Инвестиционная политика в Республике Беларусь

  • Вид работы:
    Курсовая работа (т)
  • Предмет:
    Эктеория
  • Язык:
    Русский
    ,
    Формат файла:
    MS Word
    186,27 Кб
  • Опубликовано:
    2015-11-12
Вы можете узнать стоимость помощи в написании студенческой работы.
Помощь в написании работы, которую точно примут!

Инвестиционная политика в Республике Беларусь

Содержание

 

Введение

Глава 1. Роль инвестиций в экономике

1.1 Сущность инвестиций и их классификация. Национальные и иностранные инвестиции

1.2 Инвестиционный потенциал в национальной экономике

Глава 2. Эффективность инвестиционной деятельности

2.1 Роль экономической оценки инвестиций

2.2 Основные методы оценки инвестиций

Глава 3. Инвестиционная политика в Республике Беларусь

Заключение

Введение

Процесс инвестирования играет важную роль в экономике любой страны. Инвестирование в значительной степени определяет экономический рост государства, занятость населения и составляет существенный элемент базы, на которой основывается экономическое развитие общества. Поэтому проблема, связанная с эффективным осуществлением инвестирования заслуживает серьезного внимания

Инвестиции представляют собой применение финансовых ресурсов в форме долгосрочных вложений капитала (капиталовложений). Осуществление инвестиций - протяженный во времени процесс. Поэтому для наиболее эффективного применения финансовых ресурсов предприятие формирует свою инвестиционную политику. Политика представляет собой общее руководство для действий и принятия решений, которое облегчает достижение целей предприятия. Именно с помощью инвестиционной политики предприятие реализует свои возможности долгосрочных тенденций экономического развития и адаптации к ним.

В последнее время иностранные инвестиции приобретают для мировой экономики всё большее значение. Их приток в страны-импортёры значительно опережает рост мировой торговли и производства. Практически все развитые и развивающиеся страны активно привлекают в свою экономику зарубежных инвесторов.

Главными признаками инвестиций являются вложения собственного или заёмного капитала в определённый проект и преследуют не цели потребления, а предназначены для решения долгосрочных задач экономического и социального развития.

Следовательно, активизация инвестиционной деятельности - ключ к развитию экономики и повышению благосостояния людей. Проблема инвестиций - это, прежде всего поиск ресурсов.

национальная иностранная инвестиция беларусь

В настоящее время и Республике Беларусь внутренние источники инвестирования, основу которых составляют национальные сбережения, весьма ограничены для наращивания экономического потенциала страны, не обеспечивают требуемых объемов капитальных вложений для обновления и модернизации производства, внедрения новых технологий и современных систем управления. В значительной мере недостающие источники капитальных вложений могут заменить иностранные инвестиции. Наиболее выгодными для государства являются прямые иностранные инвестиции, поскольку иностранный инвестор действует в данном случае на свой страх и риск. Задача государства, соответственно, - создание благоприятного инвестиционного климата.

Огромное значение инвестиций в развитии национальной экономики обусловило актуальность темы работы. Целью работы является изучение роли инвестиций в экономике, эффективность инвестиционной деятельности страны и инвестиционной политики в Республике Беларусь.

Глава 1. Роль инвестиций в экономике


1.1 Сущность инвестиций и их классификация. Национальные и иностранные инвестиции


Экономическая деятельность отдельных хозяйствующих субъектов и страны в целом в значительной мере характеризуется объемом и формами осуществляемых инвестиций.

Инвести́ции (лат. "invest" - "вкладывать") - вложения капитала с целью получения прибыли. Инвестиции являются неотъемлемой частью современной экономики. От кредитов инвестиции отличаются степенью риска для инвестора (кредитора) - кредит и проценты необходимо возвращать в оговорённые сроки независимо от прибыльности проекта, инвестиции возвращаются и приносят доход только в прибыльных проектах. Если проект убыточен - инвестиции могут быть утрачены полностью или частично.

Инвести́ции - денежные средства, ценные бумаги, иное имущество, в том числе имущественные права, иные права, имеющие денежную оценку, вкладываемые в объекты предпринимательской и (или) иной деятельности в целях получения прибыли и (или) достижения иного полезного эффекта.

Инвестиционная деятельность - вложение инвестиций и осуществление практических действий в целях получения прибыли и (или) достижения иного полезного эффекта.

В соответствии с действующим Законом Республики Беларусь "Об инвестиционной деятельности в Республике Беларусь" от 29 мая 1991 г. инвестициями являются все виды имущественных и интеллектуальных ценностей, вкладываемые в объекты предпринимательской и других видов деятельности, в результате которой создается прибыль или достигается социальный эффект. Таким ценностями могут быть: денежные средства, целевые банковские вклады, паи, акции и другие ценные бумаги; движимое и недвижимое имущество, здания, сооружения, оборудование и другие материальные ценности; имущественные права, вытекающие из авторского права, опыт и другие интеллектуальные ценности; совокупность технических, технологических, коммерческих и других знаний, оформленных в виде технической документации; навыков и производственного опыта, необходимых для организации того или иного производства, но не запатентованных ("ноу-хау"), права пользования землей, водой, ресурсами, зданиями, оборудованием, а также другие имущественные права; другие ценности.

Существуют разные классификации инвестиций.

В зависимости от сферы, в которую направляются инвестиции и характера их использования они делятся на реальные и финансовые.

Реальные инвестиции - это вложения в отрасли экономики и виды экономической деятельности, обеспечивающие увеличение средств производства, материально-вещественных ценностей, запасов.

Финансовые инвестиции - это вложения в акции, облигации, векселя и другие ценные бумаги и финансовые инструменты. Они формируют дополнительные источники расширения реальных инвестиций.

В зависимости от сроков действия различают долгосрочные и краткосрочные инвестиции. Долгосрочные инвестиции отражают вложение средств на год или несколько лет. Краткосрочными считаются вложения на период месяца или нескольких месяцев.

В зависимости от источников финансирования выделяют следующие виды инвестиций:

) государственные - финансируются за счет госбюджета (в основном на военные цели, в отрасли с замедленным оборотом капитала (лесное хозяйство, ГЭС, АЭС) или в инфраструктуру);

) частные - финансируются за счет собственных средств гражданами, а также частными предприятиями и направляются в основном в отрасли, где извлекаются наибольшие прибыли;

) иностранные - вложения, осуществляемые иностранными гражданами, юридическими лицами и государством;

) совместные - вложения, осуществляемые субъектами данной страны и иностранных государств.

По региональному признаку выделяют - внутренние инвестиции, т.е. вложения в объекты, размещенные на территории страны, и внешние - вложения в объекты, находящиеся за рубежом.

В зависимости от причин инвестирования различают автономные и индуцированные инвестиции.

Автономные - это часть общих капитальных вложений, определяемая макроэкономическими факторами (расширение внешних рынков, прирост населения, стихийные бедствия, политические перевороты, войны и т.д.).

Индуцированные (производные) - это инвестиции, необходимость и объем которых зависит от увеличения уровня потребительских расходов, от доходов предприятий, от уровня роста ВВП или национального дохода.

Выделяют еще рисковые (венчурные), прямые, портфельные, аннуитетные инвестиции.

Венчурный капитал - термин, применяемый для обозначения рискованного капиталовложения. Венчурный капитал представляет собой инвестиции (в форме выпуска новых акций), вкладываемые в новые сферы деятельности, связанные с большим риском. Венчурный капитал инвестируется в не связанные между собой проекты в расчете на быструю окупаемость вложенных средств. Капиталовложения, как правило, осуществляются путем приобретения части акций предприятия-клиента или предоставления ему ссуд, в том числе с правом конверсии этих ссуд в акции. Рисковое вложение капитала вызывается необходимостью финансирования мелких инновационных фирм в области новых технологий. Рисковый капитал сочетает в себе различные формы приложения капитала: ссудного, акционерного, предпринимательского. Он выступает посредником в учредительстве стартовых наукоемких фирм, называемых "венчуром".

Прямые инвестиции - вложения в уставной капитал хозяйственного субъекта с целью извлечения дохода и получения прав на участие в управлении данным хозяйствующим субъектом.

Портфельные инвестиции связаны с формированием "портфеля" и представляют собой приобретение ценных бумаг и других активов. "Портфель" - совокупность собранных воедино различных инвестиционных ценностей, служащих инструментом для достижения конкретной инвестиционной цели вкладчика. В портфель могут входить ценные бумаги одного типа (акции) или различные инвестиционные ценности (акции, облигации, сберегательные и депозитные сертификаты, залоговые свидетельства, страховой полис и др.).

Аннуитет - личные инвестиции, приносящие вкладчику определенный доход через регулярные промежутки времени, обычно после выхода на пенсию. В основном это - вложение средств в страховые и пенсионные фонды. Страховые компании и пенсионные фонды выпускают долговые обязательства, которые их владельцы смогут использовать в будущем на покрытие непредвиденных расходов. Страхование жизни проводится на случай преждевременной смерти, для того, чтобы обеспечить финансовую безопасность лиц, зависящих от страхуемого материально. Пенсионные фонды обеспечивают своих клиентов денежными средствами на период после выхода на пенсию. Страховые компании при страховании жизни могут предложить получателю денег по страховому полису единовременную выплату или аннуитет.

Инвестиции в Республику Беларусь из-за рубежа.

За I полугодие 2014 г. в реальный сектор экономики (кроме банков) иностранные инвесторы вложили 8,3 млрд. долларов США инвестиций, что на 6,2% больше, чем за I полугодие 2013 г.

Основными инвесторами организаций республики были субъекты хозяйствования России (42,7% от всех поступивших инвестиций), Соединенного Королевства (19,8%), Нидерландов (11%), Кипра (6,1%), Австрии (3,6%), Германии (2,4%).

Наибольшие суммы иностранных инвестиций поступили в организации торговли (34,8% от всех поступивших инвестиций), транспорта (25,2%), промышленности (21,4%).

Основные валовые поступления иностранных инвестиций по видам экономической деятельности приведены в таблице 1.1.

Таблица 1.1

Валовое поступление иностранных инвестиций по видам экономической деятельности (тыс. долларов США)

 

Поступило за I полугодие 2014 г.

Справочно поступило за I полугодие 2013 г.


всего

в том числе




прямые

портфельные

прочие


Республика Беларусь

8 334 385,7

5 931 421,4

3 256,2

2 399 708,1

7 848 465,5

в том числе:

 

 

 

 

сельское хозяйство, охота и лесное хозяйство

34 630,8

27 616,0

-

7 014,8

44 400,7

рыболовство, рыбоводство

11,9

11,9

-

-

138,5

промышленность

1 780 421,4

736 636,1

241,4

1 043 543,9

1 477 872,7

горнодобывающая промышленность

110 385,8

3 006,6

27,5

107 351,7

127 137,2

обрабатывающая промышленность

1 622 924,9

728 990,0

213,9

893 721,0

1 336 774,7

производство и распределение электроэнергии, газа и воды

47 110,7

4 639,5

-

42 471,2

13 960,8

строительство

79 798,0

60 432,8

-

19 365,2

78 579,1

торговля; ремонт автомобилей, бытовых изделий и предметов личного пользования

2 900 568,3

2 594 743,6

20,5

305 804,2

3 127 122,1

гостиницы и рестораны

91 164,0

22 499,1

300,0

68 364,9

76 451,4

транспорт

2 101 128,2

2 063 011,4

6,7

38 110,1

2 320 766,5

связь

684 496,9

35 988,8

-

648 508,1

233 615,4

финансовая деятельность

159 213,5

42 515,7

5,3

49 939,2

операции с недвижимым имуществом, аренда и предоставление услуг потребителям

475 035,4

326 699,0

2 682,3

145 654,1

414 806,6

образование

106,6

106,6

-

-

146,4

здравоохранение и предоставление социальных услуг

6 745,4

3 114,5

-

3 630,9

2 864,0

предоставление коммунальных, социальных и персональных услуг

21 065,3

18 045,9

-

3 019,4

21 762,9


Валовое поступление прямых иностранных инвестиций составило 71,2% от всех поступивших иностранных инвестиций. По сравнению с I полугодием 2013 г. валовое поступление прямых иностранных инвестиций уменьшилось на 7,9%. Основной формой привлечения прямых инвестиций были долговые инструменты (79,5% от общего объема прямых инвестиций). Задолженность за товары, работы, услуги в объеме валового поступления прямых иностранных инвестиций за I полугодие 2014 г. составила 4,4 млрд. долларов США, что на 2,7% меньше, чем за I полугодие 2013 г.

Наибольшие суммы валовых прямых иностранных инвестиций были направлены в организации торговли (43,7% от всех прямых инвестиций), транспорта (34,8%), промышленности (12,4%).

Значительные объемы прямых иностранных инвестиций с учетом задолженности за товары, работы, услуги поступили от резидентов России (50,7% от общего объема прямых инвестиций). От резидентов Соединенного Королевства поступило 25,5% валового объема прямых инвестиций, Кипра - 6,7%, Германии - 3,2%.

Прочих иностранных инвестиций (не от прямого инвестора) получено 2,4 млрд. долларов США, или в 1,7 раза больше, чем за I полугодие 2013 г. На их долю приходилось 28,8% от всего валового поступления иностранных инвестиций.

За I полугодие 2014 г. наибольшие суммы иностранные инвесторы вложили в организации г. Минска (75,9%). На организации Минскойобласти приходилось 6,3% валового поступления иностранных инвестиций, Витебской - 6%, Гомельской - 5,9%.

Инвестиции из Республики Беларусь за рубеж.

За I полугодие 2014 г. организациями республики (кроме банков) направлено за рубеж инвестиций на сумму 3,2 млрд. долларов США, что на 8,5% больше, чем за I полугодие 2013 г.

Значительные объемы инвестиций организации республики направили субъектам хозяйствования России (31,4% от всех направленных инвестиций), Соединенного Королевства (22,1%), Нидерландов (21,5%), Украины (15,6%).

Наибольшие суммы инвестиций за рубеж направили организации торговли (61,1% от всех направленных инвестиций), промышленности (25,5%), транспорта (9,8%).

Основные направления инвестиций за рубеж по видам экономической деятельности приведены в таблице 1.2.

Таблица 1.2

Направление инвестиций за рубеж по видам экономической деятельности (тыс. долларов США)

 

Направлено за рубеж за I полугодие 2014 г.

Справочно направлено за рубеж за I полугодие 2013 г.


всего

в том числе




прямые

портфельные

прочие


Республика Беларусь

3 209 630,6

2 246 834,8

16,1

962 779,7

2 958 930,2

в том числе:

 

 

 

 

 

сельское хозяйство, охота и лесное хозяйство

21 808,5

21 808,5

-

-

12 466,7

рыболовство, рыбоводство

-

-

-

-

-

промышленность

698 720,3

16,1

118 668,7

1 109 437,1

горнодобывающая промышленность

28 284,3

18 694,6

-

9 589,7

15 969,4

обрабатывающая промышленность

789 120,8

680 025,7

16,1

109 079,0

1 093 467,7

производство и распределение электроэнергии, газа и воды

-

-

-

-

-

строительство

29 773,7

17 507,6

-

12 266,1

20 416,7

торговля; ремонт автомобилей, бытовых изделий и предметов личного пользования

1 959 773,0

1 212 859,0

-

746 914,0

1 478 708,4

гостиницы и рестораны

-

-

-

-

-

транспорт

314 319,2

273 945,6

-

40 373,6

305 611,3

связь

320,7

-

-

320,7

-

финансовая деятельность

45 468,8

2 145,7

-

43 323,1

15 164,6

операции с недвижимым имуществом, аренда и предоставление услуг потребителям

19 766,1

18 852,6

-

913,5

12 914,8

образование

-

-

-

-

-

-

-

-

-

-

предоставление коммунальных, социальных и персональных услуг

995,5

995,5

-

-

4 210,6



На долю прямых инвестиций приходилось 70% всех направленных инвестиций за рубеж. По сравнению с I полугодием 2013 г. объем направленных прямых инвестиций за рубеж уменьшились на 3,4%. Основной формой направления прямых инвестиций были долговые инструменты (98,6% от общего объема прямых инвестиций за рубеж).

В объем направленных за рубеж прямых и, соответственно, в общий объем направленных инвестиций включена задолженность за товары, работы, услуги прямому инвестору - резиденту Республики Беларусь, которая за I полугодие 2014 г. составила 2,2 млрд. долларов США, или на 1,1% меньше, чем за I полугодие 2013 г.

Наибольшие суммы прямых инвестиций за рубеж были направлены организациями торговли (54% от всех направленных прямых инвестиций за рубеж), промышленности (31,1%), транспорта (12,2%).

Значительные объемы прямых инвестиций с учетом задолженности за товары, работы, услуги организации республики направили субъектам хозяйствования России (39,5% от общего объема направленных прямых инвестиций), Соединенного Королевства (31,4%), Украины (22,2%).

Организации республики направили за рубеж прочих инвестиций на сумму 1 млрд. долларов США, или в 1,5 раза больше, чем за I полугодие 2013 г. На их долю приходилось 30% всех направленных инвестиций за рубеж.

За I полугодие 2014 г. наибольшие суммы инвестиций направили за рубеж организации г. Минска (78,3%), Минской (6,8%), Могилевской областей (5,1%).

1.2 Инвестиционный потенциал в национальной экономике


Инвестиционный потенциал страны - это ее способность освоить необходимые объемы инвестиций в строительство новых предприятий и их комплексов, расширение и реконструкцию действующих предприятий, в развитие человеческого потенциала, создание объектов и учреждений производственной и социальной инфраструктуры.

Уровень развития инвестиционного потенциала страны определяют объемы и структура капиталовложений и строительно-монтажных работ, качество и технический уровень вводимых в эксплуатацию объектов, а также накопленные материальные и нематериальные ценности, квалификация рабочей силы.

Инвестиционной политикой Республики Беларусь предполагается, что деятельность научно-производственной составляющей инвестиционного потенциала необходимо сосредоточить на разработке и внедрении прогрессивных технологий, обеспечивающих новое качество возводимых объектов.

Важнейшим направлением государственной экономической политики Республики Беларусь является создание благоприятного инвестиционного климата для привлечения и эффективного использования иностранных инвестиций.

Беларусь предлагает потенциальным инвесторам такие свои основные преимущества, как:

-       стратегическое географическое положение;

-       прямой выход на рынок стран ЕЭП (Беларусь, Россия, Казахстан);

-       экспортно-ориентированная экономика (экспортируется более 60% ВВП);

-       хорошо развитую инфраструктуру: транспорт, логистика, коммуникации;

-       прогрессивное экономическое законодательство Беларуси;

-       защищенные государством права инвесторов;

-       низкий уровень преступности и коррупции;

-       привлекательные инвестиционный климат и систему налогообложения;

-       государственную поддержку инвесторов: гарантии, льготы и преференции;

-       возможности приватизации;

-       6 свободных экономических зон;

-       высококвалифицированные трудовые ресурсы;

-       достойное качество жизни.

Основные социально-экономические показатели за период 2005 - 2013 гг. представлены в таблице 2.1.

Таблица 2.1

Социально-экономические показатели за период 2005 - 2013 гг.


Рисунок 2.1 Основные социально-экономические показатели за период 2005 - 2013 гг. (в сопоставимых ценах в % к предыдущему году)

В нашей стране действует Консультативный совет по иностранным инвестициям при Совете Министров Республики Беларусь (КСИИ), который:

-       разрабатывает предложения по совершенствованию законодательства в области инвестиций;

-       участвует в рассмотрении нормативных актов, регулирующих деятельность коммерческих организаций с иностранными инвестициями;

-       вносит в органы государственного управления предложения об отмене или изменении нормативных правовых актов, ограничивающих права инвесторов.

Все отрасли экономики Беларуси открыты для иностранных инвестиций. Исключение составляют производство оружия, наркотических и ядовитых веществ.

Иностранные инвесторы могут создавать в Беларуси компании с любым объемом инвестиций, а также свои филиалы и представительства. Гарантированные государством льготы и преференции содействуют взаимовыгодному сотрудничеству. Для компаний инвесторов в Беларуси действуют специальные правовые режимы в свободных экономических зонах, малых и средних городах, сельской местности, Парке высоких технологий и др.

Приоритетные направления и проекты для прямых иностранных инвестиций в Беларуси:

-       фармацевтическая промышленность;

-       биотехнологии;

-       нанотехнологии и наноматериалы;

-       высокие технологии в промышленности;

-       новые материалы;

-       нефтехимическая и химическая промышленность;

-       машиностроение и производство оборудования;

-       транспорт и транспортная инфраструктура;

-       строительство;

-       стройматериалы;

-       сельское хозяйство;

-       пищевая промышленность;

-       информационно-коммуникационные технологии;

-       туризм.

В столице Беларуси создан Инвестиционный атлас города Минска, предоставляющий широкую информацию о возможностях инвестирования и привлекательных инвестиционных проектах Минска.

Также сегодня белорусские банки предоставляют клиентам широкий спектр услуг, особое внимание уделяется кредитованию инвестиционных проектов, жилищного строительства, населения, а также поддержке агропромышленного комплекса.

Банковский сектор Республики Беларуь на 1 января 2014 г. включал 31 действующий банк. Основной объем капитала банковской системы (около 85%) сосредоточен в пяти системообразующих банках - ОАО "АСБ Беларусбанк", ОАО "Белагропромбанк", "Приорбанк" ОАО, ОАО "Белинвестбанк", ОАО "БПС-Сбербанк".

Национальный банк Республики Беларусь - главное звено банковской системы страны, создан в 1991 году, действует на основе Конституции Республики Беларусь, Банковского кодекса и др. Органами управления являются Правление (председатель и члены Правления назначаются Президентом Республики Беларусь) и Совет директоров (его члены выбираются Правлением).

Нацбанк представляет страну в международных организациях по вопросам, находящимся в его компетенции, может участвовать в деятельности международных банковских фондов и ассоциаций, открывать представительства в иностранных государствах.

В стране функционируют коммерческие банки, банки с участием иностранного капитала, а также представительства иностранных банков.

Беларусь является членом ключевых международных организаций, таких как:

-       Международный валютный фонд (МВФ)

-       Европейский банк реконструкции и развития (ЕБРР)

Глава 2. Эффективность инвестиционной деятельности


2.1 Роль экономической оценки инвестиций


Экономическая оценка инвестиций является главным инструментом выбора правильного объекта для вложений, инструментом для их улучшения, а также инструментом для определения и снижения инвестиционных рисков.

Инвестиционная деятельность предприятия во всех ее формах не может сводиться к удовлетворению текущих его инвестиционных потребностей, определяемых необходимостью замены выбывающих активов или их прироста в связи с происходящими изменениями объема и структуры хозяйственной деятельности. На современном этапе все большее число предприятий осознают необходимость сознательного перспективного управления инвестиционной деятельностью на основе научной методологии предвидения ее направлений и форм, адаптации к общим целям развития предприятия и изменяющимся условиям внешней инвестиционной среды. Эффективным инструментом перспективного управления инвестиционной деятельностью предприятия, подчиненного реализации целей общего его развития в условиях происходящих существенных изменений макроэкономических показателей, системы государственного регулирования рыночных процессов, конъюнктуры инвестиционного рынка и связанной с этим неопределенностью, выступает экономическая оценка инвестиций.

Рыночные преобразования отечественной экономики затронули все сферы хозяйственно жизни страны. Наиболее ощутимо эти изменения отразились на инвестиционной составляющей экономики Беларуси. Поэтому в современной Белоруской экономике важнейшими задачами являются управление инвестиционными процессами. Инвестирование реальных проектов требует предварительного осуществления экономической оценки эффективности принимаемых решений. Правильность полученных результатов зависит и от полноты и корректности методов, используемых при анализе, и от опыта и квалификации специалистов.

Главное в проблеме экономической оценки эффективности инвестиций - создание условий для интенсификации вложений наиболее конкурентные производства, дающие быструю отдачу, позволяющие максимально увеличить доходы предприятий, населения и бюджета.

2.2 Основные методы оценки инвестиций


Основными критериями оценки инвестиционных проектов являются доходность, рентабельность и окупаемость. В зарубежной практике для оценки эффективности инвестиционных проектов используются пять основных методов:

) методы, основанные на дисконтировании, позволяющие рассчитать следующие показатели:

-       чистая текущая стоимость (чистый приведенный эффект) (NPV);

-       индекс рентабельности инвестиций (PI);

-       внутренняя норма рентабельности инвестиций (IRR);

2) методы, основанные на учетных оценках, позволяющие рассчитать следующие показатели:

-       коэффициент эффективности инвестиций (ARR).

-       срок окупаемости проекта (РР)

1. Метод расчета чистой текущей стоимости позволяет определить чистый доход от проекта, который представляет собой разницу между суммой дисконтированных потоков денежных средств, генерируемых проектом, и общей суммой инвестиций.

Чистая текущая стоимость = приведенная стоимость денежных потоков от проекта - общая сумма инвестиций.

Применение данного метода позволяет получить наиболее точные результаты в том случае, если колебания дисконтной ставки в период реализации проекта незначительны. Аналогичный метод в западной практике называется методом расчета чистой текущей стоимости (или чистой приведенной стоимости) (Net present value - NPV), под которой понимается разница между общей суммой дисконтированных потоков будущих поступлений денежных средств, генерируемых данным проектом, и общей суммой инвестиций (invest cost - 1С).


где ΣFVn - общая сумма будущих поступлений от проекта;- доходность проекта, приемлемый и возможный для инвестора ежегодный процент возврата может быть равен стоимости привлеченных источников финансирования проекта;С - сумма инвестиций.

. Метод расчета индекса доходности позволяет определить доход на единицу затрат. Считается, что результаты применения данного метода уточняют результаты применения метода чистой текущей стоимости. Показатель рентабельности представляет собой отношение текущей стоимости денежных потоков, генерируемых проектом, к общей сумме первоначальных инвестиций. Аналогичный в западной практике метод называется методом расчета индекса рентабельности инвестиций (profitability index - PI).

Формула расчета индекса рентабельности инвестиций имеет следующий вид:


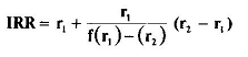
. Метод расчета внутренней нормы рентабельности проекта (или маржинальной эффективности капитала) позволяет определить максимально возможный уровень затрат на капитал, ассоциируемых с проектом. Внутренняя норма рентабельности представляет собой ставку доходности, при которой чистая приведенная стоимость денежных потоков от проекта равна нулю. Если стоимость источников финансирования превышает внутреннюю норму рентабельности, проект будет убыточным, и наоборот, если внутренняя норма рентабельности превышает стоимость источников финансирования, проект будет прибыльным. Финансовый анализ внутренний нормы рентабельности рассчитывается как отношение чистой текущей стоимости к текущей стоимости первоначальных инвестиций.

Внутренняя норма рентабельности = (чистая текущая стоимость / текущая стоимость первоначальных инвестиций) 100%

Аналогичный метод в западной практике называется методом расчета нормы рентабельности инвестиций (внутренняя норма прибыли, internal rate of return - IRR) и используется в двух целях:

) определение допустимого уровня процентных расходов в случае финансирования проекта за счет привлеченных средств;

) подтверждение оценки проектов, полученной в результате использования методов расчета чистой текущей стоимости (NPV) и индекса рентабельности инвестиций (PI).

Под нормой рентабельности инвестиций (IRR) понимается такое значение доходности (r), при которой чистая текущая стоимость (NPV), являющаяся функцией от (r), равна нулю. IRR = r, при которой NPV (f (r)) = 0. Формула расчета нормы рентабельности инвестиций (IRR) имеет следующий вид:


Из формулы следует, что для получения показателя IRR необходимо предварительно рассчитать показатель чистой текущей стоимости при разных значениях процентной ставки.

3.1 Модифицированный метод расчета внутренней нормы рентабельности позволяет получить более точные результаты. При расчете чистой текущей стоимости денежные потоки дисконтируются по ставке, равной средневзвешенной стоимости авансированного капитала

Внутренняя норма рентабельности = (чистая текущая стоимость, рассчитанная на основе ставки дисконтирования, равной средневзвешенной стоимости авансированного капитала) 100% / (сумма первоначальных инвестиций).

. Метод расчета срока окупаемости инвестиций. Под сроком окупаемости инвестиций понимается срок, по истечении которого общая сумма поступления от проекта станет равной общей сумме вложенных средств. Момент времени, в который общая сумма поступлений становится равной общей сумме первоначальных инвестиций, в финансовом менеджменте называется точкой безубыточности. Поступления денежных средств после прохождения точки безубыточности не учитываются. Проекты с равными сроками окупаемости признаются равноценными. Данный метод также позволяет определить уровень ликвидности проекта и инвестиционного риска. Чем меньше сроки окупаемости, тем больше ликвидность, и наоборот, чем больше срок окупаемости, тем меньше ликвидность. Чем выше ликвидность, тем меньше риск, и наоборот, чем меньше ликвидность, тем выше риск, связанный с проектом.

Аналогичный метод в западной практике называется методом срока окупаемости инвестиций (payback period - РР) и позволяет определить срок, в течение которого сумма недисконтированных прогнозируемых поступлений денежных средств станет равной общей сумме расходов, связанных с данным проектом. Формула расчета срока окупаемости инвестиций (РР) имеет следующий вид:


Срок окупаемости инвестиций рассчитывается:

) в случае равномерного распределения поступлений от проекта по годам - делением совокупных затрат на величину годового дохода;

) в случае неравномерного распределения поступлений от проекта по годам - прямым подсчетом числа лет, в течение которых сумма доходов превысит сумму расходов.

. Метод простой (бухгалтерской) нормы прибыли применяется для оценки эффективности проектов с непродолжительными сроками окупаемости. Под простой нормой прибыли понимается отношение чистой прибыли, полученной в результате реализации инвестиционного проекта, к вложенным средствам (инвестициям). В западной практике аналогичный метод называется методом расчета коэффициента эффективности инвестиций (accounting rate of return - ARR).

Формула расчета простой бухгалтерской нормы прибыли имеет следующий вид:

Рентабельность проекта = (чистая прибыль + амортизационные отчисления, генерируемые проектом / стоимость инвестиций) 100%

Формула расчета коэффициента эффективности инвестиций (ARR) имеет следующий вид:


где ARR - коэффициент эффективности инвестиций;- среднегодовая прибыль от вложения денежных средств в данный проект;С - сумма денежных средств, инвестированных в данный проект (сумма инвестиций);- величина ликвидационной (остаточной) стоимости активов, т.е. стоимости активов по окончании срока их полезного использования.

Каждый из методов анализа инвестиционных проектов дает возможность рассмотреть отдельные характеристики и особенности проекта. Наиболее эффективным способом оценки и выбора инвестиционных проектов нужно признать комплексное применение всех основных методов при анализе каждого из проектов.

Глава 3. Инвестиционная политика в Республике Беларусь


Приоритетом инвестиционной политики, проводимой Правительством Республики Беларусь является привлечение прямых иностранных инвестиций - средств, который иностранный инвестор вкладывает в предприятия в Республике Беларусь, приобретая не менее 10 % акций и получая, таким образом, возможность принятия решения в отношении этого предприятия. Такие инвестиции - один из наиболее важных факторов, определяющий экономический рост, стабильность ресурсного обеспечения национальной экономики и повышение ее конкурентоспособности.

В целях совершенствования инвестиционной политики разработана стратегия привлечения инвестиций в Республику Беларусь.

Цель стратегии - стимулирование притока прямых иностранных инвестиций в соответствии с потребностями структурной перестройки экономики и инновационным развитием страны, расширение масштабов и повышение качества их использования на базе постоянного улучшения инвестиционного климата, реформирования государственной собственности и развития государственно-частного партнерства в Республике Беларусь.

Основными задачами стратегии являются:

определение направлений привлечения прямых иностранных инвестиций в экономику, ориентирование вложений зарубежных капиталов в создание наукоемких высокотехнологичных производств и другие поощряемые государством виды экономической деятельности;

содействие привлечению иностранных инвестиций в реализацию проектов с применением передовых зарубежных технологий и менеджмента;

стимулирование притока капитала ТНК в реализацию проектов, обеспечивающих ускоренное развитие экспорта в страны с высоким платежеспособным спросом и импортозамещением;

совершенствование структуры прямых иностранных инвестиций, предусматривающее увеличение доли вложений в активную часть основных средств;

вхождение в число тридцати государств с наилучшим климатом в области ведения бизнеса по докладу Всемирного банка "Ведение бизнеса", обеспечение участия страны в рейтингах Международного института развития менеджмента "Мировой рейтинг конкурентоспособности", Всемирного экономического форума "Отчет о глобальной конкурентоспособности" и "Глобальный отчет о развитии информационных технологий".

В совместном исследовании Doing business - 2014, которое подготовил Всемирный банк и Международная финансовая корпорация (IFC), Беларусь заняла 63-е место в рейтинге 189 стран по общему индексу легкости ведения бизнеса. По сравнению с 2013 годом позиции страны в исследовании улучшились на один пункт. Динамика по конкретным показателям приведена в таблице 3.1.

Таблица 3.1

Тема

DB 2014 рейтинг

DB 2013 рейтинг

Изменение рейтинга

Регистрация предприятий

15

20

+ 5

Получение разрешений на стрительство

30

37

+ 7

Подключение к системе электроснабжения

168

175

Регистрация собственности

3

3

Нет изменений

Кредитование

109

105

 - 4

Защита инвесторов

98

95

 - 3

Налогообложение

133

135

+ 2

Международная торговля

149

150

+ 1

Обеспечение исполнения контрактов

13

13

Нет изменений

Разрешения неплатежеспособности

74

56

 - 18


Беларусь упростила процедуры по созданию предприятия за счет снижения платы за регистрацию и отмены требования наличия временного банковского счета для регистрации юридического лица.

Упрощены процедуры подключения к системе электроснабжения за счет ускоренной выдачи технических условий и разрешений на земляные работы и сокращения времени, необходимого для подключения к сети электроснабжения.

Также была упрощена процедура передачи имущества путем введения ускоренной процедуры регистрации собственности. При неизменной позиции рейтинга отмечается улучшение по сравнению с 2013 годом на 0,69 (% пунктов).

Проведение приватизации направлено на привлечение в бюджет дополнительных ресурсов ежегодно на сумму не менее 2,5 млрд. долларов США.

Изменение структуры экономики повысит эффективность ее функционирования, конкурентоспособность продукции на внешних рынках, расширит возможности привлечения прямых иностранных инвестиций.

Республика Беларусь заинтересована в стратегических инвесторах, осуществляющих деятельность в сфере производства высокотехнологичных продуктов и услуг, а также инвесторах, вкладывающих средства в увеличение активов организаций в этой сфере, продукция которых ориентирована на экспорт.

Так, основной формой привлечения иностранных инвесторов в отрасль автомобилестроения является создание совместных с транснациональными корпорациями предприятий, приватизация отдельных государственных предприятий или создание международных альянсов по производству автокомпонентов, сельскохозяйственного машиностроения, сборочных производств автомобильного транспорта (грузового и легкового).

В строительстве актуальными для привлечения иностранных инвестиций являются проектирование и возведение зданий с использованием технологий скоростного строительства на основе энерго - и ресурсосберегающих технологий, том числе крупнопанельное, монолитное и сборно-монолитное строительство (например, по “скандинавской технологии”).

С учетом приоритетности вложения средств иностранных инвесторов определены следующие направления привлечения прямых иностранных инвестиций:

в высокотехнологичные секторы экономики (фармацевтическая промышленность, индустрия био - и нанотехнологий, высокие технологии в промышленности, новые материалы, информационно-коммуникационные технологии);

в создание и развитие кластеров - объединенной на основе производственно-технологических, научно-технических и коммерческих связей и сосредоточенной на определенной территории группы организаций, обеспечивающей конкурентные позиции на отраслевом, национальном и мировом рынках;

в традиционные виды экономической деятельности (химическое производство, производство машин и оборудования, электрооборудования, электронного и оптического оборудования, транспортных средств, транспорт и связь, строительство и производство строительных материалов, сельское хозяйство и переработка, инженерная и транспортная инфраструктура, легкая промышленность).

Государственное регулирование инвестиционной деятельности в Республике Беларусь включает: формирование государственного инвестиционного фонда; управление государственными инвестициями и регулирование условий инвестиционной деятельности всех уровней; контроль за выполнением обязательств инвесторов.

Основным разработчиком, а также ответственным за её реализацию в Республике Беларусь является Департамент по делам инвестиций Министерства экономики Республики Беларусь.

Инвестиционная политика строится на основании прогнозов социально-экономического развития страны на долгосрочную и среднесрочную перспективы.

Заключение


Экономическая ситуация, которая сложилась в мире в последние годы, достаточно сложная. Инвестиции являются важным и эффективным средством для поддержания экономики, повышения уровня научно - технического развития, структурных изменений в национальном хозяйстве, повышение показателей эффективности и устойчивости экономики на микро- и макроуровнях.

В ходе проделанной работы, можно выделить основные проблемы, препятствующие притоку иностранных инвестиций в Республику Беларусь:

. Механизм приобретения и регистрации земли.

. Замедленный процесс приватизации и низкая доля частного сектора в экономике.

. Недостаточное развитие фондового рынка.

. Достаточно запутанное экономическое законодательство.

. Чрезмерное вмешательство государство в экономику и, особенно, в ведение хозяйственной деятельности предприятий.

Без решения вышеназванных проблем привлечение иностранных инвестиций в Республику Беларусь будет проблематичным, что затруднит экономический рост страны.

К числу факторов, которые оценены респондентами как наиболее привлекательные, относятся порядок регистрации собственности, возможности развития производства новых товаров и услуг, условия приобретения и аренды недвижимости, система гарантий защиты прав собственности, качество транспортной инфраструктуры и логистики, условия закрытия бизнеса, регулирование ценообразования и иные.

Несмотря на то, что прямые иностранные инвестиции не стали одним из главных факторов экономического роста республики, высокие темпы развития экономики Беларуси в последние годы, социально-экономическая и политическая стабильность, активное сотрудничество с международными организациями создают предпосылки для привлечения иностранных инвестиций.

Похожие работы на - Инвестиционная политика в Республике Беларусь

 

Не нашли материал для своей работы?
Поможем написать уникальную работу
Без плагиата!
Без нейросетей!