Анализ работы блока разделения опытной установки получения абсорбента-олигомеризата ОАО 'Омский Каучук'
МИНИСТЕРСТВО
ОБРАЗОВАНИЯ И НАУКИ РОССИЙСКОЙ ФЕДЕРАЦИИ
Федеральное
государственное бюджетное образовательное
учреждение
высшего профессионального образования
«ОМСКИЙ
ГОСУДАРСТВЕННЫЙ УНИВЕРСИТЕТ им. Ф.М. Достоевского»
Химический
факультет
Кафедра
химической технологии
ПОЯСНИТЕЛЬНАЯ ЗАПИСКА
к курсовому проекту по специальности
«Технология переработки природных
энергоносителей и углеродных материалов»
на тему:
«Анализ работы блока разделения
опытной установки получения абсорбента-олигомеризата ОАО «Омский Каучук»
Омск-2013
Реферат
Анализ работы блока разделения опытной установки получения
абсорбента-олигомеризата ОАО «Омский Каучук»
В настоящем курсовом проекте представлен аналитический обзор по
физико-химическим основам процесса олигомеризации, а также технологическим
схемам реализации данного процесса. В качестве объекта исследования была
выбрана ректификационная колонна для отделения абсорбента-олигомеризата от
лёгких углеводородов.
В проекте выполнен анализ работы блока разделения абсорбента-олигомеризата
от лёгких углеводородов. Разработана компьютерная модель блока разделения в
пакете прикладных программ UniSim Desing R380, определены параметры работы
оборудования блока.
Выполнен расчет стабилизационной колонны Кт-10, кипятильника кубового продукта
Т-8 и центробежного насоса для подачи флегмы в колонну Кт-10 и откачки
отработанной ББФ.
Основные условные обозначения
ББФ - бутан-бутиленовая фракция;
ГПС - газо-продуктовая смесь;
УВ - угдеводороды;
с - средняя массовая теплоемкость;
D -
диаметр кожуха;
d -
внутренний диаметр теплообменных труб;
F -
поверхность теплопередачи;
G -
массовый расход теплоносителя;
g -
ускорение свободного падения;
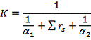
K -
коэффициент теплопередачи;
L -
длина теплообменных труб;
l -
определяющий размер в критериях подобия;
М - масса;
N -
число пластин, мощность;
n -
число труб; число параллельных потоков;
p -
давление;
Δр - гидравлическое сопротивление;
Q -
тепловая нагрузка;
q -
удельная тепловая нагрузка;
r -
удельная массовая теплота конденсации (испарения);
rз -
термическое сопротивление слоя загрязнений;
S -
площадь поперечного сечения потока;
t -
температура;
Δt - разность температур стенки и теплоносителя;
w -
скорость движения теплоносителя;
z -
число ходов в кожухотрубчатых теплообменниках;
α - коэффициент теплоотдачи;
β - коэффициент объемного расширения;
δст - толщина стенки теплопередающей
поверхности;
λ - теплопроводность; коэффициент
трения;
μ - динамическая вязкость;
ρ - плотность;
σ - поверхностное натяжение;
ξ - коэффициент местного
сопротивления;
-
критерий Рейнольдса;
-
критерий Нуссельта;
-
критерий Прандтля;
-
критерий Грасгоффа.
Индексы:
-
теплоноситель с большей средней температурой (горячий);
-
теплоноситель с меньшей средней температурой (холодный);
н
- начальное значение; наружный размер; унос;
к
- конечное значение; кожух;
ст
- стенка;
т
- теплообменник;
тр
- трубное пространство;
мтр
- межтрубное пространство;
ш
- штуцер.
ВВЕДЕНИЕ
Интенсивное развитие вторичных процессов деструктивной переработки нефти
привело в начале 50-х годов к появлению на нефтеперерабатывающих заводах
ресурсов углеводородов С3- С4 в количествах, значительно больших, чем их можно
было ввести в состав моторных топлив без превышения допустимого уровня давления
насыщенных паров. В связи с этим, в промышленных масштабах начали применять
процесс каталитической олигомеризации пропилена и бутиленов с целью получения
жидких продуктов С6-С15, которые можно было бы использовать в качестве
компонентов высокооктанового бензина.
Абсорбент-олигомеризат используется как высокооктановый компонент
автомобильных бензинов. Благодаря высокому октановому числу (ИОЧ до 96) он
может применяться для приготовления бензинов марок Аи-92 и Аи-95.
Важным преимуществом олигомеризата является низкое содержание
ароматических соединений, что важно для повышения гигиенической характеристики
топлива, т.к. содержание бензола и суммарной ароматики в бензинах нормируется,
а нормы ужесточаются.
Неоспоримым преимуществом процесса олигомеризации н-бутиленов является
получение из бутан-бутиленовой фракции высокооктанового компонента автомобильного
бензина. Реализация этого процесса позволит квалифицированно перерабатывать
отходы производства МТБЭ в дорогостоящий товарный продукт.
Цель: выполнить анализ работы блока разделения установки олигомеризации.
Задачи:
. Мониторинг потоков и параметров блока разделения;
. Анализ работы блока на компьютерной модели;
. Расчёт и подбор основного и вспомогательного оборудования.
1.
ЛИТЕРАТУРНЫЙ ОБЗОР
олигомеризация
ректификационный баланс химический
1.1 Физико-химические основы процесса олигомеризации
Процесс олигомеризации предназначен для получения низкомолекулярных
полимеров (димеров) пропилена и бутиленов, используемых в качестве моторного
топлива, или сырья нефтехимического синтеза[1].
В качестве сырья установок олигомеризации используют пропан-пропиленовую
(ППФ) и бутан-бутиленовую (ББФ) фракции каталитического крекинга, пиролиза,
дегидрирования низших парафинов и отработанные фракции С4 после производства
МТБЭ.
Получение олигомеризата осуществляется методом каталитических превращений
низкомолекулярных ненасыщенных углеводородов в присутствии катализатора,
состоящего из высококремнеземного цеолита группы пентасилов, модифицированных
цинком или галлием, с последующим разделением продуктов синтеза[2].
Стадии производства:
олигомеризация (стадия синтеза)
- выделение олигомеризата из продуктов синтеза фракционированием.
Процесс расширения схемы переработки н-бутиленов представляет процесс
получения абсорбента-олигомеризата. В основе технологии получения из
бутиленовой фракции олигомеризата - высооктанового компонента автобензина,
заложен процесс олигомеризации. Процесс состоит из двух стадий - реакции
олигомеризации (стадия синтеза) и выделения образовавшихся легких продуктов
С1-С4 из продуктов катализа ректификацией.
Процесс олигомеризации - это каталитические превращения углеводородов С4:
димеризация, изомеризация, дегидрирование, циклизация, крекинг и незначительный
процент ароматизации (в олигомеризате содержание ароматических соединений не
превышает 3% масс.).
Поскольку сырьем для процесса олигомеризации является бутан-бутиленовая
фракция, имеют место реакции превращения по отдельности для бутана и для
бутиленов.
Процесс олигомеризации протекает непрерывно как гетерогенный процесс в
газовой фазе на стационарном слое цеолитсодержащего катализатора. Катализатор
представляет собой гранулы, состоящие из высококремнеземного цеолита группы
пентасилов и оксида алюминия, промотированные несколькими промоторами. Процесс
проводят при температуре (280 - 450)оС, давлении (1,1- 2,0) МПа ((11,0 - 20,0)
кгс/см2) и объемной скорости подачи сырья (по жидкости) 1,4 - 2,2 час-1[2].
Совокупность реакций превращения н-бутана может быть представлена
следующим образом:
C4H10C4H8C8H16C6H4(CH3)2
k4
k5+C3H6 C3H6+C5H10
Рис.
1. Превращения н-бутана:, k2, k3 - константы скоростей реакций дегидрирования,
димеризации и ароматизации, соответственно;-1 , k -2 - константы скоростей
соответствующих обратных реакций;, k5 - константы скоростей реакций крекинга
Согласно этой схеме, скорость дегидрирования должна быть выше скорости
димеризации (k1 > k2). Кроме того, должно соблюдаться условие k3 > k2 и,
что особенно важно, ароматизация должна протекать гораздо быстрее крекинга
(k5< k3> k2) [2].
При нормальной эксплуатации цеолитсодержащего катализатора олигомеризации
в процессе переработки бутан-бутиленовой фракции протекают следующие химические
реакции:
Реакция изомеризации:
н-C4H8 → i-C4H8 + Q
н-C4H10
→ i-C4H10 + Q
н-C5H12
→ i-C5H12 + Q
Реакция олигомеризации:
H8 + C4H8 → C8H16 + QH8 + C2H4 → C6H12 + Q
Реакция крекинга:
H8 → C2H4 + C2H4 - QH10 → CH4 + C3H6 - Q
C4H10 → C2H4 + C2H6 - Q
Реакция циклизации олигомеров С6 - С12 и дегидрирования в ароматические
углеводороды. Степень ароматизации зависит от температуры в слое катализатора:
при повышении температуры более 450оС содержание ароматических углеводородов в
бензине может возрасти с (1 - 3) до 50%.
Реакция коксообразования - образование кокса на поверхности катализатора
за счет полимеризации олефинов. Содержание кокса на катализаторе в конце цикла
работы может достигать до 20% от веса, до такой глубины процесс вести
нежелательно. При содержании кокса на катализаторе (8 - 10)% рекомендуется
провести регенерацию катализатора. Рекомендуемый срок работы между циклами
регенерации ~ 500 часов, если нет резкого снижения активности катализатора.
Возможно также дегидрирование олефинов с получением
диеновых углеводородов, которые либо реагируют с изобутаном, образуя изоолефины
С5-С10, либо непосредственно превращаются в ароматические углеводороды.
Конверсия олефинов составляет от 90 до 98% маc. Выход жидкого продукта достигает 100-120% маcс. на исходные олефины[2].
Технология предусматривает использование двух
попеременно работающих реакторов (межрегенерационный пробег одного реактора -
300-420 ч). Катализатор выдерживает не менее 20 регенераций.
Групповой углеводородный состав катализата колеблется
в следующих пределах (% масс.): олефиновые - 2-70; ароматические - 0,5-38;
нафтеновые - 1-5; н-парафин-вые - 5-10; изопарафиновые - 15-40.
В зависимости от углеводородного состава изменяются и другие
характеристики продукта: октановое число - от 89 до 98 (по ИМ), индукционный
период - от 45 до 350 мин (с ионолом - не менее 900 мин). Содержание смол
достигает 5 мг/100 мл. Продукт не содержит серы (катализатор обладает
гидроочищающими свойствами)[3].
Тепло экзотермической реакции используется для подогрева сырьевого
потока, на выработку собственного водяного пара и на обогрев ректификационной
колонны.
Температура в слое катализатора, являющаяся определяющим показателем
процесса, зависит от ряда факторов: температуры сырья на входе в реактор,
концентрации бутиленов, активности катализатора и объемной скорости подачи
сырья.
Увеличение температуры в реакторе увеличивает скорость протекания как
основных, так и побочных реакций процесса, изменяя качество получаемых
продуктов. Повышение температуры процесса сверх оптимальной при одной и той же
активности катализатора сопровождается уменьшением количества получаемого
целевого продукта и увеличением выхода парафинов и ароматики в составе
продукта. Температура также является основным параметром, используемым для
компенсации падения активности катализатора в течение срока эксплуатации в
рабочем цикле. Для поддержания работоспособности катализатора и обеспечения
проектной выработки товарного олигомеризата в течение всего срока эксплуатации
необходимо постепенно, ступенчато повышать температуру сырья на входе в
реакторы, которая должна находиться в интервале (280 - 400)оС.
Уменьшение объемной скорости подачи сырья может привести к росту
темпера-туры в нижних слоях катализатора более 450оС. Это приводит к изменению
состава (качества) олигомеризата, повышенному образованию легких газов, т.е.
увеличивает крекирующую способность катализатора, что приводит к усилению
коксования катализатора.
С целью сохранения работоспособности катализатора необходимо ограничить
температуру в зоне реакции не более 450оС (рабочая температура не более
425оС). При эксплуатации катализатора необходимо следить за влажностью сырья
(не более 200ppm) и содержанием сернистых соединений
(не более 100ppm). Сырье и водяной пар (цикл
регенерации) должны быть очищены от сернистых соединений, аммиака, щелочи,
железа и тяжелых металлов. Присутствие в сырье и водяном паре завышенных количеств
указанных выше примесей отрицательно сказывается на сроке службы
катализатора[3].
Для проведения экзотермической реакции в мягких условиях, процесс синтеза
разбит на три ступени с промежуточным съемом тепла между реакторами с
использованием парогенератора[4].
Каждый реактор имеет ограниченный временной пробег в рабочем режиме,
который определяется активностью катализатора и требуется периодическая
регенерация катализатора. Реакторы каждой ступени синтеза работают попеременно,
при этом одни задействованы в рабочем цикле, а другие - в цикле регенерации или
находятся в резерве. При снижении активности катализатора, реакторы переводятся
в цикл регенерации, а в рабочий цикл переключаются реакторы с регенерированным
катализатором. Регенерация катализатора осуществляется азотно-воздушной смесью
с водяным паром. Смена рабочих циклов и регенерации осуществляется по мере
снижения активности катализатора, о чем свидетельствует уменьшение выработки
олигомеризата и снижение перепада температуры по реактору.
Процесс олигомеризации проводят при давлении (1,1-2,0) МПа ((11,0-20,0)
кгс/см2). Повышенное давление в системе позволяет за счет жидкой фазы (пленки)
смывать полимерные отложения с поверхности катализатора, не доводя их до кокса,
и тем самым поддерживать активность катализатора. Резкое снижение давления,
особенно при высоких температурах процесса (400 - 450)ºС, может вызвать интенсивное
закоксовывание катализатора и потребует преждевременную регенерацию.
Для подавления нежелательных реакций окислительной полимеризации
(осмоления) готового олигомеризата в процессе хранения предусмотрена подача
стабилизатора (антиоксиданта) на смешение с олигомеризатом в потоке. В качестве
антиоксиданта применяется синтетическое вещество Агидол-1
(4-метил-2,6-дитретбутилфенол). В основе его действия лежит способность лёгкой
отдачи атома водорода на присоединение к образующимся в процессе окислительного
старения радикалам, в результате чего происходит подавление реакций развития
цепи и, таким образом, увеличивается индукционный период и замедляется
осмоление продукта.
В табл. 1 приведена характеристика бензина, получаемого на основе смеси
катализата риформинга бензина (84%) и жидкого продукта олигомеризации ППФ и
ББФ.
Таблица 1
Качество катализатов риформинга бензина и
олигомеризации газов
|
Показатель
|
Катализат
|
Смесь
|
|
риформинга
|
Олигомеризации газа
|
|
|
бензина
|
|
|
|
Плотность при 20°С, кг/м3
|
757
|
692
|
742
|
|
Фракционный состав,
температура,°С: н.к.
|
|
|
|
|
33
|
23
|
31
|
|
10% об.
|
52
|
43
|
51
|
|
50% об.
|
103
|
101
|
103
|
|
90% об.
|
172
|
162
|
164
|
|
к.к.
|
202
|
212
|
204
|
|
ОЧ ММ/ ИМ
|
86,0/94,8
|
80,7/96,0
|
86,0/96,0
|
Разработанная технология (автор - ООО «СапрНефтехим) успешно освоена в
промышленных условиях на НПЗ в г. Мажейкяй (Литва). Ее реализация обеспечила
переработку 300 тыс. т/год ППФ и ББФ с получением высокооктанового компонента
автобензина[3].
1.2 Технологические схемы реализации процесса олигомеризации
Процессы производства компонентов автобензина из
олефинсодержащих газов широко используются и за рубежом. В частности,
Французский институт нефти (ФИН) разработал серию процессов олигомеризации и
полимеризации олефинов на твердых катализаторах в гетерогенной фазе или на
жидких катализаторах в гомогенной фазе[5].
К этим процессам относятся:
1. «Полинафта» - олигомеризация ППФ и ББФ на
гетерогенном катализаторе;
2. «Димерсол-Г» - полимеризация ППФ на гомогенном
катализаторе (металлоорганическом соединении);
3. «Димерсол-Х» - совместная димеризация пропилена и
бутилена;
. «Димерсол-Е» - полимеризация этиленсодержащих газов.
Олефиновые фракции С3 и С4 с установок каталитического
крекинга и пиролиза могут быть использованы в качестве сырья в процессах
«Димерсол» и «Полинафта», на которых производится высококачественный бензин.
Процессы осуществляются при низких температурах и давлениях[4].
Нежелательными примесями к сырью в этих процессах являются ацетиленовые и
диеновые соединения, вода, серосодержащие соединения, амины и т.д. Примеси
удаляются аминовой очисткой, содовым раствором, промывкой водой, осушкой или
селективным гидрированием.
Процесс «Полинафта» позволяет получать смесь
изоолефинов - компонент автобензина высокого качества. Гибкость процесса
обеспечивает производство катализата различного состава: от 100% бензина до
смеси, содержащей 70% керосина и 30% бензина[6].
Конверсия олефинов составляет от 92 до 97% в
зависимости от характеристик сырья и от требований к продуктам. Температура
реакции не превышает 200°С, давление в реакторах составляет 6 МПа.
Полученный бензин характеризуется октановым числом 82-83 ММ (95 - 98 ИМ),
т. е. более высоким, чем бензин каталитического крекинга.
Таблица 2. Октановые числа бензинов процесса
«Полинафта», полученных из различного сырья (без гидрирования)
|
Сырье
|
Октановое число
|
Октановый индекс (ИМ +ММ)/2
|
|
ИМ
|
ММ
|
|
|
С3 и С4 ККФ С4 ККФ С4 с
установки пиролиза: рафинат I рафинат 2 Бензин ККФ
|
95 97 98 94,5 92-94 96-97
|
82 83 82,5 82,5 79-81 92-93
|
88,5 90,0 90,2 88,5
85,5-87,5 94-95
|
При дополнительном гидрировании октановое число такого
бензина увеличивается на 1 - 2 пункта по ММ (и снижается на 1 пункт по ИМ) при
сохранении неизменной полусуммы этих показателей.
Процесс «Полинафта» осуществляется в нескольких
последовательно расположенных реакторах со стационарным слоем катализатора, где
подвергаются олигомеризации пропилен и смесь бутенов. Глубина конверсии и
селективность контролируются регулированием температуры реакции за счёт съёма
тепла экзотермической реакции в теплообменниках, установленных между
реакторами. На выходе из последнего реактора реакционная масса проходит
рекуперационный теплообменник, где нагревает исходное сырьё, а затем направляется
в блок фракционирования.
Продукты реакции стабилизируются от легких углеводородов С1-С4 в
колонне-стабилизаторе, а затем подвергаются ректификации с получением
бензиновой и керосиновой фракций (рис. 1).
Рис. 2. Принципиальная схема процесса «Полинафта»: 1 - реакторы; 2 -
дебутанизатор; 3 - разделительная колонна. I - сырье; II -
фракция С4; III - средние дистилляты; IV - бензин
В процессе «Димерсол» происходит димеризация олефинов с образованием
высокооктановой лёгкой бензиновой фракции с хорошей смесительной
характеристикой. Димеризация олефинов происходит в жидкой фазе на катализаторах
Циглера на основе соединений никеля, активированных металлоорганическими
соединениями. Оба компонента катализаторной композиции являются при нормальных
условиях жидкостями и полностью смешиваются с жидкими олефинами.
На стадии инициирования процесса образуется комплекс молекулы олефина с
активным центром катализатора. Затем к комплексу присоединяется вторая молекула
олефина.
Далее возможны два варианта прохождения реакции:
удаление димеризованной молекулы, при этом активный никель
регенерируется;
дальнейший рост углеводородной цепи при присоединении следующей молекулы
олефина с образованием продукта олигомеризации[2].
В последующем происходит изомеризация образовавшихся димеров.
Изомеризационная активность катализатора очень высока. Селективность
димеризации зависит от соотношения скоростей отрыва цепей от активных центров и
их роста.
Ядами для катализатора являются производные ацетилена, диены, кислород-,
азот-, серосодержащие соединения, образующие более прочные координационные
связи с никелем, чем мономер олефина.
Содержание этих примесей не должно превышать следующих значений, ppm:
сера: 2; - азот: 2;
вода: 5; - диены + ацетилены: 30;
кислородсодержащие: 30; - хлор: 1[2].
Процесс «Димерсол-Г» обеспечивает получение высокооктановых компонентов C6 и С9 бензина, которые можно
добавлять в товарный бензин в количестве от 5 до 15% мас. Такие их свойства,
как низкая плотность и высокое октановое число смешения (100 - 115) позволяют
решить проблему недостаточно высокого октанового числа в легких бензиновых
фракциях (табл. 3).
Таблица 3. Характеристика бензина «Димерсол-Г»
|
Показатель
|
Значение
|
|
Плотность при 150С, кг/м3
|
700
|
|
Разгонка по ASTM
- температура, 0С Н.к. 50% (об.) 70% (об.) 95% (об.)
|
60 68 80 185
|
|
ОЧ ИМ/ ММ
|
96/81
|
|
ОЧ смеси продукта: 10%
продукта + 90% риформата 10% продукта + 90% алкилата 10% продукта + 90%
бензина КК
|
95-100 113 99
|
Схема процесса «Димерсол-Г» включает три блока (рис.
2).
Рис. 3. Принципиальная схема процесса «Димерсол-Г»: I - сырье; II - катализатор; III - аммиак; IV - каустик; V - вода; VI - сжиженные газы; VII - бензин на смешение
Реакторный блок. Сырье смешивается с жидким
катализатором и поступает в один или несколько реакторов, работающих в жидкой
фазе. Часть продуктов реакции возвращается в процесс в виде рециркулята.
Блок нейтрализации катализатора. Катализатор
нейтрализуется аммиаком. Продукты реакции нейтрализуются раствором соды, затем
промываются водой. Отработанный катализатор в виде твердого остатка выводится
из системы.
Блок стабилизации. В стабилизационной колонне
производится отделение непрореагировавших пропана и пропилена от полученных
продуктов. С низа колонны выводится стабильный компонент автобензина. Конверсия
пропилена в бензин составляет (при трех последовательно расположенных
реакторах):
в I
реакторе - 90%
во II
реакторе - 95%
в III
реакторе - 97-98%[3].
2.
ТЕХНОЛОГИЧЕСКАЯ ЧАСТЬ
.1 Принципиальная схема установки олигомеризации
Сырье - бутан-бутиленовая фракция (ББФ) с давлением до 1,8 МПа (18
кгс/см2) и температурой до 40оС из емкостей Е-11/1-3 насосами Н-12/1,2 подается
последовательно в трубное пространство рекуператоров Т-1, Т-2, в которых нагревается
до температуры (120 - 170)оС теплом выходящих из реакторов Р-5/3, Р-6/3 потоков
реакционного газа (через Т-2) и теплом потока после кипятильника Т-8 (через
Т-1).
Далее газообразная ББФ поступает в печь П-4, где нагревается до
температуры (280-400)оС и затем поступает в реакторы первой ступени синтеза
Р-5/1 или Р-6/1.
Для обеспечения непрерывной работы блока, в технологическую схему
включены две параллельные нитки реакторов синтеза, каждая из которых включает
по три реактора Р-5/1-3 или Р-6/1-3, два парогенератора Т-7/1-2 и рекуператор
Т-2.
Реакторный блок представляет две параллельные нитки ректоров синтеза,
каждая из которых включает по три реактора - Р-5/1-3 и Р-6/1-3 и два
парогенератора на две нитки Т-7/1,2.
Газообразная ББФ из печи П-4 с температурой (280 - 400)°С поступает в реакторы первой ступени
синтеза Р-5/1 или Р-6/1.
В реакторах Р-5/1-3 и Р-6/1-3 осуществляется процесс превращения ББФ в
олигомеризат в присутствии цеолитного катализатора олигомеризации, содержащего
более 90% масс. высококремнеземного цеолита. Реакторы конструктивно выполнены
одинаково и обвязаны последовательно по сырью с возможностью их работы не
только в три, но также и в две ступени превращения. В каждом из реакторов
осуществляется контроль температуры по высоте катализаторного слоя и
сигнализация повышения температуры в слое катализатора до 450оС: в реакторах
Р-5/1-3. Давление на входе и выходе регистрируется: в реакторах Р-5/1-3 и
Р-6/1-3.
Пройдя первую ступень синтеза - реакторы Р-5/1 или Р-6/1,
газо-продуктовая смесь (ГПС) с температурой до 450°С поступает в парогенератор Т-7/1,
где охлаждается за счет испарения конденсата водяного пара, который подается в
межтрубное пространство парогенератора Т-7/1. Паровой конденсат для
парогенераторов подается насосом Н-155 из емкости Е-154
ГПС, пройдя парогенератор Т-7/1 с температурой (280 - 400)°С, поступает в реактор второй ступени
синтеза Р-5/2 или Р-6/2.
Затем ГПС с температурой до 450°С поступает во второй парогенератор Т- 7/2 , где охлаждается
за счет испарения конденсата водяного пара.
ГПС, пройдя парогенератор Т-7/2 с температурой (280 - 400)°С поступает в реактор третьей ступени
синтеза Р-5/3 или Р-6/3.
Выходящая из Р-5/3 или Р-6/3 ГПС с температурой до 450°С поступает в межтрубное пространство
рекуператора Т-2, где охлаждается, нагревая сырьевой поток, и далее с
температурой (250 - 300)°С
подается в качестве теплоносителя в кипятильник Т-8 колонны Кт-10.
После кипятильника Т-8 ГПС с температурой (170 - 250)°С, поступает на охлаждение в
межтрубное пространство рекуператора Т-1, где нагревает ББФ. После Т-1
реакционная масса подается при необходимости через межтрубное пространство
рекуператора Т-9, и направляется на блок ректификации - на питание колонны
Кт-10.
После этого клапана происходит сброс давления с 1,8 до (0,7-1) МПа (с 18
до 7-10 кгс/см2) с одновременным снижением температуры до (60-80)0С.
В колонне Кт-10 происходит разделение олигомеризата от легких
углеводородов до бутанов включительно. Колонна Кт-10 снабжена колпачковыми
тарелками в количестве 27 штук.
После аппарата Т-1 блока синтеза реакционная масса подается при
необходимости через межтрубное пространство рекуператора Т-9, где нагревается
отходящим кубовым потоком колонны Кт-10 до температуры (80 - 130)оС, и далее
поступает на 12, 14 или 16 тарелку питания колонны Кт-10.
Процесс ректификации в колонне Кт-10 происходит при давлении верха
колонны не более 0,65 МПа (6,5 кгс/см2), температуры верха не более (40 -
55)оС, и температуре куба колонны не более 160оС. Колонна Кт-10 обогревается
при помощи выносного кипятильника Т-8, в межтрубное пространство которого
подается реакционная смесь после рекуператора Т-2 с блока синтеза.
Пары легкокипящих углеводородов с верха колонны Кт-10 конденсируются и
охлаждаются в параллельно работающих конденсаторах Т-11/1,2 оборотной водой.
Схемой предусмотрена возможность включения в работу одного или двух
конденсаторов Т-11/1,2 , в зависимости от нагрузки. Сконденсированные
углеводороды из Т-11/1,2 с давлением до 0,65МПа (6,5кгс/см2) и температурой не
более 50оС поступают в емкость Е-12.
Из емкости Е-12 отработанная ББФ насосом Н-13/1,2 частично подается в
колонну Кт-10 в качестве флегмы для орошения, а избыток выводится с установки в
емкость Е-165 или в емкость Е-11/4.
Газовая фаза (сухой газ) из емкости Е-12 направляется в топливную сеть
или через емкость Е-159 на факел высокого давления.
Кубовый продукт колонны Кт-10 - товарный абсорбент-олигомеризат, под
собственным давлением проходит по трубному пространству рекуператора Т-9, где
охлаждается до 90оС за счет нагрева ГПС, поступающей на питание колонны поз.
Кт-10.
Товарный олигомеризат направляется на дополнительное охлаждение в аппарат
воздушного охлаждения АВО-14, где охлаждается атмосферным воздухом до
температуры 60°С и далее в
водяной холодильник Т-15. В холодильнике Т-15 олигомеризат охлаждается
оборотной водой до 45°С,
после чего выводится с установки.
В качестве антиокислительной присадки для повышения стабильности
олигомеризата при хранении используется неокрашивающий антиоксидант фенольного
типа Агидол-1.
Для приготовления 5%-ного раствора Агидола-1 используется часть
олигомеризата, который подается в емкость Е-16, куда предварительно загружается
Агидол-1. Емкость Е-16 находится под азотной подушкой. Раствор Агидола-1
дозировочным насосом Н-17/1,2 подается на смешение с основным потоком
олигомеризата после АВО-14.
2.2 Характеристика сырья, получаемых продуктов и вспомогательных
материалов
Таблица 4
|
№ п/п
|
Наименование сырья,
материалов, продуктов внутреннего потребления
|
Государственный или
отраслевой cстандарт, СТП, технические условия, регламент или
методика на подготовку сырья
|
Показатели по стандарту,
обязательные для проверки
|
Регламентируемые показатели
с допустимыми отклонениями
|
|
1
|
Фракция бутан- бутиленовая
|
СТП 08-11
|
Содержание, % масс.: сумма
бутиленов, не менее бутадиен - 1,3, не более
|
50 0,5
|
|
|
|
Массовая доля воды, %, не
более
|
0,02
|
|
|
|
Массовая доля сернистых
соединений в расчете на серу, %, не более
|
0,01
|
|
|
|
Массовая доля
азотосодержащих соединений, %, не более
|
0,001
|
|
2
|
Катализатор безводородной
ароматизации углеводородного сырья (универсальный) БАК-70У
|
ТУ 2177-076-47539605-2003
|
Массовые доли компонентов
катализатора (в пересчете на прока- ленный при 550оС), % масс.: диоксид
кремния оксид цинка примеси (сумма оксидов натрия и железа), не более
промотор оксид алюминия
|
55 - 65 2 - 5 0,7 0,05
- 1,0 30 - 43
|
|
|
|
Массовая доля
высококремнеземного цеолита группы пентасилов, %, не менее
|
70
|
|
|
|
Массовая доля потерь при
прокаливании при 650оС, %, не более
|
5,0
|
|
|
|
Насыпная плотность, кг/м3,
не менее
|
650
|
|
|
|
Индекс прочности на
раскалывание на ноже 0,1 мм, кг/мм, не менее
|
1,3
|
|
|
|
Диаметр гранул, мм
|
2,0 - 3,5
|
|
|
|
Массовая доля частиц менее
1 мм, %, не более
|
0,1
|
|
|
|
Каталитические свойства:
выход стабильного катализата в процессе олигомеризации олефинов С4 при их
концентрации в сырье (30-45) % масс., на пропущенные бутилены, %, не менее
|
70
|
|
3
|
Присадка антиокислительная
4-метил-2,6-дитретичный бутилфенол (Агидол-1) технический
|
ТУ 38.5901237-90 с изм. №
1-7 Марка А
|
Внешний вид
|
Белый кристаллический
порошок
|
|
|
|
Температура конца плавления,
оС, не менее
|
69,8
|
|
|
|
Разность температур между
началом и концом плавления, оС, не более
|
0,4
|
|
|
|
Температура кристаллизации,
оС, не ниже
|
69
|
|
|
|
Массовая доля основного
вещества, %, не менее
|
99,7
|
|
|
|
Содержание воды, %
Зольность, %, не более Содержание фенола, % Массовая доля алкилфенолов, %, не
более Цветность по Арна, ед. цветности, не более
|
Отсутствие 0,008 Отсутствие
0,3 25
|
|
4
|
Отработанная
бутан-бутиленовая фракция
|
СТП 09-11
|
Массовая доля, %: - сумма
углеводородов С3, не более - сумма углеводородов С5, не более
|
20 5
|
|
5
|
Газовая фракция легких
углеводородов
|
СТП 09-11
|
Массовая доля, %: - сумма
водорода, метана, углеводородов С2, не более
|
15
|
|
|
|
- сумма углеводородов С3,
не более
|
50
|
|
|
|
- сумма углеводородов С4,
не более
|
70
|
|
|
|
- сумма углеводородов С5,
не более
|
1
|
|
6
|
Азот
|
ГОСТ 9293-74
|
Объемная доля азота, %, не
менее
|
99,6
|
|
|
|
Объемная доля кислорода, %,
не более
|
0,4
|
|
|
|
Объемная доля водяного пара
в газообразном азоте, %, не более
|
0,009
|
|
|
|
Давление азота низкого
давления, МПа (кгс/см2)
|
0,4 - 0,7 (4 - 7)
|
|
|
|
Давление азота высокого
давления, МПа (кгс/см2)
|
1,2 - 1,5 (12 - 15)
|
|
7
|
Азот (воздух) для
опрессовки оборудования
|
Передвижной компрессор
|
Давление азота (воздуха)
высокого давления, МПа (кгс/см2), не менее
|
2,5 (25)
|
|
8
|
Сжатый воздух для нужд КИП
|
ГОСТ 24484-80, ГОСТ
17433-80
|
Давление, МПа (кгс/см2), не
менее
|
0,3 (3,0)
|
|
|
|
Точка росы, ОС, не более
|
минус 40
|
|
|
|
Содержание минеральных
масел вжидком состоянии, мг/м3
|
Не допускается
|
|
|
|
Содержание твердых частиц,
мг/м3, не более
|
1,0
|
|
|
|
Содержание кислот
|
Отсутствие
|
|
|
|
Содержание щелочей
|
Отсутствие
|
|
9
|
Осушенный воздух для
продувки
|
ГОСТ 24484-80, ГОСТ
17433-80
|
Давление, МПа (кгс/см2)
|
0,5 - 0,7 (5 - 7)
|
|
|
|
Содержание твердых частиц,
мг/м3, не более
|
1,0
|
|
|
|
Содержание кислот
|
Отсутствие
|
|
|
|
Содержание щелочей
|
Отсутствие
|
|
10
|
Оборотная вода
|
Регламент водоблока № 128
от 28.04.08 г.
|
Температура прямой воды,
оС, не более
|
25
|
|
|
|
Давление прямой воды, МПа
(кг/см2), не менее
|
0,25 (2,5)
|
Пар
|
Договор № 5-8 от 01.03.2000
г. между ОАО «Омский каучук» и ОАО «ТГК № 11»
|
Температура, оС
|
247 - 273
|
|
|
|
Давление, МПа (кгс/см2)
|
0,85 - 0,95 (8,5 - 9,5)
|
|
|
ТЭС ОАО «Омский каучук»
|
Температура, ОС Давление,
МПа (кгс/см2)
|
250-270 0,95 - 1,05 (9,5 -
10,5)
|
Характеристика получаемой продукции Таблица 5
|
Наименование
|
ГОСТ, ОСТ, СТП, ТУ
|
Показатели по стандарту,
обязательные для проверки
|
Регламентируемые показатели
с допустимыми отклонениями
|
|
Олигомеризат
|
ТУ 38.401-58-248-99 с изм.
№ 1
|
Плотность при 20 оС, кг/м3
Детонационная стойкость: - МОЧ, не менее - ИОЧ, не менее Фракционный состав:
- начало кипения, оС, не ниже, - 10 %, оС, не выше - 50 %, оС, не выше - 90
%, оС, не выше - конец кипения, оС, не выше - остаток в колбе, %, не более -
остаток и потери, %, не более Давление насыщенных паров, кПа (мм рт.ст.), не
более Кислотность, мг КОН на 100 см3 олигомеризата, не более Концентрация
фактических смол, мг на 100 см3 олигомеризата, не более Индукционный период,
мин., не менее Массовая доля серы, %, не более Испытания на медной пластинке
Механические примеси и вода
|
Не норм. 79 91 30 75 120
190 220 1,5 4,0 80(600) 2,0 5,0 360 0,05 Выдерживает Отсутствие
|
2.3. Нормы технологического режима
Таблица 6
|
№ п/п
|
Наименование стадий
процесса, аппараты, показатели режима
|
Единица измерения
|
Допускаемые пределы
параметров
|
Примечание
|
|
1
|
Расход сырья на блок
олигомеризации
|
т/час
|
5 - 15,5
|
Регулирование,
сигнализация,
|
|
|
(м3/час)
|
(10-27)
|
блокировка
|
|
2
|
Температура ББФ на выходе
из Т-1
|
оС
|
30 - 140
|
Регистрация
|
|
3
|
Температура ББФ на выходе
из Т-2
|
оС
|
70 - 170
|
Регистрация
|
|
4
|
Температура реакционной
смеси
|
оС
|
280 - 350
|
Регулирование
|
|
на выходе из Т-2
|
|
|
|
|
5
|
Реакторы Р-5/1-3, Р-6/1-3
|
Мпа
|
1,1 - 1,8
|
Регистрация
|
|
- давление сырья на входе
|
(кгс/см2)
|
(11 - 18)
|
|
|
- давление газопродуктовой
смеси
|
МПа
|
Не более 1,8
|
Регистрация
|
|
на выходе Р-5/1-3, Р-6/1-3
|
(кгс/см2)
|
(Не более 18)
|
|
|
- перепад давления
|
МПа
|
Не более 0,3
|
Регистрация,
|
|
|
(кгс/см2)
|
(Не более 3)
|
сигнализация
|
|
- температура по слою
катализатора
|
оС
|
280 - 450
|
Регистрация,
|
|
Р-5/1-3, Р-6/1-3
|
|
|
сигнализация
|
|
- температура на выходе из
реакторов
|
оС
|
Не более 450
|
Регистрация,
|
|
Р-5/1-3, Р-6/1-3
|
|
|
сигнализация
|
|
6
|
Температура газопродуктовой
смеси
|
оС
|
170 - 250
|
Регистрация
|
|
на выходе из Т-8
|
|
|
|
|
7
|
Температура газопродуктовой
смеси
|
оС
|
80 - 130
|
Регистрация
|
|
на выходе из Т-1
|
|
|
|
|
8
|
Давление газов регенерации
на свечу
|
МПа
|
Не более 0,05
|
Регистрация
|
|
|
(кгс/см2)
|
(Не более 0,5)
|
|
|
9
|
Температура по слою
катализатора в
|
оС
|
Не более 595
|
Регистрация,
|
|
Р-5/1-3, Р-6/1-3 при
регенерации
|
|
|
сигнализация
|
|
10
|
Расход воздуха на
регенерацию на входе
|
м3/час
|
Не более 35
|
Регулирование
|
|
11
|
Расход азота на регенерацию
на входе
|
м3/час
|
Не более 215
|
Регулирование
|
|
12
|
Расход пара на регенерацию
на входе
|
кг/час
|
Не более 1200
|
Регулирование
|
|
13
|
Давление газовоздушной
смеси на входе в печь П-3
|
МПа (кгс/см2)
|
0,1 - 0,5 (1 - 5)
|
Регистрация, сигнализация
|
|
14
|
Давление газовоздушной
смеси на выходе из печи П-3
|
МПа (кгс/см2)
|
Не более 0,3 (Не более 3)
|
Регистрация
|
|
15
|
Температура газовоздушной
смеси на регенерацию
|
оС
|
230-600
|
Регулирование, сигнализация
Блокировка
|
|
16
|
Температура ББФ на входе в
печь
|
|
70 - 170
|
Регистрация
|
|
17
|
Температура потоков в
радиантную камеру
|
оС
|
130 - 200
|
Регистрация
|
|
18
|
Температура потоков на
выходе из радиантной камеры
|
оС
|
250 - 400
|
Регистрация
|
|
19
|
Температура потока на
выходе из печи
|
оС
|
200-400
|
Регулирование, сигнализация
|
|
20
|
Давление ББФ на входе в
печь
|
МПа (кгс/см2)
|
Не менее 1,1 (не менее 11)
|
Регистрация, сигнализация
|
|
21
|
Давление ББФ на выходе из
печи
|
МПа (кгс/см2)
|
1,05- 1,75 (10,5 - 17,5)
|
Регистрация, блокировка
|
|
22
|
Дымовые газы: - Разрежение
перед конвекцией - Температура на перевале печи - Температура на входе в
дымовую трубу
|
МПа оС оС
|
0 - 0,00001 Не более 900
Не более 400
|
Регистрация, блокировка,
сигнализация
|
|
23
|
Сепаратор Е-19 - Уровень -
Давление до Е-19 Температура: - на входе в Е-19 - после Т-18
|
% МПа (кгс/см2) ºС ºС
|
10-60 0,2-0,55 (2,0-5,5)
30 - 40 не более 95
|
Регистрация,
сигнализация Регулирование, сигнализация
|
|
24
|
Температура подачи сырья
|
оС
|
80 - 130
|
Регистрация
|
Спецификация технологического оборудования Таблица 7
|
№ п/п
|
Номер позиции по схеме
|
Наименование оборудования
или технических устройств
|
Кол-во
|
Материал, способы защиты
|
Техническая характеристика
|
|
1
|
2
|
3
|
4
|
5
|
6
|
|
1
|
Т-2
|
Теплообменник
горизонтальный кожухотрубчатый с плавающей головкой. Служит для подогрева
сырья перед подачей его в печь реакции и снятия тепла реакционной массы перед
подачей ее в испаритель поз. Т-8. Аппарат расположен на отметке 0,0м отд.
Д-3.
|
1
|
корпус - 12Х18Н10Т трубки
-12Х18Н10Т Наружная покраска.
|
Поверхность теплообмена -
106,5 м³ Диаметр - 600 м³ Длина -7250 м³ Расчетное давление (тр/м·тр) - 2,5/2,5 МПа Рабочее
давление (тр/м·тр) - 1,8/1,4 МПа Расчетная температура (тр/м·тр) - 200/470 ºС Рабочая температура: - на входе(тр/м·тр) - 80/450 ºС - на выходе(тр/м·тр) - 150/250 ºС Объем: -трубного пр-ва - 1,65 м3 -межтрубного
пр-ва - 1,05 м3 Трубки: 6000´25´2 мм количество - 226 шт. Масса - 5150 кг
|
|
2
|
П-3
|
Печь регенерации. Служит
для нагрева азотовоздушной смеси с водяным паром, подаваемой в реакторы для
регенерации катализатора.
|
1
|
-
|
Теплопроизводительность
(полезная) - (0,16-0,19) Гкал.час Поверхность теплообмена - 58 м2 Диаметр
змеевика - 89 мм Количество потоков - 8 шт. Расчетное давление труб - 0,8 МПа
Расчетная температура труб - 620 оС Температура на выходе из печи - - (250 -
600) ºС Масса - 17815 кг Высота печи - 20,5 м
|
|
3
|
П-4
|
Печь для нагрева сырья.
Служит для нагрева сырья, поступающего в реактора.
|
1
|
-
|
Ширина - 1,1 м. Диаметр
труб - 89 мм Количество труб гладких/оребрённых 14/32 шт. Количество труб в
ряду - 4 шт. Поверхность нагрева гладких/оребрённых труб 7,8/107,3 м ². Температура на выходе из печи - 250 ÷ 400ºС
Высота печи - 35 м. Масса печи - 36390 кг.
|
|
4
|
Р-5/1-3, Р-6/1-3
|
Реактор. Служит для
проведения каталитической реакции олигомеризации.
|
6
|
12Х18Н10Т
|
Диаметр - 900 мм Высота -
7017 мм. Объем - 3,73 м³ Режим реакции: Расчетное давление - 2,1 МПа Рабочее
давление - 2,1 МПа Расчетная температура - ((-40) - 450) ºС Рабочая температура - (280 - 450) ºС Режим регенерации:÷ Расчетное давление - 0,6 МПа Рабочее давление - 0,3
МПа Расчетная температура - ((-40) - 595) ºС Рабочая температура - (210 - 595) ºС
|
|
5
|
Т-7/1,2
|
Парогенератор
горизонтальный кожухотрубчатый. Служит для снятия тепла реакции и получения
пара.
|
2
|
корпус - 09Г2С трубки -
12Х18Н10Т
|
Поверхность теплообмена
-120 м2. Диаметр: трубного пространства - 600 мм межтрубного пространства -
1000 мм Длина - 8110мм. Объем: трубного пространства - 1,1м³ межтрубного пространства - 4,3м³ Трубки 20×2×6000 - 155´2 шт.
Расчетное давление (тр/м·тр) - 2,5/1,6 МПа Рабочее давление (тр/м·тр) -
2,05/1,0 МПа.
|
|
|
|
|
|
Расчетная температура
(тр/м·тр) - 450/200 ºС Рабочая температура: - на входе(тр/м·тр) - 450/80 ºС - на выходе(тр/м·тр) - 280/200 ºС Масса - 5200 кг
|
|
6
|
Т-8
|
Кипятильник вертикальный
кожухотрубный, предназначен для подогрева кубовой жидкости колонны Кт-10.
Аппарат расположен на отметке 4,8 м отд.Д-5.
|
1
|
корпус - 09Г2С трубки
-Х18Н10Т Наружная покраска, изоляция.
|
Поверхность теплообмена
-59,9 м2 Диаметр - 600 мм Высота - 4200 мм Объем: тр/м·тр пр-ва - 0,5/0,43 м3
Трубки 25х2х3000 - 264 шт. Расчетное давление (тр/м·тр) - 1,6/1,6 МПа
Расчетная температура (тр/м·тр) - 200/350 ºС Рабочее давление (тр/м·тр) - 0,7/1,4 МПа Рабочая температура: - на
входе(тр/м·тр) - 130/320 ºС - на
выходе(тр/м·тр) - 160/200 ºС
Масса аппарата - 2300 кг.
|
|
7
|
Т-9
|
Теплообменник (рекуператор)
горизонтальный кожухотрубный предназначен для охлаждения готового
олигомеризата и подогрева питания в колонну Кт-10. Аппарат расположен на
отметке 0,0 м.
|
1
|
корпус -09Г2С трубки -
Х18Н10Т Наружная покраска, изоляция
|
Поверхность теплообмена
-106 м2 Диаметр - 600 мм Длина - 7041 мм Трубки 25х2х6000 - 226 шт. Объем:
тр/м·тр пр-ва - 1,6/1,05м3 Расчетное давление:(тр/м·тр)- 1,6/2,5 МПа
Расчетная тем-ра: (тр/м·тр)-200/2000С Рабочее давление: (тр/м·тр)- 0,68/2,05
МПа Рабочая температура: - на входе(тр/м·тр) - 160/40 ºС - на выходе(тр/м·тр) - 110/80 ºС Вес аппарата - 3880 кг.
|
|
8
|
Т-11/1,2
|
Конденсатор кожухотрубный
горизонтальный, предназначен для конденсации паров ББФ, поступающей с верха
колонны Кт-10. Аппарат расположен на отметке 10,8 м. отделения Д-5.
|
2
|
корпус - ст.15К трубки-
12Х18М10Т Наружная покраска
|
Поверхность теплообмена -
380 м2 Диаметр - 1600 мм Длина - 4635 мм Объем: тр/м·тр пр-ва - 3,9/3,1 м3
Трубки 25х2х3000 - 1839 шт. Расчетное давление: (тр/м·тр)- 0,4/1,6 МПа
Рабочее давление: (тр/м·тр)- 0,4/0,7 МПа Рабочая температура: - на
входе(тр/м·тр) - 25/80 ºС - на выходе(тр/м·тр) - 40/40 ºС Масса аппарата - 13044 кг.
|
|
9
|
Е-12
|
Емкость горизонтальная,
предназначена для сбора отработанной ББФ. Аппарат расположен на отметке 4,8 м
отделения Д-5.
|
1
|
Вст.3сп5 Наружная покраска
|
Объем - 10,0 м3 Диаметр -
1800 мм Длина - 4415 мм Расчетное давление - 1,6 МПа Расчетная температура -
от (-20) до +40 оС Масса аппарата - 1000 кг
|
|
10
|
Н-13/1,2
|
Насос центробежный,
предназначен для подачи флегмы в колонну Кт-10, и откачки отработанной ББФ в
емкости Е-13-4 отделения Д-12, или в цех Д-1
|
2
|
сборный
|
Марка - НК65/35 - 125
Производительность - 35 м3/ч Напор - 125 м.ст.жидкости Мощность
электродвигателя - 30 кВт Число оборотов - 3000 в минуту Исполнение
электродвигателя - IЕхdsIIВТ4Х
|
|
11
|
Е-16
|
Емкость вертикальная,
цилиндрическая, предназначена для приготовления раствора Агидол-1. Аппарат
расположен в насосном отд.Д-3.
|
1
|
Вст.3сп5
|
Объем - 1,7 м3 Диаметр -
1200 мм. Высота - 1400 мм Расчетное давление - 1,0 МПа Рабочее давление:- 0,6
МПа Расчетная температура - 100 оС Рабочая температура: от ( -20) до +100 оС
|
|
12
|
АВО-14
|
Аппарат воздушного
охлаждения (АВО) горизонтальный, трубчатый. Предназначен для охлаждения
олигомеризата из куба колонны Кт-10. Аппарат расположен на отметке 0,0м
отделения Д-5.
|
1
|
корпус - Ст.09Г2С трубок -
Ст20. Наружная покраска.
|
Поверхность теплообмена:
наружная - 200 м2. внутренняя - 16 м2. Ширина секции - 1470 мм. Длина секции
- 3465 мм. Высота секции - 330 мм. Объем: трубного пространства - 0,22 м³. Трубки 25×2×3000 - 94 шт. Число ходов по трубам - 4 Расчетное давление
в трубах - 1,6 МПа Рабочее давление в трубах - 0,7 МПа Расчетная температура
в трубах (-40) - 200 ºС Рабочая температура в трубах: - на входе -
(110-160) ºС; - на выходе - 85 ºС Электродвигатель вентилятора - 2 шт. Тип
электродвигателя АИММ 100S4 Мощность электродвигателя - 3 кВт Диаметр
вентилятора - 800 мм Количество лопастей - 3 Частота вращения лопастей - 1500
об./мин.
|
|
13
|
Т-15
|
Холодильник горизонтальный,
кожухотрубный, предназначен для охлаждения олигомеризата поступающего из куба
колонны Кт-10 в емкости Е-13-4 отделения Д-12. Аппарат расположен на отметке
0,0м. отд. Д-5.
|
1
|
корпус - МВст3сп трубки-
12Х18М10Т
|
Поверхность теплообмена -
141,6 м2 Диаметр - 800 мм. Длина - 4990 мм Трубки 25х2х4000 - 451 шт. Объем:
тр/м·тр пр-ва - 1,2/1,15 м3 Расчетное давление: (тр/м·тр)- 1,0/1,6 МПа
Расчетная тем-ра: (тр/м·тр)-100/100 0С Рабочее давление: (тр/м·тр)- 0,6/0,8
МПа Рабочая температура: - на входе(тр/м·тр) - 25/85 ºС; - на выходе(тр/м·тр) - 35/40 ºС
|
|
14
|
Т-18/1,2
|
Испаритель топливного газа.
Служит для подогрева топливного газа.
|
2
|
Корпус- ВМст3сп трубки -
12Х18Н10Т
|
Поверхность теплообмена -
25 м2 Диаметр - 1000 мм Высота - 2900 мм Объем:(тр/м·тр) - 1,418 / 0,370 м3
Расчетное давление (тр/м·тр) - 1,0/1,0 МПа Рабочее давление (тр/м·тр) -
0,6/0,4 МПа Расчетная температура (тр/м·тр) -200/200 ºС Рабочая температура: (тр/м·тр) - 80/95 ºС Трубки: 50´ 2,5 ´1000 мм количество - 144 шт. Масса - 2040 кг
|
|
15
|
Е-19
|
Сепаратор топливного газа.
Служит для отделения конденсата от топливного газа.
|
1
|
Сталь20
|
Объем - 3,0 м3 Диаметр -
1200 мм Длина - 3730 мм Расчетное давление - 1,0 МПа Рабочее давление - 0,6
МПа Расчетная температура - (-20) - 150 ºС Рабочая температура - 95 ºС Масса - 1300 кг
|
Аналитический (лабораторный) контроль технологического процесса Таблица 8
|
№ п/п
|
Наименование стадий
процесса, место измерения параметров или отбора проб
|
Контролируемый параметр
|
Норма и технический
показатель
|
Метод испытания и средство
контроля
|
|
1
|
2
|
3
|
4
|
5
|
|
1
|
Бутан-
|
Массовая доля
|
|
ГОСТ 10679-76
|
|
бутиленовая
|
углеводородов, %
|
|
|
|
фракция (ББФ)
|
- изобутан
|
Не нормируется
|
|
|
Насос Н-12
|
- н-бутан
|
Не нормируется
|
|
|
отд. Д-12
|
- изобутилен
|
|
|
|
|
- бутен-1
|
|
|
|
|
- бутен-2-транс
|
Не менее 50
|
|
|
|
- бутен-2-цис
|
|
|
|
|
- бутадиен
|
Не более 0,5
|
|
|
|
- углеводороды С5
|
Не нормируется
|
|
|
|
Массовая доля воды, %
|
Не более 0,02
|
М-03.33-08-2007
|
|
|
Массовая доля
|
Не более 0,01
|
ГОСТ 22985-90
|
|
|
сернистых соединений, %
|
|
|
|
|
Массовая доля
|
Не более 0,001
|
М-03.33-35-
|
|
|
азотсодержащих соединений,
%
|
|
2006
|
|
2
|
Олигомеризат
|
Плотность при 20 оС
|
Не нормируется
|
ГОСТ 3900-85
|
|
Трубопровод
|
|
|
|
|
после
|
Детонационная
|
|
|
|
холодильника
|
стойкость:
|
|
|
|
Т-15
|
- МОЧ
|
Не менее 79
|
ГОСТ 511-82
|
|
|
Фракционный состав:
|
|
ГОСТ 2177-99
|
|
|
- температура начала
кипения, 0С
|
Не ниже 30
|
|
|
1
|
3
|
4
|
5
|
|
|
|
|
|
|
|
- 10 %
|
Не выше 75
|
|
|
|
- 50 %
|
Не выше 120
|
|
|
|
- 90 %
|
Не выше 190
|
|
|
|
- конец кипения, оС
|
Не выше 220
|
|
|
|
- остаток в колбе, % масс.
|
Не более 1,5
|
|
|
|
- остаток + потери, % масс.
|
Не более 4,0
|
|
|
|
Давление насыщенных
|
Не более 80 (600)
|
ГОСТ 1756-
|
|
|
паров, кПа (мм рт.ст.)
|
|
2000
|
|
|
Кислотность, мг КОН на
100см3
|
Не более 2,0
|
ГОСТ 5985-79
|
|
|
Концентрация фактических
|
Не более 5,0
|
ГОСТ 1567-97
|
|
|
смол, мг на 100г
олигомеризата
|
|
|
|
|
Индукционный период, мин
|
Не менее 360
|
ГОСТ 4039-88
|
|
|
Массовая доля серы, %
|
Не более 0,05
|
ГОСТ 19121-73
|
|
|
Испытание на медной
пластинке
|
Выдерживает
|
ГОСТ 6321-92
|
|
|
Механические
|
Отсутствие
|
ТУ 38.401-58-
|
|
|
примеси и вода
|
|
248-99 п. 4.2
|
|
3
|
Отработанная
|
Массовая доля, %:
|
|
ГОСТ 10679-76
|
|
ББФ
|
- сумма углеводородов С3
|
Не нормируется
|
|
|
Насос Н-13
|
- сумма углеводородов С5
|
Не нормируется
|
|
|
4
|
Отдувки в топлив-
|
Массовая доля, %:
|
|
М-03.33-21-
|
|
ную сеть
|
- сумма водорода,
|
Не нормируется
|
2011
|
|
(газовая
|
метана, углеводородов С2
|
|
|
|
фракция легких
|
- сумма углеводородов С3
|
|
|
|
углеводородов)
|
- сумма углеводородов С4
|
|
|
|
Верх емкости Е-12
|
- сумма углеводородов С5
|
|
|
|
5
|
Азот продувки
|
Содержание
|
Не более 0,5 % об.
|
М-03.33-25-
|
|
катализатора перед
|
углеводородов перед
|
|
2011
|
|
регенерацией
|
регенерацией
|
|
|
|
1
|
2
|
3
|
4
|
5
|
|
6
|
Азото-воздушная
|
Объемная доля
|
Не нормируется
|
М-03.33-25-
|
|
смесь для
|
углекислого газа, %
|
|
2011
|
|
регенерации
|
|
|
|
|
7
|
Водяной пар на
|
рН
|
6,5-8
|
|
|
входе в печь П-3
|
Массовая доля:
|
Не более 5
|
ГОСТ Р-52406-
|
|
|
- масла, мг/л
|
|
2005 или ЦВ
|
|
|
|
|
2.22.54-01"А"
|
|
|
- железа, мг/л
|
Не более 1
|
ГОСТ 4011-72
|
|
|
|
|
|
|
|
- иона аммония, %
|
Не более 0,001
|
ГОСТ 6709-72
|
|
|
масс.
|
|
|
2.4 Материальный граф и баланс блока разделения опытной установки
олигомеризации. Материальный граф
При построении материального графа учитываются только те элементы
принципиальной технологической схемы блока, в которых происходит изменение
материальных потоков. Материальный граф опытной установки получения
абсорбента-олигомеризата представлен на рис. .
Рис. 4. Материальный граф опытной установки получения
абсорбента-олигомеризата: 1- Сырьё (ББФ); 2- прореагировавшая смесь; 3-
абсорбент-олигомеризат; 4- отработанная ББФ; 5- отдувки (сухой газ)
Таблица 9. Материальный баланс
|
Поток
|
Расход (поверочный расчет)
|
|
% масс.
|
кг/час
|
|
Взято:
|
|
Водород
|
-
|
-
|
|
Азот
|
0,04
|
5,0
|
|
Метан
|
-
|
-
|
|
ΣС2
|
-
|
-
|
|
ΣС3
|
-
|
-
|
|
Изобутан
|
0,19
|
23,75
|
|
Н-бутан
|
38,02
|
4752,50
|
|
Изобутилен+бутен-1
|
33,48
|
4185,0
|
|
Транс-бутен-2
|
14,31
|
1788,75
|
|
Цис-Бутен-2
|
12,83
|
1603,75
|
|
Бутадиен
|
0,72
|
90,0
|
|
ΣС5
|
0,41
|
51,25
|
|
Итого:
|
100,0
|
12500,0
|
|
Получено:
|
|
Олигомеризат
|
25,94
|
3242,75
|
|
ΣС5
|
12,78
|
1597,18
|
|
Водород
|
0,01
|
1,14
|
|
Азот
|
0,04
|
5,0
|
|
Метан
|
0,08
|
9,96
|
|
ΣС2
|
0,23
|
28,34
|
|
ΣС3
|
4,24
|
529,59
|
|
Изобутан
|
12,35
|
1543,60
|
|
Н-бутан
|
25,86
|
3232,65
|
|
Изобутилен+бутен-1
|
14,18
|
1772,77
|
|
Транс-бутен-2
|
2,35
|
294,07
|
|
Цис-Бутен-2
|
1,94
|
242,95
|
|
Итого:
|
100,00
|
10000,00
|
.5. Тепловой граф и баланс блока разделения. Тепловой граф
Тепловой граф блока разделения установки олигомеризации, отражающий
движение всех тепловых потоков, представлен на рис. 5:
Рис. 5: Тепловой граф блока разделения установки олигомеризации: 1-
Подогреватель сырья для питания колонны; 2- ректификационная колонна; 3-
дефлегматор для конденсации паров верха колонны; 4- теплообменник; 5- ёмкость
для сбора отработанной ББФ; 6- теплообменник; 7-воздушный холодильник; 8-
водяной холодильник; q1 -
Сырьё; q2 - нагретое сырьё на питание
колонны; q3 -охлаждённый олигомеризат; q4 - лёгкие углеводороды; q5 - сконденсированные лёгкие
углеводороды; q6 - сконденсированные и охлаждённые
углеводороды; q7 - тепло, отводимое из дефлегматора;
q9 - отдувки; q10 - отработанная ББФ; q11 - тепло, попадающее в колонну с орошением; q12 - абсорбент-олигомеризат для
подогрева сырья; q13 -
абсорбент-олигомеризат; q14, q16 - тепло, уходящее с водой; q15 - тепло, уходящее после АВО-14; q17, q18 - охлаждённый абсорбент-олигомеризат; q19 - товарный продукт -
абсорбент-олигомеризат; q20 -
воздух; q21 - промышленная вода
Тепловой баланс. Температура потока, входящего в теплообменник,
составляет 400С. Затем, нагретая до 1050С газо-продуктовая смесь, поступает в
стабилизационную колонну Кт-10. Теплосодержание потоков, входящих в процесс,
находят из уравнения:

Таблица 10. Тепловой баланс
|
Тепловой поток
|
Поверочный расчет
|
|
Температура, 0С
|
Теплоемкость, кДж/К∙кг
|
Теплосодержание, ГДж/ч
|
|
Приход:
|
|
Поток в подогреватель
|
92
|
2,48
|
7,24
|
|
Нагрузка на теплообменник
|
105
|
2,60
|
0,62
|
|
Орошение
|
|
2,54
|
0,21
|
|
Теплоноситель рибойлера
|
|
2,71
|
2,18
|
|
Итого:
|
10,25
|
|
Расход:
|
|
Олигомеризат
|
130
|
2,92
|
8,34
|
|
Конденсат
|
|
2,49
|
0,51
|
|
Теплоноситель
|
|
1,87
|
0,30
|
|
Газ в топливную сеть
|
|
1,81
|
0,47
|
|
Отработанная ББФ
|
|
1,73
|
0,62
|
|
Потери
|
0,10
|
|
Итого:
|
10,25
|
|
|
|
|
|
Потери теплоты на блоке составляют 0,1 ГДж/ч или 0,97 %.
2.6 Мониторинг параметров и потоков блока разделения
Мониторинг основных параметров блока разделения
Рис. 6. Изменение расхода сырья в колонну Кт-10
Расход сырья колонны Кт-10 в течение продолжительного времени находился в
пределах регламентных показателей (10-11,5т/ч).
Рис. 7. Изменение температуры укрепляющей части колонны Кт-10
Температура верхней части колонны Кт-10 в течение продолжительного
времени находилась в пределах регламентных показателей (не более 700С).
Рис. 8. Изменение температуры отгонной части колонны Кт-10
Температура нижней части колонны Кт-10 в течение продолжительного времени
находилась в пределах регламентных показателей (не более 1600С).
Рис. 9. Изменение давления верхней части колонны Кт-10
Давление верхней части колонны Кт-10 в течение продолжительного времени
находилось в пределах регламентных показателей (не более 6,5кгс/см2).
Таблица 11. Результаты данных мониторинга параметров колонны
|
Параметр
|
Max значение
|
Min значение
|
Ср значение
|
|
Расход сырья в колонну,
м3/ч
|
19,81
|
17,28
|
18,54
|
|
Давление верха колонны,
кгс/см2
|
5,35
|
5,16
|
5,25
|
|
Температура верха колонны, ˚С
|
59,13
|
57,72
|
58,42
|
|
Температура низа колонны, ˚С
|
126,93
|
122,82
|
124,87
|
В результате проведённого мониторинга режимных параметров работы колонны
Кт-10 не было выявлено нарушений. Все параметры находятся в пределах
регламентных показателей.
Таблица 12. Состав абсорбента-олигомеризата
|
Дни наблюдения
|
Изобутан
|
Бутен-1 +изобутен
|
Транс-бутен
|
Цис-бутен
|
Н-бутан
|
С5
|
С6
|
С7
|
С8
|
С9
|
С10
|
С11
|
С12
|
С13
|
С14
|
С15
|
С16
|
|
1
|
0,18
|
0,15
|
0,22
|
0,21
|
5,17
|
20,13
|
17,66
|
18,35
|
16,81
|
10,94
|
6,34
|
2,43
|
0,97
|
0,31
|
0,11
|
0,03
|
0,01
|
|
2
|
0,06
|
0,49
|
1,39
|
0,04
|
3,31
|
16,72
|
14,64
|
16,78
|
23,95
|
10,87
|
5,53
|
3,05
|
1,31
|
0,36
|
0,12
|
0,03
|
0,01
|
|
3
|
0,02
|
0,47
|
1,35
|
1,32
|
3,03
|
20,65
|
14,41
|
16,18
|
24,57
|
9,88
|
4,50
|
2,54
|
0,89
|
0,002
|
0
|
0
|
|
4
|
0,03
|
0,62
|
1,72
|
1,68
|
4,45
|
21,87
|
14,05
|
15,53
|
22,89
|
9,53
|
4,34
|
2,29
|
0,76
|
0,17
|
0,02
|
0
|
0
|
|
5
|
0,03
|
0,75
|
2,20
|
2,09
|
3,29
|
18,38
|
11,85
|
14,04
|
27,65
|
10,66
|
4,89
|
2,95
|
0,97
|
0,20
|
0,02
|
0
|
0
|
|
6
|
0,01
|
0,77
|
2,50
|
2,46
|
2,74
|
18,35
|
10,57
|
13,12
|
33,02
|
8,56
|
3,93
|
2,88
|
0,93
|
0,15
|
0
|
0
|
0
|
|
7
|
0,01
|
0,92
|
2,75
|
2,73
|
2,87
|
20,07
|
12,19
|
14,15
|
29,68
|
8,19
|
3,22
|
2,25
|
0,77
|
0,14
|
0,02
|
0
|
0
|
|
8
|
0,02
|
0,62
|
1,87
|
1,88
|
1,41
|
15,48
|
11,02
|
14,24
|
35,95
|
9,59
|
3,84
|
2,89
|
0,99
|
0,16
|
0,03
|
0,01
|
0,01
|
|
9
|
0,01
|
0,84
|
2,52
|
2,56
|
1,50
|
15,73
|
9,07
|
12,95
|
38,84
|
8,29
|
3,52
|
2,89
|
1,07
|
0,17
|
0,03
|
0,01
|
0
|
|
10
|
0,01
|
0,64
|
2,01
|
2,10
|
1,24
|
14,94
|
7,60
|
13,81
|
39,38
|
9,45
|
4,00
|
3,18
|
1,51
|
0,12
|
0
|
0
|
0
|
Таблица 13. Состав отработанной ББФ
|
Дни наблюдения
|
Пропан
|
Пропен
|
Изобутан
|
Н-бутан
|
Бутен-1
|
Изобутен
|
Транс-бутен
|
Цис-бутен
|
Дивинил
|
С5
|
|
1
|
0,48
|
0,62
|
8,79
|
55,16
|
3,09
|
4,74
|
8,27
|
6,61
|
0,03
|
12,21
|
|
2
|
0,44
|
0,50
|
8,19
|
68,84
|
1,47
|
4,32
|
3,39
|
2,99
|
0,01
|
9,83
|
|
3
|
0,14
|
1,28
|
3,65
|
49,84
|
6,13
|
7,13
|
13,73
|
10,52
|
0,02
|
7,31
|
|
4
|
0,12
|
1,41
|
2,12
|
43,57
|
7,52
|
6,60
|
17,77
|
13,55
|
0
|
7,37
|
|
5
|
0,17
|
1,27
|
2,15
|
42,82
|
7,66
|
7,15
|
17,87
|
13,72
|
0,23
|
6,96
|
|
6
|
0,13
|
0,49
|
2,21
|
32,11
|
8,04
|
6,59
|
21,02
|
16,85
|
0,31
|
12,24
|
|
7
|
0,05
|
1,02
|
1,07
|
26,78
|
11,03
|
8,99
|
25,62
|
19,66
|
0,02
|
5,75
|
|
8
|
0,04
|
0,68
|
1,26
|
30,00
|
9,98
|
6,82
|
23,76
|
18,94
|
0,01
|
8,49
|
|
9
|
0,19
|
0,36
|
1,18
|
30,38
|
9,75
|
6,87
|
23,42
|
18,94
|
0,02
|
8,90
|
|
10
|
0,02
|
0,48
|
1,66
|
28,23
|
10,24
|
7,30
|
24,77
|
19,87
|
0,04
|
7,39
|
|
11
|
0,03
|
0,67
|
2,19
|
23,54
|
11,63
|
8,13
|
26,57
|
21,34
|
0
|
5,93
|
|
12
|
0,02
|
0,59
|
1,18
|
21,55
|
13,27
|
9,53
|
26,15
|
22,41
|
0,04
|
5,26
|
|
13
|
0,02
|
0,87
|
3,40
|
20,16
|
13,16
|
9,54
|
27,23
|
21,67
|
0,11
|
3,83
|
|
14
|
0,01
|
0,19
|
2,55
|
17,50
|
13,75
|
8,56
|
29,48
|
23,99
|
0
|
3,99
|
|
15
|
0,02
|
0,19
|
1,64
|
16,79
|
11,60
|
9,52
|
29,68
|
27,46
|
0,05
|
3,06
|
|
|
|
|
|
|
|
|
|
|
|
|
Таблица 14
Состав отдувочного газа
|
Дни наблюдения
|
СН4
|
С2
|
С3
|
Изобутан
|
Н-бутан
|
Бутен-1 + изобутен
|
Транс-бутен
|
Цисбутен
|
Дивинил
|
С5
|
|
1
|
0,25
|
3,89
|
19,69
|
16,51
|
34,43
|
10,76
|
6,17
|
4,45
|
0,01
|
0,18
|
|
2
|
0,45
|
6,69
|
22,96
|
16,82
|
42,26
|
5,68
|
1,41
|
1,16
|
0,08
|
0,14
|
|
3
|
0,42
|
5,85
|
34,50
|
7,12
|
30,32
|
11,26
|
4,76
|
3,36
|
0,07
|
|
4
|
0,43
|
2,45
|
24,64
|
4,11
|
33,37
|
15,90
|
9,48
|
6,89
|
0,01
|
0,05
|
|
5
|
1,66
|
4,03
|
34,58
|
4,55
|
27,80
|
14,68
|
7,49
|
5,28
|
0
|
0,08
|
|
6
|
0,98
|
4,39
|
36,79
|
5,07
|
20,90
|
14,57
|
6,23
|
4,46
|
0,09
|
0,22
|
|
7
|
0,64
|
2,03
|
22,84
|
2,21
|
20,75
|
23,10
|
13,48
|
8,53
|
0
|
0,04
|
|
8
|
0,84
|
1,80
|
19,64
|
2,63
|
25,44
|
19,94
|
12,08
|
8,72
|
0
|
0,09
|
|
9
|
1,07
|
1,92
|
21,02
|
1,83
|
25,66
|
21,79
|
12,74
|
9,41
|
0,03
|
0,05
|
|
10
|
1,45
|
2,58
|
26,12
|
4,26
|
19,53
|
20,52
|
10,78
|
7,69
|
0
|
0,13
|
|
11
|
1,86
|
2,42
|
25,51
|
5,30
|
17,27
|
23,91
|
12,01
|
8,59
|
0
|
0,04
|
|
12
|
2,05
|
2,16
|
22,45
|
3,20
|
13,79
|
30,21
|
10,74
|
8,41
|
0
|
0,03
|
|
13
|
1,44
|
1,61
|
18,08
|
3,86
|
18,75
|
30,10
|
13,57
|
10,48
|
0
|
0,06
|
|
14
|
1,46
|
1,04
|
8,88
|
7,09
|
16,54
|
32,97
|
15,25
|
11,62
|
0
|
0,03
|
|
15
|
1,28
|
0,68
|
4,70
|
4,45
|
14,72
|
35,88
|
19,73
|
13,97
|
0
|
0,05
|
Колонна не обеспечивает надлежащего эффективного разделения «лёгких» и
«тяжёлых» компонентов, вследствие этого ухудшается качество продукта (высокое
содержание «лёгких» углеводородов в кубе колонны) и качество дистиллята (завышение
содержания «тяжёлых» углеводородов в верху колонны).
2.7 Построение компьютерной модели блока разделения
Пакет программ представляет собой интегрированную систему, позволяющую
рассчитывать как стационарные, так и динамические режимы работы, причем для
моделирования стационарного и динамического режимов работы используются одни и
те же термодинамические модели. Одни и те же объекты можно рассчитывать
после-довательно с разной степенью детализации.
Целый ряд существенных компонентов, которые входят в эту программу,
делают ее мощным инструментом моделирования стационарных режимов работы
технологических схем. Прежде всего, сюда относятся весьма обширный список
моделируемых технологических операций и большое количество методов расчета
фазового равновесия и свойств, что позволяет надежно рассчитывать широкий класс
технологических объектов. Не менее важным является и тот факт, что организация
взаимодействия «программа - пользователь» позволяет инженеру при проведении
расчетов гораздо глубже понять процессы, происходящие в моделируемой схеме.
Полученные результаты, параметры потоков, сразу же передаются по всей
схеме, как по направлению технологических потоков, так и против этого
направления, причем вовсе не обязательно, чтобы были известны все параметры потока,
передается только то, что известно. Пользователь сразу же может ознакомиться с
полученными результатами любой степени детализации.
Пользователь имеет мгновенный доступ к любой нужной информации, причем
одна и та же информация может быть одновременно показана в разных местах и
разными способами. В пакете программ существует множество способов выполнения
одного и того же расчета - точно также существует множество способов просмотра
одной и той же информации: индивидуальные специализированные окна, графический
экран, рабочие тетради, книга данных, разнообразные графики и сводные таблицы.
Все эти способы представления результатов могут быть использованы одновременно
и, благодаря объектно-ориентированному подходу, всякое изменение информации
автоматически отображается везде одновременно.
Пакет программ содержит множество операций, которые могут быть
использованы для построения технологической схемы. Соединяя необходимые
операции и потоки, вы имеете возможность рассчитать очень широкий спектр схем,
относящихся к нефтепереработке, газопереработке, нефтехимии и химии. Среди
имеющихся операций имеются такие, которые рассчитывают термодинамические
параметры и тепловые /массовые балансы. Например: Теплообменник, Сепаратор,
Компрессор, и логические операции, такие как Подбор, Установка, Рецикл.
Операция «Электронная таблица» представляет собой мощное средство, позволяющее
связать между собой практически любые переменные, имеющиеся в расчете, а также
смоделировать дополнительные функции, которые не предусмотрены в этой
программе.
Алгоритм расчета представляет собой последовательное выполнение следующих
операций:
выбор единиц измерения;
выбор пакета свойств и компонентов для полной характеристики свойств
сырья;
создание потока;
выбор и расчет аппаратов и потоков технологической схемы;
оценка полученных результатов моделирования данного процесса.
Выбор единиц измерения
Пакет программ не позволяет изменять ни один из трех основных наборов
единиц измерения, которые изначально имеются в системе: SI, EuroSI и Британская система единиц (Field). Однако можно создать новый набор единиц на основе
уже имеющихся. В данном примере мы создадим новый набор единиц измерения на
базе европейской системы EuroSI
путем внесения в нее некоторых изменений.
Выбор пакета свойств и компонентов для полной характеристики свойств
сырья. В качестве термодинамического пакета свойств выбираем Peng Robinson.
Выбор и подключение потоков. Для расчета технологической схемы с
использованием пакета программ необходимо задать только вводные потоки. В
процессе построения схемы также появятся потоки дистиллята и кубового продукта.
Остальные материальные потоки, которые идут от одного аппарата к другому
программа рассчитывает самостоятельно при расчете очередной операции. А значит,
не требует дополнительного вмешательства, за исключением случаев, когда
требуется дополнительная параметризация.
Включение оборудования в схему ведется с использованием норм
технологического режима, используемых на производстве. Данные технологические
нормы дают возможность параметризации оборудования (ввод давления, температуры,
удельных расходных норм сырья и вспомогательных материалов и т.п.). Подключение
аппаратов к потокам ведется «вручную».
Создаем потоки сырья (рис. 11). Сырьевой поток направляем в колонну
ста-билизации Кт-10. Конечный продукт откачивается из кубовой части колонны
(рис. 12), а дистиллят направляется на флегму (рис. 13) и в топливную сеть
завода.
Рис. 10. Модель блока разделения установки олигомеризации
Рис. 11. Состав сырья
Рис. 12. Состав абсорбента-олигомеризата
Рис. 13. Состав отработанной ББФ
Данные для сравнения материального и теплового балансов блока разделения
по производственным данным с результатами расчёта по пакету программ UniSim Desing приведены ниже (табл. 15).
Таблица 15. Материальный баланс
|
Поток
|
Поверочный расчёт
|
UniSim Design
|
|
% масс.
|
кг/час
|
% масс.
|
кг/час
|
|
Взято:
|
|
Сырье
|
100,0
|
10000,0
|
100,0
|
10000,0
|
|
Итого:
|
100,0
|
10000,0
|
100,0
|
10000,0
|
|
Получено:
|
|
Абсорбент-олигомер
|
38,72
|
4339,93
|
0,9
|
4349,93
|
|
Отраб. ББФ
|
56,68
|
5086,04
|
0,8
|
5076,04
|
|
Отдувки
|
4,6
|
574,03
|
98,3
|
574,03
|
|
Потери
|
0
|
0
|
0
|
0
|
|
Итого:
|
100,0
|
10000,0
|
100,0
|
10000,0
|
Относительная ошибка моделирования по отдельным потокам не превышает
0,5%, по итоговому балансу - 0%.
Таблица 16. Тепловой баланс блока
|
Поток
|
Поверочный расчет
|
UniSim Design
|
|
Q, ГДж/ч
|
|
Приход:
|
|
Поток в подогреватель
|
7,24
|
7,19
|
|
Нагрузка на теплообменник
|
0,62
|
0,61
|
|
Орошение
|
0,21
|
0,28
|
|
Теплоноситель рибойлера
|
2,18
|
2,21
|
|
Итого:
|
10,25
|
10,29
|
|
Расход:
|
|
Олигомеризат
|
8,34
|
8,27
|
|
Конденсат
|
0,51
|
0,50
|
|
Теплоноситель
|
0,30
|
0,29
|
|
Газ в топливную сеть
|
0,47
|
0,48
|
|
Отработанная ББФ
|
0,62
|
0,65
|
|
Потери
|
0,10
|
0,10
|
|
Итого:
|
10,25
|
10,29
|
Относительная ошибка моделирования составила 0,40%.
2.8 Анализ работы основного и вспомогательного оборудования
.8.1 Расчёт ректификационной колонны Кт-10
Таблица 17. Входные параметры
|
Показатель
|
Значение
|
|
Производительность по
сырью, кг/ч
|
10 000,0
|
|
Температура сырья на входе
в колонну, 0С
|
105,0
|
|
Температура вверху колонны,
0С
|
65,0
|
|
Давление внизу колонны,
кгс2/см
|
6,5
|
На разделение в колонну Кт-10 поступает газо-продуктовая смесь,
фракционный состав которой показан в таблице 18.
Таблица 18. Фракционный состав сырья
|
Название
|
Содержание, %(масс.)
|
|
Пропан+пропен
|
1,58
|
|
i-бутан
|
1,33
|
|
Транс-бутен
|
0,22
|
|
Цис-бутен
|
0,21
|
|
n-бутан
|
5,17
|
|
n-пентан
|
20,12
|
|
n-гексан
|
17,66
|
|
n-гептан
|
18,35
|
|
n-октан
|
16,80
|
|
n-нонан
|
10,94
|
|
n-декан
|
6,34
|
|
n-С11
|
2,43
|
|
n-С12
|
0,97
|
|
n-С13
|
0,31
|
|
n-С14
|
0,11
|
|
n-С15
|
0,03
|
|
n-С16
|
0,01
|
|
Сумма
|
100,0
|
Подробный расчет приведен в приложении 5.
Таблица 19. Характеристика колонны стабилизации Кт-10
|
Параметр
|
Значение
|
|
Расчетное значение
|
Нормативное значение
|
|
Число тарелок, шт.
|
30
|
27
|
|
Диаметр, м
|
|
- верха
|
1,2
|
1,2
|
|
- низа
|
1,2
|
1,2
|
|
Высота, м
|
19,0
|
17,0
|
2.8.2 Расчет теплообменного аппарата
Теплообменник Т-8 предназначен для подогрева абсорбента-олигомеризата -
кубо-вого продукта Кт-10. Исходные данные для расчета, а также
физико-химические свойства потоков трубного и межтрубного пространства
приведены ниже в таблицах 20,21.
Таблица 20. Исходные данные
|
Наименование
|
Трубное пространство (1)
|
Межтрубное пространство (2)
|
Единица измерения
|
|
Среда
|
Абсорбент-олигомеризат
|
Газо-продуктовая смесь
|
|
|
Количество, G
|
10 000
|
10 000
|
кг/ч
|
|
Тнач
|
90
|
275
|
0С
|
|
Ткон
|
130
|
210
|
0С
|
Таблица 21. Физико-химические свойства потоков
|
Наименование
|
Абсорбент-олигомеризат
|
ГПС
|
Единица измерения
|
|
Плотность, ρ
|
700
|
679
|
кг/м3
|
1,29*10-4
|
1,99*10-4
|
|
|
Теплопроводность, λ
|
7,77*10-2
|
9,54*10-2
|
|
|
Теплоемкость, с
|
2924
|
2524
|
|
В результате расчета был подобран одноходовой кожухотрубчатый
теплообменник с плавающей головкой марки 1200ТПГ-4,0-М1/25Г-6-1-У-И со
следующими характеристиками: внутренний диаметр кожуха - 1200 мм, условное
давление в кожухе и трубах - 4,0 МПа, материальное исполнение М1, с гладкими
теплообменными трубами диаметром 25 мм и длиной 6 м с площадь поверхности
теплообмена - 510 м2.
Сравнение данных регламента с результатами расчета приведено в таблице
22.
Таблица 22. Технические характеристики теплообменника
|
Параметр
|
Расчет
|
По каталогу
|
|
Движущая сила, К
|
81
|
|
|
Коэффициент теплопередачи,
Вт/м∙К
|
117,5
|
|
|
Площадь поверхности
теплообмена аппарата, м2
|
351,1
|
575
|
Запас по поверхности составляет 31,1%.
2.8.3 Расчёт насоса
Необходимо рассчитать и подобрать центробежный насос для откачки
стабильного дизельного топлива из куба колонны Кт - 10.
Подробный расчет приведен в приложении 7.
Таблица 23/ Технические
характеристики насоса
|
Характеристика насоса
|
Расчет
|
По каталогу
|
|
Тип (марка)
|
|
HKB 360/125-аС
|
|
Производительность, м3/ч
|
132
|
270
|
|
Напор, м
|
48,8
|
138
|
|
Марка электродвигателя
|
|
|
|
Число оборотов, об/мин
|
|
3000
|
|
Мощность электродвигателя,
кВт
|
41,8
|
110
|
Запас по расходу/ напору составляет 9,5% / 40,3%.
Выводы
. Для блока разделения установки олигомеризации ОАО «Омский каучук»
показано, что при переработке сырья в количестве 10 т/ч выход
абсорбента-олигомеризата составляет 7,5 т/ч.
. Мониторинг параметров и потоков блока разделения показал, что колонна
не обеспечивает надлежащего эффективного разделения «лёгких» (более 1 % масс.)
и «тяжёлых» (более 5 % масс.) компонентов, вследствие чего ухудшается качество
целевого продукта - товарного абсорбента-олигомеризата.
. Компьютерная модель в среде UniSim Design показала, что нарушения в
работе колонны присутствуют именно по составам, т.е. идёт завышение
регламентных значений «лёгких» углеводородов в кубе колонны и «тяжёлых» в
дистилляте.
. Проведен анализ работы оборудования:
для колонны d = 1,2 м, H = 19,1 м, n = 30 шт.
для теплообменника запас по поверхности теплообмена 31,1% отн.,
для насоса запас по мощности 9,5 % отн., по напору 40,3 % отн.
Литература
1. Ахметов
С.А. Технология глубокой переработки нефти и газа: Учебное пособие для вузов. -
Уфа: «Гилем», 2002 - 672с.
2. Патент
РФ 2151001, МПК 7. Катализатор и способ олигомеризации низших олефинов. /
Колова, Н.Е., Лищинер И.И., Малова О.В., Ростанин Н.Н., Рязанов А.В., Тарасов
А.Л., Фадеева И.В., Фалькевич Г.С., Хашагульгова Н.С.- 99100647/04, заявл.
19.01.1999; опубл. 20.06.2000.
3. Каминский
Э.Ф., Хавкин В.А. Глубокая переработка нефти: технологический и экологический
аспекты. М.:Изд. «Техника». - 2001 - 384с.
. Козин
В.Г., Солодова Н.Л., Башкирцева Н.Ю., Абдуллин А.И. Современные технологии
производства компонентов моторных топлив.- Казань, 2008.- 328с.
. Капустин
В.М., Гуреев А.А. Технология переработки нефти. Часть 2. Деструктивные
процессы. - М.: КолосС, 2008 - 334с.
. Мановян
А.К. Технология первичной переработке нефти и природного газа.- М.: Химия, 2001
- 566с.
. Гуревич
И.Л. Технология переработки нефти и газа. Часть 1, Изд. «Химия», М. 1972 -
360с.
. Чуракаев
А.М. Переработка нефтяных газов. Москва: «Недра» 1983 - 280с.
. Дытнерский
Ю.И. Процессы и аппараты химической технологии: Учебник для вузов. Изд. 2-е. В
2-х кн. Часть 2. Массообменные процессы и аппараты. М.: Химия, 1995 - 368с.
10. Кузнецов
А.А, Судаков Е.Н. Расчеты основных процессов и аппаратов переработки
углеводородных газов. - М.: Химия, 1983 - 224 с.
11. Сарданашвили
А.Г., Львова А.И. Примеры и задачи по технологии переработки нефти и газа. Изд.
2-е, пер. и доп. - М., Химия, 1980 - 256с.
12. Павлов
К.Ф., Романков П.Г., Носков А.А. Примеры и задачи по курсу процессов и
аппаратов химической технологии - Л.: Химия, 1987. - 576с.
13. Уонг
Х. Основные формулы и данные по теплообмену для инженеров: Пер. с англ. /
Справочник. - М.: Атомиздат, 1979. - 216с.
. Дытнерский
Ю.И. Борисов Г.С., Брытков В.П. Основные процессы и аппараты химической
технологии. Пособие по проектированию. Изд-е 2-е перераб. и дополн. - М.:
Химия, 1991. - 496с.
. Касаткин
А.Г. Основные процессы и аппараты химической технологии. М.: Химия, 1973. -
750с.
. Рудин
М.Г, Сомов В.Е, Фомин А.С. Карманный справочник нефтепереработчика. - М.:
ЦНИИТЭнефтехим, 2004. - 332 с.
. Стаскевич
Н.Л., Вигорчик Д.Я. Справочник по сжиженным углеводородным газам. - Л.: Недра,
1986. -543с.
18. Иоффе
И.Л. Проектирование процессов и аппаратов химической технологии: учебник для
техникумов - Л.:Химия, 19991. - 352с.
Приложения
Приложение 1
Номограмма для определения констант фазового равновесия углеводородов при
высоких температурах
Значения f (T)
Приложение 2
Значение коэффициента С. А, Б - колпачковые, С - ситчатые тарелки
Приложение 3
График для определения коэффициента активности γ при известных приведенных
температуре и давлении
Приложение 4
Расчет основных параметров колонны Кт-10
|
Параметр
|
Формула для расчета
|
Значение
|
|
Мольная доля отгона, е
|
0,19
|
|
|
Параметр
|
4,21
|
|
|
Минимальное флегмовое число
|
|
0,58
|
|
Оптимальное флегмовое число
|
|
1,09
|
|
Минимальное паровое Число
|
|
0,02
|
|
Минимальное число
теоретических тарелок
|
15
|
|
|
Число теоретических тарелок
|
30
|
|
|
Объем паров вверху колонны,
м3/с
|
|
0,82
|
|
Max допустимая скорость паров в свободном сечении
аппарата, м/с
|
|
0,42
|
|
Диаметр колонны, м
|
|
1,2
|
|
Высота колонны, м
|
|
19,1
|
Приложение 5
Расчет основных параметров теплообменника
|
Параметр
|
Формула для расчета
|
Значение
|
|
Тепловая нагрузка аппарата,
кВт
|
|
259,9
|
|
Средняя разность
температур, К
|
|
216
|
|
Эквивалентный диаметр, м
|
|
0,021
|
|
Количество труб, шт.
|
|
259
|
|
Критерий Рейнольдса
|
|
61535
|
|
Критерий Прандтля при
|
|
4,85
|
|
Коэффициент теплоотдачи
паров, Вт/м∙К
|
|
1038,9
|
|
Критерий Прандтля при
|
|
5,26
|
|
Скорость движения в
межтрубном пространстве, м/с
|
|
0,48
|
|
Критерий Рейнольдса
|
|
34393,6
|
|
Критерий Нуссельта
|
|
117,4
|
|
Коэффициент теплоотдачи от
стенки к теплоносителю, Вт/м∙К
|
|
533,3
|
|
Термическое сопротивление
загрязнений со стороны: - паров - олигомеризата
|
|
1/25000 1/25000
|
|
Коэффициент
теплопроводности труб, Вт/м∙К
|
|
17,5
|
|
Коэффициент теплопередачи,
Вт/м∙К
|
|
342,7
|
|
Площадь поверхности
теплопередачи, м2
|
|
351,1
|
Приложение 6
Расчет основных параметров насоса
|
Параметр
|
Формула для расчета
|
Значение
|
|
Геометрическая высота
подъема, м
|
|
29,0
|
|
Скорость потока жидкости,
м/с
|
|
2,26
|
|
Критерий Рейнольдса
|
|
968571,4
|
|
Шероховатость стенок, мм
|
е
|
0,2
|
|
Коэффициент трения
|
λ
|
0,019
|
|
Сумма коэффициентов
местного сопротивления - всасывающая линия - нагнетательная линия
|
|
5,2 5,7
|
|
Полное гидравлическое
сопротивление трубопровода, Па
|
30054
|
|
|
Напор на преодоление
местных сопротивлений, м
|
|
4,86
|
|
Напор насоса, м
|
56,8
|
|
|
Полезная мощность, кВт
|
|
24,9
|
|
Мощность электродвигателя,
кВт
|
33,2
|
|
|
К. п. д. насоса
|
η
|
0,75
|
|
Коэффициент запаса
|
χ
|
1,15
|
|
Мощность двигателя, кВт
|
41,8
|
|