
41
|
33
|
42
|
32
|
19
|
22
|
25
|
28
|
34
|
18
|
|
а5
|
34
|
9
|
9
|
28
|
12
|
22
|
25
|
7
|
26
|
44
|
17
|
27
|
1. Задачи и содержание работы
В курсовой работе ставится задача определить экономическую эффективность
приобретения оператором подвижного состава инновационных 4-осных цистерн с
повышенными осевой нагрузкой и удельным объемом котла для перевозки светлых
нефтепродуктов.
Для решения поставленной задачи требуется:
. Рассчитать технико-эксплуатационные параметры базовой и
инновационной цистерн.
. Определить текущие издержки РЖД на перевозки нефтепродуктов и
пробег порожних вагонов при использовании базовых и инновационных цистерн
методом расходных ставок.
. Определить экономию эксплуатационных расходов РЖД на перевозки и
пробег порожних вагонов, обусловленную модернизацией механической передачи
тормоза на инновационных цистернах методом непосредственного расчета изменения
текущих издержек.
. Рассчитать сопутствующие капитальные затраты РЖД при использовании
базовых и инновационных цистерн.
. Определить величину возможного снижения тарифа РЖД на перевозки
грузов и пробег порожних вагонов для собственника инновационных цистерн.
. Определить для оператора экономическую эффективность
приобретения инновационных цистерн.
2. Расчет технико-эксплуатационных параметров базовой и
проектируемой цистерн
.1 Оценка производительности вагона
Статическая нагрузка вагона, т:
где
- удельный объем котла цистерны, м3/т ;
- удельный объем i-того груза, м3/т;
P -
грузоподъемность, т/ваг.
базовый:
проектируемый:
Динамическая нагрузка вагона, т/ваг.:
где
- доля каждого груза в общем объеме перевозок в исследуемых
цистернах;
-
дальность перевозки, принимаем 
базовый:
проектируемый:
Погонная
нагрузка брутто, т/м:
где
Т - тара вагона, т;
- длина вагона по осям сцепления, м.
базовый:
проектируемый:
Погонная
нагрузка нетто, т/м:
базовый:
проектируемый:
Масса
брутто, т:
где

- длина
приемо-отправочных путей, принимаем 
50 м - длина станционных путей для установки локомотива.
базовый:
проектируемый:
Масса нетто, т:
базовый:
проектируемый:
Коэффициент, используемый для нахождения ходовой скорости,
л.с./т:
где N - мощность локомотива, равная 6000
л.с. для тепловоза 2ТЭ10Л;

- вес
локомотива, принимаем 
базовый:
проектируемый:
Ходовая скорость на однопутных участках, км/ч:
базовый:
проектируемый:
Суточные размеры движения грузовых поездов на однопутных
линиях составляют пар поездов в сутки:
где

-
среднесуточные размеры движения прочих грузовых поездов на однопутных участках
без учета составов с нефтепродуктами, принимаем 
= 16
пар;
Г - годовой объем перевозок нефтепродуктов, принимаем Г = 4,6 млн. т. в
год.
базовый:
проектируемый:
Коэффициент, показывающий сокращение числа остановок грузовых
поездов по обгонам и скрещениям с пассажирскими поездами по сравнению с обычным
не пакетным графиком:
где
- коэффициент пакетности общий, принимаем
- среднесуточные размеры движения пассажирских поездов на
однопутных участках без учета составов с нефтепродуктами, принимаем
;
базовый:
проектируемый:
Коэффициент, показывающий сокращение числа остановок грузовых
поездов по скрещениям с грузовыми поездами по сравнению с обычным не пакетным
графиком:
базовый:
проектируемый:
Продолжительность остановки, мин:
где
- число раздельных пунктов на участке, принимаем

-
расчетный интервал в пакете, принимаем

- сумма
станционных интервалов скрещения и неодновременного прибытия, принимаем

- время
на разгон и замедление, принимаем

- длина
участка, принимаем 
= 250
км.
базовый:
проектируемый:
Количество остановок на участке:
где

-
коэффициент пакетности пассажирских поездов, принимаем
базовый:
проектируемый:
Участковая скорость на однопутных участках, км/ч:
базовый:
проектируемый:
Участковая скорость на двухпутных участках, км/ч:
где

-
ходовая скорость на двухпутном участке, принимаем 
= 55
км/ч.
Общая участковая скорость, км/ч:
базовый:
проектируемый:
Полный рейс вагона, км:
где

-
коэффициент порожнего пробега вагонов к груженому пробегу, принимаем 
= 1.
Оборот вагона в сутках:
где

-
среднее маршрутное плечо, принимаем 
= 370
км;

-
среднее вагонное плечо, принимаем 
= 170
км;

-
средний простой вагона на одной технической станции с переработкой, принимаем 
= 18
час.;

-
средний простой вагона на одной технической станции без переработки, принимаем 
= 3
час.;

-
коэффициент местной работы, принимаем 
= 2;
- средний простой вагона под одной грузовой операцией,
принимаем
базовый:
проектируемый:
Среднесуточный пробег вагона, км/сут:
базовый:
проектируемый:
Среднесуточная производительность вагона рабочего парка,
ткм/ваг*сут:
базовый:
проектируемый:
Годовая производительность вагона рабочего парка, ткм/ваг:
базовый:
проектируемый:
Коэффициент роста эксплуатационной эффективности вагона:
Оборот локомотива при эксплуатации базовых цистерн, сут:
Оборот локомотива при эксплуатации проектируемых цистерн,
сут:
Среднесуточный пробег локомотива, км/сут:
базовый:
проектируемый:
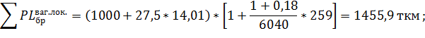
Среднесуточная производительность локомотива, ткм/сут:
где
- отношение вспомогательного линейного пробега локомотивов к
пробегу их во главе поездов, принимаем
базовый:
проектируемый:
Годовая производительность локомотива, ткм:
базовый:
проектируемый:
Коэффициент роста эксплуатационной эффективности локомотива:
2.2 Определение расхода топлива
Общая ходовая скорость, км/ч:
базовый:
проектируемый:
Основное удельное сопротивление движению локомотива, кг/т:
базовый:
проектируемый:
Осевая нагрузка вагона брутто, т/ось:
где m - количество осей в вагоне,
принимаем m = 4.
базовый:
проектируемый:
Основное удельное сопротивление движению состава, кг/т:
базовый:
проектируемый:
Затраты ткм механической работы локомотива на 1 ткм брутто:
где
- эквивалентный уклон для груженого направления, принимаем
базовый:
проектируемый:
Условное топливо для тяги груженых поездов в расчете на 10000
ткм брутто, кг:
где
- удельный расход условного топлива, принимаем
базовый:
проектируемый:
Коэффициент экономической эффективности условного топлива:
3. Определение текущих издержек на перевозки нефтепродуктов
методом расходных ставок
Для груженых поездов. Затраты вагоно-километров:
базовый:
проектируемый:
Затраты вагоно-часов при прохождении вагонов по участкам:
базовый:
проектируемый:
Затраты вагоно-часов во время простоя под начальными и
конечными грузовыми операциями:
базовый:
проектируемый:
Затраты вагоно-часов во время простоев вагонов на технических
станциях с переработкой и без переработки:
в нашем случае:
базовый:
проектируемый:
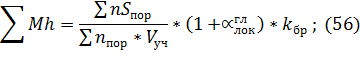
Общие затраты вагоно-часов:
базовый:
проектируемый:
Затраты локомотиво-километров:
где
- отношение вспомогательного пробега локомотива к пробегу их
во главе поездов, принимаем
базовый:
проектируемый:
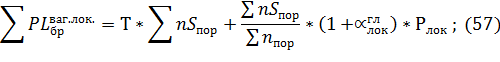
Затраты локомотиво-часов:
базовый:
проектируемый:
Затраты бригадо-часов локомотивных бригад:
где
- коэффициент, учитывающий дополнительное время работы
локомотивных бригад, принимаем
.
базовый:
проектируемый:
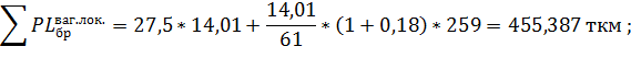
Затраты тонно-километров брутто вагонов и локомотивов:
базовый:
проектируемый:
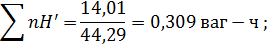
Затраты условного топлива на 1000 ткм нетто перевозок
нефтепродуктов, кг:
базовый:
проектируемый:
Затраты маневровых локомотиво-часов:
где
- затраты маневровых локомотиво-часов на 1 поездо-километр,
принимаем
базовый:
проектируемый:
Количество грузовых отправок:
базовый:
проектируемый:
Отправленные грузовые вагоны:
базовый:
проектируемый:
Для порожних поездов
Затраты вагоно-километров:
базовый:
проектируемый:
Затраты вагоно-часов при прохождении вагонов по участкам:
базовый:
проектируемый:
Затраты вагоно-часов во время простоев вагонов на технических
станциях с переработкой и без переработки:
в нашем случае:
базовый:
проектируемый:
Общие затраты вагоно-часов:
базовый:
проектируемый:
Число цистерн в порожнем составе:
базовый:
проектируемый:
Затраты локомотиво-километров:
базовый:
проектируемый:
Затраты локомотиво-часов:
базовый:
проектируемый:
Затраты бригадо-часов локомотивных бригад:
базовый:
проектируемый:
Затраты тонно-километров брутто вагонов и локомотивов:
базовый:
проектируемый:
Затраты условного топлива на 1000 ткм нетто по заданным
нормам на 1000 ткм брутто порожних составов, кг:
где
- расход условного топлива для тяги порожних поездов на
10000 ткм пробега порожнего поезда, принимаем
базовый:
проектируемый:
Затраты маневровых локомотиво-часов:
базовый:
проектируемый:
Коэффициент экономической эффективности итого зависящих
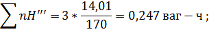
расходов на 1000 ткм нетто:
Коэффициент экономической эффективности всех эксплуатационных
расходов по перевозкам 1000 ткм нетто:
Расчет стоимостных показателей при оценке экономической эффективности
приобретения инновационных цистерн для оператора
Рабочий парк вагонов:
базовый:
проектируемый:
Инвентарный парк цистерн:
где
- коэффициент, учитывающий долю цистерн в ремонте, принимаем
- коэффициент, учитывающий долю цистерн в резерве по
неравномерности перевозок во времени, принимаем
базовый:
проектируемый:
Инвестиции в приобретение цистерн, млн. руб.:
где
- цена базовой цистерны, принимаем
базовый:

Годовые затраты вагоно-километров:
базовый:
проектируемый:
Количество деповских ремонтов:
где
- норма пробега вагона между деповскими ремонтами, принимаем
.
базовый:
проектируемый:
Количество капитальных ремонтов:
базовый:
проектируемый:
Количество неплановых ремонтов по программе ТР-2:
где
- параметр потока отказов, принимаем
базовый:
проектируемый:
Годовые издержки за выполнение деповских ремонтов,
млн.руб./год:
где
- цена деповского ремонта цистерны, тыс. руб./ваг.
базовый:
проектируемый:
Годовые издержки за выполнение капитальных ремонтов,
млн.руб./год:
где
- цена капитального ремонта цистерны, тыс. руб./ваг.
базовый:
проектируемый:
Годовые издержки за выполнение неплановых ремонтов по
программе ТР-2, млн.руб./год:
где
- цена непланового ремонта цистерны по программе ТР-2, тыс.
руб./ваг.
базовый:
проектируемый:
Всего годовых издержек за выполнение ДР, КР, ТР-2,
млн.руб./год:
базовый:
проектируемый:
Налог на имущество со стоимости цистерн, млн.руб./год:
Налог на имущество = инвестиции на приобретение * тариф налога ; (71)
где тариф налога = 2,02*10-2.
базовый:
проектируемый:
Сумма годовых платежей оператора перевозчику (РЖД) за
перевозку нефтепродуктов, млн.руб./год:
где
- провозная плата, принимаем
;
- коэффициент, учитывающий тарифный класс перевозимого
груза, принимаем
- дополнительный поправочный коэффициент, принимаем
- коэффициент, учитывающий размер грузовой отправки для
отправительского маршрута с распылением, принимаем
- коэффициент индексации, учитывающий инфляционные процессы
в экономике, принимаем
- понижающий коэффициент, учитывающий эффект от снижения
нагрузки на инфраструктуру РЖД при эксплуатации инновационных цистерн,
принимаем
базовый:
проектируемый:
Количество отправленных за год порожних цистерн:
базовый:
проектируемый:
Сумма годовых платежей перевозчику (РЖД) за пробег порожних
цистерн, млн.руб./год:
где
- провозная плата за порожний пробег вагона, принимаем
;
- число осей в цистерне, принимаем
базовый:
проектируемый:
Всего текущих расходов оператора, млн.руб./год:
базовый:
проектируемый:
Приведенные затраты оператора за расчетный период без учета
дополнительного риска по инновационному варианту, млн.руб.:
где r - норма дисконтирования, принимаем r = 0,1 ;
базовый:
проектируемый:
Приведенные затраты оператора за расчетный период с учетом
дополнительного риска по инновационному варианту, млн.руб.:
где r - норма дисконтирования, принимаем r = 0,07 ;
проектируемый:
Заключение
цистерна топлива экономический стоимостный
В ходе данной курсовой работы мы научились рассчитывать технико-эксплуатационные
параметры базовой и проектируемой цистерн. Также научились определять издержки
РЖД на перевозки нефтепродуктов и пробег порожних вагонов методами расходных
ставок и непосредственного расчета. Освоили приемы расчета сопутствующих капитальных
затрат при использовании базовых и инновационных цистерн и определили
экономическую эффективность приобретения инновационных цистерн. В заключении
можно сказать, что рассматриваемая нами инновационная цистерна превзошла все
технико-эксплуатационные параметры базовой цистерны. В частности мы получили
коэффициент роста эксплуатационной эффективности вагонов
, так как инновационная цистерна
имеет на 16% большую среднесуточную производительность по сравнению с базовой.
Что касается локомотивов, то там также коэффициент роста эксплуатационной
эффективности локомотива
и коэффициент экономической эффективности условного топлива
. Просуммировав все эксплуатационные
расходы мы получили снижение издержек на 6,6%. Также приведенные затраты
оператора за расчетный период снизились с 35267,12 млн.руб. до 33785,06
млн.руб. с учетом дополнительного риска по инновационному варианту и до
32183,36 млн.руб. без учета дополнительного риска. В итоге можно сказать о том,
что в результате создания и внедрения инновационных цистерн мы получили
положительный экономический эффект.