Экономическая теория

  • Вид работы:
    Контрольная работа
  • Предмет:
    Эктеория
  • Язык:
    Русский
    ,
    Формат файла:
    MS Word
    53,25 Кб
  • Опубликовано:
    2015-08-12
Вы можете узнать стоимость помощи в написании студенческой работы.
Помощь в написании работы, которую точно примут!

Экономическая теория

Содержание

1. Теория потребительского поведения. Кривые безразличия и бюджетные линии. Потребительское равновесие

2. Уравнение обмена Ирвинга Фишера и современное понятие денежной массы; понятие ликвидности, денежных агрегатов М1, М2, М3

3. В таблице представлена шкала спроса и предложения товара

Список литературы

1. Теория потребительского поведения. Кривые безразличия и бюджетные линии. Потребительское равновесие

Поведение потребителя в рыночной экономике представляет существенный интерес в теории экономического развития.

Главным фактором, определяющим потребительский выбор, является полезность того или иного товара. Потребитель стремится к максимизации полезности. Однако если товар и обладает полезностью для потребителя, то существуют факторы, ограничивающие возможность приобретения этого товара: это цена товара и доход потребителя (бюджетное ограничение). Поскольку величина дохода и цены заданы, то потребитель не может купить все те товары, которые ему хотелось бы купить. Бюджетное ограничение, и следовательно, невозможность удовлетворения всех потребностей заставляет потребителя распределять свои доходы в соответствии с его представлениями о полезности и выгодности (предпочтительности) выбираемых товаров.

Таким образом, теория рационального потребительского поведения предполагает анализ трех проблем: полезности, дохода и цены, при этом теория исходит из того, что потребитель ведет себя рационально, т.е. он стремится получить максимум результатов при минимуме затрат (достичь наибольшей совокупной полезности, затратив минимум средств).

Существуют две версии теории потребительского поведения - кардиналистическая и ординалистическая (от математических понятий: кардинальное (количественное) число - один, два, три и т.д. и ординальное (порядковое) число - первый, второй, третий и т.д.).

Кардиналистическая теория потребительского поведения опирается напосредственно на понятие полезности и исходит из того, что полезность измерима. Возможность количественного измерения полезности, оценка которой носит субъективный характер, подвергалась многочисленной критике. В противовес кардиналистической теории ряд экономистов выдвинули ординалистическую (порядковую) теорию полезности, в которой теорию потребительского поведения и потребительского равновесия можно объяснить на основе рассмотрения бюджетной линии потребления и кривых безразличия.

Согласно ординалистической (порядковой)   теории полезности субъективная полезность измеряется с помощью относительной шкалы, показывающей предпочтительность того или иного набора товаров для потребителя.

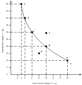
Допустим, что потребитель ежемесячно потребляет определенное количество товара X (одежда) и товара Y (продукты питания) (табл. 1). Удовлетворить свои потребности потребитель может за счет разных наборов, состоящих из разного количества товаров X и Y.

Таблица 1

Наименование наборов товаров

Количество Х, ед

Количество Y, ед

A

16

10

B

10

20

C

6

30

D

4

40

E

3

50

F

10

40

G

6

10


Отложив на вертикальной оси товар Y, а на горизонтальной оси - товар X и найдя координаты различных наборов этих двух товаров, приведенных выше, можем построить кривую, которая называется кривой безразличия (рис.1). Кривая безразличия (U) представляет собой совокупность потребительских наборов, каждый из которых имеет одинаковую полезность для потребителя.

Рис.1. Кривая безразличия

Кривая безразличия (U) показывает, что потребитель безразличен к первым пяти наборам (А, В, С, D и Е). Набор F предпочтительнее пяти первых наборов, так как содержит больше и товара X (одежды), и товара Y (продуктов питания). Следовательно, любой набор товаров, лежащий выше и справа от кривой безразличия U на рис. 1, предпочтительнее любого набора на кривой безразличия U.

Набор G менее предпочтителен, так как содержит меньше и товара X (одежды), и товара Y (продуктов питания), чем любой из первых пяти наборов товаров Х и Y.

Кривые безразличия обладают следующими свойствами.

. Кривая безразличия, расположенная справа и выше другой кривой, является более предпочтительной для потребителя.

. Кривые безразличия всегда имеют отрицательный наклон, ибо рационально действующие потребители будут предпочитать большее количество любого набора меньшему

. Кривые безразличия имеют вогнутую форму, обусловленную уменьшающимися предельными нормами замещения.

. Кривые безразличия никогда не пересекаются и обычно показывают уменьшающиеся предельные нормы замещения одного блага на другое.

. Наборы благ на кривых, более удаленных от начала координат, предпочтительнее наборам благ, расположенным на менее удаленных от координат кривых.

Описать предпочтения по всем наборам разных товаров (Х и Y) можно с помощью карты кривых безразличия (см. рис. 2).

Карта кривых безразличия - способ графического изображения функции полезности для некоторого конкретного потребителя. Карта кривых безразличия - это множество кривых безразличия, каждая из которых представляет собой различный уровень полезности.

Рис.2. Карта кривых безразличия

Каждая кривая безразличия, входящая в карту кривых безразличия, характеризует набор товаров, к которому потребитель относится одинаково, но сами кривые безразличия ранжируются по уровню удовлетворения потребностей. Чем дальше кривая безразличия удалена от начала координат, тем выше степень удовлетворения потребностей и, следовательно, полезность набора товаров. На рис.2 U3>U2>U1. Следовательно, кривая безразличия U3 характеризует наибольшую степень удовлетворения потребностей, кривые U1 и U2 соответствуют более низкому уровню удовлетворения потребностей и, следовательно, наборы безразличия, описываемые этими кривыми, обладают для потребителя меньшей полезностью.

Таким образом, карта безразличия позволяет выявить потребительские предпочтения, однако она не отвечает на вопрос, какой именно набор выберет потребитель. Чтобы ответить на этот вопрос, надо проанализировать покупательную способность потребителя, т.е. учесть доход потребителя и цены товаров.

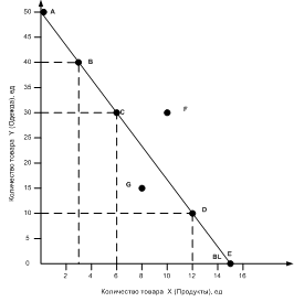
Предположим, что доход потребителя составляет 15000 руб. и он нуждается в двух товарах Х (одежда) и Y(продукты питания). Цена товара Х = 1000 руб., цена товара Y = 300 руб. В этих условиях потребитель может приобрести следующие наборы товаров (табл. 2).

Таблица 2

Набор товаров

Товар Х, ед

Товар Y, ед

Общие расходы

А

0

50

15000

B

3

40

15000

C

30

15000

D

12

10

15000

E

15

0

15000


Алгебраически бюджетное ограничение может быть представлено следующим образом:

РХ ∙ Х + РY ∙ Y = I

где    PX и PY - цена товара Х и товара Y;

Х и Y - количество товаров Х и Y, которое может быть куплено на доход потребителя;- доход потребителя.

Бюджетное ограничение показывает все комбинации благ, которые могут быть куплены потребителем при данном доходе и данных ценах. Бюджетное ограничение указывает, что общий расход должен быть равен доходу. Увеличение или уменьшение дохода вызывает сдвиг бюджетной линии.

Совокупность вариантов выбора, открывающегося перед потребителем, исходя из его бюджетного ограничения, может быть представлена в виде графика бюджетной линии. Отложив на вертикальной оси товар Y, а на горизонтальной - товар Х и найдя координаты каждого из наборов, построим бюджетную линию (рис. 3).

Бюджетная линия (BL) - это прямая, точки которой показывают наборы благ, при покупке которых выделенный доход тратится полностью. Бюджетная линия пересекает оси координат в точках, показывающих максимально возможные количества благ, которые можно приобрести на данный доход при определенных ценах.

Рис.3. Бюджетная линия

Любая точка, лежащая на бюджетной линии, доступна потребителю, т.е. его доход позволяет ему приобрести любой набор товаров Х и Y. Покупатель не может себе позволить набор товаров, соответствующий точке F, т.е. лежащий выше и правее бюджетной линии, так как такой набор, содержащий 30 единиц товара Х и 10 единиц товара X, потребовал бы 19000 руб. Точка, находящаяся внутри бюджетной линии (G), доступна потребителю, но, приобретая такой набор (8 единиц Х и 15 единицы Y), который требует 12500 руб., он не полностью использует свой доход, т.е. ему доступны наборы, содержащие больше и товара X, и товара Y.

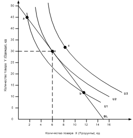
Изучив потребительские, предпочтения и бюджетные ограничения, можно показать, как потребитель делает конкретный выбор, т.е. решает, сколько товаров каждого вида приобрести. Осуществляя свой выбор, напомним, что потребитель стремится достичь максимального удовлетворения своих потребностей при заданном бюджетном ограничении.

Оптимальный набор, выбираемый потребителем, должен отвечать двум требованиям: он должен находиться на бюджетной линии и должен быть предпочтителен по сравнению с другими наборами. Этим условиям соответствует точка касания кривой безразличия бюджетной линии.

Рис.4. Оптимальный набор, выбираемый потребителем

Для каждой бюджетной линии можно построить кривую безразличия, которая будет иметь с бюджетной линией точку касания. На рис. 4 - это точка е.

Набор, который обеспечивает максимальное удовлетворение потребностей, соответствует точке касания кривой безразличия и бюджетной линии - точке е. В этой точке потребитель находится в положении равновесия - состоянии, при котором он в рамках своего бюджетного ограничения максимизирует совокупную полезность или удовлетворение от расходования фиксированного дохода.

Точки а и b кривой безразличия U1 достижимы для потребителя, но потребитель при том же доходе может увеличить степень удовлетворения своих потребностей, перейдя на более высокую кривую безразличия - U2. Точка с на кривой безразличия U3 обеспечивает еще более высокий уровень удовлетворения потребностей, который, однако, не может быть достигнут при существующем доходе.

. Уравнение обмена Ирвинга Фишера и современное понятие денежной массы; понятие ликвидности, денежных агрегатов М1, М2, М3

Количество денег в обращении не может быть произвольным. Во избежание обесценения денег, повышения цен и других нарушений экономической стабильности важно соблюдать примерное равенство между товарной и денежной массами (закон денежного обращения). Требование данного закона математически наглядно выражает так называемое уравнение обмена (англ. Fisher equation of exchange) американского экономиста Ирвинга Фишера (1867-1947), имеющее вид:

MV=PQ, откуда ,

где    М - денежная масса - количество денег в обращении,- скорость обращения денег (среднее число оборотов в год),

Р - средняя цена единицы продукции (товаров и услуг),- общий объем произведенной за год продукции (число ее единиц)

Уравнение Фишера служит одним из важных инструментов монетаристской доктрины. Согласно уравнению обмена масса денег в обращении прямо пропорциональна уровню цен и объему производства (продаж) товаров и обратно пропорциональна скорости обращения денег.

К примеру, если стоимость выпущенных за год товаров и услуг (PQ) = 200 д.е. (цифры условные), а деньги в среднем совершают 5 оборотов в год (V = 5), то денежная масса (М) должна быть равна 40 д.е. (200 : 5). Если она окажется больше, то платёжеспособный спрос в стране превысит стоимость товарного предложения, и цены поползут вверх, чтобы восстановить равновесие. В связи с уравнением обмена возникает вопрос: а что включать в денежную массу?

Денежная масса - совокупность наличных и безналичных средств, находящихся в обращении, которыми располагают физические, юридические лица и государство

С бурным развитием кредита и расчётов через банки структура денежной массы чрезвычайно усложнилась. Сегодня в таких странах, как США, доля наличных денег составляет менее четверти в общем денежном обороте. Основная же часть сделок совершается в безналичных деньгах, то есть с использованием банковских депозитов, чеков и других финансовых инструментов.

Исходя из этого, экономисты для разных целей выделяют длинный ряд определений денежной массы - так называемых денежных агрегатов, то есть её суммарных показателей.

Денежными агрегатами называются виды денег и денежных средств, отличающиеся друг от друга степенью ликвидности (возможностью быстрого превращения в наличные деньги).

Такие агрегаты нумеруются по возрастающей (M1, M2, М3, М4 и т.д.) и различаются широтой охвата тех или иных видов финансовых активов, а также степенью их ликвидности (то есть способности быть истраченными без потери или при небольшой потере их покупательной силы). Больше всего используют первые три денежных агрегата (рис.5).

Рис. 5. Структура основных денежных агрегатов

Денежные агрегаты представляют собой иерархическую систему - каждый последующий агрегат включает в свой состав предыдущий. Чаще всего используют следующие агрегаты:

М0 = наличные деньги в обращении;

М1 = М0 + чеки, вклады до востребования;

М2 = М1 + средства на расчётных счетах, срочные вклады;

М3 = М2 + сберегательные вклады;

Наивысшей ликвидностью обладают элементы - агрегата М1, так как, выложив наличность или выписав чек со своего вклада в банке, любое лицо может немедленно и практически без потерь оплатить и получить нужные ему товары и услуги.

Следующий показатель - агрегат M2. Он дополнительно охватывает несколько менее ликвидные средства: сберегательные счета до востребования (по которым не может быть выписан чек), мелкие срочные депозиты (например, в США - это вклады до 100 тыс. долл.) и облигации государственных займов. Чтобы превратить их в "живые" деньги для покупки товаров и услуг, необходимо время. К тому же возможны и некоторые потери их стоимости (скажем, из-за процентов, уплаченных банку при покупке и продаже облигации).

Наконец, последний из наиболее ходовых суммарных денежных показателей - агрегат М3. Он, плюс ко всему предыдущему, включает ещё и крупные срочные вклады (свыше 100 тыс.долл., если снова брать пример США), которыми обычно владеют предприятия.

Таким образом, современное понятие денежной массы можно "растягивать" весьма далеко (по некоторым данным, вплоть до М7). Однако большинство экономистов предпочитает ограничивать это понятие рамками агрегата M1, то есть наиболее ликвидными финансовыми активами, которые прямо и непосредственно используются в качестве средства обращения, "командующего" движением товаров и услуг. Тем не менее, на практике в разных целях применяются и другие денежные агрегаты. Кроме того, все они могут служить важными ориентирами в кредитно-денежной политике государства.

Центральным банком Российской Федерации рассчитывается денежный агрегат М0 и М2. Агрегат М2 представляет собой объём наличных денег в обращении (вне банков) и остатков средств в национальной валюте на счетах нефинансовых организаций, финансовых (кроме кредитных) организаций и физических лиц, являющихся резидентами Российской Федерации. В таблице3 , расположенной ниже, представлен денежный агрегат М2 (в млрд. рублей) в разные годы, начиная с 2000 года.

Таблица 3 Денежный агрегат М2 ЦБ РФ

3. В таблице представлена шкала спроса и предложения товара

P (тыс. руб)

Qp (тыс. ед. в год)

Qs (тыс. ед в год)

1

25

5

2

20

10

3

15

15

4

10

20

5

25


. Определите равновесный объем продаж и цену

. Определите объем спроса на товар и объем предложения при цене P = 2 тыс. руб. за единицу

. Какая ситуация возникнет на рынке товара при цене P = 2 тыс. руб. за единицу (дефицит или затоваривание)?

. Определите объем дефицита или избытка при цене P = 2 тыс. руб. за единицу

. Как поступят продавцы, если обнаружат, что на рынке образовался дефицит (избыток)?

потребительский безразличие денежный дефицит


Рыночная равновесная цена определяется в точке пересечения кривой спроса D и предложения S, которая является точкой равновесия (Е), отражающей равенство объема спроса и объема предложения. Цена, при которой объем спроса равен объему предложения, выступает как равновесная цена Р = 3 тыс. руб.

Равенство объема спроса и объема предложения представляет собой равновесный объем = 15 тыс. ед. и характеризует рыночное равновесие.

Рыночное равновесие устанавливается, когда цена приводится к уровню, который уравнивает объем спроса и объем предложения. Рыночное равновесие цены и объем продаваемого блага могут изменяться в ответ на изменения спроса и предложения.

Когда "потолок цен" устанавливается ниже равновесной цены, образуется дефицит (иногда его называют избыточным спросом благ) и объем спроса превышает объем предложения. В нашем случае Р=2 тыс.руб. ниже равновесной цены, следовательно мы имеем дефицит (избыточный спрос). Объем спроса Qp = 20 тыс. ед., а объем предложения Qs = 10 тыс. ед.

Объем дефицита равен 10 тыс. ед.

Такое положение приведет к конкуренции между покупателями за возможность купить данное благо. Конкурирующие покупатели начинают предлагать более высокие цены. В ответ на это продавцы начинают повышать цены. По мере того как цены растут, объем спроса сокращается, а объем предложения увеличивается. Это продолжается до тех пор, пока цена не достигнет своего равновесного уровня.

Список литературы

1. Ефимова Е.Г.. Экономика для юристов. Учебник.- Москва Издательство "Флинта": Московский психолого-социальный институт, 2009.- 512с

. Куликов Л. М. Основы экономической теории: Учеб. пособие. - М.: Финансы и статистика, 2004. - 400 с.

. Микроэкономика. Г.С. Вечканов, Г.Р. Вечканова. Микроэкономика.- СПб.: Питер, 2010.- 209с.

. Основы экономической теории / Под ред. В.Л. Клюни.- Минск: "Вышэйшая школа", 2006.- 240с.

. Татарников Е.А., Богатырева Н.А., Бутова О.Ю. Микроэкономика. Ответы на экзаменационные вопросы: Учебное пособие для вузов / Е.А. Татарников, Н.А. Богатырева, О.Ю. Бутова. - М.: Издательство "Экзамен", 2005. - 160 с.

6. Экономическая теория. / Под ред. Носова с.с. - М.: КНОРУС, 2008


Не нашли материал для своей работы?
Поможем написать уникальную работу
Без плагиата!
Без нейросетей!