Устойчивое развитие организации путем создания обновленного имиджа (ООО 'А-Мувинг')
«МОСКОВСКИЙ ГОСУДАРСТВЕННЫЙ
МАШИНОСТРОИТЕЛЬНЫЙ УНИВЕРСИТЕТ (МАМИ)»
Гуманитарно-экономический институт
им. В.С. Черномырдина
Факультет «Экономики и управления»
Кафедра «Менеджмент»
Дипломный проект
На тему: «Устойчивое развитие
организации путем создания обновленного имиджа»
Объект исследования: ООО «А-Мувинг»
Студентки 5 курса специальности
.65 "Менеджмент организации"
Филипповой Александры Игоревны
Москва - 2015 г.
Аннотация
Работа подготовлена Филипповой Александрой Игоревной. Год выпуска - 2015
г. Тема дипломного проекта - Устойчивое развитие организации путем создания
обновленного имиджа (на примере ООО «А-Мувинг»).
Цель дипломного проекта - рассмотреть понятие имидж в современных
условиях, рассмотреть элементы имиджа и пути его формирования. Проанализировать
деятельность организации, выявить проблемы формирования и использования имиджа
предприятия и предложить мероприятия, способствующие устойчивому развитию
организации путем создания обновленного имиджа.
Материалы, используемые в дипломном проекте: годовая отчетность
организации ООО «А-Мувинг», статистика организации, устав организации, штатное
расписание сотрудников организации. В ходе исследования были проанализированы
сущность, элементы и пути формирования имиджа, основные положения имиджа
рассматриваемой организации, организационная структура, финансово хозяйственная
деятельность организации, социальная структура, конкуренты.
После проведения исследования были выявлены следующие проблемы и
предложены пути их преодоления:
а) рекламу компании замечают крайне редко. Предлагается разработать
мероприятие, способствующие увеличение узнаваемости компании среди
потенциальных клиентов. Применение SEO продвижения позволит предприятию повысить свою репутацию, лояльность
потенциальных клиентов, расширить аудиторию клиентов, повысить конкурентов
способность, увеличить продажи
б) сотрудникам компании, для полного удовлетворения своей работой,
не хватает материального стимулирования. Необходимо разработать мероприятия,
которые будут составлять материальную мотивацию. Данное мероприятие повысит
удовлетворенность сотрудников, позволит создать дополнительные стимулы для
достижения целей компании, позволит членам команды быть более нацеленными на
результат
Содержание
Введение
Глава 1. Теоретические особенности формирования имиджа
1.1 Сущность имиджа
1.2 Пути формирования
имиджа
1.3 Элементы имиджа и их
влияние на деятельность предприятия
Глава 2 Анализ
деятельность организации ООО «А-Мувинг»
2.1 Общая характеристика
организации ООО «А-Мувинг»
2.2 Анализ
финансово-хозяйственной деятельности организации ООО«А-Мувинг»
.3 Анализ имиджа
организации ООО «А-Мувинг»
Глава 3. Мероприятия,
направленные на устойчивое развитие организации путем создания обновленного
имиджа организации ООО «А-Мувинг»
3.1 Создание обновленного
имиджа организации ООО «А-Мувинг»
3.2 Совершенствование
корпоративной культуры, как способ повышения эффективности работы организации
ООО «А-Мувинг»
3.3 Оценка эффективности
предложенных мероприятий
Заключение
Список использованных
источников
Приложения
Введение
Актуальность
работы заключается в том, что в современных условиях жесткой конкурентной
борьбы разработка правильного позитивного и сильного имиджа является
основополагающим фундаментом успешного развития организации. Визуализация, эмоциональное
воздействие, дифференциация своего продукта или услуги - основные элементы
воздействия на потребителя. Если раньше достаточно было оперировать
техническими характеристиками, например, «Volvo» - делает
самые безопасные машины, в современных условиях это может быть не так важно.
Так как на рынок пришли различные компании, предоставляющие потребителю
сертификаты безопасности своих автомобилей, и соответственно преимущество в
конкурентной борьбе компании в таких условиях теряется.
Современный
мир - мир маркетинга. На рынке, где присутствуют множество товаров-
заменителей, необходимо найти ключевую особенность своего продукта, найти
способ правильно преподнести свой продукт или услугу. И в этом помогает именно
имидж компании. Можно привести множество примеров, когда стратегически грамотно
созданный и преподнесенный потребителю имидж и бренд компании становится
ключевым моментом при выборе продукции или услуги той или иной компании.
Построение
эффективного имиджа компании современных условиях актуально для всех видов
компаний будь то коммерческая или государственная организация, для всех сфер
деятельности, для всех этапов развития компании, от создания до стабильности.
Создание имиджа начинается с первого клиента и крайне важно, чтобы с первых
дней работы компании имидж поддерживал ее. Позитивный и сильный имидж позволяет
информировать мир о существовании компании, ее деятельности, роли в обществе,
найти потенциальных клиентов и партнеров, позволяет сформировать нужный уровень
лояльности к компании, получать более высокую прибыль, создает высокую
конкурентоспособность, защищая компанию от нападок конкурентов, снижает риск
негативного отношение при совершении ошибок. Так же облегчает привлечения
ресурсов, создает благополучную среду для инновационного развития, повышает
престиж компании. И в современных рыночных условиях, которые с каждым годом
становятся все более жестокими, эти элементы становятся важными для эффективной
и стабильной работы.
При
рассмотрении понятия имидж предлагается рассмотреть исследования У. Липпмана,
О. Мельникова, О.В.Лысикова, Ф.И. Шарков, Э.Бернайз, А. Маслоу, Фредерик И
Герцберг, Ф.Котлер.
Цель
работы - рассмотреть понятие имидж в современных условиях, рассмотреть элементы
имиджа и пути его формирования. Проанализировать деятельность организации,
выявить проблемы формирования и использования имиджа предприятия и предложить
мероприятия, способствующие устойчивому развитию организации путем создания
обновленного имиджа.
Для
достижения поставленных целей необходимо решить следующие задачи:
выявление
сущность имиджа
выявление
элементов и путей формирования имиджа организации
анализ
имиджа рассматриваемой организации
разработка
мероприятий, способствующие устойчивому развитию организации путем создания
обновленного имиджа.
Объектом
исследования является имидж организации ООО «А-Мувинг».
Предметом
исследования являются проблемы формирования и влияния
элементов
имиджа.
Гипотезой
исследования будет выступать условие, что устойчивого развития организации
необходимо создания позитивного и сильного имиджа.
Методы
исследования, использованные в работе: для решения поставленных задач,
используется метод опроса, сравнения, монографический метод, труды
отечественных и зарубежных специалистов в области имиджа, маркетинга,
психологии.
Глава
1 Теоретические особенности формирования имиджа
.1
Сущность имиджа
Становление
таких областей как реклама, имиджелогия, Public Relations, коммуникационный
менеджмент требуют обоснования закономерностей формирования и функционирования
имиджа предприятия, оказывающего влияние на восприятие и поведение отдельных
людей, так и больших социальных групп.
Формирование
и развитие рыночных отношений продиктовали важность конкурентной составляющей
для предприятий любого типа, их выделения, индивидуализации не только по средствам
совершенствования товаров и услуг, а также яркого, лояльного имиджа. На рисунке
1 наглядно показано, что имидж компании тесно связан с репутацией и
конкуренцией.
Рисунок
1 - Связь конкуренции имиджа и репутации
Данный
вопрос приобретает особенную важность в области бизнес коммуникаций. Под конец
20 века организации перешли на новую ступень развития, где важными стали
вопросы управления нематериальными ресурсами в силу их действенности
потенциальной неисчерпаемости. В нынешних условиях деятельность, направленная
на изучение и управление собственным имиджем, становится важным фактором,
определяющим деятельность и развитие любой организации. В связи с этим
становится актуальным вопрос изучения, создания и функционирования имиджа
организации как системы взаимодействия социальных субъектов, представляющих как
организацию, так и потребителей производимых ею товаров и услуг.
Важность
изучения данной проблемы актуальна также за счет значимости места и роли имиджа
в изучении основных направлений повышения эффективности деятельности
предприятия на внутреннем и внешнем рынке.
Для
рассмотрения данного вопроса для начала нужно понять, что же такое имидж. В
разных источниках приводится различные определения, что такое имидж.
Как
утверждал У. Липпман, основой мыслительного процесса составляют стереотипы и на
них строится массовое сознание. Липпман говорил, что мышление - это реакция на
внешние стимулы, модели реальности, которые окрашены эмоционально, определяющие
отношение человека к объекту. Стереотипы позволяют человеку определенным
образом воспринимать предмет. Человеческое мышление стремиться упростить,
схематизировать окружающие явления, что позволяет проще и быстрее воспринимать
окружающий мир, ориентироваться в постоянно растущем потоке информации.
Стереотип - это эмоциональное оценочное восприятие, которое и определяет
отношение человека к объекту или явлению. Стереотипы могут являться базой для
составления элементов имиджа, в зависимости от того, где в какой сфере
создается имидж. [10]
Из
выше сказанного можно сделать вывод, что человек формирует свое мнение о том
или ином явлении следуя из своего эмоционального отношения к явлениям, окружающим
его. И то, какое эмоциональное влияние оказывает созданный имидж и будет одним
из ключевых моментов, определяющих успешность достижения целей, поставленных
при формировании имиджа предприятия.
Социологический
энциклопедический словарь дает два толкования термину «имидж» (от англ. image -
образ, представление):
а) внешний образ, создаваемый субъектом, с целью вызвать
определенное впечатление, мнение, отношение у других.
б) совокупность свойств, приписываемых рекламой, пропагандой, модой,
предрассудками, традицией и т. д. объекту с целью вызвать определенные реакции
по отношению к нему.
Имидж - это оценочное суждение, возникающее на основе целостного
восприятия образа продукта социокультурной деятельности людей, определяющее
ценностное отношение к нему и разное по направленности взаимодействие с ним.
Имидж наполнен информацией, раскрывающей значимость его носителя для разных
социальных субъектов, являющихся реальными или потенциальными потребителями
продуктов той деятельности, которой он занимается. [41]
Имидж - всегда имеет эмоциональную окрашенность. Информационный посыл,
заложенный в имидже, апеллирует к чувствам людей, возвышает определенную
реакцию у целевой группы. Имидж создается с целью изменения направленности,
интенсивности, результативности взаимодействия социальных субъектов с его
носителем. [41]
Из выше сказанных определений можно сказать, что имидж - это целостное
восприятие продукта, включающее в себя эмоциональную и информационную сторону
человеческого восприятия, стихийно появившееся или созданное с помощью
определенный действий, определяющее направление восприятия объекта, для
которого создается имидж.
Одними из особо важных факторов, определяющих успех в деятельности в
рыночной экономике являются имидж и репутация фирмы, так же товары или услуги,
предоставляющие фирмой.
Созданный имидж и репутация предприятия главным образом оказывают влияние
на потенциальных клиентов и покупателей. Позитивно окрашенный и эмоциональный
имидж свидетельствует об общих морально-культурных аспектах, которых придерживается
предприятие, но и формирует отношение к нему потенциальных покупателей и
клиентов. Хороший имидж служит основой конкурентной борьбы и основой успешной
деятельности.
На данный момент имидж является объектом изучения такой науки как
имеджеология, в которой изучают это понятие с теоретической стороны,
деятельность по связям с общественностью в свою очередь изучает практические
аспекты формирования и развития имиджа предприятия. В рамках деятельности по
связям с общественностью имидж считается объектом, имеющим свою структуру и
закономерности развития и действия.
Раскрывая сущность понятия имиджа, акцентируем внимание на элементы
профессионального и личного имиджа, выделим следующие элементы:
а) необходимо постоянно усовершенствовать свои знания и навыки, без
этого нельзя достичь высоких показателей в создании сильного имиджа
б) нужно знать и соблюдать этические нормы
в) необходимо быть разносторонне развитым специалистом
г) нужно определить тактически верный стиль поведения
И так, затрагивая структуру имиджа, нужно выделить ключевые моменты,
необходимые группе профессионалов, для того, чтобы выстроить сильный имидж.
Необходимо иметь достаточный уровень профессионализма, всегда быть в
курсе событий, происходящих в мире, как в профессиональной сфере, так и
имиджелогии, PR, быть развитым в духовной,
социальной сферах, обладать достаточными знаниями и умениями в сфере
психологии. Специалистам необходимо выбирать правильную тактику поведения
организации, соответствующую ситуации в мире и всегда придерживаться правилам
деловой этики, для формирования доверительного отношения потребителей к
продукции и услугам предприятия.
Структурный разбор имиджа позволяет выявить связь между личным,
профессиональным и корпоративным имиджем, выявить элементы, используемые в
процессе их формирования и функций ими выполняемые. Так же позволяет выявить
содержание и предназначение элементов имиджа для различных сфер работы
предприятия.
Так описывает основные функции имиджа О.В. Лысикова, автор таких изданий
как «Имиджелогия и паблик рилейшнз в социокультурной сфере»:
а) профессиональная функция позволяет человеку реализоваться в
конкретной области современного производства, бизнеса, культуры, политики,
образования;
б) адаптационная функция необходима для комфортного приспособления к
определённой среде, группе, беседе;
в) функция личностной реализации позволяет максимально раскрыть
индивидуальные способности и задатки применительно к конкретной сфере
деятельности;
г) аксиологическая ориентирует специалиста на индивидуальные и профессиональные
ценности, являющиеся ориентиром в субъективном и объективном мире;
д) эвристическая функция сосредоточивает внимание специалиста на
реализации своего творческого потенциала в профессиональном успехе, научном
открытии, создании уникального произведения;
е) психотерапевтическая функция заключается в осознании своей
значимости, психологической устойчивости, уверенности, оптимизме;
ж) коммуникативная функция позволяет специалисту позитивно
организовать и осуществлять общение на всех уровнях, получать от него максимум
информации, а также воздействовать на собеседника или аудиторию в нужном для
себя направлении [31]
Делая вывод из вышесказанного, можно утверждать, что имидж организации
имеет следующие функции:
а) способствует повышению узнаваемости организации у потребителей
б) создает позитивную эмоциональную окраску отношению к товарам и
услугам предприятия
в) создает связи с различными аудиториями
г) повышает прибыли предприятия
д) повышение конкурентоспособности и репутации
Стоит отметить, что имидж имеет многоуровневую структуру, которую
определяет носитель имиджа. Будь то предприятие или же отдельная личность, есть
множество подходов к рассмотрению элементов имиджа, его характеристике и
функций. Имидж выполняет важные функции в коммуникационном, социальном и даже в
личностном процессе.
С развитием рыночных отношений и повышением значимости
конкурентоспособности появилась необходимость формирования сильного имиджа
предприятия. Сильный имидж позволяет предприятию добиться стабильного и успешного
развития. Стабильность и успех позволяет приобрести предприятию независимость
от рыночных обстоятельств, насколько это вообще возможно в условиях рыночной
экономики, таких как появление на рынке товаров- заменителей, доступ к более
обширным ресурсам как финансовым, так информационным и трудовым.
Говоря о признаках имиджа стоит отметить что имидж так же должен обладать
свойствами психологического субъекта, такими как мышление, способность
испытывать и вызывать эмоции, а также имиджу организации присуще личностные
черты и ориентирован на восприятие для достижения целей предприятия.
Корпоративный имидж так же является обобщенным образом предприятием, для
каждого члена предприятия и призван вызывать общность сотрудников, создавая
общие цели и общий дух организации, который непосредственно влияет на
восприятие организации внешними объектами предприятия, такими как клиенты,
партнеры, общество и т.п.
Имидж предприятия можно определить, как понимание и восприятия различными
социальными группами деятельность предприятия.
Е.В. Харитонова дает свое определение имиджа: «Корпоративный имидж - это
трансляция корпоративной культуры во внешнюю среду В современном мире
конкурируют не товары и цены, а отношения, качество обслуживания и репутация -
важнейшие "имиджеобразующие" факторы. Корпоративный имидж считается
одним из них. Эффективный корпоративный имидж может строиться только на основе
целостной микрокультуры, существующей в компании», и указывает на следующие
функции имиджа предприятия:
а) Производить нужное (заданное, запланированное) впечатление.
"Запланированное впечатление", как правило, подчинено цели,
выработанной на основе корпоративной стратегии. Это может быть образ
консервативной или, напротив, инновационной организации. Это может быть образ
маленькой и мобильной или, наоборот, слегка медлительной, но
"непотопляемой" структуры. Это может быть образ
узкоспециализированной или же постоянно расширяющей ассортимент своих услуг
фирмы, идущей по пути диверсификации деятельности. Кроме того, это может быть
образ "доступной" или "элитной" фирмы. Это, пожалуй, самые
простые, но эффективные способы позиционирования.
В качестве примера приведу желаемый (идеальный) автопортрет одного из
крупнейших туроператоров страны. Чтобы реализовать свои цели на рынке, они, по
коллективному представлению топ-менеджеров, должны производить впечатление
фирмы, прежде всего надежной, слегка консервативной по стилю и вместе с тем
прогрессивной по технологиям и методам работы, стабильной, уверенной,
профессиональной, "заботливой" и дружелюбной. Далее определяется,
какие характеристики в поведении, речи, одежде сотрудников соответствуют
желаемому образу, какой стиль рекламной и PR-кампании адекватен решению
поставленной задачи...
б) Позиционировать себя на рынке.
Позиционирование организации на рынке - это, в числе прочего, вопрос
самоидентификации: организация, осознав свою миссию на рынке, понимает, кто она
есть, что она делает и зачем, в чем ее специфика и преимущества для клиента, а
также кто ее основные партнеры (включая поставщиков, потребителей и всех, кто
участвует в производственной, сбытовой цепочке или цепочке обслуживания).
Кстати, о миссии. В практике организационного консультирования постоянно
приходится иметь дело с ситуацией, когда в организации воспроизводится
классическая управленческая пирамида: руководство является неким
"жречеством", обладающим закрытым знанием о миссии, стратегии, целях
и задачах фирмы. Такая политика топ-менеджмента в отношении персонала
свойственна одному из типов организационных культур, а именно - "культуре
ролевой определенности", основанной на системе традиционной иерархии с
четким распределением полномочий и сфер деятельности.
Этот тип корпоративной культуры наиболее успешен в стабильном окружении с
предсказуемым и контролируемым рынком, но плохо адаптируется к изменениям и,
как показывает практика современного бизнеса, оказывается неэффективным в
сочетании с необходимостью инициативы сотрудников.
в) Побуждать к действиям.
По законам психологии, чтобы сформировать у человека готовность к
действиям в нужном направлении (например, купить продукт, заключить сделку и
пр.), т.е. сформировать установку, необходима основа. Эта основа складывается
из нескольких компонент. Прежде всего это существование потребности в товарах
или услугах данной фирмы. Немного банальностей. Почему человек покупает хлеб?
Потому что у него есть потребность в пище. Почему он обращается в страховую
компанию? Потому что это удовлетворяет его потребность в безопасности. Почему
он покупает именно эту машину? Потому что это удовлетворяет его потребность в
престиже, статусе и чувстве собственной значимости.
Если товар или услуга организации отвечает конкретной потребности, фирма
должна четко и уверенно заявить, что именно она может наилучшим образом эту
потребность удовлетворить. И задача на данном этапе сведется к построению
грамотной рекламной кампании. Чем более четко определены цели и задачи
организации, тем проще транслировать это вовне, создавая корпоративный имидж.
[46]
Делая вывод из указанных Е.В.Харитоновой функций имиджа стоит отметить
что для организации важно дать правильное направление имиджу организации для
создания определенного образа в сознании потребителя и побудить его
пользоваться товарами или услугами конкретной организации. В свою очередь для
это необходимо знать потребности потребителей в сфере, в которой работает
предприятие.
Понятие имидж разделяют несколько элементов:
а) имидж товаров или услуг
б) имидж потребителей
в) имидж организации
г) имидж лидера
д) имидж персонала
е) визуальный имидж
ж) бизнес-имидж
Контекстуальный подход подразделяется по видам деятельности.
Сопоставительный подход в имидже сравнивают качества. Выделяют так же
первичный, вторичный и идеальный имидж.
Некоторые авторы подразделяют имидж на:
а) осязаемый имидж (первое впечатление от предприятия);
б) неосязаемый имидж (ответная реакция покупателя на обслуживание и
отношение к нему сотрудников предприятия);
в) внутренний имидж (атмосфера внутри предприятия, отношение
сотрудников к политике руководства);
г) внешний имидж (воздействие первых трех элементов плюс
общественное мнение о предприятии).
Выделяют функциональны, контекстный, сопоставительный подход к имиджу.
Функциональный подход включает в себя:
а) зеркальный
б) текущий
в) желаемый
г) корпоративный
д) множественный
е) отрицательный
Главной целью имиджа является определенное отношение социума, выделить
фирму, создать правильны ассоциативный ряд у клиентов и партнеров. Бренд,
логотип, название и т.п. должны вызывать конкретный образ, ассоциацию,
побуждение сделать выбор в пользу конкретной организации.
На каждом этапе развития организации соответствует своя политика
становления имиджа организации, помогающая наиболее эффективно функционировать
организации.
Эффективным элементом в создании имиджа является создание ложного
события, создание нового порядка вещей, создание героя. Эти элементы создают
идеальную реальность, которую в любой момент можно модернизировать, подстроить
под постоянно меняющиеся этапы развития культуры, моды и изменения в
общественной жизни.
Основоположник PR
Эдвард Бернейз говорил, что в условия роста конкурентной борьбы организация
вынуждена создавать в массовом сознании благоприятное отношение к организации.
И возникает потребность в профессиональных советах в областях Public Relations,
реклама, имидж для того, чтобы правильно преподнести предприятие, услугу или
товар. [35]
Э. Бернейз применил понятие имидж для обозначения процесса создания
репутации. По его мнению, цель и задача имиджа - привлечение внимания и
идентификация субъекта. Репутация - это общее мнение о достоинствах и
недостатках субъекта.
Делая выводы из сказанного выше, важно подчеркнуть, что в процессе
создания имиджа организации необходимо поддерживать профессионализм в процессе
формирования мероприятий по формированию общественного мнения, идентификации
организации и привлечении внимания к ней.
Начало исследования имиджа можно считать 1927 год. В этот год компания
АТ&T учредила должность вице президента, отвечающего за PR деятельность компании. Должность
занял Артур Пейдж. Он работал над репутацией и имиджем компании как
добропорядочного и надежного члена общества. И принципы Артура Пейджа так же
актуальны и в наше время.
Принципы Артура Пейджа можно сформировать в следующий список:
а) тщательный анализ со стороны руководства
б) создание единой информационной базы для членов команды
в) корпоративное обучение персонала, создание единого духа, единых
правил, единой модели поведение персонала с клиентами
г) наладить двустороннюю связь руководства с персоналом и клиентами
д) приветствовать честность и открытость при обсуждении деятельности
компании
Специалисты из разных стран предлагают разные подходы к формированию
имиджа. Все предлагаемые подходы схожи и их можно сгруппировать в одну
последовательность этапов:
а) исследование и выявление особенностей, преимуществ, достоинств,
недостатков и т.п.
б) определение целей и задач для формирования имиджа предприятия
в) выделение основных качеств фирмы, на которых и будет строиться
основная линия формирования имиджа
г) разработка визуального образа
д) определение коммуникаций для связи с обществом
е) создание и распространение информации различными инструментами
Закономерности формирования имиджа организаций как основополагающего
фактора конкурентной борьбы стали предметом многих специалистов. Питере Т. и
Уотермен Р. описывали приемы эффективного управления имиджем организации. Блэк
С., Даниелс Д., Друкер П., Котлер Ф., Коно Т., Роджерс Э., Фостер Р., Якокка Л.
исследовали американские корпорации. В течении всего времени формирования
имиджевой политики необходимо проводить мониторинг результативности имиджевой
политики, корректируя по необходимости.
Основными элементами, на которые обращает внимание потребитель являются:
а) финансовое состояние («процветающая», «стабильная», «с высокими
доходами» и пр.);
б) история («существует долгое время», «с традициями», «с ней имеют
дело солидные фирмы» и пр.);
в) личные качества («во главе стоит солидный и порядочный человек»,
«прогрессивный, умный» и пр.);
г) реклама («хорошая реклама», «хорошие отзывы», «слышал много
хорошего» и пр.);
д) отношение к членам команды в организации («паттернализм в
руководстве», «сотрудники как члены семьи», «много свободы при высокой
ответственности», «персонал спокоен за свое будущее» и пр.);
е) социальной ответственности перед обществом
ж) методы управления («с честью выходит из сложных ситуаций»,
«прогрессивное научно обоснованное управление» и пр.);
з) фирменный стиль («солидный офис», «красивая эмблема», «яркий
слоган» и пр.);
Деятельность и отношение («честная», «открытая», «не обманывает клиентов»
и пр.). В современных условиях предприятия постоянно сталкиваются с проблемой
потери репутации и в таких ситуациях руководство фирмы уделяет больше внимания
повышению имиджа организации. Каждому этапу развития организации можно
сформулировать этапы формирования внутреннего и внешнего имиджа.
.2 Пути формирования имиджа
Изначально идет становление организации. На этом этапе будут минимальные
затраты на имидж организации.
На этапе становления основными задачами при создании имиджа организации
могут являться:
а) составление планов и политики
б) распределение обязанностей
в) создание фирменного стиля
г) набор членов команды
д) маркетинговые исследования
е) формирование базы клиентов
ж) внешний имидж организации способствует успешной деятельности при
соблюдении нескольких правил:
з) информирование потенциальных клиентов и партнеров об организации
и) правильная реклама
На этом этапе важно соблюдать соответствие обещаний и реальности, этот
этап очень важен для дальнейшего развития организации и на прямую влияет на
дальнейшую работу организации.
На следующем этапе, после того как компания уже занимает свою
определенную нишу, увеличивают затраты на рекламу и продвижение имиджа.
Внутренний имидж компании на втором этапе состоит из:
а) укрепление корпоративного духа
б) создание стиля
в) создание аналитического и маркетингового отделелов
г) направлением внешнего имиджа организации является:
д) выделение главных качеств компании путем СМИ
е) обеспечение взаимной связи с клиентами организации
ж) реклама и акции
з) организация инновационной деятельности
и) использование фирменного стиля
Третий этап становления характеризуется совершенствованием деятельности
расширяются социальные аспекты деятельности организации, что, в свою очередь,
способствует улучшению внешнего и внутреннего имиджа.
На последнем этапе жизнедеятельности организации имидж находится в тесной
связи с такими областями, как:
а) развитие профессиональных качеств персонала
б) развитие филиалов в других регионов
в) развитие новых направлений деятельности
г) поддержка связи с клиентами и партнерами
д) внешний имидж компании на этом этапе предполагает:
е) уменьшение затрат на рекламу
ж) начало рекламной компании инновационной деятельности предприятия
з) активное участие в общественной жизни
и) расширение социальной рекламы
Делая вывод из всего выше сказанного, нужно отметить, что в постоянно
меняющихся условиях следует организовать постоянный процесс совершенствования
имиджа организации. Традиции и правила организации показывают реализацию сильного
имиджа, принятых ценностей компании. Что бы обеспечить успешное дальнейшее
развитие организации следует анализировать и наперед продумывать пути и способы
повышения имиджа организации.
Формирование имиджа в наше время - это актуальная тема для организаций и
известных личностей. Совершая покупки или пользуясь услугами той или иной
организации, потребитель руководствуется слухами, общественным мнением,
отзывами, своим личными оценками надежности фирмы. Потребитель не станет
пользоваться услугами или товарами фирмы, в которой не уверен, тут то и важен
правильный имидж организации.
На протяжении всего периода изучения сферы корпоративного имиджа сложился
понятийный аппарат. Основные элементы:
а) видение - представление об окружающей действительности - настоящей
или будущей
б) корпоративная миссия - общественно-значимый статус, социально
значимая роль организации. Миссию можно рассматривать как стратегический
инструмент, идентифицирующий целевой рынок и широко определяющий бизнес, или
основную деятельность предприятия.
в) корпоративная индивидуальность - ценности, суждения и нормы
поведения, разделяемые в компании и определяющие сущность индивидуальной
корпоративной культуры
г) корпоративная идентичность - это то, что организация сообщает о
себе, о своей индивидуальности
д) корпоративный имидж - это восприятие организации группами
общественности
Схематично понятийный аппарат представлен на рисунке 2.
Говоря о формировании управления имиджем, Почепцов Г.Г. предлагает
четырехтактную модель имиджевой компании:
а) определение требований.
б) определение целевой аудитории и постановка особенностей имиджа
под выбранную аудиторию
в) определение особенностей объекта
г) следует реально оценивать особенности объекта.
д) подстройка элементов имиджа под целевую аудиторию
е) стоит не только укреплять слабые стороны, но и улучшать сильные.
ж) перевод элементов и характеристик в различные сферы влияния на
аудитории [47]
Для формирования и управления свои имиджем организация должна знать и
осознавать свое положение на рынке, свои преимущества и недостатки, знать свою
аудиторию. Визуальные и событийные сообщения оказывают наибольший эффект на
аудиторию, но также важен и вещный блок выражения.
При этом следует учитывать особенности массового сознания, и варианты
образа, которые воспринимаются массовым сознанием можно представить в виде
треугольника. Треугольник образов представлен на рисунке 3.
Каждая точка треугольника соответствует разным вариантам восприятия.
Идеальный образ показывает, каков будет идеальный имидж организации, с точки
зрения целевой аудитории. Реальный соответствует имеющимся характеристикам.
Рисунок 2 - Механизм формирования имиджа
Рисунок 3 - Треугольник образов
На сегодняшний день есть много средств формирования имиджа:
а) позиционирование.
б) манипулирование.
в) мифологизация
г) эмоционализация
д) формат
е) вербализация
ж) детализация
з) дистанцирование
и) визуализация
Имидж организации формируется на основе миссии корпоративного имиджа, ее
идентичности и индивидуальности. Для разных организаций этапы условно можно
разделить на 3 группы:
а) Организации, рейтинг которых зависит от их лично созданного имиджа. В
эту группу входят отдельные личности, социальные группы, общественные движения
(студенты, пенсионеры, радио, лидеры общественных движений и общественные
движения). Объекты, чей имидж определяется только общественным мнением
б) Организации, рейтинг которых в равной степени завит как от
качества продукции и услуг, так и от имиджа. В данную группу входят большие
корпорации и мелкие фирмы, чей успех на прямую зависит от качества
предоставляемых ими продукции и услуг и от их имиджа. Задачей таких фирм
состоит в увеличении продаж, создании имиджа и улучшения качества продукции и
услуг
в) Организации, в успешной деятельности для которых на первом месте
стоит качество продукции
Это небольшие организации, занимающиеся торговлей и их успех, зависит в
основном от качества предлагаемых товаров.
В зависимости от того, к какой группе относится организация зависит набор
элементов по формированию имиджа.
Для первых двух групп крайне важно поддерживать свой имидж, в отличии от
третьей группы, для которой важнее качество продукции и можно поддерживать свои
имидж качеством, стараясь защитить случайный или умышленный спад имиджа.
Формирование корпоративного имиджа складывается из личностных оценок и
способов их формирования в имидже предприятия, структуры организации
деятельности предприятия, представление и составление наилучшей модели
поведения членов команды, отражающую сложившиеся ценности внутри компании.
Формирование имиджа организации включает в себя взаимодействие всех
элементов корпоративной культуры, внешней и внутренней.
Взаимодействие всех элементов делает реальным создание реальных ценностей
и определяет сильные и слабые стороны предприятия, показывают реальные способы
создания имиджа, который способен помочь организации достичь свои цели.
Делая выводы из всего выше сказанного о формировании корпоративного
имиджа отметим, что важно на каждом этапе развития организации анализировать
внешнюю и внутреннюю ситуацию на рынке, быть открытым и честным с клиентами и
партнерами.
Формирование имиджа начинается с этапа формирования предприятия, когда
организация говорит о себе качеством свое продукции и услуг, так же тем, как
она ведет дела с партнерами, тем, как позиционирует себя для покупателей. И на
каждом последующем этапе существуют свои особенности в поведении компании на
рынке.
1.3 Элементы имиджа и их влияние на деятельность предприятия
Далее мы рассмотрим элементы, которые составляют имидж организации1
элемент: корпоративная культура
Корпоративная культура является инструментом, который выявляет сплачивает
людей, дает возможность эффективно использовать качества сотрудников, позволяет
предприятию адаптироваться изменение во внешней и внутренней среде, позволяет
поддерживать конкурентоспособность организации.
Корпоративная культура - это совокупность норм, правил, ценностей,
этических стандартов, которыми должны руководствоваться организация и ее
сотрудники в своей повседневной работе. Корпоративная культура обеспечивает
возможность совместной деятельности. [45]
К основным элементам имиджа организации можно отнести:
а) философия организации
б) легенда организации
в) фирменный стиль организации
г) корпоративная культура
Философия организации.
Философия организации устанавливает совокупность внутриорганизационных
принципов и правил взаимоотношений персонала. Это своеобразная система
ценностей и убеждений, воспринимаемая добровольно или в процессе трудового
воспитания всем персоналом организации. Такой своеобразный моральный кодекс
поведения внутри организации гарантирует успех и благополучие, сокращение
конфликтных ситуаций, рост имиджа организации. Несомненно, что многие вопросы
философии организации нашли отражение в ее программных и нормативных
документах. Однако единый свод философских утверждений необходим и позволяет:
а) строго регламентировать служебные отношения между сотрудниками,
сотрудниками и покупателями, поставщиками и т.п.;
б) ускорить адаптацию вновь принимаемых работников;
в) стандартизировать взгляды на самоуправление, выборность
руководства, единоначалие, роль трудового коллектива в управлении и т.д.;
г) узаконить или регламентировать политику собственника в отношении
персонала и организации в целом;
д) сохранить или упрочить конкурентоспособность организации
независимо от возможных изменений в ее руководстве.
При разработке философии организации необходимо основываться на
действующих нормативных актах (Конституции РФ, Гражданском кодексе, Трудовом
Кодекс РФ, Декларации прав человека и т.д.), Уставе и коллективном договоре
организации, особенностях национальной и региональной культуры, мировом и
российском опыте лучших компаний. Философия организации должна учитывать:
национальный состав сотрудников, региональную специфику (город, поселок, село и
др.), тип производства, отрасль, количественный состав персонала, материальный
и культурный уровень жизни, личные убеждения собственника и руководителя
организации.
Каждая промышленно развитая страна мира имеет свои отличительные
особенности в формулировании философии бизнеса. В российских условиях лишь
крупные предприятия, сохранившиеся или созданные на базе государственной
собственности, имеют свою историю, приоритеты работы с персоналом, традиции
четкой дисциплины, социальные гарантии. Для большинства организаций малого и
среднего бизнеса характерно полное отсутствие собственной философии, что
способствует жесткому и не всегда гуманному отношению к персоналу со стороны
собственника и максимальному ограничению демократизации управления.
Философия организации, как правило, определяет:
а) цели и задачи организации
б) декларацию прав сотрудника
в) что поощряется и запрещается
г) деловые и нравственные качества
д) условия труда и организацию рабочих мест
е) оценку и оплату труда
ж) социальные блага и гарантии
з) возможности реализации увлечений, условия отдыха
Легенда организации - созданные реальные события, захватывающая история,
позиционирование которое сделано на основе имиджа организации. Легенда может
быть основана как на самой компании, так и на руководителе или членов команды.
Создание легенды способствует запоминанию бренда, товара или услуги
организации, формирует сильный имидж.
Легенда организации:
а) повышение эффективности имиджевой политики
б) повышение узнаваемости
в) формирует исключительные черты имиджа
г) повышает командный дух
д) стимулирует продажи
Фирменный стиль организации- отличительный набор элементов имиджа
организации (слоган, цвет, графика, логотип) и смысловое единство товаров и
услуг.
Фирменный стиль включает в себя:
а) товарный знак
б) девиз
в) фирменные бланки
г) форма одежды
д) визитные карточки
е) ярлыки
ж) плакаты
з) упаковка и сувениры
и) цвета
И этот список может продолжаться.
Корпоративная культура - совокупность моделей поведения, которые
приобретены организацией в процессе адаптации к внешней среде и внутренней
интеграции, показавшие свою эффективность и разделяемые большинством членов
организации. Компонентами корпоративной культуры являются:
а) принятая система лидерства;
б) стили разрешения конфликтов;
в) действующая система коммуникации;
г) положение индивида в организации;
д) особенности гендерных и межнациональных взаимоотношений;
е) принятая
символика: лозунги <https://ru.wikipedia.org/wiki/%D0%9B%D0%BE%D0%B7%D1%83%D0%BD%D0%B3>,
организационные табу
<https://ru.wikipedia.org/wiki/%D0%A2%D0%B0%D0%B1%D1%83>, ритуалы. [48]
Элементы имиджа организации:
а) фундаментальный имидж:
) принципы
2) цели
) миссия
) философия
) ценности
) внешний стиль
) стандарты общения
б) внешний имидж:
) качество
2) реклама
) фирменный стиль
) спонсорство
) отношение к должностным обязанностям
) отношение со СМИ
в) внутренний имидж:
) кадровая политика
2) финансовая политика
) тренинги и повышение квалификации для членов команды
) коммуникации
) мотивация
Основной вывод, который можно сделать из выше сказанного заключается в:
а) имидж - это целостное восприятие продукта, включающее в себя
эмоциональную и информационную сторону человеческого восприятия, стихийно
появившееся или созданное с помощью определенный действий, определяющее
направление восприятия объекта, для которого создается имидж
б) созданный имидж и репутация предприятия главным образом оказывают
влияние на потенциальных клиентов и покупателей.
в) главной целью имиджа является определенное отношение социума,
выделить фирму, создать правильны ассоциативный ряд у клиентов и партнеров.
Бренд, логотип, название и т.п. должны вызывать конкретный образ, ассоциацию,
побуждение сделать выбор в пользу конкретной организации.
г) на каждом этапе развития организации соответствует своя политика
становления имиджа организации, помогающая наиболее эффективно функционировать
организации.
д) важно подчеркнуть, что в процессе создания имиджа организации
необходимо поддерживать профессионализм в процессе формирования мероприятий по
формированию общественного мнения, идентификации организации и привлечении
внимания к ней. В постоянно меняющихся условиях следует организовать постоянный
процесс совершенствования имиджа организации.
е) для формирования и управления свои имиджем организация должна
знать и осознавать свое положение на рынке, свои преимущества и недостатки,
знать свою аудиторию. Визуальные и событийные сообщения оказывают наибольший
эффект на аудиторию, но также важен и вещный блок выражения.
ж) формирование имиджа начинается с этапа формирования предприятия,
когда организация говорит о себе качеством свое продукции и услуг, так же тем,
как она ведет дела с партнерами, тем, как позиционирует себя для покупателей. И
на каждом последующем этапе существуют свои особенности в поведении компании на
рынке.
имидж реклама корпоративный стиль
Глава 2. Анализ деятельность организации ООО «А-Мувинг»
.1 Общая характеристика организации ООО «А-Мувинг»
Наименование Общества: Общество с ограниченной ответственностью
"А-Мувинг". Общество с ограниченной ответственностью
"А-Мувинг" создано на основании Решения единственного учредителя.
Общество основано 30 августа 2011 года. Местонахождение Общества: РФ, 119071,
г. Москва, ул. Малая Калужская, д. 15, стр. 17. По вышеуказанному адресу
находится исполнительный орган в лице Генерального директора на основании
договора.
Основной целью деятельности организации ООО «А-Мувинг» является
извлечение прибыли, путем насыщения потребительского рынка товарами и услугами.
Политика компании - чёткое планирование, подробные консультации,
высококвалифицированный персонал, полная материальная ответственность и, что
немаловажно в реалиях современной жизни, доступная стоимость. Благодаря этому,
более половины клиентов возвращаются к нам снова и снова, или приходят по
рекомендациям. Компания «А-Мувинг» - это ещё и аккредитованный участник многих
электронных площадок, а это значит, что является активным участником рынка
государственных заказов и тендеров.
Услуги предприятия ООО «А-Мувинг»:
Услуги переезда можно сравнить с искусством, ведь они требуют от
специалистов, которые их оказывают, теоретических знаний, практического опыта и
творческого подхода. Транспортная компания «А-Мувинг» виртуозно владеет этим
мастерством, имея в активе все необходимое для того, чтобы получать безупречный
конечный результат вне зависимости от направления своей работы, будь то:
Офисный переезд
В переезде офиса предприятие ООО «А-Мувинг» ставит на передний план
удобство пользования их услугами и экономия времени клиента, Грамотно
спланированный переезд, в котором учитываются все пожелания клиента, включая
тщательную подготовку документов, упаковку мебели способствует максимально
быстрому и качественному осуществлению переезда.
Квартирный переезд
При осуществлении квартирного переезда приоритетом для ООО «А-Мувинг»
является профессиональный, индивидуальный и ответственный подход к делу,
пунктуальность компании в выполнении своих работ, фиксированная цела и четкая
схема работы.
Междугородный переезд
При междугородних переездах компания гарантирует своим клиентам
соблюдение сроков, лояльность цен, аккуратное обращение с имуществом
предприятия.
Бюджетный переезд
Предприятие тщательно следит за своей ценовой политикой и старается
сделать свои услуги как можно более доступными для различных аудиторий.
Ответственное хранение
Так же предприятие предоставляет услуги хранения в специализированных
помещениях и дает гарантию своим клиентам, в виде страховки имущества,
доверенного компании.
Грузоперевозки и аренда грузовых автомобилей
Предприятие так же представляет в аренду свой автопарк со своими
водителями.
Бесплатная оценка переезда
Бесплатный выезд специалиста по оценке переезда позволяет экономить
время, четко планировать переезд, позволяет специалисту учесть все пожелания
клиента непосредственно уже будучи знакомым с объемами работы, что позволяет
провести переезд максимально эффективно и экономично, минимизировать
возможность возникновения непредвиденных ситуаций. Организационная структура
приведена на рисунке 4.
Должностные инструкции:
Генеральный директор. Без доверенности действует от имени Общества, в том
числе представляет его интересы и совершает сделки; выдает доверенности на
право представительства от имени Общества, в том числе доверенности с правом
передоверия; издает приказы о назначении на должности работников Общества, об
их переводе и увольнении, применяет меры поощрения и налагает дисциплинарные
взыскания; ведет список участников Общества; осуществляет иные полномочия, не
отнесенные Федеральным законом или Уставом Общества к компетенции общего
собрания участников Общества.
Рисунок 4 - Организационная структура управления ООО «А-Мувинг»
Начальник отдела рекламы. Осуществляет разработку маркетинговой политики
на предприятии на основе анализа потребительских свойств производимой продукции
и прогнозирования потребительского спроса и рыночной конъюнктуры. Руководит
проведением исследований основных факторов, формирующих динамику
потребительского спроса на продукцию и услуги Работодателя, соотношение спроса
и предложения на аналогичные виды продукции, а также потребительских качеств
конкурирующих продуктов и услуг. Организует изучение мнения потребителей о
выпускаемой предприятием продукции, его влияния на сбыт продукции и подготовку
предложений по повышению ее конкурентоспособности и качества. Координирует
связанную с рекламой и маркетингом деятельность отделов Работодателя, в том
числе по повышению качества и конкурентоспособности продукции и услуг. Осуществляет
контроль за своевременным устранением недостатков, указанных в поступающих от
потребителей рекламациях и претензиях, мотивацией определенного отношения
потребителей к продукции предприятия.
Организует разработку стратегии проведения рекламных мероприятий в
средствах массовой информации с помощью наружной, световой, электронной,
почтовой рекламы, рекламы на транспорте, участие в отраслевых выставках,
ярмарках, выставках-продажах для информирования потенциальных показателей и
расширения рынков сбыта.
Начальник отдела по работе с клиентами. Организует и контролирует офис
менеджеров, следит за выполнением планов отдела, осуществляет комплекс мер по
проверке клиентов, следит за соблюдением норм общения клиентов, проверяет
отчетность офис-менеджеров. Разрабатывает скидочную и ценовую политику,
руководит сбытом, организует работу по систематизации, анализу, ведению
клиентской базы, регулирует состояние кредиторской и дебиторской задолженности
клиентов. Разрабатывает критерии для оплаты менеджеров отдела продаж,
организует тренинги, обучение для менеджерского состава (вместе с отделом
развития), принимает участие в проведении и организации выставок.
Начальник отдела кадров. Возглавляет работу по комплектованию организации
кадрами рабочих, служащих и специалистов требуемых профессий, специальностей и
квалификации в соответствии с целями, стратегией и профилем организации,
изменяющимися внешними внутренними условиями его деятельности, формированию и
ведению банка данных о количественном и качественном составе кадров. Организует
разработку прогнозов, определение текущей потребности в кадрах и источниках ее
удовлетворения на основе изучения рынка труда, установления прямых связей с
учебными заведениями и службами занятости, контактов с организациями
аналогичного профиля, информирования работников внутри организации об имеющихся
вакансиях, использования средств массовой информации для помещения объявлений о
найме работников. Принимает участие в разработке кадровой политики и стратегии
организации.
Главный бухгалтер. Организует работу по ведению регистров бухгалтерского
учета, исполнению смет расходов, учету имущества, обязательств, основных
средств, материально-производственных запасов, денежных средств, финансовых,
расчетных и кредитных организаций, издержек производства и обращения, продажи
продукции, выполнения работ (услуг), финансовых результатов деятельности
организации. Обеспечивает своевременное и точное отражение на счетах
бухгалтерского учета хозяйственных операций, движения активов, формирования
доходов и расходов, выполнения обязательств. Обеспечивает контроль за
соблюдением порядка оформления первичных учетных документов. Организует
информационное обеспечение управленческого учета, учет затрат на производство,
составление калькуляции себестоимости продукции (работ, услуг), учет по центрам
ответственности и сегментам деятельности, формирование внутренней
управленческой отчетности.
.2 Анализ финансово-хозяйственной деятельности организации ООО «А-Мувинг»
Кроме руководящих должностей в компании есть основной штаб кадров. Штаб
сотрудников представлен в таблице 1.
Таблица 1 - Штат сотрудников ООО «А-Мувинг»
|
Должность
|
2012 год
|
2013 год
|
|
Водители
|
4
|
4
|
|
Оценщики
|
4
|
4
|
|
Кладовщики
|
4
|
4
|
|
Офис-менеджер
|
3
|
4
|
|
Клининг
|
4
|
4
|
|
Дизайнер
|
1
|
1
|
|
Всего
|
26
|
27
|
Из таблицы 1 видно, что состав штата сотрудников в 2013 году по сравнению
с 2013 годом особенно не изменилась и увеличился на одного сотрудника,
занимающего должность офис- менеджера. Проведем анализ социальной структуры
коллектива. Анализ проводится по следующим показателям:
Среднесписочная численность работников:

(1)
Где:
Р - среднесписочная численность работников; Р1 - Р12 - численность сотрудников
в месяц;
Коэффициент
приема кадров:

(2)
Где:
К - коэффициент приема кадров; Рп - численность принятых работников;
Р
- среднесписочная численность работников;
Коэффициент
выбытия:

(3)
Где:
К - коэффициент выбытия кадров; Рув - численность уволенных работников;
Р
- среднесписочная численность работников;
Коэффициент
текучести кадров:

(4)
Где:
К - коэффициент текучести кадров; Рв - численность уволенных и принтых
работников; Р - среднесписочная численность работников;
На
конец 2012 года:
Таблица
2 - Социальная структура коллектива на конец 2012 года
|
Показатели:
|
Всего:
|
В том числе по категориям:
|
|
Чел.
|
%
|
руководители
|
специалисты
|
рабочие
|
|
|
|
Чел
|
%
|
Чел
|
%
|
Чел
|
%
|
|
Численность ППП
|
26
|
100
|
6
|
23
|
8
|
31
|
12
|
46
|
|
Структура персонала по
полу:
|
|
|
|
|
|
|
|
|
|
|
Женский
|
11
|
42
|
2
|
8
|
5
|
19
|
4
|
16
|
|
|
Мужской
|
15
|
58
|
4
|
15
|
3
|
12
|
8
|
30
|
|
|
Возрастной состав
|
|
|
|
|
|
|
|
|
|
|
До 20 лет
|
|
|
|
|
|
|
|
|
|
|
20-25 лет
|
2
|
8
|
|
|
2
|
8
|
|
|
|
|
25-35лет
|
12
|
46
|
1
|
4
|
6
|
23
|
5
|
19
|
|
|
35-50 лет
|
12
|
46
|
5
|
19
|
|
|
7
|
27
|
|
|
Старше 50 лет
|
|
|
|
|
|
|
|
|
|
|
Стаж работы:
|
|
|
|
|
|
|
|
|
|
|
До 1 года
|
9
|
35
|
4
|
15
|
3
|
12
|
2
|
8
|
|
|
1-3 года
|
17
|
65
|
2
|
8
|
5
|
19
|
10
|
38
|
|
|
3-5 лет
|
|
|
|
|
|
|
|
|
|
|
Свыше 5 лет
|
|
|
|
|
|
|
|
|
|
|
Образовательный уровень:
|
|
|
|
|
|
|
|
|
|
|
Среднее полное
|
14
|
54
|
|
|
5
|
19
|
9
|
34
|
|
|
Незаконченное высшее
|
1
|
4
|
|
|
|
|
1
|
4
|
|
|
Высшее
|
11
|
42
|
6
|
23
|
3
|
12
|
2
|
8
|
|
|
|
|
|
|
|
|
|
|
|
|
|
|
|
|
|
|
Среднесписочная численность работников:


25
Коэффициент
приема кадров:

12
Коэффициент
выбытия:

12
Коэффициент
текучести кадров:

24
На
конец 2013 года:
Таблица
3 - Социальная структура коллектива на конец 2013 года
|
Показатели:
|
Всего:
|
В том числе по категориям:
|
|
|
Чел.
|
%
|
руководители
|
специалисты
|
рабочие
|
|
|
|
|
Чел.
|
%
|
Чел.
|
%
|
Чел.
|
%
|
|
|
Численность ППП
|
27
|
100
|
6
|
22
|
9
|
33
|
12
|
45
|
|
|
Структура персонала по
полу:
|
|
|
|
|
|
|
|
|
|
Женский
|
12
|
44
|
2
|
7
|
6
|
22
|
4
|
15
|
|
Мужской
|
15
|
56
|
4
|
15
|
3
|
11
|
8
|
30
|
|
Возрастной состав
|
|
|
|
|
|
|
|
|
|
До 20 лет
|
|
|
|
|
|
|
|
|
|
20-25 лет
|
2
|
7
|
2
|
7
|
|
|
|
|
|
25-35лет
|
15
|
56
|
|
|
5
|
18
|
10
|
38
|
|
35-50 лет
|
10
|
37
|
4
|
15
|
4
|
15
|
2
|
7
|
|
Старше 50 лет
|
|
|
|
|
|
|
|
|
|
Стаж работы:
|
|
|
|
|
|
|
|
|
|
До 1 года
|
4
|
15
|
2
|
7
|
1
|
4
|
1
|
4
|
|
1-3 года
|
23
|
85
|
4
|
15
|
8
|
29
|
11
|
41
|
|
3-5 лет
|
|
|
|
|
|
|
|
|
|
Свыше 5 лет.
|
|
|
|
|
|
|
|
|
|
Образовательный уровень:
|
|
|
|
|
|
|
|
|
|
Среднее полное
|
14
|
52
|
|
|
5
|
18
|
9
|
33
|
|
Незаконченное высшее
|
1
|
4
|
|
|
1
|
4
|
|
|
|
Высшее
|
12
|
44
|
6
|
|
3
|
11
|
3
|
12
|
|
|
|
|
|
|
|
|
|
|
|
|
|
|
|
|
|
Среднесписочная численность работников:

= 
26
Коэффициент
приема кадров:

19
Коэффициент
выбытия:

15
Коэффициент
текучести кадров:

На
основе данных анализа трудовых ресурсов проведем анализ изменения трудовых
ресурсов:
К
концу 2012 года в ООО"А-Мувинг" работало 26 человек, в число которых
входило 4 водителя ,4 оценщика ,4 кладовщика, 3 офис-менеджера , 4 клининг, 1
дизайнер. Из которых высшее образование имели 11 человек включая руководство
компании, среднее полное 14 и неполное высшее 1 человек.
Среднесписочное
количество кадров на конец 2012 года составляло 25 человека, по факту работало
26 человек. Среднесписочное количество кадров на конец 2013 года составляло 26
человек. Сравнивая эти 2 показателя можно сказать о том, что штат сотрудников,
в общем, не изменился.
В
период с конца 2012 по конец 2013 коэффициент текучести кадров вырос с 24 до
34. В результате сравнения данных за 2012-2013 года можно сделать вывод, что
текучесть кадров в компании ООО "А-Мувинг" выросла, что может в
будущем, при таком же темпе роста текучести, может произвести не благоприятный
эффект.
Но
с другой стороны, так как компания еще достаточное молода, это пойдет ей на
пользу, так что из всех показателей можно сказать, что компании старается
набрать более квалифицированный и молодой персонал. Другой вопрос в удержании
молодой части кадров. Динамику изменения социальной структуры можно представить
в виде рисунка 5.
Низкая
текучесть кадров имеет двоякую природу. С одной стороны, людей удерживают
подходящие условия работы - финансовые, социальные, наполненность интересным
содержанием. А с другой стороны - то, что называется корпоративной культурой.
Если
людей объединяют общие ценности, то их взаимное притяжение очень сильно. При
наличии развитой корпоративной культуры условия работы могут даже на некоторое
время отойти на задний план.
Рисунок
5 - Динамика изменения социальной структуры
На
основании бухгалтерской годовой отчетности и отчета о прибылях и убытках за
период 2012-2013 годов проведем экономический анализ предприятия. Для того,
чтобы оценить эффективность работы нашего предприятия нам нужно сделать анализ
использования оборотных средств. Анализ представлен в таблице 4.
Таблица
4 - Анализ использования оборотных средств.
|
Показатели
|
2012
|
2013
|
Отклонения
|
|
|
|
Абсолютное
|
%
|
|
Среднегодовая стоимость
оборотных средств
|
1052
|
1356
|
304
|
29
|
|
Коэф. оборачиваемости
|
0,3
|
13
|
12,7
|
42
|
|
Скорость годового оборота
|
1,2
|
28
|
26,8
|
22
|
Коэффициент оборачиваемости:

(5)
Скорость
годового оборота:

(6)
Из
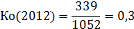
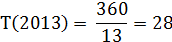
таблицы 4 можно сделать вывод, о том, что коэффициент оборачиваемости с конца
2012 по конец 2013 года увеличился с 0,3 до 13 и скорость годового оборота
основных средств с конца 2012 по конец 2013 года увеличилась с1,2 до 28.
Проводить
анализ использования основных фондов является не целесообразным, поскольку
Общество ООО «А-Мувинг» занимается логистикой и основные фонды Общество
арендует.
Горизонтальный
анализ отчета о финансовых результатах.
Горизонтальный
анализ - это сравнение каждой позиции отчетности с предыдущим периодом в
относительном и абсолютном виде для того, чтобы сделать лаконичные выводы.
Горизонтальный анализ отчета о финансовых результатах представлен в таблице 5.
Из данных таблицы мы можем увидеть общее увеличение показателей.
Таблица
5 - Горизонтальный анализ финансовых результатов. В тысячах рублей
|
Показатели
|
2012
|
2013
|
Отклонение
|
|
|
|
Абс.
|
%
|
|
Выручка
|
339
|
17193
|
16854
|
4971
|
|
Себестоимость
|
334
|
17044
|
16710
|
5002
|
|
Валовая прибыль
|
5
|
149
|
144
|
|
Прибыль от реализации
|
5
|
149
|
144
|
2880
|
|
Прочие расходы
|
(2)
|
(100)
|
(98)
|
4900
|
|
Прибыль до
налогообложения
|
3
|
49
|
46
|
1533
|
|
Налог на прибыль
|
0.6
|
9.8
|
9.2
|
1533
|
|
Чистая прибыль
|
2
|
39
|
37
|
1850
|
Так, например, выручка на конец 2012 год составляла 339 тыс. руб., а уже
к концу 2013 она составляла 17193 тыс. руб. Увеличилась так же и себестоимость
с 334 тыс. руб. на конец 2012 да 17044 тыс. руб. на конец 2013 года. За
анализируемый период изменение объема продаж составило 16 854,00 тыс. руб. Темп
прироста составил 4971.68процента. Валовая прибыль на 31.12.2012 составляла
5,00 тыс. руб. За анализируемый период она возросла на 144,00 тыс. руб., что
следует рассматривать как положительный момент, и на 31.12.2013 составила
149,00 тыс. руб. Прибыль от продаж на 31.12.2012 составляла 5,00 тыс. руб. За
анализируемый период она так же, как и валовая прибыль, возросла на 144,00 тыс.
руб. и на 31.12.2013 прибыль от продаж составила 149,00 тыс. руб., так же, как
и валовая прибыль, осталась на прежнем уровне. При анализе видно, что общая величина
активов предприятия в отчетном периоде, по сравнению с базовым увеличилась.
Вертикальный анализ отчета о финансовых результатах.
Вертикальный анализ баланса является разновидностью финансового анализа
отчетностей предприятия и используется для оценки отношения исследуемой строки
или показателя к итоговому показателю баланса. Вертикальный анализ отчета о
финансовых результатах представлен в таблице 6. Из вертикального анализа
финансовых результатов мы видим, что наибольший удельный вес в выручке занимает
себестоимость (98% в 2012 году и 99% в 2013 году), а наименьший удельный вес
имеет прибыль от реализации (1,4% в 2012 году и 0,8% в2013 году).
Так же мы видим спад удельного веса чистой прибыли (с 0,5%в 2012 году до
0,2% в 2013), прибыли до налогообложения (с 0,8% в 2012 году до 0,2% в 2013
году), валовой прибыли (с 1,4% в 2012 году до 0,8 в 2013 году)
Таблица 6 - Вертикальный анализ финансовых результатов
|
Показатели
|
Удельный вес 2012 в %
|
Удельный вес 2013 в %
|
Отклонение в %
|
|
Выручка
|
339
|
17193
|
16854
|
|
Себестоимость
|
98
|
99
|
1
|
|
Валовая прибыль
|
1.4
|
0.8
|
-0.6
|
|
Прибыль от реализации
|
1.4
|
0.8
|
-0.6
|
|
Прочие расходы
|
0.5
|
0,5
|
-
|
|
Прибыль до налогообложения
|
0.8
|
0,2
|
-0,6
|
|
Налог на прибыль
|
0.2
|
0,5
|
-0,15
|
|
Чистая прибыль
|
0.5
|
0,2
|
-0,3
|
На конец отчетного периода наибольший удельный вес в структуре совокупных
активов приходится на оборотные активы (100%), что говорит о достаточно
мобильной структуре активов, способствующей ускорению оборачиваемости средств
предприятия.
Анализ показателей рентабельности.
Рентабельность - это показатель эффективности экономической деятельности
организации. Анализ рентабельности предприятия ООО «А-Мувинг» приведен в
таблице 7.
Таблица 7 - Анализ рентабельности предприятия ООО «А-Мувинг»
|
Рентабельность
|
2012 в %
|
2013 в %
|
Отклонение в %
|
|
Рентабельность продукта
|
1.5
|
0.9
|
-0.6
|
|
Рентабельность продаж
|
1.5
|
1
|
-0.6
|
|
Рентабельность активов
|
0.3
|
3.6
|
3.3
|
|
Рентабельность текущих
активов
|
0.2
|
2.9
|
2.7
|
|
Рентабельность собственных
активов
|
9.5
|
177
|
167.5
|
Показатели рентабельности характеризуют финансовые результаты и
эффективность деятельности кредитной организации и представляют собой
результаты соотношения прибыли и используемых на ее получение средств.
Рентабельность продукта:

(7)
Рпродукта(2012)
= 
Рпродукта(2013)
= 
0,9
Рентабельность
продаж:

(8)
Рпродаж(2012)
= 
Рпродаж(2013)
= 
Рентабельность
активов:

(9)
Ра(2012)
= 
Ра(2013)
= 
Рентабельность
текущих активов:

(10)
Рта(2012)
= 
Рта(2013)
=
Рентабельность
собственных активов:

(11)
Рск(2012)
= 
Рск(2013)
= 
177
Из
анализа рентабельности мы видим спад рентабельности продукции с 1,5% в 2012
году до 0,9% в 2013 году, повышение рентабельности активов с 0,3 в 2012 году до
3,6 в 2013 году, повышение рентабельности текущих активов с 0,2% в 2012 году до
2,9% в 2013 году и рентабельности собственных активов с 9,5% в 2012 году до
177% в 2013 году. Так же можем наблюдать спад рентабельности продаж с 1,5% в
2012 году до 1%. Показатели рентабельности имеют динамику повышения в 2013 году
по сравнению с 2012 годом, кроме рентабельности продаж и продукции.
Анализ
ликвидности предприятия.
Анализ
ликвидности предприятия ООО «А-Мувинг» приведен в таблице 8. Динамика изменения
ликвидности представлена в рисунке 6.
Рисунок
6 - Динамика изменения ликвидности
Таблица
8 - Анализ ликвидности предприятия ООО «А-Мувинг»
|
Наименование показателя
|
2012
|
2013
|
Норма
|
|
Коэффициент абсолютной
ликвидности
|
0,07
|
0,18
|
Больше 0,2
|
|
Коэффициенты срочной
ликвидности
|
0,93
|
0,97
|
Больше 0,8
|
|
Коэффициент текущей
ликвидности
|
1,02
|
1,02
|
От 1,5 до 2,5
|
|
Чистые оборотные активы
|
21
|
22
|
Больше 0
|
Коэффициент абсолютной ликвидности:

(12)
Кал(2012)
= 
Кал(2013)
= 
Коэффициенты
срочной (промежуточной) ликвидности:

(13)
Ксл(212)
= 
Ксл(2013)
= 
Коэффициент
текущей ликвидности:

(14)
Ктл(2012)
= 
Ктл(2013)
= 
Чистые
оборотные активы:

(15)
Чоа(2012)
= 
Чоа(2013)
=
Можно
отметить общий рост платежеспособности предприятия. Если на конец 2012 года
коэффициент абсолютной ликвидности составлял 0.07, то на конец 2013 года
показатель составляет 0,18. Коэффициенты срочной (промежуточной) ликвидности на
конец 2012 года- 0,93, то на конец 2013 года - 0,97. Коэффициент текущей
ликвидности остался без изменений.
.3
Анализ имиджа организации ООО «А-Мувинг»
Проведем
анализ элементов имиджа организации ООО «А-Мувинг». Рассмотрим такие элементы
имиджа как корпоративная культура, фирменный стиль, реклама, а также
проанализируем конкурентов, проведем опрос среди сотрудников и клиентов.
Корпоративная
культура на рассматриваемом предприятии включает в себя дружескую обстановку и
командный дух в коллективе, объединённом одной общей миссией и целью. Уровень
конфликтов на предприятии крайне мал.
Всех
сотрудников предприятия, при поступлении в команду, обучают правилам делового
этикета, рассказывают о традициях и истории компании, каждый сотрудник компании
способствует наилучшей адаптации нового члена команды. Компания разработала
привлекательный, запоминающийся фирменный стиль. Цветовая гамма основана на
зеленом и голубом цветах приятного глазу оттенков. Логотип компании
представляет собой земной шар с буквой «А», что говорит о том, что для компании
нет ничего не возможного. Так же компания имеет ряд свей фирменной продукции,
такие как ручки с логотипом, кепки, майки, брелоки-рулетки с логотипом.
На
сайте компании можно найти множество отличных отзывов от известных компаний.
Отзыв о работе компании представлен в приложении А. Несомненным плюсом компании
можно считать, что «А-Мувинг» плотно сотрудничает со страховыми компаниями, и
каждый переезд, каждый груз, а также вещи, которые клиенты отдают компании на
хранение застрахованы. Компания несет ответственность за свою работу и дает
гарантии своим клиентам,что обратившись в их организацию они не столкнуться с
трудностями, связанными с не профессионализмом, присутствующим в других
логистических компаниях. Для простоты и удобства работы с организацией
организация предоставляет различные виды коммуникаций, такие как телефон,
электронная почта, связь с консультантом через сайт, так же клиент может
заказать звонок на сайте и в обязательном порядке с ним связываются.
Политика
компании - чёткое планирование, подробные консультации, высококвалифицированный
персонал, полная материальная ответственность и, что немаловажно в реалиях
современной жизни, доступная стоимость. Компания ООО «А-Мувинг» - это ещё и
аккредитованный участник многих электронных площадок, а это значит, что она
является активным участником рынка государственных заказов и тендеров. Компания
гордится своими базовыми принципами. «А-Мувинг» стремится поддерживать свой
сервис на европейском уровне:
Универсальный
и комплексный подход. Обращаясь к нам, вы получаете объединённый пакет услуг,
необходимых для качественного переезда. Мы берём на себя все заботы: от оценки
предстоящих работ, до страхования грузов и их ответственного хранения;
Внимание
ко всем деталям. Мы профессионалы своего дела, поэтому предусматриваем все
мелочи и нюансы, опираясь на свой богатый опыт и знания;
Ориентированность
на клиента. Вы будете удовлетворены результатом нашей работы, ведь мы всегда
опираемся на ваши пожелания и потребности;
Инновации
во всём. Мы следим за изменениями в сфере транспортных услуг, совершенствуемся
и действуем в соответствии с последними мировыми тенденциями;
Открытость
и прозрачность. Наши клиенты получают ответы на все вопросы и знают, как
осуществляется процесс, из чего складывается его стоимость, и какие гарантии
они приобретают;
Профессионализм.
Осуществляя переезды различной сложности, мы приобрели ценные навыки и опыт и
гарантируем, что вы доверяете специалистам;
Практичность.
Качественные услуги оказываются в кратчайшие сроки, с необходимыми гарантиями и
по индивидуальному плану, что обеспечивает по-настоящему эффективный результат.
[49]
Миссия
и цель - организация и проведение переездов, требующих минимальных инвестиций
без потери для качества, которые оградят вас от всех забот и проблем. Основные
положения элементов имиджа организации ООО «А-Мувинг» представлено в приложении
Б.
Для
анализа внутреннего имиджа организации проведем опрос среди сотрудников, а для
анализа внешнего имиджа проведем опрос среди клиентов предприятия ООО
«А-Мувинг». Анкеты для опроса сотрудников приведено в приложении В. Анкета для
опроса клиентов представлена в приложении Г.
Опрос
для сотрудников компании:
Цель
данного исследования выявление общей удовлетворенности сотрудников компании и
оценка восприятия имиджа. Анализ результатов проведения опроса сотрудников
компании ООО «А-Мувинг» представлен в таблице 9. В опросе участвовали 26
человек. сотрудникам компании предлагается оценить ряд критериев, оценки
производятся по 5- ти бальной шкале:
балл
- «абсолютно не удовлетворен»
балла
- «частично удовлетворен»
балла
- «вполне удовлетворен»
балла
- «удовлетворен»
баллов
- «абсолютно удовлетворен»
Таблица
9 - Анализ результатов проведения опроса сотрудников компании ООО «А-Мувинг»
|
Вопрос
|
Кол - во человек, выбравшие
вариант ответа
|
|
1
|
2
|
3
|
4
|
5
|
|
Оцените социальный пакет
|
|
|
10
|
14
|
2
|
|
Оцените мотивацию труда
|
|
9
|
7
|
6
|
4
|
|
Оцените условия труда
|
|
1
|
6
|
15
|
4
|
|
Оцените отношения в
коллективе
|
|
|
3
|
12
|
11
|
|
Оцените отношение с
руководителем
|
1
|
2
|
10
|
9
|
4
|
|
Оцените уровень
самостоятельности в работе
|
|
3
|
11
|
7
|
5
|
|
Оцените удовлетворенность
работой в компании
|
|
|
6
|
9
|
11
|
|
Оцените удовлетворенность
оплаты труда
|
2
|
6
|
5
|
6
|
7
|
|
Оцените режим работы
|
2
|
2
|
|
10
|
12
|
На основе результатов опроса, проведенного среди сотрудников компании
можно сделать вывод, что сотрудников данной компании не хватает мотивации
труда, так же сотрудники компании не удовлетворены оплатой труда. Более
наглядно степень удовлетворенности сотрудников представлена на рисунке 7.
Рисунок 7 - "Оцените удовлетворенность работой в компании"
Опрос клиентов компании
В опросе участвовало 30 человек, являющихся клиентами компании.
Результаты опроса клиентов компании:
На вопрос «Как вы узнали о нашей компании?» : Интернет - 16 чел., Журналы
и газеты - 7 чел., Радио - 0 чел., От знакомых и друзей - 7 чел.
На вопрос «Как вы оцениваете уровень обслуживании?» :Отлично - 23 чел.,
Возникали сложности - 6 чел., Ужасно - 1чел.
На вопрос «Как бы вы оценили наши услуги по сравнению с аналоговыми
предложениями на рынке?» Лучше - 11 чел., Аналогично - 17 чел, Хуже - 1чел.
На вопрос «Как часто замечаете рекламу нашей компании?»: Чаще 1 раза в
неделю - 4 чел, Реже 1 раза в неделю - 7 чел., Чаще одного раза в месяц - 16
чел., Никогда - 3 чел.
На вопрос «Насколько вы довольны услугами нашей компании?»: Абсолютно
доволен - 21 чел., Скорее доволен - 8 чел., Абсолютно не доволен - 1 чел. Наглядно
удовлетворенность клиентов работой компании отражена на рисунке 8.
На вопрос «Какие эмоции вызвал у Вас логотип компании?»: Позитивные - 21
чел., Нейтральные - 9 чел., Негативные - 0 чел.
На вопрос «Посоветовали бы Вы услуги нашей компании знакомым и друзьям
?»: Однозначно да - 19 чел., Скорее да - 10 чел., Скорее нет - 0 чел.,
Однозначно нет - 1 чел.
На вопрос «Приоритетным источником информации для Вас является?»:
Интернет - 12 чел., TV - 4 чел.,
Журналы и газеты - 5 чел., Друзья и знакомые - 9 чел.
Из проведенных выше результатов опрос делаем вывод, что большая часть
клиентов компании довольна уровнем обслуживания и услугами компании, логотип
компании у большинства респондентов вызывает позитивные эмоции, и большая часть
клиентов однозначно посоветовали бы услуги компании своим друзьям и знакомым.
Приоритетным источником информации является интернет. Однако, с помощью опроса,
выяснили, что рекламу компании замечают крайне редко, и на это стоит обратить
внимание. Анализ конкурентов по качественным оценкам представлен в таблице 10.
Рисунок 8 - «Насколько вы довольны услугами нашей компании?»
Из анализа можно сделать вывод, что компании, для ее дальнейшего развития
не хватает развития в таких областях как реклама. Предприятию необходимо
заявить о себе, разработать мероприятия по повышению уровня конкретности, для
чего нужно использовать более обширный спектр рекламы.
Также, на основании опроса сотрудников компании, для повышения
удовлетворенности и мотивации сотрудников, и на основании дальнейшей
ориентировки компании на расширении видов деятельности и, следовательно,
расширения штата сотрудников, необходимо разработать мероприятия, нацеленные на
совершенствование корпоративной культуры, которые позволят увеличить эффективность
работы предприятия, которые будут составлять материальную мотивацию в виде
бонусной системы. Разработка мероприятий, направленные на создание мотивации
для сотрудников, позволит создать дополнительные стимулы для достижения целей
компании, позволит членам команды быть более нацеленными на результат, что в
дальнейшем поспособствует организации достигнуть свои цели, выйти в скором
будущем на новые уровни в своей деятельности.
Таблица 10 - Анализ конкурентов по качественным оценкам
|
Параметры сравнения
|
«А-Мувинг»
|
«Грузофичкофф»
|
«Деликатный переезд»
|
«Новоселье»
|
|
Степень удовлетворенности
|
Отлично
|
Удовлетворительно
|
Отлично
|
Отлично
|
|
Параметры сравнения
|
«А-Мувинг»
|
«Грузофичкофф»
|
«Деликатный переезд»
|
«Новоселье»
|
|
|
Привлекательность имиджа
|
Интересный
|
Интересный
|
Нейтральный
|
Нейтральный
|
|
|
Реклама и СМИ
|
Нет
|
Часто
|
Редко
|
Редко
|
|
|
Дополнительные услуги
|
Есть
|
Есть
|
Есть
|
Нет
|
|
|
Социальные гарантии
|
Есть
|
Нет
|
Есть
|
Нет
|
|
|
Акции
|
Есть
|
Есть
|
Есть
|
Есть
|
|
|
Цены
|
В открытом доступе От 1000
руб.
|
В открытом доступе От
900руб.
|
В открытом доступе От 1560
руб.
|
Нет в открытом доступе От
2000 руб
|
|
|
Коммуникации
|
Телефон, обратный звонок,
почта, соц. сети
|
Телефон, факс, скайп, соц.
сети, ICQ, почта
|
Онлайн заказ, телефон,
обратный звонок
|
Телефон, обратный звонок,
почта
|
|
|
|
|
|
|
|
|
|
Обобщая все выше сказанное, можно отметить:
а) состав штата сотрудников в 2013 году по сравнению с 2013 годом
особенно не изменилась и увеличился на одного сотрудника, занимающего должность
офис- менеджера
б) в результате сравнения данных за 2012-2013 года можно сделать
вывод, что текучесть кадров в компании ООО "А-Мувинг" выросла,
коэффициент оборачиваемости с конца 2012 по конец 2013 года увеличился
в) произошло увеличение выручки, увеличилась так же и себестоимость.
За анализируемый период изменение объема продаж составило 16 854,00 тыс. руб.
Темп прироста составил 4971.68процента. Валовая прибыль за анализируемый период
возросла на 144,00 тыс. руб., что следует рассматривать как положительный
момент. Прибыль от продаж за анализируемый период она так же, как и валовая
прибыль, возросла. При анализе видно, что общая величина активов предприятия в
отчетном периоде, по сравнению с базовым увеличилась
г) наибольший удельный вес в выручке занимает себестоимость, а
наименьший удельный вес имеет прибыль от реализации. Так же мы видим спад
удельного веса чистой прибыли, прибыли до налогообложения, валовой прибыли.
Наибольший удельный вес в структуре совокупных активов приходится на оборотные
активы (100%), что говорит о достаточно мобильной структуре активов,
способствующей ускорению оборачиваемости средств предприятия.
д) показатели рентабельности имеют динамику повышения в 2013 году по
сравнению с 2012 годом, кроме рентабельности продаж и продукции
е) можно отметить общий рост платежеспособности предприятия
ж) сотрудникам данной компании не хватает мотивации труда, так же
сотрудники компании не удовлетворены оплатой труда. Большая часть клиентов
компании довольна уровнем обслуживания и услугами компании, логотип компании у
большинства респондентов вызывает позитивные эмоции, и большая часть клиентов
однозначно посоветовали бы услуги компании своим друзьям и знакомым.
Приоритетным источником информации является интернет. Рекламу компании замечают
крайне редко, и на это стоит обратить внимание
Глава 3. Мероприятия, направленные на устойчивое развитие организации
путем создания обновленного имиджа организации ООО «А-Мувинг»
.1 Создание обновленного имиджа организации ООО «А-Мувинг»
Итак, говоря о рекламе, скажем несколько слов о наиболее доступных и
эффективных видах рекламы.
Реклама- это комплекс психологических мер воздействия на сознание
потенциальных потребителей с целью активного продвижения на рынок объектов
рекламы, будь то товар, услуга или политический деятель, а также с целью
создания позитивного имиджа фирме, организации, отдельным институтам общества
[39]
Наружная реклама.
Наружной рекламой называют любую рекламу, расположенную в городе: на
стенах и крышах домов, на стендах, щитах и растяжках, в метро и на и
транспорте. Такой способ распространения рекламы считается относительно недорогим,
к тому же охватывает большое количество людей по географическому признаку.
Наружной рекламой можно считать щиты, растяжки, указатели, вывески, штендеры.
люди-сандвичи, пневмофигуры, липкая аппликация, городские конструкции, реклама
на и в общественном транспорте, реклама в лифтах.
Интернет реклама.
Интернет-реклама - реклама, размещаемая в сети Интернет; представление
товаров, услуг или предприятия в сети Интернет, адресованное массовому клиенту
и имеющее характер убеждения. В Интернет рекламу можно включить: контекстная
реклама, поисковая реклама, геоконтекстная реклама, вирусная реклама, продакт
- плейсмент в онлайн играх, аудио реклама, социальные сети. Каждая из них имеет
свое влияние и свою эффективность.
Реклама в печатных СМИ.
Печатная реклама - это вид рекламы, которая производится на специальной
печатной продукции и направлена, в первую очередь, на зрительное восприятие.
Выделяют: каталог, проспект, буклет, упаковка, журнал. Не смотря на активное
развитие интернет рекламы, реклама в печатных СМИ все же остается актуальной и
действенной
Реклама на радио и телевидении.
Как правило, реклама на радио способна заинтересовать только треть всех
слушателей, и в этом ее отличительная особенность от рекламы на ТВ, при которой
аудио - и видеопередача полезной информации воздействуют гораздо эффективнее.
реклама «прямого типа».
Наиболее подходящей и эффективной для предприятия ООО «А-Мувинг» буде
развитие интернет рекламы. Основными нововведениями в этой сфере будет SEO
продвижение.(поисковая оптимизация) - комплекс мероприятий, направленных на
повышение позиций сайта в поисковых системах по результатам выдачи ключевых
запросов. Чем выше Ваш сайт будет находиться в поисковых системах, тем больше
пользователей посетят его.продвижение позволит:
) способствует продвижению сайта
) быстрый поиск для целевой аудитории
) поднимает рейтинг компании
) позволяет разработать и запустить контекстную рекламу, которая
будет отображаться пользователям интернет, непосредственно находящихся в поиске
Применение SEO продвижения
позволит предприятию повысить свою репутацию, лояльность потенциальных
клиентов, расширить аудиторию клиентов, повысить конкурентов способность,
увеличить продажи. SEO продвижение позлит компании в дальнейшем расширять сфера
своего влияния, быть более конкурентоспособными.
До появления Интернета основными источниками информации традиционно
являлись:
) собственный опыт;
) печатное издание - книга, журнал, газета;
) радио или телевидение;
) опыт знакомых.
При решении серьезных вопросов довольно долго приходилось искать
человека, на чей опыт можно положиться, или тщательно выбирать нужную
литературу. Интернет за считанные годы изменил представления о поиске
информации. Оказалось, что в Сети можно найти и опытных людей, и данные,
которые когда-то были опубликованы в различных «бумажных» изданиях, и даже те,
которые еще не успели дойти до типографского станка. Все это можно сделать
намного быстрее, а выбор гораздо больше. [11]
Основные моменты по проведению мероприятия по созданию обновленного
имиджа приведены в таблице 11.
Таблица 11 - Основные элементы мероприятия
|
Ответственный за проведение
мероприятия
|
Отдел рекламы (начальник
отдела рекламы и дизайнер)
|
|
Суть мероприятия
|
Поисковая оптимизация (Search Engine Optimization)
|
|
Затраты на проведение
мероприятия
|
В среднем на рынке
поисковой оптимизации цены варьируются от 15 т.р. до 60 т.р в зависимости от
объемов работы. Для продвижения сайта рассматриваемой компании оптимальные
тариф будет 30 т.р., что укладывается в бюджет компании.
|
|
Значение мероприятия для компании
|
Применение SEO
продвижения позволит предприятию повысить свою репутацию, лояльность
потенциальных клиентов, расширить аудиторию клиентов, повысить конкурентов
способность, увеличить продажи.
|
Что бы сайт был успешным, он должен:
) выполнять свои задачи, то есть продавать, привлекать
покупателей, партнеров и т. п.
) легко находиться в поисковых системахпродвижение имеет важное
значение, оно позволяет увеличить количество потенциальных клиентов,
способствует популярности ресурса и соответственно, влияет на популярность
компании, помогает эффективней использовать интернет ресурс, способствует
поисковому продвижению.
Данный метод наиболее выгоден для предприятия, потому что требует минимум
вложений и имеет высокий уровень эффективности в привлечении потенциальных
клиентов. Суть метода заключается в продвижении сайта в поисковых системах,
обработка негативных отзывов, расположение ссылки на сайт на других ресурсах и
еще множество инструментов, к которым прибегают специалисты в области Search
Engine Optimization.
.2 Совершенствование корпоративной культуры, как способ повышения
эффективности работы организации ООО «А-Мувинг»
Корпоративная культура является один из элементов управления, цель
которого является повышение эффективности работы и результатов работы
предприятия путем определения норм взаимоотношений в организации, определения и
становления ценностей организации. Корпоративная культура так же регулирует
процесс адаптации персонала и вхождение сотрудника в жизнь и культуры
организации.
Этот процесс подразумевает под собой ряд правил:
б) уделять должное внимание отработке профессиональных навыков
сотрудника
в) обеспечить достоверную оценку результатов и их достойное
вознаграждение
г) вхождение сотрудника в работу компании необходимо дополнять
стимулирование персонала принимать нормы, правила и ценности организации и
стимулировать сотрудника к изменению своих взглядов, которые сложились прежнем
месте работы.
д) определение конкретных ролей каждого сотрудника
Основные моменты по проведению мероприятия по совершенствованию
корпоративной культуры приведены в таблице 12. Говоря о разработке мероприятий
по усовершенствованию корпоративной культуры, на основании вышеизложенного
анализа имиджа ООО «А-Мувинг», предлагается разработать мероприятия нацеленные
на улучшение мотивации членов команды ООО «А -Мувинг», а именно материальной
мотивации. Абрахам Харольд Маслоу разработал теорию человеческой мотивации, в
которую включил базовые потребности человека и охарактеризовал их в 5-ти
основных позициях. В нее входят такие базовые элементы как:
а) физиологические потребности
б) потребности в безопасности и защите
в) социальные потребности
г) потребности в уважении
д) потребности в самовыражении
В результате исследований были определены две группы факторов, по-разному
влияющих на мотивацию труда. Гигиенические факторы, или факторы
"здоровья", связаны с окружающей средой, в которой осуществляется
работа. К ним относятся заработная плата, безопасность и условия на рабочем
месте (шум, освещенность, комфорт и т. п.), статус, правила, распорядок, режим
работы, качество контроля со стороны руководства, отношения с коллегами и
подчиненными. Сами по себе они не вызывают удовлетворенности у работников, но
их ухудшение или отсутствие порождает неудовлетворенность трудом и демотивацию.
Мотивирующие факторы связаны с характером и сущностью работы. Они
непосредственно вызывают удовлетворенность трудом, высокий уровень мотивации и
трудовых достижений, являются стимуляторами эффективного труда. К мотивирующим
факторам относятся достижение целей, возможность успеха и признания, интересное
содержание труда, высокая степень самостоятельности и ответственности,
профессионально-должностной рост, возможность личной самореализации. [17]
Разделяют материальную и нематериальную мотивацию персонала организации.
В материальную мотивацию входит денежное вознаграждение. Так как одной их
основных целей, по которым люди работают - достойная оплата труда, то эта форма
мотивации остается эффективной и актуальной почти в любых ситуациях. Но в наше
время сотрудников компаний интересует не только достойная оплата труда, но и
самовыражение сотрудника на своем рабочем месте, достижение комфорта во время
работы становиться чуть-ли не на ровне с материальной стороной вопроса.
Таблица 12 - Основные элементы мероприятия
|
Ответственный за проведение
мероприятия
|
Ответственным за проведение
мероприятия выступает начальник отдела кадров
|
|
Суть мероприятия
|
Суть мероприятия состоит в
введении материального стимулирования сотрудников компании путем бонусной
системы
|
|
Затраты на проведение
мероприятие
|
Затраты на мероприятие
составят 200т.р. которые буду путем стимулирования персонала и увеличения
прибыли организации.
|
|
Значение мероприятия для
предприятия
|
Введение бонусной системы
мотивации на предприятии позволит мотивировать сотрудников на улучшение
оперативности работы ее качества, поднимет уровень лояльность персонала,
создаст более благоприятные условия для повышения заинтересованности
сотрудников компании в своей работе, поднимет ценность компании в их глазах,
что позволит укрепить коллектив, повлияет на корпоративный дух и укрепит
нацеленность на результат.
|
В нематериальную мотивацию можно отнести:
а) соревнования
б) скидки
в) публичная похвала
г) тренинги
д) общие мероприятия
И этот список может варьироваться, в зависимости от специфики
организации, но и от фантазии и потребностей руководства и сотрудников.
Мотивация - это процесс побуждения сотрудника или коллектива к
деятельности для достижения целей организации. [25]
Среди содержательных теорий мотивации наиболее известны концепции А.
Маслоу, Ф. Герцберга, К. Альдерфера и П. Мак-Клеланда. [25]
Практическое применение положений содержательных теорий предполагает, что
необходимо выявить потребности, которые являются для человека насущными, и
подобрать соответствующие им стимулы. Авторы процессуальных теорий (В. Врум,
Дж. С. Адамс, Л. Портер, Э. Лоулер, Г. Кауфман, И. Янис, Л. Манн, А. Кохэн, Д.
Бредфорд и др.) не оспаривают важное значение потребностей в процессе
мотивации, но считают, что поведение людей определяется не только ими. [28]
На данный момент в экономике существует более 40 различных доплат. Они
разделяются на гарантированные (регламентированы законодательством и
обязательны к исполнению) и факультативные (регламентированы локальными
нормативными актами, такими как положение о персонале, положение об оплате
труда, коллективным договором, дополнениями к трудовому договору т.п.).
Основные элементы стимулирования и их особенности приведены в таблице 13.
При введении мероприятия, сущность которого состоит в материальной
мотивации персонала необходимо составить локальный административный акт, в
котором будет расписаны условия, при соблюдении которых сотрудник получает
бонус. Эти условия должны быть понятны и доступны. Основой стимулирования
персонала на предприятии является материальные методы стимулирования.
Предприятие гарантирует стабильность оплаты труда. Каждая категория сотрудников
имеет свои критерии для получения бонусов.
Таблица 13 - Основные элементы стимулирования и их особенности
|
Элементы стимулирования
|
Особенности
|
|
Заработная плата
|
Основывается на постоянном
материально - денежном стимулировании.
|
|
Бонусы
|
Основывается на разовом
поощрении за различны заслуги, такие как соблюдение распорядка дня,
отсутствие опозданий, активное участие в проектах и т.п.
|
|
Участие в прибылях
|
Основывается на выплате
определенного % от общей прибыли при выполнении планов организации
|
|
Стимулирование свободным
временем
|
Основывается на
предоставлении дополнительных отпусков, свободного графика работы, уменьшении
часов рабочего дня.
|
|
Организационное
стимулирование
|
Основывается на изменении
работы по средству изменения уровня удовлетворенности сотрудника своей
работой
|
Премиальная часть для сотрудников компании выражается в фиксированном проценте
от указанной в трудовом договоре размера заработной платы.
Для каждого критерия так же устанавливается нормативная планка. Критерии
для сотрудников указаны в таблице 14.
Таблица 14 - Критерии получения бонуса для сотрудников
|
Водители
|
Получают бонус при условии
своевременного осуществление переезда, доставки груза.
|
|
Кладовщики
|
Получают бонус при условии
своевременной отгрузке и приеме грузов, сохранности грузов. Снижении ошибок
при выдаче и приеме грузов, своевременное предоставление отчетности.
|
|
|
Оценщики
|
Получают бонус при условии,
безошибочного проведения переездов (при неверной оценке переезда более 10 раз
за месяц выплата не осуществляется)
|
|
|
Офис-менеджер
|
Получает бонус при
выполнении плана на 90%
|
|
|
Клининг
|
Количество обработанных
объектов, скорость обработки
|
|
|
Дизайнер
|
Творческая активность,
разработка эффективных предложений, работоспособность сайта, форума.
|
|
|
Руководители.
|
Получает бонус при
выполнении плана на 90%
|
|
При детальной разработке принципов бонусной системы на предприятии
руководствуются следующими принципы:
а) Доступность. Каждый стимул должен быть доступен для всех
работников. Условия стимулирования должны быть демократичными и понятными.
б) Ощутимость. Практика показывает, что существует некий порог
действенности стимула. В разных странах и коллективах он существенно
различается.
в) Постепенность. Материальные стимулы подвержены постоянной
коррекции в сторону повышения, что необходимо учитывать на практике. Сразу же
вслед за повышением вознаграждения формируется новый, более высокий уровень
притязаний, следовательно, и размер вознаграждения порой за тот же труд. Ни в
коем случае не допускается снижение уровня материального стимулирования, на
каком бы высоком уровне он ни находился.
г) Минимизация разрыва между результатом труда и его оплатой.
Переход большинства зарубежных фирм на еженедельную оплату труда обоснован,
прежде всего, необходимостью соблюдения этого принципа. Соблюдение этого
принципа позволяет в большинстве случаев даже снижать уровень вознаграждения,
так как большинство людей предпочитают принцип "лучше меньше, но
сразу".
д) Сочетание материальных и моральных стимулов. По своей природе
материальные и моральные факторы одинаково сильны. Все зависит от места,
времени и субъекта воздействия этих факторов. Имеются в виду уровень развития
экономики, традиции того или иного государства, а также материальное положение,
возраст и пол работника. Принимая во внимание данное обстоятельство, необходимо
разумно сочетать эти виды стимулов с учетом их целенаправленного действия на
каждого работника.
е) Сочетание стимулов и антистимулов. Опыт ведущих экономически
развитых стран показывает постоянную трансформацию мотиваторов (стимулов) от
преобладания антистимулов (страх, голод, штрафы и т.д.) к преимущественному
использованию стимулов. Все зависит от уровня развития общества, его истории,
нравов и традиций. [26]
3.3 Оценка эффективности предложенных мероприятий
Проведем оценку эффективности предложенных мероприятий. Основной
показатель общей эффективности вложений в стимулирование и управление трудовыми
ресурсами:

(16)
Где:
Э - показатель общей эффективности вложений в стимулирование и управление
трудовыми ресурсами; Пр - прибыль, полученная от вложений в стимулирование; З -
затраты, с помощью которых эта прибыль была получена;
Данный
показатель целесообразно использовать на предприятиях любого типа для
определения эффективности стимулирования. Особенно ярко он может
демонстрировать конкретные мероприятия по материальному или моральному стимулированию:
оплату за курсы повышения квалификации, премии, бонусы, повышение уровня
заработной платы и др. [48]
Прибыль
предприятия ООО «А-Мувинг» на конец 2013 года составила 1719300 руб. Затраты на
персонал составит 900000 тыс.руб. Предполагаема прибыль на конец следующего
отчетного периода составляет 2235090 руб, что больше на 30 % по сравнению с
предыдущим периодом. На проведение мероприятия по введению бонусной системе
понадобиться 200тыс руб, эта сумма покроется непосредственно после проведения
мероприятия. Средняя оплата труда на предприятии определяется формулой:

(17)
Итак,
средняя оплата труда на предприятии составляет:
Бонус
на предприятии будет составлять 20% от заработной платы сотрудника, и в среднем
будет составлять 6600 тыс.руб.
Фонд
заработной платы на предприятии увеличится за счет увеличения продаж после
проведения мероприятия по введению бонусной системы.
Показатель
эффективности работы предприятия на конец 2013 года:
Показатель
эффективности работы предприятия после проведения мероприятия, разделив прирост
прибыли на расходы, вложенные в проведение мероприятие:
Таким
образом, эффективность работы организации в сравниваемых периодах выросла, что
означает, что предприятие верно затратит ресурсы на материальную мотивацию
персонала, что приведет к увеличению конечных результатов деятельности
предприятия и достижению краткосрочных целей организации.
Рассчитать
эффективность SEO продвижения можно экспресс методом. Суть этого метода
состоит в сборе первичной информации в поисковых системах, а именно статистику
запросов. Статистика запросов приведена в приложении Д. Из этой статистики
можно сделать вывод, что за месяц, по оптимальным для сайта компании запросам
по основным направлениям ее деятельности, запросов было 103379. Эта цифра
обозначает примерное количество потенциальных клиентов компании за месяц. Это
означает, что в день сайт компании, при должной оптимизации его работы, могут
посещать 3446 человек. При использовании экспресс метода необходимо разделить
общую сумму на 10, так как в поисковой системе так же присутствуют сайты
конкурентов и об этом нельзя забывать.
Это
означает, что:

человек
в месяц потенциальных клиентов.
Среднестатистическая
конверсия сайта составляет 0,2.
в
месяц потенциальных клиентов, которые обратятся в компанию.
Средний
переезд составляет 4,5 т.р.
Следовательно,
умножив количество потенциальных клиентов, которые обратятся в компанию на
среднюю сумму переезда получится средняя сумма выручки от новых клиентов,
полученных путем поисковой оптимизации.
тыс.руб.
- средняя сумма выручки от новых клиентов, полученных путем поисковой
оптимизации.
Сравнение
финансовых показателей мероприятий по сравнению с отчетным периодом
представлено в таблице 15. Динамика изменений финансовых показателей
преджставлена на рисунке 9.
Таблица
15 - Финансовые показатели В тысячах рублей
|
Показатель
|
2013г
|
Мероприятие 1 «SEO-продвижение»
|
Мероприятие 2 «Бонусная
система»
|
|
Выручка
|
17193
|
18120
|
223509
|
|
Себестоимость
|
17044
|
17074
|
17244
|
|
Валовая прибыль
|
149
|
1046
|
5106,9
|
|
Прибыль от реализации
|
149
|
1046
|
5106,9
|
|
Прочие расходы
|
100
|
100
|
100
|
|
Прибыль до налогообложения
|
49
|
946
|
5006,9
|
|
Налог на прибыль
|
10
|
189,2
|
1001,3
|
|
Чистая прибыль
|
39
|
756,8
|
4005,6
|
Из таблицы 15 видно, что после проведения мероприятия 1 «SEO-продвижение» выручка, по сравнению
со сравниваемым периодом увеличится с 17193 тыс. руб. до 18120 тыс.руб.
Рисунок 9 - Динамика изменения финансовых показателей
При проведении мероприятия 2 «Бонусная система» выручка увеличится с
17193 тыс. руб до 223509 тыс.руб. Себестоимость при проведении мероприятия 1 «SEO-продвижение» увеличится до 17074
тыс.руб., при проведении мероприятия 2 «Бонусная система» увеличится до 17244
тыс.руб. Валовая прибыль увеличится со 149 тыс.руб. в 2013 году при проведении
мероприятия 1 «SEO-продвижение» до 1046 тыс.руб., при проведении мероприятия 2
«Бонусная система» увеличится до 5106,9 тыс.руб. Прибыль от реализации со 149
тыс.руб. увеличится до 1046 тыс.руб. при проведении мероприятия 1 «SEO-продвижение» и до 5106,9 ты.руб. при
проведении мероприятия 2 «Бонусная система». Прочие расходы останутся на том же
уровне. Прибыль до налогообложения при проведении мероприятия 1
«SEO-продвижение» до 946 тыс.руб., при проведении мероприятия 2 «Бонусная
система» увеличится до 5006,9 тыс.руб. Налог на прибыль увеличится на 189,2
тыс.руб при проведении мероприятия 1 «SEO-продвижение» и при проведении
мероприятия 2 «Бонусная система» увеличится до 1001,3 тыс.руб. Чистая прибыль,
по сравнению с 2013 годом, которая составляла 39 тыс.руб. при проведении
мероприятия 1 «SEO-продвижение» увеличится до 756,8 тыс.руб., при проведении
мероприятия 2 «Бонусная система» увеличится до 4005,6 тыс.руб.
Сравнивая показатели из выше представленной таблицы можно сказать, что в
отличии с сравниваемым периодом показатели выросли, и предприятие, за счет
проведения предложенных мероприятий сможет повысить показатели своей работы,
увеличит чистую прибыль без необходимости вливания большого количества средств.
Показатели рентабельности предприятия ООО «А-Мувинг» представлены в
таблице 16.
Таблица 16 - Показатели рентабельности предприятия ООО «А-Мувинг»
|
Показатель
|
2013 г в %
|
Мероприятие 1 «SEO-продвижение»
|
Мероприятие 2 «Бонусная
система»
|
|
Рентабельность продукта
|
0,9
|
6
|
29
|
|
Рентабельность валовой
прибыли
|
0,9
|
5
|
2,2
|
|
Рентабельность чистой
прибыли
|
0,2
|
4
|
1,7
|
|
Рентабельность операционной
прибыли
|
0,2
|
5
|
2,2
|
Рентабельность продукта:

(18)
Рпродукта
(2013) = 
Рпродукта
(SEO) = 
Рпродукта
(мотивация) = 
Рентабельность
валовой прибыли:

(19)
Рвп
(2013) = 
Рвп
(SEO) = 
Рвп
(мотивация) = 
Рентабельность
чистой прибыли:

(20)
Рчп
(2013) = 
Рчп
(SEO) = 
Рчп
(мотивация) = 
Рентабельность
операционной прибыли:

(21)
Роп
(2013) = 
Роп
(SEO) = 
Роп
(мотивация) = 
Рентабельность
продукта при проведении мероприятия 1 «SEO-продвижение» увеличилась до 6 % и
при проведении мероприятия 2 «Бонусная система» до 29%. Рентабельность валовой
прибыли с 0.9 % в 2013 году до 5% при проведении мероприятия 1
«SEO-продвижение» и до 2,2 % при проведении мероприятия 2 «Бонусная система».
Рентабельность чистой прибыли с 0,2% увеличилась до 4% при проведении
мероприятия 1 «SEO-продвижение» и до 1,7 % при проведении мероприятия 2
«Бонусная система».
Рентабельность
операционной прибыли в 2013 году составляла 0,2%, а после проведения
мероприятия 1 «SEO-продвижение» выросла до 5% и при проведении мероприятия 2
«Бонусная система» выросла до 2,2. Из представленных значений рентабельность
видно значительное повышение показателей в сравнении с отчетным периодом.
Динамику изменения рентабельности представлена на рисунке 10.
Рисунок
10 - Динамика изменения рентабельности при проведении мероприятий
Обобщая
все выше сказанное, сделаем вывод:
а) говоря о разработке мероприятий по усовершенствованию корпоративной
культуры, на основании вышеизложенного анализа имиджа ООО «А-Мувинг»,
предлагается разработать мероприятия нацеленные на улучшение мотивации членов
команды ООО «А -Мувинг», а именно материальной мотивации
б) при введении мероприятия, сущность которого состоит в
материальной мотивации персонала необходимо составить локальный
административный акт, в котором будет расписаны условия, при соблюдении которых
сотрудник получает бонус. Эти условия должны быть понятны и доступны
в) таким образом, эффективность работы организации в сравниваемых
периодах выросла, что означает, что предприятие верно затратит ресурсы на
материальную мотивацию персонала, что приведет к увеличению конечных
результатов деятельности предприятия и достижению краткосрочных целей
организации
г) сравнивая показатели из выше представленной таблицы можно
сказать, что в отличии с сравниваемым периодом показатели выросли, и
предприятие, за счет проведения предложенных мероприятий сможет повысить
показатели своей работы, увеличит чистую прибыль без необходимости вливания
большого количества средств
д) из представленных значений рентабельность видно значительное
повышение показателей в сравнении с отчетным периодом
Заключение
Имидж - один из основополагающих элементов успешного развития любой
организации в рыночной экономике. С развитием рыночных отношений и повышением
значимости конкурентоспособности появилась необходимость формирования сильного
имиджа предприятия. Сильный имидж позволяет предприятию добиться стабильного и
успешного развития. Стабильность и успех позволяет приобрести предприятию
независимость от рыночных обстоятельств, насколько это вообще возможно в
условиях рыночной экономики, таких как появление на рынке товаров- заменителей,
доступ к более обширным ресурсам как финансовым, так информационным и трудовым.
При анализе имиджа организации ООО «А-Мувинг» было выявлено, что
сотрудникам данной компании не хватает мотивации труда, так же сотрудники
компании не удовлетворены оплатой труда, что большая часть клиентов компании
довольна уровнем обслуживания и услугами компании, логотип компании у
большинства респондентов вызывает позитивные эмоции, и большая часть клиентов
однозначно посоветовали бы услуги компании своим друзьям и знакомым.
Следуя из анализа имиджа организации ООО «А-Мувинг» можно сделать вывод,
что компании, для ее дальнейшего развития не хватает развития в таких областях
как реклама. Предприятию необходимо заявить о себе, разработать мероприятия по
повышению уровня конкретности, для чего нужно использовать более обширный
спектр рекламы. Также, на основании опроса сотрудников компании, для повышения
удовлетворенности и мотивации сотрудников, и на основании дальнейшей
ориентировки компании на расширении видов деятельности и, следовательно, расширения
штата сотрудников, необходимо разработать мероприятия, нацеленные на
совершенствование корпоративной культуры, которые позволят увеличить
эффективность работы предприятия, которые будут составлять материальную
мотивацию в виде бонусной системы. Разработка мероприятий, направленные на
создание мотивации для сотрудников, позволит создать дополнительные стимулы для
достижения целей компании, позволит членам команды быть более нацеленными на
результат, что в дальнейшем поспособствует организации достигнуть свои цели,
выйти в скором будущем на новые уровни в своей деятельности.
Философия организации заключается в организации адаптации персонала,
регламенте в Уставе организации правил отношений между сотрудниками и с
покупателями, в управлении, основанном на единоначалие руководства, у
сотрудников так же есть определенная доля самоуправления в компании. Цель
организации - получение прибыли, поддержание и увеличение уровня
конкурентоспособности, улучшение качества своих услуг, ориентировка организации
- на охватить большей доли рынка с каждым годом. Сотрудники имеют социальные
гарантии, четко регламентированную системы оплаты. Компания организовала
достойные условия труда и рабочие места для своих сотрудников, которые
удовлетворяют потребности сотрудников как специалистов и членов команды.
Организация учувствует в различных выставках по логистике, размещает информацию
о себе в различных источниках СМИ. Из основных направлений развития, которые
будут оптимальными для компании, можно выделить развитие рекламы, для того,
чтобы повышать уровень узнаваемости в компании, повышать уровень лояльности,
расширять круг потенциальных клиентов и совершенствование корпоративной
культуры, которое позволит увеличить эффективность работы предприятия, и будет
заключаться материальной мотивации в виде бонусной системы. Разработка
мероприятий, направленные на создание мотивации для сотрудников, позволит
создать дополнительные стимулы для достижения целей компании, позволит членам
команды быть более нацеленными на результат, что в дальнейшем поспособствует
организации достигнуть свои цели, выйти в скором будущем на новые уровни в
своей деятельности.
Наиболее подходящей и эффективной для предприятия ООО «А-Мувинг» буде
развитие интернет рекламы. Основными нововведениями в этой сфере будет SEO
продвижение. Данный метод наиболее выгоден для предприятия, потому что требует
минимум вложений и имеет высокий уровень эффективности в привлечении
потенциальных клиентов. Показатель эффективности работы предприятия на конец
2013 года:
Показатель эффективности работы предприятия после проведения мероприятия,
разделив прирост прибыли на расходы, вложенные в проведение мероприятие:
Таким образом, эффективность работы организации в сравниваемых периодах
выросла, что означает, что предприятие верно затратит ресурсы на материальную
мотивацию персонала, что приведет к увеличению конечных результатов деятельности
предприятия и достижению краткосрочных целей организации.
Рассчитать эффективность SEO
продвижения можно экспресс методом. По оптимальным для сайта компании запросам
по основным направлениям ее деятельности, запросов было 103379. Эта цифра обозначает
примерное количество потенциальных клиентов компании за месяц. При
использовании экспресс метода необходимо разделить общую сумму на 10, так как в
поисковой системе так же присутствуют сайты конкурентов и об этом нельзя
забывать.
Это
означает, что 
-
человек в месяц потенциальных клиентов. Среднестатистическая конверсия сайта
составляет 0,2. Из чего следует, что 
- в
месяц потенциальных клиентов, которые обратятся в компанию. Средний переезд
составляет 4,5 т.р., следовательно, умножив количество потенциальных клиентов,
которые обратятся в компанию на среднюю сумму переезда получится средняя сумма
выручки от новых клиентов, полученных путем поисковой оптимизации. Итак, 
-
средняя сумма выручки от новых клиентов, полученных путем поисковой
оптимизации. Из чего можно сделать вывод, что поисковая оптимизация позволит
компании укрепить свои позиции не только с социальной точки зрения, но и с
экономической, будет способствовать стабильному развитию компании.
Список
использованных источников
1 Ашманов И., Иванов А. Оптимизация и продвижение сайтов в
поисковых системах (+CD). З-е изд. СПб.: Питер, 2011. - 464 с
2 Анализ финансовой
отчетности Авторы: Ольга Ефимова <#"874771.files/image084.gif">
Приложение Б
Основные элементы имиджа ООО «А-Мувинг»
|
Элементы имиджа
|
Основные положения
|
|
Философия организации
|
Проводится адаптация
персонала, регламентированы в Уставе организации правила отношений между
сотрудниками и с покупателями, управление основано на единоначалие
руководства, у сотрудников так же есть определенная доля самоуправления в
компании. Цель организации - получение прибыли, поддержание и увеличение
уровня конкурентоспособности, улучшение качества своих услуг, ориентировка
организации - на охватить большей доли рынка с каждым годом. Сотрудники имеют
социальные гарантии, четко регламентированную системы оплаты. Компания
организовала достойные условия труда и рабочие места для своих сотрудников,
которые удовлетворяют потребности сотрудников как специалистов и членов
команды. Организация учувствует в различных выставках по логистике, размещает
информацию о себе в различных источниках СМИ
|
|
Легенда организации
|
Компания позиционирует себя
как социально активного члена общества и время от времени участвует в
социальных проектах. (переезд и помощь в перевозке грузов для различных
муниципальных организаций, участие в фондах помощи детям) и на основе этих
мероприятий компания создает лояльность к себе
|
|
Фирменный стиль организации
|
Включает в себя фирменные
цвета, логотип, фирменную рекламную продукцию, форму одежды, визитные
карточки, фирменные бланки
|
|
Корпоративная культура
организации
|
Включает в себя эффективную
систему коммуникаций внутри организации, организацию праздников (дни
рождения, корпоративны, важные даты для компании). При необходимости
организация готова поддерживать своих сотрудников в различных тяжелых
жизненных ситуациях
|
Приложение В
Анкета для опроса сотрудников компании ООО «А-Мувинг»
Здравствуйте!
Просим Вас принять участие в нашем опросе, целью которого - узнать
насколько сотрудники нашей компании удовлетворены работой в компании. Опрос
является анонимным.
|
Критерий оценки
|
1
|
2
|
3
|
4
|
5
|
|
Оцените социальный пакет
|
|
|
|
|
|
|
Оцените мотивацию труда
|
|
|
|
|
|
|
Оцените условия труда
|
|
|
|
|
|
|
Оцените отношения в
коллективе
|
|
|
|
|
|
|
Оцените отношение с
руководителем
|
|
|
|
|
|
|
Оцените уровень
самостоятельности в работе
|
|
|
|
|
|
|
Оцените удовлетворенность
работой в компании
|
|
|
|
|
|
|
Оцените удовлетворенность
оплаты труда
|
|
|
|
|
|
|
Оцените режим работы
|
|
|
|
|
|
Оцените критерии по 5 - ти бальной шкале:
балл - «абсолютно не удовлетворен»
балла - «частично удовлетворен»
балла - «вполне удовлетворен»
балла - «удовлетворен»
баллов - «абсолютно удовлетворен»
Приложение Г
Анкета для опроса клиентов компании ООО «А-Мувинг»
Здравствуйте!
Нашей компании очень важно знать ваше мнение о работе нашей компании!
Просим Вас пройти опрос, который не займет у вас много времени. Опрос
проводится анонимно и используется в качестве статистических данных.
Как вы узнали о нашей компании?
· Интернет
· Журналы и газеты
· Радио
· От знакомых и друзей
Как вы оцениваете уровень обслуживания?
· Отлично
· Возникали сложности
· Ужасно
Как бы вы оценили наши услуги по сравнению с аналоговыми предложениями на
рынке?
· Лучше
· Аналогично
· Хуже
Как часто замечаете рекламу нашей компании?
· Чаще 1 раза в неделю
· Реже 1 раза в неделю
· Чаще одного раза в месяц
· Никогда
Насколько вы довольны услугами нашей компании?
· Абсолютно доволен
· Скорее доволен
· Абсолютно не доволен
Какие эмоции вызвал у Вас логотип компании?
· Позитивные
· Нейтральные
· Негативные
Посоветовали бы Вы услуги нашей компании знакомым и друзьям?
· Однозначно да
· Скорее да
· Скорее нет
· Однозначно нет
Приоритетным источником информации для Вас является?
· Интернет
· TV
· Журналы и газеты
Приложение Д
Статистика запросов в поисковых системах по основному направлению
деятельности организации.
|
Статистика по словам
|
Показов в месяц
|
|
письмо +о переезде офиса
|
38
|
|
уведомление +о переезде
офиса
|
26
|
|
план переезда офиса
|
26
|
|
профессиональный переезд
офиса
|
25
|
|
переезд офиса хранение
офисной мебели
|
24
|
|
переезд квартиры
|
13 850
|
|
офисный переезд
|
6 509
|
|
квартирный переезд
|
12 794
|
|
переезды по Москве
|
2 970
|
|
переезды с грузчиками
|
3 648
|
|
переезд недорого
|
6 155
|
|
услуги переезда
|
3 027
|
|
перевозка офиса
|
639
|
|
перевозки переезд
|
1 296
|
|
заказать переезд
|
3 323
|
|
перевозка мебели
|
14 475
|
|
квартирный переезд Москва
|
1 218
|
|
офисный переезд Москва
|
763
|
|
газель переезд
|
2 249
|
|
услуги грузчиков
|
16 142
|
|
заказать офисный переезд
|
167
|
|
перевозки грузчики
|
3 385
|
|
офисный переезд грузчики
|
486
|
|
офисный переезд недорого
|
447
|
|
переезд офиса
|
5 159
|
|
переезд офиса Москва
|
541
|
|
переезд офиса недорого
|
403
|
|
переезд +в новый офис
|
219
|
|
заказать переезд офиса
|
203
|
|
переезд офиса компании
|
183
|
183
|
|
переезд офиса Москва
недорого
|
937
|
|
организация переезда офиса
|
169
|
|
переезд офиса грузчики
|
144
|
|
переезд офиса под ключ
|
130
|
|
переезд офиса квартиры
|
127
|
|
переезд +в другой офис
|
112
|
|
переезд офиса СПБ
|
100
|
|
срочный переезд офиса
|
93
|
|
переезд офиса срочно
|
93
|
|
переезд офиса Петербург
|
74
|
|
переезд офиса Санкт
Петербург
|
71
|
|
объявления +о переезде
офиса
|
68
|
|
переезд офиса качественно
|
67
|
|
переезд офиса стоимость
|
66
|
|
перевозка офисов переезд
|
325
|
|
офисный переезд офиса
|
58
|
|
переезд компании + в новый
офис
|
42
|
|
переезд офиса услуги
грузчиков
|
39
|