Исследование спектральных характеристик растворов кислых аминокислот

  • Вид работы:
    Контрольная работа
  • Предмет:
    Химия
  • Язык:
    Русский
    ,
    Формат файла:
    MS Word
    279,44 Кб
  • Опубликовано:
    2016-02-19
Вы можете узнать стоимость помощи в написании студенческой работы.
Помощь в написании работы, которую точно примут!

Исследование спектральных характеристик растворов кислых аминокислот

Введение

спектр поглощение аминокислота

Глутаминовая кислота играет важную биологическую роль в жизни человека, содержание которой в организме составляет до 25% от всех аминокислот и по изменению содержания которой, можно судить о скорости протекания различных биохимических процессов.

Современное здравоохранение использует ряд лекарственных средств и препаратов, созданных на основе глутаминовой кислоты, для лечения заболеваний ЦНС, а также при лечении реактивных состояний протекающих с различными явлениями, истощающими организм.

Установление подлинности и процентного содержания её в растворах является одной из главных задач аналитической практике.

Целью данной курсовой работы является исследование спектральных характеристик растворов кислых аминокислот. Для достижения данной цели поставлены следующие задачи:

. Изучить физические методы анализа аминокислот и подготовить обзор литературы.

. Экспериментально получить спектры пропускания растворов различных концентраций.

. Определить из них спектры поглощения с учётом пропускания кюветы и френелевских потерь на отражение.

. Определить зависимости показателей поглощения и положения максимума полосы поглощения от концентрации раствора.

Глава 1. Методы анализа аминокислот

Существует несколько методов изучения аминокислот в различных растворителях, которые можно разделить на основные группы: хроматографический, титриметрический, электрохимический и спектрофотометрический метод [1, с.396]. В этой главе будет произведен обзор данных методов.

.1 Хроматографический метод

Хроматографией называется экспериментальный метод разделения компонентов смеси между стационарной (неподвижной) фазой и подвижной фазой. По характеру стационарной фазы хроматография подразделяется на два типа - адсорбционную и распределительную. В адсорбционной хроматографии стационарной фазой является твердое вещество. Это твердое вещество адсорбирует порцию каждого компонента из смеси. А в распределительной хроматографии разница в том, что стационарной фазой является жидкость. Компоненты смеси распределяются между этой жидкостью и подвижной фазой [2, c.325.]. Адсорбция вещества происходит в том случае, когда оно поглощается поверхностью другого вещества, показана на рисунке 1.

 

Рис. 1. Схематичное изображение адсорбции.

Сущность хроматографического метода анализа заключается в следующем. Раствор смеси веществ, подлежащих разделению, пропускают через стеклянную трубку (адсорбционную колонку), заполненную адсорбентом, виден на рисунке 2. Вследствие различной адсорбируемости и скорости передвижения отдельных веществ, находящихся в анализируемом растворе, компоненты смеси удерживаются на различной высоте столба адсорбента в виде отдельных зон (слоев). Вещества, обладающие большей способностью адсорбироваться, поглощаются в верхней части адсорбционной колонки, хуже адсорбируемые - располагаются ниже. Вещества, не способные адсорбироваться данным адсорбентом, проходят через колонку, не задерживаясь, и собираются в фильтрате [3, c.120] .

Рис. 2. Схематичное изображение адсорбционной колонки.

По мере прохождения через слой адсорбента новых порций раствора хорошо адсорбируемые вещества продолжают удерживаться в верхней части колонки, а вещества, адсорбируемые слабее, вытесняются с поверхности адсорбента в нижние слои. В результате на столбике адсорбента получается несколько зон, пример которой показан рисунке 3.Если адсорбент бесцветен, а адсорбируемые вещества окрашены, то на столбе адсорбента появляются цветные зоны, образующие, так называемую, хроматограмму [4, с.42].

Рис. 3. Пример хроматограммы.

Хроматографию в большинстве случаев применяют для разделения редкоземельных, а также радиоактивных элементов.

1.2 Электрохимический метод

Электрохимический методы это группа методов количественного химического анализа, основанные на использовании электролиза.Электролиз - совокупность процессов, происходящих при прохождении постоянного электрического тока через электрохимическую систему, состоящую из двух электродов и расплава или раствора электролита [5, с.285].

К группе методов можно отнести несколько видов анализа:

) Электровесовой анализ основан на выделении из растворов электролитов веществ, осаждающихся на электродах при прохождении через растворы постоянного электрического тока. Выделившийся при электролизе металл или окись взвешивают на аналитических весах и по массе осадка судят о содержании определяемого вещества в растворе [6, c.25].  Метод внутреннего электролиза (разновидность электровесового анализа) основан на использовании электрического тока, возникающего при погружении в раствор [6, с.26]. Здесь электрический ток не поступает от внешнего источника, а возникает благодаря разности потенциалов между платиновым электродом.

) Кондуктометрия, основанная на измерении электропроводности анализируемых растворов, изменяющейся в результате химических реакций и зависящей от свойств электролита, его температуры и концентрации растворенного вещества [7, c.395].

) Потенциометрия, которая основана на измерении изменяющегося в результате химической реакции потенциала электрода, погруженного в анализируемый раствор [8, с.166]. Величина потенциала электрода будет зависит от концентрации соответствующих ионов в растворе при других постоянных условиях измерения. Потенциалы измеряют при помощи специальных приборов - потенциометров.

) Полярография, основанная на измерении силы тока, изменяющейся в зависимости от напряжения в процессе электролиза, в условиях, когда один из электродов имеет очень малую поверхность.

) Кулонометрия, основанная на измерении количества электричества, израсходованного на электролиз определенного количества вещества [9, с.6]. Для решения поставленных задач, данный метод анализа не подходит.

.3 Титриметрический метод

Титриметрическим методом анализа называют метод количественного анализа, основанный на измерении количества реагента, требующегося для завершения реакции с данным количеством определяемого вещества. Метод заключается в том, что к раствору определяемого вещества постепенно прибавляют раствор реактива известной концентрации. Добавление реактива продолжают до тех пор, пока его количество не станет эквивалентным количеству реагирующего с ним определяемого вещества[7, с.38].

Количественное определение вещества титриметрическим методом, так же называют титрованием [10]. Иногда к титруемому веществу прибавляют реагент в твердом, жидком или газообразном состоянии. Наступающий в процессе титрования момент, в котором количество стандартного раствора реагента становится теоретически строго эквивалентным количеству определяемого вещества, реагирующего с прибавляемым реагентом, согласно определенному уравнению химической реакции, называют точкой эквивалентности. Её устанавливают различными способами, например по изменению окраски индикатора, прибавляемого в титруемый раствор. Момент, при котором происходит наблюдаемое изменение цвета индикатора, называют конечной точкой титрования. Небольшое количество средней пробы вещества, которое берется для анализа, называют навеской. Для получения наиболее точных результатов необходимо брать рассчитанную навеску анализируемого вещества на аналитических весах. От точности взвешивания навески зависит точность результатов анализа.

.4 Спектрофотометрический метод

Спектрофотометрия основана на определении спектра поглощения или измерении светопоглощения при строго определенной длине волны, которая соответствует максимуму кривой поглощения данного исследуемого вещества. Предназначена для определения качественного и количественного состава вещества на основе его спектра [11, с.224].

К спектрофотометрическому методу относятся такие виды анализов, как:1) Эмиссионный спектральный анализ, основанный на изучении эмиссионных спектров (спектров испускания или излучения) элементов анализируемого вещества; этот метод дает возможность определять элементарный состав вещества [12].

) Абсорбционная спектроскопия, основанная на изучении спектров поглощения исследуемого вещества. Различают исследования в ультрафиолетовой, видимой и инфракрасной областях спектра.

) Анализ по спектрам комбинационного рассеяния света.

Прибор, который позволяет производить измерения для различных длин волн оптического излучения, и в результате полученных измерений строится спектр отношений потоков, называется спектрофотометром [13, с.673]. Спектрофотометры могут работать в различных диапазонах длин волн - от ультрафиолетового до инфракрасного.

Спектральные характеристики аминокислот

Изучение спектральных характеристик дает возможность выбрать наиболее удобную для аналитического определения раствора - область спектра и наиболее подходящий светофильтр. Для аналитических определений нет необходимости снимать полные спектральные характеристики анализируемых растворов, достаточно лишь определить коэффициент пропускания и построить спектр поглощение при тех длинах волн, при которых оно наибольшее. Коэффициентом пропускания называют безразмерную физическую величину, которая равна отношению потока излучения, прошедшего через среду, к потоку излучения, падающего на неё [14, с.117].

Исследование такого спектра показывает, что в нем отсутствуют или ослаблены некоторые спектральные участки, соответствующие тем длинам волн, которые поглощаются веществом (раствором). Такой спектр называется спектром поглощения.

В данной работе для анализа растворов кислых аминокислот используется спектрофотометрический метод. Этот метод основан на способности аминокислот и продуктов их взаимодействия с определёнными реагентами поглощать в УФ-области.

Глава 2. Экспериментальные исследования спектров поглощения растворов кислых аминокислот

В работе изучались различные концентрации растворов образцов глутаминовой кислоты, которые были приготовлены по навеске с учетом её погрешности. Раствор готовился непосредственно перед выполнением эксперимента.

Исследование проводились на двухканальном автоматизированном спектральном комплексе КСВУ (на базе монохроматора МДР)-23. Были измерены коэффициенты пропускания растворов глутаминовой кислоты различных концентраций.

.1 Экспериментальное оборудование для исследование спектров

В качестве базового спектрального комплекса был взят КСВУ-23, включающий в себя монохроматор МДР-23, управление комплексом осуществляется специальным программным обеспечением посредством современного микроконтроллера, который сопряжен через USB интерфейс с компьютером [15, с.3], схема представлена на рисунке 4.

Рис. 4. Схема измерения экспериментального оборудования: И - источник света; П - отклоняющая пластина; ОБ - исследуемый образец; ФЭУ1 и ФЭУ2 - фотоэлектронный умножитель .

Двухканальный автоматизированный спектральный комплекс на базе монохроматора МДР-23 предназначен для изучения различных спектральных характеристик излучения. Поэтому он и был выбран в качестве экспериментального оборудования, который может позволить произвести анализ в УФ-области спектра.

.2 Методика исследования

Измерения проводились при постоянных условиях: использовалась кварцевая кювета объёмом 5 мл и длинной 10 мм, в качестве растворителя была использована дистиллированная вода. Объектами исследования были различные концентрации растворов глутаминовой кислоты.

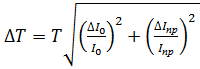
Коэффициенты пропускания (1) исследуемого образца и его погрешности (2) находились по формулам:

 (1),

 (2),

Т - коэффициент пропускания;

I0 - интенсивность излучения, падающего на кювету с исследуемым веществом;

Iпр - интенсивность излучения, прошедшего через кювету с исследуемым веществом.

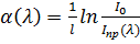
Из полученных результатов для каждой концентрации, выводилась зависимость показателя поглощения α(λ) от длины волны излучения. Показатель поглощения α(λ) можно найти по формуле (3):

 (3),

- показатель поглощения;

- длина кюветы с исследуемым веществом. Решая, далее получим:

.

Формула для показателя поглощения с учетом коэффициентов френелевского отражения на границах раздела воздух-кювета и кювета-раствор:

 (4),

коэффициент отражения на границе «вода- кварц»; коэффициент отражения на границе «кварц- воздух»;

nкв показатель преломления кварца;

nводы- показатель преломления воды.


 (5),

 (6).

C - концентрация раствора;

m - масса вещества;

v - объём раствора.

Все данные в процессе пересчитывались в спектры поглощения с учётом спектральных зависимостей пропускания кюветы и френелевских потерь на отражение от её стенок, по формуле (4).

.3 Спектры пропускания растворов различной концентрации

Для подбора необходимой концентрации для дальнейшего исследования было изучены спектральные характеристики растворов с различными концентрациями.

Ниже на рисунках 5-6, приведены спектры пропускания водных растворов образцов глутаминовой кислоты.

В таблице 1 приведены значения коэффициента пропускания и его погрешности для растворов определённых концентраций, и значения длин волн на которых пропускания раствора минимально.

На рисунке 7 представлены зависимости коэффициента пропускания от изменении концентрации водного раствора глутаминовой кислоты.

Рис. 5. Спектры пропускания растворов глутаминовой кислоты малых концентраций: а) 0,1%; б) 0,15%; в) 0,2%; г) 0,25%; д) 0,3%; е)0,4%.

Рис. 6. Спектры пропускания растворов глутаминовой кислоты больших концентраций: а) 0,5%; б) 0,6%; в) 0,7%; г) 0,8%; д) 0,9 %; е) 1%.

Рис. 7. Зависимость коэффициента пропускания от концентрации раствора глутаминовой кислоты.

Табл. 1 Данные коэффициента пропускания от концентрации раствора с доверительным интервалом

Концентрация, %

Длина волны, нм

Коэффициент пропускания

ΔT

0,02

200

0,145

0,012

0,05

201

0,10

0,05

0,1

202

0,06

0,02

0,15

206

0,04

0,01

0,2

205

0,03

0,01

0,25

205

0,021

0,02

0,3

207

0,02

0,02

0,4

211

0,015

0,01

0,5

211

0,015

0,006

0,6

213

0,01

0,01

0,7

215

0,011

0,008

0,8

217

0,01

0,007

216

0,06

0,007

1

216

0,01

0,006


2.4 Спектры поглощения растворов различной концентрации

Здесь приведены спектры поглощения водных растворов образцов глутаминовой кислоты различных концентраций, найденные из спектров пропускания с учетом потерь на отражение и поглощение стеклом кюветы.

В таблице 2 приведены значения показателя поглощения и его погрешности.

Табл. 2. Данные максимального показателя поглощения от концентрации раствора с доверительными интервалами

Концентрация С, %

Длина волны, нм

Показатель поглощения, 1/см

 Δα, 1/см

ΔС, %

0,02

200

3,19

0,04

0,002

0,05

201

3,6

0,5

0,003

0,1

202

4,13

0,444

0,005

0,15

206

4,61

0,354

0,008

0,2

205

4,82

0,30

0,01

0,25

205

5,3

0,910

0,012

0,3

207

5,52

0,922

0,015

0,4

211

5,711

0,63

0,02

0,5

211

5,711

0,402

0,025

0,6

213

6,1343

1,115

0,03

0,7

215

6,035

0,7

0,8

217

6,22

0,7

0,04

0,9

216

6,512

1,04

0,05

1

216

6,25

0,617

0,05


Рис. 8. Спектры поглощения растворов глутаминовой кислоты малых концентраций: а) 0,1%; б) 0,15%; в) 0,2%; г) 0,25%; д) 0,3%; е) 0,4%.

Рис.9 Спектры поглощения растворов глутаминовой кислоты больших концентраций: а) 0,5%; б) 0,6%; в) 0,7%; г) 0,8%; д) 0,9 %; е) 1%.

Рис. 10. Зависимость максимального показателя поглощения от концентрации раствора глутаминовой кислоты.

На рисунке 10 представлены зависимости максимального показателя поглощения от концентрации водного раствора глутаминовой кислоты. Видно, что при увеличении концентрации раствора от 0,02% до 1% показатель поглощения постепенно увеличивается ~3,2см-1 до ~6,5см-1.

Из спектров приведённых на рисунках 8-9 получена зависимость положения максимума полосы поглощения растворов от их концентрации, представленная на рисунке 11. Из данной зависимости видно, что с ростом концентрации растворов полоса поглощения смещается в область больших длин волн.

Рис. 11. Зависимость положения максимума полосы поглощения растворов от их концентрации.

Заключение

В ходе выполнение учебно-исследовательской работы:

.        Подготовлен обзор литературы, посвящённый основным методам анализа аминокислот.

.        Получены и обработаны спектры пропускания и поглощения водных растворов глутаминовой кислоты.

.        Показано, что с увеличением концентрации глутаминовой кислоты в водных растворов с 0,02% до 1%, показатель поглощения увеличивается от ~3,2см-1 до ~6,5см-1.

.        Показано, что с ростом концентрации растворов полоса поглощения смещается в область больших длин волн.

Список литературы

1. Бородина В.Л., Крылов А.И., Рогозкин В.А. Экспресс-метод количественного определения аминокислот с помощью газожидкостной хроматографии, 1984 г.

. Фримантл М. Химия в действии. В 2-х ч. Ч. 1.Пер. с англ.- М.: Мир, 1998 г.

. Крешков А. П. Основы аналитической химии. Теоретические основы. Качественный анализ. Том 1. Издательство "Химия", 1970г.

. Долгоносов А.М., Рудаков О.Б., Суровцев И.С. Прудковский А.Г. Колоночная аналитическая хроматография как объект математического моделирования. Воронеж , 2013 г.

. Глинка Н. Л. Общая химия. 24-е изд. -Л.: Химия, 1985 г.

. Крешков. А. П. Основы аналитической химии. Физико-химические (инструментальные) методы анализа, Том 3, Изд. «Химия», 1970 г.

. Крешков А. П. Основы аналитической химии. Теоретические основы. Количественный анализ. Том 2. Издательство "Химия", 1971г.

. Брайнина Х.З. Иванова А.В., Шарафутдинова Е.Н., Шкарина Е.И. Потенциометрия как альтернативный метод исследования антиоксидантной активности биологических жидкостей, пищевых продуктов и добавок./ Доклады на второй всероссийской конференции «Аналитические приборы», Санкт-Петербург, 2005 г.

. Ермаков С.С. Инверсионная кулонометрия и её аналитические возможности. / Автореферат диссертации на соискание учёной степени доктора химических наук. Санкт-Петербург, 2010г.

. Егоров В.В., Качанович И.В., Назаров В.А. Журнал аналитической химии. Т. 63, 2008 г.

. Крицман В.А., Станцо В.В. Энциклопедический словарь юного химика, 2-е изд., испр. -М.: Педагогика, 1990 г.

. Гренберг Ю.И. Технология и исследование произведений станковой и настенной живописи. Госниир - м., 2000 г.

. Никитин В. А. Спектрофотометр / Физическая энциклопедия // Гл. ред. Прохоров А. М.. - М.: Большая Российская энциклопедия, Том 4, 1994 г.

14. Чертов А. Г. Единицы физических величин. Учеб. пособие для вузов. М., «Высш. школа», 1977 г.

. Баранов М.С. Магистерская диссертация «Разработка notch-метода монохроматизации лазерного излучения с использованием модернизированного спектрального комплекса на базе мдр-23» Волгоград , 2014 г.

Похожие работы на - Исследование спектральных характеристик растворов кислых аминокислот

 

Не нашли материал для своей работы?
Поможем написать уникальную работу
Без плагиата!
Без нейросетей!