Калькуляция затрат на производство и реализацию продукции

  • Вид работы:
    Контрольная работа
  • Предмет:
    Эктеория
  • Язык:
    Русский
    ,
    Формат файла:
    MS Word
    42,57 Кб
  • Опубликовано:
    2016-01-08
Вы можете узнать стоимость помощи в написании студенческой работы.
Помощь в написании работы, которую точно примут!

Калькуляция затрат на производство и реализацию продукции















КОНТРОЛЬНАЯ РАБОТА

Калькуляция затрат на производство и реализацию продукции

по дисциплине: Экономика организации

Содержание

Введение

I. Краткая характеристика организации

II. Калькуляция затрат на производство и реализацию продукции

.1 Определение необходимого количества оборудования и степени его загрузки

.2 Определение потребности в материалах на производственную программу и единицу продукции

.3 Определение затрат, связанных с оплатой труда производственных рабочих

.4 Определение прочих статей переменных затрат на единицу продукции

Заключение

Список литературы

Введение

Калькуляция (от лат. calculatio - счет, подсчет) - представленный в табличной форме бухгалтерский расчет затрат, расходов в денежном выражении на производство и сбыт единицы изделия, а также на осуществление работ и услуг.

Цель работы состоит в составлении калькуляции затрат на производство и реализацию продукции.

Объект исследования: ООО "ЭЛЛИ"

Данные для курсовой работы:

.        Число рабочих дней в 1 квартале планового периода - 72 дня;

.        Установленная продолжительность смены - 8 часов;

.        Число смен по графику (в сутки) - 2;

.        Цена за 1 кг. материалов - 30 рублей;

.        Цена за 1 кг. отходов - 5 рублей;

.        Часовая тарифная ставка, соответствующая среднему разряду работ по i- тому наименованию продукции (А, Г, Д, Ж, К)

.        Цена за 1 кг. черн. металл - 30 рублей;

.        Цена за 1 кг. цвет. металл - 60 рублей;

.        Цена отходов (черн. металл) - 6 рублей;

.        Цена отходов (цвет. металл) - 18 рублей;

I. Краткая характеристика организации

Организация ООО "ЭЛЛИ"

Основным видом деятельности организации указано "Продажа металлургии" (при регистрации компании). Юридическое лицо "ЭЛЛИ", ООО зарегистрировано в регионе Мамонтовский район (Алтайский край) по адресу 658561, АЛТАЙСКИЙ край, МАМОНТОВСКИЙ район, с. МАМОНТОВО, ул. СОВХОЗНАЯ, д.1Ж. Руководит предприятием Ишмухамедов Эмиль Эрлихович (Директор). Организация была зарегистрирована 2 сентября 2005 года под регистрационным номером 1052201180448 (ОГРН) в органе гос. регистрации МЕЖРАЙОННАЯ ИНСПЕКЦИЯ ФЕДЕРАЛЬНОЙ НАЛОГОВОЙ СЛУЖБЫ №7 ПО АЛТАЙСКОМУ КРАЮ.

Объединение усилий различных служб в единый механизм позволило существенно снизить затраты на текущую деятельность, так как все заводы одной группы ориентированы на одних поставщиков и потребителей. Сегодня ООО "Элли" - это объединение двух заводов, Литейного и Кузнечного. Руководитель предприятия: Ишмухамедов Эмиль Эрлихович. Органами управления Общества являются: Общее собрание акционеров, Совет директоров, генеральный директор. Руководство текущей деятельностью Общества осуществляется единоличным исполнительным органом - генеральным директором. Основной целью деятельности предприятия является извлечение прибыли и использование её в интересах акционеров, а также насыщения рынка товарами и услугами. Миссия ООО "Элли" - содействие экономическому развитию и финансовому благосостоянию ООО "Элли" и компаний-партнёров ООО "Элли" путем обеспечения полным спектром продукции и дополнительных услуг, максимально соответствующей требованиям и пожеланиям компаний партнёров. Стратегической целью ООО "Элли" в области качества является выпуск продукции в полном соответствии с запросами и требованиями потребителей. ООО "Элли" в своей деятельности руководствуется законодательством Российской Федерации и Республики Татарстан, учетной политикой ООО "Элли", приказами генерального директора ОАО "КАМАЗ", распоряжениями руководства ООО "Элли" и другими нормативными актами.

калькуляция затрата труд производственный

II. Калькуляция затрат на производство и реализацию продукции

.1 Определение необходимого количества оборудования и степени его загрузки

Таблица 1 Производственная программа предприятия на 1 квартал планового года.

Наименование продукции

Программа выпуска, шт.

Трудоемкость единицы продукции, чел-час.

Средний разряд

А Г Д Ж К

300 250 200 270 360

100 80 200 90 140

4 4 3,5 5 4


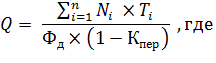
Расчетное количество оборудования определяется по формуле:


- программа выпуска i - того наименования изделий, шт;

- трудоемкость изделия i - того наименования продукции, ч-час;

- действительный фонд времени единицы производственного оборудования в плановом периоде, час;

 - коэффициент, учитывающий потери времени на переналадку оборудования, .

Действительный фонд времени работы единицы оборудования определяется по формуле:

, где

- число рабочих дней в первом квартале планового года;

- установленная продолжительность смены, час;

- число смен по графику, в сутки;

- коэффициент, учитывающий время простоя оборудования в плановом ремонте,= 0,06. Принятое количество оборудования определяется ближайшим целым большим числом от расчетного значения:


Коэффициент загрузки оборудования определяется отношением:


Q =

∑ = (300100)+(25080)+(200200)+(27090)+(360140)=164700

=7282(1-0,06)=1082,88

.2 Определение потребности в материалах на производственную программу и единицу продукции

Таблица 2 Норма расхода материалов на единицу продукции.

Наименование продукции

Норма расхода, кг


сталь

цветной прокат

А Г Д Ж К

120 150 180 160 170




- норма расхода материалов на единицу продукции, кг;

- цена за один кг материалов, руб;

- коэффициент использования материалов

Для стали =0,5;

Для цветного проката= 0,6;

- цена за один кг отходов, руб.

А) сталь =120*30- 120(1-0,5)*6=3240

цветной прокат30*60-30*0,4*18=1584

Г) сталь=150*30-150*0,5*6=4050

цветной прокат =70*60-70*0,4*18=3696

Д) сталь 180*30-180*0,5*6=4860

цветной прокат=80*60-80*0,4*18=4224

Ж) сталь 160*30-160*0,5*6=4320

цветной прокат=85*60-85*0,4*18=4488

К) сталь 170*30-170*0,5*6=4590

цветной прокат=35*60-35*0,4*18=1848

Таблица 3 Расчет затрат сырья и основных материалов на единицу продукции.

Показатели

Наименование продукции


А

Г

Д

Ж

К

1.Расход материала: Черные металлы В кг. В руб. Цветные металлы В кг. В руб 2.Возвратные отходы: Черных металлов В кг. В руб. Цветных металлов В кг. В руб. 3.Сырье и основные материалы-всего,руб

  120 3600  30 1800   60 360  12 216 4824

  150 4500  70 4200   75 450  28 504 7746

  180 5400  80 4800   90 540  32 576 9084

  160 4800  85 5100   80 480  34 612 8808

  170 5100  35 2100   85 510  14 252 6438


.3 Определение затрат, связанных с оплатой труда производственных рабочих

Затраты на основную заработную плату производственных рабочих определяются по формуле:


- трудоемкость изготовления i - того наименования продукции, чел-час;

- часовая тарифная ставка, соответствующая среднему разряду работ по i - тому наименованию продукции;

- коэффициент, учитывающий доплаты за отклонения от нормальных условий труда, =1,3

= коэффициент учитывающий выплаты в соответствии с действующим на предприятии положением, = 1,4

- районный коэффициент, =1,15.

Рекомендуется для первого разряда принять официально установленную правительством минимальную заработную плату с коэффициентом 1,41 и произвести расчеты часовых тарифных ставок в соответствии с предложенной тарифной сеткой.

Тарифная сетка


Разряды работ


1

2

3

4

5

6

Тарифный коэффициент

1

1,04

1,1

1,17

1,25

1,37


Дополнительная заработная плата производственных рабочих определяется по формуле:


- коэффициент, учитывающий оплату неотработанного времени в соответствии с КЗоТом, рекомендуется принять =0,17

Отчисления на социальные нужды определяются по формуле:

 , где

- коэффициент, учитывающий отчисления во внебюджетные фонды, =0,36

А) =100*35,1*1,3*1,4*1,15=7346

=7346*0,17=1249

=(7346+1249)*0,36=3094

+1249+3094=11689

Г) =80*35,1*1,3*1,4*1,15=5877

=5877*0,17=999

=(5877+999)*0,36=2475

+999+2475=9351

Д) =200*35,05*1,3*1,4*1,15=14253

=(14253+2423)*0,36=6003

+2423+6003=22679

Ж) =90*37,5*1,3*1,4*1,15=7064

=7064*0,17=1201

=(7064+1201)*0,36=2975

+1201+2915=11240

К)=140*35,1*1,3*1,4*1,15=10285

=10285*0,17=1748

=(10285+1748)*0,36=4332

+1748+4332=16365

Таблица 4 Расчет затрат на оплату труда на единицу продукции.

Показатели

Наименование продукции


А

Г

Д

Ж

К

1.Трудоемкость единицы продукции, чел.-час 2. Средний разряд 3. Средняя тарифая ставка, руб. 4.Коэффициент, учитывающий доплаты. 5.Коэффициент, учитывающий премии. 6.Районный коэффициент 7.Основная заработная плата производственных рабочих, руб. 8. Коэффициент дополнительной заработной платы 9. Дополнительная заработная плата, руб. 10. Коэффициент отчислений на социальные нужды 11. Отчисления на социальные нужды, руб.

100  4 35,1 1,3 1,4 1,15 7346   0,17 1249  0,36 3094

80  4 35,1 1,3 1,4 1,15 5877   0,17 999  0,36 2475

200  3,5 34,05 1,3 1,4 1,15 14253   0,17 2423  0,36 6003

90  5 37,5 1,3 1,4 1,15 7064   0,17 1201  0,36 2975

140  4 35,1 1,3 1,4 1,15 10285   0,17 1748  0,36 4332

Итого

11689

9351

22679

11240

16365


.4 Определение прочих статей переменных затрат на единицу продукции

Затраты на эксплуатацию оборудования определяется по формуле:

Зэкспл. =Тi*Sэ*Кмi, где

Тi - трудоемкость изготовления единицы I - того наименования продукции;э - сметная ставка стоимости 1 часа работы базового оборудования,э=1,8;

Кмi - среднее значение машинно - коэффициента для i - того наименования продукции.

А)100*1,8*1,5=270

Г)80*1,8*1,7=245

Д)200*1,8*1,3=468

Ж)90*1,8*1,6=259

К)140*1,8*1,3=328

При выполнении практического задания принять следующие значения машино - коэффициентов по видам продукции:

Наименование продукции

Значение машино - коэффициентов

А Г Д Ж К

1,5 1,7 1,3 1,6 1,3


Расчеты расходов на содержание и эксплуатацию оборудования, включаемые в себестоимость продукции каждого вида, представить в таблице 5.

Таблица 5 Расчет затрат на содержание и эксплуатацию оборудования, включаемых в себестоимость единицы продукции.

Показатели

Наименование продукции


А

Г

Д

Ж

К

1.Трудоемкость единицы продукции, чел-час. 2.Машино - коэффициент 3.Расходы на содержание и эксплуатацию оборудования, руб.

100  1,5 270

80  1,7 245

200  1,3 468

90  1,6 259

140  1,3 328


Таблица 6 Переменные затраты на единицу продукции.

Статьи затрат

Наименование продукции


А

Г

Д

Ж

К

1. Основные материалы 2. Основная заработная плата производственных рабочих 3. Дополнительная заработная плата 4. Отчисления на социальные нужды 5. Затраты на эксплуатацию оборудования

4824 7346  1249 3094  270

9084 14253  2423 6003  468

8808 7064  1201 2975  259

6438 10285  1748 4332  328

Итого

16783

17342

32231

20307

23131


.5 Определение постоянных расходов на 1-й квартал планового года

К постоянным затратам относятся такие, которые можно для принятых условий планирования считать не зависящими от объема производства (амортизационные отчисления, арендная плата, административные расходы и т.д.).

Амортизационные отчисления определяются по формуле:

А= (Qn * Бс * На) / (12 * 100) * 3, где

Бс - балансовая стоимость единицы оборудования, руб.

Бс=25тыс. руб.;

На - годовая норма амортизации, На=15%

Амортизационные отчисления распределить на себестоимость единицы продукции согласно формуле:

Аi= (А/ (∑ Зоснi * Ni) *Зосн.

∑ Зоснi * Ni=12133530


А) Аi =7346*0,0001=0,7346

Г) Аi=5877*0,0001=0,5877

Д) Аi=14253*0,0001=1,4253

Ж) Аi=7064*0,0001=0,7064

К) Аi=10285*0,0001=1,0258

Таблица 7 Расчет амортизационных отчислений.

Показатели

Наименование продукции


А

Г

Д

Ж

К

1.Программа выпуска 2. Основная заработная плата производственных рабочих, руб. 3.Амортизационные отчисления на единицу продукции

300 7346  0,7346

250 5877  0,5877

200 14253  1,4253

270 7064  0,7064

360 10285  1,0285


Общепроизводственные расходы согласно смете принять в размере 400% к основной заработной плате производственных рабочих, общехозяйственные и коммерческие расходы - 600% соответственно.

Таблица 8 Калькуляция себестоимости продукции на первый квартал планового года.

Затраты

Наименование продукции


А

Г

Д

Ж

К

1.Переменные затраты 2. Постоянные затраты: В т.ч. амортизация общепроизводственные расходы коммерческие расходы

16783 73461  0,7346 29384 44076

17342 58771  0,5877 23508 35262

32231 142531  1,4253 57012 85518

20307 70641  0,7064 28256 42384

23131 102851  1,0258 41140 61710

Итого

90244

76113

174762

90948

125982


.6 Определение критического объема продаж по всем позициям плановой номенклатуры

Расчетные цены по видам продукции принять исходя из следующей их рентабельности:

А-15%

Г-5%

Д -25%

Ж-22%

К-13%

Цi=, где

- полная себестоимость I - того вида продукции;

А) Цi=

Г) Цi=

Д) Цi=

Ж) Цi=

К) Цi=

Критическим называют объем производства в единице товара, при реализации которым окупятся постоянные и переменные затраты, после чего каждая последующая проданная единица товара будет приносить прибыль. Критический объем продаж определяется по формуле:

 = , где

Зпост. i* Ni - постоянные затраты в расчете на весь выпуск I - того наименования продукции, руб.;

Зпер. i - переменные затраты в расчете на единицу i - того наименования продукции, руб.

А) =

Г) =

Д) =

Ж) =

К) =

Под порогом рентабельности понимается такая выручка от реализации, при которой предприятие имеет нулевую прибыль. Порог рентабельности определяется по формуле:

=, где

- выручка, равная порогу рентабельности;

 - относительный результат реализации:


Разность между достигнутой выручкой от реализации и порогом рентабельности определяет запас финансовой прочности предприятия.

Заключение

Калькуляция служит основой для определения средних издержек производства и установления себестоимости продукции. По калькуляционным статьям группируются расходы, однородные по их функциональной роли в воспроизводственном процессе.

В современном производстве калькуляция содержит следующие типовые статьи затрат: материальные затраты (сырье и материалы; возвратные отходы (вычитаются); покупные комплектующие изделия, полуфабрикаты и услуги сторонних организаций, топливо и энергия на технологические цели; производственные расходы (основная и дополнительная заработная плата производственных рабочих; отчисления на социальное страхование; расходы на подготовку и освоение производства новых изделий; изготовление инструментов и приспособлений целевого назначения; расходы на содержание и эксплуатацию оборудования, потери от брака; прочие производственные расходы); общехозяйственные расходы; внепроизводственные расходы.

Список литературы

1. Авдокушин, Е.Ф. Международные экономические отношения: Учебное пособие. - М.: 2012

. Экономика организации (предприятий): Учебник для вузов. Под ред. проф.В.Я. Горфинкеля, проф.В.А. Швандира. - М.: ЮНИТИ-ДАНА, 2008

. Гурова, И.П. Мировая экономика: учебник. / И.П. Гурова. - М.: Омега-Л, 2007.

. Выварец А.Д. Экономика предприятия: учебник для студентов вузов. - М.: ЮНИТИ-ДАНА, 2014.

. Кудров В.М. Национальная экономика России: Учебник. - 2-е изд. испр. и доп. - М.: Дело, 2007.

Похожие работы на - Калькуляция затрат на производство и реализацию продукции

 

Не нашли материал для своей работы?
Поможем написать уникальную работу
Без плагиата!
Без нейросетей!