Делигнификация древесины березы пероксидом водорода в среде уксусной кислоты в присутствии катализатора TiO2

  • Вид работы:
    Дипломная (ВКР)
  • Предмет:
    Химия
  • Язык:
    Русский
    ,
    Формат файла:
    MS Word
    339,42 Кб
  • Опубликовано:
    2015-06-13
Вы можете узнать стоимость помощи в написании студенческой работы.
Помощь в написании работы, которую точно примут!

Делигнификация древесины березы пероксидом водорода в среде уксусной кислоты в присутствии катализатора TiO2

Федеральное государственное

Автономное образовательное учреждение  высшего профессионального образования

"СИБИРСКИЙ ФЕДЕРАЛЬНЫЙ УНИВЕРСИТЕТ"

Институт цветных металлов и материаловедения

Кафедра аналитической и органической химии





ДИПЛОМНАЯ РАБОТА

Делигнификация древесины березы пероксидом водорода в среде уксусной кислоты в присутствии катализатора TiO2












Красноярск 2015

Реферат

Выпускная квалификационная работа по теме "Делигнификация древесины березы пероксидом водорода в среде уксусной кислоты в присутствии катализатора TiO2" содержит 57 страниц текстового документа, ссылки на 53 использованных источников, 26 рисунков, 10 таблиц.

ОКИСЛИТЕЛЬНАЯ ДЕЛИГНИФИКАЦИЯ, ОПТИМИЗАЦИЯ ПРОЦЕССА, ЦЕЛЛЮЛОЗА, ДИОКСИД ТИТАНА.

Объект исследования - древесина березы.

Цель работы: изучение возможности получения качественной целлюлозы делигнификацией древесины березы пероксидом водорода в среде уксусной кислоты в присутствии катализатора TiO2 и определение оптимального режима процесса делигнификации.

Исследовано влияние основных параметров (концентрации реагентов, температуры, гидромодуля) процесса делигнификации древесины березы экологически безопасным реагентом - Н2О2 в присутствии катализатора диоксида титана на выход и состав целлюлозного продукта.

Определены основные кинетические параметры процесса делигнификации древесины березы в среде "уксусная кислота - пероксид водорода - вода -TiO2". Установлены состав и строение целлюлозного продукта окислительного каталитического делигнификации древесины березы.

Содержание

Введение

1. Литературная часть

1.1 Древесина. Основные химические компоненты

1.2 Традиционные способы получения целлюлозы

.2.1 Сульфатный метод

1.2.2 Сульфитный метод

.3 Альтернативные способы получения целлюлозы

2. Экспериментальная часть

2.1 Реактивы и оборудование

.2 Методика эксперимента

.3 Расчет выхода целлюлозного продукта

2.4 Методика определения лигнина с 72%-ной серной кислотой в модификации Комарова

2.5 Методика определения легкогидролизуемых полисахаридов

2.6 Определение массовой доли РВ в гидролизатах по методу Макэна и Шоорля

2.7 ИК-спектроскопия

2.8 Рентгеноструктурный анализ

2.9 Определение средней степени полимеризации целлюлозы в ЖВНК

Результаты и обсуждение

Оптимизация процесса делигнификации

Кинетическое исследование окислительного каталитического фракционирования древесины березы в мягких условиях

Состав и строение целлюлозного продукта окислительного каталитического фракционирования древесины березы

Выводы

Список литературы

Введение

древесина целлюлоза лигнин полимеризация

Большие масштабы производства целлюлозы во всем мире приводят ежегодно к попаданию в окружающую среду миллионов тонн серы в виде сероводорода, органических сульфидов, сернистого ангидрида и других вредных соединений. В связи с этим актуальна задача совершенствования методов получения целлюлозы. Необходимым условием дальнейшего развития отрасли является снижение отрицательного воздействия предприятий на окружающую среду.

Одним из путей решения экологических проблем является создание принципиально новых способов получения целлюлозы, которые связаны с разработкой новых процессов делигнификации древесины, обеспечивающих повышение выхода и улучшения качества целлюлозы, а также экологическую безопасность ее производства [1-3].

В качестве альтернативных методов все чаще применяются каталитические методы делигнификации древесины. С целью уменьшения загрязнения окружающей средыиспользуются экологически чистые реагенты, такие как молекулярный кислород, пероксид водорода, озон. Такой процесс обычно проводится в среде органических растворителей [4].

В ИХХТ СО РАН разработан метод окислительной делигнификации древесины в среде "уксусная кислота - пероксид водорода". Ранее было установлено, что при делигнификации древесины осины [5, 6], пихты [7, 8] и лиственницы [9, 10] пероксидом водорода в среде уксусной кислоты в присутствии сернокислотного катализатора возможно получение качественных целлюлозных продуктов. Данный способ выгодно отличается от аналогичных невысоким содержанием пероксида водорода в делигнифицирующем растворе, незначительной продолжительностью, а также возможностью получения качественного целлюлозного продукта в одну стадию процесса [11-14]. Однако недостатком данного метода является проведение процесса при повышенных температурах (120 - 140°С) и давлении,а также использование коррозийно-активной серной кислоты.

Целью данной работы являлось изучение возможности получения качественной целлюлозы делигнификацией древесины березы пероксидом водорода в среде уксусной кислоты в присутствии катализатора TiO2 и определение оптимального режима процесса делигнификации.

Задачи:

·        Изучить влияние состава реакционной смеси и гидромодуля процесса на выход и состав целлюлозного продукта. Провести математическую обработку полученных данных с использованием методов Statgraphics Centurion XVI, определить оптимальные условия процесса делигнификации;

·        Исследовать кинетику процесса делигнификации древесины березы пероксидом водорода в среде уксусной кислоты в присутствии катализатора TiO2;

·        Провести химический и структурный анализ целлюлозы древесины березы, полученной в оптимальных условиях.

1. Литературная часть

1.1 Древесина. Основные химические компоненты

Древесина является уникальным сырьем, постоянно возобновляемым в процессе фотосинтеза, и комплексное использование всей ее биомассы представляет собой важнейшую задачу с позиций экономики и экологической обстановки в мире [15].

Для химической переработки древесина интересна комплексом природных органических полимеров - целлюлозы, нецеллюлозных полисахаридов, лигнина, а также разнообразных низкомолекулярных соединений - экстрактивных веществ. Химические компоненты древесины представлены на рисунке 1.

Рисунок 1 - Химические компоненты древесины

Древесина состоит из комплекса органических веществ, в состав которых входит углерод (49,5%), кислород (44,1%), водород (6,3%) и азот (0,1%), которые образуют сложные органические вещества. Органические вещества обычно называют экстрактивными. Основные из них - целлюлоза, лигнин, гемицеллюлозы - пентозаны и гексозаны, составляющие 90-95% массы абсолютно сухой древесины и образующие клеточную оболочку [16].

Структурные компоненты подразделяют на углеводную и ароматическую части. Углеводная часть, представляющая комплекс полисахаридов, называется холоцеллюлозой. Ее можно выделить из древесины обработкой окислителями, при этом вещества ароматического характера переходят в растворимые продукты, а в остатке получается волокнистый материал - холоцеллюлоза [17].

В хвойной древесине массовая доля холоцеллюлозы составляет около 70%, влиственной - около 80%.В состав холоцеллюлозы входят основной компонент древесины - целлюлоза (рисунок 2) и нецеллюлозные полисахариды - гемицеллюлозы [18].

Рисунок 2 - Строение целлюлозы

Углеводную (гидролизуемую) часть в свою очередь можно подразделить на:

§ Трудногидролизуемые вещества.

Представитель - целлюлоза, она гидролизуется лишь при действии концентрированных кислот (например, 72%-ной H2SO4). При ее гидролизе получается D-глюкоза.

§ Легкогидролизуемые вещества.

Представитель - гемицеллюлоза. Она гидролизуется при действии разбавленных кислот (например, 2 - 5%-ной HCl или H2SO4). Продуктами гидролиза являются различные моносахариды - пентозы (D-ксилоза и L-арабиноза), гексозы (D-манноза и D-галактоза) и некоторые гексуроновые кислоты (D-глюкуроновая и D-галактуроновая) [16].

В среднем можно принять, что в древесине хвойных пород содержится 48-56% целлюлозы, 26-30% лигнина, 23-26% гемицеллюлоз (10-12% пентозанов и около 13% гексозанов); в то же время древесина лиственных пород содержит 46-48% целлюлозы, 19-28% лигнина, 26-35% гемицеллюлоз (23-29% пентозанов и 3-6% гексозанов). Из этих данных видно, что древесина хвойных пород содержит повышенное количество целлюлозы и гексозанов, а для древесины лиственных пород характерно высокое содержание пентозанов [18].

Целлюлоза - это полисахарид, макромолекула которого построена из повторяющихся звеньев - остатков β-D-глюкопиранозы с общей формулой (С6Н10О5)n.

Макромолекулы гемицеллюлоз построены из остатков различных моносахаридов, пентоз и гексоз, а также уроновых кислот.Большей частью все нецеллюлозные полисахариды - смешанные полисахариды. В анализе древесины их условно подразделяют на пентозаны (C5H8O4)n и гексозаны (C6H10O5)n [12, 16].

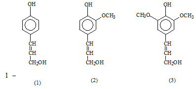
Ароматическая часть древесины - лигнин. Он представляет собой смесь ароматических полимеров родственного строения фенольной природы, построенных из мономерных звеньев, называемых фенилпропановыми структурными единицами (рисунок 3). Эта часть древесины является негидролизуемой. Она получается в остатке после обработки древесины концентрированной кислотой. Массовая доля лигнина в древесине составляет 20...30% [19].

1 - п-гидроксифенилпропановая; 2 - гваяцилпропановая; 3 - сирингилпропановая

Рисунок 3 - Структурные единицы лигнинов

Экстрактивные вещества - вещества, которые можно извлекать (экстрагировать)из древесины нейтральными полярными и неполярными растворителями (вода или органические растворители), они составляют примерно около 3-4 % [18, 19].

.2 Традиционные способы получения целлюлозы

.2.1 Сульфатный метод

Сульфатный процесс (крафт-процесс) - один из ведущих промышленных методов щелочной делигнификации древесины с целью получения целлюлозы. Основная стадия этого термохимического процесса, сульфатная варка, заключается в обработке древесной щепы водным раствором, содержащим гидроксид и сульфид натрия. Целлюлозу, производимую сульфатным методом, называют сульфатной целлюлозой.

Это наиболее эффективный и экономичный способ получения технических целлюлоз с высокими механическими показателями, позволяющий перерабатывать древесину практически всех пород, включая и высокосмолистые [20].

В процессе сульфатной варки, помимо собственно целлюлозы, образуется множество отходов и побочных продуктов, из которых получают кормовые дрожжи, сульфатный лигнин, сульфатное мыло, фитостерин, талловое масло, канифоль, сернистые соединения, метанол, скипидар.

По сравнению с сульфитной целлюлозой, натронная и сульфатная целлюлозы содержат меньше экстрактивных веществ (смол, жиров) и золы и обладают худшей ионообменной и адсорбционной способностью по отношению к ионам металлов.

Наряду с более низким содержанием легкогидролизуемых гемицеллюлоз натронная и сульфатная целлюлозы отличаются высоким содержанием устойчивых пентозанов. По своему фракционному составу сульфатная целлюлоза оказывается более равномерной [21].

Сульфатным способом, как и натронным, можно перерабатывать любые древесные породы и растения. Согласно [22], по всем показателям механической прочности сульфатная целлюлоза превосходит сульфитную той же степени провара, полученную из той же древесины.Жесткая сульфатная целлюлоза из хвойной древесины за свою чрезвычайно высокую механическую прочность получила название крафт-целлюлозы.

Целлюлоза, полученная сульфатным способом варки [23], содержит больше пентозанов, значительно меньше смол и жиров, несколько больше альфа - целлюлозы и имеет несколько меньшую среднюю степень полимеризации и вязкость растворов.

Сульфатная целлюлоза труднее отбеливается и труднее размалывается, но легче проклеивается, чем сульфитная, и характеризуется более высокой термостойкостью и долговечностью.

Однако выход сульфатной целлюлозы из древесины при варке до одинаковой степени провара оказывается на 3-4% ниже, чем сульфитной, и это обстоятельство является существенным недостатком способа [21, 22].

Главными преимуществами сульфатной варки являются:

. Пониженные требования к качеству древесного сырья, позволяющие использовать все виды древесины хвойных и лиственных пород, в том числе в смесях, а также допускается присутствие экстрактивных веществ, гнилой древесины, остатков коры;

. Небольшая продолжительность варки;

3.Достаточно хорошо разработанные процессы переработки отработанных щелоков, включая регенерацию варочных химикатов, выработку тепла, производство ценных побочных продуктов, таких, как таловое масло и скипидар при варке древесины сосны;

4. Отличные прочностные свойства целлюлозы.

Основные недостатки сульфатной варки:

1. Образование дурно пахнущих газовых выбросов;

2. Пониженный выход целлюлозы (45-50%) по сравнению с сульфитной варкой;

3. Темный цвет небеленой целлюлозы.

.2.2 Сульфитный метод

Сульфитный процесс является вторым по распространённости после сульфатного процесса методом производства целлюлозы в мире. Целлюлозу, производимую методом сульфитной варки, называют сульфитной целлюлозой.

При производстве сульфитной целлюлозы используются малосмолистые хвойные породы древесины - ель и пихта. Сульфитный способ получения целлюлозы относится к кислотному методу делигнификации древесины, сущность которого сводится к обработке растительного сырья варочным раствором, содержащим диоксид серы и соли сернистой кислоты (сульфиты и гидросульфиты натрия, калия, аммония, кальция или магния) при повышенной температуре и давлении.

Производство сульфитной целлюлозы состоит из следующих основных процессов:

1) подготовка древесины;

2)      приготовление сульфитной варочной кислоты;

)        варка и промывка целлюлозы;

)        сортирование и очистка целлюлозы;

)        отбелка целлюлозы;

)        сушка целлюлозы.

При сульфитной варке растительное сырье обрабатывается горячей разбавленной сернистой кислотой в присутствии сернистокислых солей кальция, натрия, магния, аммония или их смесей. В этих условиях лигнин образует водорастворимые соли лигносульфоновых кислот, количество которых зависит от жесткости сваренной целлюлозы и составляет в среднем 50-60% от количества органических веществ, а гемицеллюлозы гидролизуются, превращаясь вводорастворимую смесь моносахаридов, уроновых кислот и уксусной кислоты. Чем меньше жесткость, т.е. чем более облагорожена целлюлоза, тем больше из нее извлекается лигнина, гемицеллюлоз и смолы [20].

Все эти компоненты переходят в сульфитный щелок, в котором присутствуют смолы, муравьиная, уксусная и глюконовая кислоты, метиловый спирт, фурфурол, ацетон, соединения серы. Параллельно с этим увеличивается количество гидролитически расщепленной гемицеллюлозы сахаров [24].

Современные методы отбелки сульфитной целлюлозы базируются на различных сочетаниях шести основных видов обработки целлюлозы, так называемого облагораживания - щелочной обработки, отбелки гипохлоритом, двуокисью хлора, перекисью водорода и так называемой кисловки - обработки сернистой кислотой. Для целей отбелки может использоваться жидкий хлор, двуокись хлора, хлорат натрия, гипохлорит кальция и натрия, хлорная известь, каустическая сода, соляная и серная кислоты, перекись водорода и перекись натрия [25].

Процесс горячего или холодного облагораживания сводится, наряду с дальнейшим извлечением лигнина и гемицеллюлоз, к растворению низкомолекулярных фракций целлюлозы, при этом содержание альфа-целлюлозы - основного компонента товарного продукта - может быть доведено до 98-98,5% [20].

Сульфитный способ получения целлюлозы также имеет ряд недостатков. При его использовании затруднена делигнификация древесины смолистых пород (сосны, кедра, лиственницы) вследствие конденсации лигнина с продуктами распада углеводов (фурфуролом, оксиметилфурфуролом) и за счет сшивания его цепей.

Применение отходов лесопиления и деревообработки для получения сульфитной целлюлозы затруднено наличием примесей различных древесных пород. Для производства сульфитной целлюлозы также непригодны солома и некоторые другие растительные материалы.

Кроме того, в сульфитном процессе значительная часть сернистой кислоты разлагается или связывается с продуктами деструкции лигнина и углеводов.

1.3 Альтернативные способы получения целлюлозы

Анализ литературных данных [26-29] позволяет утверждать, что в настоящее время активно ведутся исследования по разработке альтернативных способов получения целлюлозы, основанные на комплексном использовании компонентов древесины и разработке замкнутых циклов производства. Перспективными в этом отношении являются органосольвентные методы получения целлюлозы. Средой, для проведения таких процессов служат различные протонные (одно- и многоосновные спирты, уксусная и муравьиная кислоты, глицерин, этиленгликоль), апротонные (диметилсульфоксид, диметилформамид, диоксан, а также ацетон) и ароматические (фенол, крезол) органические растворители [23, 30]. Эти способы делигнификации являются экологически малоопасными и позволяют получать целлюлозу с высоким выходом и свойствами, не уступающими целлюлозе, полученной традиционными способами.

Перспективные направления в развитии технологии органосольвентной варки древесины связаны с использованием окислителей, повышающих содержание целлюлозы в получаемом продукте. К таким окислителям, способным делигнифицировать древесную массу, относят пероксид водорода, кислород и озон. Процесс осуществляется обычно в растворах органических кислот или спиртов [4, 27].

На рисунке 4 представлена взаимосвязь окислительных и органосольвентных методов делигнификации.

Рисунок 4 - Классификация и взаимосвязь окислительных и органосольвентных методов варок

К преимуществам органосольвентных методов относят:

1) исключение из цикла производства токсичных серосодержащих соединений при варке целлюлозы;

2) возможность перехода на способы отбелки с почти полным или полным отказом от хлорсодержащих соединений;

3)      проведение процесса делигнификации в мягких условиях с получением качественной целлюлозы;

)        упрощение регенерации варочных растворов, не содержащих значительного количества минеральных веществ;

5) возможность создания замкнутых процессов без загрязнения окружающей среды вредными выбросами;

) возможность относительно низких капиталовложений и обеспечение рентабельности предприятий малой и средней мощности.

При получении целлюлозы окислительно-органосольвентными методамив качестве сырья можно использовать хвойные и лиственные породы, а также недревесное растительное сырье [31, 32].

Окислительно-органосольвентные способы делигнификации обладают всеми преимуществами органосольвентных и окислительных способов [27, 33], позволяя проводитьпроцесс при атмосферном давлении и температуре ниже 100°С, а также получать целлюлозу, не требующую дополнительной отбелки. Помимо этого наблюдается достаточно высокий выход целлюлозного продукта, с низким содержанием в нем остаточного лигнина.

Одним из перспективных способов получения целлюлозы является катализируемое окисление лигнина пероксидом водорода в среде органических кислот.

Широкое использование в качестве среды для проведения процессов делигнификации таких кислот как уксусная и муравьиная обусловлено их хорошей способностью растворять лигнин. Было установлено, что подходящие для лигнина растворители имеют значение параметра растворимости Гильдебранда (δ) около 12. Муравьиная и уксусная кислоты имеют значения δ равные 12,1 и 10,1, соответственно [34, 35].

Кроме того, использование уксусной и муравьиной кислот, обеспечивает высокий выход технической целлюлозы за счет мягких условий делигнификации и позволяют исключить применение хлорсодержащих соединений в процессе отбелки целлюлозы [23, 36, 37].

Основные результаты лабораторных исследований делигнификации древесины органическими кислотами в присутствии окислителей отражены в работах Зильберглейта М. А. и Резникова В. М., Кузнецова Б. Н., Кузнецовой С. В., Пена Р. З.

Согласно проведенным исследованиям, образующаяся в ходе процесса перуксусная кислота окисляет лигнин, переводит его в раствор и при этом практически не затрагивает полисахариды древесины, вследствие чего осуществляется селективная делигнификация [14, 27, 38, 39].

В работе [40] было изучено влияние температуры процесса, его продолжительности, концентрации пероксида водорода и уксусной кислоты в реакционном растворе, а также гидромодуля на выход и состав целлюлозного продукта древесины пихты. Из полученных результатов следует, что лучшие каталитические свойства при окислительной делигнификации древесины пихты в среде "уксусная кислота - пероксид водорода - вода" проявляют катализаторы Na2MoO4, H2SO4 и TiO2.

Полученные экспериментальные [40] данные свидетельствуют о том, что выход и состав волокнистого продукта зависят от размера используемых частиц древесины пихты. Также был проведен подбор условий делигнификации, обеспечивающих получение волокнистого продукта с выходом 40,9-41,3% от массы а.с.д., содержащего 2,5-3,9% масс. остаточного лигнина. Указанные показатели достигаются при использовании древесной фракции 5×2×0,5 мм, температуры 130 °С, гидромодуля 10-15, продолжительности 3 ч, начального состава реакционной среды (% масс.): уксусная кислота- 23,6; пероксид водорода - 6,4; серная кислота - 2,0.

Авторами [41] разработана технология получения целлюлозы из недревесного растительного сырья в растворе перуксусной кислоты. Полученный обескремненый волокнистый продукт направляли на органосольвентную делигнификацию, которую проводили при условиях: гидромодуль 10 : 1, температура варки - 90 °С, продолжительность варки - 90 мин. По разработанной технологии возможно получение двух продуктов - аморфного диоксида кремния и технической целлюлозы высокого качества.

Предложен новый подход делигнификации в среде пермуравьиной кислоты [42]. Показано, что внесение 100 мг/л Fe2(SO4)3 в 4,0М NaOH в реакционную смесь, состоящую из 5 или 7 % Н2О2 и муравьиной кислоты, приводит к автотермическому процессу деструкции. Выход кристаллической целлюлозы составил 95 - 99 %, а содержание остаточного лигнина в ней, менее 6 %.

В работе [43] солому пшеницы делигнифицировали смесью уксусной и муравьиной кислот (соотношение 65/35, концентрация 85 %) при 105 °С в течение 3 часов, отфильтрованный твердый остаток обрабатывали пероксидом водорода (10 % от массы сухого твердого остатка) при 85 °С в течение 90 мин. Выход целлюлозного продукта составил 48 %, с содержанием в нем 93 % целлюлозы, при этом 96 % лигнина перешло в раствор.

Существуют полупромышленные способы делигнификации древесины на основе карбоновых кислот. Это процессы Acetosolv, Formacell и Milox. Они рассматриваются как наиболее перспективные варочные процессы, в связи с их высокой селективностью и низкими инвестиционными затратами [43].

В настоящее время наиболее проработанным вариантом делигнификации древесины с использованием карбоновых кислот является способ MILOX. Процесс "Milox", основанна использовании СН3СООН и Н2О2 для делигнификации и отбелки целлюлозы [44-48]. На предприятии компании Кemira в г. Оулу (Финляндия) смонтирована опытная установка с регенерацией СН3СООН. В дальнейших разработках по технологии "Milox" [47] с тремя ступенями процесса использовали раствор НСООН и Н2О2 . Щепу варили 4-5 часов в котле с муравьиной кислотой и пероксидом водорода при температурах 60-80 °С и 90-100 °С, гидромодуле 4. Содержание НСООН в реакционном щелоке составляло более 80%. После выдувки и прессования массу обрабатывали 2 ч растворами НСООН и Н2О2 при температуре 60 °С. Небеленую целлюлозу промывали в кислой среде, отжимали в прессе и удаляли НСООН. Отбеливали целлюлозу 2 ч растворами Н2О2,, NаОН и MgSO4 при температуре 80-90 °C. В результате достигалась белизна 90%. Отработанный щелок упаривали до сухости 30%, лигнин осаждали из раствора водой, муравьиную кислоту концентрировали дистилляцией и возвращали в производство.

Изучены 3- и 2-х стадийные процессы делигнификации березовой и сосновой древесины в надуксусной кислоте [46, 48]. Выход целлюлозы из березовой и сосновой древесины составил 43-46 % масс., число Каппа 2-11. Полученная целлюлоза легко отбеливалась без применения хлорсодержащих реагентов до степени белизны 90%.

При сопоставлении механических свойств MILOX-целлюлозы с сульфатной установлено, что небеленая MILOX-целлюлоза из древесины березы, полученная в две ступени, несколько превосходит сульфатную целлюлозу по показателю "индекс сопротивления раздиранию". Однако после щелочной пероксидной отбелки прочность MILOX-целлюлозы снижается [49].целлюлозыиз хвойных пород древесины заметно уступают по механическим свойствам аналогичным образцам сульфатных целлюлоз. MILOX-целлюлоза из недревесного растительного сырья используется, как правило, в композиции с хвойной и лиственной целлюлозами, которые успешно могут заменить от 30 до 50% (а в ряде случаев до 70%) лиственной (березовой) целлюлозы [49, 50].

Использование MILOX-целлюлозы из однолетних растений совместно с древесной целлюлозой позволяет сочетать высокую прочность и хорошую обезвоживаемость с высокими бумагообразующими и оптическими свойствами недревесных целлюлоз.

Отработанный варочный раствор содержит органические вещества, в основном низкомолекулярные фрагменты лигнина, смолы, жиры, воски, уксусную кислоту и воду. Основные активные агенты - пероксиуксусная кислота и пероксид водорода расходуются в процессе варки и не подлежат регенерации. Отработанный раствор освобождается от растворенных органических веществ и направляется на регенерацию уксусной кислоты.

Таким образом, анализ литературных данных показал, что наиболее перспективным и экологически безопасным процессом делигнификации древесины является процесс с использованием карбоновых кислот и пероксида водорода.

Однако в предложенных способах существуют недостатки: используются повышенные концентрации реагентов, что экономически нецелесообразно, применяются высокая температура и давление, процесс проводится в две и более стадии.

2. Экспериментальная часть

2.1 Реактивы и оборудование

. Диоксид титана, х.ч.;

. Серная кислота (25- и 72-х %), х.ч.;

. Соляная кислота, х.ч.;

. Перекись водорода (33%), х.ч.;

. Уксусная кислота, х.ч.;

. Сульфат меди пятиводный, х.ч;

. Сегнетовая соль, х.ч.;

. Гидроксид натрия (0,01н), х.ч.;

. Тартрат натрия, х.ч.;

. Хлорид натрия (III), х. ч.;

. Иодид калия, х. ч.;

. Тиосульфат натрия (0,1 моль/дм3), х. ч.;

. Раствор ЖВНК;

. Опилки древесины березы (фракция ≤ 5 мм);

. Дистиллированная вода;

. Химическая посуда;

. Сушильный шкаф "СНОЛ - 3,5";

. Аналитические весы "BNP - 200";

. Весы технические ВТ - 500;

. Бумажный фильтр;

. Вакуумный фильтр;

. Лакмусовая индикаторная бумага;

. "Йод-крахмальная" индикаторная бумага;

. Воронка Бюхнера;

. Вискозиметр типа ВПЖ-3;

. Муфельная печь "SNOL 30/1100";

. Электрическая плитка;

. Водяная баня LW - 2;

. ИК-Фурье спектрометр Tensor 27 (Фирма Bruker, Германия);

. Дифрактометр ДРОН-3.

.2 Методика эксперимента

Делигнификацию измельченной древесины березы осуществляли в стеклянном реакторе, объемом 250 мл, снабженном механической мешалкой и обратным холодильником. Раствор для делигнификации готовили из смеси ледяной уксусной кислоты, содержание которой составляло от 15 до 35% масс., пероксида водорода, содержание в смеси которого варьировалось от 3 до 6 % масс., и дистиллированной воды. В качестве катализатора использовали промышленный TiO2 в количестве 1% масс. от массы древесины. Навеску древесины массой 8 г помещали в реактор и заливали ранее приготовленной реакционной смесью с добавлением катализатора в количестве 0,08 г. Делигнификацию проводили в течение 1 - 4 часов при постоянном перемешивании и температуре 100 °С. Значение параметра гидромодуля составляло 5, 10 и 15. После делигнификации твердый остаток отделяли от щелока фильтрованием на воронке Бюхнера, промывали до нейтральной реакции промывных вод, высушивали до воздушно-сухого состояния и анализировали.

2.3 Расчет выхода целлюлозного продукта

По окончании делигнификации твердый остаток высушивали до постоянной массы. Выход целлюлозного продукта рассчитывали по формуле:

Выход =  * 100%,(1)

где m-масса абс. сухого целлюлозного продукта, г;

 - масса навески древесины, г.

.4 Методика определения лигнина с 72%-ной серной кислотой в модификации Комарова

Навеску воздушно-сухих опилок массой 1 г помещали в стакан вместимостью 50 мл. К навеске добавляли 15 мл 72%-ной H2SO4 (плотностью 1,64 г/см3) и выдерживали при температуре 24-25°С в течение 2,5 ч при периодическом осторожном помешивании во избежание образования комков. Затем смесь лигнина с кислотой переносили в коническую колбу вместимостью 500 мл, смывая лигнин 200 мл дистиллированной воды. При этом пользовались стеклянной палочкой с резиновым наконечником.

Разбавленную смесь кипятили с обратным холодильником на электрической плитке (слабое кипение) в течение 1 ч. Затем лигнин отфильтровывали на бумажном фильтре. Начинали фильтрование без отсоса. Сначала на фильтр сливали отстоявшуюся жидкость, а затем начинали переносить осадок. При замедлении фильтрования подключали водоструйный насос. Необходимо оставлять слой воды перед добавлением каждой новой порции фильтруемой жидкости. После промывки от кислоты (по универсальной индикаторной бумаге) отсасывали жидкость полностью.

Для установления конца промывки каплю жидкости, стекающей с фильтра, наносили на индикаторную лакмусовую бумагу. Если значение рН оставалось равным 7, промывку считали законченной. Фильтр с лигнином сушили в сушильном шкафу при температуре (100±2)°С до постоянной массы и взвешивали. Массовую долю лигнина, % к абсолютно сухой исходной древесине, рассчитывают по формуле:

L=,(2)

где m1 - масса фильтра с лигнином, г;

m - масса пустого фильтра, г;

g - масса абсолютно сухой навески древесины, г.

.5 Методика определения легкогидролизуемых полисахаридов

Навеску воздушно-сухих опилок массой 2,5 г помещали в коническую колбу вместимостью 250 мл, добавляли 100 мл 2%-ной HCI и кипятили (слабое кипение) с обратным холодильником на электрической плитке в течение 3 ч. Для регулирования кипения под колбу подкладывали асбестовую сетку. По окончании гидролиза отфильтровывали опилки на воронке Бюхнера с бумажным фильтром с отсосом. Остаток на фильтре промывали 150 мл горячей воды и использовали для определения трудногидролизуемых полисахаридов. Фильтрат и промывные воды переносили в мерную колбу вместимостью 250 мл, доводили раствор после охлаждения дистиллированной водой до метки и тщательно перемешивали. Массовую долю легкогидролизуемых полисахаридов, % к абсолютно сухой древесине, рассчитывают по формуле:

,(3)

где сл - массовая доля редуцирующих веществ (РВ) в гидролизате легкогидролизуемых полисахаридов, %;

V-объем гидролизата, мл;

kл - коэффициент пересчета моносахаридов в полисахариды;

g - масса абсолютно сухой навески древесины, г.

2.6 Определение массовой доли РВ в гидролизатах по методу Макэна и Шоорля

Для получения реактива Фелинга готовили два раствора: А - 6,93 г CuSO4×5H2O в 100мл водного раствора; Б - 34,6 г сегнетовой соли и 10 г NaOH в 100 мл водного раствора.

Методика анализа. В коническую колбу вместимостью 250 см3 вливали пипеткой 10 мл раствора А, затем 10 мл раствора Б и 20 мл гидролизата легкогидролизуемых полисахаридов. Смесь разбавляли дистиллированной водой до общего объема 50 мл и хорошо перемешивали.

Ставили колбу на горячую включенную электроплитку, нагревали смесь до кипения в течение 3 мин и кипятили точно 2 мин (умеренное кипение), используя секундомер, считая с момента появления первого пузырька на поверхности раствора. Для уменьшения испарения в горло колбы вставляли маленькую конусообразную стеклянную воронку.

По окончании кипячения колбу быстро охлаждали холодной  водой до 25°С, добавляли раствор KI (3 г KI в 10 мл воды) и 10 мл 25%-ной H2SO4 и сразу же при непрерывном перемешивании титровали выделившийся йод раствором тиосульфата натрия (Na2S2O3) концентрацией 0,1 моль/дм3 до перехода коричневой окраски в светло-желтую. Окончание титрование определяли при помощи "йод-крахмальной" индикаторной бумаги.

В аналогичных условиях, но без добавления раствора сахара, проводили контрольный опыт. По разности расходов раствора Na2S2O3 в контрольном и рабочем опытах находили количество сахара в пробе гидролизата, взятой на анализ.

Затем рассчитывали массовую долю РВ в гидролизате по формуле:

c=,(4)

где  - количество сахара в пробе гидролизата, мг,

 - объем гидролизата легкогидролизуемых полисахаридов, мл.

.7 ИК-спектроскопия

Регистрацию спектров в области 4000-400 см-1 осуществляли на ИК-Фурье спектрометре Tensor 27 (фирма Bruker, Германия). Обработка спектральной информации проведена с использованием пакета программы OPUS, версия 5.0. Образцы целлюлозы березы для съемки ИК-спектров поглощения готовили в виде прессованных таблеток, содержащих 2 мг образца в матрице бромистого калия.

2.8 Рентгеноструктурный анализ

Рентгенограммы образцов целлюлозы получены с использованием дифрактометра ДРОН-3 с излучением Cu-Kα (λ=0,154 нм). Съемку дифрактограмм осуществляли в интервале углов 2θ от 10 до 60° с шагом 0,02° и временем накопления импульсов в точке 4 с.

Индекс кристалличности (ИК) рассчитывали из отношения высоты между интенсивностью кристаллической пика (I 002- IAM) и суммарной интенсивности (I 002) после вычитания фонового сигнала:

ИК = (I 002- IAM) / (I 002),(5)

где I 002- это высота 002 пика (I 002);

IAM - это высота минимума между 002 и101 пиков.

Средняя размер кристаллитов в плоскости (002) была определена по уравнению Шерера:

L002, nm = [(b002cosq002/ l)2 - (dL / dL)2]-1/2 ,(6)

где b002межплоскостное расстояние, рад ;

q002 - это угол отражения, рад ;

l - длина волны рентгеновского источника;

dL - параметр, связанный с искажением решетки, перпендикулярной к плоскости (002);

dL - параметр, связанный с расстоянием между (002) плоскостей кристаллической решетки .

.9 Определение средней степени полимеризации целлюлозы в ЖВНК

Для определения характеристической вязкости целлюлозы применяли раствор ЖВНК, содержащий в 1 л 217,09 г тартрата натрия, 81,09 г хлорида железа (III) и 96,0 г гидроксида натрия. Определение вязкости осуществляли на капиллярном вискозиметре типа ВПЖ-3 с постоянной 0,03 мм22.

Навеску воздушно-сухой целлюлозы равной 0,01 г и 5 стеклянных шариков помещали в стеклянную банку. Из бюретки заливали в банку 20 мл раствора ЖВНК при температуре (20,0±0,2)°С. Перемешивание в аппарате проводили при комнатной температуре до полного растворения целлюлозыв течение 40 мин, затем банку выдерживали в холодильнике при температуре 2-4°С в течение 8 ч, а затем в морозильной камере при температуре -8-12°С в течение 4-5 ч, периодически встряхивая вручную.

Полноту растворения во всех случаях устанавливали визуально путем просмотра банки в проходящем свете. После растворения раствор целлюлозы помещали в термостат с температурой (20±0,2)°С. Термостатирование проводили втечение 20 мин. Определение вязкости осуществляли на капиллярном вискозиметре типа ВПЖ-3 с постоянной 0,03 мм22.

В сосуд объемом 1 л погружали вискозиметр так, чтобы верхняя метка вискозиметра была погружена в воду. Заполняли трубку вискозиметра до верхней метки раствором ЖВНК и измеряли по секундомеру время истечения раствора между верхней и нижней метками капилляра вискозиметра t. Таким же образом измеряли время истечения растворителя t0. Испытания проводили в трех параллелях.

Затем рассчитывали удельную (7) и характеристическую (8) вязкости:

ηуд= t/t0,(7)

[η] = ηуд/ с(1+kʺʹ ηуд),(8)

где с - концентрация раствора целлюлозы, г/дм3;

kʺʹ - константа визкозиметра (kʺʹ=0,33).

Среднюю степень полимеризации рассчитывали по формуле:

[η]=0,51̅Р̅.(9)

Результаты и обсуждение

Для проведения процесса делигнификации в качестве исходного сырья использовали воздушно-сухие опилки древесины березы (Betula pendula Roth.) средней стволовой части (фракция ≤ 5 мм). Химический состав исходного сырья был определен согласно общепринятым методикам [17]. Данные по химическому составу древесины березы представлены в таблице 1.

Таблица 1 - Химический состав исходного древесного сырья (% масс.от а.с.д.)

Вид древесины

Состав, % от массы а.с.д. *


Целлюлоза

Лигнин

Гемицеллюлозы

Экстрактивные вещества

Зольность, Аd

Береза повислая (Betula pendula Roth.)

46,8

21,7

27,3

3,5

0,34

* а.с.д. - абсолютно сухая древесина


Делигнификацию древесины березы проводили в среде "уксусная кислота - пероксид водорода - вода" в присутствии катализатора TiO2. Было изучено влияние начальной концентрации уксусной кислоты, пероксида водорода, а также гидромодуля процесса на выход и состав целлюлозного продукта древесины березы.

Как видно из данных, представленных на рисунке 5, значительное влияние на содержание лигнина в целлюлозном продукте оказывает начальная концентрация пероксида водорода в растворе. При невысокой начальной концентрации пероксида водорода (3% масс.) образуется целлюлозный продукт с повышенным содержанием остаточного лигнина (7,8 % масс.).

Увеличение концентрации Н2О2 до 6 % масс. приводит к резкому снижению содержания остаточного лигнина в целлюлозном продукте - до 0,7 % масс. При этом выход целлюлозного продукта снижается на 10 % с 67,5 % до 56,5 % масс.

Рисунок 6 иллюстрирует влияние начальной концентрации уксусной кислоты в реакционной смеси на содержание лигнина в целлюлозном продукте. Из полученных данных следует, что при содержании уксусной кислоты 15 % масс.наблюдается недостаточная степень делигнификации, полученный целлюлозный продукт содержит 7,2 % масс. остаточного лигнина.

1 - выход целлюлозного продукта; 2 - содержание целлюлозы;

- содержание гемицеллюлозы; 4 - содержание лигнина

Рисунок 5 - Влияние концентрации пероксида водорода на выход и состав целлюлозного продукта. СН3СООН - 25 % масс., ГМ 10, t - 4 часа

Увеличение начальной концентрации уксусной кислоты до 25 % масс. приводит к снижению содержания лигнина в целлюлозном продукте до 1,5 % масс. Дальнейшее увеличение содержания уксусной кислоты в растворе до 35 % масс. уменьшает массовую долю остаточного лигнина в продукте до 0,5 % масс.

1 - выход целлюлозного продукта; 2 - содержание целлюлозы;

- содержание гемицеллюлозы; 4 - содержание лигнина

Рисунок 6 - Влияние концентрации уксусной кислоты на выход и состав целлюлозного продукта Н2О2 - 5 % масс., ГМ 10, t - 4 часа

Как следует из представленных на рисунке 7 данных, гидромодуль процесса (отношение жидкость / твердое) является важным параметром, позволяющим регулировать выход целлюлозного продукта и содержание в нем остаточного лигнина. При гидромодулях 10 и 15 образуется целлюлозный продукт с низким содержанием остаточного лигнина 3,7 % масс.и 0,8 % масс. соответственно.

Уменьшение величины гидромодуля до 5 увеличивает выход целлюлозного продукта до 70,2 % масс., но снижает его качество.

Вероятно, что высокое содержание лигнина в целлюлозном продукте (9,2 % масс.) является следствием затруднения диффузии окисляющего реагента в межклеточное пространствои отвода продуктов окисления лигнина в раствор [15].

1 - выход целлюлозного продукта; 2 - содержание целлюлозы;

- содержание гемицеллюлозы; 4 - содержание лигнина

Рисунок 7 - Влияние гидромодуля процесса окислительной делигнификации древесины березы на выход и состав целлюлозного продукта при концентрации СН3СООН 25% и Н2О2 - 4%, kt. - TiO2

Оптимизация процесса делигнификации.

При оптимизации процесса делигнификации древесины березы, на основании предварительных опытов, в качестве независимых переменных выбраны следующие факторы: Х1 - концентрация Н2О2 в растворе, %; Х2 - гидромодуль процесса делигнификации.

Остальные условия: температура 100 °С, продолжительность делигнификации 4 часа, концентрация СН3СООН 25 % масс., концентрация TiO2 - 1 % масс. Каждый эксперимент осуществляли дважды и проводили в соответствии с планом ПФЭ типа 24. Исходные данные для планирования представлены в таблице 2.

В качестве параметров оптимизации выбраны: Y1 - выход целлюлозного продукта, % от массы исходной древесины; Y2 - содержание целлюлозы в целлюлозном продукте, %; Y3 - содержание остаточного лигнина, %; Y4 - содержание гемицеллюлоз в целлюлозном продукте, %. Результаты реализации матрицы планирования приведены в таблице 3.

Таблица 2 - Основные факторы и уровни их варьирования.

Характеристика плана

Переменные факторы


Концентрация Н2О2 в растворе (Х1), %

Гидромодуль процесса (Х2)

Основной уровень, Хі0 (0)

4

10

Шаг варьирования, λі

1

5

Верхний уровень, Хі+ (+1)

5

15

Нижний уровень, Хi- (-1)

3

5


Для обработки использован пакет прикладных программ Statgraphics Centurion XVI, блок DOE. Представлены результаты дисперсионного анализа по влиянию основных факторов на выход целлюлозного продукта - Y1.

Таблица 3 - Матрица планирования эксперимента по делигнификации древесины березы в присутствии 1 % масс. TiO2 и результаты реализации

№ опыта

Начальная концентрация Н2О21), %

ГМ (Х2)

Выход целлюлозного продукта (Y1), %

Содержание, %





Целлюлоза, (Y2)

Лигнин (Y3)

ГЦ (Y4)

1

3

5

76,8

75,3

14,8

9,6

2

3

10

67,5

82,1

7,8

9,8

3

3

15

65,3

87,2

4,3

8,2

4

4

5

70,2

80,7

9,2

9,8

5

4

10

60,8

87,8

3,7

8,2

6

4

15

51,0

92,5

0,8

7,4

7

5

5

67,0

84,1

8,8

8

5

10

56,7

90,7

1,5

7,5

9

5

15

54,8

91,2

1,3

7,2

10

6

5

59,1

86,6

5,9

7,2

11

6

10

56,5

92,3

0,7

6,7

12

6

15

55,2

92,5

0,7

6,5


Критерий эффективности (F-Ratio) и уровень значимости (P-Value)характеризуют вклад каждого фактора в результат процесса - он тем существеннее, чем больше величина критерия эффективности (дисперсионного отношения Фишера R-Ratio) и чем меньше уровень значимости (P-Value).

Таблица 4 - Дисперсионный анализ для Y1 (выход целлюлозного продукта)

Источник дисперсии

Сумма квадратов

Число степеней свободы

Средний квадрат

F-Ratio

P-Value

A:X1

239,6

1

239,6

24,32

0,0026

B:X2

273,78

1

273,78

27,79

0,0019

AA

33,0008

1

33,0008

3,35

0,1169

AB

22,201

1

22,201

2,25

0,1840

BB

11,2067

1

11,2067

1,14

0,3272

Ошибка

59,1005

6

9,85008



Общая сумма

638,889

11





Дисперсионный анализ показал, что влияние обоих факторов Х1 и Х2 на выходной параметр Y1 статистически значимо (их уровень значимости меньше 0,05, т.е. доверительная вероятность выше 95 %, что считается хорошим результатом в технологических исследованиях). Эффективность считают приемлемой при Р ≥ 5…8.

На удовлетворительные прогностические свойства математической модели (уравнения регрессии) указывает сравнительно высокое значение коэффициента детерминации - 90,7 %.

В результате математической обработки получено следующее уравнение регрессии:

1 = 143,2 - 21,90 1 - 4,15 2 + 1,66  + 0,298 12 + 0,082

На рисунке 8 представлен график сравнения значений выходного параметра Y1, полученных в эксперименте, со значениями, прогнозируемыми по модели. Прямая линия соответствует расчетным (прогнозируемым) значениям Y1. Близость большинства "экспериментальных точек" к прямой указывает на хорошие прогностические свойства модели, однако несколько точек заметно отклонились от прямой. Этот результат корреспондируется с величиной R-squared.


На рисунке 9 изображена поверхность отклика, наглядно демонстрирующая зависимость Y1 от переменных факторов - концентрации пероксида водорода Х1 и гидромодуля Х2.

Согласно полученным данным факторные координаты точки, в которой выход целлюлозного продукта достигает максимальной величины 78,2 % (без ограничений по другим выходным параметрам): концентрация Н2О2 3 %, гидромодуль 5. Однако без учета ограничения на степень делигнификации эта информация ценности не представляет.


В таблице 5 представлены результаты дисперсионного анализа по влиянию основных факторов на содержание целлюлозы в целлюлозном продукте - Y2.

Таблица 5 - Дисперсионный анализ для Y2 (содержание целлюлозы в целлюлозном продукте)

Источник дисперсии

Сумма квадратов

Число степеней свободы

Средний квадрат

F-Ratio

P-Value

A:X1

121,553

1

121,553

111,74

0,0000

B:X2

168,361

1

168,361

154,77

0,0000

AA

10,0833

1

10,0833

9,27

0,0227

AB

12,8822

1

12,8822

11,84

0,0138

BB

10,2704

1

10,2704

9,44

0,0219


Данные дисперсионного анализа свидетельствуют о хороших прогностических свойствах модели: высокая эффективность всех компонентов уравнения регрессии, очень высокий коэффициент детерминации (98,0 %), низкие уровни значимости (т.е. высокие доверительные вероятности - от 97,73 % и выше).

Рассчитанное уравнение регрессии имеет вид:

2 = 30,76 + 13,37 1 + 3,51 2 - 0,9167  - 0,227 12 - 0,0785

Наблюдается высокая сходимость экспериментальных данных со значениями, прогнозируемыми по модели (рисунок 10):


Поверхность отклика значений содержания целлюлозы в целлюлозном продукте от переменных факторов - концентрации пероксида водорода Х1 и гидромодуля Х2 представлены на рисунке 11.


Максимальное значение содержания целлюлозы в целлюлозном продукте - 92,8 % достигается при следующих значениях переменных факторов: концентрация пероксида водорода - 5,5 % масс., гидромодуль - 14.

Высокие прогностические свойства математической модели наблюдаются и в случае ее реализации с использованием в качестве выходного параметра остаточного содержания лигнина в целлюлозном продукте. Значение коэффициента детерминации: 98,8 %. Уровень значимости много меньше, чем 0,05 (таблица 6).

Таблица 6 - Дисперсионный анализ для Y3(содержание остаточного лигнина в целлюлозном продукте)

Источник дисперсииСумма квадратовЧисло степеней свободыСредний квадратF-RatioP-Value






A:X1

65,9402

1

65,9402

165,85

0,0000

B:X2

109,52

1

109,52

275,46

0,0000

AA

9,90083

1

9,90083

24,90

0,0025

AB

8,836

1

8,836

22,22

0,0033

BB

11,2067

1

11,2067

28,19

0,0018


Уравнение регрессии имеет вид:

Y3 = 54,18 - 12,15 1 - 3,23 2 + 0,908  + 0,188 12 + 0,082

Высокое значение коэффициента детерминации (98,8 %) хорошо согласуется с данными представленными на рисунке 12. Полученные экспериментальные значения практически полностью укладываются на прямую, соответствующую расчетным данным.


Поверхность отклика значений содержания остаточного лигнина в целлюлозном продукте от переменных факторов - концентрации пероксида водорода Х1 и гидромодуля Х2 представлены на рисунке 13.


Оптимальными параметрами получения целлюлозного продукта с наименьшим содержанием остаточного лигнина являются: концентрация пероксида водорода 4 %, гидромодуль 15.

Результаты дисперсионного анализа для содержания гемицеллюлоз в целлюлозном продукте (Y4)в процессе получения микрокристаллической целлюлозы из древесины березы представлены в таблице 7.

Таблица 7 - Дисперсионный анализ для Y4(содержание гемицеллюлоз в целлюлозном продукте)

Источник дисперсии

Сумма квадратов

Число степеней свободы

Средний квадрат

F-Ratio

P-Value

A:X1

9,20417

1

9,20417

39,86

0,0007

B:X2

4,65125

1

4,65125

20,14

0,0042

AA

0,0675

1

0,0675

0,29

0,6082

AB

0,21025

1

0,21025

0,91

0,3768

BB

0,00375

1

0,00375

0,02

0,9028


В этом случае зависимость выходного параметра от переменных факторов варки практически линейна, члены второго порядка (квадратичные члены и парное взаимодействие) статистически незначимы. Причина этого, скорее всего, заключается в значительном экспериментальном "шуме". Это видно по разбросу точек вокруг прямой на графике (рисунок 14). В соответствии с этим результатом в уравнении регрессии оставлены только главные эффекты (линейные члены).

Y4 = 13,13 - 0,398 1 - 0,313 2

 

 


На рисунке 15 приведена поверхность отклика выходного параметра Y4 (содержания гемицеллюлоз в целлюлозном продукте) наглядно показывающая влияние на неё переменных факторов.


Установлено, что оптимальными условиями получения целлюлозного продукта с минимальным (6,5 %) содержанием гемицеллюлоз является: концентрация пероксида водорода 6 %, гидромодуль -15.

Проведен анализ зависимости взаимного влияния выходных параметров процесса. Матрица линейных корреляций (Пирсона) между выходными параметрами Y1…Y4 указывает на существование линейной или близкой к линейной связи между всеми четырьмя изучаемыми свойствами продукта (рисунок 16). Значение -1.00 означает, что переменные имеют строгую отрицательную корреляцию. Значение +1.00 означает, что переменные имеют строгую положительную корреляцию.

Рисунок 16 - Матрица линейных корреляций между выходными параметрами

Эта же матрица в графическом виде изображена на рисунке 17.

Рисунок 17 - Графическое изображение матрицы линейных корреляций между Y1…Y4

Рисунки 18, 19, 20 отображают зависимость Y2, Y3 и Y4 от выхода продукта Y1. На них приведены также уравнения регрессии этих зависимостей. Видно, что между содержанием остаточного лигнина, также как и содержанием остаточных гемицеллюлоз и выходом целлюлозного продукта существует прямая зависимость. Целлюлозный продукт, полученный с высоким выходом, будет содержать значительное количество остаточного лигнина и гемицеллюлоз. Содержание микрокристаллической целлюлозы в целлюлозном продукте имеет обратную зависимость. Максимальное содержание микрокристаллической целлюлозы наблюдается при минимальном значении выхода целлюлозного продукта.

Существование связей между всеми выходными параметрами позволяет использовать наглядный графический метод для определения оптимального соотношения между выходом и свойствами продукта.При условии содержания остаточного лигнина в целлюлозном продукте не более 3 %, по рисунку 19 при Y3 = 3 % нашли выход продукта Y1 = 59,9 %, затем по рисункам 18 и 20 определили соответствующие этому выходу значения Y2 = 88,5 % и Y4 = 7,8 %.

Они близки к значениям, полученным при решении задачи оптимизации методом математического программирования. Очевидно, при этом условии нет смысла искать решение для Y3< 3 %, так как при этом, согласно рисункам, будут ухудшаться другие свойства.

Рисунок 18 - Зависимость Y2 (содержание микрокристаллической целлюлозы) от Y1 (выход целлюлозного продукта)

Рисунок 19 - Зависимость Y3 (содержание остаточного лигнина) от Y1(выход целлюлозного продукта)

Задача оптимизации по получению микрокристаллической целлюлозы из древесины березы имеет ограничение области поиска в факторном пространстве: 3,0 ≤ Х1 ≤ 6,0; 5 ≤ Х2 ≤ 15, целевая функция Y1 → max; ограничение другого выходного параметра: Y3 ≤ 3,0.

Задача решена средствами программы Excel.

Рисунок 20 - Зависимость Y4 (содержание остаточных гемицеллюлоз) от Y1 (выход целлюлозного продукта)

Значения факторов и прогнозируемые величины выходных параметров при оптимальных условиях:

Х1 = 3,9 %; Х2 = 10,9; Y1 = 60,2 %; Y2 = 88,2 %; Y3 = 3%; Y4 = 8,16 %.

Кинетическое исследование окислительного каталитического фракционирования древесины березы в мягких условиях. Исследование кинетики процесса фракционирования древесины березы проводили в интервале температур 70-100°С в ранее определенных оптимальных условиях. Представлены данные по содержанию остаточного лигнина и гемицеллюлоз в целлюлозном продукте древесины березы в зависимости от температуры и продолжительности процесса фракционирования. Температура и продолжительность процесса значительно влияют на содержание остаточного лигнина в целлюлозном продукте. При температуре 70-80°С даже после 4 часов проведения процесса не достигается необходимая степень делигнификации древесины березы. Целлюлозный продукт содержит 12,7 и 5,4 % масс. остаточного лигнина соответственно. Повышение температуры до 90-100°С приводит к резкому снижению содержания остаточного лигнина в целлюлозном продукте. Минимальное количество остаточного лигнина - 0,5 % масс. содержится в целлюлозном продукте, полученном при 100°С и 4ч. проведения делигнификации.

Таблица 8 - Содержание остаточного лигнина и гемицеллюлоз (ГЦ) в целлюлозном продукте древесины березы

Температура, °С

Содержание в целлюлозном продукте, % масс.

Продолжительность, ч

70

Лигнин ГЦ

19,2

14,9

14,5

12,7



9,4

8,4

8,2

8,3

80

Лигнин ГЦ

16,6

12,5

10,5

5,4



9,2

9,0

7,6

7,4

90

Лигнин ГЦ

7,3

3,8

1,7

1,1



9,1

8,6

8

5,8

100

Лигнин ГЦ

9,5

6,5

0,7

0,5



9,4

7,9

6,6

5,5



Значительное уменьшение содержания гемицеллюлоз от 27,3 % в исходном сырье до 9,1 - 9,4 % в целлюлозном продукте происходит в течение первого часа процесса фракционирования, независимо от температуры. В дальнейшем содержание гемицеллюлоз уменьшается незначительно, до 8,3 % при 70 °С и 5,5 % при 100 °С.

Для определения основных кинетических параметров - констант скоростей реакции и энергии активации процесса использовали изменение содержания остаточного лигнина в целлюлозном продукте. Кинетические кривые, отражающие эту зависимость, представлены на рисунке 21.

Согласно представленным данным, при температурах 70° и 80 °С процесс фракционирования осуществляется намного медленнее, чем при 90° и 100 °С. Ранее было установлено, что процесс фракционирования древесины (осина, пихта) в среде "уксусная кислота - пероксид водорода - вода" описывается уравнением реакции первого порядка.

Рисунок 21 - Кинетические зависимости процесса каталитического фракционирования древесины березы

Близкий к 1коэффициент регрессии прямых, полученных при построении зависимость lnC от времени (рисунок 22), подтверждает, что каталитическое фракционирование древесины березы в указанных условиях описывается уравнением реакции первого порядка.

Рисунок 22 - Зависимость логарифма концентрации лигнина от времени проведения реакции

Рассчитанные константы скорости реакции представлены в таблице 9.

Таблица 9 - Константы скорости процесса каталитического фракционирования древесины березы

Древесина

k ∙10-4 , с-1


70 °С

80 °С

80 °С

100 °С

Береза

0,40

0,78

2,10

2,72


Эффективная энергия активации процесса, определенная графическим способом (рисунок 23), который учитывает значение констант скоростей в интервале температур 70 - 100 °С, составляет 56 кДж/моль.

Рисунок 23 - Зависимость lg k от 1/Т для процесса окислительного фракционирования древесины березы в интервале температур 70 - 100 °С.

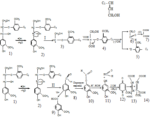
Известно, что каталитическое действие TiO2 основано на его способности инициировать образование радикалов •ОН и •ООН при взаимодействии с пероксидом водорода. Образующиеся радикалы участвуют в реакциях окислительной деструкции лигнина по схеме (рисунок 24).

Реакция окисления фрагмента лигнина 1) начинается атакой гидрокси-радикалом связи α-С-Н с отрывом атома водорода. Образовавшийся радикал 2) нестоек и распадается на ванилин 8) и радикал 3). Ванилин окисляется до ванилиновой кислоты 9) и претерпевает перегруппировку, превращаясь в гваяциловый эфир муравьиной кислоты 10). Последний в кислой среде гидролизуется с образованием метоксигидрохинона 11). Затем метоксигидрохинон окисляется в метокси-n-бензохинон 12) и, наконец, превращается в непредельные дикарбоновые кислоты 13), 14) - фумаровую и малеиновую.

) -фрагмент лигнина, 2) - радикал, 3) -радикал, 4) - пероксосоединение фрагмента лигнина, 5) - семихинон, 6) - глиоксаль, 7) - щавелевая кислота, 8) - ванилин, 9) - ванилиновая кислота, 10) - гваяциловый эфир муравьиной кислоты, 11) - метоксигидрохинон, 12) - метокси-n-бензохинон, 13) - малеиновая кислота, 14) - фумаровая кислота.

Рисунок 24 - Схема окисления фрагментов лигнина •ОН радикалами

Окисление боковой цепи начинается рекомбинацией радикала 3) и перокси-радикала, в результате чего образуется пероксосоединение фрагмента лигнина 4). Он нестоек и распадается, образуя семихинон 5) и глиоксаль 6). Последний окисляется в щавелевую кислоту 7) [51].

Состав и строение целлюлозного продукта окислительного каталитического фракционирования древесины березы.

Для оценки эффективности процесса каталитического фракционирования древесины березы в мягких условиях необходимо оценить качество полученного целлюлозного продукта.

Был проведен химический, ИК - спектрографический и рентгеноструктурный анализ полученного целлюлозного продукта. В качестве образца сравнения на ИК - спектрах и рентгенограммах представлены спектры промышленной древесной микрокристаллической целлюлозы марки "VIVAPUR". Химический состав целлюлозного продукта древесины березы представлен в таблице 10.

Таблица 10 - Выход и химический состав целлюлозного продукта древесины березы

Целлюлозный продукт

Выход целлюлозного продукта, % масс.от а.с.д*.

Состав целлюлозного продукта, % масс.от а.с.ц.п**.



целлюлоза

лигнин

гемицеллюлозы

Древесины березы

58,2

93,7

0,5

5,5

*абсолютно сухая древесина ** абсолютно сухой целлюлозный продукт


На рисунке 25 представлен ИК-спектр целлюлозного продукта древесины березы (1) и промышленного образца МКЦ "ВИВАПУР" в качестве образца сравнения (2).

В спектре полученного образца древесины березы присутствуют характеристические полосы поглощения в области 3000-3600, 2700-3000, 1500-1300, 1000-1200 см-1, которые соответствуют валентным колебаниям -ОН и -СН,-СН2 групп, и деформационным и валентным колебаниям СО и С-О-С целлюлозного кольца соответственно.

В спектре целлюлозы березы отсутствуют полосы, принадлежащих скелетным колебаниям бензольного кольца при 1595 и около 1500 см-1, а также характеристической полосы при 1460 см-1, что свидетельствует об отсутствии примесей остаточного лигнина в анализируемом образце.

1 - целлюлозный продукт древесины березы, 2 - МКЦ "ВИВАПУР"

Рисунок 25 - ИК-спектры целлюлозы, полученной при окислительном фракционировании древесины березы в присутствии катализатора TiO2 в мягких условиях и промышленного образца МКЦ "ВИВАПУР"

Полоса при 1635 см-1 соответствует поглощению адсорбированной воды в целлюлозе. Присутствие в образце остатков гемицеллюлоз проявляется полосой поглощения при 1720 см-1.

На рисунке 26 представлена дифрактограмма образца целлюлозы березы. На дифрактограмме наблюдаются максимумы в области углов 2θ: 14-16°; 22,6°; 34-35°, относящиеся к отражению от плоскостей соответственно: 101, 101, 002; 040 целлюлозной ячейки, характерной для структурной модификации целлюлозы I. Индексы кристалличности целлюлозы березы и промышленной целлюлозы, показывающие долю кристаллической части в образце, рассчитывали на основании рентгенограмм - по отношению интенсивности рассеивания от кристаллической области к общей интенсивности рассеивания рентгеновских лучей.

Полученное значение для образца целлюлозы березы составляет 0,81, оно близко к значению индекса кристалличности промышленной целлюлозы Вивапур - 0,75 и находится в пределах значения индекса кристалличности МКЦ указанных в литературе (0,64-0,84).


Полученное значение для образца целлюлозы березы составляет 0,81, оно близко к значению индекса кристалличности промышленной целлюлозы Вивапур - 0,75 и находится в пределах значения индекса кристалличности МКЦ указанных в литературе (0,64-0,84).

По уравнению Шерера (6) был определен средний размер кристаллитов [52, 53]. Его значение для целлюлозы березы составило 3,2 нм.

С использованием метода вискозиметрии была определена средняя степень полимеризации целлюлозы березы. Её значение составило 756.

Выводы

. Изучено влияние основных параметров делигнификации древесины березы пероксидом водорода в среде уксусной кислоты в присутствии катализатора TiO2 на выход и состав целлюлозного продукта. Осуществлена оптимизация процесса. Установлено, что оптимальными являются условия: температура 100 °С, концентрации пероксида водорода 4 % масс., уксусной кислоты 25 % масс., гидромодуль 10, продолжительность 4 часа.

. Установлено, что делигнификация древесины березы пероксидом водорода в среде уксусной кислоты в присутствии катализатора TiO2описывается уравнением реакции первого порядка. Константа скорости процесса варьируется от 0,4∙10-4c-1 (70 °C) до 2,72∙10-4c-1 (100°C). Значение энергии активации исследуемого процесса составляет 56 кДж/моль.

. Показано, что разработанный метод делигнификации древесины березы позволяет получать качественный целлюлозный продукт с выходом 60,2 % масс, содержащий 88,2 % масс. целлюлозы и 3 % масс. остаточного лигнина.

Список литературы

2. Технология целлюлозно-бумажного производства. Т 1. Сырье и производство полуфабрикатов. - СПб.: Политехника, 2003. - 626 с.

. Пен, Р. З. Катализируемая делигнификация растительного сырья пероксидом водорода - новый перспективный способ производства технической целлюлозы / Р. З. Пен, А. В. Бывшев, И. Л. Шапиро, М. О. Леонова, Н. М. Каретникова, О. А. Колмакова // Фундаментальные исследования. - 2008. - № 8. - С. 58-60.

. Кузнецов, Б. Н. Катализ химических превращений угля и биомассы / Б. Н. Кузнецов. - Новосибирск: Наука, 1990. - С. 85-91.

5. Kuznetsov, B. N. New catalytic processes for a sustainable chemistry of cellulose production from wood biomass / B. N. Kuznetsov, S. A. Kuznetsova, V. G. Danilov, I. A. Kozlov // Catalysis Today. - 2002. - V. 75. - P. 211-217.

6. Гарынцева, Н. В. Пероксидная делигнификация древесины осины в присутствии катализаторов TiO2 различного строения / Н. В. Гарынцева, А. В. Петров, А. С. Казаченко, Б. Н. Кузнецов // РОСКАТАЛИЗ. - 2014. - Т.2. - С. 158.

7. Kuznetsova, S.A. Environmentally friendly catalytic production of cellulose by abies wood delignification in "aceticaid - hydrogenperoxide - water" media / S. A. Kuznetsova, V. G. Danilov, B. N. Kuznetsov, O. V. Yatsenkova// ChemistryforSustainableDevelopment. - 2003. - V. 11. -P. 141-147.

8. Кузнецов, Б. Н. Делигнификация древесины пихты пероксидом водорода в мягких условиях в присутствии сернокислотного катализатора / Б. Н. Кузнецов, И. Г. Судакова, Н. В. Гарынцева, Н. М. Иванченко // Journal of Siberian Federal University. Chemistry 4. - 2013. - №6. - С. 361-371.

. Кузнецова, С.А. Получение арабиногалактана, дигидрокверцетина и микрокристаллической целлюлозы с использованием механохимической активации / С. А. Кузнецова, Б. Н. Кузнецов, Н. Б. Александрова // Химия в интересах устойчивого развития. - 2005. - Т. 13. - С. 261-269.

. Кузнецов, Б. Н. Состав низкомолекулярных продуктов окислительной делигнификации древесины лиственницы в уксусной кислоте / Б. Н. Кузнецов, С. А. Кузнецова, В. Г. Данилов, О.В. Яценкова, Г. С. Калачева // Химия растительного сырья. - 2010.-No2. - С. 17-22.

Похожие работы на - Делигнификация древесины березы пероксидом водорода в среде уксусной кислоты в присутствии катализатора TiO2

 

Не нашли материал для своей работы?
Поможем написать уникальную работу
Без плагиата!
Без нейросетей!