Тяговый расчёт автомобиля Volkswagen Passat B5
МИНИСТЕРСТВО ОБРАЗОВАНИЯ И НАУКИ
УКРАИНЫ
НАЦИОНАЛЬНЫЙ ТЕХНИЧЕСКИЙ УНИВЕРСИТЕТ
"ХАРЬКОВСКИЙ ПОЛИТЕХНИЧЕСКИЙ
ИНСТИТУТ"
Кафедра Автомобиле- и
тракторостроения
Тяговый расчёт автомобиля Volkswagen
Passat B5
по дисциплине
"Проектирование
автомобилей"
Выполнил ст. гр. ТМ-71б
Дыга В.В.
Проверил
проф. Артюшенко А.Д.
Харьков 2014 г.
Содержание
1. Определение полной массы и нагрузок на оси автомобиля
2. Выбор шин
3. Выбор двигателя и построение его внешней характеристики
4. Определение передаточных чисел силовой передачи
5. Выбор динамической характеристики автомобиля
6. Построение графика придельных ускорений
7. Определение разгонных характеристик автомобиля
7.1 Определение времени разгона автомобиля
7.2 Определение пути разгона
8.Определение топливной экономичности автомобиля
Список источников информации
Приложение 1 - Технические характеристики автомобиля VWPassatB5
Приложение 2 - Внешняя характеристика дизельного двигателя TDI 1,9
л мощностью 96 кВт/130 л. с. с насос - форсунками
1.
Определение полной массы и нагрузок на оси автомобиля
Полная масса автомобиля, кг

).
Сила веса автомобиля, приходящаяся на переднюю ось
на заднюю
2. Выбор шин
Для расчёта
выбираем шины из технической характеристики автомобиля - 195/65/R15. Данные
шины имеют следующие параметры:= 195 мм - ширина профиля шины;= 15 дюймов -
диаметр обода;= 65% - отношение высоты профиля к ширине шины.
Расчётный диаметр
колеса rkс достаточной степенью точности определяется в метрах по
формуле
где с -
коэффициент деформации шины, для легкового автомобиля с = 0,13.
тяговый расчет автомобиль разгон
3. Выбор
двигателя и построение его внешней характеристики
На прототипе установлен двигатель со следующими параметрами
[пр.1]:

- максимальный крутящий момент двигателя;

- максимальная мощность двигателя;

- частота вращения коленчатого вала при максимальном моменте;

- частота вращения коленчатого вала при максимальной мощности.
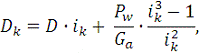
Эффективная мощность автомобиля при максимальной скорости
определяется в ваттах, согласно уравнению мощностного баланса
где G - сила веса автомобиля, Н

- коэффициент сопротивления качению, соответствующий максимальной
скорости;

- максимальная скорость движения автомобиля;

- коэффициент сопротивления воздуха, 
. Для легковых автомобилей 
. Принимаем 
.;
F - площадь
лобового сопротивления, м2;

- КПД трансмиссии.
Коэффициент сопротивления качению определяется эмпирической
зависимостью
Площадь лобового сопротивления определяется по формуле
где 
- коэффициент заполнения площади. Для легковых автомобилей 
. Принимаем 
;

- высота автомобиля;

- ширина автомобиля.
Следовательно

.
Коэффициент полезного действия трансмиссии определяется как
произведение коэффициента полезного действия каждой пары шестерен, находящихся
в зацеплении, и карданных шарниров, передающих момент

,
где 
- КПД цилиндрической пары шестерен, равный 
= 0,97.0,98;

- КПД конической пары шестерен, равный 
= 0,96.0,97;

- КПД карданного шарнира, равный 
= 0,995;

- число пар цилиндрических шестерен;

- число пар конический шестерен;

- число
карданных шарниров.
Угловая скорость коленчатого вала при максимальной скорости
движения автомобиля 
, отличается от угловой скорости при максимальной мощности 
.
Для легковых автомобилей с дизельным двигателемзначение отношения 
находится в диапазоне 0,95.1,00. Принимаем 
.
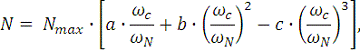
Максимальная мощность двигателя определяется эмпирической
зависимостью
где a, b, c - коэффициенты, зависящие от типа двигателя и
конструкции камеры сгорания.
В случае, когда реальной внешней характеристики двигателя нет,
коэффициенты a, b, cопределяются коэффициентами характерных точек
, которые приведены в технической характеристике автомобиля.
Коэффициенты a, b, cнаходятся по следующим формулам
В этих формулах 
- запас крутящего момента
где

- крутящий момент двигателя при максимальной мощности
Коэффициент приспосабливаемости по частоте 
- определяется по формуле
Следовательно
Проверяем полученные значения по формуле
Тогда текущее значение мощности двигателя 
кВт, при различных значениях текущих угловых скоростей 
будут равны
Аналогично рассчитываем текущие значения мощности двигателя 
для различных значений текущих угловых скоростей 
. Расчетные значения 
для принятых значений 
заносим в таблицу
Значения крутящего момента
определяются из зависимости [4, ф 1.13]
Расчетные значения 
для принятых значений 
заносим в таблицу 3.1.
Таблица 3.1 - Параметры внешней скоростной
характеристики двигателя автомобиля
|
Характерные точки
|
|
|
|
|
|
|
|
|
|
|
0,225
|
0,358
|
0,475
|
0,717
|
0,836
|
1
|
1,075
|
1,246
|
|
 , рад/с94,2150198,86300350418,67450528
|
|
|
|
|
|
|
|
|
|
 ,
кВт27.49745.93561.69287.93495.20296.03392.10768.078
|
|
|
|
|
|
|
|
|
|
 ,
Н·м291.895306.233310.23293.113272.004229.375204.683128.936
|
|
|
|
|
|
|
|
|
По результатам таблицы строим график внешней скоростной
характеристики двигателя (рис. 3.1)
Настоящая внешняя характеристика двигателя прототипа
представлена в приложении 2.
Рисунок 3.1 - Внешняя скоростная характеристика двигателя
автомобиля
4.
Определение передаточных чисел силовой передачи
Передаточное число главной передачи определяется из условия
обеспечения максимальной скорости движения автомобиля на высшей передачи,
выражение [5, ф.5.1]

,
где 
= 528,357 рад/с - максимальная угловая скорость вращения
коленчатого вала двигателя;

- передаточное число КПП на высшей передачи.
Передаточное число первой передачи определяется из условия, что
вся тяговая сила тратиться на преодоление сопротивления дороги, выражением [5,
ф.5.2]
где 
- суммарный коэффициент сопротивления движению, для легковых
автомобилей 
[2, c.74] Принимаем 
Следовательно:
Полученные значения передаточного числа первой передачи следует
проверить по условию отсутствия буксования [5, ф.5.5]
где 
- коэффициент сцепления 
[2, с.74]. Принимаем 

- перераспределение нагрузки 
[5, с.18]. Принимаем 
Результат проверки позитивный - 
, cледовательно принимаем значение первой передачи 
.
Число ступеней в коробке переменных передач находиться в прямой
зависимости от диапазона КПП, который определяется уравнением [5, с.18]:
где 
- передаточное число высшей передачи. Так как высшая передача
ускоряющая - 
Так как последняя передача в коробке перемены передач ускоряющая,
то передаточные числа промежуточных ступеней определяются выражением [5, ф.5.7]
где k=5 - число ступеней в коробке передач;= 1.5 - порядковый
номер передачи.
Следовательно:
Передаточное число передачи заднего хода 
определяется в соответствии с выражением [5, с. 20]
5. Выбор
динамической характеристики автомобиля
Для построение динамической характеристики необходимо найти
зависимость динамического фактора от скорости движения на разных передачах при
полной нагрузке.
Динамический фактор прямой передаче определяется выражением
[5, ф.6.1]
где
- тяговая сила на колесах на k-ой передаче, Н;

- сила сопротивления воздуха, Н.
Динамический фактор на k-ой передаче определяется выражением [5,
ф.6.3]
Тяговая сила определяется выражением [5, с.21]
где
М - момент двигателя, Н·м;

- передаточное число коробки передач на k-ой передаче.
Момент двигателя можно найти по формуле
Где N - текущая мощность определяется по формуле:
Угловая скорость 
при этом равняется:
Сила сопротивления воздуха вычисляется по формуле [5, с.21]
Где 
- площадь лобового сопротивления для легкового автомобиля
среднего класса;

- коэффициент сопротивления воздуха для легкового автомобиля;

- скорость автомобиля на k-ой передаче, определяется по формуле
[5, ф.6.2]
Результаты расчетов динамической характеристики приведены в
таблице 5.1.
Таблица 5.1 - Результаты расчетов динамической характеристики
|
n
|
N
|
M
|
1-я передача
|
|
|
|
V
|
|
|
D
|
|
Об/мин
|
кВт
|
Н·м
|
м/с
|
Н
|
Н
|
-
|
|
900
|
27.497
|
291.751
|
2.077
|
12576.043
|
1.3442
|
0.6853
|
|
1500
|
48.246
|
307.145
|
3.462
|
13239.576
|
3.7338
|
0.7214
|
|
1900
|
61.695
|
310.077
|
4.385
|
13365.964
|
5.9907
|
0.7281
|
|
2500
|
79.451
|
303.48
|
5.77
|
13081.592
|
10.3717
|
0.7124
|
|
3000
|
90.447
|
287.903
|
6.924
|
12410.16
|
14.9352
|
0.6756
|
|
3500
|
95.986
|
263.164
|
8.078
|
11343.767
|
20.3285
|
0.6171
|
|
4000
|
96.033
|
229.262
|
9.232
|
9882.413
|
26.5516
|
0.5372
|
|
4500
|
87.743
|
186.197
|
10.386
|
8026.099
|
33.6043
|
0.4356
|
|
5048
|
67.915
|
128.474
|
11.65
|
5537.925
|
42.2872
|
0.2995
|
|
n
|
2-я передача
|
3-я передача
|
|
|
|
D2
|
|
|
D3
|
|
Об/мин
|
-
|
м/с
|
-
|
-
|
м/с
|
-
|
|
900
|
1,944
|
3.691
|
0.3855
|
1, 206
|
5.949
|
0.2387
|
|
1500
|
|
6.151
|
0.4055
|
|
9.915
|
0.2503
|
|
1900
|
|
7.791
|
0.409
|
|
12.559
|
0.2517
|
|
2500
|
|
10.251
|
0.3995
|
|
16.525
|
0.2443
|
|
3000
|
|
12.302
|
0.3781
|
|
19.83
|
0.2295
|
|
3500
|
|
14.352
|
0.3445
|
|
23.135
|
0.2068
|
|
4000
|
|
16.402
|
0.2986
|
|
26.44
|
0.1762
|
|
4500
|
|
18.453
|
0.2404
|
|
29.745
|
0.1377
|
|
5048
|
|
20.7
|
0.1626
|
|
33.367
|
0.0865
|
|
n
|
4-я передача
|
5-я передача
|
|
|
|
D4
|
|
|
D5
|
|
Об/мин
|
-
|
м/с
|
-
|
-
|
м/с
|
-
|
|
900
|
0,882
|
8.134
|
0.1739
|
0,711
|
10.091
|
0.1394
|
|
1500
|
|
13.557
|
0.1811
|
|
16.818
|
0.1437
|
|
1900
|
|
17.172
|
|
21.302
|
0.1422
|
|
2500
|
|
22.595
|
0.1734
|
|
28.029
|
0.1334
|
|
3000
|
|
27.114
|
0.1602
|
|
33.635
|
0.12
|
|
3500
|
|
31.633
|
0.1409
|
|
39.241
|
0.1011
|
|
4000
|
|
36.152
|
0.1153
|
|
44.847
|
0.0767
|
|
4500
|
|
40.671
|
0.0836
|
|
50.453
|
0.0468
|
|
5048
|
|
45.624
|
0.0417
|
|
56.597
|
0.0077
|
Рисунок 5.1 - График динамической характеристики автомобиля
6. Построение
графика придельных ускорений
Где 
- значение динамического фактора для скорости, на которой
определяется ускорение;

- коэффициент сопротивления дороги (принимаем 0,013);

- коэффициент приведенных масс, рассчитывается по уравнению: 
.
Результаты расчета граничных ускорений заносим в таблицу 6.1
График граничных ускорений в зависимости от скорости движения
автомобиля приведен на рисунке 6.1
Таблица 6.1 - Расчет граничных ускорений
|
I передача
|
II передача
|
III передача
|
IV передача
|
V передача
|
|
V
|
dV/dt
|
V
|
dV/dt
|
V
|
dV/dt
|
V
|
dV/dt
|
V
|
dV/dt
|
|
м/с
|
м/с2
|
м/с
|
м/с2
|
м/с
|
м/с2
|
м/с
|
м/с2
|
м/с
|
м/с2
|
|
2.077
|
4.377
|
3.691
|
3.0947
|
5.949
|
2.0353
|
8.134
|
1.4878
|
10.091
|
1.1809
|
|
3.462
|
4.6116
|
6.151
|
3.2604
|
9.915
|
2.1395
|
13.557
|
1.5548
|
16.818
|
1.2211
|
|
4.385
|
4.6556
|
7.791
|
3.2893
|
12.559
|
2.1521
|
17.172
|
1.5536
|
21.302
|
1.2071
|
|
5.77
|
4.5532
|
10.251
|
3.2106
|
16.525
|
2.0857
|
22.595
|
1.4831
|
28.029
|
1.1249
|
|
6.924
|
4.3133
|
12.302
|
3.033
|
19.83
|
1.952
|
27.114
|
1.3614
|
33.635
|
0.9997
|
|
8.078
|
3.933
|
14.352
|
2.7536
|
23.135
|
1.7473
|
31.633
|
1.1825
|
39.241
|
0.8231
|
|
9.232
|
3.4123
|
16.402
|
2.3723
|
26.44
|
1.4715
|
36.152
|
0.9464
|
44.847
|
0.5951
|
|
10.386
|
2.7512
|
18.453
|
1.8892
|
29.745
|
1.1245
|
40.671
|
0.653
|
50.453
|
0.3158
|
|
11.65
|
1.8653
|
20.7
|
1.2427
|
33.367
|
0.6626
|
45.624
|
0.2656
|
56.597
|
-0.049
|
Рисунок 6.1 - График граничных ускорений
7.
Определение разгонных характеристик автомобиля
7.1
Определение времени разгона автомобиля
Полное время разгона автомобиля с механической коробкой
передач определяется суммированием времени разгона на каждой передаче.
При использовании в трансмиссии автомобиля механической КПП
расчет разгонных характеристик производиться по численному методу с учетом
времени переключения передач.
Время движения автомобиля
в элементарном интервале
изменения скорости 
, определяется по закону равноускоренного движения [5, ф.8,6]
Потери в процессе переключения передач [5, ф.8,7]
где 
- время переключения передачи;

- коэффициент учета вращающихся масс при переключении передач.
Следовательно:
Результаты расчета времени разгона представлены в таблице 7.1.
График времени разгона автомобиля рассчитанный числинным методом
представлен на рисунке 7.1
Таблица 7.1 - Результаты расчета времени разгона автомобиля
|
1 передача
|
2 передача
|
3 передача
|
4 передача
|
5 передача
|
|
Vk
|
t
|
Vk
|
t
|
Vk
|
t
|
Vk
|
t
|
Vk
|
t
|
|
м/с
|
с
|
м/с
|
с
|
м/с
|
с
|
м/с
|
с
|
м/с
|
с
|
|
2.077
|
0.0000
|
11,55
|
3.3848
|
20,6
|
8.7474
|
33,267
|
19.6321
|
45,524
|
38.3251
|
|
3.462
|
0.3081
|
12.302
|
4.0416
|
23.135
|
10.1786
|
36.152
|
21.0906
|
50.453
|
49.5583
|
|
4.385
|
0.5073
|
14.352
|
4.7502
|
26.44
|
12.2321
|
40.671
|
26.7417
|
56.597
|
95.6058
|
|
5.77
|
0.8081
|
16.402
|
5.5502
|
29.745
|
14.7783
|
45.624
|
37.5251
|
|
|
|
6.924
|
1.0684
|
18.453
|
6.5124
|
33.367
|
18.8321
|
|
|
|
|
|
8.078
|
1.3483
|
20.7
|
7.9474
|
|
|
|
|
|
|
|
9.232
|
1.6625
|
|
|
|
|
|
|
|
|
|
10.386
|
2.0369
|
|
|
|
|
|
|
|
|
|
11.65
|
2.5848
|
|
|
|
|
|
|
|
|
Рисунок 7.1 - График времени разгона автомобиля
7.2
Определение пути разгона
Для определения пути разгона в элементарном интервале i изменения
скорости
можно воспользоваться следующей формулой [5, ф.8.9]
Путь пройденный автомобилем за время переключения передачи
с предыдущей на последующую определяется выражением [5. ф.8.11]
Результаты расчета пути разгона представлены в таблице 7.2
Таблица 7.2 - Результаты расчета пути разгона автомобиля
|
1 передача
|
2 передача
|
3 передача
|
4 передача
|
5 передача
|
|
Vk
|
S
|
Vk
|
S
|
Vk
|
S
|
Vk
|
S
|
Vk
|
S
|
|
м/с
|
м
|
м/с
|
м
|
м/с
|
м
|
м/с
|
м
|
м/с
|
м
|
|
2.077
|
0.0000
|
11,52
|
28.6228
|
20,6
|
129.706
|
33,267
|
437.7
|
45,524
|
1207.1293
|
|
3.462
|
0.8533
|
12.302
|
36.4459
|
23.135
|
161.002
|
36.152
|
488.325
|
50.453
|
1746.1937
|
|
4.385
|
1.635
|
14.352
|
45.8899
|
26.44
|
211.903
|
40.671
|
705.395
|
56.597
|
4210.8834
|
|
5.77
|
3.162
|
16.402
|
58.1915
|
29.745
|
283.431
|
45.624
|
1170.67
|
|
|
|
6.924
|
4.8141
|
18.453
|
74.9611
|
33.367
|
411.350
|
|
|
|
|
|
8.078
|
6.9133
|
20.7
|
103.0527
|
|
|
|
|
|
|
|
9.232
|
9.6326
|
|
|
|
|
|
|
|
|
|
10.386
|
13.3055
|
|
|
|
|
|
|
|
|
|
11.65
|
19.3425
|
|
|
|
|
|
|
|
|
Рисунок 7.2 - График пути разгона автомобиля
8.Определение
топливной экономичности автомобиля
Топливно-экономическая характеристика - это зависимость
путевого расхода топлива на различных передачах в зависимости от скорости
движения автомобиля.
Путевой расход топлива
л/100 км - это количество топлива в литрах, использованного на
100 км пути, пройденного автомобилем.
Уравнение для определения расхода топлива
где
- плотность дизельного топлива, 
;

- удельная эффективность расхода топлива, г/кВт·час;

- скорость движения автомобиля, м/с;
Если принять 
, тогда:
Удельная эффективность расхода топлива определяется по формуле:


- удельный расход топлива при 
, г/кВт·час;

- коэффициент, который учитывает зависимость 
от коэффициента использования мощности;

- коэффициент, который учитывает зависимость 
от частоты вращения коленчатого вала двигателя n.
Коэффициент использования мощности определяется по формуле
где 
- коэффициент коррекции внешней характеристики двигателя.
Величины 
, кВт, определяются по формулам [6 ф.1.1, ф.1.2] при
соответствующих скоростях движения V
где
G - сила
веса автомобиля, Н

- коэффициент сопротивления качению на соответствующий скорости;
Коэффициент сопротивления качению определяется эмпирической
зависимостью

- коэффициент сопротивления воздуха, 
. Для легковых автомобилей 
. Принимаем 
.
F=2,01 -
площадь лобового сопротивления, м2.
Результаты расчетов заносим в таблицу 8.1
По результатам расчета строим график топливо-экономической
характеристики автомобиля (рис. 8.1) и 3Dмодель (рис. 8.2) зависимости расхода
топлива, угловой скорости коленчатого вала двигателя и силы веса автомобиля.
Диапазон изменения угловой скорости: от минимально возможной для устойчивой
роботы двигателя на холостом ходу, до максимально разрешенной электронным
блоком управления двигателем. Для построения объемного графика принимаем 5
значений силы веса автомобиля в зависимости от количества пассажиров (1-5).
Таблица 8.1 - Результаты расчета для
графика топливной экономичности
|
|
94,2
|
150
|
198,86
|
300
|
350
|
418,67
|
450
|
528
|
|
|
2.076
|
3.306
|
4.383
|
6.612
|
7.714
|
9.227
|
9.918
|
11.637
|
|
|
|
|
|
|
|
|
|
|
|
|
0.4
|
0.637
|
0.844
|
1.274
|
1.486
|
1.778
|
1.911
|
2.242
|
|
|
0.003
|
0.011
|
0.026
|
0.09
|
0.143
|
0.245
|
0.304
|
0.491
|
|
|
27.497
|
45.935
|
61.692
|
87.934
|
95.202
|
96.033
|
92.107
|
68.078
|
|
|
0.0162
|
0.0156
|
0.0156
|
0.0172
|
0.019
|
0.0233
|
0.0266
|
0.0444
|
|
|
2.756
|
2.756
|
2.756
|
2.756
|
2.756
|
2.756
|
2.756
|
2.756
|
|
|
1.205
|
1.004
|
0.884
|
0.801
|
0.843
|
0.99
|
1.091
|
1.437
|
|
|
797.451
|
664.306
|
584.775
|
530.08
|
557.8
|
654.921
|
721.933
|
950.56
|
|
|
5.516
|
4.644
|
4.142
|
3.899
|
4.201
|
5.119
|
5.748
|
7.96
|
|
|
|
|
|
|
|
|
|
|
Рисунок 8.1 - График топливно-экономической характеристики
автомобиля
Рисунок 8.2 - 3D модель зависимости параметров
,
,
Список
источников информации
1. Программа
самообучения 251. Автомобиль Passat. - 2001. - 61 с.
2. Гришкевич
А.И. Автомобили: Теория: Учебник для вузов, - Ми; Высш. шк., 1986. - 206 с.
. Литвинов
А.С., Фаробин Я.Е. Автомобиль: Теория эксплуатационных свойств. Учебник для
вузов по специальности "Автомобили и автомобильное хозяйство". - М.:
Машиностроение, 1989ю - 240 с.
. Методичні
вказівки до виконання дипломного проекту освітньо-кваліфікаційного рівня
бакалавр для студентів спеціальності 6.070106
. "Автомобілі
та автомобільне господарство" / уклад В.Б. Самородов, А.Д. Артюшенко. -
Харків.: НТУ "ХПІ", 2009. - 68 с.
. Методичні
вказівки до дипломного та курсового проектування з курсу "Теорія
автомобіля" для студентів спеціальності "Автомобілі і автомобільне
господарство" і "Колісні та гусенечні транспортні засоби" всіх
форм навчання / уклад.: В.М. Велекодній, Н.В. Павлій, А.Г. Мамонтов. - Х.: НТУ
"ХПІ", 2009. - 40 с.
Приложение 1
- Технические характеристики автомобиля VWPassatB5
|
Характеристики кузова
|
|
Тип кузова
|
Седан
|
|
Количество дверей
|
4
|
|
Количество мест
|
5
|
|
Длина
|
4703 мм
|
|
Ширина
|
1746мм
|
|
Высота
|
1462 мм
|
|
Колесная база
|
2703 мм
|
|
Колея передняя
|
1515 мм
|
|
Колея задняя
|
1515 мм
|
|
Объем багажника максимальный
|
800 л
|
|
Объем багажника минимальный
|
475 л
|
|
Характеристики двигателя
|
|
Тип двигателя
|
Дизельный
|
|
Модель двигателя
|
AVF
|
|
Объем двигателя
|
1896 см3
|
|
Мощность
|
130 л. с. (96 кВт)
|
|
При оборотах
|
4000 об. /мин
|
|
Крутящий момент
|
310/1900 Нм / (Об/мин)
|
|
Система питания
|
Насос-форсунки
|
|
Наличие турбонаддува
|
Турбонаддув c интеркулером
|
|
Газораспределительный механизм
|
OHC (OverHead Camshaft)
|
|
Расположение цилиндров
|
Рядный
|
|
Количество цилиндров
|
4
|
|
Диаметр цилиндра
|
79,5 мм
|
|
Ход поршня
|
95,5 мм
|
|
Степень сжатия
|
19
|
|
Количество клапанов на цилиндр
|
2
|
|
Топливо
|
Дизельное топливо
|
|
Соответствует нормам токсичности
|
EU3
|
|
Выхлоп CO2
|
149 г/км
|
|
Порядок работы цилиндров
|
1-3-4-2
|
|
Катализатор
|
есть
|
|
Рециркуляция ОГ (EGR)
|
есть
|
|
Трансмиссия
|
|
Привод
|
Передний
|
|
Кол-во передач (мех коробка)
|
5
|
|
Главная передача
|
3,941
|
|
1-ая передача
|
3,454
|
|
2-ая передача
|
1,944
|
|
3-ая передача
|
1, 206
|
|
4-ая передача
|
0,882
|
|
5-ая передача
|
0,711
|
|
Передача заднего хода
|
3,600
|
|
Управление сцеплением
|
Гидравлическое
|
|
Диаметр диска сцепления
|
219 мм (DSH)
|
|
Диаметр фланца карданного вала
|
100 мм
|
|
Подвеска
|
|
Тип передней подвески
|
Независимая многорычажная со стабилизатором
поперечной устойчивости
|
|
Тип задней подвески
|
Полунезависимая пружинная со стабилизатором
поперечной устойчивости
|
|
Технические характеристики тормозной системы
|
|
Передние тормоза
|
Дисковые вентилируемые, 288 мм
|
|
Задние тормоза
|
Дисковые
|
|
АБС (Антиблокировочная система торможения)
|
есть
|
|
EBD (Система распределения тормозных сил)
|
есть
|
|
Характеристики рулевого управления
|
|
Тип рулевого управления
|
Шестерня-рейка
|
|
Усилитель руля
|
Гидроусилитель
|
|
Эксплуатационные показатели
|
|
Максимальная скорость
|
204 км/час
|
|
Время разгона (0-100 км/ч)
|
9,9 с
|
|
Расход топлива в городе
|
7,5 л/100 км
|
|
Расход топлива на шоссе
|
4,6 л/100 км
|
|
Расход топлива Смешанный цикл
|
5,6 л/100 км
|
|
Объем топливного бака
|
62 л
|
|
Снаряженная масса автомобиля
|
1395 кг
|
|
Допустимая полная масса
|
1950 кг
|
|
Размер шин
|
195/65 R15
|
Приложение 2
- Внешняя характеристика дизельного двигателя TDI 1,9 л мощностью 96 кВт/130 л.
с. с насос - форсунками