Характеристика ассортимента и показателей качества мясных консервов из говядины, реализуемой в торговой сети города Орла

  • Вид работы:
    Курсовая работа (т)
  • Предмет:
    Маркетинг
  • Язык:
    Русский
    ,
    Формат файла:
    MS Word
    643,04 Кб
  • Опубликовано:
    2015-06-17
Вы можете узнать стоимость помощи в написании студенческой работы.
Помощь в написании работы, которую точно примут!

Характеристика ассортимента и показателей качества мясных консервов из говядины, реализуемой в торговой сети города Орла

МИНИСТЕРСТВО ОБРАЗОВАНИЯ И НАУКИ РОССИЙСКОЙ ФЕДЕРАЦИИ

ФЕДЕРАЛЬНОЕ ГОСУДАРСТВЕННОЕ БЮДЖЕТНОЕ ОБРАЗОВАТЕЛЬНОЕ УЧРЕЖДЕНИЕ ВЫСШЕГО ПРОФЕССИОНАЛЬНОГО ОБРАЗОВАНИЯ

«ГОСУДАРСТВЕННЫЙ УНИВЕРСИТЕТ - УЧЕБНО - НАУЧНО - ПРОИЗВОДСТВЕННЫЙ КОМПЛЕКС»

Кафедра «Технология и товароведение продуктов питания»


Курсовая работа

по дисциплине « Товароведение и экспертиза однородных групп товаров »

на тему: «Характеристика ассортимента и показателей качества мясных консервов из говядины реализуемой в торговой сети города Орла»


Выполнил: Суюшкина Н.В

Факультет: ФПБиТ

Специальность: Товароведение и экспертиза товаров

Группа: 41 - ТЭ

Руководитель: Сафронова О.В.



Орел, 2014

Содержание

Введение

. Обзор литературы

.1 Общая характеристика продукта

.2 Анализ рынка мясных консервов в России

.3 Химический состав, питательная, биологическая и энергетическая ценность

.4 Факторы формирующие качество мясных консервов

.5 Требования к качеству готовой продукции, дефекты, и причины их вызывающие

.6 Дефекты

.7 Условия и сроки хранения, транспортирование

. Практическая часть

.1 Организация эксперимента, цель и объекты исследования

.2 Социологические исследования потребительских предпочтений и мотиваций

.3 Анализ показателей ассортимента в розничной сети г. Орла

. Эксперементальня часть

.1 Анализ информации для потребителей

.2 Органолептическая оценка качества товаров в соответствии с требованиями стандартов

.3 Физико-химическая экспертиза качества товаров

.4 Расчет интегрального показателя качества

Заключение

Список использованной литературы

Приложения

ассортимент качество мясо

Введение

Мясо (говядина) - один из основных продуктов питания человека. Оно является важнейшим источником белка. Причем животные белки усваиваются человеком полнее, чем растительные. Для восстановления в организме нормы белков мяса требуется вдвое меньше, чем растительных продуктов. Животные белки, обладая биологической ценностью более высокой, чем растительные, содержат в своем составе питательные вещества, благотворно действующие на азотный баланс в организме. Кроме того, в говяжьем мясе содержатся такие необходимые для жизни человека вещества, как жиры, углеводы, минеральные соли, витамины.

Химический состав мяса взрослого скота средней и высшей упитанности следующий: вода - 58,5-66,3%; белок - 17,7-20; жир - 10,7-23; зола - 0,9-1%. Показателем качества мяса является соотношение белков и жиров. Это соотношение должно быть в пределах 1:1 - 1:0,7; то есть 18-21%белка и 12-18% жира. Очень жирное мясо в пищу употреблять нежелательно, в нем содержится меньше белка.

Говяжье мясо отличается нежностью, сочностью. Вкус мяса тесно связан с его запахом (ароматом). На вкус и аромат мяса влияют возраст и пол животного, а также тип кормления. Цвет мяса зависит от возраста. У молодняка мясо бледно-розового цвета, у взрослых - темного, у телят-молочников мясо светлого цвета.

Говяжье мясо в питании человека является одним из главных продуктов. «Говядина, как хлеб - никогда не надоест», - пишет ученый-животновод, академик Е. Ф. Лискун. Что ж, с ним нельзя не согласиться. Кроме вышеуказанных продуктов и кожи, крупный рогатый скот дает владельцу ценнейшее органическое удобрение - навоз. Ученые считают, что с навозом в почву поступает свыше 40% азота, необходимого для жизнедеятельности растений. В навозе есть и другие вещества, питающие землю.

.Обзор литературы

.1 Общая характеристика продукта

Мясные консервы - мясные продукты, герметично упакованные в жестяные или стеклянные банки и подвергнутые воздействию высокой температуры для уничтожения микроорганизмов и придания продукту стойкости при хранении. Используют консервы для приготовления первых и вторых блюд, употребляют их также без предварительной кулинарной обработки. Они удобны в походах и экспедициях. Энергетическая ценность консервов выше энергетической ценности мяса, так как в них нет костей, сухожилий, хрящей, но по вкусу и содержанию витаминов консервы уступают свежему мясу[2].

Мясные консервы отличаются высокой пищевой ценностью, длительностью хранения, удобством транспортирования. В консервах содержится 50-70 % воды, 10-30 % белков, 8-30 % жиров, до 3,5 % минеральных веществ.

Для производства мясных консервов используют мясо всех видов, жир, субпродукты, готовые мясные изделия, кровь, различные продукты растительного происхождения, пряности. Тару для консервов изготовляют из белой жести, стекла, сплавов алюминия и полимерных материалов.

По назначению консервы подразделяют на обеденные, употребляемые, как правило, после кулинарной обработки, закусочные, детские и для диетического питания.

Есть хозяйки, которые мясные консервы просто не признают. Но гораздо больше тех, кто запасает баночку, а то и десяток тушенки - для быстрого и сравнительно дешевого приготовления обеда, да и просто на всякий «пожарный» случай. Кроме того, многие закупают тушенку впрок на время дачного сезона, любят ее туристы. Блюда, приготовленные из тушенки, вкусны ароматны. В процессе производства мясные консервы проходят тепловую обработку при 200°С. Некоторые ценные вещества, например, витамины, находящиеся в мясе, при такой температуре уничтожаются. Однако этот продукт обладает высокой пищевой ценностью, благодаря входящим в его состав полноценным белкам. Для организма человека мясные консервы являются важным источником жира и белковых веществ. Они обладают хорошей усвояемостью, так как содержат незаменимые аминокислоты, их белки подготовлены к действию ферментных систем организма человека. Наибольшей энергетической ценностью обладают консервы с большим содержанием сухих веществ.

В течение последних десятилетий вследствие механизации и автоматизации труда, сокращения продолжительности рабочего дня и рабочей недели, развития общественного и личного транспорта, расширения коммунальных услуг энергозатраты человека снизились в 1,5-2 раза. Поэтому необходимо, чтобы ассортимент мясопродуктов, в том числе и мясных консервов, соответствовал меняющимся физиологическим потребностям профессиональных и возрастных групп населения страны. По тому, как часто и в каких количествах люди едят мясные продукты, судят об экономическом благосостоянии и здоровье нации. И потребление мясных продуктов очень часто является индикатором благосостояния общества. В настоящее время на потребительском рынке мясных консервов представлен достаточно широкий ассортимент продукции и не секрет, что порой и качество, да и сам ассортимент, не соответствуют предъявляемым требованиям.

.2 Анализ рынка мясных консервов в России

На фоне стабильного развития рынка мясных консервов происходит перераспределение долей в его сегментах: верхнеценовой - растет, нижнеценовой - уменьшается. Увеличивается объем продаж паштетов и мясорастительных консервов. Производители разрабатывают более удобную потребительскую упаковку, чтобы сделать данный продукт более простым и удобным в применении.

По данным Института исследования товародвижения и конъюнктуры оптового рынка (ИТКОР), объем российского рынка мясных консервов увеличивается в среднем на 3-7% в год. Рост рынка по Московскому региону ниже российского уровня и составляет примерно 2-5%.

За 9 месяцев 2005 года выпуск мясных консервов, по данным ИТКОР, увеличился по сравнению с аналогичным периодом 2004-го на 21,8% и составил 393,6 млн условных банок. "Ежегодно на российском рынке продается более 500 млн физических банок мясных консервов, что составляет порядка 10 млрд руб.

На российском рынке в 2005 году складывалась неоднозначная ситуация с производством мясных консервов. К мясным консервированным продуктам питания относятся традиционные говядина и свинина тушеная; говядина и свинина в собственном соку, в желе, мясо птицы в собственном соку, каши, деликатесы (язык, ветчина и пр.), а также паштетная группа, в которую входит большое разнообразие паштетов - как традиционных, так и с различными добавками: грибов, чернослива, паприки, зелени и т.п. Объемы производства мясных консервов тесно связаны с объемами производства говядины и свинины - основного сырья для мясоконсервной отрасли. А производство говядины и свинины в России неуклонно падает. "Из-за проблем с сырьем на рынке происходит колебание. Так, в 2004 году по сравнению с 2003 годом падение объемов российского производства говядины составило 8,3%, свинины - 10%, падение объемов импорта - соответственно 5,4 и 16%".

По данным ИТКОР, в 2004 году объем производства мясных консервов в России составил порядка 448,5 млн условных банок, а всего за период 1998-2004 годов объем выпуска данного вида мясной продукции вырос на 41%. "В четвертом квартале 2005 года наметилась тенденция снижения объемов производства мясной консервации, что, впрочем, вряд ли повлекло за собой существенное снижение рынка в стоимостном выражении, так как произошел рост цен на продукцию. Этому есть ряд объективных причин, в том числе рост цен на сырье, энергоносители и общие инфляционные процессы в стране". Впрочем, как сообщили игроки, эта тенденция коснулась не всех участников этого рынка. В частности, "Рузком" увеличил объемы производства мясной консервации за 2005 год в полтора раза, продажи продукции Йошкар-Олинского мясокомбината за тот же период выросли на 25% по сравнению с 2004 годом. "По имеющимся сведениям, производители мясных и мясорастительных консервов, чья продукция представлена на российском рынке наиболее широко, зафиксировали в 2005 году 20%-ный прирост, но это в среднем. По словам коммерческого директора компании "Булгарконсерв" Ольги Романовской, компания за последние два года имеет прирост продаж (и, соответственно, производства) в среднем порядка 60% в месяц.

Впрочем, переориентация большей части населения на более дорогую мясную продукцию, к которой основная часть ассортимента консервов не относится, как раз и является еще одной причиной падения объемов производства мясных консервов.

Но в итоге, в 2005 году производство мясных консервов увеличилось по отношению к 2004 году на 11,7% и составило свыше 455 млн условных банок. Это связано со значительным ростом импорта говядины и свинины в первом полугодии 2005 года по сравнению с этим же периодом 2004 года: говядины - на 42%, свинины - на 8,5%.

В прошлом году российский рынок мясных консервов, по данным маркетологов консервного завода "Ставропольский", был представлен на 80% отечественной продукцией и на 20% продукцией импортного производства. Емкость рынка мясных консервов за этот период выросла по отношению к 2004 году на 30%.

В первом полугодии 2005 года среднедушевое потребление мясных консервов, по экспертной оценке, составило 3,3 условной банки. " На общем фоне снижения потребления мясной консервации вряд ли возможен рост производства в целом по отрасли. Не зарабатывая на мясной консервации, крупные игроки консервного рынка все чаще развивают параллельные производства, выпуская овощные, молочные и другие виды консервов. Развиваться будет сегмент деликатесов и тушенки премиального сегмента".

.3 Химический состав, питательная, биологическая и энергетическая ценность

Пищевая, или питательная, ценность мясопродуктов как интегральный показатель определяется химическим составом - содержанием белков, жиров, углеводов, экстрактивных веществ, витаминов, макро- и микроэлементов, набором и поддержанием в белковых веществах незаменимых аминокислот, содержанием в жире непредельных жирных кислот. Таким образом, пищевая ценность мясопродуктов зависит от содержания в них биологически важных составных компонентов, изменение которых в процессе обработки оказывает решающее влияние на качество готовых продуктов, она определяется степенью доступности этих компонент к воздействию ферментов желудочно-кишечного тракта, способностью усваиваться и удовлетворять определенные физиологические потребности организма. Мерой пищевой ценности мяса является уровень качества. [3]

В Таблице 1 приведено содержание пищевых веществ (калорийности, белков, жиров, углеводов, витаминов и минералов) на 100 г съедобной части.

Таблица 1-Пищевая ценность и химический состав.

Пищевая ценность:


Калорийность

216кКал

Белки

18гр

Жиры

16гр

Вода

60гр

Зола

2гр

Витамины:


Витамин PP

2мг

Витамин B1(тиамин)

0,1мг

Витамин B2(рибофлавин)

0,2мг

Витамин PP(ниациновый эквивалент)

4,988мг

Макроэлементы:


Кальций

10мг

Магний

20мг

Натрий

600мг

Калий

325мг

Фосфор

150мг

Сера

180мг

Микроэлементы:


Железо

2мкг

Йод

7мкг


.4Факторы формирующие качество мясных консервов.

Сырье и его характеристика.

Для производства мясных консервов используют говядину 1-й и 2-й категорий упитанности, свинину беконную, мясную и жирную, а также обрезную (2-й категории), мясо поросят, баранину, конину и оленину 1-й и 2-й категорий, мясо кроликов, потрошеных или полупотрошеных кур, цыплят и уток (1-й и 2-й категорий), индеек, гусей (2-й категории). Мясо должно быть свежим, доброкачественным, от здоровых животных. He допускается использовать мясо некастрированных и старых животных (старше 10 лет), дважды размороженное мясо и свинину с желтеющим при варке шпиком. Мясо применяют в остывшем, охлажденном и размороженном виде. Консервы повышенного качества получают из охлажденного и выдержанного 2-3 сут. сырья.

Парное мясо в консервном производстве используют ограниченно, так как в первые часы после убоя в процессе посмертного окоченения накапливается молочная кислота и разрушает бикарбонатную буферную систему, что способствует выделению свободного диоксида углерода. Образование в банке этого газа вызывает вздутие крышек и донышек (бомбаж), т. е. имитирует микробиологическую порчу. Парное мясо используют в основном при изготовлении ветчинных, фаршевых и других консервов, технология которых предусматривает выдержку сырья в посоле.

Ветчинные пастеризованные консервы нельзя изготавливать из мяса опоросившихся, подсосных или супоросных маток, а также хряков и самцов, кастрированных после четырехлетнего возраста, а также свиней с пестрой пигментацией кожи[6].

В банки закладывают мясо без костей (за исключением случаев, предусмотренных рецептурой), хрящей, грубых сухожилий, кровеносных сосудов, нервных сплетений и желез.

Мясные консервы высшего сорта изготавливают с использованием говядины 1-й категории.

Технология производства мясных консервов

С помощью высоких температур обеспечивается уничтожение микроорганизмов и инактивация ферментов пищевых продуктов. При производстве консервов из мясных продуктов используются физические и физико-химические методы консервирования, а именно: пастеризация, стерилизация и соление.

Пастеризация - обработка продукта определенное количество времени температурой менее 100° С (65-85°С, иногда 93°С). После пастеризации продукты непригодны для длительного хранения, так как вегетативные формы микробов погибают, а споры продолжают жить. Удлинение сроков хранения продуктов получается при многократной пастеризации (2 - 3 раза) с промежутком между сеансами пастеризации в 24 часа. Такой процесс называется тендализацией. Однако при такой обработке продуктов происходит разрушение витаминов и других биологически активных веществ.

Стерилизация - тепловая обработка герметично закрытого продукта при температуре свыше 100°С (113-120°С) в течение определенного времени. Цель стерилизации - полное уничтожение микроорганизмов и их спор в обрабатываемом продукте. При стерилизации для длительного хранения (годами) снижается вкусовая и питательная ценность продукта, крахмал и сахар частично расщепляются, ферменты частично инактивизируются, разрушается часть витаминов, изменяется цвет, вкус, запах и структура продуктов. При стерилизации важно строго выдерживать не только температурный, но и временной режим. Например, для мяса время стерилизации колеблется от 60 до 120 минут (в зависимости от исходного сырья и технологии производства), для рыбы 40-100 минут, для овощей 25-60 минут.

Стерилизация токами ультра высокой частоты (УВЧ) и сверх высокой частоты (СВЧ). Такая стерилизация продуктов производится в герметично укупоренной таре путем помещения в электромагнитное поле переменного тока. Повышение температуры продукта до 96-101°С происходит вследствие усиления движения заряженных частиц. Так как при таком нагреве тепло распределяется по всему объему продукта равномерно, то при большой сохраняемости тиамина, лучших органолептических показателях и более высоком бактерицидном эффекте время обработки сокращается в 10-20 раз.

Ультразвуковые волны (волны с собственной частотой свыше 20 кГц) применяются для стерилизации консервов. При этом хорошо сохраняются витамины и первоначальные вкусовые качества.

Соление. При повышении концентрации соли в продукте в связи с повышением в нем осмотического давления и уменьшения количества воды большинство микроорганизмов не развивается. При 10 %-й концентрации соли в продукте прекращается рост и размножение гнилостных бактерий, а при 20-25 %-й концентрации задерживается рост всех микробов.

Мясные консервы - мясные продукты, герметично упакованные в жестяные или стеклянные банки и подвергнутые воздействию высокой температуры для уничтожения микроорганизмов и придания продукту стойкости при хранении. Используют консервы для приготовления первых и вторых блюд, употребляют их также без предварительной кулинарной обработки. Они удобны в походах и экспедициях. Энергетическая ценность консервов выше энергетической ценности мяса, так как в них нет костей, сухожилий, хрящей, но по вкусу и содержанию витаминов консервы уступают свежему мясу [1].

Консервы вырабатываются из охлажденной или размороженной созревшей говядины, баранины, свинины, субпродуктов, свежих доброкачественных сосисок, ветчины, фарша и других продуктов (круп, бобовых, пищевых топленых жиров, макаронных изделий).

После обвалки, жиловки и сортировки мясо порционируют, бланшируют или обжаривают, измельчают (для паштетов). В чистые стерилизованные банки укладывают мясо, соль, специи. Для улучшения вкуса консервов из мороженого мяса в них добавляют глютаминат натрия. Чтобы удалить воздух из консервов их нагревают до 80-95°С или заливают содержимое банок горячим бульоном, соусом. Если банки закатывают не на вакуум-закаточных машинах, то консервы проверяют на герметичность, погружая на 1 минуту в горячую воду с температурой 85°С. При этом весь воздух, содержащийся в банках, выходит. Это подготовительная фаза производства мясных консервов. Далее по техпроцессу производится стерилизация или пастеризация , в зависимости от конечного предназначения продукта.

Стерилизация - прогревание консервов в автоклавах при 113-120°С 75-130 минут для уничтожения микроорганизмов и их спор. Во время стерилизации белки коагулируют, коллаген переходит в глютамин, изменяются органолептические свойства и внешний вид консервов. Из мяса в бульон переходит часть экстрактивных веществ (их количество уменьшается) и жира, разрушается больше половины витаминов В1 , до 10% витаминов В2 и РР, 20-30% пантотеновой кислоты, 10-15% аминокислоты аргинина.

Частичное расщепление белков при стерилизации обусловливает повышение количества полипептидов, аминокислот, аммиака, углекислоты, меркаптанов. Выделяющийся сероводород образует с металлом соединения в виде черных или синевато-фиолетовых пленок сернистого олова, которые не влияют на качество консервов.

Абсолютная стерильность консервов достигается только при стерилизации температурой около 180°С. Однако вследствие нежелательных изменений вкуса, запаха, консистенции, цвета мяса и потерь питательных веществ продукт становится непригодным в пищу. Поэтому при обработке консервов подбирают наиболее щадящие режимы термической обработки с целью повышения пищевой ценности и обеспечения возможности длительного хранения консервов.

Пастеризованные консервы - это продукты, подвергнутые термической обработке при температуре 70-90°С. Они обладают сочностью, приятным вкусом, хотя и меньшей стойкостью при хранении (до 6 месяцев при температуре 6°С), содержат меньше солей тяжелых металлов.

Пастеризованными консервами повышенной стойкости называются продукты, подвергнутые двухкратной термической обработке при температуре 90°С. Они отличаются высоким качеством, стойкостью при хранении (их можно хранить при температуре 15°С в течение года). Более низкая температура хранения консервов обеспечивает их лучшую сохранность.

После термической обработки банки негерметичные, с подтеками и деформациями удаляют, а герметичные охлаждают и упаковывают [13]

.5 Требования к качеству готовой продукции, дефекты, и причины их вызывающие

Органолептические показатели качества (по ГОСТ Р 54033-2010):

а) Запах и вкус - Свойственные соответствующему тушеному мясу с пряностями, без посторонних запаха и привкуса;

б) Внешний вид - В разогретом состоянии- мясо кусочками произвольной формы массой не менее 30 г , без грубой соединительной ткани, крупных кровеносных сосудов и лимфатических узлов, в бульоне. При извлечении из банки кусочки сохраняют свою форму, возможно частичное распадание кусочков;

в) Консистенция - Мясо сочное, не переваренное;

г) Внешний вид бульона - В нагретом состоянии цвет от желтовато до светло-коричневого, с наличием взвешенных белковых веществ в виде хлопьев;

Физико-химические показатели:

а) Массовая доля мяса и жира, %, не менее 58,0;

б) Массовая доля белка, %, не менее 15;

в) Массовая доля жира, %, не менее 17;

г) Массовая доля поваренной соли, %, от 1,0 до 1,5 включительно.

Микробиологические показатели:

а) Свинец - 0,5 мг/кг (для консервов в сборной жестяной таре);

б) Мышьяк - 0,1 мг/кг;

в) Кадмий - 0,05 мг/кг (для консервов в сборной жестяной таре);

г) Ртуть - 0,03 мг/кг;

д) Олово - 200,0 мг/кг (для консервов в сборной жестяной таре);

е) Хром - 0,5 мг/кг (для консервов в хромированной таре);

ж) ГХЦГ (α,β,γ-изомеры) - 0,1мг/кг;

з) ДДТ и его метаболиты - 0,1 мг/кг

и) Сумма НДМА и НДЭА - 0,002 мг/кг (для консервов с добавление нитрита натрия);

й) Диоксины - 0,000003 мг/кг.

.6 Дефекты

К внешним дефектам металлической банки относят: ржавчина; деформация, подтёки; хлопуша и бомбаж.

Ржавчина - красно-бурые пятна на поверхности банки. Появляется при плохой сушке банок или при хранении в сыром помещении. На качество содержимого ржавчина не влияет, но при дальнейшем хранении может нарушиться герметичность банки и испортиться продукт. Для предотвращения от ржавчины банки покрывают техническим вазелином или лаком.

Деформация - вмятина на банке вследствие небрежного обращения. Банки с незначительными вмятинами считаются стандартными. Банки с помятостью на продольном или закатом шве хранить нельзя, так как может быть нарушена герметичность.

Подтеки - бывают активные (бульон вытекает из банки ), пассивные ( банки запачканы) . Если подтеки активные, то продукт считается не стандартным и в реализацию не допускается .Банки с пассивными подтеками следует вымыть ; продукт в такой банке доброкачественный.

Хлопуша- вздутие крышки или банки. Если нажать на крышку , то вздувается дно(и наоборот) и раздается хлопающий звук (отсюда и название дефекта). Этот дефект появляется при избытке в банке воздуха ,но может быть и начальная стадия бомбажа. Вопрос о возможности реализации консервов решают санитарная инспекция после микробиологического исследования.

Бомбаж-вздутие крышек и донышек банок в результате образования или расширения газов в банке. При определенном давление внутри, банка может лопнуть (разорваться).

Физический бомбаж появляется при хранении в условиях высокой температуры, вследствие переполнения банки содержимым или подмораживания его в процессе хранения. Крышки можно отпустить после чего они не вздуваются. Продукт можно использовать. И этот бомбаж иногда называют ложным.

Химический бомбаж образуется при взаимодействии кислот продукта с металлом банки, а в результате чего выделяется водород, вызывающий вздутие банки .Олово переходит в продукт. Вопрос о возможности реализации консервов решают санитарная инспекция после химического анализа.

Бактериальный бомбаж -результат деятельности газообразующих микроорганизмов которые небыли уничтожены в процессе стерилизации. Консервы должны быть утилизированы в бактериальным бомбажом .

Не допускается в продажу консервы в банках пробитых с « птичками», сильно деформированные, с помятостью на швах и ржавчиной, проникшей в банку.

.7Условия и сроки хранения, транспортирование

Стойкость консервов при хранении зависит от положения банок и температуры хранения. Если при транспортировке банки перемещают, то нарушается их временная герметичность, микроорганизмы освобождаются от других частиц и перемещаются внутри банок. При этом в консервах, которые долго хранились в штабелях, может возникнуть микробиологический бомбаж.

При температуре от 0 до 15°С и относительной влажности воздуха 75% консервы мясные и мясорастительные с томатной заливкой, квашеной капустой в цельноштампованных банках на предприятиях общественного питания можно хранить до 30 суток. В сборных банках при этих же условиях на холоде - 1,5 года, в стеклянных - 2 года. Срок хранения мясных консервов с крупами, макаронными изделиями, овощами в цельноштампованных банках до 2-х лет, сборных и стеклянных банках до 3-х лет.

По истечению срока хранения пригодность консервов для пищевых целей устанавливают на основе органолептического, бактериологического и химического анализов (определяют массовую долю солей олова, прочих металлов и некоторые другие показатели) в пищевых лабораториях санэпидемстанций.

Мясные консервы хранят в охлаждаемых и неохлаждаемых складах. Ящики с консервами укладывают в штабеля, нижний слой ящиков устанавливают на деревянных рейках или поддонах. Отступы от стен, потолка, приборов охлаждения и размеры проездов должны быть такими же, как и при хранении других продуктов питания в таре. Норма загрузки: 0,6 тонны на 1 м2 грузового объема камеры для хранения.

Хранят консервы при температуре от 0 до 15°С и относительной влажности воздуха не выше 75%. При более высокой температуре хранения и относительной влажности воздуха возрастает скорость коррозии и разрушения консервной тары, ухудшается качество продукта.

Для предохранения банок от коррозии снаружи их лакируют или смазывают техническим вазелином. Чтобы банки не отпотевали, перепад между температурой консервов и температурой окружающей среды не должен превышать 3°С.

Замораживание мясных и мясорастительных консервов нежелательно, хотя, по данным рядя исследований, замораживание не ухудшает их качеств (по данным учебника 1974 года). Минусовые температуры при хранении и транспортировке банок с мясными консервами, содержащими большое количество жидких наполнителей, часто приводит к физическому бомбажу и нарушению герметичности банок.

За 2-3 суток перед выпуском консервов из холодильника в теплое время года их необходимо помещать в камеры с температурой 10-15°С и с усиленной циркуляцией воздуха, чтобы предупредить увлажнение и коррозию жестяных банок[5].

В магазинах консервы необходимо хранить в сухих, хорошо вентилируемых помещениях или камерах с температурой 0-20°С и относительной влажностью воздуха не выше 75% не более 30 суток. При длительном хранении консервов на складе или в магазине периодически проверяют запасы и отбраковывают бомбажные, с подтеками или сильно деформированные банки.

Банки с ржавчиной протирают сухой ветошью и если они остались герметичными, их реализуют в первую очередь с разрешения органов саннадзора.


2. Практическая часть

.1 Организация эксперимента, цель и объекты исследования

Исследовательская работа была проведена в Мае 2014 года на кафедре товароведения и экспертизы продовольственных товаров.

Объектами исследования являлись мясные консервы «из говядины»:

Проба № 1 ООО «КомТрейд», г. Брянск

Проба № 2 ЗАО «Орелпродукт», г. Мценск

Проба № 3 АООТ “Гатчинский консервный завод”, г. Гатчина

Целью данной работы является изучение факторов формирующих качество и сравнительная оценка качества говядины тушеной разных производителей.

Для достижения этой цели были поставлены следующие задачи:

.Изучить общую характеристику, химический состав, питательную, биологическую и энергетическую ценность продукта;

.Изучить ассортимент говядины тушеной , представленный в розничной торговой сети;

.Провести органолептические и физико-химические исследования образцов говядины тушеной на соответствие требованиям ГОСТ.

Этапы проведения работы:

. Отбор проб мясных консервов по ГОСТ Р 51447-99 и исследования органолептических и физико-химических показателей по ГОСТ Р 54033-2010;

. Определение показателей безопасности на соответствие требованиям СанПиН 2.3.2.1078-01.

Отбор проб

Консервы в мелкой или крупной жестяной таре упакованные в ящики в качестве контрольных мест, вскрывают 3% ящиков, но не менее трех, из которых 5% банок, но не менее одной.

Консервы, расфасованные в мелкую потребительскую тару с массой до 0,4 кг, являются точечными пробами, а при массе фасовки свыше 0,4 кг, не более 1,0 кг они являются средней пробой[21].

Органолептические методы анализа

При органолептической оценке определяют внешний вид и герметичность тары с консервированными продуктами, состояние внутренней поверхности металлической тары и содержимое консервов.

Внешний вид тары. Осматривая тару консервированных продуктов, прежде всего обращают внимание на наличие и состояние этикеток или литографических оттисков. В зависимости от вида консервов и тары устанавливают правильность маркировки в соответствии с действующими стандартами на фасовку, упаковку и маркировку.

Проверяя внешний вид тары, отмечают видимое нарушение герметичности, подтеки, вздутие крышек и донышек.

У жестяных банок обращают внимание на деформацию корпуса донышек, на дефекты продольного шва и швов донышек и крышек, у стеклянной тары - на трещины, ржавые пятна металлических крышек.

Состояние внутренней поверхности жестяной тары. Для определения состояния внутренней поверхности жестяной тары ее вскрывают, освобождают от содержимого, тщательно промывают водой и насухо протирают. Темные пятна, имеющиеся на внутренней поверхности тары, могут образоваться в результате растворения полуды и обнажения железа или образования сернистых соединений. Отмечают также состояние лака или эмали, резиновых прокладок или уплотнительной пасты у донышек и крышек банок, наличие и размеры наплывов припоя внутри банок.

Содержимое консервов. Органолептическую оценку содержимого консервированных продуктов определяют в соответствии с требованиями стандарта или технических условий на тот или иной вид продукции.

Определяют внешний вид, запах и вкус, консистенцию, внешний вид бульона.

В зависимости от способа употребления консервов в пищу их исследуют в холодном или разогретом виде.

Если содержимое банки состоит из жидкой и твердой составных частей, то прежде всего определяют прозрачность и цвет жидкой части консервов. Для этого после вскрытия банки жидкую часть сливают в химический стакан из бесцветного стекла диаметром 6-8 см и рассматривают в проходящем свете.

В зависимости от вида исследуемых консервов консистенцию определяют нажатием, разрезанием, размазыванием или разжевыванием. При оценке консистенции учитывают сочность, нежность, плотность, рассыпчатость, мягкость, однородность и т. д.

Проверка герметичности банок

Снимают с банки этикетку, моют банку и опускают в предварительно нагретую до кипения воду, взятую примерно в четырехкратном количестве по отношению к весу банки, так, чтобы после погружения банки температура воды была не ниже 85° и слой воды над банкой-25-30 мм. Банку устанавливают в вертикальном положении на донышко, а затем на крышку, выдерживают в горячей воде 5-7 минут и наблюдают, не выделяются ли в каком-либо месте жестянки пузырьки воздуха. За 5-7 минут содержимое банки прогреется настолько, что имеющийся в банке воздух расширится, и, если швы банки не герметичны, будет выходить в виде пузырьков, которые в воде хорошо заметны. Появление струйки пузырьков воздуха - признак негерметичности. Для дальнейших испытаний отбирают только герметически укупоренные банки.

Методики определения Физико-химических показателей

Определение Массовой доли поваренной соли

Навеску средней пробы 20 г отвешивают в стаканчике или фарфоровой чашке с точностью до 0,01 г и без потерь переносят в мерную колбу вместимостью 250 см3, смывая остатки горячей дистиллированной водой через воронку.

Колбу доливают горячей дистиллированной водой (температурой 80°С) до 3 / 4 ее объема, хорошо встряхивают и оставляют на 30 мин при периодическом взбалтывании. Затем колбу охлаждают до комнатной температуры, доливают дистиллированной водой до метки и, закрыв пробкой, хорошо перемешивают содержимое. Содержимое колбы фильтруют через сухой складчатый фильтр или вату в сухой стакан или колбу.

В зависимости от предполагаемого содержания хлорида натрия в исследуемом продукте берут от 25 до 50 см3 отфильтрованной вытяжки, нейтрализуют ее раствором щелочи в присутствии фенолфталеина, приливают 1 см3 10-процентного раствора хромовокислого калия и титруют раствором азотнокислого серебра концентрации 0,05 моль/дм3 до появления неисчезающей при взбалтывании оранжево-красной окраски. Обработка результатов. Содержание поваренной соли (Х) в процентах вычисляют по формуле:


где V - количество точно раствора азотнокислого серебра концентрации 0,05 моль/дм3, израсходованное на титрование испытываемого раствора, см3;0,0029 - титр раствора азотнокислого серебра концентрации 0,05 моль/дм3 в пересчете на хлористый натрий;V1 - объем вытяжки, приготовленный из навески, см3;V2 - объем вытяжки, взятый для титрования, см3; m - навеска продукта, г.

.2 Социологические исследования потребительских предпочтений и мотиваций

К методам социологического исследования относятся:

метод опроса,

метод фокус-групп,

наблюдение,

эксперимент,

анализ документов.

При проведении анкетирования большое значение имеет качественная подготовка анкеты. Она должно соответствовать ряду требований:

) содержать перечень вопросов, для ответа на которые требуется не более 40 минут (утомляясь, респондент утрачивает интерес к исследованию и дает менее полные ответы);

) включать сравнительно простые вопросы, понятные всем респондентам без исключения;

) располагать вопросы в порядке: от менее сложных - к более сложным - и вновь менее сложным;

) формулировать и располагать в анкете вопросы таким образом, чтобы респонденту было интересно на них отвечать;

) вначале следует вопросом установить, и только затем определить оценку данного факта.

Целью данного исследования явилось выявление потребительских предпочтений и мотиваций в отношении имеющихся на потребительском рынке мясных консервов.

В опросе приняли участие люди разных возрастов в количестве 50 человек, большинство которых составили женщины в возрасте от 18 до 30 лет (52%). Подавляющее большинство опрошенных -работающие (50%).

Преобладающий средний ежемесячный доход семьи , среди принявших участие в опросе, явилась сумма от 10000 до 15000 рублей - 40% опрошенных. Довольно высокий процент опрошенных(16%) указали ,что они получают до 6000 тысяч рублей в месяц .Скорее всего такой низкий доход связан с недавним экономическим кризисом в стране , что вызывает трудности по выплате заработной платы.(рисунок 1)

Рисунок 1 - Средний ежемесячный доход семьи.

Было выявлено, что большинство опрошенных (47%) покупают мясные консервы из говядины реже одного раз в месяц, 7% опрошенных - ежедневно (рисунок 2).

 

Рисунок 2- Частота покупаемости мясных консервов из говядины.

Из пяти предложенных видов мясных консервов ,48% опрошенных отметили - консервы из свинины, так как этот вид тушеной консервы всегда пользовался популярностью у населения ,чуть меньше 33%-из говядины ,10%-из баранины. (рисунок 3)

Рисунок 3 - Предпочтения в видах мясных консервов.

Респонденты, считают что при выборе продукции важным является комплекс факторов; цена 36% производитель 15% ,состав продукта -49%.(рисунок 4)

Рисунок 4- Факторы выбора мясных консервов из говядины.

Рисунок 5 - Выбор производителей.

Из рисунка 5 видно, что большинство опрошенных (35%) выбирают компании «Орелпродукт» .

Подводя итоги опроса можно сделать заключение, что мясные консервы из говядины не очень пользуются популярностью среди населения.

.3 Анализ показателей ассортимента в розничной сети г. Орла

Ассортимент товаров - набор товаров, формируемый по определенным признакам и удовлетворяющий разнообразные, аналогичные и индивидуальные потребности.

Широта ассортимента - количество видов, разновидностей и наименований товаров однородных и разнородных групп.

Широта охвата товаров, входящих в ассортимент, определяется количеством групп, подгрупп, видов, разновидностей, марок, типов, наименований.

Для определения коэффициента широты используется следующая формула (1):

Кш = (Шд : Шб)∙100, % (1)

где Кш - коэффициент широты;

Шд - действительная широта, т.е. количество видов, разновидностей или наименований товаров, имеющихся в наличии;

Шб - базовая широта, т.е. базовое количество видов, разновидностей или наименований товаров, принятое за основу для сравнения.

Полнота ассортимента - способность набора товаров однородной группы удовлетворять одинаковые потребности[21].

Для определения коэффициента полноты используется формула:

Кп=(Пд:Пб)∙100, % (2)

где Кп - коэффициент полноты,

Пд - действительная полнота,

Пб - базовая полнота.

Исследования ассортимента проводились в торговой сети «Европа», которые находятся по адресам:

) Наугорское ш., д.76,

) Карачевское шоссе, д. 94.

Ассортимент мясных консервов из говядины по ГОСТ Р 54033-2010 представлен в таблице 2.

Таблица 2-Ассортимент торговой сети Европа

Наименование изделия

Наименование производителя

Цена

Говядина тушеная в/ cорт

ООО «КомТрейд»

151

Говядина тушеная в/ cорт

ЗАО «Орелпродукт»

99

Говядина тушеная в/ cорт

АООТ «Гатчинский консервный завод»

72

Говядина тушеная 1 сорт

ЗАО «Микояновский мясокомбинат»

69

Говядина тушеная в пикантном соусе

ООО «Фортуна»

101

Говядина тушеная По-смоленски

ЗАО “Лыткаринский мясоперерабатывающий завод”

84

Говядина тушеная Дачная

ООО “Вяземский мясокомбинат”

88


Базовая широта согласно ГОСТ Р 54033-2010 представлена следующим ассортиментом мясных консервов из говядины: три вида высшего сорта, один 1-ого сорта, в пикантном соусе, По-смолески, Дачная, то есть 7 видов За действительную широту был принят перечень наименований изготовленных по ГОСТ Р 54033-2010, т. е. 5 видов.

Произведем расчет коэффициента широты:

Кш = 5/7*100% = 71.4%

Так как полученный коэффициент широты равен 71.4%, это свидетельствует о достаточно широком ассортименте мясных консервов из говядины данной торговой точке.

Коэффициент полноты ассортимента

Полнота ассортимента - способность набора товаров однородной группы удовлетворять одинаковые потребности.

Полнота базовая согласно ГОСТ Р 54033-2010 представлена 7 видами . Полнота действительная представлена 6 видами, т.к. в торговой сети Европа имеются только 6 производителя мясных консервов из говядины по ГОСТ.

Для определения коэффициента полноты используется формула (2):

Кп = Пд / Пб*100% (2), где:

Кп - коэффициент полноты;

Пб - полнота базовая;

Пд - полнота действительная,

Кп = 6/7*100% = 85.7%

В результате вычислений коэффициент полноты составил 85.7%. Данный коэффициент показывает, что ассортимент в данной торговой точке достаточно полон и способен полной мере удовлетворять потребностям покупателей.


3.Экспериментальная часть

.1 Анализ информации для потребителей

Общие требования к содержанию информации для потребителя:

изготовитель (продавец) обязан предоставлять потребителю необходимую и достоверную информацию о пищевых продуктах, обеспечивающую возможность их правильного выбора;

информацию для потребителя представляют непосредственно с пищевым продуктом в виде текста, условных обозначений и рисунков на потребительской таре, этикетке, контрэтикетке, кольеретке, ярлыке, пробке, листе-вкладыше способом, принятым для отдельных видов пищевых продуктов;

текст информации для потребителя наносят на русском языке. Текст и надписи могут быть продублированы на государственных языках субъектов Российской Федерации, родных языках народов Российской Федерации и на иностранных языках. Текст и надписи должны соответствовать нормам русского или иного языка, на котором дается информация о продукте;

информация для потребителя должна быть однозначно понимаемой, полной и достоверной, чтобы потребитель не мог быть обманут или введен в заблуждение относительно состава, свойств, пищевой ценности, природы, происхождения, способа изготовления и употребления, а также других сведений, характеризующих прямо или косвенно качество и безопасность пищевого продукта, и не мог ошибочно принять данный продукт за другой, близкий к нему по внешнему виду или другим органолептическим показателям[17].

Было исследовано соответствие продуктов ГОСТ Р 51074-2003 «Продукты пищевые. Информация для потребителя. Общие требования»

Для оценки показателей качества мясных консервов из говядины на первом этапе была проведена идентификация трех образцов в соответствии с ГОСТ Р 51074-2003.Результаты исследования представлены в таблице 3.

Таблица 3 - Информация для потребителя на упаковке мясных консервов из говядины разных производителей.

Требования по ГОСТ

Образец 1

Образец 2

Образец 3

Наименование продукта

Говядина тушеная

Говядина тушеная

Говядина тушеная

Категория, сорт (при наличии)

Высший

Высший

Высший

Наименование и местонахождение изготовителя

ООО «КомТрейд», г. Брянск

ЗАО «Орелпродукт», г. Мценск 

АООТ «Гатчинский консервный завод», г.Гатчина

Товарный знак изготовителя (при наличии)

Присутствует

Присутствует

Присутствует

Состав продукта

Говядина, жир, лук, соль, лавровый лист, перец черный

Говядина, жир, лук, соль, перец черный, лавровый лист

 Говядина, лук, жир, перец черный, лавровый лист

Масса нетто

325 г

325 г

338 г

Пищевые добавки, ароматизаторы, биологически активные добавки к пище

-

-

-

Пищевая ценность

Белок - 15,жир - 17

Жир - 17,белок - 15

Жир - 17,белок - 15

Дата изготовления и дата упаковывания

18.02.14

09.10.13

04.03.14

Условия хранения

При температуре от 0 до +20,ООВ не выше 75%

При температуре от 0 до +20,ООВ не выше 75%

При температуре от 0 до +20,ООВ не выше 75%

Срок годности

3 года

3 года

Обозначение документа, в соответствии с которым изготовлен и может быть идентифицирован продукт

ГОСТ Р 54033-2010

ГОСТ Р 54033-2010

ГОСТ Р 54033-2010

Информация о подтверждении соответствия

Имеется

Имеется

Имеется

Массовая доля мяса, жира ,%

Не менее 58 %

Не менее 58%

Не менее 58%


В результате исследования информации для потребителей на упаковке мясных консервов из говядины было выявлено, что все представленные образцы продукта соответствуют требованиям ГОСТ Р 51074-2003 «Продукты пищевые. Информация для потребителя. Общие требования»

.2 Органолептическая оценка качества исследуемых образцов

Под органолептической оценкой качества пищевых продуктов и приготовленных блюд понимают определение таких показателей, как внешний вид, вкус, аромат, цвет, консистенция, которые в значительной степени характеризуют качество пищи.

Определение соответствия органолептических показателей требованиям производилось по ГОСТ Р 54033-2010, результаты проведенных испытаний указаны в таблице 4.

Таблица 4- Результаты органолептических испытаний.

Показатель

Норма по ГОСТ 54033-2010

ООО «КомТрейд»

ЗАО «Орелпродукт»

АООТ «Гатчинский консервный завод»

Внеший вид

В разогретом состоянии- мясо кусочками произвольной формы массой не менее 30 г , без грубой соединительной ткани, крупных кровеносных сосудов и лимфатических узлов, в бульоне.

Без грубой сомнительной ткани, крупных кровеносных сосудов и лимфатических узлов, в бульоне.

Консистенция

Мясо сочное, непереваренное

Мясо сочное, непроваренное

Запах и вскус

Свойственные соответствующему тушеному мясу с пряностями, без посторонних запаха и привкуса

С пряностями, свойственные тушеному мясу, без посторонних запаха и привкуса

Внешний вид бульона

 В нагретом состоянии цвет от желтовато до светло-коричневого

Светло-желтый

Коричневый

Желтовато-коричневый


Было проведено дегустационное совещание в количестве 12 дегустаторов, на котором было представлено 3 образцов. Средний балл дегустационной оценки приведен в таблице.

Таблица 5 - Результаты дегустационной оценки

Наименование образца

 Оценка органолептических показателей

Сред. значение

Общ. балл


 

Внешний вид

Консистенция

Запах и вкус

Внешний вид бульона




ООО «КомТрейд»

5

4.9± 0,1

5

5

4.9

19.9


ЗАО  «Орелпродукт»

4.5±0.1

4.4± 0,1

4.6

4.3

4.5

17.8


АООТ «Гатчинский консервный комбинат»

4.6± 0,3

4.6

4.5

4.6

4.6

18.3



Из таблицы 5 видно, что все представленные образцы имеют высокие оценки.Однако в большей степени дегустаторы оценили образец говядины тушеной производителя «КомТрейд»(19.9балла),что может быть связано с высокими вкусовыми качествами. Именно продукция данного производителя лидируют по всем органолептическим показателям. На втором месте образец говядины тушеной производителя «Гатчинскикй », на третьем «Орепродукт».

3.3 Физико-химическая экспертиза качества товаров

В условиях лаборатории факультета «Пищевой биотехнологии и товароведение» Госуниверситета УНПК были проведены физико-химические исследования образцов.

В соответствии ГОСТ Р 54033-2010 «Консервы мясные .Мясо тушеное. Технические условия» определяют следующие физико-химические показатели[20]:

Таблица 6 - Физико-химические показатели качества.

Наименование показателя

Значение показателя

Массовая доля мяса и жира, не менее, %

58 %

Массовая доля белка, не менее, %

15 %

Массовая доля жира, не более, %

17%

Массовая доля поваренной соли, %

От 1.0 до 1.5 включ.


Все образцы были подвергнуты так же физико-химическим испытаниям, результаты которых указаны в таблице 7.

Таблица 7 - Результаты физико-химических исследований

Показатель

Фактическое содержание


ООО «КомТрейд»

ЗАО «Орелпродукт»

АООТ «Гатчинский консервный завод»

Массовая доля поваренной соли, %

1.45

1.23

0.72


Из таблицы 7 видно, мясные консервы из говядины по результатам физико-химических исследований успешно прошли испытания только 2 образца («КомТрейд» и «Орелпродукт» ), что говорит о достаточно высоком качестве, а образец № 3 «Гатчинский консервный завод» не соответствует ГОСТ Р 54033-2010.

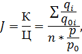
3.4 Расчет интегрального показателя качества

Комплексный показатель качества характеризует два и более свойств оцениваемого продукта. Разновидностью комплексного показателя является интегральный показатель качества. Он выражается через отношение комплексного показателя полезных свойств к показателю экономических свойств (затрат на создание и потребление изделия), т.е. через отношение показателей свойств, определяющих потребительскую стоимость .

Интегральный показатель качества выражается отношением качества товара к цене:


где qi - содержание i-го вещества в изучаемом продукте, г в 100 г продукта;i - среднее содержание i-го вещества в аналогичных товарах, г в 100 г продукта;- число сравниваемых характеристик;- цена 100 г изучаемого товара, руб.;

р0 - средняя цена 100 г аналогичного товара.

Оптимальным потребительским свойствам товаров соответствуют значения интегрированного показателя, близкие к единице, т.е.  

Смещение значения интегрального показателя в сторону качества (J>1), свидетельствует либо о применении предприятием агрессивной стратегии в стремлении завоевать большую часть рынка за счет использования заведомо низких цен, либо о неэффективной ценовой стратегии, в результате которой предприятие теряет часть прибыли.

Смещение значения интегрального показателя в сторону цены, (J<1), характеризует ситуацию престижного ценообразования для товаров с низкими показателями качества.

Таблица 8 - Определение интегрального показателя качества.

Наименование продукта

Реальное содержание веществ 100 г, г

Продажная цена, 100 г в руб.

Говядина тушеная «КомТрейд»(1)

 Белки-15,жиры-17, ккал-220

50.3

Говядина тушеная «Орелпродукт»(2)

Белки-15,жиры-17, ккал-220

33

Говядина тушеная «Гатчинский консервный завод»(3)

Белки-15,жиры-17, ккал-220

24

Говядина тушена эталон

Белки-15, жиры-17,углеводы-0.2г, Энергетическая ценность-223

35.2


Результаты расчёта интегрального показателя качества :


В ходе проведенных вычислений было установлено, что образец говядины тушеной «Орелпродукт» соответствуют оптимальным потребительским свойствам товара, так как его интегральный показатель качества составил 0.8 и он в наибольшей степени стремится к 1, то есть цена соответствует качеству.

У образца говядины тушеной «КомТрейд»интегральный показатель J=0.5, ниже оптимального интегрального показателя, следовательно, на этот товар цена завышена, и производитель стремится заработать больше прибыли.

У образца говядина тушеная «Гатчинский консервный завод » J=1.07, применяет агрессивную стратегию в стремлении завоевать большую часть рынка за счет использования заведомо низких цен.


Заключение

Прилавки любого магазина, современного и не очень, а уж тем более супермаркета с самообслуживанием и широким ассортиментом, невозможно себе представить без такого всенародно известного и любимого продукта, как тушёнка. А если говорить профессиональным языком - без мясных консервов. Бывшие почти дефицитом в советское время, они не утратили своей популярности и сейчас, когда охлаждённое мясо стало возможным купить даже в сельском магазине. Ничего не скажешь: удобно! Готовый обед за считанные минуты на даче, на рыбалке, в походе и просто когда нет времени. Мясные консервы стали такими разнообразными и качественными, что годятся не только холостякам, но и на семейный стол, и в качестве детского питания.

В настоящее время в производстве мясных консервов наблюдаются структурные изменения - изменяется распределение долей между сегментами рынка. Доля традиционной тушенки в производстве за последние 5 лет сократилась на 17,2%. Наиболее динамично развивается сегмент мясорастительных и салобобовых консервов.

Структурные изменения рынка мясных консервов обусловлены ростом покупательской способности, что влечет за собой падение спроса у населения на тушенку. Продажи премиум-сегмента мясных консервов (в первую очередь, паштетной группы) и мясорастительной продукции, наоборот, растут. В силу того, что основным потребителем тушеного мяса является государственный сектор, падение спроса на тушенку имеет предел и происходит только за счет падения спроса со стороны частных потребителей.

Рынок мяса и мясопродуктов - один из основных секторов российского продовольственного рынка. Производство мясных консервов в России после 1998 года развивается в виде "длинных волн" с приблизительно трехлетними периодами. Тенденция колебаний рынка продолжилась и в 2009 году.

Среди ключевых факторов, которые оказывают постоянное воздействие на снижение объемов российского производства мясной консервации, эксперты выделяют:

недостаток дешевого и качественного российского сырья для производства мясных консервов;

изменение структуры спроса населения в сторону продукции малой степени обработки (парного и замороженного мяса, колбасных изделий);

рост импорта дешевых консервов из стран;

увеличение подделок качественной консервной продукции, соответствующей ГОСТам, и, как следствие, потеря доверия потребителей к качеству мясных консервов;

Качество мясных консервов - актуальная тема во время кризиса. Покупатели часто задают вопрос продавцам, как выбрать правильную тушенку, чтобы не испытать разочарования. Вопрос далеко не праздный, потому что питательная и удобная в употреблении тушенка - один из самых многострадальных продуктов на российском рынке, хотя еще совсем недавно Говядина тушеная и Свинина тушеная, изготовленные в соответствии с ГОСТом, были гордостью российской пищевой промышленности.


Список использованной литературы

1. Алехина, Л.Т., Большаков, А.С., Боресков, В.Г. и др. Технология мяса и мясопродуктов/ Л.Т.Алехина, А.С.Большаков, В.Г.Боресков. - М.: Агропромиздат, 1988.-221 c.

. Варибрус, В.И. и др. Товароведение продовольственных товаров./ В.И.Варибрус. - М.: Экономика, 1978.-335 c.

. Горбатов, В.М., Шумкова, И.И., Татулов, Ю.В. Новые исследования качества мяса: ОИ /В.М.Горбатов, И.И.Шумкова, Ю.В.Татулов.-АгроНИИТЭИММП. Сер. Мясная промышленность, 1991.-413 c.

. Габриэлянц, М.Л. «Товароведение мяса и мясных товаров»/ М.Л.Габриэлянц. - Москва, Экономика, 1974г.

. Журавская, И. К. и др. Исследование и контроль качества мяса и мясопродуктов./ И.К.Журавская. - М.: Агропромиздат, 2005.-121 c.

. Коснырева, Л. М., Криштафович, В. И., Позняковский, В. М. Товароведение и экспертиза мяса и мясных товаров: Учебник для вузов. / Л.М.Коснырева, В.И.Криштафович, В.М.Позняковский.- М.: Академия, 2005.-224 c.

. Криштафович, В. И., Колобов, С. В. Методы и технические средства контроля качества продовольственных товаров: Учеб. пособие./ В.И.Криштафович, С.В.Колобов. - М.: Издательско-торговая корпорация «Дашков и Ко», 2006.

. Позняковский, В.М. Гигиенические основы питания и экспертизы продовольственных товаров: Учебник./ В.М.Позняковский. - Новосибирск, 1996.

. Родина, Т.Г., Вукс, Г.А. Дегустационный анализ продуктов./ Т.Г.Родина, Г.А.Вукс. - М.: Экономика, 2004.

. Руководство по ветеринарно-санитарной экспертизе и гигиене производства мяса и мясных продуктов / Под ред. М. П. Бутко, Ю. Г. Костенко. - М.: Антиква, 1994.

. Руководство по методам анализа качества и безопаснос­ти пищевых продуктов / Под ред. И. М. Скурихина и В. А. Тутельяна. - М: Медицина, 1998.

. Справочник товароведа продовольственных товаров: В 2 т.: Т.2 / Е.Н. Барабанова, Л.А. Боровикова, В.С. Брилева и др. 4-е изд., перераб. - М.: Экономика, 2003.

. Татулов, Ю.В. и др. Пути совершенствования оценки качества мяса: ОИ / Ю.В.Татулов.-АгроНИИТЭИММП. Сер. Мясная промышленность, 1991.Хлебников, В. И. Технология товаров (продовольственных): Учебник. / В.И.Хлебников.- М.: Издательско-торговая корпорация «Дашков и К» , 2006.

. Тимофеева, В.А. Товароведение продовольственных товаров./ В.А.Тимофеева. - М.: Феникс, 2005.

. Хлебников, В. И., Жебелева, И. А., Криштафович, В. И. Экспертиза мяса и мясных продуктов: Учебное пособие./ В.И.Хлебников, И.А.Жебелева. В.И.Криштафович.- М.: Издательско-торговая корпорация «Дашков и К» 2006.

. СанПиН 2.3.2. 1078-01 Гигиенические требования безопасности и пищевой ценности пищевых продуктов.

. ГОСТ 51074-03. Продукты пищевые. Информация для потребителя. Общие требования

. ГОСТ Р 51474-99 Упаковка. Маркировка, указывающая на способ обращения с грузами

. ГОСТ Р 53159-2008 Органолептический анализ. Методология.

.ГОСТ Р 54033-2010 Консервы мясные. Мясо тушеное. Технические условия.

.ГОСТ Р 51447-1999 Мясо и мясные продукты. Методы отбора проб.

. Товароведение. [Электронный ресурс].url:

<http://www.znaytovar.ru(20.0514)>

.Ассортимент мясных консервов. [Электронный ресурс].url:

<http://www.coolreferat.com/Ассортимент_мясных_консервов_часть=3>

.Мясные консервы. [Электронный ресурс].url:

<http://student.zoomru.ru/tovar/myasnye-konservy/156342.1216438.s5.html>

. Европа.[Электронный ресурс].url : <http://europa-market.ru(22.05.14)>


Приложение А

Анкетирование проводилось для выявления потребительских предпочтений жителей г. Орла относительно мясных консервов из говядины, реализуемой в розничной торговой сети. Производилось анонимно. Выбранный ответ обозначался - +.

) Ваш возраст :

)до 18 3)30-50

)18-30 4)в стадии 60

) Ваш пол:

) Женский 2) Мужской

)Ваш социальный статус:

) студент 3)работающий

) не работающий 4) пенсионер

) Среднемесячный доход семьи:

)До 6000 3) От 10000 до 15000

)От 6000 до 10000 4) Более 20000

)Сколько % дохода расходится на продукты питания:

)5% 3)50%

)10% 4)80%

)Как часто вы покупаете мясные консервы:

)ежедневно 3)два раза в неделю

) один раз в неделю 4)один раз в месяц

) реже одного раз в месяц

)Какой из видов мясных консервов вы предпочитаете?

) Свинина 2) Говядина

) Баранина 4) Конина

) Оленина

)Что является для Вас первостепенным при выборе мясных

консервов?

) производитель

)цена 3) cостав продукта

) Каких производителей вы предпочитаете?

)ООО «КомТрейд» 3) АООТ «Гатчинский консервный завод»

) ЗАО «Орелпродукт» 4)ЗАО «Микояновский мясокомбинат»

Спасибо за внимание !


Приложение Б

Дегустационная карта

Ф.И.О. _______________________________

Дата дегустации _______________________

Образцы

Показатели


Внешний вид

Консистенция

Запах и вкус

Внешний вид бульона

№ 1





№ 2





№ 3








Приложение В

Дегустационная карта

Наименование показателя

Оценка


5

4

3

2

1

Внешний вид

Мясо без костей, сухожилий, хрящей

Мясо без костей, сухожилий, присутствуют хрящи

Мясо без костей, присутствуют хрящи и сухожилия

Мясо с небольшим количеством костей, присутствуют сухожилия и хрящи

Мясо с костями, сухожилиями и хрящами

Консистенция

Мясо сочное, проваренное

Мясо сочное, слегка непроваренное

Мясо не очень сочное, но проваренное

Мясо не очень сочное, слегка не проваренное

Мясо не сочное, непроваренное

Запах и вкус

Свойственный данному виду продукта, без посторонних привкуса и запаха, с ароматом пряностей, в меру соленый.

Свойственный данному виду продукта, без посторонних привкуса и запаха,отсутствует аромат пряностей, в меру соленый.

Свойственный данному виду продукта, без посторонних привкуса и запаха,отсутствует аромат пряностей, сильно соленый.

Свойственный данному виду продукта, имеется посторонний привкус или зпах,отсутствует аромат пряностей, сильно соленый.

Не свойственны данному виду продукта

Внешний вид бульона

В нагретом состоянии цвет от желтовато до светло-коричневого

Светло-желтый

Темно-желтый

Желтовато -коричневый

Темно-коричневый


Похожие работы на - Характеристика ассортимента и показателей качества мясных консервов из говядины, реализуемой в торговой сети города Орла

 

Не нашли материал для своей работы?
Поможем написать уникальную работу
Без плагиата!
Без нейросетей!