Вплив лазерного випромінювання на живу тканину наповнену кров’ю

  • Вид работы:
    Курсовая работа (т)
  • Предмет:
    Медицина, физкультура, здравоохранение
  • Язык:
    Украинский
    ,
    Формат файла:
    MS Word
    168,73 Кб
  • Опубликовано:
    2016-01-03
Вы можете узнать стоимость помощи в написании студенческой работы.
Помощь в написании работы, которую точно примут!

Вплив лазерного випромінювання на живу тканину наповнену кров’ю

Вступ

Лазер - це генератор електромагнітних випромінювань оптичного діапазону, робота якого полягає у використанні вимушених випромінювань. Принцип дії лазера базується на властивості атома (складної квантової системи) випромінювати фотони при переході із збудженого стану в основний (з меншою енергією).

Розвиток лазерної техніки дозволив сформувати великий науково-технічний напрямок-взаємодії когерентного монохроматичного електромагнітного випромінювання з біологічними системами-лазерної медицини. Сьогодні лазери успішно застосовують в таких сферах медицини як: хірургія, онкологія, офтальмологія, гінекологія, стоматологія, нейрохірургія, ендоскопія і фізіотерапія.

Сучасні лазерні установки які використовуються в хірургії мають універсальні властивості, які забезпечують широкі можливості дії на живу тканину шляхом опромінення, розсічення, випаровування і коагуляції біотканин лазерним випромінюванням. Разом із тим досягненням необхідного фото термічного ефекту залежить від енергетичних і оптичних параметрів лазерного пучка, тривалості дії а також від теплофізичних характеристик біотканини та об’єму в якому поглинається енергія випромінювання. Моделювання теплових процесів у тканині під дією лазерного випромінювання дозволить визначити вихідні параметри лазерного випромінювача, які забезпечать які забезпечать потрібний біофізичний ефект.

В даному курсовому проекті ми досліджуватимемо вплив лазерного випромінювання на живу тканину наповнену кров’ю (цироз печінки). Теплова дія лазерного випромінювання в біотканині базується на поглинанні випромінювання і перетворенні його енергії в тепло. Коефіцієнт поглинання залежить від виду тканини і від довжини хвилі лазерного випромінювання. Кількість поглинутого випромінювання зменшується з глибиною, тому теплова енергія і температура також зменшуються. Одночасно тепло відводиться внаслідок теплопровідності і потоку крові. Таким чином виникає температурний градієнт, як по глибині, так і в перпендикулярному напрямку. Оптичні і термічні властивості тої чи іншої тканини відіграють важливу роль для досягнення визначеної температури тканини з допомогою лазерного випромінювання.

Завдання на курсовий проект (постановка задачі)

Потрібно визначити температурний розподіл лазерного випромінювання в тканині печінки при її захворюванні.

Для лікування даної проблеми (цироз печінки) використовують діодний лазер. Вони володіють вузькою лінією (Δλ/λ<10-7) і мають широкодіапазонну частоту генерації. Вихідна потужність випромінювання повинна бути не менша 20-30 мВт а час дії на одну процедуру 10-30 хвилин на курс лікування 10-15 тижнів. При потраплянні на перенхіму (основна тканина) печінки відбувається поглинання випромінювання дрібними венами і проходження його вглиб тканини. Основною метою є розрахунок температурного поля при проходженні кожного шару. Виведені результати температури повинні підтвердити те, що при більшій глибині проникнення випромінювання температура зменшується.

Довжини хвиль (нм)

Рис. 1 - Спектр поглинання крові. Цифрами позначені випромінювання з терапевтичними довжинами хвиль

1.  Огляд літератури

.1 Властивості живої тканини

Дія лазерного випромінювання на біологічну живу тканину або реакція живої тканини на це випромінювання зумовлена взаємодією фотонів і молекул або з’єднань молекул тканин. Атомарні і молекулярні процеси і наслідкові біологічні реакції вияснені ще не повністю. Відомі процеси можуть бути поділені на фотохімічну взаємодію, термічну взаємодію і нелінійні процеси. Степінь тої чи іншої взаємодії залежить :

а) від властивостей лазерного випромінювання (довжина хвилі, густина енергії, тривалість опромінення і частота повторення);

б) від властивостей живої тканини (коефіцієнта поглинання, коефіцієнта розсіяння, густини);

В залежності від довжини хвилі, густини енергії і часу тривалості випромінювання ефект визначається в основному двома внутрішніми параметрами тканини: з одної сторони, оптичними властивостями опромінюванюї тканини, а з другої сторони, її термічними властивостями.

1.2 Оптичні властивості тканини

При попаданні лазерного пучка на тканину можуть спостерігатись три таких процеси як: відбивання, поглинання і пропускання.

Проникаючи в тканину частина променів поглинається, частина розсіюється і частина відбивається.

Рис. 2 - Оптичні властивості шарів тканини

Падаючий пучок променів Фо розділяється на три частини: відбита частина RФ, поглинута AФ, пропущена TФ

В залежності від довжини хвилі падаючого випромінювання відбивається до 60% цього випромінювання. Основним параметром випромінювання є його інтенсивність. Інтенсивність випромінювання, яке пройшло через шар товщиною d визначається співвідношенням:

I=I0* (-α*d/e),

де I0 - інтенсивність при вході в тканину і α - коефіцієнт поглинання.

При застосуванні монохроматичного випромінювання довжини хвилі λ для коефіцієнта поглинання дійсне натупне співвідношення:

α = 4πnk/ λ

Найкращим чином співвідношення поглинання і розсіювання описано в теорії Кубелки-Мунка. Рівняння, що описує поширення випромінювання в середовищах з врахуванням поглинання і розсіювання має вигляд:
(r,z)/dz = -gLc(r,z),

де Lc(r,z) - щільність потужності випромінювання [Вт/м2] колімованого променя в місці р (вектор місця) у напрямку z, g - коефіцієнт ослаблення (сума коефіцієнтів розсіювання [м-1] і поглинання [м-1]).

Розсіювання в біологічній тканині залежить від довжини хвилі лазерного променя. Випромінювання ексимерного лазера УФ діапазону (193, 248, 308 і 351 мкм), а також ІЧ-випромінювання 2,9 мкм ErYAG-лазера і 10,6 мкм СО2-лазеру мають глибину проникнення від 1 до 20 мкм. Тут розсіювання грає другорядну роль. Для світла з довжиною хвилі 450-590 нм, що відповідає лініям аргону, глибина проникнення складає в середньому 0,5-2,5мм. Як поглинання так і розсіювання грають тут значну роль. Лазерний промінь цієї довжини хвилі хоча і залишається в тканині колімованим у центрі, але він оточений зоною з високим розсіюванням. Від 15% до 40% енергія падаючого пучка світла розсіюється. У області спектра між 590 і 1500 нм, у якій входять лінії Nd:YAG лазера 1,06 і 1,32 мкм, домінує розсіювання. Глибина проникнення складає від 2,0 до 8,0 мм.

Якість колімованості випромінювання втрачається - формується конусом дифузійного розсіювання. У той час як в УФ діапазоні поглинання залежить від наявності білка, у ІЧ діапазоні істотне значення має наявність води.

Більшість органічних молекул, як і протеїни, інтенсивно поглинають в УФ діапазоні випромінювання (100-300 нм). Оксигенований гемоглобін інтенсивно поглинає починаючи з УФ області, включаючи зелену і жовту області видимого світла і до значення довжини хвилі 600 нм.

У діапазоні від 600 до 1200 нм випромінювання глибше проникає в тканину, із мінімальними втратами на розсіювання і поглинання. У цьому діапазоні випромінювання може досягати до глибоко розташованих об’єктів. Такі лазери як аргоновий лазер, лазер на барвнику, Nd:YAG- лазер із подвоєнням частоти, Nd:YAG-лазер, діють переважно на гемоглобін, меланін і інші органічні речовини і тому мають коагуляційний ефект. СО2-лазер, що генерує на довжині хвилі 10,6 мкм, або ErYAG-лазер із довжиною хвилі генерації 2,9 мкм через високу ступінь поглинання енергії випромінювання водою може застосовуватися для розрізу тканини.

 <#"875544.files/image004.gif">

де с-коефіцієнт теплоємності; ρ-густина матеріалу; λ-коефіцієнт теплопровідності; W- тепловий потік; T- температура; q- джерело теплового потоку.

=λ(x);

q(x,τ) = α(x) I(τ)((-αx) dx);

λ(x)= α (T-Tc);

λ(x)=α (T-Tc);= 36,6;

Будуємо різницеву сітку:

Сітка по часу τк+1=τк+τ

Сітка по координаті xi+1=xi+x 1 ≤ i ≤ N x=

Виконуємо заміну похідних

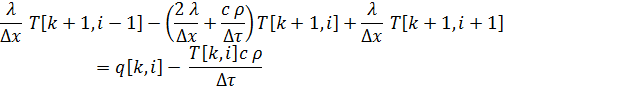
c(x) ρ(x)  = λ  +q [k,i];

Виконуємо елементарні математичні дії:

+  = λ + q[k,i];

λ  -  = - q[k,i] -

=;

Отримуємо трьохточкове рівняння:


Коефіцієнти рівняння: A, B, C;

B=(; C=

Прогоночні коефіцієнти: α, β :

;

β[i+1] =;

Гранична умова запишеться:

T[k+1,i-1]=α[i] T[i] + β[i];

Запишемо джерело:


- -подібна функція Дірака

3. Текст програми

kyrsa4;,ttt1,ttt2:integer;,dz,dtau,dmax,diff,tt:real;,ro,lamda,q,z,ti,alfa,A,B,Intyns,T1,e,II,QQ,alf,In:real;,bb:array [1..50] of real;,j:integer;F(QQ,alfa,z,dz,dta1,Aa,T:real):real;:=-(alfa*0.5*QQ*dz*dta1-aa*T);;:=0.005;:=0.2;:=4200;:=1865;:=0.24;:=1.2;:=5;:=0.7;:=e/ti;:=310;:=0.0001;:=50;:=z/n;:=0,4;:=(lamda*dtau)/dz;:=c*ro*dtau;i:=1 to n do[i,1]:=T1;j:=1 to n do[1]:=1+dz*alf/lamda;[1]:=dz*alf*T1/lamda;:=Intyns;i:=1 to N-1 do[i+1]:=B/(2*B+A-aa[i]*B);:=In;:=In*exp(-alfa*dz);:=QQ-In;[i+1]:=(B*bb[i]+F(QQ,alfa,z,dz,dtau,A,T[i,j]))/(2*B+A-aa[i]*B);;:=0;i:=n downto 2 do:=T[i-1,j];[i-1,j]:=aa[i]*T[i,j]+bb[i];:=abs(Tt-T[i-1,j]);diff>dmax then:=diff;;[n,j]:=(T[n-1,j]-bb[n])/aa[n];

{if dmax>tochnist then goto 1 ;}(j=1) or (j=n) then begini:=2 to n-1 do(T[i,j]:12:7,' '); end;;i:=1 to n do T[i,j+1]:=T[i,j];;.

3.1 Результат програми

біотканина фототермічний ефект

.00010204  358.07540

.00020408  354.15464

.00030612  350.45295

.00040816  346.96798

.00051020  343.69652

.00061224  340.63450

.00071429  337.77705

.00081633  335.11857

.00091837  332.65279

.00102041  330.37283

.00112245  328.27131

.00122449  326.34040

.00132653  324.57196

.00142857  322.95754

.00153061  321.48854

.00163265  320.15625

.00173469  318.95196

.00183673  317.86700

.00193878  316.89282

.00204082  316.02106

.00214286  315.24360

.00224490  314.55259

.00234694  313.94052

.00244898  313.40023

.00255102  312.92494

.00265306  312.50828

.00275510  312.14428

.00285714  311.82738

.00295918  311.55245

.00306122  311.31477

.00316327  311.11001

.00326531  310.93424

.00336735  310.78388

.00346939  310.65574

.00357143  310.54693

.00367347  310.45489

.00377551  310.37736

.00387755  310.31232

.00397959  310.25803

.00408163  310.21296

.00418367  310.17580

.00428571  310.14542

.00438776  310.12087

.00448980  310.10136

.00459184  310.08623

.00469388  310.07498

.00479592  310.06720

.00489796  310.06264

.00500000  310.06112

3.2 Графік розподілу температури

Рис. 4

Висновки

За даними виданими нам програмою, ми бачимо що при більшому прониканні в тканину лазерним випромінювання потужність зменшується, відповідно і температура. Також ми отримали графік розподілу температури на якому видно всю картину поведінки лазерного випромінювання в тканині наповненій кров’ю.

Список використаної літератури

1.   Х.-П. Берлиена, Г.Й. Мюллера “Прикладная лазерная медицина” Москва 1997 г.

2.      В.А. Серебряков “Лазарные технологии в медицине” Санкт-Петербург 2009 г.

.        А.Н. Тихонов, А.А. Самарский “Уравнения математической физики” Москва 1977 г.

.        Файн С., Клейн Э. “Биологическое действие излучения лазера”. Москва 1968 г.

.        Плетньов С.Д. “Лазери в клінічній медицині”. Москва 1981.

Похожие работы на - Вплив лазерного випромінювання на живу тканину наповнену кров’ю

 

Не нашли материал для своей работы?
Поможем написать уникальную работу
Без плагиата!
Без нейросетей!