|
Название
отрасли
|
Производимая
продукция
|
Центры
размещения
|
|
Приборостроение
|
Средства
связи, приборы
|
Смоленск,
Московский регион
|
|
Станкостроение
|
Станки
|
Рязань,
Московский регион
|
|
Транспортное
машиностроение
|
Автобусы,
речные суда, дизелестроение, вагоностроение
|
Тверь,
Тула, Владимир, Брянск, Московский регион
|
|
Автомобилестроение
|
Грузовые
и легковые автомобили, двигатели, запасные части
|
Смоленск,
Московский регион, Тверь, Иваново, Ярцево
|
|
Электронно-вычислительная
техника
|
Электротехника,
бытовая техника
|
Смоленск,
Московский район
|
|
Горное,
энергетическое оборудование, с/х машиностроение
|
Оборудование,
металлоконструкции, с/х техника
|
Курск,
Воронеж, Липецк, Тамбов
|
Основными отраслями рыночной специализации
Центрального федерального округа являются:
в промышленности - многопрофильное машиностроение,
химическая, легкая (текстильная) промышленность,
в сельском хозяйстве - выращивание сахарной
свеклы, подсолнечника, зерновых, овощных культур и молочно-мясное скотоводство.
Ведущая отрасль промышленности в Центральном
федеральном округе - машиностроение. Эта отрасль так развилась благодаря
выгодному экономико-географическому положению, близости научных центров,
благодаря наличию квалифицированной рабочей силы.
Вторая по значимости отрасль в Центральном
федеральном округе - металлургия, она получила такое развитие благодаря
месторождениям железной руды Курской магнитной аномалии. Основной производитель
продукции чёрной металлургии в округе - Новолипецкий металлургический комбинат.
Месторождения железных руд: Курская магнитная аномалия - такие месторождения,
как: Лебединское, Стойленское, Яковлевское - находятся в Белгородской области,
Михайловское - в Курской области. Преимущественно в Тульской области имеется
Подмосковный бассейн - месторождение бурого угля. На заболоченных территориях в
Тверской, Ярославской, Ивановской, Владимирской областях находятся
месторождения торфа. В Московской и Брянской областях находится фосфорит, в
Егорьевском и Полпинской месторождениях. В Белгородской и Воронежской областях
добывается известняк и другие строительные материалы.
Третья по значимости отрасль - промышленность
стройматериалов. Промышленность стройматериалов хорошо развита в данном
федеральном округе, так как здесь располагается около 24% цементного
производства России, действуют 9 цементных заводов в Московской, Липецкой,
Брянской, Рязанской, Белгородской и Воронежской областях.
На территории округа расположены свыше 100
средних и крупных предприятий химической и нефтехимической промышленности, в
том числе предприятия по производству: минеральных удобрений- в Воронежской,
Московской, Смоленской и Тульской областях; синтетических красителей, формалина
и смол- в Тамбовской области; лакокрасочных материалов и сырья для
лакокрасочной промышленности - в Ярославской, Московской, Тамбовской и
Владимирской областях; полипропилена - в Москве; химических волокон и нитей - в
Тульской, Московской и Владимирской областях; полиэфирного волокна из
вторичного полиэтилентерефталат сырья- во Владимирской области.
В Центральном федеральном округе широко развита
пищевая промышленность, в которой являются лидерами следующие отрасли:
сахарная, мукомольно-крупяная, маслобойная, мясная, спиртовая, кондитерская,
плодоовощная и табачно-махорочная отрасли.
Также Центральный федеральный округ является
одним из крупнейших производителей полиграфической продукции. Значительная доля
выпускается на комбинатах в Москве и Московской области, в Твери, Рязани и
Ярославле.
Не менее важной является химическая
промышленность. Центры производств находятся в Тульской, Воронежской,
Смоленской областях. Химическая промышленность является базовым сегментом
промышленности Центрального федерального округа. Этот комплекс производит около
четверти российского объёма химической продукции. Крупнейшие химические узды
находятся в Тульской, Тамбовской, Московской и Ярославской областях, что
привело к значительному развитию этих регионов.
В целом Центральный федеральный округ не богат
природными ресурсами, поэтому промышленность основывается на сырье, которое
привозится. Однако имеются небольшие месторождения следующих ресурсов: бурого
угля - Подмосковный буроугольный бассейн; фосфоритов - Егорьевское и Колпинское
месторождения; горючих сланцов в Костромской области и железных руд в Орловской
и Калужской областях.
В структуре электроэнергетики Центрального
федерального округа преобладают крупные тепловые электростанции. Конаковская и
Костромская ГРЭС, имеющие мощность по 3,6 млн. кВт, работают, в основном, на
мазуте, Рязанская ГРЭС (2,8 млн. кВт) - на угле. Также достаточно крупными
являются Новомосковская, Черепетская, Щекинская, Ярославская, Каширская,
Шатурская тепловые электростанции и ТЭЦ Москвы. ГЭС Центрального федерального
округа невелики и немногочисленны. В районе Рыбинского водохранилища построена
Рыбинская ГЭС на Волге, а также Угличская и Иваньковская ГЭС.
Гидроаккумулирующая электростанция построена около Сергиева Посада. В округе
есть две крупные атомные электростанции: Смоленская (3 млн. кВт) и Калининская
(2 млн. кВт). Обнинская АЭС в настоящее время уже закрыта.
В Центральном федеральном округе используется
атомная энергетика (Смоленская АЭС, Тверская АЭС, Костромская АЭС и Обнинская
АЭС). Важную роль играет Загорская ГАЭС.
Энергетика Центрального федерального округа -
это 17 энергосистем и 5 федеральных электростанций - всего 68 электростанций с
установленной мощностью 32 тысячи мегаватт.
В структуре электроэнергетики Центрального
экономического района преобладают крупные тепловые электростанции.
Конаковская ГРЭС находится в Конаковском районе
Тверской области. Расположена на берегу Иваньковского водохранилища в городе
Конаково. Костромская ГРЭС расположена в Волгореченске Костромской области,
Россия, на правом берегу Волги. Обе имеют мощность по 3,6 млн. кВт, работают, в
основном, на мазуте. Рязанская ГРЭС (2,8 млн. кВт) тепловая электрическая станция
находится в г.Новомичуринск Пронского района Рязанской области (в 80 км к югу
от Рязани), на берегу реки Проня. Работает на угле. Также достаточно крупными
являются Новомосковская (261 МВт)- в городе Новомосковск (Тульская область),
Черепетская (1285 МВт) расположена в городе Суворов Тульской области на реке
Черепеть, Каширская (1910 МВт), Шатурская (1500 МВт), тепловые электростанции и
ТЭЦ Москвы. ГЭС Центрального экономического района невелики и немногочисленны.
В районе Рыбинского водохранилища построена Рыбинская ГЭС (356,4 МВт) на реках
Волга и Шексна в Ярославской области, в городе Рыбинске, а также Угличская (120
МВт) на реке Волге в Ярославской области, в городе Угличе. И Иваньковская ГЭС
(28,8 МВт) на реке Волге, у города Дубны на севере Московской области.
Гидроаккумулирующая электростанция построена около Сергиева Посада. В районе
есть две крупные атомные электростанции: Смоленская расположена на юге
Смоленской области в 3 км от города Десногорск (3 млн. кВт) и Калининская
расположена на севере Тверской области в 120 км от города Тверь (2 млн. кВт).
Обнинская АЭС в настоящее время уже закрыта. Курская АЭС - атомная
электростанция в России, расположенная в г. Курчатове Курской области, в 40 км
к западу от г. Курска на берегу реки Сейм. Состоит из четырёх энергоблоков
общей мощностью 4 ГВт.
Сельское хозяйство играет важную роль в
экономике Центрального федерального округа. В состав Центрального федерального
округа входит Центрально-Черноземный экономический район, являющийся одним из
ведущих сельско-хозяйственных районов России.
Ценнейшим богатством являются почвы - черноземы.
Это самые плодородные почвы России, поэтому округ относится к основным
сельскохозяйственным районам страны. Значительная часть его территории заняты
полями зерновых, технических и кормовых культур: ржи и пшеницы, проса и
гречихи, кукурузы, ячменя, овса, силосных трав, сахарной свеклы, подсолнечника.
Развито животноводство, садоводство и овощеводство.
Климатические условия в сочетании с разными
почвами позволяют выращивать в северных районах зерновые с коротким периодом
вегетации, кормовые культуры, картофель. В южных районах вызревает озимая
пшеница, на черноземных почвах высаживают много картофеля, по самому югу
сахарную свеклу. В животноводстве представлено молочно-мясное скотоводство. В
районе много птицефабрик и свинофабрик. Значительное развитие получил
пригородный тип хозяйства, сочетающий овощеводство, картофелеводство с
молочно-мясным скотоводством и свиноводством.
Владимирская область - специализируется на
растениеводстве, молочно-мясном скотоводстве и птицеводстве. Ведущая отрасль
сельского хозяйства - животноводство молочно-мясного направления. Разводят
крупный рогатый скот, свиней, овец, коз. Коневодство (владимирские тяжеловозы).
Площадь сельхозугодий - 866,1 тыс. га, в том числе пашня - 64,5%. Посевные
площади составляют 331,2 тыс. га, из которых 63,1% занимают кормовые культуры,
25,3% - зерновые. Из зерновых выращивают пшеницу, рожь, ячмень, овёс.
Предприятия занимаются выращиванием племенного скота. Несколько рыбных хозяйств,
многочисленные пасеки.
Ивановская область - животноводство
молочно-мясного направления, представлено льноводство, картофелеводство и
лесное хозяйство.
В Калужской области земли сельскохозяйственного
назначения составляют 1 млн. 821 тыс. га, в том числе сельскохозяйственные
угодья - 1 млн. 145 тыс. га, включая 857,1 тыс. га пашни.
Костромская область - занимается
растениеводством технических и промышленных культур.
Орловская область - свеклосеющие хозяйства.
Рязанская область - агропромышленный комплекс
области включает в себя сельхозпредприятия различных форм собственности,
крестьянские (фермерские) хозяйства, предприятия пищевой и перерабатывающей
промышленности. Ведущая отрасль сельского хозяйства - животноводство
молочно-мясного направления. Разводят крупный рогатый скот, свиней, птицу,
овец. Так же активно развито производство пищевого куриного яйца. Выращивают
ячмень, пшеницу, рожь, овёс, кормовые культуры, сахарную свёклу, фрукты и
ягоды. Общий земельный фонд сельхозпредприятий составляет 2556,2 тыс. га, из
которых сельхозугодия занимают 2328,5 тыс. га, пашня - 1470,6 тыс. га, кормовые
угодья - 813,5 тыс. га.
Смоленская область - ведущая отрасль сельского
хозяйства - животноводство (более 55% стоимости продукции отрасли)
молочно-мясного направления. Птицеводство концентрируется на крупных
птицефабриках. Сельскохозяйственные угодья области занимают 1,75 млн. га (1%
площади сельхозугодий РФ) или 35,2% её территории. 1,3 млн. га приходится на
пашню. Растениеводство области специализируется на кормовых (44% посевных
площадей) и зерновых (45%) культурах, производстве льна, картофеля и овощей.
Под зерновыми занято 160 тыс. га.
Тверская область - Сельское хозяйство области
специализируется на молочно-мясном скотоводстве и льноводстве. Значительно
развиты свиноводство и птицеводство. Ведутся посевы ржи, овса, кормовых
культур; картофеля, овощей. Общая площадь сельхозугодий составляет 2434,6 тыс.
га, из них под пашней более 60 %. Посевная площадь более 898,9 тыс. га, из них
под зерновыми культурами занято 200,3 тыс. га, льном-долгунцом - 22,1 тыс. га,
картофелем - 49,2 тыс. га и овощами - 10,6 тыс. га.
Тульская область - Сельскохозяйственные угодья
занимают 1740 тыс. га, или 68% общей площади региона. Пашня занимает 1465 тыс.
га (84% сельхозугодий). В структуре посевных площадей 54% приходится на
зерновые. Сельское хозяйство наиболее развито в южной лесостепной части
региона, здесь распространено выращивание зерновых (ячмень, пшеница) и кормовых
культур, выращивание сахарной свёклы, мясо - молочное скотоводство и
свиноводство. В северных районах преобладает молочно-мясное скотоводство,
выращивание кормовых культур и картофелеводство. Местами получили развитие
плодово-ягодное садоводство и овощеводство.
Ярославская область - Животноводство области
специализируется на разведении крупного рогатого скота молочно-мясного
направления и птицеводстве. Выращивают зерновые культуры, картофель, овощи,
лён-долгунец, плодово-ягодные культуры.
На территории Московской области ведётся
сельское хозяйство, представленное как растениеводством, так и животноводством.
В сельском хозяйстве используется около 40% территории Московской области;
наименее освоены сельским хозяйством северные, восточные и западные окраинные
районы. Большинство сельскохозяйственных предприятий расположено в районах в
радиусе 30-100 км от Москвы. В южной части области, особенно к югу от Оки, в
сельском хозяйстве используется более 50% земель. Растениеводство характерно
преимущественно для южной части области. Большая часть посевных площадей занята
кормовыми культурами. Большие площади отведены под посевы зерновых: пшеница,
ячмень, овёс, рожь. Значительную роль в растениеводстве региона играет
картофелеводство. Распространено тепличное овощеводство. Выращиваются также
цветы, грибы (шампиньоны и др.). Животноводство преобладает над
растениеводством; и главным образом направлено на производство молока и мяса.
Помимо крупного рогатого скота, разводятся свиньи и куры. В водоёмах
распространено рыбоводство.
Принимаются меры государственной поддержки,
направленные на повышение конкурентоспособности российской сельскохозяйственной
продукции, сырья и продовольствия, в том числе повышение доступности кредитов
посредством предоставления субсидий, содействие сельскохозяйственным
товаропроизводителям в приобретении материальных ресурсов (минеральных
удобрений, электрической энергии, горюче-смазочных материалов), проведение
государственных закупочных и товарных интервенций, мониторинг цен основных
видов сельскохозяйственной продукции, способствуют сокращению издержек производства
и росту прибыльности сельскохозяйственных организаций.
Основными целями развития Центрального
федерального округа являются:
создание условий для повышения уровня жизни
населения;
формирование комфортного жизненного
пространства;
формирование диверсифицированной
конкурентоспособной экономики;
снятие инфраструктурных ограничений развития
экономики;
формирование финансовых механизмов развития
экономики.
В Центральном федеральном округе будут
инициированы технологические платформы (это коммуникационный инструмент,
направленный на активизацию усилий по созданию перспективных коммерческих
технологий, новых продуктов (услуг)) по следующим направлениям:
медицинские технологии и биотехнологии;
информационно-коммуникационные технологии;
фотоника;
авиакосмические технологии;
ядерные и радиационные технологии;
технологии транспорта;
технологии металлургии и новые материалы;
добыча природных ресурсов и
нефтегазопереработка;
электроника и машиностроение.
В результате функционирования технологической
платформы по проекту "Технологии добычи и использования
углеводородов" будут разработаны и внедрены: новые технологии добычи
нефти, газа, газоконденсата, гелия и других газов; технологии добычи,
подготовки, переработки, транспортировки и использования попутного нефтяного
газа и сжиженного природного газа; оборудование для геолого-разведочных работ,
технологии проведения новых видов сейсморазведки, программные комплексы для
повышения точности прогнозов; новое оборудование для бурения скважин, новые
технологии, материалы, реагенты для бурения и строительства скважин; технологии
добычи углеводородов из нетрадиционных источников.
Проблемы Центрального федерального округа:
отсутствие четкой государственной стратегии развития Центрального федерального
округа создает опасность деградации его производственного, интеллектуального и
социального потенциала, его интегрирующих возможностей в системе экономических
и пространственных связей страны. Это является реальной угрозой национальной
безопасности страны.
Центральный федеральный округ обладает наивысшей в стране концентрацией
научного и инженерного потенциала, самой развитой производственной,
транспортной и энергетической инфраструктурой, лучшими в стране возможностями
для ведения предпринимательской деятельности, но в то же время заметно отстает
в эффективности использования своего потенциала от ведущих стран мира. Главной
проблемой для Центрального федерального округа является резкое ускорение
внедрения в мировую экономику и повседневную жизнь населения результатов научной
и инженерной деятельности, в первую очередь в сфере
информационно-коммуникационных технологий, фармацевтики, био- и нанотехнологий,
энергетики и автомобилестроения.
Среди угроз безопасности, препятствующих
эффективной реализации государством задач в социально-экономической сфере,
выделяются коррупция, преступления в сфере экономики, проявления криминального
передела собственности, а также сохраняется террористическая угроза и угрозы
возникновения техногенных катастроф.
В итоге, мы можем сказать, что Центральный
федеральный округ - экономический центр России, в котором находится её столица.
В этом округе находятся самые главные транспортные узлы в России, также округ
имеет хорошо развитую промышленность и энергетику, но имеет не так много водных
ресурсов и полезных ископаемых, что означает, что для производства округу
необходим постоянный ввоз ресурсов.
. Характеристика транспортной сети Центрального
федерального округа
Транспортная система России является одной из
наиболее обширных транспортных систем в мире. Она включает: 87 тыс. км.
железных дорог, более 600 тыс. км. воздушных линий, более 745 тыс. км.
автомобильных дорог, свыше 140 тыс. км. магистральных газопроводов, 115 тыс.
км. речных судоходных путей и 87 тыс. км. железных дорог. В этой сети занято
более 3,2 млн. человек, что составляет около 4,6% работающего населения России.
Центральный федеральный округ имеет свою
особенность топологии транспортной сети - это лучеобразные подходы транспортных
коммуникаций к Москве. В Москве сходятся 11 направлений железных дорог и 15
направлений автомобильных магистралей.
Транспортная сеть Центрального федерального
округа представлена железнодорожным, автомобильным, авиационным, водным
(речным) и подземным (Московский метрополитен) видами транспорта.
На территории округа:
70 крупных железнодорожных транспортных узлов, в
том числе МТУ - наиболее крупный в России;
28 аэродромов и аэропортов, не считая «Внуково»,
«Домодедово» и «Шереметьево», которые находятся в прямом подчинении
Федерального агентства воздушного транспорта.
По территории округа проходят:
международные транспортные коридоры: «Транссиб»
- от границы с Белоруссией через Смоленск в Москву, а далее в Нижний Новгород
до Владивостока; «Север-Юг» и панъевропейский коридор № 9.
магистральные нефтепроводы: Нижний Новгород -
Рязань, Рязань - Москва;
магистральные нефтепродуктопроводы: Рязань -
Москва, Новки - Рязань - Тула - Орел;
магистральные газопроводы: Череповец - Нижний
Новгород - Москва; Средняя Азия - Центр, Саратов - Москва, Ямбург - Тула,
Уренгой - Ужгород, Ямал-Европа (через Беларусь).
Самую важную роль в обеспечении транспортных
потребностей округа играют железнодорожный и автомобильный транспорт.
Протяженность автомобильных дорог
общего пользования с твердым покрытием на 1 января 2013 г. составляет 207589
км. Грузооборот автомобильного транспорта организаций всех видов деятельности -
36168 млн. т*км. Средняя густота дорог в расчёте на 
составляет 179 км, что намного
больше, чем во всех остальных округах России.
Главными автомобильными магистралями
округа являются дороги Ml Москва - Смоленск и далее на Минск - Варшаву -
Берлин; М9 Москва - Ржев - Великие Луки-граница с Латвией; М10 Москва - Санкт -
Петербург - граница с Финляндией; М8 Москва - Ярославль - Вологда -
Архангельск; М7 Москва - Владимир - Нижний Новгород; М5 Москва - Коломна -
Рязань - Шацк - Пенза; М4 Москва - Ступино - Ефремов - Елец - Воронеж с выходом
на Северный Кавказ; М4 Москва - Серпухов - Тула - Орёл - Курск - Белгород -
граница с Украиной; МЗ Москва - Наро- Фоминск - Обнинск - Сухиничи - Брянск -
Севск - граница с Украиной. Эти дороги имеют федеральное значение, а многие из
них (Ml, М9, М10, М7, М4, МЗ) интенсивно используются для обеспечения
международных связей с Белоруссией, Латвией, Литвой, Эстонией, Украиной, а
через них и со странами Центральной и Юго-Восточной Европы. По автомобильным
дорогам Центрального федерального округа осуществляются и транзитные перевозки
в связях Северо-Западного федерального округа с Приволжским, Южным и реже с
другими федеральными округами, а также международные транзитные перевозки.
Автомагистрали Ml и М7 входят в состав Общеевропейского транспортного коридора
№2; Ml О, МЗ являются ветвями Общеевропейского транспортного коридора №9.
В Центральный федеральный округ по
автомобильным дорогам поступают различные строительные грузы, зерно,
нефтепродукты. Компании-перевозчики обеспечивают быструю доставку и выдачу
грузов. Крупнейшим железнодорожно-автомобильным узлом является Москва, поскольку
она является центром радиального размещения железных дорог и автомобильных
дорог.
Водные транспортные перевозки имеют
важное значение, особенно грузоперевозки по Москве и области крупногабаритных и
сыпучих грузов. Регионы округа соединены сетью водных путей с выходом в
Балтийское, Белое, Каспийское, Азовское и Черное моря. По внутренним судоходным
путям в округ из Северо-Западного региона доставляется 2,15 млн. тонн
строительных грузов (щебень), лесоматериалов, металла. В обратном направлении
следует 2,5 млн. тонн строительных материалов, нефтегрузов и прочих грузов. Из
Приволжского федерального округа в Центральный поступают строительные грузы,
нефтепродукты, удобрения, зерно. Их общий объём в 2008 г. составил 2,13 млн.
тонн, а в обратном направлении - 0,8 млн. тонн. Во внутренних сообщениях
перевозятся в основном строительные материалы, добываемые из русел рек, в
незначительных объёмах лесные и нефтяные грузы, хлеб, удобрения. Их общий объём
в 2008 г. составил 13,7 млн. тонн.
К основным гидроузлам района
относятся Москва, Ярославль, Кострома, Калуга, Рыбинск. Роль последнего велика
в обеспечении функционирования Рыбинского водохранилища.
В районе функционируют несколько
нефтепроводных систем, обеспечивающих сырьём нефтеперерабатывающие предприятия
округа. Одна из них Альметьевск - Нижний Новгород - Рязань - Москва снабжает
сырьём крупные нефтеперерабатывающие заводы в Рязани и Москве. Нефтепровод Уса
- Ухта - Ярославль обеспечивает нефтью Ярославский нефтеперерабатывающий завод.
К Ярославскому заводу подведён также нефтепровод Пермь - Нижний Новгород -
Ярославль с последующим выходом на Полоцк (Белоруссия). По территории округа
проходит нефтепровод Самара - Брянск (Унеча), по которому нефть следует на
Ново- Полоцкий и Мозырьский нефтеперерабатывающие заводы, а также на Украину, в
Польшу, Германию, Чехию, Словакию, Венгрию. В целях обеспечения
беспрепятственной транспортировки нефти на экспорт в страны дальнего зарубежья
от Унечи будет создан выход трубы на порт Усть-Jlyra с последующей её
перевалкой на морские танкеры.
Система продуктопроводов
осуществляет вывоз продуктов переработки с нефтеперегонных заводов к местам их
концентрированного потребления. На территории округа наиболее важными
продуктопроводами являются Сызрань - Тамбов - Никольское - Воронеж - Белгород -
граница с Украиной с ответвлением от Никольского на Орёл (Стальной Конь)-Брянск
/ Курск - граница с Белоруссией. От Ярославского НПЗ по нефтепродуктопроводам
продукция следует на Северо-Запад (Кириши) и на Рязань с последующим выходом на
Плавск и Орёл. Рязанский НПЗ соединён продуктопроводом с Москвой. Для
обеспечения потребителей Подмосковья сооружён кольцевой продуктопровод вокруг
Москвы.
Центральный федеральный округ
занимает второе место после Приволжского по объёму потребления газа. На долю
округа приходится около четверти всего потребления газа в России. В структуре
потребления ведущее место приходится па тепловые электростанции - 43%, на
промышленность - 26%, на коммунально-бытовые нужды - свыше 28%. Уровень
газификации жилого фонда превышает 70%.
Система газопроводов округа
представляет собой мощные магистрали, идущие из Центральной Азии (Центральная
Азия - Центр), Северного Кавказа (Ставрополь - Москва), Поволжья (Саратов -
Москва), Западной Сибири (Надым - Москва) для покрытия потребностей населения и
предприятий.
Эксплуатационная длина
железнодорожных путей общего пользования на 1 января 2013 г. составляет 17014
км. Густота железнодорожных путей в 2010 году в Центральном федеральном округе
составляет 261 
, эксплуатационная длина путей в
2010 году составила 16973 км. Отправление грузов железнодорожным транспортом
общего пользования - 223,8 млн. т. Железные дороги имеют достаточно высокое
техническое оснащение. Из общей протяжённости сети 45% двухпутных линий, свыше
45% - электрифицированные линии и более 70% оборудованы автоматической
блокировкой. Свыше половины путей (52%) обслуживаются Московской железной
дорогой; 20,9 % - Юго-Восточной железной дорогой; 11,4% - Октябрьской железной
дорогой; 10,4% - Северной железной дорогой; 1,1% - Куйбышевской железной
дорогой.
В 2013 г. железнодорожными станциями
в границах округа было отправлено 240 млн. тонн грузов, из них свыше трети -
строительные материалы, почти пятая часть - руда, 13,6% - нефтепродукты, 9,2% -
металлы, 15,9% - прочие грузы. Прибытие грузов на железнодорожные станции в
границах округа в том же году составило 312 млн. тонн. В общем объёме прибывших
грузов 20,6% пришлось на уголь и кокс, 33,1% - на строительные материалы, 11,5%
- на руду, 10,9% - на прочие грузы, 3,3% - удобрения.
Наиболее мощные грузопотоки
наблюдаются на таких железных дорогах, которые обеспечивают связи регионов
Сибири, Урала, Поволжья с районами Центра. Таким образом, широтное двухпутное
направление Нижний Новгород - Владимир - Орехово-Зуево осваивает грузопотоки
24-28 млн. тонн. На направлении Арзамас - Муром - Куровская грузопоток в обоих
направлениях достигает 68-69 млн. тонн; Кустаревка - Рязань - 38 млн. тонн;
Ртищево - Рязань - 44 млн. тонн; Рязань - Воскресенск - 90 млн. тонн. На
западных подходах к границе с Белоруссией товаропоток достигает 50-54 млн.
тонн. К границе с Украиной из Центрального федерального округа по железным
дорогам подходит до 90 млн. тонн, в том числе по направлению Калуга - Брянск -
37 млн. тонн к Суземке и 53 млн. тонн - к ст. Соловей по направлению Пенза -
Балашов - Лиски.
На территории округа находятся:
Большая Московская железная дорога - окружная железная дорога вокруг Москвы,
проходящая по территории Московской и Владимирской областей на расстоянии
30-120 км от МКАД; Московская окружная железная дорога - окружная железная
дорога в Москве, предназначенная для осуществления грузовых транзитных
перевозок между всеми магистральными железнодорожными направлениями Москвы;
железная дорога Черусти - Уршель (посёлок Уршельский) - ведомственная
железнодорожная линия в Московской и Владимирской областях протяжённостью 20
км.; Монзенская железная дорога - «ведомственная» железная дорога широкой колеи
(1520 мм). Проходит по территории Костромской области.
Для обеспечения растущего спроса на
пассажирские перевозки в южные регионы страны предполагается осуществить
поэтапную модернизацию инфраструктуры основных направлений сети железных дорог
России для организации регулярного обращения пассажирских поездов длиной до
22-24 вагонов.
Основными направлениями развития
железнодорожного транспорта в Центральном федеральном округе являются:
Организация высокоскоростного движения на линии Москва - Санкт-Петербург;
электризация участка Ртищево - Кочетовка Юго-Восточной железной дороги;
развитие Московского железнодорожного узла в соответствии с Генеральной схемой,
утверждённой правительством Москвы от 2008 года; строительство обхода
Ярославского железнодорожного узла; реконструкция мостов через реку Оку на
участке Жилево-Ожерелье, через реку Дон на участках Лиски - Россошь и Лев
Толстой - Елец; строительство дополнительных главных путей на участках
Ярославль - Нерехта, Крюково - Клин, Воскресенск - Рязань, Столбовая -
Серпухов, Бекасово - Нара, Москва - Крюково и Мга - Сонково - Ярославль.
Одной из важнейших проблем
Центрального федерального округа является модернизация московского
транспортного узла - важнейшего и наиболее крупного транспортного узла в
России.
Юго-Восточная железная дорога - одна
из 16 дорог России, филиал ОАО «РЖД». Дорога обслуживает Центрально-Черноземный
экономический регион: Воронежскую, Липецкую, Белгородскую, Ростовскую,
Тамбовскую области, а также участки Тульской, Пензенской, Саратовской,
Рязанской, Курской и Волгоградской областей. Суммарная площадь обслуживаемого
региона составляет около 160 тысяч квадратных километров с численностью
населения 6,5 млн. человек. Она лежит на следующих областях: Воронежской,
Белгородской, Волгоградской, Ростовской, Курской, Рязанской, Тамбовской,
Тульской, Липецкой, Саратовской, Пензенской. Юго-Восточная железная дорога
является одной из мощных транспортных артерий в сети железных дорог России,
связывающая центр Европейской части страны с Северным Кавказом, Поволжьем,
Украиной, восточной частью страны.
К крупнейшим железнодорожным
станциям, обслуживающим промышленные комплексы, относятся: Стойленская, Котел,
Лебеди (Белгородская область), Павловск-Воронежский, Придача (Воронежская
область), Курбакинская, Михайловский Рудник (Курская область), Новолипецк,
Чугун 1 и 2, Елец (Липецкая область) и Никольское (Тамбовская область). Кроме
того, значительные объемы грузовой работы имеют станции, находящиеся на границе
России с Украиной, - Соловей и Красный Хутор (Белгородская область) и через
которые осуществляются транспортно-экономические связи со странами ближнего и
дальнего зарубежья.
В пределах дороги находится
несколько заводов, выпускающих продукцию для нужд железных дорог или
ремонтирующих подвижной состав: Воронежский тепловозоремонтный завод,
Воронежский вагоноремонтный завод, Мичуринский локомотиворемонтный завод,
Тамбовский вагоноремонтный завод.
Управление дороги находится в
Воронеже. Начальник дороги с2002-Анатолий Иванович Володько.
Основные показатели на 2012 год:
Эксплуатационная длина дороги- 4189,1 км; Численность сотрудников - 22 608
человек; Средняя заработная плата - 24 913 рублей; Перевезено грузов - 82,5
млн. тонн; Перевезено пассажиров: в дальнем сообщении - 23,7 млн. человек, в
пригородном сообщении - 16,2 млн. человек.
Вся Юго-Восточная железная дорога
разделена на 3 региона: Белгородский регион, Лискинский регион, Мичуринский
регион. Она граничит со следующими железными дорогами: с Приволжской,
Куйбышевской, Московской, Северо-Кавказской, Донецкой и Южной.
В пределах дороги находится
несколько заводов, выпускающих продукцию для нужд железных дорог или
ремонтирующих подвижной состав: Воронежский тепловозоремонтный завод,
Воронежский вагоноремонтный завод, Мичуринский локомотиворемонтный завод,
Тамбовский вагоноремонтный завод.
В настоящее время Юго-Восточная
железная дорога обеспечивает перевозки рудодобывающих предприятий Курской
магнитной аномалии, Новолипецкого металлургического и Оскольского
электрометаллургического комбинатов, предприятий химической и перерабатывающей
промышленности. Юго-Восточная дорога обслуживает потребности промышленности,
сельского хозяйства и населения Тамбовской, Липецкой, Воронежской, Белгородской
областей и на небольшом участке Курской области. На руды (железная руда Курской
магнитной аномалии) приходится более 40% от общего отправления. На втором месте
по объемам погрузки (24%) стоят минерально-строительные материалы
(преимущественно вскрышные породы, отходы металлургического производства и
нерудные материалы Павловского карьера). Кроме того, со станций железнодорожной
сети района отправляются черные металлы (13%), нефтепродукты после налива с
трубы (ст. Никольское) и широкая номенклатура грузов группы «прочие» (продукция
разнообразного машиностроения, химической, пищевой и легкой промышленности).
Потребности большей части Курской области и на небольшом участке Липецкой
области обслуживает Московская дорога. Железнодорожный транспорт обеспечивает
как внутренние связи района, так и связи с другими регионами страны. Управление
дороги находится в городе Воронеже. Район имеет развитую систему внутрирайонных
связей. На долю местного сообщения приходится 29% от объема перевозок с
преобладанием погрузки-выгрузки железной руды - 17,3 млн.т (48% от местного
сообщения) и минерально-строительных материалов - 10,7 млн.т (29,5%). Удельный
вес местного сообщения в отправлении указанных грузов составляет: по рудам
всяким - 54%; минерально-строительным материалам - 56%. Как пример наиболее
крупных внутрирайонных связей по отдельным грузам, можно выделить следующие:
по рудам: Белгородская область
отправляет на металлургические предприятия Липецкой области 9,9 млн.т;
по минерально-строительным
материалам следует отметить характерную особенность связей, а именно - 50-60%
местных перевозок приходится на внутриобластные связи: Воронежская область из
4,4 млн.т отправления в местном сообщении 2,7 млн.т (более 60%) выгружает на
собственные станции; Белгородская - из 2,6 млн.т отправления в местном
сообщении выгружает для собственных нужд 1,6 млн.т (более 60%) и Липецкая область
соответственно - из 3,4 млн.т на себя выгружает 1,8 млн.т (более 50%).
Наиболее грузонапряженные участки (в
грузовом направлении) на железнодорожной сети Центрально-Черноземного района:
Мичуринск - Богоявленск 18,7 млн.т, Мичуринск - Грязи 17,2 млн.т (Тамбовская
область), что превышало среднюю грузонапряженность по железнодорожной сети
России (12,7 млн.т) соответственно в 1,5 и 1,4 раза; Грязи - Казинка 15 млн.т
(Липецкая область) с превышением среднесетевой величины в 1,2 раза; Поворино -
Таловая 20,1 млн.т и Придача - Отрожка 18,6 млн.т (Воронежская область) с
превышением соответственно в 1,6 и 1,5 раза; Чернянка - Валуйки 15,3 млн.т
(Белгородская область) - превышение среднесетевой грузонапряженности в 1,2
раза.
Основные направления грузопотоков: Старый
Оскол - Валуйки - Лиски - Пенза; Курск - Харьков; Павелец - Ряжск - Мичуринск -
Ртищево - Саратов; Ряжск - Лиски - Чертково.
На Юго-Восточной железной дороге
сформировано 5 фирменных поездов: № 25/26 "Воронеж" (сообщением
Воронеж - Москва), № 29/30 "Липецк" (сообщением Липецк - Москва),
№31/32 "Тамбов" (сообщением Тамбов - Москва), № 71/72
"Белогорье" (сообщением Белгород - Москва), №57/58
"Приосколье" (сообщением Старый Оскол - Москва).
июля 2012 в Воронеже в управлении
Юго-Восточной железной дороги прошло сетевое совещание РЖД по вопросам
обеспечения безопасности движения в транспортном комплексе РФ. На совещании
отмечено, что на дороге активно ведётся работа по повышению эффективности
управления безопасностью движения. Обсуждены проблемы содержания и эксплуатации
железнодорожных переездов, ДТП на переездах, положение с отказами технических
средств на дороге, а также перспективы развития транспортного комплекса на
территории Воронежской области.
Подводя итоги, мы можем сказать, что
транспортная сеть России очень велика, она пересекает её всю вдоль и поперёк
сотнями тысяч километров различных транспортных путей, начиная с дорожного и
заканчивая трубопроводным. Она развивается ежегодно и имеет большой потенциал.
В этой сфере заняты миллионы человек, что является ещё одним показателем её
развитости. Она включает в себя десятки железных дорог, тысячи автомобильных
магистралей, которые перевозят миллионы тонн различных материалов и грузов.
. Расчёт густоты железнодорожной
сети в областях Центрального федерального округа и по округу в целом
географический федеральный транспорт
железнодорожный
Таблица 3. Расчёт густоты железнодорожной сети
Центрального федерального округа.
|
Административная
единица
|
S тыс.
|
N Тыс. Чел.
|
L км.
|
Густота
ж/д
|
|
|
|
|
Dt (густота ж/д по
территории)
|
Dn (густота по населению)
|
Dtn (относительная густота
ж/д)
|
|
Московская
|
46,8
|
19241
|
2697
|
57,63
|
0,1
|
2,8
|
29,7
|
1004
|
872
|
29,36
|
0,8
|
5,0
|
|
Костромская
|
60,3
|
656
|
641
|
10,63
|
0,9
|
3,2
|
|
Курская
|
29,9
|
1118
|
1061
|
35,48
|
0,9
|
5,8
|
|
Липецкая
|
24,0
|
1159
|
757
|
31,54
|
0,6
|
4,5
|
|
Орловская
|
24,6
|
769
|
596
|
24,23
|
0,7
|
4,3
|
|
Рязанская
|
39,6
|
1140
|
970
|
24,49
|
0,8
|
4,5
|
|
Смоленская
|
49,7
|
967
|
1109
|
22,31
|
1,1
|
5,0
|
|
Тамбовская
|
34,4
|
1068
|
738
|
21,45
|
0,7
|
3,8
|
|
Тверская
|
84,2
|
1325
|
1803
|
21,41
|
1,3
|
5,3
|
|
Тульская
|
25,6
|
1521
|
948
|
37,03
|
0,6
|
4,8
|
|
Ярославская
|
1271
|
654
|
18,12
|
0,5
|
3,0
|
|
Белгородская
|
27,1
|
1544
|
700
|
25,83
|
0,4
|
3,4
|
|
Брянская
|
34,8
|
1242
|
1010
|
29,02
|
0,8
|
4,8
|
|
Владимирская
|
29,0
|
1413
|
922
|
31,79
|
0,6
|
4,5
|
|
Воронежская
|
52,2
|
2328
|
1150
|
22,03
|
0,4
|
3,2
|
|
Ивановская
|
21,4
|
1043
|
345
|
16,12
|
0,3
|
2,3
|
С помощью данной таблицы можно сказать, что
наибольшими показателями обладает Московская область. Она имеет такие
показатели, так как именно в этой области находится массивный транспортный
узел, Большое кольцо Московской железной дороги, по которому перевозится
миллионы людей ежедневно.
Наименьшие показатели плотности железных дорог
наблюдается в Костромской области. Это объясняется тем, что здесь
железнодорожный транспорт имеет региональное или местное значение.
Для подсчёта данных о плотности железных дорог в
областях Центрального федерального округа были использованы следующие формулы:
) Формула, характеризующая густоту
железнодорожной сети Ds, как отношение её протяженности L к площади территории
района S.
Пример расчета для Московской
области
2) Формула, характеризующая густоту
железнодорожной сети Dn,
как отношение её протяженности L к численности населения N.
Пример расчета для Московской области
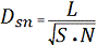
) Формула, характеризующая относительную густоту
железнодорожной сети Dsn,
определяемую размерами территории района S и численности населения N.
Пример расчёта для Московской области
Заключение
Подводя итоги, можно сказать, что Центральный
федеральный округ - один из важнейших округов в России. Также можно сказать,
что этот округ - экономический центр России. В нём находится столица Российской
федерации - Москва. Округ имеет развитую промышленность, множество
электростанций, развитую инфраструктуру. Именно здесь находятся самые главные
транспортные узлы страны. Также округ имеет огромный экономический потенциал и
с каждым годом округ становится всё более и более совершенным, создаются новые
дороги и электростанции, разрабатываются новые проекты. Именно в этот округ
идут сотни железных дорог с самых отдалённых частей России. По таким железным
дорогам и автомагистралям, а также по трубопроводам в округ поступают миллионы
тонн различного сырья.
Однако, округ имеет свои минусы. Например,
Центральный федеральный округ обладает совсем небольшими запасами водных
ресурсов и полезных ископаемых, но имеет развитую промышленность, поэтому
требуется постоянный ввоз ресурсов и полезных ископаемых, чтобы поддерживать
постоянное производство.
Именно поэтому округ стремительно развивается.
Планируются следующие пути развития, например: организация высокоскоростного
движения на линии Москва - Санкт-Петербург; электризация участка Ртищево -
Кочетовка Юго-Восточной железной дороги; развитие Московского железнодорожного
узла. Я считаю, что эти и множество других изменений приведут к максимальной
эффективности округа в экономическом и транспортном смысле.
Список литературы.
1) «Центральный район.
Экономико-географическая характеристика» Рязанцев С.Н.
) «Экономическая география и
регионалистика», Лопатников Д.Л.
) Б.М. Лапидус, Ф.С. Пехтерев
- Регионалистика.
) «Экономическая и социальная
география России» (Атлас), А.И. Алексеев, О.В. Гаврилов.