Влияние состава поверхностного слоя стеклянного электрода на характер его функции

  • Вид работы:
    Курсовая работа (т)
  • Предмет:
    Химия
  • Язык:
    Русский
    ,
    Формат файла:
    MS Word
    250,9 Кб
  • Опубликовано:
    2015-10-29
Вы можете узнать стоимость помощи в написании студенческой работы.
Помощь в написании работы, которую точно примут!

Влияние состава поверхностного слоя стеклянного электрода на характер его функции

 













Влияние состава поверхностного слоя стеклянного электрода на характер его функции

СОДЕРЖАНИЕ

ВВЕДЕНИЕ

. ОПИСАНИЕ СТЕКЛЯННОГО ЭЛЕКТРОДА

. ПРЕДСТАВЛЕНИЯ О СТРОЕНИИ ПОВЕРХНОСТНОГО СЛОЯ СТЕКЛА, ВЗАИМОДЕЙСТВУЮЩЕГО С РАСТВОРАМИ

. РЕЗУЛЬТАТЫ МОДИФИЦИРОВАНИЯ ПОВЕРХНОСТИ СЭ С PH-МЕТРИЧЕСКОЙ И МЕТАЛЛИЧЕСКОЙ ФУНКЦИЯМИ

. ОПИСАНИЕ СОБСТВЕННОГО ЭКСПЕРИМЕНТА

ВЫВОДЫ

СПИСОК ИСПОЛЬЗОВАННОЙ ЛИТЕРАТУРЫ

 

ВВЕДЕНИЕ


Актуальность работы. Стеклянные электроды позволяют решать две проблемы - аналитического и физико-химического характера. Конечной целью первой является определение с помощью СЭ концентрации ионов водорода и металлических ионов; второй - получение данных об активностях ионов и закономерностях процессов, связанных с их изменением, то есть о строении исследуемых растворов электролитов.

Ион водорода вездесущ и сильно влияет на про-текание большинства химических реакций. Пищевая, фармацевтическая, кожевенная, химическая, целлюлозно-бумажная промышленности, гидрометаллургия, коксохимия, гидроэнергетика и паросиловое хозяйство, медицина и биология, агрономия и почвоведение - во всех этих отраслях и многих других необходима рН-метрическая служба.

Во множестве производственных процессов несоблюдение интервалов рН приводит к непроизводительной трате сырья, порче продукта процесса, преждевременному износу аппаратуры и трубопроводов. По оценкам специалистов, необходимость определения рН в различных областях человеческой деятельности уступает лишь измерениям температуры.

СЭ с водородной функцией превосходят все другие по удобству, специфичности и универсальности применения и в последнее время заняли монопольное положение для измерения и регулирования (часто непрерывных) рН как прозрачных, так и окрашенных сред. Цветные индикаторы непригодны для таких целей. Поскольку требования к контролю рН чрезвычайно многообразны, были разработаны рецептуры стекол для изготовления различных типов рН-электродов, надежно работающих в кислых, щелочных и средних интервалах шкалы рН в диапазоне температур 5-100° С.

К настоящему времени освоено производство натриевых, калиевых, литиевых стеклянных электродов. Ионометрия широко используется в фармацевтической и целлюлозно-бумажной промышленности, при контроле качества воды, в биологии, медицине и др. Промышленное производство стеклянных водородных и металлических электродов и рН-метров явилось результатом коллективного труда ученых, конструкторов, производственников, в котором автор принимал непосредственное участие.

Именно поэтому изучение влияния состава поверхностного слоя стеклянного электрода на характер его функции является вопросом актуальным и своевременным.

Целью работы выступает изучение влияния состава поверхностного слоя стеклянного электрода на характер его функции.

Исходя из поставленной цели, возникают следующие задачи:

         дать описание стеклянного электрода;

         сформулировать представления о строении поверхностного слоя стекла, взаимодействующего с растворами;

         изучить результаты модифицирования поверхности СЭ с pH-метрической и металлической функциями;

         дать описание собственного эксперимента.

Предметом работы выступают стеклянные электроды. Объектом работы выступает состав поверхностного слоя.

1. ОПИСАНИЕ СТЕКЛЯННОГО ЭЛЕКТРОДА


Еще в работе немецких ученых Габера и Клемен- севича (1909 год), как и во всех последующих работах вплоть до настоящего времени, использовали гальваническим элемент, который можно представить следующей схемой ( рис. 1.1).

Рис. 1.1 Стеклянный электрод

ЭДС (Е) этого элемента является алгебраической суммой постоянных межфазных скачков потенциалов j1, j2, j3 и переменного j, зависящего от составов внешнего исследуемого раствора и стекла. Таким образом, величина Е однозначно свидетельствует об изменении потенциала j между данным стеклом и исследуемым раствором. На рис. 1.2 представлена конструкция стеклянного электрода (СЭ).

Рис. 1.2 Конструкция стеклянного электрода

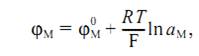
В 1922 году американский ученый Юз доказал, что щелочно-силикатные СЭ действуют аналогично водородному электроду, обратимому по отношению к Н+. Под обратимостью понимается, что зависимость возникающего между стеклом и исследуемым раствором электрического потенциала от активности Н+ (аН) в растворе описывается уравнением Нернста в частном виде:

                              (1.1)

где jН0 - стандартное значение потенциала электрода, зависящее лишь от природы электрода и температуры, R - газовая постоянная, F - число Фарадея, Т - температура.

Активность связывается с концентрацией ионов Сi соотношением ai=giСi;. Это соотношение справедливо для ионов любого сорта, что отражается индексом i. Коэффициент активности gi может быть равен 1, тогда ai=Сi, может быть больше или меньше единицы. Если поведение СЭ следует соотношению (1.1), то принято говорить, что он обладает водородной функцией.

Дальнейшие исследования показали, что область водородной функции стекла ограничена как в щелочных, так и в кислых растворах. На пределы водородной функции одного и того же СЭ в щелочных растворах влияют природа и концентрация находящихся в них катионов, а на пределы в кислых растворах - природа и концентрация анионов. В связи с этим было высказано предположение о переходе функций СЭ от водородной к металлической в первом случае и к анионной во втором.

Во многих работах отмечалась зависимость электродных свойств стекол от их химического состава. Существенное принципиальное и практическое значение имело установление в 1932 году С.И. Соколовым и А.Г. Пасынским зависимости пределов водородной функции стекол в щелочных средах от соотношения размеров ионов щелочных металлов, входящих в состав стекла и раствора.

Для описания указанной совокупности экспериментальных фактов развивались различные теоретические представления, которые условно можно разделить на две основные группы. Для первой характерно рассмотрение стеклянной мембраны как пористой перегородки, в которую ионы из раствора проникают вместе с растворителем, например диффузионные теории. Однако неточность положений диффузионных теорий вызывала трудности при описании экспериментальных результатов.

Более перспективными и термодинамически обоснованными представляются ионообменные теории, в частности “простая”, предложенная в 1934 году Б.П. Никольским. Для построения теории СЭ особенно важными явились следующие положения: 1) электродные щелочно-силикатные стекла имеют ионную природу электропроводности за счет миграции только катионов щелочных металлов или других катионов, 2) потенциал СЭ в гальваническом элементе изменяется в зависимости от состава внешнего исследуемого раствора по соотношению (1.1).

Основой “простой” ионообменной теории служит допущение о равновесном распределении между стеклом и раствором подвижных в них ионов, которые эквивалентно замещают друг друга по реакции

              (1.2)

В этом варианте теории предполагалось, что у катионов Н+ и М+ в стекле равны единице. С учетом этих предположений на основе применения к системе стекло - раствор условий равновесия было получено следующее выражение зависимости потенциала СЭ от активностей ионов Н+ и М+ в растворе:

                    (1.3)

где К = (аНСМ)/(аМСН) - константа равновесия реакции обмена (1.2), которая зависит лишь от температуры и природы электродного стекла и непосредственно определяется из экспериментально полученных зависимостей j от аН и аМ, аН, аМ - активности ионов Н+ и М+ во внешнем исследуемом растворе, СН, СМ - концентрации ионов Н+ и М+ в стекле.

Согласно теории, стекло может проявлять водородную функцию при аН > КаМ и тогда выражение (1.3) превращается в соотношение (1.1). При аН < КаМ уравнение (1.3) записывается как

что эквивалентно наличию у стекла металлической функции. В промежуточной области значений рН, как следует из теории, электрод обладает смешанной функцией: и водородной и металлической (переходная область). Важным следствием теории является величина отклонения от водородной функции СЭ при повышении рН исследуемого раствора, которое определяется отношением активностей Н+ и М+ в растворе, а не их абсолютными значениями.

Как видно из соотношения (1.3), величина К является важнейшей характеристикой электродных свойств стекол и мерой специфичности их электродных функций. Она тем меньше, чем в стекле прочнее связаны Н+ и слабее М+ (при заданной природе растворителя). Соответственно чем меньше К, тем в более широком интервале значений рН стекло обладает водородной функцией, тем позже наступает отклонение от этой функции и начинается переход к полной металлической функции. Для исследованных стекол значение К колеблется от 10-1 до 10-15.

Однако после создания “простой” ионообменной теории оставались еще окончательно невыясненными важные ее положения: 1) не было строгого термодинамического доказательства наличия металлической функции у стекол, 2) не было экспериментально установлена возможность перехода от полной водородной функции к полной металлической для одного и того же стекла, как следует из теории. Для решения этих вопросов Б.П. Никольским и автором был выполнен большой цикл исследований. Результатом работ явились количественное доказательство металлической функции СЭ в термодинамически строго обоснованных опытах, а также экспериментальное установление упомянутого выше факта, важного для теории СЭ: отклонение от водородной функции однозначно определяется от-ношением активностей Н+ и М+ в растворе. В практическом отношении это нашло отражение в разработке рецептур стекол для изготовления СЭ с натриевой и калиевой функциями. В теоретическом плане выявились конкретно и задачи дальнейшего развития теории СЭ.

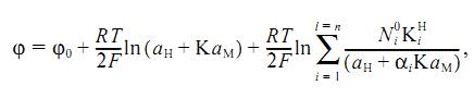
Еще в 1934 году Б.П. Никольский предположил, что более растянутый переход СЭ от водородной к металлической функции, чем это следовало из “простой” теории, можно объяснить наличием в стекле мест с различной прочностью связей ионов Н+. Это предположение было развито им в количественной форме в уравнениях обобщенной теории. Позже в работах, выполненных совместно Б.П. Никольским и автором, были уточнены некоторые исходные положения зависимости потенциала СЭ от активности ионов в растворах на основе представлений о существовании в стекле ионогенных групп НRi и МRi и их диссоциации. В зависимости от природы ионогенных групп они диссоциируют по-разному, что отражается в величинах их констант диссоциации. Решение системы уравнений, включающих рассмотрение всех возможных процессов обмена и диссоциации ионогенных групп, условий материального баланса и электронейтральности (для n ионогенных групп таких уравнений будет 3n + 3), в конечном итоге дает возможность получить зависимость потенциала СЭ от активностей ионов в растворе. Для наглядности рассмотрим частный случай, имеющий вместе с тем наиболее существенное значение при обсуждении экспериментальных данных. Так, когда ионогенные группы в стекле диссоциируют лишь незначительно, что вполне вероятно, исходя из совокупности физико-химических свойств стекол, для п сортов ионогенных групп получается следующее выражение потенциала СЭ:

       (1.4)

где Ni0 - общая концентрация i-х ионогенных групп, ai= KiH / KiM , KiH и KiM - константы диссоциации ионогенных групп НRi и МRi соответственно, К - константа ионообменного равновесия.

Использование соотношения (1.4) в случае резкой дифференциации связей Н+ и М+ и двух типов анионов Ri в структуре стекла (НR1, НR2 - Н-форма и МR1, МR2) позволило количественно описать экспериментально полученные двухступенчатые зависимости Е-рН. Анализ уравнения (1.4) для этого варианта показывает, что первая ступенька таких кривых выражает водородную и металлическую функции в основном сильнокислотных групп (слабые связи между Н+ и Ri) стекла, вторая - соответствующие электродные функции слабокислотных групп (сильные связи между Н+ и Ri)

Основное значение полученных в обобщенной теории уравнений заключается в их предсказательной силе, возможности описать зависимости Е-рН, установленные экспериментально, которые не только количественно, но и качественно не могут быть описаны уравнением “простой” теории. Вместе с тем на основе сопоставления теоретических и экспериментальных кривых представляется возможность расчета характерных постоянных стекол: констант диссоциации ионогенных групп и обмена ионов, а также переменных, определяющих распределение основных оксидов между оксидами-стеклообразователями. Иначе говоря, исследование различных СЭ является косвенным структурно чувствительным методом (электродный метод) изучения строения стекла.

 

2. ПРЕДСТАВЛЕНИЯ О СТРОЕНИИ ПОВЕРХНОСТНОГО СЛОЯ СТЕКЛА, ВЗАИМОДЕЙСТВУЮЩЕГО С РАСТВОРАМИ


Ученые для некоторых щелочно-силикатных стекол получили данные, характеризующие зависимость электродных свойств этих стекол от их состава. Однако они нуждались в существенном дополнении систематически поставленными исследованиями с учетом представлений о структуре стекол. Это было учтено в какой-то мере в исследованиях, поставленных в Ленинградском государственном университете. Были изучены по единой методике электродные свойства ряда щелочно-силикатных стекол, содержавших кроме оксида щелочного металла и кремнезема один из оксидов элементов от первой до пятой группы Периодической системы (трехкомпонентные стекла). Изучали и более сложные по химическому составу стекла, в особенности при разработке практических рецептур. Всего исследовано более тысячи стекол различных составов. Получен богатейший экспериментальный материал, позволивший на базе ионообменной теории систематизировать и составить общее представление о зависимости электродных свойств стекол от их химической природы и строения. Прежде всего принимали во внимание: 1) структурную основу силикатных стекол образует кремниево-кислородная сетка, 2) атомы кремния могут частично замещаться атомами других элементов, 3) при введении в оксид стеклообразователь, например в SiO2 оксидов-модификаторов, происходит разрыв связей Si-O-Si, а подвижные катионы-модификаторы располагаются в межсеточном пространстве, причем их прочность связи с каркасом стекла определяется их собственной природой и природой катионов-сеткообразователей. Напомним, что типичными оксидами-стеклообразователями являются SiO2, GeO2, Р2O5, В2O3, которые образуют стеклообразную сетку из элементкислородных полиэдров, соединенных через общий атом кислорода. К оксидам-модификаторам относятся в основном оксиды щелочных и щелочноземельных металлов. Введение этих оксидов в оксиды-стеклообразователи чаще всего приводит к разрыву сетки стекла, как в случае SiO2.

В рамках ионообменной теории при взаимодействии стекла с раствором в его поверхностном слое образуются слабо- и сильнокислотные ионогенные группы в Н-форме. В этой связи методически исследования электродных свойств стекол проводили следующим образом. Сначала СЭ выдерживали в кислоте. При этом поверхностный слой электродного стекла насыщался ионогенными группами НRi. Затем проводили измерение ЭДС гальванического элемента, частью которого был обработанный в кислоте СЭ, в зависимости от рН исследуемого внешнего раствора. Изменение рН этого раствора проводили путем добавления к кислоте раствора щелочи с катионом, одноименным щелочному катиону стекла. Таким образом и получали упомянутые выше кривые Е-рН.

Приведем несколько примеров исследования электродных свойств стекол, полученных на основе различных силикатных систем.

Системы М2O- SiO2 (М = Li, Nа; в дальнейшем изложении под символом М будем понимать только эти металлы) явились базовыми для изготовления СЭ. Стекла, образующиеся в этих системах (»20- 30 мол. % М2O), обладают водородной функцией в сравнительно широком диапазоне значений рН (прямолинейный участок зависимости Е-рН на рис. 1.2, кривая Li).

Рис. 2.1 Сравнение влияния оксидов RО (R = Ве, Мg, Са, Ва) на протяженность водородной функции стекла, содержащего 27 мол. % SiO2 и 73 мол.% SiO2 (Li) при замене в нем 5 мол. % SiO2 на RО (LiR)

Экспериментальные кривые для этих стекол удовлетворительно описываются уравнением (1.4) в предположении существования слабокислотных [SiO3/2]ОН и диссоциирующих полярных [SiO3/2]О-М+-групп. Этот результат полностью коррелирует с имеющимися сведениями о строении этих бинарных стекол. В соответствии с теорией константы обмена катионов между стеклом и раствором малы: КНLi » 10-12; КНNa » 10-11.

Системы М2O - RO(R2O) - SiO2 (R = Cs, Ве, Mg, Са, Ва, Zn, Pb). Замещение части SiO2 на оксиды R или несколько расширяет область водородной функции в щелочных средах и сокращает в кислых, или, наоборот, сокращает в щелочных и расширяет в кислых. Рис. 2.1 иллюстрирует сокращение водородной функции литиево-силикатного стекла, в котором SiO2 замещен на оксиды Ве, Mg, Са, Ва. Соответственно константа К увеличивается в ряду оксидов элементов: Cs, Ва, Са, Mg, Zn, Ве. Увеличение значений К связано с ослаблением связи Н+ в стекле, что соответствует данным по электропроводности этих стекол. Такое поведение электродных свойств стекол можно объяснить, предположив образование в стекле разнородных ассоциаций


Как правило, ионы Rn+ практически неподвижны в стекле. Поэтому в этих группах в результате ионообменного процесса замещаются только ионы М+ на Н+ и образуются ассоциаты


В этих ассоциатах Н+ связан тем прочнее, чем меньше плотность заряда Rn+. В случае больших катионов Сs1+ и Ва2+ ион водорода связан более прочно, чем в случае маленьких ионов, например Ве2+. Иначе говоря, замена SiO2 на оксиды Сs и Ва приводит к расширению пределов водородной функции электродных стекол в щелочную область (рис. 2.1). Этот факт был использован при изготовлении СЭ для определения рН в щелочных средах. При движении слева направо в указанном ряду, по-видимому, увеличивается тенденция к образованию сильнокислотных элементосиликатных групп, в которых маленькие ионы Mg2+ и Ве2+ выступают в роли катионов- сеткообразователей (как Si4+). Для оксидов же крупных катионов Сs1+, Ва2+ и Рb2+ можно отметить проявление эффекта оксида-модификатора (разрыв связей Si-O-Si). Кроме указанных ионогенных групп в стекле, вероятно, имеется широкий набор промежуточных состояний, что отличает эти системы от рассматриваемых далее.

Системы М2O - R2O3 - SiO2 (R = В, Аl, Ga, In, Sc, Y, La, Pr, Nd, Fe). Влияние на электродные свойства стекол оксидов элементов главной подгруппы (В, Аl, Ga, In), а также FеIII заметно отличается от влияния оксидов побочной подгруппы (Sc, Y) и редкоземельных элементов (La, Pr, Nd). Для оксидов элементов главной подгруппы и Fe2O3 характерно следующее: малые их добавки (0,5-2 мол. %) приводят к резкому смещению верхнего предела водородной функции в сторону меньших значений рН (от 10 - литиево-силикатное стекло, до 2-3 - литиево-си-ликатное стекло с добавками оксидов B, Al, Ga) и к увеличению усредненных значений константы К. Такие добавки оксидов приводят к сильному расширению переходной области от водородной к металлической функции и появлению на кривых Е- рН двух ступенек (рис. 2.2). Ход этих кривых, напоминающих кривые титрования смеси сильной и слабой кислоты, может быть описан уравнением (1.4) , если его применить к случаю распределения ионов по двум основным сортам ионогенных групп: силикатным [SiO3/2]OM(H) и элементосиликатным [RO4/2]−M+(H+), которые наряду с силикатными группами образуют сетку стекла (эффект иона- стеклообразователя). При снятии кривых Е-рН в поверхностном слое стекла происходит процесс постепенного замещения Н+ на M+. При этом сначала на M+ преимущественно замещаются менее прочно связанные ионы Н+ в элементосиликатных группах. Этому процессу отвечает первая ступенька. Появление второй ступеньки связано с обменным вытеснением более прочно связанных ионов Н+ в слабокислотных силикатных группах. Доля элементосиликатных [RO4/2]−M+ групп растет с увеличением отношения концентраций [R2O3/M2O]. Увеличение количества этих групп ответственно за исчезновение второй ступеньки (рис. 2.2).

Рис. 2.2 Сравнение электродных свойств стекол систем и Li2O-SiO2-R2O3 (R = B, Ga, Al): 1 - 27 мол.% и Li2O • 73 мол.% SiO2 ; 2 -27 мол.% Li2O • 71,5 мол.% SiO2 • 1,5 мол.% R2O3 (LiR); 3 - 27 мол.% Li2O • 61 мол.% SiO2 • 12мол.% R2O3

Движению слева направо в ряду оксидов: Al2O3, (B2O3), Ga2O3, (Fe2O3), In2O3 отвечают ослабление электродного эффекта оксида стеклообразователя и усиление отмеченного эффекта оксида-модификатора. Указанный факт связан с уменьшением вероятности образования элементосиликатных групп в рассматриваемом ряду оксидов, что определяется отношением радиусов г  и силой поля ионов R 3+.

В отличие от рассмотренной выше группы оксидов добавки к бинарным стеклам М2О - SiO2 оксидов La2O3 , Nd2O3, Y2O3, Sc2O3 не приводят к очень резким изменениям их электродных свойств. Однако в этом ряду оксидов движению слева направо отвечает усиление эффектов, которые также можно связать с образованием групп элементосиликатного типа. Стекла, включающие Y2O3, особенно Sc2O3, обнаруживают отклонения от водородной функции и переход к металлической функции при сравнительно малых значениях рН. Для этих оксидов так же, как для оксидов RO, нельзя отметить резкой дифференциации связей ионов Н+ и М+ в структуре. Здесь также можно говорить о широком наборе различных энергетических состояний ионов, что проявляется в плавном переходе от водородной к металлической функции. Эти оксиды благоприятно сказываются на химической устойчивости стекол.

При исследовании электродных свойств стекол, включающих оксиды железа, было обнаружено, что некоторые стекла с большим их содержанием при-обретают способность отвечать на окислительный потенциал растворов. Таким образом, появилась возможность применения новых материалов для изготовления электродов, которые могут найти применение в оксредметрии. Самостоятельный интерес представляет и дальнейшее исследование свойств таких стеклянных электродов.

Системы М2О- RO2- SiO2 (R = Ge, Sn, Ti, Zr). В противоположность ожидаемому оказалось, что введение оксидов RO2 приводит к резкому смещению начала отклонений от водородной функции в сторону меньших значений рН и к ступенчатому ходу кривых Е-рН. Последнее говорит о дифференциации связей ионов по двум сортам ионогенных групп: слабо- и сильнокислотных. С увеличением концентрации RO2 в стеклах увеличиваются значения постоянных К. Таким образом, была установлена полная аналогия в свойствах рассматриваемых стекол и стекол, включающих такие оксиды-стеклообразователи, как В2О3, Al2O3 и др. Мы предполагаем, что и в данном случае в сетке стекла образуются узлы с избыточным отрицательным зарядом, которым, возможно, отвечают ионогенные группы [RO6/2]2−2M+(2H+). Образование групп такого рода (сильнокислотных в Н-форме) проявляется все более заметно в следующем ряду оксидов: GeO2 < TiO2< ZrO2 < SnO2. Действительно, при переходе от Ge к Sn в этом ряду становится все более вероятной координация иона R4+ по кислороду, равная шести, что, по-видимому, является проявлением наиболее благоприятных отношений радиусов ионов ().


Рис. 2.3 Зависимость lgK/K0 от отношений радиусов ионов для различных стекол: 1 - Li2O-R2O3-SiO2; 2 - Na2O-R2O3-SiO2; 3 - Na2O-RO2-SiO2; 4 - Li2O-RO-SiO2; 5 - Na2O-RO-SiO2, включающих силикатные и элементосиликатные группы: 1 - [RO4/2]−Li+; 2 - [RO4/2]−Na+; 3 - [RO6/2]2 −2Na+; 4 - [RO4/2]2−2Li+; 5 - [RO4/2]2−2Na+ соответственно

Таким образом, при систематическом исследовании электродных свойств стекол простых по составу систем обнаружилась тесная зависимость влияния на эти свойства различных их компонентов от той роли, которую они играют в образовании структуры стекла. Рассмотренные закономерности, отражающие зависимость электродных свойств стекол от их структуры, находят свое проявление и в более сложных по составу стеклах, что особенно важно при разработке рецептур стекол практического назначения, как правило многокомпонентных.

3. РЕЗУЛЬТАТЫ МОДИФИЦИРОВАНИЯ ПОВЕРХНОСТИ СЭ С PH-МЕТРИЧЕСКОЙ И МЕТАЛЛИЧЕСКОЙ ФУНКЦИЯМИ

стеклянный электрод раствор поверхность

В соответствии с современными представлениями электродные свойства стекла в значительной мере определяются строением и составом поверхностного слоя (ПС), взаимодействующего с раствором. В ПС условно могут быть выделены четыре части: I - кремнеземная пленка, II - выщелоченный слой, III - ионообменный слой, IV-толща стекла. Общая толщина первых трех слоев - порядка нескольких микрометров. Состав стекла определяет важнейшие электрохимические характеристики ПС - числа переноса ионов водорода и щелочного металла и тем самым соответствующую электродную функцию. Если в стекле содержится не менее 5 мол. % Al2О3 , B2О3 (а также V2O5 и его аналоги, SnO2), электроды из такого стекла имеют водородную функцию только в кислых растворах, а в нейтральных и щелочных их потенциал обнаруживает линейную зависимость от десятичного логарифма активности ионов щелочного металла с наклоном RT/F = 0.198 Т (мВ), что указывает на близость числа переноса иона щелочного металла в ПС к единице. Отсутствие названных оксидов в силикатном стекле обусловливает водородную функцию вплоть до слабощелочных растворов, поэтому было интересно исследовать влияние внесения тех или иных оксидов в ПС с внешней стороны путем покрытия стеклянного электрода (СЭ) тонкой пленкой. В случае рН-чувствительных транзисторов (ИСПТ) показана возможность изменения их электродных свойств при нанесении различных диэлектрических оксидных пленок (SiО, Al2О3, NaAlx SiyО).

В настоящей работе для модификации поверхности СЭ мы использовали метод молекулярного наслаивания (МН), который, как это следует из результатов многочисленных исследований, приводит к равномерному распределению наносимого оксида по поверхности. Метод МН основан на чередовании необратимых хемосорбционных реакций, идущих при непрерывном притоке реагентов и удалении летучих продуктов. При этом было показано, что прирост толщины пленки (подложка - кристаллический кремний со слоем оксида) за одну последовательную обработку парами SiCl4 (или T iCl4) и воды составляет несколько десятых нанометра.,Ti-, Al-оксидные покрытия мы получали попеременной обработкой поверхности СЭ парами хлорида соответствующего элемента и воды с промежуточным удалением избытка реагентов и хлористого водорода. Все эти операции проводились при температурах, меньших 570 К, в потоке аргона высокой чистоты, пропущенного через цеолитовый фильтр. Использовались безводные хлориды титана (IV), кремния (IV) марки «осч», алюминия (III) марки «ч». Для опытов были взяты обычные сферические электроды из стекла с водородной функцией (Li-28) и из стекла с металлической функцией (LiAl-2412). Перед обработкой хлоридами электроды вымачивались сугки в бидистиллированной воде, прогревались сначала в токе аргона с добавлением паров воды, затем в токе сухого инертного газа при установленных температурах от 470 до 570 К. Электродные свойства исследовались с помощью pH- метра типа рН-121 и цифрового милливольтметра типа Щ-1516 при 293 ± 3К. Погрешность определения потенциала СЭ ± 0.5 мВ. Зависимость Е-pH снималась в растворе универсальной буферной смеси, содержащем заданную фоновую концентрацию иона щелочного металла, получаемую добавлением раствора его гидроксида той же концентрации при движении в щелочную область и добавлением раствора соляной кислоты на фоне хлоридной соли щелочного металла той же концентрации при движении в кислую область. Все эксперименты ставились на сериях из 5+8 СЭ.

Число обработок (или циклов) по методу МН (реакция с хлоридом, удаление реагента и продуктов, реакция с Н2О, удаление реагента и продуктов) варьировалось от 1 до 8. На рис. 3.1 показана зависимость ЭДС ячейки

| AgCl, КС1 | j раствор | стекло | 0.1 моль • кг-1 HC1, AgCl | Ag

от pH при постоянных концентрациях Li+ для электродов из исходного LiAl- 2412 (кривая 1) и с покрытием, полученным в восьми циклах МН с SiCl4 (кривая 2). Кривая 1 отражает характерное для электрода из этого стекла отсутствие зависимости потенциала от pH. Кривая 2 показывает наличие такой зависимости у электрода с нанесенным слоем гидратированного оксида кремния. Можно полагать, что этот слой препятствует движению ионов лития, а электрический ток через ПС частично обусловлен переносом ионов водорода. Величина наклона зависимости Е-pH приближается к теоретической и составляет 48 мВ/ед. pH. При меньшем числе обработок электродов из свекла LiAl-2412 как с SiCl4, так и с ТiCl4 установлено лишь некоторое нарушение металлической функции.

Рис. 3.1 Зависимость потенциала электрода из стекла LiAl-2412 без нанесенного слоя (1) и с нанесенным в восьми циклах МН слоем SiО2 (2) от pH при постоянной концентрации LiCl 0.1 М

В случае же электродов из бинарного стекла Li-28 уже после одной обработки методом МН с AlCl3 наблюдается уменьшение наклона прямых Е-рН до 28+30 мВ/ед. pH винтервале pH 15+9 на фоне 0.1 М Li+; при одной-двух обработках с ТiCl4 - только до 42 и 47 мВ/ед. pH на фоне 0.1 М Nа+ и Li+ соответственно. При нанесении А1-оксидного слоя в двух циклах МН обнаружилась частичная потеря водородной функции при концентрации иона металла 0.01 М и полная при 0.1+1.0 М концентрации (рис. 3.2, кривые 1-3). Заметно некоторое влияние на значение потенциала среды предварительного вымачивания: бидистиллят или раствор соли (рис. 3.2, кривые 1-3, 1'-3'). Исследование ЭДС ячеек с жидкостной границей и без жидкостной границы, включающих подобным образом модифицированный электрод с различными по концентрации (0.001+1.0 моль • кг-1) растворами LiCl, NaCl, KCI, обнаружило тенденцию к проявлению СЭ металлической функции (рис. 3.2, кривые 5-9).

Рис. 3.2 Зависимость потенциала электрода из стекла Li-28 с нанесенным в двух циклах МН с АlС13 и Н2О слоем А12О3 от pH (1-4), активности ионов металлов или соли (5-9) и от времени (10, 11)

Концентрация LiC1 (М): 0.01 (1), 0.1 (2), 1.0 (3); после выщелачивания в бидистиллированной воде (1-3), в 0.1 М LiC1 (1'-3' ); электрод без нанесенного слоя (4). Активность ионов металлов или соответствующей соли: 5,8- Li, 6,9 - Na - К при pH = 5-6.5-7- ячейка с жидкостной границей, вымачивание в 0.1 М растворе соответствующей соли; 8, 9 - ячейка без жидкостной границы, вымачивание в бидистиллированной воде; 5', 8' - с металлической функцией Динамика потенциала модифицированного электрода при смене раствора LiC1 на растворы К LiC1 (10) и Na C1 (11) (концентрация растворов 0.1 моль • кг-1) .

На рис. 3.2, кривые 10-11 представлена зависимость потенциала электрода из бинарного стекла с нанесением в ПС оксидом алюминия от времени при замене раствора иона одного щелочного металла на раствор другого. Видно, что такой СЭ откликается на замену так же, как электроды из стекла с введением при его синтезе оксидом алюминия.

Как в случае стекла Li-28, так и LiAl-2412 не достигнуто полного преобразования электродной функции. Одно из возможных этому объяснений состоит в отсутствии равномерной сплошности покрытия, когда существуют такие, может быть очень малые, участки ПС, через которые из раствора проходят водородные ионы в случае металлической функции или ионы щелочного металла в случае водородной функции.

Полагаем, что поставленные эксперименты по-новому представляют определяющую роль ПС в специфичности электродной функции. Ранее во многих работах подробно изучалась зависимость электродных свойств от состава стекла. Результаты данного исследования позволяют предположить, что влияние тех или иных оксидов, введенных в стекло при синтезе, сказывается на электродных свойствах только в том случае, если эти оксиды оказываются в составе ПС, образующегося при взаимодействии с раствором.

 

4. ОПИСАНИЕ СОБСТВЕННОГО ЭКСПЕРИМЕНТА


Прежде всего был приготовлен водный раствор Универсальной Буферной Смеси (далее УБС), раствор щёлочи концентрации 1н NaOH. Щёлочь должна содержать одноимённый с добавленным в буферный раствор хлоридом щелочной ион. При этом концентрация щёлочного иона в растворе щёлочи и в растворе УБС должна быть одинакова.

Приготовление УБС + 1н. NaCl на глицине:

)        2,27 мл CH3COOH(конц.)

)        2,47 г H3BO3

)        3,00 г C2H2O2N

)        83 мл HCl(конц.)

5)      58,5г NaCl

)        Доводим до метки 1л Н2О.

Перед началом основной работы было произведено измерение сопротивления электродов. Это необходимо для проверки электродов на наличие микротрещин. Сопротивление измерялось на приборе Е6-3. Полученные данные представлены в табл. 4.1:

Таблица 4.1

Сопротивление

Электроды

1

2

3

4

5

R, МОм

5

8

5

4

5


Данные, полученные на приборе, позволяют сделать вывод о том, что микротрещин в СЭ нет, значит они пригодны для дальнейшей работы.

Далее была проведена калибровка контрольного (вспомогательного) рН электрода 41ст. с широкой областью выполнения водородной функции по четырём стандартным буферным растворам с рН: 1,68; 4,01; 6,86; 9,18. Данные буферные растворы приготовлены по стандартам ГОСТ. Результаты представлены в табл. 4.2.

Таблица 4.2

Результаты измерений

Буферный раствор, рН

Контрольный электрод 41ст., мВ

1,68

295

4,01

156

6,86

-009

9,18

-137


Основным этапом работы было получение зависимости потенциалов стеклянных электродов от рН раствора, которая получалась титрованием раствора УБС раствором щёлочи 1н. NaOH. Это титрование будем называть прямым титрованием. При этом концентрация щелочного иона не изменяется. Исследуемые электроды оставили на 14 суток в 1н. растворе NaCl, контрольный электрод - в 0,1М растворе HCl. По прошествии 14 сток снимался обратный ход кривой Е-рН: для этого провели обратное титрование, то есть титрование щёлочи раствором УБС.

Таким образом, результаты работы представлены в табл. 4.3(прямое титрование) и 4.4(обратное титрование)

Таблица 4.3

Прямое титрование

ЭДС СЭ №1, мВ

ЭДС СЭ №2, мВ

ЭДС СЭ №3, мВ

Среднее значение ЭДС, мВ

ЭДС контрольного электрода 41ст., Мв

рН

131

122

125

126

381

108

99

105

104

358

0,6

90

81

87

86

339

0,8

73

64

70

69

321

1,2

55

46

52

51

303

1,5

34

25

31

30

282

1,8

12

3

9

8

259

2,1

-22

-29

-24

-25

226

2,7

-60

-68

-63

-64

187

3,3

-87

-95

-89

-90

160

3,9

-115

-123

-117

-118

131

4,4

-146

-153

-148

-149

101

4,9

-174

-182

-176

-177

5,4

-205

-213

-207

-208

41

6,0

-237

-244

-238

-240

8

6,8

-260

-267

-262

-263

-15

7,1

-293

-300

-295

-296

-49

7,7

-324

-332

-327

-327

-82

8,3



Таблица 4.4

Обратное титрование

ЭДС СЭ №1, мВ

ЭДС СЭ №2, мВ

ЭДС СЭ №3, мВ

Среднее значение ЭДС, мВ

ЭДС контрольного электрода 41ст., Мв

рН

-380

-397

-387

-387

-145

9,4

-358

-376

-365

-366

-118

9,0

-331

-347

-341

-340

-88

8,3

-310

-326

-320

-319

-65

8,0

-277

-294

-287

-286

-31

7,3

-249

-258

-258

-1

6,8

-218

-235

-226

-226

31

6,2

-189

-207

-196

-197

60

5,6

-160

-178

-167

-168

89

5,0

-128

-146

-135

-136

121

4,6

-96

-115

-104

-105

153

4,0

-71

-89

-78

-79

178

3,6

-40

-58

-48

-49

209

3,0

-9

-28

-17

-18

240

2,5

22

3

13

13

270

2,0

52

33

43

43

300

1,6

82

64

73

73

330

1,0

117

131

128

382

0,8


Таким образом, было проведено исследование электродных свойств стеклянных pH-электродов(далее СЭ) методом измерения ЭДС гальванического элемента, включающего стеклянный и вспомогательный электроды.

Показания ЭДС снимались с микропроцессорного измерительного преобразователя/регулятора для окислительного потенциала “Jumo”.

Основные измерения ЭДС проводились при комнатной температуре (t = 22C).

ВЫВОДЫ


В современной практике химического анализа и физико-химических исследований широко применяются мембранные ионоселективные электроды (ИСЭ). Статья посвящена гальваническим элементам, частью которых являются ИСЭ. Их электрический потенциал чувствителен к изменению содер-жания определенного вида ионов в растворе, что выражается и в зависимости электродвижущей силы (ЭДС) гальванического элемента от концентра-ции этих ионов. Стеклянный электрод - один из наиболее распространенных и хорошо изученных электродов такого рода. Уже в первых работах по изучению стеклянных электродов была обнаружена различная чувствительность разных по составу сте-кол к изменению кислотности среды (pH), появились сведения о влиянии ионов щелочных металлов на величину потенциала стеклянных электродов, что явилось основанием разработки различных теорий действия стеклянных электродов и изучения электродных свойств стекла.

Б.П. Никольским была развита ионообменная теория, получившая широкое признание. В предвоенные годы началось производство рН-метров (приборов, измеряющих pH) со стеклянными электродами, а после войны было убедительно доказано, что стеклянные электроды можно применять не только для определения кислотности (рН-метрия), но и для изучения содержания в растворах других видов ионов (ионометрия). Кроме того, исследование электродных свойств разнообразных по составу стекол позволило получать интересную информацию об их строении (электродный метод), о взаимодействии стекол с растворами электролитов, а также о физико-химических свойствах самих электролитов.

СПИСОК ИСПОЛЬЗОВАННОЙ ЛИТЕРАТУРЫ


1.      Алесковский В.Б. Курс химии надмолекулярных соединений. СПб.: Изд. СПб. 2012. 270 с.

.        Аппен А.А. Химия стекла. СПб.: Химия, 2014. 351 с.

3.      Бейтс Р. Определение рН: Теория и практика. Спб.: Химия, 2012, 398 с.

.        Белюстин А. А. Современные представления о строении поверхностного слоя стекла, взаимо-действующего с растворами / / Стеклообразное состояние. Тр. VIII Всес. совещ. JI.: Наука, 1988. С. 118-124.

.        Белюстин А.А. Современные представления о строении поверхностного слоя стекла, взаимодействующего с растворами // Сб.:"Физика и химия силикатов", под ред. М.М. Шульца и Р.Г. Гребенщикова. Л., "Наука", 1987, С. 223-242.

.        Белюстин А.А., Шульц М.М., Пешехонова Н.В., Иванова Л.И., Шугалова АЛ., Могилева В.В., Ивановская И.С. Динамика установления потенциала стеклянного электрода и концентрацион¬ное распределение ионов в поверхностных слоях стекла // ДАН СССР. 1978. Т. 240. № 6. С. 1376-1379.

.        Кольцов С.И., Дрозд В.Е., Алесковский В.Б. Исследование степени гидратации поверхности монокристаллического кремния при различных температурах // ДАН СССР. 1976.. Т. 229. №5. С. 1145-1147.,

.        Лепнёв Г.П. , Артемьев Ю.М., Артемьева М.А. Изменение характера электродной функции при нанесении оксидов алюминия, кремния, титана на поверхность стеклянного электрода // Физика и химия стекла.1993. - т. 19, вып. 5, стр. 803-807.

9.      Никольский Б.П. // ЖФХ. 2013. Т. 10. С. 495-504.

.        Шульц М.М. // Учен. зап. СПбГУ. Сер. хим. наук. 2013. Вып. 13, № 169. С. 80-156.

11.    Шульц М.М. Зависимость электродных свойств стекол от их структуры // Вестн. ЛГУ. Сер. «Физика, химия». 1963. Вып. 1 (№ 4). С. 174-186.

.        Шульц М.М. Стекло: Структура, свойства, применение // Соросовский Образовательный Журнал. 2012. № 3. С. 49-55.

.        Шульц М.М., Стефанова O.K. Электродные свойства ионообменных мембран и механизм переноса заряда в них. III // Вестн. ЛГУ. Сер. «Физика, химия». 1976. Вып. 1 (№ 4). С. 88-93.

.        Abe H., Essashi М., Matsuo Т. ISFETPs using inorganic gate thin films / / IEEE Trans. Electron. Dev. 1979. ED-26. N12. P. 1939-1944.

.        Belyustin A. A. The centenary of glass electrode: from Max Cremer to F. G. K. Baucke //J. Solid State Electrochem. 2011 Vol. 15, №1, Р.47-65.

Похожие работы на - Влияние состава поверхностного слоя стеклянного электрода на характер его функции

 

Не нашли материал для своей работы?
Поможем написать уникальную работу
Без плагиата!
Без нейросетей!