Кольорометрія. Характеристики кольорометрії. Аналітичні органічні реагенти для якісного визначення йонів металів

  • Вид работы:
    Курсовая работа (т)
  • Предмет:
    Химия
  • Язык:
    Украинский
    ,
    Формат файла:
    MS Word
    209,66 Кб
  • Опубликовано:
    2015-09-08
Вы можете узнать стоимость помощи в написании студенческой работы.
Помощь в написании работы, которую точно примут!

Кольорометрія. Характеристики кольорометрії. Аналітичні органічні реагенти для якісного визначення йонів металів













Кольорометрія. Характеристики кольорометрії. Аналітичні органічні реагенти для якісного визначення йонів металів

ВСТУП

Сьогодні оптичні методи охоплюють електронну спектрофотометрію та її продовження - так званий метод хімічної кольорометрії - науковий напрям про способи кількісного опису кольору об’єктів різної природи, який полягає в розрахунку колірних координат об’єктів на підставі наявних спектральних характеристик хімічних систем і дає змогу розрізняти спектрально близькі речовини й отримувати нові дані про них.

На практиці часто виникає потреба визначити якісний і кількісний вміст того або іншого металу в зразку (сплаві, деталі, воді і т. п.). Можливість виявлення металів і їх з'єднань в різних за своєю природою об'єктах заснована на відмінності в їх фізичних і хімічних властивостях.

1. Кольорометрія. Характеристики кольорометрії

колориметричний титрування іон метал

1.1 Особливості колориметричних методів аналізу

З оптичних методів аналізу в практиці аналітичних лабораторій найбільш широко застосовуються колориметричні методи. Колориметричні методи засновані на вимірі інтенсивності світлового потоку, що пройшов через забарвлений розчин. Колориметричний метод аналізу був запропонований російським вченим В. М. Севергіним ще в 1795 р.

У колориметричному методі використовуються хімічні реакції, що супроводжуються зміною кольору аналізованого розчину. Вимірюючи світопоглинання такого забарвленого розчину або порівнюючи отримане забарвлення з забарвленням розчину відомої концентрації, визначають зміст забарвленої речовини у випробуваному розчині.

Існує залежність між інтенсивністю забарвлення розчину і вмістом в цьому розчині забарвленої речовини. Ця залежність, звана законом Бугера-Ламберта-Бера, виражається рівнянням(1.1):

=I010-εCl                                                                                       (1.1)

де I - інтенсивність світла, що пройшло через розчин; I0 - інтенсивність падаючого на розчин світла; ε - коефіцієнт поглинання світла - постійна величина, характерна для кожної забарвленої речовини і залежна від його природи; С - концентрація забарвленої речовини в розчині; l - товщина шару світлопоглинання розчину.

Фізичний зміст цього закону можна виразити таким чином: розчини однієї та іншої ж забарвленої речовини при однаковій концентрації цієї речовини і товщині шару розчину поглинають рівну кількість світлової енергії, тобто світлопоглинання таких розчинів однакове. Для забарвленого розчину, укладеного в скляну кювету з паралельними стінками, можна сказати, що в міру збільшення концентрації і товщини шару розчину його забарвлення збільшується, а інтенсивність світла , що пройшов через поглинаючий розчин, зменшується в порівнянні з інтенсивністю падаючого світла I0 .

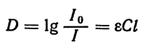
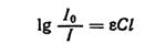
Оптична густина розчину. Якщо прологарифмувати рівняння закону Бера і змінити знаки на зворотні, то отримаємо рівняння(1.2):

          (1.2)

Величина є дуже важливою характеристикою забарвленого розчину, її називають оптичною густина розчину і позначають буквою D(1.3):

                                                                          (1.3)

З цього рівняння випливає, що оптична густина розчину прямо пропорційна концентрації забарвленої речовини і товщині шару розчину. Іншими словами, при однаковій товщині шару розчину даної речовини оптична густина цього розчину буде тим більше, чим більше в ньому міститься забарвленої речовини. Або, навпаки, при одній і тій же концентрації даної забарвленої речовини оптична густина розчину залежить тільки від товщини його шару. Звідси може бути зроблений наступний висновок: якщо два розчини одного і того ж кольору речовини мають різну концентрацію, однакова інтенсивність забарвлення цих розчинів буде досягнута при товщинах їх шарів, назад пропорційних концентраціям розчинів.

Таким чином, щоб визначити концентрацію (С) забарвленого розчину, необхідно виміряти його оптичну густина (D). Щоб виміряти оптичну густину, слід виміряти інтенсивність світлового потоку[1].

1.2 Характеристика колориметричних методів аналізу

Інтенсивність забарвлення розчинів можна вимірювати різними методами. Розрізняють суб'єктивні (або візуальні) методи колориметрії й об'єктивні (або фотоколориметрические).

1.2.1 Суб'єктивні методи колориметрії

Візуальними називаються такі методи, при яких оцінку інтенсивність забарвлення випробуваного розчину роблять неозброєним оком. До візуальних методів належать:

) метод стандартних серій;

) метод дублювання (колориметричне титрування);

) метод зрівнювання.

Метод стандартних серій.

При виконанні аналізу методом стандартних серій інтенсивність забарвлення аналізованого забарвленого розчину порівнюють з забарвленнями серії спеціально приготовлених стандартних розчинів (при однаковій товщині шару). Метод практично не вимагає обладнання, але досить трудомісткий, точність його не перевищує 10 %. Не вимагається виконання закону Бугера-Ламберта-Бера.

Колориметричне титрування (метод дублювання).

Цей метод заснований на порівнянні забарвлення аналізуємого розчину з забарвленням іншого розчину - контрольного. Для приготування контрольного розчину готують розчин, що містить всі компоненти досліджуваного розчину, за винятком визначається речовини, і все що вживалися при підготовці проби реактиви, і до нього добавляю з бюретки стандартний розчин визначається речовини. Коли цього розчину буде додано стільки, що інтенсивності забарвлення контрольного і аналізованого розчину зрівняються, вважають, що в аналізуємому розчині міститься стільки ж визначається речовини, скільки його було введено в контрольний розчин.

Метод зрівнювання.

Цей метод заснований на зрівняння забарвлень аналізованого розчину і розчину з відомою концентрацією речовини - стандартного розчину. Існують два варіанти виконання колориметричного визначення цим методом.

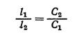
За першим варіантом зрівняння забарвлень двох розчинів з різною концентрацією забарвленої речовини проводять шляхом зміни товщини шарів цих розчинів при однаковій силі проходить через розчини світлового потоку. При цьому, незважаючи на відмінність концентрацій аналіуємого і стандартного розчинів, інтенсивність світлового потоку, що проходить через обидва шари цих розчинів, буде однакова.

Співвідношення між товщиною шарів і концентраціями забарвленими речовини в розчинах в момент зрівнювання забарвлень буде виражатися рівнянням (1.4):

                                                                                 (1.4)

де l1 - товщина шару розчину з концентрацією забарвленої речовини С1;- товщина шару розчину з концентрацією забарвленої речовини С2.

У момент рівності забарвлень ставлення товщини шарів двох порівняльних розчинів обернено пропорційно відношенню їх концентрацій. На підставі наведеного рівняння, вимірявши товщину шарів двох однаково забарвлених розчинів і знаючи концентрацію одного з цих розчинів, легко можна розрахувати невідому концентрацію забарвленої речовини в іншому розчині. Для вимірювання товщини шару, через який проходить світловий потік, можна застосовувати скляні циліндри або пробірки, а при більш точних визначеннях спеціальні прилади - колориметри. За другим варіантом, для зрівнювання забарвлень двох розчинів з раз-особистої концентрацією забарвленої речовини, через шари розчинів однакової товщини пропускають світлові потоки різної інтенсивності. У цьому випадку обидва розчини мають однакову забарвлення, коли співвідношення логарифмів інтенсивностей падаючих світлових потоків дорівнює відношенню концентрацій. У момент досягнення однакового забарвлення двох порівнюваних розчинів, при рівній товщині їх шарів, концентрації розчинів прямо пропорційні логарифмам інтенсивностей падаючого на них світла. За другим варіантом визначення може бути виконано тільки за допомогою колориметра.

1.2.2 Об'єктивні методи колориметрії

При об'єктивних методах колориметричного визначення для вимірювання інтенсивності забарвлення випробуваного розчину замість безпосереднього спостереження користуються фотоелементами. Визначення в цьому випадку проводять в спеціальних приладах - фотоколориметрах, звідки і метод отримав назву фотоколориметричного.

Всі фотоколориметричні методи визначення засновані на одному загальному принципі. Світловий потік проходить через кювету або пробірку, наповнену забарвленим розчином. Світловий потік пройшовши, через розчин сприймається фотоелементом, в якому світлова енергія перетворюється в електричну. Виникає при цьому електричний струм вимірюють за допомогою чутливого гальванометра.

Рисунок 1.1- Принципова оптична схема фотоколориметра КФК-2: 1-джерело світла; 2 - теплозахисний фільтр; 3 - нейтральний світлофільтр; 4 - кольоровий світофільтр; 5 - кювета с досліджуваним розчином або розчином порівняння; 6 - пластина, яка ділить світловий потік на два потоки; 7 - фотодіод; 8 - фотоелемент

Для визначення цим методом концентрації досліджуваної речовини вимірюють оптичну густину досліджуваного розчину (Dдосл) і еталонного розчину, концентрація якого відома (Dетал).

Основними перевагами фотоколориметричного метода вимірювання інтенсивності забарвлення є швидкість і легкість визначень при високій їх точності.

Побудова калібрувальної кривої. При масових фото колориметричних аналізах, визначаючи концентрацію випробуваного розчину, що не порівнюють кожного разу його світлопоглинання зі світло поглинанням еталонного розчину, а попередньо будують так звану калібрувальну криву. Для цього користуються серією еталонних розчинів різної концентрації. Маючи таку криву, при визначенні концентрації випробовуваного розчину достатньо виміряти його світлопоглинання і по калібрувальній кривій знайти величину концентрації, відповідну знайденому світло поглинанню[2].

Умови фотоколориметрування.

Розробка фотоколориметричної методики включає наступні етапи:

. Вибір довжини хвилі світла.

Якщо в розчині є один компонент, то для вимірювання вибирають довжину хвилі, що відповідає максимуму поглинання фотометрованої форми (λmax), бо це забезпечить найвищу чутливість визначення. Якщо таких смуг є декілька, то вибирають ту з них, яка є найінтенсивнішою. Це забезпечує найвищу чутливість визначення. Найліпше вибирати пологий максимум, тому що відхилення значень тут незначні, якщо встановлення потрібної довжини хвилі відбувається з недостатньою точністю. Бажано, щоб довжина хвилі відповідала максимальному значенню екстинції даної забарвленої речовини.

. Вибір світлофільтра.

Кожен світлофільтр характеризується кривою пропускання, тобто залежністю Т,% - λ, та напівшириною смуги пропускання. Смуга пропускання коливається в межах кількох десятків нм для скляних і значно вужча (10-12 нм) для інтерференційних. З двох фільтрів ліпший той, для якого більший коефіцієнт Т і менша напівширина смуги пропускання. Щоб правильно вибрати фільтр, треба знати спектр поглинання досліджуваного розчину. Бажано максимальне перекривання кривих поглинання та кривої пропускання фільтра чи наближення максимуму поглинання сполуки в розчині (λmax) до довжини хвилі максимального пропускання (Тmax) світлофільтра. Орієнтовно при виборі світлофільтра використовують відоме правило, що колір фільтра повинен доповнювати колір розчину. Якщо потрібно вибрати фільтр з двох (чи більше) наявних з близькими характеристиками, то обирають той, з яким оптична густина розчину найбільша. Робочими значеннями А є межі 0,1-0,8, в яких середня відносна похибка визначення концентрації за рахунок похибки вимірювання А найменша. а) Максимум пропускання світлофільтра повинен відповідати максимуму поглинання речовини. б) Якомога менша ширина пропускання світлофільтра, щоб випромінювання було близьке до монохроматичного.

. Вибір розміру кювети.

Довжина кювети повинна бути така, щоб абсорбційність лежала в межах 0,4 - 1, бо в цьому випадку досягається найменша похибка визначення концентрації. Хоч з основного закону значення А пропорційне ℓ за сталих ελ і С і здавалося б варто прагнути до максимальних значень ℓ, бо відносна похибка зменшується зі збільшенням ℓ, проте не варто виходити за межі А=1,0. За великих ℓ зростають втрати за рахунок розсіювання потоку розчином, тому ℓ>5,0 cм практично не використовують, враховуючи головне зростання похибки визначення С при А>1,0.

. Вибір розчину порівняння.

Вимірювання А розчину завжди проводять стосовно розчину порівняння, при виборі якого враховують відповідність його складу досліджуваному розчину. Найліпшим варіантом є той, коли розчином порівняння є розчин холостого досліду. Часто за розчин порівняння беруть воду чи інший прозорий у цих умовах розчинник, вводячи поправку на поглинання сторонніми компонентами. Для більшої точності абсорбційність розчину порівняння повинна бути близькою до абсорбційності досліджуваного розчину. Неправильний вибір розчину порівняння може призвести до систематичної похибки фотометричного визначення.

. Спосіб приготування стандартних розчинів має бути ідентичним до способу приготування досліджуваних розчинів[3].

1.2.3 Математичний апарат в кольорометрії

Існує ряд методів комп'ютеризованого спектроскопічного аналізу із застосуванням кольоровимірювальних систем. Поява характерного забарвлення в результаті хімічної реакції зазвичай використовують в якісному аналізі для виявлення елементів. Відомо, що наш зір дуже чутливий до малої абсолютної інтенсивності світла і дозволяє досить добре розрізняти відтінки кольорів. Людське око здатне не тільки порівняти два випромінювання, але і визначити, яке з них більше (або менше) інтенсивніше. Для кількісної оцінки інтенсивності випромінювання створювалися і удосконалювалися кольоровимірювальні системи. Деякий час їх практичне застосування стримувалося труднощами апаратурного оформлення. Поштовхом до розвитку методу кольорометрії стала потреба у визначенні складу складних сумішей барвників, що використовуються в текстильній промисловості. Вирішення цього завдання дозволило не тільки розробити компактні кольоровимірювальні прилади, а й створити математичний апарат для розрахунку концентраційних залежностей по зміні параметрів кольору аналізованих проб.

Існують два основних способи вимірювання кольору, що розрізняються за методикою розрахунку: за спектральним складом випромінювання або по числу окремих кольорів в суміші, що дає визначуваний колір. Відповідно до цієї класифікації, всі кольоровимірювальні прилади і методики розрахунку координат кольору можна умовно розділити залежно від вимірюваної величини на два типи:

. Координати кольору розраховують за відомим спектральним складом випромінювання аналізованої суміші (спектру поглинання, відбиття і т.д.). Цей метод вважається найбільш точним.

. На підставі виміряної загальної функції додавання кольорів (нерідко відповідної чутливості фотоелементів) відразу отримують координати кольору визначуваного компонента. Розвиток методу стримується через труднощі у виготовленні фотоелементів з необхідною спектральною чутливістю.

Кольорометрію успішно застосовують в спектрофотометричному титруванні, а також для характеристики форм існування індикаторів. Ще більш перспективне використання кольорометричні вимірювань при хімічному аналізі в відсутність приладового забезпечення або з мінімальним його застосуванням. У зв'язку з розвитком експрес методів з візуальним детектуванням виникає завдання визначення вмісту речовини за сумарним зміні кольору тест-зразка, і її дозволяють вирішити тільки кольорометричні системи, максимально наближені за своїми характеристиками до людському зору. Математичний опис кольору в колориметрії базується на тому, що, як встановлено експериментально, будь-який колір можна представити у вигляді суміші (суми) визначених кількості трьох лінійно незалежних кольорів. В якості основних кольорів використовують червоний, зелений і синій, тобто три монохроматичних випромінювання з довжинами хвиль (λ) 700, 546.1 і 435,8 нм відповідно.

Тут точка S1 відповідає кольору, що входить в це колірний простір, а S2 - кольором, який виходить за його межі. Таке уявлення зручніше проілюструвати геометрично. Три основні кольори в ортогональній системі координат є осями, а кожен колір, заданий трьома колірними координатами.

.2.4 Система CIELAB

Рекомендована CIE система в повсякденному користуванні називається системою CIELAB. На даний час вона є загальновизнаною і застосовується у всьому світі. Вона має великі переваги в порівнянні з системами, які раніше застосовувалися. У цій системі геометрично рівні відстані у всіх областях спектру приблизно відповідають візуально сприйманих відмінностям. Тому дана система практично є системою, що відбиває сприйняття кольорів людським оком. Часто система CIELAB називається також системою колірного простору CIELAB.

На рис. дається схематичне зображення системи CIELAB. Тут мова йде про тривимірну ортогональну систему координат, яка має червоно-зелену вісь a*, синьо-жовту вісь b* і розташовану перпендикулярно їм вісь L*, якою визначається яскравість L*. Вісь L* йде від L* = 0 (чорний колір) до L* = 100 (білий колір). У цьому колірному просторі L*a*b* можна розташувати всі кольори. З практичних міркувань часто для зображення квітів і, насамперед, кольорів однакової яскравості, користуються двовимірною системою координат a*b*. Для позначення колірного відчуття, в принципі, потрібно три числових значення: L*,a*,b*.

Рисунок 1.2 - Схематичне зображення системи CIELAB

Оскільки саме a* і b* параметри є дещо абстрактними, часто користуються наочними показниками, які є похідними величинами:

колірний тон

насиченість

Колірний тон у достатній мірі описується положення в системі координат a*b*. За допомогою a*і b*можна описати кольори: синій, червоний, зелений, жовтий і всі проміжні відтінки. Яскравість кольору описується параметром L*. У повсякденному житті користуються поняттям світло-червоний або темно-червоний. Насиченість кольору C*, параметр, який вказує на те, чи є колір світловим або тьмяним, розраховується з a* і b*. Для розрахунку цього параметра служить наступна формула(1.4):

Оскільки C* розраховується з допомогою a* і b*, C* називають також кольоровістю. При a* = 0 і b* = 0 колір сприймається сірим, білим або чорним, залежно від значення L*. Проте головним завданням
промислової кольорометрії є порівняння двох колорів, наприклад, якогось зразка продукції з стандартом. Потім, якщо хочуть дізнатися, які існують відмінності колірних тонів, розраховують різницю між відповідними значеннями: Aa* =a*зразок - a*стандарт і Ab* = b*зразок - b*стандарт, а якщо хочуть дізнатися як різниця яскравості, то розраховують різницю AL* = L*зразок - L*стандарт.

Однак, перш за все, цікавляться тим, наскільки колір зразка відрізняється від стандартного. Для цього розраховують «повне» відстань ∆E.

Іншими словами, ∆E* це геометричне відстань між двома точками (наприклад, для зразка і стандарту) у тривимірному колірному просторі. Але в практичній роботі немає ніякої необхідності розраховувати за цією формулою параметри ∆E* і ∆C*. Сучасні вимірювальні прилади комбінації з комп'ютерами дозволяють, виходячи з ∆L*, ∆a*, ∆b*, негайно підрахувати ∆C*, а також ∆E*. Важливо дотримуватися таке правило: не можна покладатися виключно на отримані шляхом вимірювань значення, що рекомендується - якщо є можливість - завжди оцінювати оком кольорові зразки[5].

2. Аналітичні органічні реагенти для якісного визначення йонів металів. Якісні визначення органічних сполук

.1 Органічні реагенти у неорганічному аналізі

Важливими для аналізу продуктами можуть бути як комплекси між аналітом та реагентом, так і нові органічні сполуки (наприклад, продукти окисно-відновних перетворень) або інші форми реагенту (для кислотно-основних індикаторів). Органічні реагенти містять певні функціональні групи, що визначають різноманітність взаємодії цих реагентів із компонентами, що аналізують.

Властивості комплексних сполук (стійкість, забарвлення, розчинність і т. ін.) є джерелом інформації про якісний та кількісний склад об’єкту. У склад комплексів входить комплексоутворювач (звичай іон чи атом металу) та ліганди (іони чи молекули). Ці складові здебільшого здатні до самостійного існування (правда, іони металів у розчині, звичайно, також є комплексами із молекулами розчиннику як лігандами, і, спрощуючи записи, ці ліганди навіть не наводять).

Ліганди можуть бути аніонами або полярними молекулами. Найрозповсюдженішими неорганічними лігандами є молекули Н2О та NH3; іони F-, Cl-, Br-, I-, CN-, NO3- NO2-,OH-, SO42-, CO32-, HnPO4(3-n)- (n= 0, 1, 2). Органічні ліганди - це здебільшого сполуки, що мають хоч би на одному з атомів неподілену пару електронів. Донорними найчастіше є атоми неметалів (у дужках наведено значення електронегативності за Полінгом): О (3,5), N (3,0), S (2,5), Sе (2,4), Те (2,1), Р (2,1), Аs (2,0), Sb (1,9). Донорні атоми входять до складу функціональних груп, таких як -ОН, ≡С-ОН, -СООН, = C = O, ≡С-О-С≡, -NH2, =NH, ≡N, -N = O, -N = N-, -СН = N-, =N-ОН, - SН, - (CS) - SН, - SСN, - СN, - РO3Н, - AsО3Н. Деякі з таких груп обумовлюють кислотно-основні властивості реагентів - здатність втрачати або приєднувати іони H+, утворюючи аніони чи катіони реагентів. Іони Н+ здатні конкурувати із іонами металів за координацію з функціональними групами, що обумовлює залежність виходу продуктів реакцій від рН середовища. Важливу роль у властивостях органічних реагентів відіграють їх таутомерні перетворення. Забарвлення комплексних сполук обумовлене переносом заряду (переходом електронів з орбіталей ліганду на орбіталь комплексоутворювача й переносом електронів усередині ліганду) й істотно залежить від розчинника.

Стійкість комплексів іонів металів залежить від їх електронної структури. Її пов’язують із іонним потенціалом - відношенням заряду іона до його радіусу. Будова електронної оболонки та радіус іона впливають і на стереохімію комплексу. Реакційна здатність органічного реагенту залежить не тільки від наявності функціональних груп, а й від його структури. Так, групи без донорних атомів (такі як -СН3) можуть заважити тому, щоб функціональна група наблизилась до комплексоутворювача й утворила стійкий координаційний зв’язок.

Якщо у реагенту є декілька функціональних груп, вони можуть утворювати декілька координаційних зв’язків із компонентом, що аналізують. Комплекси, у яких утворилося декілька координаційних зв’язків полідентатного ліганду, або внутрикомплексними. Ліганди із однією функціональною групою є монодентатними. Стійкість хелатних комплексів набагато вище, ніж простих комплексних сполук із декількома лігандами, що містять по одній відповідній групі. Таку властивість комплексів із полідентатним лігандом називають хелатним ефектом.

Стійкість комплексу із полідентатним лігандом залежить від геометрії циклу, утвореного комплексоутворювачем, однією із функціональних груп, фрагментом ліганду між функціональними групами, другою групою, що потім замикається на тому ж комплексоутворювачі. Згідно правилу циклів Чугаєва, найстійкішим комплексам відповідають п’яти або шестиатомні цикли. У шестичленних циклах фрагмент органічного ліганду часто містить подвійний зв’язок, що сприяє формуванню плаского циклу. Реалізуються також і цикли й іншої довжини - чотири - й навіть тричленні (останні - найбільш напружені й нестійкі).

Селективність органічних реагентів залежить від:

) компонентів, що аналізують - їх положення у періодичній системі, будови електронної оболонки та її розміру;

) пов’язані із самим реагентом - скелетом його молекули, різними замісниками.

) продуктів взаємодії - їх однорідності, складу, стійкості;

) середовища - величини рН, природи розчинника, температури;

Щоб передбачити можливість взаємодії катіонів з органічними реагентами, в першому наближенні користуються гіпотезою аналогій (В.І. Кузнецов, 1947). Як модель взаємодії деяких функціональних груп можна розглядати відповідні неорганічні реакції. Так, з органічними реагентами, у яких донорним атомом є сульфур (сірка), взаємодіють катіони, що утворюють малорозчинні сульфіди; з органічними амінами взаємодіють катіони, що утворюють комплекси з амоніаком; тощо. Корисним є правило Пірсона, за яким взаємодіють між собою катіон і ліганд з подібними властивостями. Катіони, що істотно не поляризуються (з електронною конфігурацією атомів інертних газів), утворюють стійкіші комплекси з лігандами, що також не схильні до поляризації. Навпаки, катіони, що схильні до поляризації, утворюють стійкі комплекси з лігандами, що також не схильні до поляризації. При виборі реагентів для виявлення та визначення іонів металів необхідно враховувати природу реагентів та визначуваних іонів[6].

2.2 Комплексоутворюючі групи реагентів

Потенційно корисна в якості комплексоутворюючого реагенту для іонів металів сполука повинна мати достатнє число кислотних чи основних груп, розміщених по можливості таким чином, щоб забезпечити утворення с іонами металу стійких п’яти- та шестичленних хелатних циклів. Зараз до цих груп відносять головним чином наступні: -СОО - , фенольний -O-, -S-, =С=O, -N=O, -OR, -NH2, -NR2, -CR=N-R, -N=N- і =C=S. Розміри атому сульфуру і напрямок його орбіталей допускають виникнення чотиричленних циклів у випадку комплексів, що утворюються похідними дитіокислот, як, наприклад, в комплексах Ni i Cu диетилдитіокарбаміновою кислотою і в комплексі нікелю з ксантогеновою кислотою. Аналогічні чотирьохчленні цикли утворюються в деяких комплексах карбонових кислот, але вони набагато менш стійкі.

2.2 Природа іона металу

В даному випадку основними факторами є електронна структура іона, його розмір, стехіометрія і валентний стан.

Багатозарядні катіони утворюють найбільш стійкі зв'язки з аніонами, що мають заряд -2 і вище, і зі збільшенням атомного номеру зв'язки з сульфуром стають більш міцними, ніж з оксигеном. Це частково пояснює, чому саме тарон (пірокатехіндисульфокислота), що має дві фенольні групи в орто-положеннях один до одного, слугує реагентом на іон Fe(ІІІ), в той час коли дитіол (толуол-3,4- дитеол) з аналогічно розташованими тіольними групами взаємодіє з Mo(VІ), Rе(VІ) і W(VI). (Ця реакція не вибіркова, але її можна зробити більш вибірковою, виконуючи визначення в розчинах мінеральної кислоти, де можуть утворюватися стійкі трис-комплекеи тільки цих трьох іонів.) Використання такої властивості металів важливе для покращення вибірковості реагентів, особливо за рахунок застосування реакцій маскування, основаних на різниці в константах стійкості комплексів металів з комплексоутворюючими речовинами різних типів.

Константи стійкості комплексів перехідних металів з даним лігандом розташовуються в правильний і вельми характерний ряд. Однак якщо графічно представити залежність логарифму константи стійкості комплексу з даним лігандом від типу іона металу, то нахил графіка буде залежиш від типу ліганду.

Необхідно також враховувати звичайну стехіометрію іона метала. Вона повинна бути такою, щоб комплексоутворення не зустрічало стеричних утруднень, викликаних іншими групами ліганду (хоча перешкоди утворенню конфігурацій, яким віддають перевагу інші катіони, можуть бути досить бажаними і приводиш до підвищення специфічності). Стереохімічні відмінності можна також використовувати в тих випадках,коли застосовують маскуючі реагенти.

Важливе значення може мати розмір іона металу. Алюміній утворює з 8-оксихіноліном нерозчинний трис-комплекс. При використанні 8-оксихінальдіна, тобто 2-метил-заміщеного 8-оксихіноліна, подібна реакція не може відбуватися, оскільки іон Аl3+ настільки малий, що через стеричні причини три молекули ліганду не можуть розміститись навколо нього і утворити октаєдричний комплекс. У випадку більших іонів Сr3+, Fе3+ чи Gа3+ або ж при утворенні біс-комплексів з іонами двовалентних металів ця обставина не має значення, що використовують для відокремлення алюмінію від цих іонів. Якщо сконструювати тривимірні ліганди, що утворюють навколо іона металу жорстку хелатну «клітку», в середині котрої можуть розміститися тільки катіони підходящих розмірів, то можна очікувати набагато більшої специфічності [7] .

2.3 Реакції, засновані на утворенні комплексних сполук металів

При таких аналітичних реакціях переважно (хоча і не завжди) застосовуються циклоутворюючі ліганди, здатні до утворення хелатних комплексів, особливо - внутріншньокомлексних сполук і комплексонатів металів. Молекули подібних лігандів повинні містити функціонально-аналтичні групи (ФАГ), здатні утворювати з атомами металів-комплексоутворювачів відносно міцні координаційні зв’язки, найчастіше - стійкі металоцикли. До складу ФАГ можуть входити групи -ОН, -SН, -NH, -C=O, -С=S, гетероатоми нітрогену та ін.

Так, наприклад, іони купруму (II) при взаємодії з органічними сполуками утворюють комплекси зеленого кольору, що містять п’ятичленні металоцикли.

При реакціях іонів кадмію з органічними реагентами складу Аr-N=N-NH-Ar' (Аr і Аr' - арільні радикали), що містять у якості ФАГ діазоаміногрупу, утворюються комплекси червоного кольору.

Стибій (III) утворює малорозчинні білі осади комплексів з лігандами, що містять в якості ФАГ дві сусідні фенольні групи в ароматичному ядрі, наприклад, з пірогалолом. Комплекси, що утворились, містять п’ятичленні металоцикли.

Присутність ФАТ в органічній молекулі є необхідною, але не завжди достатньою умовою, що дозволяє використовувати дану органічну сполуку у якості аналітичного реагенту. В багатьох випадках необхідна також присутність аналітико-активних груп (ААГ), зазвичай не утворюючих безпосередньо координаційні зв’язки з центральним атомом метала-комлексоутворювача, але підсилюючих аналітичний ефект ФАГ. Поєднання ФАГ, ААГ разом з центральним атомом металу, що визначають, дає «аналітичний вузол», що відіграє важливу роль у відповідній аналітичній реакції.

До деяких основних критеріїв застосування внутрішньокомплексних сполук в хімічному аналізі відносяться:

)мала розчинність комплексної сполуки у тих випадках, коли їх використовують для осадження іонів металів із розчинів;

) наявність інтенсивного характерного забарвлення комплексів, якщо їх використовують для відкриття та визначення іонів металів за забарвленням розчину;

)досить висока стійкість утворюваних комплексів (велике значення констант стійкості).

Деякі органічні реагенти дозволяють відкривати чи визначати цілий ряд катіонів. До числа таких органічних реагентів відносять сполуки групи арсеназо, що містять арсен, азогрупи, -SO3Н, -ОН (арсеназо І, арсеназо II, арсеназо III, поліарсеназо), наприклад:


Так, за допомогою арсеназо І можна визначати уранільну групу UO22+, катіони кальцію Са2+, берилію Ве2+, купруму Сu2+, кобальту Со2+, нікелю Ni2+, алюмінію А13+, рідкоземельних металів, титан (III), цирконій (IV), торій (IV), ванадій (V), ніобій (V), тантал (V), а також аніони F-, ВF4 -.

Арсеназо ІII дозволяє визначити катіони Ве2+, Мg2+ , Са2+, Zn2+, Сd2+, Hg2+, А13+, РЬ2+, рідкоземельних металів, титан (IV), цирконій (IV), гафній (IV), торій (IV).

До числа досить розповсюджених в хімічному аналізі відносяться, наприклад, такі органічні реагенти, як дитизон, диметилгліоксим, 1-нітрозо-2- нафтол.

Дитизон (дифенілтіокарбазон).

Вперше він був запропонований у якості реагенту на катіони цинку Zn2+, з яким він утворює комплекс малинового кольору - дитизонат цинку Zn(HDz)2, розчинний в хлороформі і тетрахлориді вуглецю. Реакція досить чутлива: межа виявлення 0,025 мкг [8].

Таблиця 1 - Органічні реактиви, використовувані в якісному аналізі

Органічний реактив

Іон, що визначається

Ефект, що спостерігається

Диметилгліоксим (реактив Чугаєва) С4H8N2O2

Ni2+,

Яскраво-червоний осад


Pd2+

Яскраво-червоний осад


Fe2+

Червоний колір розчину

Дифенілтиокарбазон (дитизон) в хлороформі С6H5NH∙NHCSN∙NC6H5

Pb2+

Темно-червоний розчин

Дифенілтиокарбазон (дитизон) в хлороформі С6H5NH∙NHCSN∙NC6H5 Дитіооксамид (NHCSН)2

Zn2+

Червоний розчин


Cu 2+

Зелено-чорний осад

Дитіооксамид (NHCSН)2 Алізарин С14 Н6О2(ОН)2

Ni2

Темно-фіолетовий осад


Co+2

Жовто-бурий осад


Al3+

Осад яскраво-червоного кольору

Al3+

Яскраво-червоне забарвлення

8-Оксихінолін С9Н6NOH

Mg2+

Зелено-жовтий осад Mg(C9H6NO)

Магнезон I C12H7N2NO2(OH)2

Mg2+ (при рН≈11)

Синє забарвлення

Магнезон ИРЕА

Mg2+ (при рН 10)Яскраво-червоне забарвлення


Тіомочевина CS(NH2)2

Cd2+ (в присутності розчину H2S)

Жовтий осад

Родизонат натрію С6О6Na2

Ва2+, Sr2+

Червоне забарвлення


2.4 Якісні визначення органічних сполук

Аналіз органічних сполук багато чим відрізняється від аналізу неорганічних сполук. Так, якісний аналіз неорганічних речовин оснований на реакціях іонів і його мета - відкриття іонів, що входять до складу даної речовини. Властивості органічної сполуки залежать не тільки від елементного складу, але й від наявності і положення функціональних груп. Визначення цих груп є важливим завданням дослідження органічних сполук. Хімічні методи визначення органічних сполук засновані на реакціях їх функціональних груп. Наприклад, для якісного та кількісного визначення спиртів використовують реакції, характерні для спиртової групи, для визначення альдегідів, кетонів, амінів - реакції, характерні для груп: -СНО, -СО, -МН2 і т.д. [9].

Таблиця 2 - Якісні реакції деяких органічних сполук

Речовина, функціональна група

Реактив

Схема реакції

Характерні ознаки

Алкени, алкіни, дієни

розчин KMnO4 (рожевий)

СН2=СН2 + Н2О + КMnO4 → КОН + MnO2↓+ СН2(ОН)-СН2(ОН)

знебарвлення розчину


розчин I2 (бурий)

СН2=СН-CН3 + I2 → СН2(I)-СН(I)-CH3

знебарвлення розчину


розчин Br2 (жовтий)

СН2=СН2 + Br2 → СН2(Br)-СН2(Br)

знебарвлення розчину

Ацетилен

аміачний розчин Ag2O

CH ≡ СН + [Ag(NH3)2]OH → AgC≡CAg↓ + NH3↑ + H2O

утворення осаду жовтого кольору (вибухонебезпечний)

Бензол

нітруючи суміш HNO3+H2SO4

t°C, H2SO4(конц.) C6Н6 + HNO3 → C6H5-NO2 + H2O

утворення важкої рідини світло-жовтого кольору із запахом гіркого мигдалю

Толуол

розчин KMnO4 (рожевий)

C6Н5-СН3 + KMnO4 + H2SO4 → C6Н5-COOH + H2O + K2SO4+ MnSO4

знебарвлення розчину

Фенол

розчин FeСl3 (ясно-жовтий)

C6Н5OH + FeCl3 → (C6Н5O)3Fe + HCl

фарбування розчину у фіолетовий колір


насиченій розчин Br2(бромна вода)

C6Н5OH + 2Br2 → C6Н2Br3OH↓ + HBr

утворення білого осаду із специфічним запахом

Анілін (амінобензол)

розчин хлорного вапна CaОСl2 (безбарвний)


фарбування розчину у фіолетовий колір

Етанол

насичений розчин I2 + розчин NaOH

C2H5OH + I2 + NaOH → CHI3↓ + HCOONa + NaI + H2O

утворення дрібнокристалічного осаду СНI3 світло-жовтого кольору із специфічним запахом


CuO (прожарена мідна проволока)

C2H5OH + CuO → Cu↓ + CH3-CHO + H2O

виділення металевої міді, специфічний запах ацетальдегіду

Гідроксогрупа (спирти, фенол)

металічний Na

R-OH + Na → R-O-Na+ + H2↑ C6H5-OH + Na → C6H5-O-Na+ + H2↑

специфічний запах

Ефіри

Н2О (гідроліз) в присутності NaOH при нагріванні

CH3-C(O)-O-C2H5 + H2O ↔ CH3COOH + C2H5OH

яскраво-синє фарбування розчину

щойно осаджений гідроксид міді (II) в сильно лужному середовищі

утворення блискучого нальоту Ag («срібне дзеркало») на стінках посуди


Карбонільна група - СНО

аміачний розчин Ag2O

R-CHO + [Ag(NH3)2]OH → R-COOH + Ag↓ + NH3↑ + H2O

утворення червоного осаду Сu2О


щойно осаджений Сu(OH)2

R-CHO + Cu(OH)2 → R-COOH + Cu2O↓ + H2O

фарбування розчину в рожевий колір

Карбонові кислоти

лакмус


виділення СО2


розчин Na2CO3

R-COOH + Na2CO3 → R-COO-Na+ + H2O + CO2↑

специфічний запах складного ефіру, що утворюється


спирт +H2SO4

R-COOH + HO-R1 ↔ RC(O)OR1 + H2O

утворення червоного осаду Сu2О

Мурашина кислота

щойно осаджений Сu(OH)2

HCOOH + Cu(OH)2 → Cu2O↓ + H2O + CO2↑

«срібне дзеркало» на стінках посуди


аміачний розчин Ag2O

HCOOH + [Ag(NH3)2]OH → Ag↓ + H2O + CO2↑

знебарвлення розчину

Олеїнова кислота

розчин KMnO4 (рожевий) або I2 (бурий) або Br2(жовтий)

C17H33COOH + KMnO4 + H2O → C8H17-CH(OH)-CH(OH)-(CH2)7-COOH + MnO2↓ + KOH  C17H33COOH + I2 → C8H17-CH(I)-CH(I)-(CH2)7-COOH

фарбування розчину в червоно-бурий колір

Ацетати (солі оцтової кислоти)

розчин FeCl3

CH3COONa + FeCl3 → (CH3COO)3Fe + NaCl

фарбування розчину в малиновий колір

Стеарат натрію (мило)

Н2О (гідроліз) + фенолфталеїн

C17H35COONa + H2O ↔ C17H35OOH↓ + NaOH

утворення сірого осаду


насичений розчин солі кальцію

C17H35COONa + Ca2+ ↔ (C17H35COO)2Ca↓ + Na+

утворення білого осаду


концентрована неорганічна кислота

C17H35COONa + H+ ↔ C17H35COOH↓ + Na+

запах «паленого», паленого пір'я

Білоки

полум'я

реакція горіння

без нагрівання - з'являється жовте фарбування розчину; при нагріванні і додаванні розчину аміаку білок забарвлюється в жовтий колір


НNO3 (конц.); t, °С

ксантопротеїнова реакція (відбувається нітрація бензолових кілець в молекулі білка)

синьо-фіолетове фарбування розчину


щойно осаджений Сu(OH)2

біуретова реакція (утворюється комплексне з'єднання)




ВИСНОВОК

Метод кольорометрії, порівняно з іншими фізико-хімічними методами, дає більш повну інформацію про наявні протеолітичні рівноваги та відповідні константи.

Аналітичні властивості органічних реагентів визначаються функціональною атомної угрупованням, яка являє собою групу атомів, які безпосередньо беруть участь в аналітичній реакції (ОН, NH2, COOH, SH). Природа цього угруповання визначає коло речовин, що взаємодіють з органічною речовиною, при даних умовах. Згідно з гіпотезою аналогій, з органічним реагентом взаємодіють ті метали, які схильні утворювати стійкі з'єднання з простими неорганічними речовинами, що містять групи атомів, які входять у функціональну групу молекули реагенту.

СПИСОК ВИКОРИСТАНОЇ ЛІТЕРАТУРИ

. Крешков А. П. Основы аналитической химии. Теоретические основы. Количественный анализ/ А. П. Крешков. - М.: Химия, 1971. - 456 с.

. Мельник В.В Аналітична хімія. Якісний аналіз/ В.В Мельник.- Харків:Харківський національний університет імені В.Н. Каразіна, 2012. - 36с.

. Перрин Д. Органические аналитические реагенти. Пер. с англ./Ю.М. Дедков. - М.:Мир.1967. - 407с.

. Харитонов Ю.Я. Аналитическая химия.В 2 кн. Кн.1. Общие теоретические основы. Качественний анализ/Ю.Я. Харитонов. - М.:Химия,1992. - 400 с.

Похожие работы на - Кольорометрія. Характеристики кольорометрії. Аналітичні органічні реагенти для якісного визначення йонів металів

 

Не нашли материал для своей работы?
Поможем написать уникальную работу
Без плагиата!
Без нейросетей!