Производные бензодиазепина

  • Вид работы:
    Реферат
  • Предмет:
    Медицина, физкультура, здравоохранение
  • Язык:
    Русский
    ,
    Формат файла:
    MS Word
    75,87 kb
  • Опубликовано:
    2009-01-12
Вы можете узнать стоимость помощи в написании студенческой работы.
Помощь в написании работы, которую точно примут!

Производные бензодиазепина

Рязанский государственный медицинский университет
имени академика И.П. Павлова

Фармацевтический факультет

5 курс

КУРСОВАЯ РАБОТА

ПО ТЕМЕ:

«П Р О И З В О Д Н Ы Е   
Б Е Н З О Д И А З Е П И Н А»

 

 

ВЫПОЛНИЛ: БУЯБЛА ЮССЕФ

РУКОВОДИТЕЛЬ: __________________

 

РЯЗАНЬ 2003
ПЛАН

1. Классификация производных бензодиазепина

2.  Транквилизаторы и снотворные средства

3. Побочные эффекты снотворных средств и транквилизаторов.

4. Снижение побочных эффектов снотворных препаратов и транквилизаторов

5. Применение транквилизаторов бензодиазепинового ряда для коррекции стрессорных расстройств

6. Некоторые препараты бензодиазепинового ряда

7. Химические свойства и определение подлинности

8. Список литературы


КЛАССИФИКАЦИЯ

ПРОИЗВОДНЫХ БЕНЗОДИЗЕПИНА

A. бензодиазепиновые агонисты (транквилизаторы)

a.   длительные агонисты БДР (транквилизаторы)

I.   хлордиазепоксид (хлозепид, элениум) 36ч

  II.   феназепам 35ч

III.   диазепам (сибазон, седуксен, в...) 35ч

b. средней продолжительности агонисты БДР (транквилизаторы)

I.   алпразолам 15ч

  II.   нозепам (оксазепам, тазепам) 15ч

III.   лоразепам (ативан) 15ч

c. короткого действия агонисты БДР (транквилизаторы)

I.   мидазолам (дормикум) 3ч

d. дневные бензодиазепиновые анксиолитики

I.   мезапам (рудотель)

  II.   дикалий клоразепата (транксен)

e.   бензодиазепиновые агонисты БД-Р

B.   серотониновые агонисты (транквилизаторы)

a.   буспирон

C. другие транквилизаторы

a.   амизил (бенактизин) 3ч

b. триоксазин

c. оксилидин (бензоклидина гидрохл...)

D. Анксиолитики (гипотензивные)

Транквилизаторы и снотворные средства

В дискуссии об использовании транквилизаторов и снотворных средств эксперты Всемирной Организации здравоохранения (ВОЗ) утверждают следующее: "Беспокойство является нормальной реакцией на стресс и медикаментозную терапию следует начинать только в случаях чрезмерного беспокойства, которое делает невозможным нормальную жизнедеятельность. Длительный прием... неэффективен, его следует избегать... Кратковременное использование (менее двух недель) минимизирует риск развития лекарственной зависимости." Ими также сделан следующий вывод: "Элементарное обсуждение причин, вызвавших бессонницу и беспокойство, а также информирование пациента о недостатках медикаментозной терапии часто позволяет помочь пациентам не прибегая к назначению лекарственных препаратов".

Два исследования альтернативных методов лечения убедительно показали, что в огромном большинстве случаев назначение транквилизаторов и снотворных препаратов не является необходимым. 90 пациентов, страдавших главным образом от беспокойства, были случайным образом разделены на две группы. Первая группа получала обычную дозу транквилизатора группы бензодиазепинов. Другая группа получала альтернативное лечение, заключавшееся в "выслушивании, разъяснении, советах и успокаивании". Оба метода лечения имели равную эффективность, но пациенты второй группы были более удовлетворены результатами лечения, чем пациенты группы, получавшей транквилизаторы.

Во втором исследовании пациентам с хроническим беспокойством давали один из трех транквилизаторов или плацебо (таблетки сахара). Оценки уровня беспокойства проводились еженедельно самими пациентами и профессиональными экспертами, в конце месяца результаты показали, что "все четыре метода лечения одинаковы по терапевтической эффективности в случаях выраженного беспокойства". Следовательно, плацебо так же эффективно, как и транквилизаторы.

Столкнувшись с падением продаж сибазона (ВАЛИУМ) в начале 1980-ых годов, Roche (и другие производители данного препарата) начали проводить агресивную рекламную политику нацеленную на его применение у пожилых пациентов. Серия красиво иллюстрированных брошюр под названием "семинары Roche по старению" была разослана врачам в 1982 г. Roche рекомендовала сибазон как подходящее средство для пожилых людей с "ограниченными" возможностями, которые страдают "не только от своих ограниченных физических способностей, но и от социальных условий и среды обитания". Рекламная кампания успешно сработала, поскольку частота использования транквилизаторов у людей 60 лет и старше между 1980 г. и 1985 г. значительно возросла, особенно у пожилых женщин.

Тот факт, что более 1,7 млн людей 65 лет и старше ежедневно использовали транквилизаторы в течение по крайней мере года, является наилучшим свидетельством злоупотребления этими препаратами. Если принять во внимание, что эффективность применения таких препаратов в течение более четырех месяцев сомнительна, то число пожилых людей, применяющих транквилизаторы в течение более длительного периода, ошеломляет - среднее число таблеток (160), которое каждый из 10 млн потребителей транквилизаторов в 60 лет и старше покупает в год, достаточно для ежедневного приема в течение более 5 месяцев.

Снотворные средства

Избыточное или ошибочное назначение снотворных препаратов приводит к тому, что около полумиллиона людей принимают такие препарата ежедневно в течение по крайней мере месяца. Поскольку не доказано, что такие средства эффективны в течение этого или большего времени, то все эти пациенты подвергают свое здоровье без всяких на то оснований.

Количества снотворных средств группы бензодиазепинов, которое в среднем назначается пациентам в год, достаточно на пять месяцев, что в 5 - 10 раз больше времени их доказанной эффективности. Следовательно, снотворные препараты назначаются ошибочно в от 80 до 90% случаев использования.

Увеличение частоты использования таких средств стало предметом выводов и рекомендаций в обширном исследовании Института Медицины Национальной академии наук в 1979 г. Говоря об использовании таких средств, исследователи делают следующий вывод: "снотворные препараты могут иметь только ограниченное использование в рядовой медицинской практике: трудно научно обосновать большинство назначений снотворных препаратов. При стандартном амбулаторном лечении комиссия рекомендует назначение очень ограниченного количества препарата достаточного для приема в течении нескольких дней... Пожилым пациентам снотворные препараты должны назначаться с особенной осторожностью и лишь эпизодически".
Комментируя специфику использования снотворных препаратов у пожилых людей, авторы отмечают: "Особенную озабоченность вызывает регулярный и длительный прием данной группы лекарственных средств, что имеет само по себе имеет сомнительную терапевтическую эффективность и приводит к возрастанию риска развития негативных эффектов от приема снотворных".

Хотя пожилые люди чаще, чем более молодые, жалуются на нарушения сна, исследования показали, что время засыпания с возрастом не возрастает, а полное время сна уменьшается очень ненамного, если вообще уменьшается. Бессонница чаще всего возникает у пожилых людей, которые рано ложатся спать, и, кроме того, часто спят в течение дня. Таким образом, исследователи заключают, что "нужно отказаться от дневного сна вместо того, чтобы лечить вызванную им ночную бессонницу".

Доктор Маршалл Фолштайн (Marshall Folstein), психиатр госпиталя Джона Хопкинса и эксперт по болезни Альцгеймера, утверждает, что "крайне редко можно найти пожилых людей, которым они (снотворные препараты) действительно необходимы".

Еще одна опасность - это завышенные дозировки. Исследование дозировок снотворных препаратов показало, что большинство (почти 80%) людей 65 лет и старше принимают "чрезмерную дозу" флуразепама (30 мг), хотя для пожилых людей рекомендуется доза в 15 мг. (В этой книге мы включили флуразепам в категорию "Не использовать.") Принимая во внимание рекомендации Национальной Академии Наук, в которых говорится, что снотворные препараты должны использоваться лишь в ограниченном количестве случаев, все возрастающая частота назначений этих лекарственных средств пожилым людям - особенно на длинные периоды времени -, представляет серьезную угрозу их здоровью.

Побочные эффекты снотворных средств и транквилизаторов.

Лекарственная зависимость, сонливость в дневное время, амнезия, возрастающий риск автопроисшествий, плохая координация, приводящая к падениям и переломам бедра, ухудшенная способность к обучению, путанная речь и даже летальный исход являются побочными эффектами данных препаратов. Это особенно вероятно при приеме этих лекарственных средств вместе с алкоголем или другими препаратами, угнетающими ЦНС. Это может случиться с любым человеком в любом возрасте.

Организм пожилых людей не может выводить подобные препараты так же быстро, как у более молодых людей. Пожилые люди также более чувствительны к побочным эффектам лекарственных средств. Несмотря на очевидность этого факта, пожилым людям, во-первых, чаще назначаются транквилизаторы и снотворные средства, во-вторых, они обычно получают стандартную, а не уменьшенную дозу, что могло бы снизить риск развития побочных эффектов, в-третьих, им предписывается прием этих препаратов в течение более долгих периодов времени, чем более молодым людям. Следовательно, не является неожиданностью, что пожилые люди более подвержены риску возникновения негативных эффектов, а если такие эффекты имеют место, то они, как правило, более выражены. Одним из самых больших препятствий для детектирования и элиминации подобных проблем является то, что возникающие проблемы связывают с процессом старения, а не с приемом лекарственных препаратов. Ухудшение процессов мышления, амнезия, ухудшением обучения или потеря координации у более молодых людей при приеме препарата воспринимается как сигнал тревоги. Если те же симптомы появляются у пожилых людей, особенно если они развиваются достаточно медленно, то реакция врача часто сводится к замечанию: "ну, он (она) уже состарился, что же Вы ожидали?". Такой подход приводит к усугублению негативных эффектов, поскольку врач продолжает ранее начатую медикаментозную терапию.

Исследование пожилых людей с переломом бедра показало, что 14% таких повреждений связано с использованием психотропных препаратов, включая снотворные средства, транквилизаторы, антипсихотические средства и антидепрессанты, особенно такие средства, как сибазон, хлозепид и флуразепам.

Другим серьезным негативным эффектом бензодиазепинов угнетение дыхания. У пожилых людей часто наблюдаются приступы апноэ во сне, когда после засыпания дыхание останавливается. Доктор Вильям Демент (William Dement), эксперт по исследованию сна, установил, что у пожилых людей, использующих снотворные препараты дыхание может останавливаться на опасно длительные промежутки времени, как результат подавления снотворными препаратами дыхательного центра. Он также говорит о государственной важности данной проблемы: люди старше 65 лет не должны использовать флуразепам из-за повышенного риска приступов апноэ. Второй проблемой в этой категории являются заболевания легких. Люди с серьезными заболеваниями легких не должны использовать бензодиазепины, вследствие того, что они угнетают дыхательный центр, что может быть опасным для жизни. Пациенты, страдающие от астмы, также должны избегать снотворных препаратов и транквилизаторов.

Снижение побочных эффектов снотворных препаратов и транквилизаторов

Наилучший способ уменьшить риск возникновения негативных эффектов - это избегать приема данных препаратов кроме как в случаях крайней необходимости.

 

Альтернативные методы лечения хронического беспокойства

Как отметил британский психиатр доктор Малколм Ладер (Malcolm Lader), "до недавнего времени большинство пациентов с симптомами хронического беспокойства в Великобритании назначались транквилизаторы, обычно бензодиазепины. Однако учащающиеся сообщения о развитии лекарственной зависимости даже при назначении нормальных терапевтических дозировок, привели к пересмотру стратегии лечения хронического беспокойства в пользу немедикаментозных методов лечения".

Два врача из Великобритании использовали нелекарственные методы терапии для лечения легкой или средней формы синдрома хронического беспокойства и аналогичных заболеваний. Они утверждают, что "вероятно, наилучшим методом лечения является консультация врача общей практики или любого другого медицинского работника. Такая консультация не должна быть чрезмерно интенсивной и она не требует никакой специальной подготовки. Подобная консультация всегда должна включать в себя тщательное установление причин возникновения заболевания. Когда это сделано, то бессонница часто может быть редуцирована до допустимых уровней с помощью стандартных психотерапевтических методов воздействия".

Что можно сделать еще? Разговор с людьми, не имеющими отношения к медицине- другом, супругом, родственником, представителем духовенства может помочь определить причины беспокойства и найти решение. Набраться смелости и поговорить о трудностях - это лучшее решение, чем прием таблеток. В некоторых случаях бессонницу можно лечить психотерапией. Регулярные физические упражнения также могут улучшить процесс засыпания.

Кроме того, прием пищи, напитков и лекарственных средств, обладающих значительными стимулирующими эффектами, также может вызвать бессонницу.

Какие транквилизаторы и снотворные средства можно все же использовать?
Хотя мы против использования таких препаратов в большинстве случаев, особенно пожилыми людьми, в строго определенных случаях данные средства могут назначаться компетентными специалистами на короткий период времени. В аннотации FDA ко всем транквилизаторам, указывается : "бессонница или напряжения при стрессах в повседневной жизни обычно не требуют применения анксиолитиков (транквилизаторов)". Как указано в начале этого раздела, пожилые люди никогда не должны использовать барбитураты в качестве снотворных средств или транквилизаторов. Другие препарата, такие, как мепробамат, гидроксизин (АТАРАКС) и хлоралгидрат также не должны использоваться пожилыми людьми. Следовательно, в арсенале врача остаются лишь бензодиазепины - восемь транквилизаторов и пять снотворных препаратов (помимо этого, следует отметить зопиклон (ИМОВАН) - один из наиболее безопасных снотворных препаратов). Все эти препарата одинаково эффективны как транквилизаторы и снотворные препараты. "Отнесение тех или иных препаратов к транквилизаторам или к снотворным препаратам - это вопрос маркетинга, а не фармакологии."

Эти 13 бензодиазепинов отличаются друг от друга набором побочных эффектов, риск развития которых особенно высок у пожилых людей. Всемирная Организация Здравоохранения рекомендует, пожилым людям не использовали такое широко известное снотворное средство, как флуразепам вследствие высокой вероятности возникновения негативных эффектов.
Пожилым людям следует избегать использования и другого широко распространенного снотворного средства, триазолама, поскольку он имеет насколько короткое время действия, что может вызвать бессонницу после прекращения действия препарата, беспокойство, амнезию (забывчивость или амнезия), агрессивное поведение. В 1992 г. Public Sitizen's Health Research Group подала прошение в FDA запретить использование триазолама.

При обсуждении того, какие снотворные средства являются препаратами выбора для пожилых людей установлено, что наиболее безопасны в использовании нозепам (ТАЗЕПАМ) и темазепам (СИГНОПАМ). Установлено также, что "нозепам является самым безопасным из всех бензодиазепинов для пожилых людей", вследствия "короткого времени действия и отсутствия активных метаболитов" (т.е. веществ, в которые организм преобразует препарата и которые могут создавать негативные эффекты). Кроме того, исследования показывают, что нозепам имеет намного реже используется в качестве одурманивающего вещества, по сравнению, например с сибазоном.

При сравнительном анализе и одиннадцати бензодиазепинов с точки зрения вероятности развития амнезии (серьезная проблема, часто наблюдающаяся у пожилых людей) эксперт по лекарственной терапии у пожилых людей Петер Лэми установил, что нозепам значительно реже, чем другие бензодиазепины, вызывает ухудшение памяти.

Более молодые пациенты могут также использовать темазепам и золпидем. Однако, как указывается в аннотации на этот препарат, хотя оно и не принадлежит к классу бензодиазепинов, оно может вызывать привыкание и не должно использоваться более одной или трех недель.
Суммируя все вышесказанное, мы приходим к выводу, что единственным препаратом рецептурного отпуска, которые мы рекомендуем для ограниченного использования у пожилых людей, является нозепам (ТАЗЕПАМ).

Если Вы принимаете один из бензодиазепинов непрерывно больше нескольких недель, то у Вас есть все шансы развития лекарственной зависимости. Резкое прекращение приема препарата очень опасно. При участии Вашего доктора разработайте график, в соответствии с которым постепенно снижайте количество снотворного средства или транквилизатора в среднем на 5 - 10% в день. Это значительно уменьшит вероятность развития синдрома отмены при прекращении приема препарата.

Правила безопасного приема нозепама

1. Доза должна составлять от 1/3 до 1/2 обычной терапевтической дозы 52. Это означает, что самая большая начальная доза должна составлять 7,5 мг, от одного до трех раз в день, если препарат используется как транквилизатор, или 7,5 мг на ночь, если используется он в качестве снотворного средства. (Это составляет 1/2 таблетки в 15 мг.)

2. Попросите Вашего врача ограничить назначение количеством препарата достаточного для семи дней приема.

3. В конце каждого дня в период приема нозепама оценивайте самостоятельно или с помощью других людей то, что вы сделали, чтобы найти причины бессонницы. Сюда включается оценка того, что Вы сделали для устранения внешних и внутренних причин бессонницы. Ведите дневник, в котором Вы записываете эти оценки. Поскольку у Вас есть препарат только на одну неделю, то развитие привыкания маловероятно.

4. При приеме этого препарата не управляйте автомобилем и не работайте с опасными механизмами.

5. Не употребляйте алкоголь. Комбинация этого препараты, содержащие алкоголь опасно увеличивает угнетение ЦНС. Передозировка препарата в сочетании с алкоголем может быть смертельной.

Перед приемом нозепама убедитесь, что врач знает обо всех других принимаемых Вами препаратах, угнетающих ЦНС, таких, как антидепрессанты, антипсихотические средства, антигистаминные препараты, наркотические анальгетики, противоэпилептические препараты, другие снотворные средства. При приеме нозепама совместно с другими препаратами, обладающими седативным эффектом, опасно увеличивается риск возникновения побочных эффектов.

ХЛОЗЕПИД ( Chlozepidum ).

7-Хлор-2-метиламино-5-фенил-ЗН-1,4- бензодиазепина-4-окись.

Синонимы:

Напотон, Хлордиазепоксид, Элениум, Ansiacal, Benzodiapin, Chlordiazepoxidum, Chlordiazepoxide, Decadil, Droxol, Elenium, Equinbral, Labiton, Librium, Lixin, Napoton, Novosed, Radepur, Sonimen, Timosin, Viansin и др.

Белый или светло-желтый мелкокристаллический порошок. Практически не растворим в воде, трудно растворим в спирте.

Хлордиазепоксид (либриум, хлозепид) был первым представителем транкви лизаторов в группе бензодиазепинов. В настоящее время в эту группу входит ряд более эффективных препаратов, однако хлордиазепоксид своего значения полностью не потерял.

Хлозепид оказывает успокаивающее действие на ЦНС, вызывает мышечную ре лаксацию, обладает противосудорожной активностью, потенцирует действие снотворных и аналгетиков, оказывает умеренный снотворный эффект (обычно проявляющийся при непрерывном применении только в первые 3 - 5 дней). Характерной особенностью хлозепида является способность подавлять чув ство страха, тревоги, напряжения при невротических состояниях. Антипсихо тического действия не оказывает. В больших дозах может уменьшать психомо торное возбуждение.

Фармакокинетически хлозепид (как и другие транквилизаторы этого ряда) характеризуется относительно быстрой всасываемостью после приема внутрь. Пик концентрации в плазме крови наблюдается через 2 - 4 ч; период полусу ществования 8 - 10 ч. Выделяется главным образом почками. Проникает через плацентарный барьер.

Применяют хлозепид при невротических состояниях, сопровождающихся тре вогой, возбуждением, напряженностью, повышенной раздражительностью, бес сонницей. Может применяться при органных неврозах (функциональные неврозы сердечно-сосудистой системы, желудочно-кишечного тракта), мигрени, климак терических расстройствах и др.

В анестезиологической практике может использоваться для предоперацион ной подготовки больных и в послеоперационном периоде.

В связи со способностью понижать мышечный тонус применяют также при спа стических состояниях, связанных с поражениями головного и спинного мозга (в том числе при нарушениях движений у детей), а также при миозитах, арт ритах, бурситах и других заболеваниях, сопровождающихся напряжением мышц. Назначают также при экземе и других кожных заболеваниях, сопровождаю щихся зудом, раздражительностью.

В психиатрической практике хлозепид иногда применяют при пограничных состояниях с явлениями навязчивости, тревоги, страха, аффективной напря женности, при неглубоких депрессивных и ипохондрических состояниях, в том числе связанных с диэнцефальной патологией, а также в комплексном лечении больных эпилепсией и для лечения синдрома абстиненции при алкоголизме и наркомании.

Дозы хлозепида подбирают индивидуально: обычно назначают взрослым (внутрь), начиная с 0,005 - 0,01 г (5 - 10 мг) в день; при необходимости дозу постепенно увеличивают на 5 - 10 мг в день до суточной дозы 30 - 50 мг (в 3 - 4 приема). Ослабленным и пожилым больным препарат назначают в мень ших дозах, детям в зависимости от возраста - по 0,0025 - 0,005 г (2,5 - 5 мг) на прием. Отменяют препарат, постепенно уменьшая дозу.

Хлозепид обычно хорошо переносится. Иногда возможны сонливость, легкое головокружение, неуверенность походки, кожный зуд, тошнота, запор, нарушения менструального цикла, понижение либидо. В отдельных случаях в начале лечения может наблюдаться возбуждение.

Препарат противопоказан

Форма выпуска:

таблетки, содержащие по 0,005 г хлозепида, покрытые оболоч кой желтого цвета, в упаковке по 50 штук.

Хранение: В защищенном от света месте.

 

Препарат "феназепам"

Действие:

  • Снотворное средство, анксиолитик, противоэпилептический.
  • Действует сильнее нозепама.

Механизм:

  • Обладает сродством к бенздиазепиновым рецепторам. Активирует ГАМКа-рецепторы.

Показания:

  • Снотворное средство
  • Противоэпилептический
  • Неврозы, неврозоподобные состояния.
  • Премедикация перед хирургическими вмешательствами.
  • Бессонница.

Побочный эффект:

  • Значительное последействие (седативное).
  • Нарушение памяти, диплопия, головная боль, тошнота, снижение половой потенции.
  • Кожные высыпания.
  • Слабость.

Время
действия:

  • 35 часов

Антагонисты
при отравлении:

  • флумазенил

Введение:

  • внутрь

Препарат "диазепам"

Группы:

 (ЦНС)

 (ЦНС)

 (ЦНС)

 (Исполнительные органы)

 (ЦНС)

Действие:

  • Снотворное средство, анксиолитик, противоэпилептический

Механизм:

  • Обладает сродством к бенздиазепиновым рецепторам. Активирует ГАМКа-рецепторы.

Показания:

  • Снотворное средство
  • Противоэпилептический
  • Неврозы, неврозоподобные состояния.
  • Премедикация перед хирургическими вмешательствами.
  • Бессонница.

Побочный эффект:

  • Биотрансформируется в активно действующий метаболит.
  • Значительное последействие (седативное).
  • Нарушение памяти, диплопия, головная боль, тошнота, снижение половой потенции.
  • Кожные высыпания.
  • Слабость.

Время
действия:

  • 35 часов

Антагонисты
при отравлении:

  • флумазенил

Введение:

  • внутрь, внутривенно (эпилепсия)

Синонимы:

  • сибазон, седуксен, валиум

Препарат "алпразолам"

Группы:

 (ЦНС)

 (Иммунные процессы)

Показания:

  • Неврозы, неврозоподобные состояния.
  • Премедикация перед хирургическими вмешательствами.
  • Бессонница.

Время
действия:

  • 15 часов

Антагонисты
при отравлении:

  • флумазенил

Препарат "нозепам"

Группы:

 (ЦНС)

 (ЦНС)

Действие:

  • снотворное средство, анксиолитик, противоэпилептический

Механизм:

  • Обладает сродством к бенздиазепиновым рецепторам. Активирует ГАМКа-рецепторы.

Показания:

  • Снотворное средство
  • Противоэпилептический
  • Неврозы, неврозоподобные состояния.
  • Премедикация перед хирургическими вмешательствами.
  • Бессонница.

Побочный эффект:

  • Нарушение памяти, диплопия, головная боль, тошнота, снижение половой потенции.
  • Кожные высыпания.
  • Слабость.

Время
действия:

  • 15 часов

Антагонисты
при отравлении:

  • флумазенил

Введение:

  • внутрь

Синонимы:

  • оксазепам, тазепам


Препарат "лоразепам"

Группы:

 (ЦНС)

 (ЦНС)

 (ЦНС)

Действие:

  • снотворное средство, анксиолитик, противоэпилептический

Механизм:

  • Обладает сродством к бенздиазепиновым рецепторам. Активирует ГАМКа-рецепторы.
  • Быстро инактивируется.

Показания:

  • Снотворное средство
  • Противоэпилептический
  • Неврозы, неврозоподобные состояния.
  • Премедикация перед хирургическими вмешательствами.
  • Бессонница.

Побочный эффект:

  • Нарушение памяти, диплопия, головная боль, тошнота, снижение половой потенции.
  • Кожные высыпания.
  • Слабость.

Время
действия:

  • 15 часов

Антагонисты
при отравлении:

  • флумазенил

Введение:

  • внутрь, внутривенно (эпилепсия)

Синонимы:

  • ативан

Препарат "мидазолам"

Группы:

 (ЦНС)

 (ЦНС)

Действие:

  • Через 2 минуты вызывает сон

Показания:

  • Неврозы, неврозоподобные состояния.
  • Премедикация перед хирургическими вмешательствами.
  • Бессонница.

Побочный эффект:

  • 3 часов

Антагонисты
при отравлении:

Введение:

  • внутривенно, внутримышечно

Синонимы:

  • дормикум

Препарат "мезапам"

Группы:

 (ЦНС)

Действие:

  • Анксиолитическое действие превалирует над седативным

Показания:

  • Неврозы, неврозоподобные состояния.
  • Премедикация перед хирургическими вмешательствами.
  • Бессонница.

Антагонисты
при отравлении:

  • флумазенил

Синонимы:

  • рудотель

Препарат "дикалий клоразепата"

Группы:

 (ЦНС)

Действие:

  • Анксиолитическое действие превалирует над седативным

Показания:

  • Неврозы, неврозоподобные состояния.
  • Премедикация перед хирургическими вмешательствами.
  • Бессонница.

Антагонисты
при отравлении:

  • флумазенил

Синонимы:

  • транксен




Дерево группы "бензодиазепиновые агонисты БД-Р"

A. нитразепам (радедорм, эуноктин) 24ч

B.   лоразепам (ативан) 15ч

C. нозепам (оксазепам, тазепам) 15ч

D. темазепам (рестроил) 15ч

E.   триазолам

F.   диазепам (сибазон, седуксен, в...) 35ч

G. феназепам 35ч

H. флуразепам (далман) 35ч

I. клоназепам (антелепсин)

J.   бензодиазепиновые агонисты (транквилизаторы)


Дерево группы "серотониновые агонисты (транквилизаторы)"

Препарат "буспирон"

Группы:

 (ЦНС)

Действие:

  • Развивается медленно

Механизм:

  • Агонист соматодендритических серотониновых аутоингибирующих ауторецепторов 5-HT1A
  • Снижение активности нейронов ядра шва, уменьшение синтеза и высвобождения серотонина
  • Также связывается с дофаминовыми рецепторами

Показания:

  • Неврозы, неврозоподобные состояния.
  • Премедикация перед хирургическими вмешательствами.
  • Бессонница.

Побочный эффект:

  • Нервозность, головокружение, головная боль, парестезии, тошнота, диарея (редко)

Время
действия:

  • 6 часов


СПИСОК ЛИТЕРАТУРЫ

И ДРУГОЙ ИСПОЛЬЗУЕМОЙ ИНФОРМАЦИИ

1. Руководство к лабораторным занятиям по фармацевтической химии Под ред. А.П. Арзамасцева. М. 2001

2. Журнал Кремлевская медицина 1993г

3. Интернет сервер www.neuro.net.ru

4. Справочник по фармакологии Машковский  2001г

5. Государственная фармакопеея 10 изд.

6. Государственная фармакопеея 11 изд.

7. Интернет сервер www.medinfo.ru

8. Беликов «О фармацевтической химии»

9. Российский медицинский журнал www.rmj.ru

10.  Интернет сервер www.medline.ru

11.  «Фармакология» Харкевич 2001г

12. Интернет сервер www.medlook.ru

13. Справочник по фармакологии Видаль 2001г


ПРИМЕНЕНИЕ ТРАНКВИЛИЗАТОРОВ БЕНЗОДИАЗЕПИНОВОГО РЯДА ДЛЯ КОРРЕКЦИИ СТРЕССОРНЫХ РАССТРОЙСТВ

Вместе с тем для коррекции стрессорных расстройств широкое применение в клинической практике нашли транквилизаторы бензодиазепинового ряда, которые, как выяснилось, сами способны нарушать процессы обучения и памяти (Т.А.Воронина, 1992), подавляя тем самым активную адаптацию организма (В.И.Петров, 1997). Кроме того, не всегда принимается во внимание, что использование бензодиазепиновых препаратов должно быть ограничено у данного контингента в связи со склонностью к аддиктивному поведению, а также ситуационному употребление алкоголя, наркотиков, других психоактивных веществ.

ХИМИЧЕСКИЕ СВОЙСТВА И ОПРЕДЕЛЕНИЕ ПОДЛИНННОСТИ

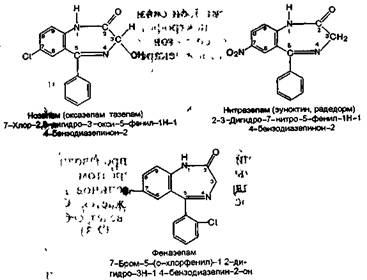
Производные 1,4-бензодиазепина

Химическое строение, физические и физико-химические свойства

Производные 1,4-бензодиазепина представляют со­бой группу лекарственных средств, содержащих кон­денсированную систему бензольного и семичленного 1,4-диазепинового колец:

Хлозепид — производное ЗН-1,4-бензодиазепина. Ос­тальные препараты являются дигидропроизводными 1Н-или ЗН-1,4-бензодиазепина, причем дигидропроизвод-ные имеют одну и ту же химическую структуру, которую можно назвать как 2,3-дигидро-1Н-бензодиазепином, так и 1,2-дигидро-ЗН-бензодиазепином:

К данной группе относятся следующие препараты;

В структуре производных бензодиазепина имеется азометиновая группа — C5=4N~.

Все дигидропроизводные содержат при С-2 карбо­нильную группу, которая вместе с атомом азота N-1 об­разует амидную (лактамную) группу.

Препараты данной группы при С-5 содержат фениль-ный радикал, при С-7 — атом галогена (хлор или бром) или нитрогруппу (нитразепам).

Препараты этой группы, за исключением нитразепама и хлозепида, представляют собой белые или белые со слегка желтоватым или кремоватым оттенком кристалли­ческие порошки. Нитразепам — светло-желтого цвета кристаллический порошок; хлозепид — белый или свет­ло-желтый мелкокристаллический порошок. Все лекарст­венные средства данной группы практически нераствори­мы

в воде, трудно растворимы в 95 % спирте, мало — в эфире и хлороформе (сибазон растворим в хлороформе).

Все препараты характеризуются определенной темпе­ратурой плавления.

В электронных спектрах 1,2-дигидро-ЗН-1,4-бензоди-азепин-2-онов обычно имеется три полосы поглощения с максимумами при 200—215, 220—240 и 290—330 нм. Две первые полосы соответствуют возбуждению арома­тических хромофоров. Третью — длинноволновую — по-

лосу относят к азометиновой связи, сопряженной с бен­зольным ядром. УФ-спектрофотометрия используется для идентификации препаратов данной группы и коли­чественного определения в лекарственных формах.

Химические свойства

Кислотно-основные свойства

1,4-бензодиазепины и их дигидропроизводные прояв­ляют слабоосновные свойства (гетероатом азота N-4). При введении в ядро 1,4-бензодиазепинов карбониль­ных и оксигрупп основность их снижается. Феназепам, например, в среде метилэтилкетона ведет себя как сла­бое однокислотное основание (рКв = 12,31 ± 0,05). Ос­новность азота в азометиновой группе сильно снижается за счет сопряжения с кольцом бензола при С-5.

Присоединение протона при взаимодействии с кис­лотой происходит за счет гетероатома азота N-4. Исклю­чение составляет хлозепид, у которого положительный заряд при присоединении протона распределяется по триаде, между гетероатомом азота N-1 и атомом азота метиламиногруппы N-2.

Слабоосновные свойства бензодиазепинов лежат в основе их количественного определения методом кис­лотно-основного титрования в не водных средах.

Бензодиазепины как азотсодержащие основания могут давать реакции с осадочными реактивами. Напри­мер, сибазон образует розовый осадок с аммония рейне-катом в кислой среде:

Методика. 0,05 г препарата растворяют в 2 мл разведенной кислоты хлороводородной, прибавляют 2 мл раствора аммония рейнеката. Образуется розовый осадок, растворимый в ацетоне.

С концентрированными кислотами (серной, хлоро­водородной, хлорной) 1,4-бензодиазепины образуют окрашенные соли, которые флюоресцируют в УФ-свете. Это испытание используется для идентифика­ции препаратов. С концентрированной кислотой сер­ной сибазон дает в УФ-свете зеленовато-голубую флю­оресценцию, нитразепам — голубую флюоресценцию, феназепам — ярко-зеленую флюоресценцию и желтую окраску.

Методика. К1мл раствора феназепама 3 % для инъекций прибавляют 3 капли концентрированной кис­лоты серной и перемешивают. Раствор окрашивается в желтый цвет. В УФ-свете раствор дает ярко-зеленую флюоресценцию.

Соединения с лактамной группой

проявляют слабокислотные свойства, образуя соли при действии сильных оснований.

Наряду со слабоосновными свойствами сибазон, нозепам и нитразепам проявляют и слабокислот­ные свойства; они реагируют с сильными основания­ми, например с диметилформамидом, образуя соот­ветствующие анионы. Так, сибазон (слабая СН-кис-лота) и нозепам (слабая NH-кислота) образуют соот­ветствующие депротонированные соединения (ани­оны): , „ *

го гидролиза за счет образовавшейся первичной арома­тической аминогруппы образуют соль диазония и затем азокраситель. Реакция диазотирования лежит в основе нитритометрического метода количественного определе­ния производных данной группы, образование азокраси-теля используется для их идентификации и фотоколори­метрического количественного определения. В качестве азосоставляющей применяют фенолы в щелочной среде: > резорцин (красное окрашивание), р-нафтол (оранжево-красный осадок) или ароматические амины в кислой среде: М(1-нафтил)-этилендиамин (красная окраска):

Методика. 0,02 г феназепама нагревают до кипе- , ния с 2 мл разведенной кислоты хлороводородной в те- 1 чение 3 мин и охлаждают. Полученный раствор дает характерную реакцию на первичные ароматические амины с образованием оранжево-красного осадка (ГФ XI, вьщ 1, с. 159).

Соль диазония, полученную из нитразепама, сочета­ют в кислой среде с N-1-нафтилэтилендиамином; обра­зуется азокраситель красного цвета:

При нагревании нитразепама с цинковой пылью в кислой среде, кроме гидролитического разложения, про­исходит восстановление ароматической нитрогруппы до аминогруппы с образованием 2,5—диаминобензофено-на, который дает реакции диазотирования и азосочета-ния по обеим аминогруппам:

Несколько иначе протекает кислотный гидролиз хло-зепида. Вначале происходит присоединение воды по двойной связи 1—2, затем отщепление метиламина и об­разование амидной связи, а далее — гидролиз лактамной (амидной)связи:

Методика. 0,05 г хлозепида нагревают до кипе­ния с разведенной кислотой хлороводородной в тече­ние 2 мин и охлаждают. Полученный раствор дает ха­рактерную реакцию на первичные ароматические амины с образованием оранжево-красного осадка (ГФ XI, вып. 1, с. 159).

Сибазон не дает реакции образования азокрасителя, так как при кислотном гидролизе образуется вторичная ароматическая аминогруппа.

Щелочной гидролиз. При щелочном гидролизе в жест­ких условиях (сплавление с натрия гидроксидом или ки­пячение с раствором щелочи) из амидной группы бензо-диазепинов образуется аммиак или метиламин (сиба-зон), окрашивающие влажную красную лакмусовую бу­магу в синий цвет. При этом нозепам образует на стен­ках пробирки налет изумрудно-зеленого цвета. Реакция сплавления со щелочью используется для идентифика­ции 1,2-дигидро-ЗН-1,4-бензодиазепин-2-онов.

При взаимодействии со щелочью при нагревании га­логен переходит в ионное состояние (галогенид). Для обнаружения галогенид-ионов проводят соответствую­щие реакции.

Методика. 0,2 г феназепама кипятят с 10 мл рас­твора натрия гидроксида в течение 10 мин; выделяющий­ся аммиак определяют по посинению влажной красной лакмусовой бумаги; раствор подкисляют кислотой хлоро­водородной и фильтруют. Полученный раствор дает ха­рактерную реакцию А на бромиды (ГФ XI, вып. 1, с. 159).

Реакции на галогены

Неионогенно связанные атомы галогенов (хлор — в хлордиазепоксиде, сибазоне, нозепаме; хлор и бром — в феназепаме) определяют после минерализации, для чего можно использовать нагревание с раствором щелочи (см. раздел 6.3.14.2.2) или метод сжигания в колбе с кис­лородом (ГФ XI, вып. 1, с. 181). Кроме того, наличие га­логена определяют при сжигании крупинки препарата на медной проволоке в пламени горелки; пламя окраши­вается в зеленый цвет (проба Бейльштейна).

Образование окрашенных плавов

Многие бензодиазепины образуют окрашенные плавы. При осторожном нагревании 10 мг феназепама в сухой пробирке над пламенем горелки препарат плавится с образованием плава фиолетового или красно-фиолетового цвета. Окраска плава феназепама изменяется в зависи­мости от значения рН среды. Так, при добавлении рас­твора натрия гидроксида красно-фиолетовая окраска рас­твора плава в 95 % спирте переходит в сине-фиолетовую, а при добавлении разведенной кислоты серной — в сине-зеленую, а затем желтую. По-видимому, при плавлении феназепама образуется соединение, имеющее свойства кислотно-основного индикатора. У структурных аналогов феназепама (сибазона, нитразепама) при плавлении обра­зуются плавы зеленого цвета, и окраска спиртовых рас­творов этих плавов не изменяется в зависимости от значе­ния рН среды. Таким образом, эта реакция позволяет от­личить феназепам от других препаратов.

Похожие работы на - Производные бензодиазепина

 

Не нашли материал для своей работы?
Поможем написать уникальную работу
Без плагиата!
Без нейросетей!