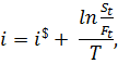
Финансовая интеграция развитых стран
Введение
С каждым годом процесс глобализации во всех
сферах жизни общества растет все более быстрыми темпами, в особенности это
касается интеграции мировой экономики. Отличительной чертой экономической
глобализации является бурное развитие финансовых рынков и выделение финансовой
сферы в самодостаточный сектор экономики, приносящий существенную долю ВВП во
многих странах. В связи с этим возникает множество вопросов для исследования:
каковы положительные и отрицательные стороны финансовой глобализации, как измерить
степень интеграции финансовых рынков, можно ли предсказать, как отразятся
экономические шоки одной страны на других странах и т.д.
Основной целью данной работы является анализ
степени финансовой интеграции и свободы движения капитала в США, Германии,
Республике Корее и Китае, а также построение глобальной кривой доходности и
проверка гипотезы о том, что в случае высокой степени интеграции параметры этой
кривой должны быть определенным образом взаимосвязаны с некоторыми
макроэкономическими показателями.
Настоящая работа построена следующим образом. В
первой главе приводится обзор подходов к изучению интеграции на финансовых
рынках на примере различных исследований. Во второй главе представлены
результаты построения кривых доходностей, а также проводится анализ спредов -
отклонений процентных ставок от предписываемых непокрытым процентным паритетом.
И, наконец, в третьей главе двумя способами строится глобальная кривая
доходности, ее параметры (константа и коэффициент наклона) проверяются на
взаимосвязь с показателями темпов инфляции и экономической активности, а также
идиосинкратические компонентны динамики кривых проверяются на белошумность. И в
заключении делаются выводы по полученным результатам.
Глава 1. Обзор методов изучения взаимосвязей на
финансовых рынках
капитал доходность
кривая процентный
Существует огромное количество подходов к
выявлению и оценке взаимосвязей на финансовых рынках, в настоящей главе будут
рассмотрены лишь те из них, которые наиболее часто встречаются в литературе.
Самым простым способом поиска взаимосвязей и
взаимозависимостей является элементарный статистический и эконометрический
анализ, который для изучения интеграции на финансовых рынках чаще всего
применяют к процентным ставкам. Это может быть как корреляционный анализ (Henriksenetal.,
2010), так и оценка коинтеграционных соотношений и построение модели коррекции
ошибок (ЕСМ) (Sørensen,
Werner, 2006), либо
использование более простого регрессионного анализа, как, например, в работе Gagnon,
Unferth (1993).Авторы
исследовали квартальные и годовые панельные данные за период с 1978 по 1992 гг.
по реальным процентным ставкам девяти стран, чьи рынки характеризуются
наибольшей степенью открытости: США, Канада, Великобритания, Германия, Бельгия,
Дания, Нидерланды, Швейцария и Япония. Реальные процентные ставки определялись
как разница между номинальными ставками по депозитным сертификатам в предыдущем
периоде и инфляцией текущего периода, измеренной с помощью индексов
потребительских цен. Проведя расширенный тест Дики-Фуллера, авторы заключили,
что для семи из девяти стран временные ряды реальных процентных ставок являются
стационарными. Далее было введено понятие «мировой ставки» как среднего
арифметического ставок рассматриваемых стран в каждый момент времени.
Корреляционный анализ показал, что реальные ставки стран довольно сильно
связаны с «мировой ставкой» (коэффициенты корреляции принимают значения от 0,5
до 0,95). Авторы оценили регрессию следующего вида:
,
где
-
реальная ставка страны i
на момент t,
-
фиксированный эффект, одинаковый для всех стран и периодов времени,
-
идиосинкратический страновой эффект (другими словами - страновая премия за
риск), а
-
временной эффект. На годовых данных модель обладает достаточно большой
предсказательной силой и описывает значительную долю вариации процентных
ставок, в то время как на квартальных данных результаты несколько хуже в силу
того, что они более шумные. Автокорреляционный анализ показал, что большая
часть автокорреляции регрессанта, т.е. самой процентной ставки в стране i,
может быть объяснена общей «мировой ставкой» практически для всех стран.
Главным исключением из этого правила является США. Данный факт авторы объясняют
тем, что в рассматриваемый промежуток времени США были в меньшей степени
интегрированы в мировую торговлю, чем другие анализируемые страны. В частности,
в 1985 г. соотношение суммы экспорта и импорта к ВВП было самым низким для США
среди заданной группы стран. В заключении для шести из девяти стран авторы
провели анализ более длинных временных рядов (с 1967 года) с разбиением
временного отрезка на две подвыборки длиной по 13 лет. Согласно полученным
результатам, можно заключить, что степень финансовой интеграции выросла (во
второй подвыборке «мировая ставка» описывала большую долю вариации страновых
ставок, чем в первой).
В основе большого числа исследований о
взаимосвязях на финансовых рынках лежат макроэкономические теории паритетов
покупательной способности и процентных ставок - непокрытый (будет подробно
рассмотрен в следующей главе) и покрытый паритет. Несмотря на то, что огромное
количество исследований свидетельствуют о том, что непокрытый паритет не
соблюдается, и исследуют причины этого феномена (Alvarezetal.,
2006; Sarno, 2005; Verdelhan,
2010), данное макроэкономическое соотношение очень часто используется при
анализе финансовой интеграции в той или иной степени. Например, AlAwad,
Goodwin(1988) рассуждают
следующим образом. С открытием рынков капитала национальные реальные процентные
ставки должны быть привязаны к «мировой ставке», определяемой на мировом
кредитном рынке. Так как его объем значительно превосходит национальный
кредитный рынок любой страны, государства сталкиваются с ограничениями при
проведении независимой экономической политики, особенно монетарной. Авторы
исследовали краткосрочные и долгосрочные связи между реальными ставками стран
Большой десятки. Были использованы недельные данные по трехмесячным и
двенадцатимесячным ставкам по облигациям десяти развитых стран за период с 1976
по 1994 гг. В качестве теоретической основы авторы выбрали непокрытый паритет
процентных ставок и паритет покупательной способности (если они оба выполнены,
имеет место так называемый паритет реальных ставок). Гипотезы о взаимосвязи
между ставками разных стран проверялись с помощью тестов на коинтеграцию и
причинность по Грейнджеру, также использовался “impulse-response”
анализ. “Impulse-response”
анализ позволяет определить, как шоки экзогенных переменных (в данном случае
экзогенными факторами для реальных ставок выступают номинальные ставки и
ожидаемая инфляция) влияют на связи между реальными ставками разных стран. Если
переменные коинтегрированы, то экзогенные шоки не исчезнут в долгосрочном
периоде, а приведут систему к новому равновесию. Проведя тесты, авторы получили
следующие результаты: тесты на коинтеграцию причинность по Грейнджеру
подтвердили наличие долгосрочной и краткосрочной связи между ставками; “impulse-response”
анализ показал, что наибольшее влияние на ставки других стран оказывают шоки
номинальных ставок и ожидаемой инфляции (и, как следствие, реальных ставок) в
США; гипотеза о паритете реальных ставок была отвергнута (т.е. ставки связаны,
но не равны между собой).
Более сложными являются подходы, где проводится
анализ динамики ставок изнутри, с выделением общей для нескольких рынков
компонентой и специфической для конкретного рынка составляющей. В частности,
висследовании Dungeyetal
(2000) авторы проводят декомпозицию спреда ставок (разницы между ставкой в
данной стране и соответствующей ставкой в США) на несколько факторов. Выделяют
три группы таких ненаблюдаемых факторов: “World
factor” (изменяется под
действием каких-то событий в мире, которые, пусть и по-разному, влияют на
ставки во всех странах), “Numeraire
factor” (находится под
влиянием изменений, происходящих с базовой валютой, одинаково влияет на ставки
в разных странах), специфические внутристрановые факторы (идиосинкратические).
Авторы использовали недельные данные по 10-летним облигациям Австралии, Японии,
Германии, Великобритании и США с 1991 по 1999 гг. и предположили, что спреды
задаются процессом АR(2) с
добавлением процесса для дисперсии в виде GARCH(1,1).
Опираясь на покрытый процентный паритет, авторы утверждают, что шоки спредов
зависят от тех же факторов, что и подвижки в валютных курсах. Последние, в свою
очередь, представимы в виде линейной комбинации (с неотрицательными
коэффициентами) трех описанных выше групп факторов, для которых также задаются
процессы АR(1) и GARCH(1,1).
Полученную систему уравнений оценивают с помощью метода симуляций и с помощью
механизма, предложенного Gourieroux
(1997), проводят факторную декомпозицию спредов, что позволяет оценить вклад
каждого из трех типов факторов в спреды различных стран в течение
рассматриваемого промежутка времени. Согласно полученным результатам,
австралийский спред больше, чем спреды других анализируемых стран, находился
под влиянием «мирового фактора» (97% дисперсии; для Германии, Канады, Британии
- 88%, 90%, 89% соответственно), а для Японии наибольшее по сравнению с
остальными странами значение(46% дисперсии) имели идиосинкратические факторы.
Авторы также показали, что использование факторной модели позволяет снизить
риск по сравнению с портфелем с равными долями при одинаковой ожидаемой
доходности.
До настоящего момента были рассмотрены подходы,
позволяющие анализировать взаимосвязи на финансовых рынках через призму
процентных ставок одного типа и на один срок (чаще всего это ставки на короткие
сроки, до года). Есть, однако, ряд работ, где анализируется не одна ставка, а
вся временная структура, что позволяет свести в одну систему не только текущее
или краткосрочное состояние рынков, но и ожидания агентов относительно
долгосрочных перспектив экономической динамики в целом и состояния финансовых
рынков в частности.В работе Dieboldetal.
(2008)авторы предлагают метод, позволяющий оценить финансовую интеграцию стран
с помощью кривых доходностей. За основу был взят подход к моделированию кривой
бескупонной доходности Нельсона-Зигеля, упрощенный до двух оцениваемых
параметров и дополненный учетом их динамики с помощью метода, предложенного Diebold,
Li (2006), в основе
которого лежит предположение о том, что динамика коэффициентов представима в
виде векторной авторегрессии. Также была сделана предпосылка о том, что помимо
индивидуальных кривых существует также и глобальная (мировая) кривая, которая
также представима в форме кривой Нельсона-Зигеля. При этом предполагалось, что
параметры индивидуальных кривыхлинейно зависят от соответствующих параметров
глобальной кривой. Авторы использовали месячные данные по облигациям за период
с 1985 по 2005 г. для США, Германии, Японии и Великобритании. На первом этапе с
помощью метода наименьших квадратов были оценены индивидуальные кривые для
анализируемых стран, затем были извлечены неявные значения параметров
глобальной кривой с помощью сэмплирования по Гиббсу и фильтра Калмана.
Полученные ряды значений для константы и наклона глобальной кривой были
сопоставлены с рядом макроэкономических индикаторов.Авторы пришли к выводу о
том, что динамика константы мировой кривой очень схожа с динамикой инфляции
стран большой семерки (корреляция 0,75), а подвижки в параметре наклона
сопоставимы с изменениями в показателе деловой активности (корреляция 0,27).
Также, согласно результатам исследования, наибольшую зависимость от параметров
глобальной кривой демонстрирует кривая доходности Германии, а динамика японской
кривой, напротив, в большей степени описывается идиосинкратическим фактором. В
заключении авторы провели анализ динамики интеграции финансовых рынков, разбив
исходную выборку на две подвыборки: до и после 1995 г. Результаты показали, что
степень глобализации со временем возросла: во второй подвыборке параметры
индивидуальных кривых в среднем в большей степени зависят от соответствующих
параметров глобальной кривой, чем в первой подвыборке, т.е. в более раннем
периоде. Интересным также является тот факт, что до 1995 г. параметры кривых
всех стран, кроме Германии, тем больше зависели от параметров кривой, чем
больше был срок до погашения, а после 1995 для всех стран, кроме
Великобритании, наблюдалась прямо противоположная зависимость.
Еще одним подходом к анализу взаимосвязей на
финансовых рынках является модель International
CAPM (ICAPM).
ICAPM представляет собой
расширение стандартной САРМ-модели, которое позволяет учесть валютный риск.
ПервымданныйподходпредложилSolnik
(1974). Помимо стандартных предпосылок о совершенстве рынка, принимаются также
предпосылки о том, что между странами не существует барьеров для перемещения
потоков капитала, что у инвесторов одинаковые ожидания относительно изменения
валютных курсов и распределения доходностей активов (акций и облигаций). Автор выводит
два соотношения: для рынка акций и для рынка облигаций. Соотношение для рынка
акций имеет вид
, где
-
премия за риск акции по сравнению с внутристрановой безрисковой доходностью,
-
мировая премия за риск (в
и
входят
все
и
с
определенными весами),
- ковариация
доходности актива i с
доходностью всего мирового рынка,
-
дисперсия доходности мирового рынка. Таким образом, данное соотношение имеет
существенные отличия от стандартной САРМ: во-первых, систематический риск
выходит за рамки одной страны, т.к. в бета-коэффициенте учитывается ковариация
с мировым рыночным портфелем, а не внутристрановым, во-вторых, ставки
и
в
общем случае различны. Интересентакжеивыводпаритетного
соотношениядляпроцентныхставок, которое имеет следующий вид:
,
где
и
-
ставки страны i и страны n,
-
ожидаемое изменение валютного курса стран,
-
средневзвешенная мировая ставка,
, где
- ковариация изменения валютного курса страны i
по отношению к некоторой базовой валюте и изменения валютного курса страны j
по отношению к базовой валюте,
- веса, которые
определяются как отношение чистых инвестиций в страну к мировому объему инвестиций,
.Полученное
соотношение является аргументом против теории непокрытого процентного паритета,
согласно которому разница в ставках двух стран должна быть равна ожидаемому
изменению валютного курса. Согласно выводам данной модели, в чистом виде
паритет не соблюдается (будет иметь место только в случае, если объем чистых
инвестиций каждой страны равен нулю), следовательно, форвардный валютный курс
является смещенной оценкой будущего валютного курса. При этом направление
смещения будет зависеть от того, является ли страна чистым экспортером или
импортером капитала. Если страна, например, чистый импортер капитала, выражение
будет
положительным, тогда форвардный валютный курс будет завышенной оценкой будущего
курса, и наоборот. Также можно отметить, что иностранные инвесторы, стремясь
захеджировать валютный риск по приобретенным акциям, будут занимать короткие
позиции по безрисковым активам страны - облигациям (либо покупать форвардные контракты),
что будет способствовать росту процентной ставки в стране. Т.е., согласно
выведенному соотношению, в странах-импортерах капитала при прочих равных
условиях процентная ставка выше.
Эмпирическое тестирование различных вариаций International
CAPM показывает, что
объясняющая сила модели довольно низкая. Вчастности, Engel(1994)проверил,
насколькохорошоданная модель способна описать динамику доходностей на рынках
США, Германии и Японии. Согласно результатам, САРМ способна описать некоторую
часть дисперсии доходностей, однако сильно уступает моделям, которые позволяют
учесть неоднородность инвесторов в терминах склонности к риску. Также Engel,
Rodriguez (1989) тестировали
IСАРМ для рынков
США, Германии, Великобритании, Франции, Италии и Японии и учли изменчивость
дисперсий, задав для них ARCH-процесс.
Согласно полученным результатам, такая модель с непостоянными во времени
дисперсиями обладает лучшей предказательной силой, чем обычная IСАРМ,
но в то же время дает худшие результаты, чем другие модели ценообразования
активов. Таким образом, модель IСАРМ
является, скорее, теоретической, поэтому на практике ее не используют для
оценки взаимосвязей на финансовых рынках в современных исследованиях.
В данной работе, в отличие от большинства
исследований, предметом анализа явлются взаимосвязи не между отдельными
ставками, а между целыми временными структурами различных стран, что позволит
учесть видение игроками долгосрочных перспектив экономики. Анализ спредов,
представленный в главе 2, тоже проводился для кривых доходностей, а не для
одной-двух ставок, как это делается в большей части работ, посвященных данной
теме. Также, в отличие от исследования Dieboldetal.
(2008) используемые для анализа кривые доходности были очищены от эффектов,
связанных с динамикой валютных курсов, а также оценивались их полная, а не
усеченная форма, как было сделано авторами.При этом в настоящем исследовании
процентные ставки для моделирования кривых были оценены по одной и той же
методике для всех рынков, что позволило избежать разного рода погрешностей.
Глава 2. Построение кривых доходностей и анализ
спредов
Первоначально на предмет наличия взаимосвязей в
динамике кривых доходностей рассматривались шесть стран: США, Великобритания,
Германия, Китай, Россия и Республика Корея. Выбор стран был обусловлен
следующими соображениями. США, Великобритания и Германия, номинирующие основную
часть облигаций в долларах, евро и фунтах стерлинга соответственно, были
выбраны как развитые страны, валюты которых являются ключевыми не только для
них самих, но и для многих других развитых и развивающихся стран. Китай
интересен, в первую очередь, тем, что является смешанной экономикой с весьма
существенной долей государственного регулирования, гораздо более значительной,
чем в упомянутых выше развитых странах. Данная особенность, естественно, не
может не сказываться на рынке облигаций. Россия и Корея относятся к
развивающимсястранам, причем по основным экономическим показателям, в т.ч. по
уровню развития финансовых рынков, Корею некоторые организации уже относят к
развитым странам, в то время как Россия все еще числится в списке
развивающихся.
Существует несколько подходов к моделированию
кривой доходности по котировкам облигаций. Самый простой из них - процедура
бутстрэппинга (Nawalkha
et al.,
2005) - предполагает последовательное извлечение спот-ставок более длинных
бумаг из уже имеющихся или найденных в предыдущих итерациях ставок более
коротких бумаг. Графически результат будет иметь вид разрывной кривой.
Достоинством данного метода является его относительная простота, однако для его
применения необходима достаточная полнота рынка, чтобы существовали бумаги с
частыми последовательными датами погашения. Чем менее полным является рынок,
тем более приближенной будет оцененная с помощью бутстрэппинга временная структура
процентных ставок. Наиболее часто используемыми являются более сложные
параметрические и сплайновые методы. Чтобы получить точную и гладкую кривую, на
практике пользуются рядом методов, которые можно разделить на две группы -
сплайновые и параметрические. Сплайновый метод (Bolder,
Gusba2002) предполагает
разделение области определения на интервалы, на каждом из которых задается
индивидуальное уравнение (обычно через полиномиальные или экспоненциальные
функции) для кривой доходности. Метод сплайнов дает очень высокую степень
подгонки, однако весьма чувствителен к шуму в данных. При этом кривые зачастую
могут получаться неестественной формы и не обладать достаточной гладкостью.
Параметрический подход предполагает
существование единственной кривой, которую можно построить с помощью рыночных
данных, делая предпосылку о существовании определенной функциональной
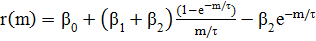
зависимости. Наиболее распространенными являются методы, описанные Nelson,
Siegel (1987) и Svensson
(1994) г.
Нельсон и Зигель задались целью построить
достаточно простую модель, не перегруженную различными параметрами, но такую,
которая достаточно хорошо могла бы описать различные виды зависимости
доходности от срока до погашения (монотонные, «горбатые», S-образные
кривые). Авторы основываются на предпосылке о том, что зависимость форвардных
ставок от срока до погашения является решением однородного дифференциального
уравнения второго порядка с единственным корнем характеристического уравнения.
Далее для нахождения спот-ставки проводится процедура интегрирования.
Полученная зависимость имеет вид:
,
где
и
-
параметры, а m - срок до
погашения. Как было показано авторами, описываемая таким уравнением кривая
доходности может принимать самые различные формы. Далее авторы оценили
уравнение зависимости на реальных данных о ценах казначейских векселей с
различными сроками до погашения, не превышающими одного года. Результаты
показали, что выработанный подход достаточно хорошо описывает данные, дает
гладкую, но, возможно, не слишком точную кривую.
Еще один весьма распространенный метод был
описан шведским экономистом Свенссоном в 1994 г. Автор базировался на подходе
Нельсона и Зигеля, но задался целью сделать кривую чуть более точной. Для этого
в уравнение был добавлен еще один член, и зависимость приняла следующий вид:
При сравнении двух подходов к моделированию
кривых бескупонной доходности на рынке ценных бумаг Швеции автор пришел к
выводу, что его метод превосходит метод Нельсона-Зигеля, поскольку позволяет
описать более широкий круг различных форм кривых и обладает более высокой
степенью подгонки.
Для целей данной работы был использован
параметрический метод, поскольку он дает достаточно гладкую кривую, что
позволит нивелировать шумы в данных. Также для анализа важны будут параметры
кривой для их сопоставления с динамикой макроэкономических показателей. Из
параметрических подходов предпочтение было отдано более часто используемому и
простому методу Нельсона-Зигеля, поскольку восстановленные таким методом кривые
будут более гладкими, а также для анализа взаимосвязей с макроэкономическими
показателями будут доступны четыре параметра, этого более чем достаточно для решения
поставленных задач, как это показали предыдущие исследования (Dieboldetal.,
2006).
Из базы Bloomberg
были взяты следующие данные по выбранным странам: котировки государственных
облигаций на конец дня, информация о величине купона, срока до погашения,
порядке и частоте купонных выплат, а также котировки спот курсов и
беспоставочных форвардов для следующих пар валют: доллар-евро, доллар-фунт
стерлинга, доллар-рубль, доллар-китайский юань и доллар-корейская вона за
период с января 1997 по декабрь 2008 года. Для США рассматривались казначейские
векселя сроком до года (Treasury
bills) и казначейские
облигации (Treasurynotes),
для Германии - бескупонные векселя (Bubills)
и облигации категорийBundesanleihen
(со сроком до погашения от 10 лет), Bundesobligation
(пятилетние)и Bundesschatzanweisungen
(двух- и четырехлетние), для Великобритании - казначейские векселя (UK
Treasury
bills) и облигации (UK
Gilts). Для российского
и корейского рынков имелись данные по очень малому числу государственных облигаций,
поэтому в анализ были также включены муниципальные облигации.Рынок Китая весьма
специфичен, помимо непосредственно государственных облигаций статус
высоконадежных бумаг имеют также ряд облигаций, выпускаемых ключевыми
(политическими) банками страны. Такие банки находятся в собственности
государства, при этом ликвидность их облигаций существенно выше, чем
ликвидность государственных ценных бумаг (Афонина, Ван Цзян, Лапшин, 2013). В
связи с этим в анализ были включены облигации, выпущенные Китайским банком
развития (China
Development
Bank),Экспортно-импортным
банком Китая (The
Export-Import
Bank of
China), Банком
сельскохозяйственного развития Китая (The
Agricultural
Development
bank of
China), а также
облигации Центрального Банка, выпущенные Народным Китайским Банком (People's
Bank of
China).
Из рассмотрения были исключены облигации со
сроком до погашения менее трех месяцев и более 10 лет, а также облигации с
плавающим купоном, отзывные облигации и облигации с низкой ликвидностью.
Минимальное число точек, необходимое для построения кривой бескупонной
доходности с использованием подхода Нельсона-Зигеля было установлено равным
семи. Первичный анализ показал, что данных по российскому рынку облигаций не
достаточно для того, чтобы построить ряд кривых доходностей за достаточно
продолжительный временной период, в связи с чем пришлось исключить из анализа
рынок российских облигаций.
Для оставшихся пяти стран по данным на каждый
вторник, начиная с 01.01.1997 года, были построены недельные кривые бескупонной
доходности за доступный период времени. Уравнения кривых формально можно
записать в следующем виде:
, где
- срок до
погашения,
- индекс соответствующей
страны,
-
коэффициенты уравнения кривой: константа, коэффициент наклона (убывающая
функция от
) и коэффициент
изогнутости (curvature)
(вогнутая функция от
),
параметр,
характеризующий скорость приближения регрессоров к нулю (чем меньше
,
тем быстрее регрессоры сходятся к нулю),
-номер периода, к
которому относится наблюдаемая кривая.
Чтобы построить ряд кривых, необходимо, чтобы в
каждый момент времени
имелось не менее
семи котировок облигаций. Для хорошо развитых и высоколиквидных рынков США,
Великобритании и Германии это условие соблюдается для всех
в
рассматриваемый промежуток с января 1997 по декабрь 2008 года. Для менее
ликвидного корейского рынка построение непрерывного ряда кривых по имеющимся
данным возможно с февраля 2002 года, а для китайского - с июля 2004 года. На
приведенных ниже графиках представлены получившиеся ряды кривых доходностей для
пяти стран. По вертикальной оси откладываются сами доходности, по левой
горизонтальной - срок до погашения в месяцах, а даты, на которые были построены
кривые расположены на правой горизонтальной оси.
Из графиков видно, что рынки США, Великобритании
и Германии являются наиболее ликвидными и наименее волатильными из
рассмотренных пяти рынков, динамика кривых доходностей достаточно плавная. Ту
же характеристику динамики кривых можно наблюдать и на китайском рынке
облигаций. Однако кривые доходности Кореи зачастую очень сильно меняют форму,
что может быть свидетельством высокой волатильности рынка или низкого качества
данных. Следует отметить, что из рассмотренных пяти стран Корея находится на
последнем месте по доле дней, где количество точек для построения кривой
превышает десять.
Что касается связи динамики кривых разных стран,
предварительный графический анализ может дать только примерное представление о
том, есть ли сходства в динамике констант. Можно заметить, что в изменении
уровней кривых США, Великобритании и Германии действительно есть некоторое сходство,
в то время как динамика китайской кривой бескупонной доходности несколько иная.
На следующем этапе исследования полученные
кривые были скорректированы с учетом того, какие значения должна принимать
доходность с учетом покрытого паритета процентных ставок, и вычислены спреды -
разница между ставкой, которая должна иметь место согласно паритету и ставкой,
реально наблюдаемой на рынке. Уравнение паритета
в непрерывном начислении имеет следующий вид:
где
-
ставка процента внутри страны,
- ставка за
рубежом,
-
текущий валютный курс, а
- форвардный
валютный курсна момент времени
(оба валютных курса
прямые). Таким образом, в случае выполнения паритета, вложение в иностранный
актив со ставкой процента
на срок
лет должно приносить ту же доходность, что и вложение в актив на домашнем
рынкена тот же срок под ставку
.
Выбор соотношения покрытого процентного паритета
не случаен. Как показали Holmes
и Wu(1997) и Holmes(2001),
покрытый паритет процентных ставок является одним из наиболее подходящих
индикаторов степени финансовой взаимосвязи и взаимозависимости стран. Данная
работа ставит своей целью проанализировать степень интеграции финансовых рынков
разных стран, а анализ соответствия процентных ставок паритетным как раз
является одним из подходов к решению подобных задач.
Приняв доллар США за базовую валюту, можно
вычислить значение процентной ставки сроком на
лет
по формуле
и сравнить ее со ставкой, которая реально
наблюдается на рынке, предварительно сгладив получившиеся новые точки методом
Нельсона-Зигеля. На графиках ниже представлены вычисленные таким образом спреды
для Германии, Великобритании, Кореи и Китая, а также среднее (по модулю)
значение спреда за рассматриваемый период в зависимости от срока до погашения.
Из графиков видно, что на практике полное
соблюдение паритета не имеет место ни в одной стране. Небольшие отклонения от
паритета как, например, для ставок на короткие сроки в Великобритании и
Германии, могут объясняться ошибкой измерения либо не способствовать появлению
арбитражных возможностей в силу наличия трансакционных издержек (Frankel,
1992;Branson,1969;
Frenkel and
Levich, 1975, 1977),
которые, согласно исследованиям, могут быть одной из причин отклонения от
паритета, наряду с которой также можно выделить особенности налогообложения (Levi,
1977), политические риски (Aliber,
1973), различия в уровне ликвидности бумагна внутреннем рынке и за рубежом и
риск контрагента (Baba,
Packer, 2009)и, наконец,
несовершенства данных (Taylor,
1989, 1987). Еще одной причиной несоответствия процентных ставок паритетным
могут быть ограничения на движение капитала (Dooley,
Isard, 1980; Otani,
Tiwari, 1981; Ito,
1987). С этой точки зрения важность анализа спредов заключается в том, что он
дает возможность понять, насколько сильно вмешательство внутренних регуляторов
и их влияние на динамику кривых доходностей. Логично предположить, что
интеграция каждой конкретной страны тем выше, чем меньше ограничений
накладывается регуляторами на потоки капитала. Как видно из представленных
графиков, на немецком и британском рынках движение капитала наиболее свободное,
спреды имеют наименьшее абсолютное значение (либерализация финансовых рынков
Великобритании была проведена еще в 1979 году, Германия сняла последние
ограничения на покупку своих облигаций нерезидентами в 1980 году).Здесь стоит
также упомянуть макроэкономическую концепцию impossibletrinity,
согласно которой страна не может одновременно иметь фиксированный валютный
курс, независимую монетарную политику и свободное движение капитала, иметь
место могут только любые два из этих условий. Германия и Великобритания
относятся к тем странам, которые имеют плавающий валютный курс, что делает
возможным свободное движение капитала и проведение независимой монетарной
политики. Интересен также тот факт, что на длинных сроках спреды отличны от
нуля и положительны. Это может говорить о том, что в условиях неопределенности,
присущей долгосрочной перспективе, рынок ожидал удешевление (возможно,
неоправданносильное) евро и фунта стерлинга относительно доллара США. Причиной
тому может быть статус доллара как мировой валюты, а американских облигаций как
наиболее ликвидных и наименее рисковых, а также тот факт, что экономика
еврозоны, в особенности Германии и Франции, в рассматриваемый период времени
росла очень быстрыми темпами. Вследствие этого в долгосрочной перспективе рынок
мог ожидать, что экономика еврозоны пойдет на посадку, что означало удешевление
евро по отношению к доллару.
Достаточно существенные отклонения ставок от
паритетных наблюдаются для корейской воны, что, на наш взгляд, может быть
связано с низким качеством данных (корейская кривая бескупонной доходности
имеет наиболее волатильную из всех стран динамику даже в исходном виде), а
также с тем, что движение капитала между корейским рынком и внешним миром
регулируется в большей степени, чем в рассмотренных европейских странах (Noland,
2007).
В Китае же ситуация кардинально отличается. Из
графиков видно, что спреды крайне волатильны и их размах очень велик. Динамику
спредов как раз можно объяснить, используя концепцию impossibletrinity.Для
начала следует отметить, что до 2005 года рынок китайского юаня
характеризовался низкой степенью ликвидности (Chen,
2012). До июля 2005 года в Китае поддерживался режим фиксированного валютного
курса с целью не допустить чрезмерного удорожания валюты, что ударило бы по
экспортерам. Соответственно, имея возможность проводить независимую денежную
политику, достичь свободного движения капитала невозможно. На графике китайских
спредов можно отчетливо увидеть, что до июля 2005 года имели место значительные
отклонения от паритета, причем реальная ставка, наблюдаемая на рынке, больше,
чем вмененная паритетом. Это может быть связано, с одной стороны, с тем, что
облигации на китайском рынке обращаются несвободно, значит, смещение может быть
в реальной ставке. С другой стороны, принимая во внимание поддержку
фиксированного валютного курса, можно предположить, что из-за стремления
удерживать юань дешевым по отношению к доллару и, таким образом, искусственно
занижать курс, значение выражения
будет
падать, и соответствующая паритетному соотношению ставка также будет снижаться.
С июля 2005 года динамика и форма спредов весьма схожа с наблюдаемыми на рынках
Германии и Великобритании, где практически отсутствуют ограничения на движение
капитала. Безусловно, нельзя утверждать, что в этот период времени не было
ограничений на движение капитала и в Китае, однако, как следует из анализа
спредов, ограничения оказывали наименьшее влияние на соотношение реальных и
паритетных ставок.Однако с сентября 2006 года страна хотя и не вернулась к фиксированному
курсу, но ввела достаточно существенные ограничения для его допустимых
значений, а в октябре 2006 года Государственным управлением валютного контроля
(State Administration
of Foreign
Exchange -SAFE)
был издан декрет, ограничивающий деятельность крупных китайских корпораций на
рынке беспоставочных форвардов (Pengetal.,
2007). Все это снова наложило отпечаток на характер спредов. На представленном
ниже графике изображены средние абсолютные значения спредов за два периода: с
июля 2005 по август 2006 года, когда регулирование меньше всего влияло на
величину спредов, и с сентября 2006 по октябрь 2007 года, когда влияние было
наибольшим.
Также можно отметить, что для всех стран, кроме
Китая (что снова может быть связано с эффектами регулирования), абсолютные
значения спредов растут с ростом срока до погашения. Это, с одной стороны,
противоречит результатам исследования Popper
(1993), где было показано, что ставки на короткие и длинные сроки в одинаковой
степени отклоняются от соотношения паритета. С другой стороны, согласно более
новым исследованиям (Fletcher,
Taylor, 1996; McBrady
2002, 2005), отклонение ставок от предполагаемых паритетом возрастает с
увеличением срока до погашения.В особенности это касается государственных
облигаций, обращающихся на внутреннем рынке, доходности которых гораздо чаще
отклоняются от предписываемых паритетом, по сравнению с еврооблигациями. Также
было показано, что покрытый паритет реже соблюдается для облигаций в целом, чем
например, для ставок LIBOR.
Отдельно стоит рассмотреть кризисный период с
августа 2007 года. Спреды для всех валют (снова за исключением юаня) наиболее
волатильны именно в это время, в особенности с сентября 2008 года, после
банкротства LehmanBrothers,
и имеют стабильно отрицательный знак. Отрицательный спред означает, что с точки
зрения арбитражеров оптимальной была бы следующая стратегия: занять длинную
позицию по форварду, занять доллары США, купить на них другую валюту, получить
процент и по прошествии установленного срока исполнить форвардный контракт и
вернуть доллары. Однако этого не происходило в силу того, что предложение
долларов американскими финансовыми институтами резко сократилось (Babaetal.,
2009), а также по причине роста риска контрагента, который стал значимым
фактором после банкротства LehmanBrothers
(Coffeyetal., 2009; Huietal.,
2009). И действительно, если рассмотреть динамику спредов, например, евро, то
можно увидеть, как с августа 2007 года их волатильность растет, ситуация
несколько стабилизируется приблизительно с декабря 2007 года, когда ФРС было
объявлено об открытии временных своп-линий с ведущими Центробанками, а с
августа 2008 года снова наблюдаются более существенные отклонения от паритета.
Рост спредов китайских ставок в кризисный период,
скорее всего, объясняется тем, что с сентября 2008 года Китай проводил
стимулирующую монетарную политику, снижая кредитные ставки и норму
обязательного резервирования (к 2010 году ставки снизились в 5 раз по сравнению
с 2008 (Chen, 2012).
Таким образом, исходя из проведенного выше
анализа спредов, можно заключить, что рынки Великобритании и Германии
характеризуются наиболее свободным движением капитала из рассмотренных стран, в
то время как некоторые ограничения на мобильность капитала вызывают значительные
отклонения от паритета на корейском рынке, а жесткий контроль деятельности
организаций на китайском финансовом рынке приводит к частым и весьма
существенным отклонением от паритетного соотношения. Последний факт является
индикатором того, что Китай является страной, которая наименее интегрирована в
общую финансовую систему из всех рассмотренных стран.
Глава 3. Построение и анализ глобальной кривой
доходности
В работах Ang,
Piazzesi (2003) и Diebold
et al.
(2006) было показано, что существует взаимосвязь между коэффициентами страновых
кривых доходности и макроэкономическими показателями: согласно результатам
исследования динамика константы кривой коррелирует с динамикой инфляции, а
коэффициент наклона связан с показателем деловой активности. В связи с этим
будет интересно проверить, будет ли этот вывод подтвержден и на анализируемых
данных.В заключительной части данной работы было проведено разделение динамики
кривых доходности на глобальную и идиосинкратическую составляющие, а также
анализ взаимосвязи динамики параметров кривых и макроэкономических показателей.
Dieboldetal. (2008) решают
похожую задачу, используя процедуру сэмплирования по Гиббсу. В представленной
работе в основе анализа будет лежать метод главных компонент, таким образом,
можно будет проверить, можно ли для решения данной задачи использовать более
простой метод и даст ли он схожие с полученными более сложным методом
результаты.
На первом этапе исходные кривые доходности были
приведены к «общему знаменателю»с помощью соотношения покрытого паритета
процентных ставок для того, чтобы очистить динамику кривых от эффектов,
связанных с флуктуациями валютных курсов. Чтобы иметь возможность анализировать
совместную динамику кривых, необходимо рассматривать их на сопоставимых
промежутках времени, поэтому все вычисления производились на данных с 27 июля
2004 года по 23 декабря 2008 года, что дает 231 момент времени, для каждого из
которых строятся кривые доходности. На графиках ниже представлены приведенные
кривые для Великобритании, Германии, Китая и Кореи и исходная для США.
Исходя из вида данных кривых, можно заключить,
что существенная доля флуктуаций кривых доходности связана с изменениями
валютных курсов. Также можно отметить явное сходство в динамике кривых
Великобритании, Германии и Кореи.Китайские кривые в силу значительного
вмешательства регуляторов в функционирование финансовых рынков, как было
выявлено при анализе спредов, имеют форму, сильно отличающуюся от исходной.
Поскольку данный факт свидетельствует о том, что степень интеграции китайского
рынка с остальными достаточно низкая, а, значит, включение его в общую систему
может привести к существенным искажениям, анализ проводился как для всех пяти
стран, так и отдельно для четырех стран, исключая Китай.
Далее было проведено извлечение глобальной
составляющей динамики кривых с использованием метода главных компонент.Данную
процедуру можно применить как к параметрам индивидуальных кривых и использовать
первую главную компоненту для каждого параметра для построения общей кривой,
так и к точкам кривых для каждого значения срока до погашения. Первый подход
может дать недостаточно адекватные результаты, что может быть связано с тем,
что метод главных компонент предлагает некоторые веса для каждого вектора
наблюдений, при этом эти веса подбираются таким образом, чтобы минимизировать
сумму квадратов отклонений главной компоненты от исходных векторов и
максимизировать долю дисперсии, объясняемой данной главной компонентой. Таким
образом,поскольку веса постоянны для каждого наблюдения, полученные параметры
общей кривой в ряде случаев могут принимать такие значения, которые в
совокупности дадут неестественную кривую, со слишком высокими и, наоборот,
слишком низкими отрицательными (высокими по модулю), значениями доходностей.
Подобный изъян может иметь место в случае, если оптимизационная процедура
нахождения параметров несовершенна и допускает наличие слишком больших или
малых их значений, что увеличивает их волатильность и создает дополнительные
шумы, которые влияют на результаты вычисления главных компонент. В связи с этим
для получения глобальной кривой метод главных компонент использовался и для
моделирования параметров, и применительно к отдельным точкам индивидуальных
кривых рассматриваемых стран. Было выбрано 22 точки, которым соответствовал
определенный срок до погашения: 3, 4, 5 месяцев и т.д. до 10 лет. Далее для
каждой точки вычислялась первая главная компонента и таким образом
моделировалась вся кривая. В работе будут представлены четыре группы результатов:
с вычислением глобальной кривой по параметрам и по точкам для всех стран, а
также с обоими способами вычисления глобальной кривой для США, Германии,
Великобритании и Кореи.
Как показали в своем исследовании Dieboldetal.
(2008), параметры глобальной кривой (константа и наклон) должны быть
взаимосвязаны с такими макроэкономическими показателями как инфляция и
экономическая активность, поэтому для дальнейшего анализа были выбраны индекс
потребительских цен ииндекс опережающих показателей(Compositeleadingindicator).
Безусловно, наиболее подходящим индикатором экономической активности является
ВВП, однако данные по ВВП доступны только в формате квартальных. Ввиду того,
что временной ряд данных, которым мы располагаем, в пересчете на квартальные
промежутки времени даст всего лишь 14 точек, а проведение дальнейшего анализа
всего на 14-ти точках невозможно, необходимо было найти показатель, который
являлся бы индикатором деловой активности и рассчитывался бы помесячно. Индекс
опережающих показателей разработан на основе ключевых макроэкономических
индикаторов, для того чтобы дать оценку будущей динамике делового цикла, и, как
и следует из названия, опережает реальную динамику экономической активности.Для
рассматриваемых стран корреляция этого показателя и динамики ВВП составляет от
56 до 75%. Чтобы максимально приблизить индекс опережающих показателей к ВВП,
была найдена оптимальная длина лага (4 месяца), которая максимально приближает
динамику выбранного показателя к динамике экономической активности. Корреляции
динамики ВВП и индекса опережающих показателей для рассматриваемых стран теперь
составили от 81 до 89%. Таким образом, использованный для анализа показатель
деловой активности для периода
равнялся значению
индекса опережающих показателей периода
.
Показатели инфляции и деловой активности брались в относительном выражении как
отношение показателя текущего периода к его значению в предыдущем периоде. Для
сопоставления с параметрами глобальной кривой использовалась первая главная
компонента описанных показателей. Также в анализ аналогичным образом были
включены такие макроэкономические индикаторы как индекс промышленного
производства (industrialproductionindex)
и цены на нефть. Итак, перейдем к обзору результатов для четырех случаев.
I. Все страны,
восстановление кривой по параметрам
Первые главные компоненты четырех параметров
кривой объясняют достаточно существенный процент дисперсии (Таблица 1а).
Таблица 1а.
Объясняющая сила первых главных компонент параметров, все страны, % от
дисперсии
|
Параметр
|
|
|
|
|
|
Доля
дисперсии, объясняемая первой главной компонентой
|
62,8%
|
44,6%
|
51,2%
|
47,9%
|
На приведенном ниже графике отображены
полученные константа и коэффициент наклона глобальной кривой (здесь и далее
будем отображать графически только эти два параметра, т.к. они представляют
наибольший интерес для анализа):
Сама кривая, построенная с использованием
глобальных параметров, имеет следующий вид:
Из графика хорошо видно, как общая кривая
немного «проседает» в начале периода наблюдений и гораздо более значимо с
середины 2008 года, а во второй половине совершает резкий скачок вверх. Такая
динамика явно продиктована существенным влиянием волатильной китайской кривой.
Это наблюдение подтверждается и тем фактом, что вес параметров китайских кривых
в параметрах глобальной кривойнаибольший из всех стран. Поскольку Китай пока
еще нельзя назвать доминирующей над остальными экономикой, это может быть еще
одним индикатором того, что подверженный постоянным воздействиям регуляторов
китайский рынок настолько не вписывается в общую финансовую картину мира, что
его не стоит включать в анализ.
На следующем этапе полученные значения параметров
глобальной кривой анализировались на наличие взаимосвязи с выбранными
макроэкономическими показателями. Тесты на наличие единичного корня показали,
что все ряды нестационарны, в связи с чем данные были взяты в разностях, что
позволило устранить потенциально возможную проблему мнимой зависимости (spuriousregression).
Однако в ходе дальнейшего анализа не было выявлено значимой взаимосвязи ни
между константой и инфляцией, ни между коэффициентом наклона и экономической
активностью: при любом разумном уровне значимости гипотеза о том, что
коэффициенты регрессии равны нулю, не была отвергнута. Теоретически, полученный
результат может быть связан с тем, что общая кривая не отражает совместную
динамику макроэкономических показателей, а имеет в основе какие-либо иные
факторы. В таком случае с макроэкономическими индикаторами может быть
взаимосвязана идиосинкратическая составляющая кривой. Чтобы получить ее
характеристики, была вычислена разница между приведенными страновыми кривыми и
глобальной кривой и полученные спреды были сглажены методом Нельсона-Зигеля.
Параметры этих новых кривых в разностях были проверены на белошумность (Таблица
1б).
|
wntestq
|
|
P- value
|
US
|
|
level
|
slope
|
curvature
|
lambda
|
|
0***
|
0.0136**
|
0.3894
|
0.6328
|
|
UK
|
|
level
|
slope
|
curvature
|
lambda
|
|
0***
|
0.0812*
|
0.2995
|
0.1423
|
|
Germany
|
|
level
|
slope
|
curvature
|
lambda
|
|
0.0570*
|
0.0068***
|
0.2715
|
0.1872
|
|
Korea
|
|
level
|
slope
|
curvature
|
lambda
|
|
0.4775
|
0.4317
|
0.8319
|
0.9274
|
|
China
|
|
level
|
slope
|
curvature
|
lambda
|
|
0.1491
|
0.0169**
|
0.9832
|
0.9967
|
Здесь и далее: *** - 1%-ый уровень значимости,
** - 5%-ый, * - 10%-ый.
Согласно проведенному тесту, при 5%-ом уровне
значимости не белым шумом оказались константа и коэффициент наклона для США,
константа для Великобритании и коэффициенты наклона для Германии и Китая.
Однако ни для какого из этих параметров взаимосвязь со страновыми
макроэкономическими показателями не подтвердилась.
II. Все
страны, восстановление кривой по точкам
Для восстановления глобальной кривой по точкам
вычислялась первая главная компонента значения доходности для каждого срока до
погашения. Как видно из Таблицы 2а, данный метод позволяет объяснить от 45 до
68,5% дисперсии значений доходности. При этом доля объясненной вариации
возрастает с ростом срока до погашения, что логично, в силу того, что но более
длинных сроках волатильность обычно ниже.
Таблица 2а.
Объясняющая сила первых главных компонент значений доходности для различных
сроков до погашения, все страны, % от дисперсии
|
Срок до погашения
|
3 мес.
|
4 мес.
|
5 мес.
|
6 мес.
|
7 мес.
|
8 мес.
|
9 мес.
|
10 мес.
|
11 мес.
|
1 год
|
15 мес.
|
|
Доля
дисперсии, объясняемая первой главной компонентой (%)
|
45,1
|
45,0
|
45,2
|
45,7
|
46,3
|
46,8
|
47,1
|
47,5
|
47,9
|
48,2
|
49,1
|
|
Срок до погашения
|
18 мес.
|
21 мес.
|
2 года
|
3 года
|
4 года
|
5 лет
|
6 лет
|
7 лет
|
8 лет
|
9 лет
|
10 лет
|
|
Доля
дисперсии, объясняемая первой главной компонентой (%)
|
49,8
|
50,2
|
50,4
|
49,1
|
49,7
|
54,2
|
58,9
|
62,9
|
65,7
|
67,5
|
68,5
|
Полученная по точкам кривая имеет следующий вид:
Как видно из графика, динамика и форма
глобальной кривой теперь не так сильно подвержена влиянию китайского рынка, а
наоборот, гораздо в большей степени воспроизводит форму и динамику кривых США,
Германии, Великобритании и Кореи. Данный вывод подтверждается и на данных:
наибольший коэффициент в линейной комбинации первых главных компонент имеет
США, а Китай - наименьший (Таблица 2б). Однако теперь достаточно большую долю в
построении главных компонент имеет Корея, что не соотносится с ее экономической
ролью в глобальном контексте и связано с достаточно высокой волатильностью
параметров приведенных корейских кривых.
Таблица 2б.
Среднее значение коэффициентов в линейной комбинации первой главной компоненты,
все страны
|
Страна
|
США
|
Великобритания
|
Германия
|
Корея
|
Китай
|
|
Среднее
значение коэффициента в первой главной компоненте
|
0,66
|
0,33
|
0,39
|
0,42
|
0,32
|
На графике ниже представлены восстановленные по
точкам глобальной кривой константа и коэффициент наклона:
Как и в предыдущем случае, тесты на единичный
корень показали, что ряды параметров кривой нестационарны в исходном виде, но
стационарны в разностях (Приложение 2а). Как и в предыдущем случае не было
выявлено взаимосвязи между коэффициентом наклона глобальной кривой и первой
главной компоненты динамики инфляции рассматриваемых стран. Однако для
коэффициента наклона связь с экономической активностью подтвердилась: при любом
разумном уровне значимости коэффициент при индексе опережающих показателей
отличен от нуля (Приложение 2б). Уравнение взаимозависимости имеет вид (здесь и
далее в скобках указаны стандартные ошибки):

Доля объясненной дисперсии составила 15%.
Далее, по аналогии с предыдущим случаем, были
рассмотрены идиосинкратические компоненты динамики кривых и протестированы на
белошумность (Таблица 2в).
Таблица 2в. P-valueтеста
на белошумность идиосинкратической компоненты, все страны, восстановление
кривой по точкам
|
wntestq
|
|
P- value
|
US
|
|
level
|
slope
|
curvature
|
lambda
|
|
0.012**
|
0.1197
|
0.5377
|
0.8622
|
|
UK
|
|
level
|
slope
|
curvature
|
lambda
|
|
0.0091***
|
0.0103**
|
0.3188
|
0.4336
|
|
Germany
|
|
level
|
slope
|
curvature
|
lambda
|
|
0.0429**
|
0.1639
|
0.3426
|
0.0631
|
|
Korea
|
|
level
|
slope
|
curvature
|
lambda
|
|
0.1766
|
0.2050
|
0.7254
|
0.5283
|
|
China
|
|
level
|
slope
|
curvature
|
lambda
|
|
0.1491
|
0.7147
|
0.0349**
|
0.1095
|
Согласно проведенному тесту, при 5%-ом уровне
значимости не белым шумом оказались константы для США, Великобритании и
Германии, коэффициент наклона британской кривой и коэффициент изогнутости для
Китая (что, скорее всего, случайно). По всей видимости, поскольку связь между
деловым циклом и коэффициентом наклона была выявлена, его идиосинкратическая
компонента оказалась белошумной для четырех из пяти рассмотриваемых стран.
Однако взаимосвязь динамики константы с темпами инфляции не была выявлена и
тест на белошумность дал отрицательный результат для трех развитых стран. Тем
не менее, коэффициенты при темпах инфляции в соответствующих уравнениях
регрессий снова оказались незначимы, тестирование связи с другими
макроэкономическими показателями дало отрицательный результат. Это может быть
связано с тем, что хотя восстановленная по точкам общая кривая очевидно
является лучшей по сравнению с восстановленной по параметрам кривой
аппроксимацией глобальной составляющей динамики страновых кривых, она все же
недостаточно точна. По этой причине и сама кривая (в частности, ее константа) и
спреды, которые вычисляются с ее помощью, в некоторой степени зашумлены, что не
позволило выявить наличие зависимости ни для общей, ни для индивидуальной
компонент.
Поскольку предыдущих случаях были
признаки того, что Китай, возможно, следует исключить из анализа, ниже будут
рассмотрены те же два метода восстановления кривой для системы из четырех стран
- США, Великобритании, Германии и Кореи.
III. США,
Великобритания, Германия и Корея, восстановление кривой по параметрам
По сравнению с ситуацией, рассмотренной в пункте
I, первые главные
компоненты четырех параметров кривой объясняют несколько больший дисперсии
(Таблица 3а).
Таблица 3а.
Объясняющая сила первых главных компонент параметров, без Китая, % от дисперсии
|
Параметр
|
|
|
|
|
|
Доля
дисперсии, объясняемая первой главной компонентой
|
64,4%
|
50,1%
|
59,8%
|
55,3%
|
На приведенном ниже графике представлены
полученные с помощью метода главных компонент константа и коэффициент наклона
глобальной кривой.
Общая для четырех стран кривая, восстановленная
с помощью глобальных параметров, имеет следующий вид:
Исходя из графического анализа, можно заключить,
что глобальная кривая достаточно достоверно отражает общий элемент динамики
индивидуальных кривых, по форме она очень похожа на кривую из пункта II.
Тем не менее, в этом случае при вычислении главных компонент непропорционально
большой (относительно реальной роли в мировой экономике) вес присваивается
Корейской кривой, параметры которой наиболее волатильны. Теоретически, такое
смещение может отрицательно повлиять на итоговый результат, как это было в
предыдущих пунктах. Тем не менее, анализ разностейкоэффициентов и первых главных
компонент инфляции и индекса опережающих показателей (тесты на единичный корень
в Приложении 3а) подтвердил предсказываемые теорией и предыдущими
исследованиями взаимосвязидинамики константы с темпом инфляции, а коэффициента
наклона - с показателем экономической активности. Уравнение для константы
глобальной кривой задается ARMAX-процессом
с процессом GARCH для
дисперсии и имеет вид(Приложение 3б):
Доля объясненной дисперсии в уравнении для
константы составила 70%. Коэффициенты при регрессорах в данном уравнении
отличны от нуля при любом разумном уровне значимости. Уравнение для
коэффициента наклона и показателя деловой активности также подчиняется процессу
ARMAX:

Доля объясненной дисперсии здесь составила 27%.
Однако следует отметить, что коэффициент при показателе деловой активности
значим при 5%-ом уровне, но не значим при 1%-ом (p-value
= 0.0362).
Далее по аналогии с предыдущими пунктами был проведен
тест на белошумность идиосинкратических составляющих динамики кривых (Таблица
3б):
Таблица 3б. P-valueтеста
на белошумность идиосинкратической компоненты, без Китая, восстановление кривой
по параметрам
|
wntestq
|
|
P- value
|
US
|
|
level
|
slope
|
curvature
|
lambda
|
|
0.0283**
|
0.005***
|
0.7942
|
0.8333
|
|
UK
|
|
level
|
slope
|
curvature
|
lambda
|
|
0.0212**
|
0.0911*
|
0.5928
|
0.1287
|
|
Germany
|
|
level
|
slope
|
curvature
|
lambda
|
|
0.1706
|
0.0169**
|
0.7642
|
0.8926
|
|
Korea
|
|
level
|
slope
|
curvature
|
lambda
|
|
0.2803
|
0.5915
|
0.2946
|
0.6325
|
При 5%-ом уровне значимости отличными от
белошумного процессами оказались константа американской и британской кривых и
коэффициентынаклона американской и немецкой. При этом наличие взаимосвязи этих
параметров с какими-либо макроэкономическими переменными не подтвердилось.
Следует также отметить, что в рассматриваемом случае число процессов, не
являющихся белошумными, наименьшее.
IV. США,
Великобритания, Германия и Корея, восстановление кривой по точкам
По сравнению со случаем, когда были рассмотрены
все пять стран, объясняющая сила первых главных компонент значений доходности
значительно возросла и объясняет от 64,6 до 79,5% их дисперсии (Таблица 4а).
Таблица 4а.
Объясняющая сила первых главных компонент значений доходности для различных
сроков до погашения, без Китая, % от дисперсии
|
Срок до погашения
|
3 мес.
|
4 мес.
|
5 мес.
|
6 мес.
|
7 мес.
|
8 мес.
|
9 мес.
|
10 мес.
|
11 мес.
|
1 год
|
15 мес.
|
|
Доля
дисперсии, объясняемая первой главной компонентой (%)
|
64,6
|
66,8
|
68,6
|
70,2
|
71,4
|
72,3
|
73,0
|
73,6
|
74,1
|
74,6
|
75,4
|
18 мес.
|
21 мес.
|
2 года
|
3 года
|
4 года
|
5 лет
|
6 лет
|
7 лет
|
8 лет
|
9 лет
|
10 лет
|
|
Доля
дисперсии, объясняемая первой главной компонентой (%)
|
76,0
|
76,4
|
76,6
|
76,9
|
77,0
|
77,3
|
77,5
|
78,1
|
78,6
|
79,0
|
79,5
|
Восстановленная по точкам глобальная кривая
имеет следующий вид:
Полученная кривая весьма схожа с восстановленной
по параметрам общей кривой из предыдущего пункта, но теперь она в большей
степени отражает динамику британского, немецкого и американского рынков, чем
корейского. Данный вывод подтверждается и результатами вычислений: наибольший
коэффициент в линейной комбинации первых главных компонент имеет США, а Корея -
один из наименьших (Таблица 4б). Однако, на наш взгляд, вес корейской кривой в
глобальной все же получился завышенным.
Таблица 4б.
Среднее значение коэффициентов в линейной комбинации первой главной
компоненты, без Китая
|
Страна
|
США
|
Великобритания
|
Германия
|
Корея
|
|
Среднее
значение коэффициента в первой главной компоненте
|
0,61
|
0,48
|
0,47
|
0,42
|
На графике ниже представлены оцененные параметры
глобальной кривой:
Как и во всех описанных выше случаях тесты на
единичный корень указали на нестационарность рядов параметров кривой, поэтому
использовались ряды в разностях (Приложение 4а). Взаимосвязь соответствующих
параметров с макроэкономическими показателями подтвердилась.
Уравнение для константы задается в точности
таким же как в предыдущем пункте по спецификации ARMAX-процессом
с добавлением уравнения для дисперсии:
Все коэффициенты в данном уравнении
статистически значимы. При этом первое уравнение системы даже с точки зрения
величины коэффициентов и доверительных интервалов очень похоже на уравнение из
пункта 3, однако доля объясненной дисперсии здесь несколько ниже - 59%.
Уравнение для коэффициента наклона имеет
следующий вид:

При этом следует подчеркнуть, что в отличие от
предыдущего случая, коэффициент при показателе экономической активности значим
не только при 5%-ом, но и при 1%-ом уровне значимости, а доля объясненной
дисперсии составила 52% (Приложение 4б).
И в заключении, как и во всех предыдущих
случаях, были рассмотрены идиосинкратические компоненты динамики кривых и
протестированы на белошумность (Таблица 4в).
Таблица 4в. P-valueтеста
на белошумность идиосинкратической компоненты, без Китая, восстановление кривой
по точкам
|
wntestq
|
|
P- value
|
US
|
|
level
|
slope
|
curvature
|
lambda
|
|
0.0264**
|
0.0577*
|
0.4827
|
0.3874
|
|
UK
|
|
level
|
slope
|
curvature
|
lambda
|
|
0.0441**
|
0.2792
|
0.8623
|
0.2878
|
|
Germany
|
|
level
|
slope
|
curvature
|
lambda
|
|
0.3421
|
0.0152**
|
0.2837
|
0.315
|
|
Korea
|
|
level
|
slope
|
curvature
|
lambda
|
|
0.7865
|
0.7267
|
0.5533
|
0.5947
|
При уровне значимости 5% отличным от белошумного
процессом оказались константыамериканской и британской кривых и коэффициент
наклона немецкой, при этом их взаимосвязь с какими-либо макроэкономическими
индикаторами, как и во всех предыдущих случаях, не подтвердилась.
Таким образом, исходя из проведенного выше
анализа, можно заключить, что восстановление кривой по точкам дает лучшие
результаты, особенно если в глобальную кривую входит страна с высоким уровнем
вмешательства регуляторов в деятельность финансовых рынков, как это происходит
в Китае. Полученный результат также может быть связан с тем, что кривая
бескупонной доходности Китая сама по себе плохо совместима с подходом
Нельсона-Зигеля. Возможно, использованиедругого, например,
непараметрическогометода аппроксимации кривойдало бы лучшие результаты.Также
следует отметить, что глобальная составляющая не является доминирующей,
поскольку идиосинкратические составляющие часто не белошумны (и определенно она
не является доминирующей для Китая, а то, что тест нередко указывал на
белошумность идиосинкратической компоненты, может быть связано с шумом в данных
или с их недостаточным количеством; аналогичная ситуация могла иметь место и в
случае Кореи). Это говорит, о том, что существуют некоторые другие факторы,
которые оказывают влияние на динамику параметров кривых бескупонной доходности.
С точки зрения соответствия результатов,
полученных в данном исследовании, с выводами других авторов, можно заключить,
что характер взаимосвязи коэффициентов и макроэкономических показателей
подтвердился: константа оказалась статистически значимо и положительно связана
с темпами инфляции, а динамика коэффициент наклона сонаправлена с показателем
экономической активности. Также подтвердился авторегрессионный характер
динамики параметров.
Заключение
В данной работе был проведен анализ степени
финансовой интеграции и свободы движения капитала в США, Германии,
Великобритании, Республике Корее и Китае.
Новизна представленного исследования заключается
в том, что в то время как в большинстве работ взаимосвязи на финансовых рынках
анализируются с использованием одной-двух ставок на конкретный срок, в данной
работе анализ был проведен через призму всей временной структуры. Также, в
отличие от схожего исследования с использованием подхода Нельсона-Зигеля к
моделированию кривой(Dieboldetal.,
2008), было учтено влияние валютных курсов на кривые доходности, и оценивалась
кривая полной, а не усеченной формы. Еще одним неоспоримым достоинством
настоящего исследования является то, что для построения кривых доходностей
использовались не готовые значения бескупонных ставок, рассчитанные различными
институтами, а исходные данные по котировкам, купонам и срокам до погашения, по
которым ставки расситывались одним и тем же методом, что позволило избежать
неточностей в оценках.
Анализ спредов позволил заключить, что Китай
является наименее интегрированной в мировую финансовую систему страной в силу
того, что значительное регулирование экономики государством влияет на потоки
капитала в страну и из страны. Также корейский финансовый рынок довольно сильно
отличается от европейских и американского, влияние регуляторов на его
функционирование достаточно существенное, хотя гораздо менее значительное, чем
в Китае. Данный вывод подтвердился и в третьей главе: включение Китая в систему
для построения глобальной кривой доходности сильно ухудшало объясняющую силу
главных компонент, нарушало пропорции коэффициентов в их линейной комбинации
(они переставали соответствовать экономической значимости стран в глобальном
масштабе) и не позволило выявить взаимосвязь параметров кривой с
макроэкономическими показателями. Построение глобальной кривой без Китая дало
существенно лучшие результаты: объясняющая сила главных компонент выросла и
взаимосвязь между коэффициентами константы и наклона глобальной кривой и
темпами инфляции и деловой активности подтвердилась. Однако проблема
непропорциональности коэффициентов в линейной комбинации главных компонент не
исчезла полностью, теперь неоправданно большую долю перетягивала на себя Корея.
Еще одним важным выводом является то, что
восстановление глобальной кривой по точкам дало несколько лучшие результаты по
сравнению с восстановлением по параметрам. Вероятнее всего, это связано с тем,
что в анализ были включены Китай и Корея, страны, характеризующиеся высокой волатильностью
приведенных по паритету кривых. Если оценивать глобальную кривую, рассматривая
только страны с высокой степенью свободы движения капитала (например, США и
только европейские), способ получения кривой через параметры вряд ли даст
худшие результаты, чем восстановление кривой по точкам. Также можно заключить,
что метод главных компонент в данном случае является достойной заменой
сэмплированию по Гиббсу и может дать достаточно точные оценки параметров,
которые успешно прошли тест на взаимосвязь с макроэкономическими индикаторами.
Согласно полученным результатам,
идиосинкратические составляющие динамики кривых нередко отличны от белого шума,
поэтому в качестве перспектив развития исследования можно задаться вопросом о
том, какие еще факторы влияют на динамику кривой бескупонной доходности и
проанализировать идиосинкратические компоненты на взаимосвязь с ними. Также
ввиду того, что параметрические кривые не подходят для описания временной
структуры процентных ставок в некоторых странах, небезынтересно будет
адаптировать использованный в данной работе подход таким образом, чтобы
проведение анализа стало возможным для кривых разных типов. Еще одним
направлением может стать анализ с включением различных стран по принципу
принадлежности к региону (например, АТР, или Европа) либо к экономическому
альянсу (страны группы БРИКС). В данной работе был рассмотрен период до
кризиса, однако интересно будет такжеоценить характер взаимосвязей в кризисный
период.
Список использованной литературы
Афонина,
С. Г., Ван Цзян, Лапшин, В. А. (2013): «Общий обзор китайского рынка
облигаций», Препринт НИУ ВШЭ WP16/2013/01,
Серия WP16, Москва
2013.
Al
Awad, M., Goodwin, B.K.(1998):“Dynamic linkages among real interest rates in
international capital markets,” Journal of International Money and Finance
17,881-907., A. (2001): “Uncovered interest parity revisited,” Review of
International Economics 9, 505-517., R. Z. (1973): “The Interest Rate Parity
Theorem: A Reinterpretation,” Journal of Political Economy, 81, 1451-59., F.,
Atkeson, A. and Kehoe, P. J. (2006): “Time-varying risk, interest rates, and
exchange rates in general equilibrium,” Federal Reserve Bank of Minneapolis,
Staff Report: 371., A., Piazzesi, M.(2003):“A no-arbitrage vector
autoregression of term structuredynamics with macroeconomic and latent
variables,” Journal of MonetaryEconomics 50, 745-787., N. and F. Packer (2009):
“Interpreting deviations from covered interest parity during the financial
market turmoil of 2007-08,” Journal of Banking and Finance, 33, 1953-1962., N.,
F. Packer, and T. Nagano (2008): “The Spillover of Money Market Turbulence to
FX and Cross-currency Swap Markets,” BIS Quarterly Review, March, 73-86., N.,
McCauley, R. N. and Ramaswamy, S. (2009):“U.S. Dollar MoneyMarket Funds and
Non-U.S. Banks.” BIS Quarterly Review, March: 65-81., W. H. (1969): “The
Minimum Covered Interest Differential Needed for International Arbitrage
Activity,” Journal of Political Economy, 77, 1028-35., J. (2012): “Crisis,
Capital Controls and Covered Interest Parity:Evidence from China in
Transformation,”PSE Working Papers n2012-01., M. (2006): “The (partial)
rehabilitation of interest rate parity in the floating rate era: longer
horizons, alternative expectations, and emerging markets,” Journal of
International Money and Finance 25, 7-21., N., Hrung, W. B. and Sarkar, A.
(2009): “Capital Constraints, Counterparty Risk, and Deviationsfrom Covered
Interest Rate Parity,” Federal Reserve Bank of New York Staff Reports, no.
393., F.X., Li, C. (2006): “Forecasting the term structure of government bond
yields,”Journal of Econometrics 130, 337-364., F. X., Li, C., and Yue, V. Z.
(2008): “Global yield curve dynamics and interactions: A dynamic Nelson-Siegel
approach,” Journal of Econometrics 146, 351-363., F.X., Rudebusch, G.D., and
Aruoba, S. B. (2006):“The macroeconomy and the yieldcurve: A dynamic latent
factor approach,” Journal of Econometrics 131, 309-338., M. P. and P. Isard
(1980): “Capital Controls, Political Risk, and Deviations from Interest-Rate
Parity,” Journal of Political Economy, 88, 370-84., M., Martin, V., Pagan,
A.(2000):“A multivariate latent factor decompositionof international bond
spreads,” Journal of Applied Econometrics 15, 697-715., C.(1993):“Tests of CAPM
on an International Portfolio of Bonds and Stocks,” NBER Working Papers 4598,
National Bureau of Economic Research, Inc., C., Rodriguez, A. P. (1989): “Tests
of International CAPM with Time-Varying Covariances,” Journal of Applied
Econometrics 4, 119 - 138., D. J. and Taylor, L. W. (1996): “Swap covered interest
parity in long-date capital markets,” The Review of Economics and Statistics,
vol. 78, issue 3, 530-38., J. A. (1992): “Measuring International Capital
Mobility: A Review,” American Economic Review, 82, 197-202., J. A. and R. M.
Levich (1975): “Covered Interest Arbitrage: UnexploitedProfits?” Journal of
Political Economy, 83, 325-38., J. A. and R. M. Levich (1977): “Transaction
Costs and Interest Arbitrage: Tranquil versus Turbulent Periods,”Journal of
Political Economy, 85, 1209-26., J. E., Unferth, M. D. (1993): “Is there a
world real interest rate?” Board of Governors of the Federal Reserve System,
International Finance Discussion Papers, № 454., E., Kydland, F.E. and Sustek,
R. (2010): “The High Cross-Country Correlations of Prices and Interest Rates,”
Discussion Papers 11/01, University of Nottingham, Centre for Finance, Credit
and Macroeconomics (CFCM)., M. and Y. Wu (1997): “Capital controls and covered
interest parity in the EU: Evidence from a panel-data unit root test,” Review
of World Economics (Weltwirtschaftliches Archiv), 133, 76-89., M. J. (2001):
“New Evidence on Real Exchange Rate Stationarity and Purchasing Power Parity in
Less Developed Countries,” Journal of Macroeconomics, 23, 601-614., C. H.,
Genberg, H. and Chung, T. K. (2009): “Funding Liquidity Risk and Deviations
from Interest-Rate Parity During the Financial Crisis of 2007-2009,” Hong Kong
Monetary Authority, Working Paper 13/2009.’s World Economic Outlook Report,
April 2012, T. (1987): “Capital Controls and Covered Interest Parity,” NBER
Working Papers 1187, National Bureau of Economic Research, Inc., M. D. (1977).
“Taxation and 'Abnormal' International Capital Flows,” Journal of Political
Economy 85 (June), 635-646., M. R. (2002): “Empirical analyses of interest rate
parity,” Thesis (Ph. D., Dept. of Economics) -Harvard University., M. R.
(2005): “How Integrated are Global Bond Markets?Estimating the Limits of
Covered Interest Arbitrage,” SSRN Electronic Journal 02/2005; DOI:
10.2139/ssrn.685561, M. (2007): “South Korea’s Experience with International
Capital Flows,” Capital Controls and Capital Flows in Emerging Economies:
Policies, Practices and Consequences, 481-528., I. and S. Tiwari (1981):
“Capital controls and interest rate parity: The Japanese experience, 1978-81,”
IMF Staff Papers, 28, 793-815., W. et al. (2007): “Renminbi Derivatives: Recent
Development and Issues,” China & World Economy, Vol. 15, No. 5, pp. 1-17,
September-October 2007, H. (1993) “Long-term covered interest parity: evidence
from currency,”Journal of International Money and Finance, Volume 12, Issue 4,
439-448., L. (2005):“Towards a solution to the puzzles in exchange rate
economics: where do we stand?,” Canadian Journal of Economics 38, 673-708. ,
B., (1974):“An equilibrium model of the international capital market,” Journal
of Economic Theory 8, 500-524.
Sørensen,
C. K., Werner, T.(2006): “Bank Interest Rate Pass-Through in The Euro Area: A
Cross Country Comparison,” ECB Working
Paper Series, No. 580 / January 2006., M. P. (1987): “Covered Interest Parity:
A High-Frequency, High-Quality Data Study,” Economica, 54, 429-38., M. P.
(1989): “Covered Interest Arbitrage and Market Turbulence,” Economic Journal,
99, 376-91., A. (2010):“A habit-based explanation of the exchange rate risk
premium”, Journal of Finance 65, 123-145., D.J., Gusba, S.
(2002):“Exponentials, Polynomials, and Fourier Series: More Yield Curve
Modelling at the Bank of Canada,” Working Paper 2002-29, 8-9., S. K., Soto, G.
M., and Beliaeva, N. A. (2005):“Interest rate risk modeling: the fixed income
valuation course,” John Wiley&Sons, Inc., C. R., Siegel, A. F., (1987):
“Parsinomious modeling of yield curves,” Journal of Business 60, 473-489., L.
E. O. (1994):“Estimating and interpreting forward interest rates: Sweden
1992-1994,” Working paper No.WP/94/114, International Monetary Fund.
Приложение 1. Расширенный тест Дики-Фуллера на
единичный корень
|
Null Hypothesis: LEVELS_PARAM has a unit root
|
|
|
Exogenous: Constant, Linear Trend
|
|
|
Lag Length: 4 (Automatic - based on SIC,
maxlag=10)
|
|
|
|
|
|
|
|
|
|
|
|
|
|
t-Statistic
|
Prob.*
|
|
|
|
|
|
|
|
|
|
|
|
Augmented Dickey-Fuller test statistic
|
-2.836086
|
0.1920
|
|
Test critical values:
|
1% level
|
|
-4.156734
|
|
|
5% level
|
|
-3.504330
|
|
|
10% level
|
|
-3.181826
|
|
|
|
|
|
|
|
|
|
|
|
|
*MacKinnon (1996) one-sided p-values.
|
|
|
|
|
|
|
|
|
|
|
|
|
Augmented Dickey-Fuller Test Equation
|
|
|
Dependent Variable: D(LEVELS_PARAM)
|
|
|
Method: Least Squares
|
|
|
|
Date: 05/30/15 Time: 17:39
|
|
|
|
Sample (adjusted): 2004M12 2008M12
|
|
|
Included observations: 49 after adjustments
|
|
|
|
|
|
|
|
|
|
|
|
|
Variable
|
Coefficient
|
Std. Error
|
t-Statistic
|
Prob.
|
|
|
|
|
|
|
|
|
|
|
|
LEVELS_PARAM(-1)
|
-0.336591
|
0.118681
|
-2.836086
|
0.0070
|
|
D(LEVELS_PARAM(-1))
|
0.258760
|
0.161713
|
1.600119
|
0.1171
|
|
D(LEVELS_PARAM(-2))
|
0.429831
|
0.150987
|
2.846807
|
0.0068
|
|
D(LEVELS_PARAM(-3))
|
-0.376040
|
0.180358
|
-2.084966
|
0.0432
|
|
D(LEVELS_PARAM(-4))
|
0.416745
|
0.189165
|
2.203085
|
0.0331
|
|
C
|
0.927649
|
0.431800
|
2.148329
|
0.0375
|
|
@TREND("2004M07")
|
-0.032366
|
0.014351
|
-2.255265
|
0.0294
|
|
|
|
|
|
|
|
|
|
|
|
R-squared
|
0.342488
|
Mean dependent var
|
0.019411
|
|
Adjusted R-squared
|
0.248558
|
S.D. dependent var
|
0.993109
|
|
S.E. of regression
|
0.860884
|
Akaike info criterion
|
2.669851
|
|
Sum squared resid
|
31.12712
|
Schwarz criterion
|
2.940111
|
|
Log likelihood
|
-58.41134
|
Hannan-Quinn criter.
|
2.772387
|
|
F-statistic
|
3.646191
|
Durbin-Watson stat
|
2.013095
|
|
Prob(F-statistic)
|
0.005292
|
|
|
|
|
|
|
|
|
|
|
|
|
|
|
Null Hypothesis: SLOPES_PARAM has a unit root
|
|
|
Exogenous: Constant, Linear Trend
|
|
|
Lag Length: 0 (Automatic - based on SIC,
maxlag=10)
|
|
|
|
|
|
|
|
|
|
|
|
|
|
t-Statistic
|
Prob.*
|
|
|
|
|
|
|
|
|
|
|
|
Augmented Dickey-Fuller test statistic
|
-2.709002
|
0.2374
|
|
Test critical values:
|
1% level
|
|
-4.140858
|
|
|
5% level
|
|
-3.496960
|
|
|
10% level
|
|
-3.177579
|
|
|
|
|
|
|
|
|
|
|
|
|
*MacKinnon (1996) one-sided p-values.
|
|
|
|
|
|
|
|
|
|
|
|
|
Augmented Dickey-Fuller Test Equation
|
|
|
Dependent Variable: D(SLOPES_PARAM)
|
|
|
Method: Least Squares
|
|
|
|
Date: 05/30/15 Time: 17:39
|
|
|
|
Sample (adjusted): 2004M08 2008M12
|
|
|
Included observations: 53 after adjustments
|
|
|
|
|
|
|
|
|
|
|
|
|
Variable
|
Coefficient
|
Std. Error
|
t-Statistic
|
Prob.
|
|
|
|
|
|
|
|
|
|
|
|
SLOPES_PARAM(-1)
|
-0.292609
|
0.108013
|
-2.709002
|
0.0092
|
|
C
|
-0.742306
|
0.346114
|
-2.144684
|
0.0369
|
|
@TREND("2004M07")
|
0.030869
|
0.011789
|
2.618397
|
0.0117
|
|
|
|
|
|
|
|
|
|
|
|
R-squared
|
0.138412
|
Mean dependent var
|
0.119617
|
|
Adjusted R-squared
|
0.103948
|
S.D. dependent var
|
0.883911
|
|
S.E. of regression
|
0.836710
|
Akaike info criterion
|
2.536260
|
|
Sum squared resid
|
35.00417
|
Schwarz criterion
|
2.647786
|
|
Log likelihood
|
-64.21088
|
Hannan-Quinn criter.
|
2.579147
|
|
F-statistic
|
4.016184
|
Durbin-Watson stat
|
1.813173
|
|
Prob(F-statistic)
|
0.024126
|
|
|
|
|
|
|
|
|
|
|
|
|
|
|
Null Hypothesis: D(LEVELS_PARAM) has a unit
root
|
|
Exogenous: Constant, Linear Trend
|
|
|
Lag Length: 0 (Automatic - based on SIC,
maxlag=10)
|
|
|
|
|
|
|
|
|
|
|
|
|
|
t-Statistic
|
Prob.*
|
|
|
|
|
|
|
|
|
|
|
|
Augmented Dickey-Fuller test statistic
|
-8.129528
|
0.0000
|
|
Test critical values:
|
1% level
|
|
-4.144584
|
|
|
5% level
|
|
-3.498692
|
|
|
10% level
|
|
-3.178578
|
|
|
|
|
|
|
|
|
|
|
|
|
*MacKinnon (1996) one-sided p-values.
|
|
|
|
|
|
|
|
|
|
|
|
|
Augmented Dickey-Fuller Test Equation
|
|
|
Dependent Variable: D(LEVELS_PARAM,2)
|
|
|
Method: Least Squares
|
|
|
|
Date: 05/30/15 Time: 17:41
|
|
|
|
Sample (adjusted): 2004M09 2008M12
|
|
|
Included observations: 52 after adjustments
|
|
|
|
|
|
|
|
|
|
|
|
|
Variable
|
Coefficient
|
Std. Error
|
t-Statistic
|
Prob.
|
|
|
|
|
|
|
|
|
|
|
|
D(LEVELS_PARAM(-1))
|
-1.142461
|
0.140532
|
-8.129528
|
0.0000
|
|
C
|
-0.116962
|
0.285694
|
-0.409397
|
0.6840
|
|
@TREND("2004M07")
|
0.004349
|
0.009115
|
0.477121
|
0.6354
|
|
|
|
|
|
|
|
|
|
|
|
R-squared
|
0.574271
|
Mean dependent var
|
0.035835
|
|
Adjusted R-squared
|
0.556895
|
S.D. dependent var
|
1.478451
|
|
S.E. of regression
|
0.984148
|
Akaike info criterion
|
2.861880
|
|
Sum squared resid
|
47.45879
|
Schwarz criterion
|
2.974452
|
|
Log likelihood
|
-71.40887
|
Hannan-Quinn criter.
|
2.905037
|
|
F-statistic
|
33.04839
|
Durbin-Watson stat
|
1.968107
|
|
Prob(F-statistic)
|
0.000000
|
|
|
|
|
|
|
|
|
|
|
|
|
|
|
Null Hypothesis: D(LEVELS_PARAM) has a unit
root
|
|
Exogenous: None
|
|
|
|
Lag Length: 0 (Automatic - based on SIC,
maxlag=10)
|
|
|
|
|
|
|
|
|
|
|
|
|
|
t-Statistic
|
Prob.*
|
|
|
|
|
|
|
|
|
|
|
|
Augmented Dickey-Fuller test statistic
|
-8.265051
|
0.0000
|
|
Test critical values:
|
1% level
|
|
-2.610192
|
|
|
5% level
|
|
-1.947248
|
|
|
10% level
|
|
-1.612797
|
|
|
|
|
|
|
|
|
|
|
|
|
*MacKinnon (1996) one-sided p-values.
|
|
|
|
|
|
|
|
|
|
|
|
|
Augmented Dickey-Fuller Test Equation
|
|
|
Dependent Variable: D(LEVELS_PARAM,2)
|
|
|
Method: Least Squares
|
|
|
|
Date: 05/30/15 Time: 18:46
|
|
|
|
Sample (adjusted): 2004M09 2008M12
|
|
|
Included observations: 52 after adjustments
|
|
|
|
|
|
|
|
|
|
|
|
|
Variable
|
Coefficient
|
Std. Error
|
t-Statistic
|
|
|
|
|
|
|
|
|
|
|
|
D(LEVELS_PARAM(-1))
|
-1.137896
|
0.137676
|
-8.265051
|
0.0000
|
|
|
|
|
|
|
|
|
|
|
|
R-squared
|
0.572290
|
Mean dependent var
|
0.035835
|
|
Adjusted R-squared
|
0.572290
|
S.D. dependent var
|
1.478451
|
|
S.E. of regression
|
0.966900
|
Akaike info criterion
|
2.789600
|
|
Sum squared resid
|
47.67968
|
Schwarz criterion
|
2.827124
|
|
Log likelihood
|
-71.52960
|
Hannan-Quinn criter.
|
2.803986
|
|
Durbin-Watson stat
|
1.969869
|
|
|
|
|
|
|
|
|
|
|
|
|
|
|
Null Hypothesis: D(SLOPES_PARAM) has a unit
root
|
|
Exogenous: Constant, Linear Trend
|
|
|
Lag Length: 0 (Automatic - based on SIC,
maxlag=10)
|
|
|
|
|
|
|
|
|
|
|
|
|
|
t-Statistic
|
Prob.*
|
|
|
|
|
|
|
|
|
|
|
|
Augmented Dickey-Fuller test statistic
|
-7.399094
|
0.0000
|
|
Test critical values:
|
1% level
|
|
-4.144584
|
|
|
5% level
|
|
-3.498692
|
|
|
10% level
|
|
-3.178578
|
|
|
|
|
|
|
|
|
|
|
|
|
*MacKinnon (1996) one-sided p-values.
|
|
|
|
|
|
|
|
|
|
|
|
|
Augmented Dickey-Fuller Test Equation
|
|
|
Dependent Variable: D(SLOPES_PARAM,2)
|
|
|
Method: Least Squares
|
|
|
|
Date: 05/30/15 Time: 17:40
|
|
|
|
Sample (adjusted): 2004M09 2008M12
|
|
|
Included observations: 52 after adjustments
|
|
|
|
|
|
|
|
|
|
|
|
|
Variable
|
Coefficient
|
Std. Error
|
t-Statistic
|
Prob.
|
|
|
|
|
|
|
|
|
|
|
|
D(SLOPES_PARAM(-1))
|
-1.056949
|
0.142848
|
-7.399094
|
0.0000
|
|
C
|
-0.055047
|
0.261642
|
-0.210391
|
0.8342
|
|
@TREND("2004M07")
|
0.006664
|
0.008386
|
0.794624
|
0.4307
|
|
|
|
|
|
|
|
|
|
|
|
R-squared
|
0.527745
|
Mean dependent var
|
0.012049
|
|
Adjusted R-squared
|
0.508469
|
S.D. dependent var
|
1.288878
|
|
S.E. of regression
|
0.903623
|
Akaike info criterion
|
2.691153
|
|
Sum squared resid
|
40.01023
|
Schwarz criterion
|
2.803725
|
|
Log likelihood
|
-66.96998
|
Hannan-Quinn criter.
|
2.734310
|
|
F-statistic
|
27.37872
|
Durbin-Watson stat
|
2.006366
|
|
Prob(F-statistic)
|
0.000000
|
|
|
|
|
|
|
|
|
|
|
|
|
|
|
Null Hypothesis: D(SLOPES_PARAM) has a unit
root
|
|
Exogenous: None
|
|
|
|
Lag Length: 0 (Automatic - based on SIC,
maxlag=10)
|
|
|
|
|
|
|
|
|
|
|
|
|
|
t-Statistic
|
Prob.*
|
|
|
|
|
|
|
|
|
|
|
|
Augmented Dickey-Fuller test statistic
|
-7.314174
|
0.0000
|
|
Test critical values:
|
1% level
|
|
-2.610192
|
|
|
5% level
|
|
-1.947248
|
|
|
10% level
|
|
-1.612797
|
|
|
|
|
|
|
|
|
|
|
|
|
*MacKinnon (1996) one-sided p-values.
|
|
|
|
|
|
|
|
|
|
|
|
|
Augmented Dickey-Fuller Test Equation
|
|
|
Dependent Variable: D(SLOPES_PARAM,2)
|
|
|
Method: Least Squares
|
|
|
|
Date: 05/30/15 Time: 18:47
|
|
|
|
Sample (adjusted): 2004M09 2008M12
|
|
|
Included observations: 52 after adjustments
|
|
|
|
|
|
|
|
|
|
|
|
|
Variable
|
Coefficient
|
Std. Error
|
t-Statistic
|
Prob.
|
|
|
|
|
|
|
|
|
|
|
|
D(SLOPES_PARAM(-1))
|
-1.028639
|
0.140636
|
-7.314174
|
0.0000
|
|
|
|
|
|
|
|
|
|
|
|
R-squared
|
0.511905
|
Mean dependent var
|
0.012049
|
|
Adjusted R-squared
|
0.511905
|
S.D. dependent var
|
1.288878
|
|
S.E. of regression
|
0.900460
|
Akaike info criterion
|
2.647220
|
|
Sum squared resid
|
41.35220
|
Schwarz criterion
|
2.684744
|
|
Log likelihood
|
-67.82773
|
Hannan-Quinn criter.
|
2.661606
|
|
Durbin-Watson stat
|
1.990847
|
|
|
|
|
|
|
|
|
|
|
|
|
|
|
Null Hypothesis: CLI_ALL has a unit root
|
|
|
Exogenous: Constant, Linear Trend
|
|
|
Lag Length: 7 (Automatic - based on SIC,
maxlag=10)
|
|
|
|
|
|
|
|
|
|
|
|
|
|
t-Statistic
|
Prob.*
|
|
|
|
|
|
|
|
|
|
|
|
Augmented Dickey-Fuller test statistic
|
-2.813633
|
0.2001
|
|
Test critical values:
|
1% level
|
|
-4.175640
|
|
|
5% level
|
|
-3.513075
|
|
|
10% level
|
|
-3.186854
|
|
|
|
|
|
|
|
|
|
|
|
|
*MacKinnon (1996) one-sided p-values.
|
|
|
|
|
|
|
|
|
|
|
|
|
Augmented Dickey-Fuller Test Equation
|
|
|
Dependent Variable: D(CLI_ALL)
|
|
|
Method: Least Squares
|
|
|
|
Date: 05/31/15 Time: 15:28
|
|
|
|
Sample (adjusted): 2005M04 2008M12
|
|
|
Included observations: 45 after adjustments
|
|
|
|
|
|
|
|
|
|
|
|
|
Variable
|
Coefficient
|
Std. Error
|
t-Statistic
|
Prob.
|
|
|
|
|
|
|
|
|
|
|
|
CLI_ALL(-1)
|
-0.125107
|
0.044464
|
-2.813633
|
0.0080
|
|
D(CLI_ALL(-1))
|
0.609761
|
0.140258
|
4.347431
|
0.0001
|
|
D(CLI_ALL(-2))
|
0.531364
|
0.169011
|
3.143962
|
0.0034
|
|
D(CLI_ALL(-3))
|
0.436090
|
0.176110
|
2.476231
|
0.0183
|
|
D(CLI_ALL(-4))
|
0.189561
|
0.185871
|
1.019852
|
0.3148
|
|
D(CLI_ALL(-5))
|
-0.174075
|
0.188891
|
-0.921563
|
0.3631
|
|
D(CLI_ALL(-6))
|
-0.179046
|
0.191652
|
-0.934223
|
0.3566
|
|
D(CLI_ALL(-7))
|
0.577112
|
0.185373
|
3.113244
|
0.0037
|
|
C
|
-0.051603
|
0.047246
|
-1.092224
|
0.2822
|
|
@TREND("2004M07")
|
0.001964
|
0.001730
|
1.135188
|
0.2640
|
|
|
|
|
|
|
|
|
|
|
|
R-squared
|
0.713164
|
Mean dependent var
|
-0.012094
|
|
Adjusted R-squared
|
0.639407
|
S.D. dependent var
|
0.137212
|
|
S.E. of regression
|
0.082395
|
Akaike info criterion
|
-1.961446
|
|
Sum squared resid
|
0.237615
|
Schwarz criterion
|
-1.559966
|
|
Log likelihood
|
54.13254
|
Hannan-Quinn criter.
|
-1.811779
|
|
F-statistic
|
9.669014
|
Durbin-Watson stat
|
2.077314
|
|
Prob(F-statistic)
|
0.000000
|
|
|
|
|
|
|
|
|
|
|
|
|
|
|
Null Hypothesis: D(CLI_ALL) has a unit root
|
|
|
Exogenous: Constant, Linear Trend
|
|
|
Lag Length: 1 (Automatic - based on SIC,
maxlag=10)
|
|
|
|
|
|
|
|
|
|
|
|
|
|
t-Statistic
|
Prob.*
|
|
|
|
|
|
|
|
|
|
|
|
Augmented Dickey-Fuller test statistic
|
-7.806642
|
0.0000
|
|
Test critical values:
|
1% level
|
|
-4.144584
|
|
|
5% level
|
|
-3.498692
|
|
|
10% level
|
|
-3.178578
|
|
|
|
|
|
|
|
|
|
|
|
|
*MacKinnon (1996) one-sided p-values.
|
|
|
|
|
|
|
|
|
|
|
|
|
Augmented Dickey-Fuller Test Equation
|
|
|
Dependent Variable: D(CLI_ALL,2)
|
|
|
Method: Least Squares
|
|
|
|
Date: 05/31/15 Time: 15:35
|
|
|
|
Sample (adjusted): 2004M09 2008M12
|
|
|
Included observations: 52 after adjustments
|
|
|
|
|
|
|
|
|
|
|
|
|
Variable
|
Coefficient
|
Std. Error
|
t-Statistic
|
Prob.
|
|
|
|
|
|
|
|
|
|
|
|
D(CLI_ALL(-1))
|
1.180512
|
0.040183
|
29.37808
|
0.0000
|
|
C
|
-0.004012
|
0.028872
|
-0.138965
|
0.8901
|
|
@TREND("2004M07")
|
0.001620
|
0.001153
|
1.404336
|
0.1667
|
|
|
|
|
|
|
|
|
|
|
|
R-squared
|
0.979486
|
Mean dependent var
|
-0.228517
|
|
Adjusted R-squared
|
0.978204
|
S.D. dependent var
|
0.598617
|
|
S.E. of regression
|
0.088376
|
Akaike info criterion
|
-1.940621
|
|
Sum squared resid
|
0.374898
|
Schwarz criterion
|
-1.790526
|
|
Log likelihood
|
54.45616
|
Hannan-Quinn criter.
|
-1.883078
|
|
F-statistic
|
763.9639
|
Durbin-Watson stat
|
1.805977
|
|
Prob(F-statistic)
|
0.000000
|
|
|
|
|
|
|
|
|
|
|
|
|
|
|
Null Hypothesis: D(CLI_ALL) has a unit root
|
|
|
Exogenous: None
|
|
|
|
Lag Length: 2 (Automatic - based on SIC,
maxlag=10)
|
|
|
|
|
|
|
|
|
|
|
|
|
|
t-Statistic
|
Prob.*
|
|
|
|
|
|
|
|
|
|
|
|
Augmented Dickey-Fuller test statistic
|
-4.189680
|
0.0001
|
|
Test critical values:
|
1% level
|
|
-2.611094
|
|
|
5% level
|
|
-1.947381
|
|
|
10% level
|
|
-1.612725
|
|
|
|
|
|
|
|
|
|
|
|
|
*MacKinnon (1996) one-sided p-values.
|
|
|
|
|
|
|
|
|
|
|
|
|
Augmented Dickey-Fuller Test Equation
|
|
|
Dependent Variable: D(CLI_ALL,2)
|
|
|
Method: Least Squares
|
|
|
|
Date: 05/31/15 Time: 15:37
|
|
|
|
Sample (adjusted): 2004M10 2008M12
|
|
|
Included observations: 51 after adjustments
|
|
|
|
|
|
|
|
|
|
|
|
|
Variable
|
Coefficient
|
Std. Error
|
t-Statistic
|
Prob.
|
|
|
|
|
|
|
|
|
|
|
|
D(CLI_ALL(-1))
|
1.313232
|
0.140723
|
0.0000
|
|
D(CLI_ALL(-2))
|
-0.236843
|
0.162534
|
-1.457185
|
0.1516
|
|
|
|
|
|
|
|
|
|
|
|
R-squared
|
0.978487
|
Mean dependent var
|
-0.231585
|
|
Adjusted R-squared
|
0.977590
|
S.D. dependent var
|
0.604160
|
|
S.E. of regression
|
0.090442
|
Akaike info criterion
|
-1.911200
|
|
Sum squared resid
|
0.392626
|
Schwarz criterion
|
-1.797563
|
|
Log likelihood
|
51.73559
|
Hannan-Quinn criter.
|
-1.867776
|
|
Durbin-Watson stat
|
1.877919
|
|
|
|
|
|
|
|
|
|
|
|
|
|
|
Null Hypothesis: INF_ALL has a unit root
|
|
|
Exogenous: Constant, Linear Trend
|
|
|
Lag Length: 8 (Automatic - based on SIC,
maxlag=10)
|
|
|
|
|
|
|
|
|
|
|
|
|
|
t-Statistic
|
Prob.*
|
|
|
|
|
|
|
|
|
|
|
|
Augmented Dickey-Fuller test statistic
|
-2.828236
|
0.1952
|
|
Test critical values:
|
1% level
|
|
-4.175640
|
|
|
5% level
|
|
-3.513075
|
|
|
10% level
|
|
-3.186854
|
|
|
|
|
|
|
|
|
|
|
|
|
*MacKinnon (1996) one-sided p-values.
|
|
|
|
|
|
|
|
|
|
|
|
|
Augmented Dickey-Fuller Test Equation
|
|
|
Dependent Variable: D(INF_ALL)
|
|
|
Method: Least Squares
|
|
|
|
Date: 05/31/15 Time: 15:46
|
|
|
|
Sample (adjusted): 2005M04 2008M12
|
|
|
Included observations: 45 after adjustments
|
|
|
|
|
|
|
|
|
|
|
|
|
Variable
|
Coefficient
|
Std. Error
|
t-Statistic
|
Prob.
|
|
|
|
|
|
|
|
|
|
|
|
INF_ALL(-1)
|
-0.149325
|
0.052798
|
-2.828236
|
0.0078
|
|
D(INF_ALL(-1))
|
0.062614
|
0.143911
|
0.435085
|
0.6662
|
|
D(INF_ALL(-2))
|
0.005240
|
0.119347
|
0.043905
|
0.9652
|
|
D(INF_ALL(-3))
|
0.476801
|
0.114719
|
4.156266
|
0.0002
|
|
D(INF_ALL(-4))
|
0.371290
|
0.140084
|
2.650489
|
0.0121
|
|
D(INF_ALL(-5))
|
0.488808
|
0.134903
|
3.623395
|
0.0009
|
|
D(INF_ALL(-6))
|
0.326870
|
0.146633
|
2.229168
|
0.0325
|
|
D(INF_ALL(-7))
|
0.406138
|
0.134731
|
3.014433
|
0.0048
|
|
D(INF_ALL(-8))
|
0.342940
|
0.138939
|
2.468271
|
0.0188
|
|
C
|
0.421024
|
0.357405
|
1.178003
|
0.2470
|
|
@TREND("2004M07")
|
-0.020289
|
0.011637
|
-1.743456
|
0.0903
|
|
|
|
|
|
|
|
|
|
|
|
R-squared
|
0.658133
|
Mean dependent var
|
-0.035042
|
|
Adjusted R-squared
|
0.557584
|
S.D. dependent var
|
0.718575
|
|
S.E. of regression
|
0.477955
|
Akaike info criterion
|
1.569989
|
|
Sum squared resid
|
7.767009
|
Schwarz criterion
|
2.011617
|
|
Log likelihood
|
-24.32474
|
Hannan-Quinn criter.
|
1.734623
|
|
F-statistic
|
6.545391
|
Durbin-Watson stat
|
1.908735
|
|
Prob(F-statistic)
|
0.000015
|
|
|
|
|
|
|
|
|
|
|
|
|
|
|
Null Hypothesis: D(INF_ALL) has a unit root
|
|
|
Exogenous: Constant, Linear Trend
|
|
|
Lag Length: 0 (Automatic - based on SIC,
maxlag=10)
|
|
|
|
|
|
|
|
|
|
|
|
|
|
t-Statistic
|
Prob.*
|
|
|
|
|
|
|
|
|
|
|
|
Augmented Dickey-Fuller test statistic
|
-9.313566
|
0.0000
|
|
Test critical values:
|
1% level
|
|
-4.148465
|
|
|
5% level
|
|
-3.500495
|
|
|
10% level
|
|
-3.179617
|
|
|
|
|
|
|
|
|
|
|
|
|
*MacKinnon (1996) one-sided p-values.
|
|
|
|
|
|
|
|
|
|
|
|
|
Augmented Dickey-Fuller Test Equation
|
|
|
Dependent Variable: D(INF_ALL,2)
|
|
|
Method: Least Squares
|
|
|
|
Date: 05/31/15 Time: 15:48
|
|
|
|
Sample (adjusted): 2004M10 2008M12
|
|
|
Included observations: 51 after adjustments
|
|
|
|
|
|
|
|
|
|
|
|
|
Variable
|
Coefficient
|
Std. Error
|
t-Statistic
|
Prob.
|
|
|
|
|
|
|
|
|
|
|
|
D(INF_ALL(-1))
|
-1.294025
|
0.138940
|
-9.313566
|
0.0000
|
|
C
|
0.775698
|
1.931872
|
0.401527
|
0.6898
|
|
@TREND("2004M07")
|
-0.040857
|
0.061223
|
-0.667353
|
0.5077
|
|
|
|
|
|
|
|
|
|
|
|
R-squared
|
0.643784
|
Mean dependent var
|
0.210196
|
|
Adjusted R-squared
|
0.628942
|
S.D. dependent var
|
10.53064
|
|
S.E. of regression
|
6.414693
|
Akaike info criterion
|
6.612082
|
|
Sum squared resid
|
1975.118
|
Schwarz criterion
|
6.725719
|
|
Log likelihood
|
-165.6081
|
Hannan-Quinn criter.
|
6.655506
|
|
F-statistic
|
43.37486
|
Durbin-Watson stat
|
1.965903
|
|
Prob(F-statistic)
|
0.000000
|
|
|
|
|
|
|
|
|
|
|
|
|
|
|
Null Hypothesis: D(INF_ALL) has a unit root
|
|
|
Exogenous: None
|
|
|
|
Lag Length: 0 (Automatic - based on SIC,
maxlag=10)
|
|
|
|
|
|
|
|
|
|
|
|
|
|
t-Statistic
|
Prob.*
|
|
|
|
|
|
|
|
|
|
|
|
Augmented Dickey-Fuller test statistic
|
-9.415952
|
0.0000
|
|
Test critical values:
|
1% level
|
|
-2.611094
|
|
|
5% level
|
|
-1.947381
|
|
|
10% level
|
|
-1.612725
|
|
|
|
|
|
|
|
|
|
|
|
|
*MacKinnon (1996) one-sided p-values.
|
|
|
|
|
|
|
|
|
|
|
|
|
Augmented Dickey-Fuller Test Equation
|
|
|
Dependent Variable: D(INF_ALL,2)
|
|
|
Method: Least Squares
|
|
|
|
Date: 05/31/15 Time: 15:49
|
|
|
|
Sample (adjusted): 2004M10 2008M12
|
|
|
Included observations: 51 after adjustments
|
|
|
|
|
|
|
|
|
|
|
|
|
Variable
|
Coefficient
|
Std. Error
|
t-Statistic
|
Prob.
|
|
|
|
|
|
|
|
|
|
|
|
D(INF_ALL(-1))
|
-1.282679
|
0.136224
|
-9.415952
|
0.0000
|
|
|
|
|
|
|
|
|
|
|
|
R-squared
|
0.639260
|
Mean dependent var
|
0.210196
|
|
Adjusted R-squared
|
0.639260
|
S.D. dependent var
|
10.53064
|
|
S.E. of regression
|
6.324879
|
Akaike info criterion
|
6.546272
|
|
Sum squared resid
|
2000.205
|
Schwarz criterion
|
6.584151
|
|
Log likelihood
|
-165.9299
|
Hannan-Quinn criter.
|
6.560747
|
|
Durbin-Watson stat
|
1.962238
|
|
|
|
|
|
|
|
|
|
|
|
|
|
Приложение 2
Расширенный тест Дики-Фуллера на единичный
корень
|
Null Hypothesis: LEVELS_CURVE has a unit root
|
|
|
Exogenous: Constant, Linear Trend
|
|
|
Lag Length: 4 (Automatic - based on SIC,
maxlag=10)
|
|
|
|
|
|
|
|
|
|
|
|
|
|
t-Statistic
|
Prob.*
|
|
|
|
|
|
|
|
|
|
|
|
Augmented Dickey-Fuller test statistic
|
-2.576383
|
0.2924
|
|
Test critical values:
|
1% level
|
|
-4.156734
|
|
|
5% level
|
|
-3.504330
|
|
|
10% level
|
|
-3.181826
|
|
|
|
|
|
|
|
|
|
|
|
|
*MacKinnon (1996) one-sided p-values.
|
|
|
|
|
|
|
|
|
|
|
|
|
Augmented Dickey-Fuller Test Equation
|
|
|
Dependent Variable: D(LEVELS_CURVE)
|
|
|
Method: Least Squares
|
|
|
|
Date: 05/31/15 Time: 15:51
|
|
|
|
Sample (adjusted): 2004M12 2008M12
|
|
|
Included observations: 49 after adjustments
|
|
|
|
|
|
|
|
|
|
|
|
|
Variable
|
Coefficient
|
Std. Error
|
t-Statistic
|
Prob.
|
|
|
|
|
|
|
|
|
|
|
|
LEVELS_CURVE(-1)
|
-0.246629
|
0.095727
|
-2.576383
|
0.0136
|
|
D(LEVELS_CURVE(-1))
|
0.328152
|
0.152592
|
2.150521
|
0.0373
|
|
D(LEVELS_CURVE(-2))
|
0.424398
|
0.142443
|
2.979433
|
0.0048
|
|
D(LEVELS_CURVE(-3))
|
-0.528135
|
0.182031
|
-2.901339
|
0.0059
|
|
D(LEVELS_CURVE(-4))
|
0.390151
|
0.187897
|
2.076410
|
0.0440
|
|
C
|
0.810486
|
0.395833
|
2.047548
|
0.0469
|
|
@TREND("2004M07")
|
-0.021704
|
0.011472
|
-1.891907
|
0.0654
|
|
|
|
|
|
|
|
|
|
|
|
R-squared
|
0.368052
|
Mean dependent var
|
0.046769
|
|
Adjusted R-squared
|
0.277773
|
S.D. dependent var
|
0.958417
|
|
S.E. of regression
|
0.814500
|
Akaike info criterion
|
2.559079
|
|
Sum squared resid
|
27.86324
|
Schwarz criterion
|
2.829339
|
|
Log likelihood
|
-55.69745
|
Hannan-Quinn criter.
|
2.661616
|
|
F-statistic
|
4.076856
|
Durbin-Watson stat
|
2.039390
|
|
Prob(F-statistic)
|
0.002610
|
|
|
|
|
|
|
|
|
|
|
|
|
|
|
Null Hypothesis: D(LEVELS_CURVE) has a unit
root
|
|
Exogenous: Constant, Linear Trend
|
|
|
|
|
|
|
|
|
|
|
|
|
|
t-Statistic
|
Prob.*
|
|
|
|
|
|
|
|
|
|
|
|
Augmented Dickey-Fuller test statistic
|
-5.044136
|
0.0008
|
|
Test critical values:
|
1% level
|
|
-4.152511
|
|
|
5% level
|
|
-3.502373
|
|
|
10% level
|
|
-3.180699
|
|
|
|
|
|
|
|
|
|
|
|
|
*MacKinnon (1996) one-sided p-values.
|
|
|
|
|
|
|
|
Augmented Dickey-Fuller Test Equation
|
|
|
Dependent Variable: D(LEVELS_CURVE,2)
|
|
|
Method: Least Squares
|
|
|
|
Date: 05/31/15 Time: 15:52
|
|
|
|
Sample (adjusted): 2004M11 2008M12
|
|
|
Included observations: 50 after adjustments
|
|
|
|
|
|
|
|
|
|
|
|
|
Variable
|
Coefficient
|
Std. Error
|
t-Statistic
|
Prob.
|
|
|
|
|
|
|
|
|
|
|
|
D(LEVELS_CURVE(-1))
|
-1.139827
|
0.225971
|
-5.044136
|
0.0000
|
|
D(LEVELS_CURVE(-1),2)
|
0.200528
|
0.201728
|
0.994048
|
0.3255
|
|
D(LEVELS_CURVE(-2),2)
|
0.525437
|
0.175593
|
2.992361
|
0.0045
|
|
C
|
-0.098003
|
0.279912
|
-0.350121
|
0.7279
|
|
@TREND("2004M07")
|
0.002800
|
0.008802
|
0.318098
|
0.7519
|
|
|
|
|
|
|
|
|
|
|
|
R-squared
|
0.623443
|
Mean dependent var
|
0.000516
|
|
Adjusted R-squared
|
0.589972
|
S.D. dependent var
|
1.387532
|
|
S.E. of regression
|
0.888485
|
Akaike info criterion
|
2.696041
|
|
Sum squared resid
|
35.52324
|
Schwarz criterion
|
2.887243
|
|
Log likelihood
|
-62.40103
|
Hannan-Quinn criter.
|
2.768852
|
|
F-statistic
|
18.62599
|
Durbin-Watson stat
|
1.743981
|
|
Prob(F-statistic)
|
0.000000
|
|
|
|
|
|
|
|
|
|
|
|
|
|
|
Null Hypothesis: D(LEVELS_CURVE) has a unit
root
|
|
Exogenous: None
|
|
|
|
Lag Length: 2 (Automatic - based on SIC,
maxlag=10)
|
|
|
|
|
|
|
|
|
|
|
|
|
|
t-Statistic
|
Prob.*
|
|
|
|
|
|
|
|
|
|
|
|
Augmented Dickey-Fuller test statistic
|
-5.146007
|
0.0000
|
|
Test critical values:
|
1% level
|
|
-2.612033
|
|
|
5% level
|
|
-1.947520
|
|
|
10% level
|
|
-1.612650
|
|
|
|
|
|
|
|
|
|
|
|
|
*MacKinnon (1996) one-sided p-values.
|
|
|
|
|
|
|
|
|
|
|
|
|
Augmented Dickey-Fuller Test Equation
|
|
|
Dependent Variable: D(LEVELS_CURVE,2)
|
|
|
Method: Least Squares
|
|
|
|
Date: 05/31/15 Time: 15:52
|
|
|
|
Sample (adjusted): 2004M11 2008M12
|
|
|
Included observations: 50 after adjustments
|
|
|
|
|
|
|
|
|
|
|
|
|
Variable
|
Coefficient
|
Std. Error
|
t-Statistic
|
Prob.
|
|
|
|
|
|
|
|
|
|
|
|
D(LEVELS_CURVE(-1))
|
-1.131764
|
0.219930
|
-5.146007
|
0.0000
|
|
D(LEVELS_CURVE(-1),2)
|
0.193417
|
0.196617
|
0.983724
|
0.3303
|
|
D(LEVELS_CURVE(-2),2)
|
0.523012
|
0.171421
|
3.051030
|
0.0037
|
|
|
|
|
|
|
|
|
|
|
|
R-squared
|
0.622416
|
Mean dependent var
|
0.000516
|
|
Adjusted R-squared
|
0.606349
|
S.D. dependent var
|
1.387532
|
|
S.E. of regression
|
0.870560
|
Akaike info criterion
|
2.618765
|
|
Sum squared resid
|
35.62013
|
Schwarz criterion
|
2.733486
|
|
Log likelihood
|
-62.46913
|
Hannan-Quinn criter.
|
2.662452
|
|
Durbin-Watson stat
|
1.741098
|
|
|
|
|
|
|
|
|
|
|
|
|
|
|
Null Hypothesis: SLOPES_CURVE has a unit root
|
|
|
Exogenous: Constant, Linear Trend
|
|
|
Lag Length: 0 (Automatic - based on SIC,
maxlag=10)
|
|
|
|
|
|
|
|
|
|
|
|
|
|
t-Statistic
|
Prob.*
|
|
|
|
|
|
|
|
|
|
|
|
Augmented Dickey-Fuller test statistic
|
0.252990
|
0.9978
|
|
Test critical values:
|
1% level
|
|
-4.161144
|
|
|
5% level
|
|
-3.506374
|
|
|
10% level
|
|
-3.183002
|
|
|
|
|
|
|
|
|
|
|
|
|
*MacKinnon (1996) one-sided p-values.
|
|
|
|
|
|
|
|
|
|
|
|
|
Augmented Dickey-Fuller Test Equation
|
|
|
Dependent Variable: D(SLOPES_CURVE)
|
|
|
Method: Least Squares
|
|
|
|
Date: 05/31/15 Time: 15:52
|
|
|
|
Sample (adjusted): 2004M08 2008M07
|
|
|
Included observations: 48 after adjustments
|
|
|
|
|
|
|
|
|
|
|
|
|
Variable
|
Coefficient
|
Std. Error
|
t-Statistic
|
Prob.
|
|
|
|
|
|
|
|
|
|
|
|
SLOPES_CURVE(-1)
|
0.019503
|
0.077091
|
0.252990
|
0.8014
|
|
C
|
0.586168
|
0.404401
|
1.449471
|
0.1541
|
|
@TREND("2004M07")
|
-0.030446
|
0.014681
|
-2.073856
|
0.0438
|
|
|
|
|
|
|
|
|
|
|
|
R-squared
|
0.088189
|
Mean dependent var
|
-0.149457
|
|
Adjusted R-squared
|
0.047664
|
S.D. dependent var
|
1.405692
|
|
S.E. of regression
|
1.371783
|
Akaike info criterion
|
3.530561
|
|
Sum squared resid
|
84.68044
|
Schwarz criterion
|
3.647511
|
|
Log likelihood
|
-81.73346
|
Hannan-Quinn criter.
|
3.574756
|
|
F-statistic
|
2.176154
|
Durbin-Watson stat
|
2.244660
|
|
Prob(F-statistic)
|
0.125275
|
|
|
|
|
|
|
|
|
|
|
|
|
|
|
Null Hypothesis: D(SLOPES_CURVE) has a unit
root
|
|
Exogenous: Constant, Linear Trend
|
|
|
Lag Length: 0 (Automatic - based on SIC,
maxlag=10)
|
|
|
|
|
|
|
|
|
|
|
|
|
|
t-Statistic
|
Prob.*
|
|
|
|
|
|
|
|
|
|
|
|
Augmented Dickey-Fuller test statistic
|
-7.337300
|
0.0000
|
|
Test critical values:
|
1% level
|
|
-4.165756
|
|
|
5% level
|
|
-3.508508
|
|
|
10% level
|
|
-3.184230
|
|
|
|
|
|
|
|
|
|
|
|
|
*MacKinnon (1996) one-sided p-values.
|
|
|
|
|
|
|
|
|
|
|
|
|
Augmented Dickey-Fuller Test Equation
|
|
|
Dependent Variable: D(SLOPES_CURVE,2)
|
|
|
Method: Least Squares
|
|
|
|
Date: 05/31/15 Time: 15:53
|
|
|
|
Sample (adjusted): 2004M09 2008M07
|
|
|
Included observations: 47 after adjustments
|
|
|
|
|
|
|
|
|
|
|
|
|
Variable
|
Coefficient
|
Std. Error
|
t-Statistic
|
Prob.
|
|
|
|
|
|
|
|
|
|
|
|
D(SLOPES_CURVE(-1))
|
-1.105265
|
0.150636
|
-7.337300
|
0.0000
|
|
C
|
0.616767
|
0.430598
|
1.432350
|
0.1591
|
|
@TREND("2004M07")
|
-0.031900
|
0.015396
|
-2.071954
|
0.0442
|
|
|
|
|
|
|
|
|
|
|
|
R-squared
|
0.550342
|
Mean dependent var
|
-0.052572
|
|
Adjusted R-squared
|
0.529903
|
S.D. dependent var
|
2.013128
|
|
S.E. of regression
|
1.380274
|
Akaike info criterion
|
3.544142
|
|
Sum squared resid
|
83.82684
|
Schwarz criterion
|
3.662237
|
|
Log likelihood
|
-80.28734
|
Hannan-Quinn criter.
|
3.588582
|
|
F-statistic
|
26.92605
|
Durbin-Watson stat
|
1.878509
|
|
Prob(F-statistic)
|
0.000000
|
|
|
|
|
|
|
|
|
|
|
|
|
|
|
Null Hypothesis: D(SLOPES_CURVE) has a unit
root
|
|
Exogenous: None
|
|
|
|
Lag Length: 1 (Automatic - based on SIC,
maxlag=10)
|
|
|
|
|
|
|
|
|
|
|
|
|
|
t-Statistic
|
Prob.*
|
|
|
|
|
|
|
|
|
|
|
|
Augmented Dickey-Fuller test statistic
|
-3.739092
|
0.0004
|
|
Test critical values:
|
1% level
|
|
-2.616203
|
|
|
5% level
|
|
-1.948140
|
|
|
10% level
|
|
-1.612320
|
|
|
|
|
|
|
|
|
|
|
|
|
*MacKinnon (1996) one-sided p-values.
|
|
|
|
|
|
|
|
|
|
|
|
|
Augmented Dickey-Fuller Test Equation
|
|
|
Dependent Variable: D(SLOPES_CURVE,2)
|
|
|
Method: Least Squares
|
|
|
|
Date: 05/31/15 Time: 15:53
|
|
|
|
Sample (adjusted): 2004M10 2008M07
|
|
|
Included observations: 46 after adjustments
|
|
|
|
|
|
|
|
|
|
|
|
|
Variable
|
Coefficient
|
Std. Error
|
t-Statistic
|
Prob.
|
|
|
|
|
|
|
|
|
|
|
|
D(SLOPES_CURVE(-1))
|
-0.765902
|
0.204836
|
-3.739092
|
0.0005
|
|
D(SLOPES_CURVE(-1),2)
|
-0.234147
|
0.147809
|
-1.584118
|
0.1203
|
|
|
|
|
|
|
|
|
|
|
|
R-squared
|
0.528551
|
Mean dependent var
|
0.008889
|
|
Adjusted R-squared
|
0.517836
|
S.D. dependent var
|
1.990291
|
|
S.E. of regression
|
1.382019
|
Akaike info criterion
|
3.527473
|
|
Sum squared resid
|
84.03899
|
Schwarz criterion
|
3.606979
|
|
Log likelihood
|
-79.13188
|
Hannan-Quinn criter.
|
3.557257
|
|
Durbin-Watson stat
|
1.940408
|
|
|
|
|
|
|
|
|
|
|
|
|
|
Уравнение взаимосвязи коэффициента наклона и
экономической активности
|
Dependent Variable: D(SLOPES_CURVE)
|
|
|
|
Method: Least Squares
|
|
|
|
|
Date: 05/31/15 Time: 16:05
|
|
|
|
|
Sample (adjusted): 2004M08 2008M07
|
|
|
|
Included observations: 48 after adjustments
|
|
|
|
|
|
|
|
|
|
|
|
|
|
|
|
Variable
|
Coefficient
|
Std. Error
|
t-Statistic
|
Prob.
|
|
|
|
|
|
|
|
|
|
|
|
|
|
|
C
|
-0.019806
|
0.194523
|
-0.101818
|
0.9193
|
1.116023
|
0.392146
|
2.845939
|
0.0066
|
|
|
|
|
|
|
|
|
|
|
|
|
|
|
R-squared
|
0.149713
|
Mean dependent var
|
-0.149457
|
|
|
Adjusted R-squared
|
0.131228
|
S.D. dependent var
|
1.405692
|
|
|
S.E. of regression
|
1.310216
|
Akaike info criterion
|
3.419035
|
|
|
Sum squared resid
|
78.96664
|
Schwarz criterion
|
3.497002
|
|
|
Log likelihood
|
-80.05684
|
Hannan-Quinn criter.
|
3.448499
|
|
|
F-statistic
|
8.099368
|
Durbin-Watson stat
|
2.381591
|
|
|
Prob(F-statistic)
|
0.006592
|
|
|
|
|
|
|
|
|
|
|
|
|
|
|
|
|
|
Date: 05/31/15 Time: 16:05
|
|
|
|
|
Sample: 2004M07 2008M12
|
|
|
|
|
|
|
Included observations: 48
|
|
|
|
|
|
Q-statistic probabilities adjusted for 1
dynamic regressor
|
|
|
|
|
|
|
|
|
|
|
|
|
|
|
|
Autocorrelation
|
Partial Correlation
|
|
AC
|
PAC
|
Q-Stat
|
Prob*
|
|
|
|
|
|
|
|
|
|
|
|
|
|
|
|
.*| . |
|
.*| . |
|
1
|
-0.197
|
-0.197
|
1.9751
|
0.160
|
|
. | . |
|
. | . |
|
2
|
0.013
|
-0.027
|
1.9840
|
0.371
|
|
**| . |
|
**| . |
|
3
|
-0.258
|
-0.271
|
5.5266
|
0.137
|
|
. | . |
|
.*| . |
|
4
|
-0.033
|
-0.156
|
5.5854
|
0.232
|
|
. | . |
|
.*| . |
|
5
|
-0.049
|
-0.125
|
5.7216
|
0.334
|
|
. |*. |
|
. | . |
|
6
|
0.145
|
0.027
|
6.9162
|
0.329
|
|
. | . |
|
. | . |
|
7
|
0.016
|
-0.003
|
6.9306
|
0.436
|
|
. | . |
|
. | . |
|
8
|
0.002
|
-0.033
|
6.9308
|
0.544
|
|
.*| . |
|
.*| . |
|
9
|
-0.092
|
-0.069
|
7.4526
|
0.590
|
|
. | . |
|
. | . |
|
10
|
-0.031
|
-0.055
|
7.5115
|
0.676
|
|
. | . |
|
. | . |
|
11
|
-0.001
|
-0.026
|
7.5115
|
0.756
|
|
. | . |
|
.*| . |
|
12
|
-0.049
|
-0.128
|
7.6694
|
0.810
|
|
. | . |
|
. | . |
|
13
|
0.052
|
-0.041
|
7.8582
|
0.853
|
|
. |*. |
|
. |*. |
|
14
|
0.119
|
0.106
|
8.8597
|
0.840
|
|
.*| . |
|
.*| . |
|
15
|
-0.082
|
-0.072
|
9.3430
|
0.859
|
|
. |*. |
|
. |*. |
|
16
|
0.128
|
0.132
|
10.563
|
0.836
|
|
. | . |
|
. |*. |
|
17
|
-0.020
|
0.109
|
10.593
|
0.877
|
|
. | . |
|
. | . |
|
18
|
0.001
|
0.050
|
10.593
|
0.911
|
|
. | . |
|
. |*. |
|
19
|
-0.023
|
0.075
|
10.635
|
0.936
|
|
. | . |
|
. | . |
|
20
|
0.002
|
0.037
|
10.635
|
0.955
|
|
|
|
|
|
|
|
|
|
|
|
|
|
|
|
Date: 05/31/15 Time: 16:07 Sample: 2004M07
2008M12 Included observations: 48 Autocorrelation
Partial Correlation AC PAC Q-Stat Prob . |** | . |**
| 1 0.271 0.271 3.7420 0.063 . | . | .*| . | 2 -0.040 -0.123 3.8272
0.148 . | . | . |*. | 3 0.043 0.097 3.9266 0.270 . | . | .*| . | 4
-0.018 -0.071 3.9438 0.414 . | . | . | . | 5 -0.000 0.040 3.9438 0.558 .
| . | . | . | 6 -0.005 -0.031 3.9451 0.684 . | . | . | . | 7 -0.019
-0.001 3.9670 0.784 . | . | . | . | 8 -0.015 -0.015 3.9798 0.859 . | .
| . | . | 9 0.008 0.018 3.9834 0.913 . | . | . | . | 10 -0.018 -0.031
4.0048 0.947 . | . | . | . | 11 -0.034 -0.017 4.0782 0.968 . | . | . |
. | 12 -0.016 -0.009 4.0960 0.982 . | . | . | . | 13 -0.031 -0.027 4.1617
0.989 . | . | . |*. | 14 0.055 0.080 4.3718 0.993 . | . | . | . | 15
0.002 -0.052 4.3720 0.996 . | . | . | . | 16 0.028 0.069 4.4288 0.998 .
| . | . | . | 17 0.001 -0.053 4.4289 0.999 . | . | . | . | 18 -0.046 -0.015
4.6011 0.999 . | . | . | . | 19 -0.043 -0.043 4.7522 1.000 . | . | . |
. | 20 -0.044 -0.021 4.9218 1.000
|
|
|
|
|
|
|
|
|
|
|
|
|
Приложение 3
Расширенный тест Дики-Фуллера на единичный
корень
|
Null Hypothesis: LEVELS_PARAM has a unit root
|
|
|
Exogenous: Constant, Linear Trend
|
|
|
Lag Length: 0 (Automatic - based on SIC,
maxlag=10)
|
|
|
|
|
|
|
|
|
|
|
|
|
|
t-Statistic
|
Prob.*
|
|
|
|
|
|
|
|
|
|
|
|
Augmented Dickey-Fuller test statistic
|
-1.552647
|
0.7982
|
|
Test critical values:
|
1% level
|
|
-4.140858
|
|
|
5% level
|
|
-3.496960
|
|
|
10% level
|
|
-3.177579
|
|
|
|
|
|
|
|
|
|
|
|
|
*MacKinnon (1996) one-sided p-values.
|
|
|
|
|
|
|
|
|
|
|
|
|
Augmented Dickey-Fuller Test Equation
|
|
|
Dependent Variable: D(LEVELS_PARAM)
|
|
|
Method: Least Squares
|
|
|
|
Date: 05/31/15 Time: 18:57
|
|
|
|
Sample (adjusted): 2004M08 2008M12
|
|
|
Included observations: 53 after adjustments
|
|
|
|
|
|
|
|
|
|
|
|
|
Variable
|
Coefficient
|
Std. Error
|
t-Statistic
|
Prob.
|
|
|
|
|
|
|
|
|
|
|
|
LEVELS_PARAM(-1)
|
-0.140773
|
0.090667
|
-1.552647
|
0.1268
|
|
C
|
0.078584
|
0.203521
|
0.386122
|
0.7010
|
|
@TREND("2004M07")
|
-0.004855
|
0.006580
|
-0.737805
|
0.4641
|
|
|
|
|
|
|
|
|
|
|
|
R-squared
|
0.060267
|
Mean dependent var
|
-0.062567
|
|
Adjusted R-squared
|
0.022678
|
S.D. dependent var
|
0.737772
|
|
S.E. of regression
|
0.729358
|
Akaike info criterion
|
2.261636
|
|
Sum squared resid
|
26.59819
|
Schwarz criterion
|
2.373162
|
|
Log likelihood
|
-56.93335
|
Hannan-Quinn criter.
|
2.304523
|
|
F-statistic
|
1.603297
|
Durbin-Watson stat
|
1.802225
|
|
Prob(F-statistic)
|
0.211404
|
|
|
|
|
|
|
|
|
|
|
|
|
|
|
Null Hypothesis: D(LEVELS_PARAM) has a unit
root
|
|
Exogenous: Constant, Linear Trend
|
|
|
Lag Length: 0 (Automatic - based on SIC,
maxlag=10)
|
|
|
|
|
|
|
|
|
|
|
|
|
|
t-Statistic
|
Prob.*
|
|
|
|
|
|
|
|
|
|
|
|
Augmented Dickey-Fuller test statistic
|
-7.291636
|
0.0000
|
|
Test critical values:
|
1% level
|
|
-4.144584
|
|
|
5% level
|
|
-3.498692
|
|
|
10% level
|
|
-3.178578
|
|
|
|
|
|
|
|
|
|
|
|
|
*MacKinnon (1996) one-sided p-values.
|
|
|
|
|
|
|
|
|
|
|
|
|
Augmented Dickey-Fuller Test Equation
|
|
|
Dependent Variable: D(LEVELS_PARAM,2)
|
|
|
Method: Least Squares
|
|
|
|
Date: 05/31/15 Time: 18:56
|
|
|
|
Sample (adjusted): 2004M09 2008M12
|
|
|
Included observations: 52 after adjustments
|
|
|
|
|
|
|
|
|
|
|
|
|
Variable
|
Coefficient
|
Std. Error
|
t-Statistic
|
Prob.
|
|
|
|
|
|
|
|
|
|
|
|
D(LEVELS_PARAM(-1))
|
-1.025618
|
0.140657
|
-7.291636
|
0.0000
|
|
C
|
0.193241
|
0.212493
|
0.909398
|
0.3676
|
|
@TREND("2004M07")
|
-0.008622
|
0.006800
|
-1.268035
|
0.2108
|
|
|
|
|
|
|
|
|
|
|
|
R-squared
|
0.522454
|
Mean dependent var
|
0.001450
|
|
Adjusted R-squared
|
0.502962
|
S.D. dependent var
|
1.040205
|
|
S.E. of regression
|
0.733353
|
Akaike info criterion
|
2.273583
|
|
Sum squared resid
|
26.35256
|
Schwarz criterion
|
2.386155
|
|
Log likelihood
|
-56.11317
|
Hannan-Quinn criter.
|
2.316741
|
|
F-statistic
|
26.80398
|
Durbin-Watson stat
|
1.982965
|
|
Prob(F-statistic)
|
0.000000
|
|
|
|
|
|
|
|
|
|
|
|
|
|
|
Null Hypothesis: D(LEVELS_PARAM) has a unit
root
|
|
Exogenous: None
|
|
|
|
Lag Length: 0 (Automatic - based on SIC,
maxlag=10)
|
|
|
|
|
|
|
|
|
|
|
|
|
|
t-Statistic
|
Prob.*
|
|
|
|
|
|
|
|
|
|
|
|
Augmented Dickey-Fuller test statistic
|
-7.213657
|
0.0000
|
|
Test critical values:
|
1% level
|
|
-2.610192
|
|
|
5% level
|
|
-1.947248
|
|
|
10% level
|
|
-1.612797
|
|
|
|
|
|
|
|
|
|
|
|
|
*MacKinnon (1996) one-sided p-values.
|
|
|
|
|
|
|
|
|
|
|
|
|
Augmented Dickey-Fuller Test Equation
|
|
|
Dependent Variable: D(LEVELS_PARAM,2)
|
|
|
Method: Least Squares
|
|
|
|
Date: 05/31/15 Time: 18:57
|
|
|
|
Sample (adjusted): 2004M09 2008M12
|
|
|
Included observations: 52 after adjustments
|
|
|
|
|
|
|
|
|
|
|
|
|
Variable
|
Coefficient
|
Std. Error
|
t-Statistic
|
Prob.
|
|
|
|
|
|
|
|
|
|
|
|
D(LEVELS_PARAM(-1))
|
-1.007156
|
0.139618
|
0.0000
|
|
|
|
|
|
|
|
|
|
|
|
R-squared
|
0.505030
|
Mean dependent var
|
0.001450
|
|
Adjusted R-squared
|
0.505030
|
S.D. dependent var
|
1.040205
|
|
S.E. of regression
|
0.731826
|
Akaike info criterion
|
2.232496
|
|
Sum squared resid
|
27.31406
|
Schwarz criterion
|
2.270020
|
|
Log likelihood
|
-57.04491
|
Hannan-Quinn criter.
|
2.246882
|
|
Durbin-Watson stat
|
1.947112
|
|
|
|
|
|
|
|
|
|
|
|
|
|
|
Null Hypothesis: SLOPE_PARAM has a unit root
|
|
|
Exogenous: Constant, Linear Trend
|
|
|
Lag Length: 4 (Automatic - based on SIC,
maxlag=10)
|
|
|
|
|
|
|
|
|
|
|
|
|
|
t-Statistic
|
Prob.*
|
|
|
|
|
|
|
|
|
|
|
|
Augmented Dickey-Fuller test statistic
|
-1.746174
|
0.7152
|
|
Test critical values:
|
1% level
|
|
-4.156734
|
|
|
5% level
|
|
-3.504330
|
|
|
10% level
|
|
-3.181826
|
|
|
|
|
|
|
|
|
|
|
|
|
*MacKinnon (1996) one-sided p-values.
|
|
|
|
|
|
|
|
|
|
|
|
|
Augmented Dickey-Fuller Test Equation
|
|
|
Dependent Variable: D(SLOPE_PARAM)
|
|
|
Method: Least Squares
|
|
|
|
Date: 05/31/15 Time: 19:00
|
|
|
|
Sample (adjusted): 2004M12 2008M12
|
|
|
Included observations: 49 after adjustments
|
|
|
|
|
|
|
|
|
|
|
|
|
Variable
|
Coefficient
|
Std. Error
|
t-Statistic
|
Prob.
|
|
|
|
|
|
|
|
|
|
|
|
SLOPE_PARAM(-1)
|
-0.104772
|
0.060001
|
-1.746174
|
0.0881
|
|
D(SLOPE_PARAM(-1))
|
0.411760
|
0.184761
|
2.228602
|
0.0312
|
|
D(SLOPE_PARAM(-2))
|
0.199878
|
0.236196
|
0.846239
|
0.4022
|
|
D(SLOPE_PARAM(-3))
|
0.673875
|
0.238899
|
2.820759
|
0.0073
|
|
D(SLOPE_PARAM(-4))
|
-0.680288
|
0.226715
|
-3.000637
|
0.0045
|
|
C
|
0.146259
|
0.111844
|
1.307706
|
0.1981
|
|
@TREND("2004M07")
|
-0.005625
|
0.003531
|
-1.592852
|
0.1187
|
|
|
|
|
|
|
|
|
|
|
|
R-squared
|
0.471273
|
Mean dependent var
|
-0.085173
|
|
Adjusted R-squared
|
0.395741
|
S.D. dependent var
|
0.369202
|
|
S.E. of regression
|
0.286996
|
Akaike info criterion
|
0.472866
|
|
Sum squared resid
|
3.459400
|
Schwarz criterion
|
0.743126
|
|
Log likelihood
|
-4.585225
|
Hannan-Quinn criter.
|
0.575403
|
|
F-statistic
|
6.239352
|
Durbin-Watson stat
|
1.974040
|
|
Prob(F-statistic)
|
0.000096
|
|
|
|
|
|
|
|
|
|
|
|
|
|
|
Null Hypothesis: D(SLOPE_PARAM) has a unit
root
|
|
Exogenous: Constant, Linear Trend
|
|
|
Lag Length: 3 (Automatic - based on SIC,
maxlag=10)
|
|
|
|
|
|
|
|
|
|
|
|
|
|
t-Statistic
|
Prob.*
|
|
|
|
|
|
|
|
|
|
|
|
Augmented Dickey-Fuller test statistic
|
-3.974469
|
0.0161
|
|
Test critical values:
|
1% level
|
|
-4.156734
|
|
|
5% level
|
|
-3.504330
|
|
|
10% level
|
|
-3.181826
|
|
|
|
|
|
|
|
|
|
|
|
|
*MacKinnon (1996) one-sided p-values.
|
|
|
|
|
|
|
|
|
|
|
|
|
Augmented Dickey-Fuller Test Equation
|
|
|
Dependent Variable: D(SLOPE_PARAM,2)
|
|
|
Method: Least Squares
|
|
|
|
Date: 05/31/15 Time: 19:00
|
|
|
|
Sample (adjusted): 2004M12 2008M12
|
|
|
Included observations: 49 after adjustments
|
|
|
|
|
|
|
|
|
|
|
|
|
Variable
|
Coefficient
|
Std. Error
|
t-Statistic
|
Prob.
|
|
|
|
|
|
|
|
|
|
|
|
D(SLOPE_PARAM(-1))
|
-0.711756
|
0.179082
|
-3.974469
|
0.0003
|
|
D(SLOPE_PARAM(-1),2)
|
0.087826
|
0.246756
|
0.355924
|
0.7236
|
|
D(SLOPE_PARAM(-2),2)
|
0.240839
|
0.227592
|
1.058206
|
0.2959
|
|
D(SLOPE_PARAM(-3),2)
|
0.840375
|
0.212234
|
3.959659
|
0.0003
|
|
C
|
0.047910
|
0.098903
|
0.484420
|
0.6305
|
|
@TREND("2004M07")
|
-0.002858
|
0.003230
|
-0.884841
|
0.3812
|
|
|
|
|
|
|
|
|
|
|
|
R-squared
|
0.476449
|
Mean dependent var
|
0.012384
|
|
Adjusted R-squared
|
0.415571
|
S.D. dependent var
|
0.384254
|
|
S.E. of regression
|
0.293755
|
Akaike info criterion
|
0.502134
|
|
Sum squared resid
|
3.710546
|
Schwarz criterion
|
0.733785
|
|
Log likelihood
|
-6.302280
|
Hannan-Quinn criter.
|
0.590022
|
|
F-statistic
|
7.826299
|
Durbin-Watson stat
|
2.032011
|
|
Prob(F-statistic)
|
0.000026
|
|
|
|
|
|
|
|
|
|
|
|
|
|
|
Null Hypothesis: D(SLOPE_PARAM) has a unit
root
|
|
Exogenous: None
|
|
|
|
Lag Length: 3 (Automatic - based on SIC,
maxlag=10)
|
|
|
|
|
|
|
|
|
|
|
|
|
|
t-Statistic
|
Prob.*
|
|
|
|
|
|
|
|
|
|
|
|
Augmented Dickey-Fuller test statistic
|
-3.876192
|
0.0002
|
|
Test critical values:
|
1% level
|
|
-2.613010
|
|
|
5% level
|
|
-1.947665
|
|
|
10% level
|
|
-1.612573
|
|
|
|
|
|
|
|
|
|
|
|
|
*MacKinnon (1996) one-sided p-values.
|
|
|
|
|
|
|
|
|
|
|
|
|
Augmented Dickey-Fuller Test Equation
|
|
|
Dependent Variable: D(SLOPE_PARAM,2)
|
|
|
Method: Least Squares
|
|
|
|
Date: 05/31/15 Time: 19:01
|
|
|
|
Sample (adjusted): 2004M12 2008M12
|
|
|
Included observations: 49 after adjustments
|
|
|
|
|
|
|
|
|
|
|
|
|
Variable
|
Coefficient
|
Std. Error
|
t-Statistic
|
Prob.
|
|
|
|
|
|
|
|
|
|
|
|
D(SLOPE_PARAM(-1))
|
-0.635900
|
0.164053
|
-3.876192
|
0.0003
|
|
D(SLOPE_PARAM(-1),2)
|
0.068126
|
0.243578
|
0.279690
|
0.7810
|
|
D(SLOPE_PARAM(-2),2)
|
0.232205
|
0.225399
|
1.030194
|
0.3084
|
|
D(SLOPE_PARAM(-3),2)
|
0.843621
|
0.210144
|
4.014494
|
0.0002
|
|
|
|
|
|
|
|
|
|
|
|
R-squared
|
0.460929
|
Mean dependent var
|
0.012384
|
|
Adjusted R-squared
|
0.424991
|
S.D. dependent var
|
0.384254
|
|
S.E. of regression
|
0.291378
|
Akaike info criterion
|
0.449715
|
|
Sum squared resid
|
3.820544
|
Schwarz criterion
|
0.604149
|
|
Log likelihood
|
-7.018013
|
Hannan-Quinn criter.
|
0.508307
|
|
Durbin-Watson stat
|
2.032370
|
|
|
|
|
|
|
|
|
|
|
|
|
|
|
Null Hypothesis: CLI_LEVELS_NOCHINA has a unit
root
|
|
Exogenous: Constant, Linear Trend
|
|
|
Lag Length: 1 (Automatic - based on SIC,
maxlag=10)
|
|
|
|
|
|
|
|
|
|
|
|
|
|
t-Statistic
|
Prob.*
|
|
|
|
|
|
|
|
|
|
|
|
Augmented Dickey-Fuller test statistic
|
-3.128185
|
0.1107
|
|
Test critical values:
|
1% level
|
|
-4.144584
|
|
|
5% level
|
|
-3.498692
|
|
|
10% level
|
|
-3.178578
|
|
|
|
|
|
|
|
|
|
|
|
|
*MacKinnon (1996) one-sided p-values.
|
|
|
|
|
|
|
|
|
|
|
|
|
Augmented Dickey-Fuller Test Equation
|
|
|
Dependent Variable: D(CLI_LEVELS_NOCHINA)
|
|
|
Method: Least Squares
|
|
|
|
Date: 05/31/15 Time: 19:01
|
|
|
|
Sample (adjusted): 2004M09 2008M12
|
|
|
Included observations: 52 after adjustments
|
|
|
|
|
|
|
|
|
|
|
|
|
Variable
|
Coefficient
|
Std. Error
|
t-Statistic
|
Prob.
|
|
|
|
|
|
|
|
|
|
|
|
CLI_LEVELS_NOCHINA(-1)
|
-0.034782
|
0.011119
|
-3.128185
|
0.0030
|
|
D(CLI_LEVELS_NOCHINA(-1))
|
1.128441
|
0.076241
|
14.80104
|
0.0000
|
|
C
|
0.035119
|
0.031106
|
1.129008
|
0.2645
|
|
@TREND("2004M07")
|
-0.000701
|
0.001306
|
-0.536912
|
0.5938
|
|
|
|
|
|
|
|
|
|
|
|
R-squared
|
0.953330
|
Mean dependent var
|
-0.185235
|
|
Adjusted R-squared
|
0.950413
|
S.D. dependent var
|
0.431569
|
|
S.E. of regression
|
0.096103
|
Akaike info criterion
|
-1.772997
|
|
Sum squared resid
|
0.443314
|
Schwarz criterion
|
-1.622902
|
|
Log likelihood
|
50.09793
|
Hannan-Quinn criter.
|
-1.715454
|
|
F-statistic
|
326.8306
|
Durbin-Watson stat
|
2.054905
|
|
Prob(F-statistic)
|
0.000000
|
|
|
|
|
|
|
|
|
|
|
|
|
|
|
Null Hypothesis: D(CLI_LEVELS_NOCHINA) has a
unit root
|
|
Exogenous: None
|
|
|
|
Lag Length: 2 (Automatic - based on SIC,
maxlag=10)
|
|
|
|
|
|
|
|
|
|
|
|
|
|
t-Statistic
|
Prob.*
|
|
|
|
|
|
|
|
|
|
|
|
Augmented Dickey-Fuller test statistic
|
-2.215175
|
0.0271
|
|
Test critical values:
|
1% level
|
|
-2.612033
|
|
|
5% level
|
|
-1.947520
|
|
|
10% level
|
|
|
|
|
|
|
|
|
|
|
|
|
*MacKinnon (1996) one-sided p-values.
|
|
|
|
|
|
|
|
|
|
|
|
|
Augmented Dickey-Fuller Test Equation
|
|
|
Dependent Variable: D(CLI_LEVELS_NOCHINA,2)
|
|
|
Method: Least Squares
|
|
|
|
Date: 05/31/15 Time: 19:02
|
|
|
|
Sample (adjusted): 2004M11 2008M12
|
|
|
Included observations: 50 after adjustments
|
|
|
|
|
|
|
|
|
|
|
|
|
Variable
|
Coefficient
|
Std. Error
|
t-Statistic
|
Prob.
|
|
|
|
|
|
|
|
|
|
|
|
D(CLI_LEVELS_NOCHINA(-1))
|
-0.083140
|
0.037532
|
-2.215175
|
0.0316
|
|
D(CLI_LEVELS_NOCHINA(-1),2)
|
0.314730
|
0.156683
|
2.008703
|
0.0503
|
|
D(CLI_LEVELS_NOCHINA(-2),2)
|
0.573841
|
0.170947
|
3.356836
|
0.0016
|
|
|
|
|
|
|
|
|
|
|
|
R-squared
|
0.216416
|
Mean dependent var
|
-0.012525
|
|
Adjusted R-squared
|
0.183072
|
S.D. dependent var
|
0.108288
|
|
S.E. of regression
|
0.097875
|
Akaike info criterion
|
-1.752129
|
|
Sum squared resid
|
0.450236
|
Schwarz criterion
|
-1.637408
|
|
Log likelihood
|
46.80322
|
Hannan-Quinn criter.
|
-1.708442
|
|
Durbin-Watson stat
|
1.992193
|
|
|
|
|
|
|
|
|
|
|
|
|
|
|
Null Hypothesis: D(CLI_LEVELS_NOCHINA) has a
unit root
|
|
Exogenous: Constant, Linear Trend
|
|
|
Lag Length: 6 (Automatic - based on SIC,
maxlag=10)
|
|
|
|
|
|
|
|
|
|
|
|
|
|
t-Statistic
|
Prob.*
|
|
|
|
|
|
|
|
|
|
|
|
Augmented Dickey-Fuller test statistic
|
-5.386541
|
0.0003
|
|
Test critical values:
|
1% level
|
|
-4.180911
|
|
|
5% level
|
|
-3.515523
|
|
|
10% level
|
|
-3.188259
|
|
|
|
|
|
|
|
|
|
|
|
|
*MacKinnon (1996) one-sided p-values.
|
|
|
|
|
|
|
|
|
|
|
|
|
Augmented Dickey-Fuller Test Equation
|
|
|
Dependent Variable: D(CLI_LEVELS_NOCHINA,2)
|
|
|
Method: Least Squares
|
|
|
|
Date: 05/31/15 Time: 19:05
|
|
|
|
Sample (adjusted): 2005M05 2008M12
|
|
|
Included observations: 44 after adjustments
|
|
|
|
|
|
|
|
|
|
|
|
|
Variable
|
Coefficient
|
Std. Error
|
t-Statistic
|
Prob.
|
|
|
|
|
|
|
|
|
|
|
|
D(CLI_LEVELS_NOCHINA (-1))
|
-8.005797
|
1.486259
|
-5.386541
|
0.0000
|
|
D(CLI_LEVELS_NOCHINA (-1),2)
|
5.852539
|
1.384115
|
4.228363
|
0.0002
|
|
D(CLI_LEVELS_NOCHINA (-2),2)
|
4.785929
|
1.210727
|
3.952937
|
0.0004
|
|
D(CLI_LEVELS_NOCHINA (-3),2)
|
3.622325
|
0.979373
|
3.698618
|
0.0007
|
|
D(CLI_LEVELS_NOCHINA (-4),2)
|
2.546932
|
0.697490
|
3.651566
|
0.0008
|
|
D(CLI_LEVELS_NOCHINA (-5),2)
|
1.427728
|
0.426145
|
3.350331
|
0.0019
|
|
D(CLI_LEVELS_NOCHINA (-6),2)
|
0.437411
|
0.181183
|
2.414193
|
0.0211
|
|
C
|
1.647520
|
2.827333
|
0.582712
|
0.5638
|
|
@TREND("2004M07")
|
-0.069268
|
0.085551
|
-0.809678
|
0.4236
|
|
|
|
|
|
|
|
|
|
|
|
R-squared
|
0.897130
|
Mean dependent var
|
0.217045
|
|
Adjusted R-squared
|
0.873617
|
S.D. dependent var
|
19.11123
|
|
S.E. of regression
|
6.794107
|
Akaike info criterion
|
6.850238
|
|
Sum squared resid
|
1615.596
|
Schwarz criterion
|
7.215186
|
|
Log likelihood
|
-141.7052
|
Hannan-Quinn criter.
|
6.985578
|
|
F-statistic
|
38.15458
|
Durbin-Watson stat
|
1.978183
|
|
Prob(F-statistic)
|
0.000000
|
|
|
|
|
|
|
|
|
|
|
|
|
|
|
Null Hypothesis: INF_LEVELS_NOCHINA has a unit
root
|
|
Exogenous: Constant, Linear Trend
|
|
|
Lag Length: 1 (Automatic - based on SIC,
maxlag=10)
|
|
|
|
|
|
|
|
|
|
|
|
|
|
t-Statistic
|
Prob.*
|
|
|
|
|
|
|
|
|
|
|
|
Augmented Dickey-Fuller test statistic
|
-2.968673
|
0.1507
|
|
Test critical values:
|
1% level
|
|
-4.144584
|
|
|
5% level
|
|
-3.498692
|
|
|
10% level
|
|
-3.178578
|
|
|
|
|
|
|
|
|
|
|
|
|
*MacKinnon (1996) one-sided p-values.
|
|
|
|
|
|
|
|
|
|
|
|
|
Augmented Dickey-Fuller Test Equation
|
|
|
Dependent Variable: D(INF_LEVELS_NOCHINA)
|
|
|
Method: Least Squares
|
|
|
|
Date: 05/31/15 Time: 19:09
|
|
|
|
Sample (adjusted): 2004M09 2008M12
|
|
|
Included observations: 52 after adjustments
|
|
|
|
|
|
|
|
|
|
|
|
|
Variable
|
Coefficient
|
Std. Error
|
t-Statistic
|
Prob.
|
|
|
|
|
|
|
|
|
|
|
|
INF_LEVELS_NOCHINA(-1)
|
-0.194523
|
0.065525
|
-2.968673
|
0.0047
|
|
D(INF_LEVELS_NOCHINA(-1))
|
0.579907
|
0.125867
|
4.607305
|
0.0000
|
|
C
|
-0.239740
|
0.182826
|
-1.311305
|
0.1960
|
|
@TREND("2004M07")
|
0.007908
|
0.006090
|
1.298560
|
0.2003
|
|
|
|
|
|
|
|
|
|
|
|
R-squared
|
0.341305
|
Mean dependent var
|
-0.026598
|
|
Adjusted R-squared
|
0.300137
|
S.D. dependent var
|
0.647183
|
|
S.E. of regression
|
0.541419
|
Akaike info criterion
|
1.684559
|
|
Sum squared resid
|
14.07048
|
Schwarz criterion
|
1.834654
|
|
Log likelihood
|
-39.79852
|
Hannan-Quinn criter.
|
1.742102
|
|
F-statistic
|
8.290452
|
Durbin-Watson stat
|
2.015055
|
|
Prob(F-statistic)
|
0.000151
|
|
|
|
|
|
|
|
|
|
|
|
|
|
|
Null Hypothesis: D(INF_LEVELS_NOCHINA) has a
unit root
|
|
Exogenous: Constant, Linear Trend
|
|
|
Lag Length: 0 (Automatic - based on SIC,
maxlag=10)
|
|
|
|
|
|
|
|
|
|
|
|
|
|
t-Statistic
|
Prob.*
|
|
|
|
|
|
|
|
|
|
|
|
Augmented Dickey-Fuller test statistic
|
-3.932308
|
0.0175
|
|
Test critical values:
|
1% level
|
|
-4.144584
|
|
|
5% level
|
|
-3.498692
|
|
|
10% level
|
|
-3.178578
|
|
|
|
|
|
|
|
|
|
|
|
|
*MacKinnon (1996) one-sided p-values.
|
|
|
|
|
|
|
|
|
|
|
|
|
Augmented Dickey-Fuller Test Equation
|
|
|
Dependent Variable: D(INF_LEVELS_NOCHINA,2)
|
|
|
Method: Least Squares
|
|
|
|
Date: 05/31/15 Time: 19:09
|
|
|
|
Sample (adjusted): 2004M09 2008M12
|
|
|
Included observations: 52 after adjustments
|
|
|
|
|
|
|
|
|
|
|
|
|
Variable
|
Coefficient
|
Std. Error
|
t-Statistic
|
Prob.
|
|
|
|
|
|
|
|
|
|
|
|
D(INF_LEVELS_NOCHINA(-1))
|
-0.515342
|
0.131053
|
-3.932308
|
0.0003
|
|
C
|
0.039700
|
0.168765
|
0.235239
|
0.8150
|
|
@TREND("2004M07")
|
-0.002402
|
0.005387
|
-0.445878
|
0.6576
|
|
|
|
|
|
|
|
|
|
|
|
R-squared
|
0.242550
|
Mean dependent var
|
-0.026091
|
|
Adjusted R-squared
|
0.211633
|
S.D. dependent var
|
0.656592
|
|
S.E. of regression
|
0.582988
|
Akaike info criterion
|
1.814662
|
|
Sum squared resid
|
16.65389
|
Schwarz criterion
|
1.927233
|
|
Log likelihood
|
-44.18120
|
Hannan-Quinn criter.
|
1.857819
|
|
F-statistic
|
7.845354
|
Durbin-Watson stat
|
1.881120
|
|
Prob(F-statistic)
|
0.001107
|
|
|
|
|
|
|
|
|
|
|
|
|
|
|
Null Hypothesis: D(INF_LEVELS_NOCHINA) has a
unit root
|
|
Exogenous: None
|
|
|
|
Lag Length: 0 (Automatic - based on SIC,
maxlag=10)
|
|
|
|
|
|
|
|
|
|
|
|
|
|
t-Statistic
|
Prob.*
|
|
|
|
|
|
|
|
|
|
|
|
Augmented Dickey-Fuller test statistic
|
-4.002785
|
0.0001
|
|
Test critical values:
|
1% level
|
|
-2.610192
|
|
|
5% level
|
|
-1.947248
|
|
|
10% level
|
|
-1.612797
|
|
|
|
|
|
|
|
|
|
|
|
|
*MacKinnon (1996) one-sided p-values.
|
|
|
|
|
|
|
|
|
|
|
|
|
Augmented Dickey-Fuller Test Equation
|
|
|
Dependent Variable: D(INF_LEVELS_NOCHINA,2)
|
|
|
Method: Least Squares
|
|
|
|
Date: 05/31/15 Time: 19:09
|
|
|
|
Sample (adjusted): 2004M09 2008M12
|
|
|
Included observations: 52 after adjustments
|
|
|
|
|
|
|
|
|
|
|
|
|
Variable
|
Coefficient
|
Std. Error
|
t-Statistic
|
Prob.
|
|
|
|
|
|
|
|
|
|
|
|
D(INF_LEVELS_NOCHINA(-1))
|
-0.515771
|
0.128853
|
-4.002785
|
0.0002
|
|
|
|
|
|
|
|
|
|
|
|
R-squared
|
0.237834
|
Mean dependent var
|
-0.026091
|
|
Adjusted R-squared
|
0.237834
|
S.D. dependent var
|
0.656592
|
|
S.E. of regression
|
0.573219
|
Akaike info criterion
|
1.743945
|
|
Sum squared resid
|
16.75757
|
Schwarz criterion
|
1.781469
|
|
Log likelihood
|
-44.34257
|
Hannan-Quinn criter.
|
1.758331
|
|
Durbin-Watson stat
|
1.868499
|
|
|
|
|
|
|
|
|
|
|
|
|
|
Результаты регрессионного анализа
|
Dependent Variable: D(LEVELS_CURVE)
|
|
|
|
Method: ML - ARCH (Marquardt) - Normal
distribution
|
|
|
Date: 05/23/15 Time: 19:38
|
|
|
|
|
Sample (adjusted): 2004M10 2008M12
|
|
|
|
Included observations: 51 after adjustments
|
|
|
|
Convergence achieved after 40 iterations
|
|
|
|
MA Backcast: OFF (Roots of MA process too
large)
|
|
|
GARCH = C(5) + C(6)*GARCH(-1)
|
|
|
|
|
|
|
|
|
|
|
|
|
|
|
|
|
Variable
|
Coefficient
|
Std. Error
|
z-Statistic
|
Prob.
|
|
|
|
|
|
|
|
|
|
|
|
|
|
|
C
|
-0.005971
|
0.003546
|
-1.683732
|
0.0922
|
|
|
D(INF_LEVELS_NOCHINA)
|
1.099018
|
0.055759
|
19.71012
|
0.0000
|
|
|
AR(2)
|
-0.503088
|
0.183260
|
-2.745214
|
0.0060
|
|
|
MA(1)
|
-1.149107
|
0.115677
|
-9.933734
|
0.0000
|
|
|
|
|
|
|
|
|
|
|
|
|
|
|
Variance Equation
|
|
|
|
|
|
|
|
|
|
|
|
|
|
|
|
|
C
|
-0.009504
|
0.018152
|
-0.523566
|
0.6006
|
|
|
GARCH(-1)
|
1.094618
|
0.159258
|
6.873228
|
0.0000
|
|
|
|
|
|
|
|
|
|
|
|
|
|
|
R-squared
|
0.698343
|
Mean dependent var
|
-0.047222
|
|
|
Adjusted R-squared
|
0.679088
|
S.D. dependent var
|
0.737118
|
|
|
S.E. of regression
|
0.417571
|
Akaike info criterion
|
1.088419
|
|
|
Sum squared resid
|
8.195173
|
Schwarz criterion
|
1.315692
|
|
|
Log likelihood
|
-21.75468
|
Hannan-Quinn criter.
|
1.175267
|
|
|
Durbin-Watson stat
|
2.051513
|
|
|
|
|
|
|
|
|
|
|
|
|
|
|
|
|
|
Inverted MA Roots
|
1.15
|
|
|
|
|
Estimated MA process is noninvertible
|
|
|
|
|
|
|
|
|
|
|
|
|
|
|
Dependent Variable: D(SLOPE_CURVE)
|
|
|
|
Method: Least Squares
|
|
|
|
|
Date: 05/23/15 Time: 20:32
|
|
|
|
|
Sample (adjusted): 2004M10 2008M12
|
|
|
|
Included observations: 51 after adjustments
|
|
|
|
Convergence achieved after 7 iterations
|
|
|
|
|
|
|
|
|
|
|
|
|
|
|
|
Variable
|
Coefficient
|
Std. Error
|
t-Statistic
|
Prob.
|
|
|
|
|
|
|
|
|
|
|
|
|
|
|
C
|
-0.006967
|
0.096803
|
-0.071966
|
0.9429
|
|
|
D(CLI_LEVELS_NOCHINA)
|
0.385252
|
0.178739
|
2.155389
|
0.0362
|
|
|
AR(2)
|
0.495405
|
0.159808
|
3.100002
|
0.0032
|
|
|
|
|
|
|
|
|
|
|
|
|
|
|
R-squared
|
0.266793
|
Mean dependent var
|
-0.074296
|
|
|
Adjusted R-squared
|
0.236242
|
S.D. dependent var
|
0.366044
|
|
|
S.E. of regression
|
0.319898
|
Akaike info criterion
|
0.615393
|
|
|
Sum squared resid
|
4.912068
|
Schwarz criterion
|
0.729030
|
|
|
Log likelihood
|
-12.69253
|
Hannan-Quinn criter.
|
0.658817
|
|
|
F-statistic
|
8.732893
|
Durbin-Watson stat
|
1.614836
|
|
|
Prob(F-statistic)
|
0.000583
|
|
|
|
|
|
|
|
|
|
|
|
|
|
|
|
|
|
Inverted AR Roots
|
.70
|
-.70
|
|
|
|
|
|
|
|
|
|
|
|
|
|
|
|
Date: 05/23/15 Time: 20:31
|
|
|
|
|
Sample: 2004M07 2008M12
|
|
|
|
|
|
|
Included observations: 51
|
|
|
|
|
|
Q-statistic probabilities adjusted for 1 ARMA
term and 1 dynamic regressor
|
|
|
|
|
|
|
|
|
|
|
|
|
|
|
|
Autocorrelation
|
Partial Correlation
|
|
AC
|
PAC
|
Q-Stat
|
Prob*
|
|
|
|
|
|
|
|
|
|
|
|
|
|
|
|
. | . |
|
. | . |
|
1
|
0.060
|
0.060
|
0.1933
|
|
|
. |*. |
|
. |*. |
|
2
|
0.103
|
0.100
|
0.7805
|
0.377
|
|
. |** |
|
. |** |
|
3
|
0.232
|
0.224
|
3.8211
|
0.148
|
|
.*| . |
|
.*| . |
|
4
|
-0.127
|
-0.168
|
4.7548
|
0.191
|
|
.*| . |
|
**| . |
|
5
|
-0.171
|
-0.219
|
6.4711
|
0.167
|
|
. | . |
|
. | . |
|
6
|
0.002
|
-0.003
|
6.4714
|
0.263
|
|
.*| . |
|
. | . |
|
7
|
-0.094
|
0.026
|
7.0102
|
0.320
|
|
**| . |
|
**| . |
|
8
|
-0.291
|
-0.247
|
12.319
|
0.091
|
|
**| . |
|
**| . |
|
9
|
-0.239
|
-0.326
|
16.002
|
0.052
|
|
.*| . |
|
.*| . |
|
10
|
-0.142
|
-0.116
|
17.325
|
0.054
|
|
.*| . |
|
. | . |
|
11
|
-0.139
|
0.061
|
18.631
|
0.055
|
|
.*| . |
|
. | . |
|
12
|
-0.091
|
-0.054
|
19.210
|
0.067
|
|
. | . |
|
.*| . |
|
13
|
0.073
|
-0.096
|
19.585
|
0.075
|
|
. | . |
|
.*| . |
|
14
|
-0.015
|
-0.149
|
19.601
|
0.106
|
|
. | . |
|
. | . |
|
15
|
0.009
|
-0.027
|
19.607
|
0.143
|
|
. | . |
|
. | . |
|
16
|
0.058
|
-0.063
|
19.865
|
0.177
|
|
. | . |
|
.*| . |
|
17
|
0.064
|
-0.117
|
20.196
|
0.212
|
|
. | . |
|
.*| . |
|
18
|
0.040
|
-0.166
|
20.329
|
0.258
|
|
. |*. |
|
.*| . |
|
19
|
0.077
|
-0.086
|
20.831
|
0.288
|
|
. | . |
|
.*| . |
|
20
|
0.049
|
-0.067
|
21.043
|
0.334
|
|
. |*. |
|
. | . |
|
21
|
0.105
|
0.050
|
22.030
|
0.339
|
|
. |*. |
|
. | . |
|
22
|
0.106
|
0.050
|
23.086
|
0.339
|
|
. |*. |
|
. | . |
|
23
|
0.090
|
0.016
|
23.862
|
0.354
|
|
. | . |
|
.*| . |
|
24
|
0.027
|
-0.096
|
23.933
|
0.408
|
|
|
|
|
|
|
|
|
|
|
|
|
|
|
|
Date: 05/23/15 Time: 19:27
|
|
|
|
|
Sample: 2004M07 2008M12
|
|
|
|
|
|
|
Included observations: 52
|
|
|
|
|
|
|
|
|
|
|
|
|
|
|
|
|
|
|
|
Autocorrelation
|
Partial Correlation
|
|
AC
|
PAC
|
Q-Stat
|
Prob
|
|
|
|
|
|
|
|
|
|
|
|
|
|
|
|
. | . |
|
. | . |
|
1
|
0.047
|
0.047
|
0.1194
|
0.730
|
|
. | . |
|
. | . |
|
2
|
0.045
|
0.043
|
0.2312
|
0.891
|
|
. |*. |
|
. |*. |
|
3
|
0.139
|
0.136
|
1.3374
|
0.720
|
|
. | . |
|
. | . |
|
4
|
-0.022
|
-0.037
|
1.3668
|
0.850
|
|
. | . |
|
. | . |
|
5
|
0.024
|
0.015
|
1.4007
|
0.924
|
|
. |*. |
|
. |*. |
|
6
|
0.106
|
0.090
|
2.0885
|
0.911
|
|
. | . |
|
. | . |
|
7
|
-0.020
|
2.1132
|
0.953
|
|
. | . |
|
. | . |
|
8
|
0.004
|
-0.008
|
2.1144
|
0.977
|
|
. | . |
|
. | . |
|
9
|
-0.006
|
-0.030
|
2.1168
|
0.989
|
|
. | . |
|
. | . |
|
10
|
-0.020
|
-0.007
|
2.1433
|
0.995
|
|
. |*. |
|
. |*. |
|
11
|
0.186
|
0.190
|
4.5023
|
0.953
|
|
. | . |
|
. | . |
|
12
|
0.025
|
0.006
|
4.5468
|
0.971
|
|
. | . |
|
. | . |
|
13
|
0.060
|
0.053
|
4.8092
|
0.979
|
|
. | . |
|
. | . |
|
14
|
0.070
|
0.017
|
5.1702
|
0.983
|
|
. | . |
|
. | . |
|
15
|
0.052
|
0.058
|
5.3744
|
0.988
|
|
. | . |
|
. | . |
|
16
|
-0.019
|
-0.044
|
5.4018
|
0.993
|
|
. | . |
|
.*| . |
|
17
|
-0.030
|
-0.083
|
5.4754
|
0.996
|
|
. | . |
|
. | . |
|
18
|
-0.023
|
-0.027
|
5.5181
|
0.998
|
|
. | . |
|
. | . |
|
19
|
-0.006
|
0.005
|
5.5207
|
0.999
|
|
. | . |
|
. | . |
|
20
|
0.033
|
0.053
|
5.6163
|
0.999
|
|
. | . |
|
. | . |
|
21
|
-0.011
|
-0.011
|
5.6268
|
1.000
|
|
. | . |
|
. | . |
|
22
|
-0.008
|
-0.034
|
5.6324
|
1.000
|
|
. | . |
|
. | . |
|
23
|
-0.043
|
-0.041
|
5.8122
|
1.000
|
|
. | . |
|
. | . |
|
24
|
-0.017
|
-0.023
|
5.8413
|
1.000
|
|
|
|
|
|
|
|
|
|
|
|
|
|
|
Приложение 4
Расширенный тест Дики-Фуллера на единичный
корень
|
Null Hypothesis: LEVELS_CURVE has a unit root
|
|
|
Exogenous: Constant, Linear Trend
|
|
|
Lag Length: 0 (Automatic - based on SIC,
maxlag=10)
|
|
|
|
|
|
|
|
|
|
|
|
|
|
t-Statistic
|
Prob.*
|
|
|
|
|
|
|
|
|
|
|
|
Augmented Dickey-Fuller test statistic
|
-1.145560
|
0.9111
|
|
Test critical values:
|
1% level
|
|
-4.140858
|
|
|
5% level
|
|
-3.496960
|
|
|
10% level
|
|
-3.177579
|
|
|
|
|
|
|
|
|
|
|
|
|
*MacKinnon (1996) one-sided p-values.
|
|
|
|
|
|
|
|
|
|
|
|
|
Augmented Dickey-Fuller Test Equation
|
|
|
Dependent Variable: D(LEVELS_CURVE)
|
|
|
Method: Least Squares
|
|
|
|
Date: 05/31/15 Time: 20:42
|
|
|
|
Sample (adjusted): 2004M08 2008M12
|
|
|
Included observations: 53 after adjustments
|
|
|
|
|
|
|
|
|
|
|
|
|
Variable
|
Coefficient
|
Std. Error
|
t-Statistic
|
Prob.
|
|
|
|
|
|
|
|
|
|
|
|
LEVELS_CURVE(-1)
|
-0.105941
|
0.092480
|
-1.145560
|
0.2574
|
|
C
|
0.198613
|
0.211237
|
0.940236
|
0.3516
|
|
@TREND("2004M07")
|
-0.004850
|
0.005743
|
-0.844441
|
0.4024
|
|
|
|
|
|
|
|
|
|
|
|
R-squared
|
0.042168
|
Mean dependent var
|
-0.078086
|
|
Adjusted R-squared
|
0.003855
|
S.D. dependent var
|
0.638588
|
|
S.E. of regression
|
0.637356
|
Akaike info criterion
|
1.991961
|
|
Sum squared resid
|
20.31111
|
Schwarz criterion
|
2.103487
|
|
Log likelihood
|
-49.78696
|
Hannan-Quinn criter.
|
2.034848
|
|
F-statistic
|
1.100621
|
Durbin-Watson stat
|
1.304803
|
|
Prob(F-statistic)
|
0.340588
|
|
|
|
|
|
|
|
|
|
|
|
|
|
|
Null Hypothesis: D(LEVELS_CURVE) has a unit
root
|
|
Exogenous: Constant, Linear Trend
|
|
|
Lag Length: 1 (Automatic - based on SIC,
maxlag=10)
|
|
|
|
|
|
|
|
|
|
|
|
|
|
t-Statistic
|
Prob.*
|
|
|
|
|
|
|
|
|
|
|
|
Augmented Dickey-Fuller test statistic
|
-5.320890
|
0.0003
|
|
Test critical values:
|
1% level
|
|
-4.148465
|
|
|
5% level
|
|
-3.500495
|
|
|
10% level
|
|
-3.179617
|
|
|
|
|
|
|
|
|
|
|
|
|
*MacKinnon (1996) one-sided p-values.
|
|
|
|
|
|
|
|
|
|
|
|
|
Augmented Dickey-Fuller Test Equation
|
|
|
Dependent Variable: D(LEVELS_CURVE,2)
|
|
|
Method: Least Squares
|
|
|
|
Date: 05/31/15 Time: 20:43
|
|
|
|
Sample (adjusted): 2004M10 2008M12
|
|
|
Included observations: 51 after adjustments
|
|
|
|
|
|
|
|
|
|
|
|
|
Variable
|
Coefficient
|
Std. Error
|
t-Statistic
|
Prob.
|
|
|
|
|
|
|
|
|
|
|
|
D(LEVELS_CURVE(-1))
|
-1.069281
|
0.200959
|
-5.320890
|
0.0000
|
|
D(LEVELS_CURVE(-1),2)
|
0.344521
|
0.156579
|
2.200305
|
0.0327
|
|
C
|
0.136738
|
0.180108
|
0.759201
|
0.4515
|
|
@TREND("2004M07")
|
-0.006718
|
0.005715
|
-1.175657
|
0.2457
|
|
|
|
|
|
|
|
|
|
|
|
R-squared
|
0.416649
|
Mean dependent var
|
-0.028308
|
|
Adjusted R-squared
|
0.379413
|
S.D. dependent var
|
0.755227
|
|
S.E. of regression
|
0.594947
|
Akaike info criterion
|
1.874497
|
|
Sum squared resid
|
16.63624
|
Schwarz criterion
|
2.026013
|
|
Log likelihood
|
-43.79968
|
Hannan-Quinn criter.
|
1.932396
|
|
F-statistic
|
11.18964
|
Durbin-Watson stat
|
1.955794
|
|
Prob(F-statistic)
|
0.000012
|
|
|
|
|
|
|
|
|
|
|
|
|
|
|
Null Hypothesis: D(LEVELS_CURVE) has a unit
root
|
|
Exogenous: None
|
|
|
|
Lag Length: 0 (Automatic - based on SIC,
maxlag=10)
|
|
|
|
|
|
|
|
|
|
|
|
|
|
t-Statistic
|
Prob.*
|
|
|
|
|
|
|
|
|
|
|
|
Augmented Dickey-Fuller test statistic
|
-5.188479
|
0.0000
|
|
Test critical values:
|
1% level
|
|
-2.610192
|
|
|
5% level
|
|
-1.947248
|
|
|
10% level
|
|
-1.612797
|
|
|
|
|
|
|
|
|
|
|
|
|
*MacKinnon (1996) one-sided p-values.
|
|
|
|
|
|
|
|
|
|
|
|
|
Augmented Dickey-Fuller Test Equation
|
|
|
Dependent Variable: D(LEVELS_CURVE,2)
|
|
|
Method: Least Squares
|
|
|
|
Date: 05/31/15 Time: 20:43
|
|
|
|
Sample (adjusted): 2004M09 2008M12
|
|
|
Included observations: 52 after adjustments
|
|
|
|
|
|
|
|
|
|
|
|
|
Variable
|
Coefficient
|
Std. Error
|
t-Statistic
|
Prob.
|
|
|
|
|
|
|
|
|
|
|
|
D(LEVELS_CURVE(-1))
|
-0.734691
|
0.141601
|
-5.188479
|
0.0000
|
|
|
|
|
|
|
|
|
|
|
|
R-squared
|
0.345310
|
Mean dependent var
|
-0.012250
|
|
Adjusted R-squared
|
0.345310
|
S.D. dependent var
|
0.756699
|
|
S.E. of regression
|
0.612267
|
Akaike info criterion
|
1.875746
|
|
Sum squared resid
|
19.11841
|
Schwarz criterion
|
1.913270
|
|
Log likelihood
|
-47.76941
|
Hannan-Quinn criter.
|
1.890132
|
|
Durbin-Watson stat
|
1.782338
|
|
|
|
|
|
|
|
|
|
|
|
|
|
|
Null Hypothesis: SLOPES_CURVE has a unit root
|
|
|
Exogenous: Constant, Linear Trend
|
|
|
Lag Length: 4 (Automatic - based on SIC,
maxlag=10)
|
|
|
|
|
|
|
|
|
|
|
|
|
|
t-Statistic
|
Prob.*
|
|
|
|
|
|
|
|
|
|
|
|
Augmented Dickey-Fuller test statistic
|
-1.191688
|
0.9011
|
|
Test critical values:
|
1% level
|
|
-4.156734
|
|
|
5% level
|
|
-3.504330
|
|
|
10% level
|
|
-3.181826
|
|
|
|
|
|
|
|
|
|
|
|
|
*MacKinnon (1996) one-sided p-values.
|
|
|
|
|
|
|
|
|
|
|
|
|
Augmented Dickey-Fuller Test Equation
|
|
|
Dependent Variable: D(SLOPES_CURVE)
|
|
|
Method: Least Squares
|
|
|
|
Date: 05/31/15 Time: 20:44
|
|
|
|
Sample (adjusted): 2004M12 2008M12
|
|
|
Included observations: 49 after adjustments
|
|
|
|
|
|
|
|
|
|
|
|
|
Variable
|
Coefficient
|
Std. Error
|
t-Statistic
|
Prob.
|
|
|
|
|
|
|
|
|
|
|
|
SLOPES_CURVE(-1)
|
-0.047449
|
0.039817
|
-1.191688
|
|
D(SLOPES_CURVE(-1))
|
0.201342
|
0.227355
|
0.885586
|
0.3809
|
|
D(SLOPES_CURVE(-2))
|
0.257468
|
0.297693
|
0.864879
|
0.3920
|
|
D(SLOPES_CURVE(-3))
|
0.654486
|
0.309753
|
2.112932
|
0.0406
|
|
D(SLOPES_CURVE(-4))
|
-0.953641
|
0.264990
|
-3.598784
|
0.0008
|
|
C
|
0.228539
|
0.115093
|
1.985689
|
0.0536
|
|
@TREND("2004M07")
|
-0.009922
|
0.003918
|
-2.532189
|
0.0152
|
|
|
|
|
|
|
|
|
|
|
|
R-squared
|
0.441236
|
Mean dependent var
|
-0.067414
|
|
Adjusted R-squared
|
0.361413
|
S.D. dependent var
|
0.348851
|
|
S.E. of regression
|
0.278772
|
Akaike info criterion
|
0.414721
|
|
Sum squared resid
|
3.263989
|
Schwarz criterion
|
0.684981
|
|
Log likelihood
|
-3.160667
|
Hannan-Quinn criter.
|
0.517257
|
|
F-statistic
|
5.527650
|
Durbin-Watson stat
|
1.810722
|
|
Prob(F-statistic)
|
0.000272
|
|
|
|
|
|
|
|
|
|
|
|
|
|
|
Null Hypothesis: D(SLOPES_CURVE) has a unit
root
|
|
Exogenous: Constant, Linear Trend
|
|
|
Lag Length: 3 (Automatic - based on SIC,
maxlag=10)
|
|
|
|
|
|
|
|
|
|
|
|
|
|
t-Statistic
|
Prob.*
|
|
|
|
|
|
|
|
|
|
|
|
Augmented Dickey-Fuller test statistic
|
-4.241152
|
0.0080
|
|
Test critical values:
|
1% level
|
|
-4.156734
|
|
|
5% level
|
|
-3.504330
|
|
|
10% level
|
|
-3.181826
|
|
|
|
|
|
|
|
|
|
|
|
|
*MacKinnon (1996) one-sided p-values.
|
|
|
|
|
|
|
|
|
|
|
|
|
Augmented Dickey-Fuller Test Equation
|
|
|
Dependent Variable: D(SLOPES_CURVE,2)
|
|
|
Method: Least Squares
|
|
|
|
Date: 05/31/15 Time: 20:45
|
|
|
|
Sample (adjusted): 2004M12 2008M12
|
|
|
Included observations: 49 after adjustments
|
|
|
|
|
|
|
|
|
|
|
|
|
Variable
|
Coefficient
|
Std. Error
|
t-Statistic
|
Prob.
|
|
|
|
|
|
|
|
|
|
|
|
D(SLOPES_CURVE(-1))
|
-0.980290
|
0.231138
|
-4.241152
|
0.0001
|
|
D(SLOPES_CURVE(-1),2)
|
0.102649
|
0.307271
|
0.334067
|
0.7400
|
|
D(SLOPES_CURVE(-2),2)
|
0.369490
|
0.271733
|
1.359751
|
0.1810
|
|
D(SLOPES_CURVE(-3),2)
|
0.962392
|
0.266179
|
3.615583
|
0.0008
|
|
C
|
0.237803
|
0.115390
|
2.060871
|
0.0454
|
|
@TREND("2004M07")
|
-0.009302
|
0.003903
|
-2.383596
|
0.0216
|
|
|
|
|
|
|
|
|
|
|
|
R-squared
|
0.518965
|
Mean dependent var
|
0.013212
|
|
Adjusted R-squared
|
0.463031
|
S.D. dependent var
|
0.382284
|
|
S.E. of regression
|
0.280131
|
Akaike info criterion
|
0.407158
|
|
Sum squared resid
|
3.374352
|
Schwarz criterion
|
0.638810
|
|
Log likelihood
|
-3.975373
|
Hannan-Quinn criter.
|
0.495046
|
|
F-statistic
|
9.278127
|
Durbin-Watson stat
|
1.778843
|
|
Prob(F-statistic)
|
0.000005
|
|
|
|
|
|
|
|
|
|
|
|
|
|
|
Null Hypothesis: D(SLOPES_CURVE) has a unit
root
|
|
Exogenous: None
|
|
|
|
Lag Length: 3 (Automatic - based on SIC,
maxlag=10)
|
|
|
|
|
|
|
|
|
|
|
|
|
|
t-Statistic
|
Prob.*
|
|
|
|
|
|
|
|
|
|
|
|
Augmented Dickey-Fuller test statistic
|
-3.403073
|
0.0011
|
|
Test critical values:
|
1% level
|
|
-2.613010
|
|
|
5% level
|
|
-1.947665
|
|
|
10% level
|
|
-1.612573
|
|
|
|
|
|
|
|
|
|
|
|
|
*MacKinnon (1996) one-sided p-values.
|
|
|
|
|
|
|
|
|
|
|
|
|
Augmented Dickey-Fuller Test Equation
|
|
|
Dependent Variable: D(SLOPES_CURVE,2)
|
|
|
Method: Least Squares
|
|
|
|
Date: 05/31/15 Time: 20:45
|
|
|
|
Sample (adjusted): 2004M12 2008M12
|
|
|
Included observations: 49 after adjustments
|
|
|
|
|
|
|
|
|
|
|
|
|
Variable
|
Coefficient
|
Std. Error
|
t-Statistic
|
Prob.
|
|
|
|
|
|
|
|
|
|
|
|
D(SLOPES_CURVE(-1))
|
-0.603481
|
0.177334
|
-3.403073
|
0.0014
|
|
D(SLOPES_CURVE(-1),2)
|
-0.162315
|
0.292190
|
-0.555511
|
0.5813
|
|
D(SLOPES_CURVE(-2),2)
|
0.209553
|
0.271328
|
0.772324
|
0.4440
|
|
D(SLOPES_CURVE(-3),2)
|
0.852834
|
0.266958
|
3.194635
|
0.0026
|
|
|
|
|
|
|
|
|
|
|
|
R-squared
|
0.453300
|
Mean dependent var
|
0.013212
|
|
Adjusted R-squared
|
0.416853
|
S.D. dependent var
|
0.382284
|
|
S.E. of regression
|
0.291928
|
Akaike info criterion
|
0.453486
|
|
Sum squared resid
|
3.834979
|
Schwarz criterion
|
0.607920
|
|
Log likelihood
|
-7.110408
|
Hannan-Quinn criter.
|
0.512078
|
|
Durbin-Watson stat
|
1.658395
|
|
|
|
|
|
|
|
|
|
|
|
|
|
Результаты регрессионного анализа
|
Dependent Variable: D(LEVELS_CURVE)
|
|
|
Method: ML - ARCH (Marquardt) - Normal
distribution
|
|
Date: 05/31/15 Time: 20:47
|
|
|
|
Sample (adjusted): 2004M10 2008M12
|
|
|
Included observations: 51 after adjustments
|
|
|
Convergence achieved after 26 iterations
|
|
|
MA Backcast: 2004M09
|
|
|
|
Presample variance: backcast (parameter = 0.7)
|
|
GARCH = C(5) + C(6)*GARCH(-1)
|
|
|
|
|
|
|
|
|
|
|
|
|
|
Variable
|
Coefficient
|
Std. Error
|
z-Statistic
|
Prob.
|
|
|
|
|
|
|
|
|
|
|
|
C
|
-0.002493
|
0.017891
|
-0.139336
|
0.8892
|
|
D(INF_LEVELS_NOCHINA)
|
1.039288
|
0.083034
|
12.51641
|
0.0000
|
|
AR(2)
|
-0.546988
|
0.162227
|
-3.371749
|
0.0007
|
|
MA(1)
|
-0.546176
|
0.130401
|
-4.188441
|
0.0000
|
|
|
|
|
|
|
|
|
|
|
|
Variance Equation
|
|
|
|
|
|
|
|
|
|
|
|
|
|
C
|
0.302108
|
0.066067
|
4.572771
|
0.0000
|
|
GARCH(-1)
|
-1.014013
|
0.048526
|
-20.89627
|
0.0000
|
|
|
|
|
|
|
|
|
|
|
|
R-squared
|
0.594730
|
Mean dependent var
|
-0.055948
|
|
Adjusted R-squared
|
0.568862
|
S.D. dependent var
|
0.635886
|
|
S.E. of regression
|
0.417529
|
Akaike info criterion
|
1.212603
|
|
Sum squared resid
|
8.193545
|
Schwarz criterion
|
1.439877
|
|
Log likelihood
|
-24.92139
|
Hannan-Quinn criter.
|
1.299451
|
|
Durbin-Watson stat
|
1.830878
|
|
|
|
|
|
|
|
|
|
|
|
|
|
|
Inverted MA Roots
|
.55
|
|
|
|
|
|
|
|
|
|
|
|
|
|
Date: 05/31/15 Time: 20:47
|
|
|
|
|
Sample: 2004M07 2008M12
|
|
|
|
|
|
|
Included observations: 51
|
|
|
|
|
|
Q-statistic probabilities adjusted for 2 ARMA
terms and 1 dynamic regressor
|
|
|
|
|
|
|
|
|
|
|
|
|
|
|
|
Autocorrelation
|
Partial Correlation
|
|
AC
|
PAC
|
Q-Stat
|
Prob*
|
|
|
|
|
|
|
|
|
|
|
|
|
|
|
|
. |*. |
|
. |*. |
|
1
|
0.077
|
0.077
|
0.3235
|
|
|
.*| . |
|
.*| . |
|
2
|
-0.066
|
-0.072
|
0.5621
|
|
|
.*| . |
|
.*| . |
|
3
|
-0.086
|
-0.076
|
0.9781
|
0.323
|
|
. | . |
|
. | . |
|
4
|
-0.031
|
-0.023
|
1.0323
|
0.597
|
|
. |*. |
|
. |*. |
|
5
|
0.107
|
0.102
|
1.7047
|
0.636
|
|
. |*. |
|
. | . |
|
6
|
0.093
|
0.069
|
2.2293
|
0.694
|
|
.*| . |
|
.*| . |
|
7
|
-0.159
|
-0.168
|
3.7745
|
0.582
|
|
.*| . |
|
. | . |
|
8
|
-0.097
|
-0.051
|
4.3654
|
0.627
|
|
.*| . |
|
.*| . |
|
9
|
-0.133
|
-0.127
|
5.4977
|
0.599
|
|
. | . |
|
10
|
0.020
|
0.004
|
5.5228
|
0.701
|
|
. | . |
|
.*| . |
|
11
|
-0.048
|
-0.107
|
5.6799
|
0.771
|
|
. |*. |
|
. |*. |
|
12
|
0.134
|
0.162
|
6.9263
|
0.732
|
|
. | . |
|
. | . |
|
13
|
-0.005
|
-0.004
|
6.9283
|
0.805
|
|
.*| . |
|
.*| . |
|
14
|
-0.083
|
-0.071
|
7.4337
|
0.828
|
|
. |*. |
|
. |*. |
|
15
|
0.137
|
0.174
|
8.8468
|
0.784
|
|
. | . |
|
. | . |
|
16
|
0.060
|
-0.000
|
9.1222
|
0.823
|
|
. | . |
|
. | . |
|
17
|
-0.017
|
-0.047
|
9.1452
|
0.870
|
|
. | . |
|
. | . |
|
18
|
0.004
|
-0.044
|
9.1463
|
0.907
|
|
**| . |
|
.*| . |
|
19
|
-0.213
|
-0.165
|
12.994
|
0.737
|
|
. | . |
|
. | . |
|
20
|
0.004
|
0.013
|
12.996
|
0.792
|
|
. | . |
|
. | . |
|
21
|
0.063
|
0.021
|
13.356
|
0.820
|
|
. | . |
|
. | . |
|
22
|
-0.020
|
-0.017
|
13.394
|
0.860
|
|
. | . |
|
. | . |
|
23
|
-0.008
|
0.044
|
13.399
|
0.894
|
|
. | . |
|
. | . |
|
24
|
-0.013
|
0.047
|
13.416
|
0.921
|
|
|
|
|
|
|
|
|
|
|
|
|
|
|
|
Date: 05/31/15 Time: 20:47
|
|
|
|
|
Sample: 2004M07 2008M12
|
|
|
|
|
|
|
Included observations: 51
|
|
|
|
|
|
|
|
|
|
|
|
|
|
|
|
|
|
|
|
Autocorrelation
|
Partial Correlation
|
|
AC
|
PAC
|
Q-Stat
|
Prob*
|
|
|
|
|
|
|
|
|
|
|
|
|
|
|
|
. | . |
|
. | . |
|
1
|
0.046
|
0.046
|
0.1129
|
0.737
|
|
. | . |
|
. | . |
|
2
|
-0.061
|
-0.064
|
0.3202
|
0.852
|
|
. |** |
|
. |** |
|
3
|
0.265
|
0.273
|
4.2880
|
0.232
|
|
. | . |
|
. | . |
|
4
|
0.052
|
0.019
|
4.4440
|
0.349
|
|
. | . |
|
. | . |
|
5
|
-0.058
|
-0.028
|
4.6418
|
0.461
|
|
. | . |
|
. | . |
|
6
|
0.064
|
0.002
|
4.8880
|
0.558
|
|
. |*. |
|
. |*. |
|
7
|
0.117
|
0.096
|
5.7283
|
0.572
|
|
. | . |
|
. | . |
|
8
|
-0.047
|
-0.037
|
5.8686
|
0.662
|
|
. | . |
|
. |*. |
|
9
|
0.066
|
0.076
|
6.1497
|
0.725
|
|
. | . |
|
. | . |
|
10
|
0.017
|
-0.060
|
6.1697
|
0.801
|
|
. | . |
|
. | . |
|
11
|
-0.044
|
-0.015
|
6.3010
|
0.853
|
|
. | . |
|
. | . |
|
12
|
0.029
|
0.004
|
6.3578
|
0.897
|
|
.*| . |
|
.*| . |
|
13
|
-0.103
|
-0.123
|
7.1175
|
0.896
|
|
. | . |
|
. | . |
|
14
|
-0.047
|
-0.020
|
7.2815
|
0.923
|
|
. | . |
|
. | . |
|
15
|
-0.037
|
-0.059
|
7.3866
|
0.946
|
|
. |** |
|
. |** |
|
16
|
0.217
|
0.292
|
11.008
|
0.809
|
|
. | . |
|
. | . |
|
17
|
0.008
|
-0.003
|
11.013
|
0.856
|
|
.*| . |
|
.*| . |
|
18
|
-0.109
|
-0.069
|
11.990
|
0.848
|
|
. | . |
|
.*| . |
|
19
|
0.048
|
-0.088
|
12.182
|
0.878
|
|
. | . |
|
. | . |
|
20
|
-0.056
|
-0.061
|
12.454
|
0.900
|
|
. | . |
|
. | . |
|
21
|
-0.030
|
0.051
|
12.538
|
0.924
|
|
.*| . |
|
.*| . |
|
22
|
-0.079
|
-0.082
|
13.121
|
0.930
|
|
.*| . |
|
.*| . |
|
23
|
-0.071
|
-0.106
|
13.612
|
0.937
|
|
. | . |
|
. | . |
|
24
|
-0.021
|
-0.007
|
13.655
|
0.954
|
|
|
|
|
|
|
|
|
|
|
|
|
|
|
|
Dependent Variable: D(SLOPES_CURVE)
|
|
|
Method: Least Squares
|
|
|
|
Date: 05/23/15 Time: 20:58
|
|
|
|
Sample (adjusted): 2004M08 2008M12
|
|
|
Included observations: 53 after adjustments
|
|
|
Convergence achieved after 9 iterations
|
|
|
MA Backcast: 2004M06 2004M07
|
|
|
|
|
|
|
|
|
|
|
|
|
|
Variable
|
Coefficient
|
Std. Error
|
t-Statistic
|
Prob.
|
|
|
|
|
|
|
|
|
|
|
|
C
|
0.032573
|
0.071683
|
0.454399
|
0.6515
|
|
D(CLI_LEVELS_NOCHINA)
|
0.390603
|
0.144090
|
2.710830
|
0.0092
|
|
MA(2)
|
0.922708
|
0.028665
|
32.18900
|
0.0000
|
|
|
|
|
|
|
|
|
|
|
|
R-squared
|
0.516081
|
Mean dependent var
|
-0.035324
|
|
Adjusted R-squared
|
0.496725
|
S.D. dependent var
|
0.355367
|
|
S.E. of regression
|
0.252104
|
Akaike info criterion
|
0.136990
|
|
Sum squared resid
|
3.177825
|
Schwarz criterion
|
0.248516
|
|
Log likelihood
|
-0.630229
|
Hannan-Quinn criter.
|
0.179877
|
|
F-statistic
|
26.66157
|
Durbin-Watson stat
|
1.884816
|
|
Prob(F-statistic)
|
0.000000
|
|
|
|
|
|
|
|
|
|
|
|
|
|
|
Date: 05/23/15 Time: 20:57
|
|
|
|
|
Sample: 2004M07 2008M12
|
|
|
|
|
|
|
Included observations: 53
|
|
|
|
|
|
Q-statistic probabilities adjusted for 1 ARMA
term and 1 dynamic regressor
|
|
|
|
|
|
|
|
|
|
|
|
|
|
|
|
Autocorrelation
|
Partial Correlation
|
|
AC
|
PAC
|
Q-Stat
|
Prob*
|
|
|
|
|
|
|
|
|
|
|
|
|
|
|
|
. | . |
|
. | . |
|
1
|
-0.042
|
-0.042
|
0.0993
|
. | . |
|
2
|
0.029
|
0.028
|
0.1482
|
0.700
|
|
. |** |
|
. |** |
|
3
|
0.230
|
0.233
|
3.2215
|
0.200
|
|
. | . |
|
. | . |
|
4
|
-0.039
|
-0.021
|
3.3120
|
0.346
|
|
.*| . |
|
.*| . |
|
5
|
-0.133
|
-0.160
|
4.3805
|
0.357
|
|
. |*. |
|
. | . |
|
6
|
0.078
|
0.016
|
4.7622
|
0.446
|
|
. | . |
|
. |*. |
|
7
|
0.062
|
0.105
|
5.0086
|
0.543
|
|
.*| . |
|
.*| . |
|
8
|
-0.154
|
-0.095
|
6.5405
|
0.478
|
|
.*| . |
|
**| . |
|
9
|
-0.145
|
-0.222
|
7.9249
|
0.441
|
|
.*| . |
|
.*| . |
|
10
|
-0.097
|
-0.171
|
8.5660
|
0.478
|
|
.*| . |
|
. | . |
|
11
|
-0.101
|
-0.006
|
9.2756
|
0.506
|
|
.*| . |
|
. | . |
|
12
|
-0.125
|
-0.022
|
10.386
|
0.496
|
|
. | . |
|
. | . |
|
13
|
0.020
|
0.005
|
10.414
|
0.580
|
|
. | . |
|
. | . |
|
14
|
0.016
|
-0.008
|
10.433
|
0.658
|
|
. | . |
|
. |*. |
|
15
|
0.046
|
0.107
|
10.599
|
0.717
|
|
. | . |
|
. | . |
|
16
|
0.022
|
0.050
|
10.636
|
0.778
|
|
. |*. |
|
. | . |
|
17
|
0.082
|
0.042
|
11.175
|
0.799
|
|
. | . |
|
. | . |
|
18
|
0.070
|
0.009
|
11.579
|
0.825
|
|
. | . |
|
. | . |
|
19
|
0.047
|
0.009
|
11.766
|
0.859
|
|
. | . |
|
.*| . |
|
20
|
-0.003
|
-0.082
|
11.766
|
0.895
|
|
. | . |
|
. | . |
|
21
|
0.055
|
-0.030
|
12.041
|
0.915
|
|
. | . |
|
. | . |
|
22
|
0.052
|
0.037
|
12.293
|
0.931
|
|
. | . |
|
. | . |
|
23
|
0.010
|
0.064
|
12.304
|
0.951
|
|
. | . |
|
.*| . |
|
24
|
-0.065
|
-0.083
|
12.729
|
0.958
|
|
|
|
|
|
|
|
|
|
|
|
|
|
|
|
Date: 05/23/15 Time: 20:53
|
|
|
|
|
Sample: 2004M07 2008M12
|
|
|
|
|
|
|
Included observations: 53
|
|
|
|
|
|
|
|
|
|
|
|
|
|
|
|
|
|
|
|
Autocorrelation
|
Partial Correlation
|
|
AC
|
PAC
|
Q-Stat
|
Prob*
|
|
|
|
|
|
|
|
|
|
|
|
|
|
|
|
. |*. |
|
. |*. |
|
1
|
0.193
|
0.193
|
2.0793
|
0.149
|
|
. | . |
|
. | . |
|
2
|
-0.022
|
-0.061
|
2.1068
|
0.349
|
|
. |*. |
|
. |*. |
|
3
|
0.148
|
0.172
|
3.3883
|
0.336
|
|
. | . |
|
. | . |
|
4
|
0.009
|
-0.062
|
3.3931
|
0.494
|
|
**| . |
|
**| . |
|
5
|
-0.248
|
-0.236
|
7.1415
|
0.210
|
|
.*| . |
|
.*| . |
|
6
|
-0.163
|
-0.101
|
8.7922
|
0.186
|
|
.*| . |
|
.*| . |
|
7
|
-0.182
|
-0.175
|
10.899
|
0.143
|
|
.*| . |
|
. | . |
|
8
|
-0.135
|
-0.014
|
12.088
|
0.147
|
|
.*| . |
|
. | . |
|
9
|
-0.093
|
-0.053
|
12.656
|
0.179
|
|
. | . |
|
. | . |
|
10
|
-0.043
|
-0.035
|
12.780
|
0.236
|
|
**| . |
|
**| . |
|
11
|
-0.219
|
-0.291
|
16.111
|
0.137
|
|
.*| . |
|
.*| . |
|
12
|
-0.070
|
-0.097
|
16.461
|
0.171
|
|
. | . |
|
.*| . |
|
13
|
-0.013
|
-0.132
|
16.473
|
0.225
|
|
.*| . |
|
.*| . |
|
14
|
-0.096
|
-0.148
|
17.164
|
0.248
|
|
. | . |
|
. | . |
|
15
|
0.009
|
-0.031
|
17.171
|
0.309
|
|
. |*. |
|
. | . |
|
16
|
0.166
|
-0.019
|
19.329
|
0.252
|
|
. |** |
|
. |*. |
|
17
|
0.214
|
0.110
|
23.031
|
0.148
|
|
. |*. |
|
. | . |
|
18
|
0.171
|
-0.008
|
25.468
|
0.113
|
|
. |*. |
|
. | . |
|
19
|
0.178
|
0.042
|
28.186
|
0.080
|
|
. |*. |
|
. | . |
|
20
|
0.147
|
0.001
|
30.095
|
0.068
|
|
.*| . |
|
.*| . |
|
21
|
-0.073
|
-0.157
|
30.580
|
0.081
|
|
. | . |
|
. |*. |
|
22
|
0.064
|
0.143
|
30.961
|
0.097
|
|
. | . |
|
. | . |
|
23
|
-0.024
|
-0.030
|
31.019
|
0.122
|
|
**| . |
|
.*| . |
|
24
|
-0.221
|
-0.073
|
35.947
|
0.061
|
|
|
|
|
|
|
|
|
|
|
|
|
|
|