Состояние основных фондов промышленного предприятия
Содержание
Введение
Глава
1. Основные фонды и их характеристика
1.1 Понятие,
состав, назначение основных фондов
.2 Учет и
оценка основных фондов
Глава 2.
Состояние и эффективность использования основных фондов
.1 Показатели
состояния основных фондов, порядок расчета
.2 Показатели
эффективности использования основных фондов
.3
Производственная мощность промышленного предприятия, методы ее расчета,
показатели ее эффективности
Глава 3.
Резервы повышения эффективности и конкурентоспособности промышленного предприятия
Заключение
Список
использованной литературы
Введение
Перевод экономики на рыночные отношения продиктован
логикой развития производительных сил на этапе перехода к системе свободного
предпринимательства с использованием различных форм собственности.
Радикальная перестройка промышленного производства на
основе введения нового хозяйственного механизма ориентирует промышленную
организацию на экономически обоснованное использование всех элементов
производства. Их четкое взаимодействие при рациональной структуре средств
производства позволяет обеспечить нормальную хозяйственную деятельность
предприятий. Составная часть средств производства - основной капитал
производства (основные производственные фонды), который занимает наиболее
высокую долю в структуре имущественного комплекса. Основной капитал
непосредственно участвует в создании материальных ценностей и тесно
взаимосвязан с конкурентоспособностью выпускаемой продукции.
Как известно, основой любого производственного
процесса является человеческий труд, который предполагает в качестве
необходимого условия своей деятельности наличие средств и предметов труда. В
совокупности эти три элемента и составляют производительные силы общества. В
процессе производства значение средств и предметов труда неодинаково. Главная
роль принадлежит средствам труда, т.е. совокупности материальных средств, с
помощью которых рабочий воздействует на предмет труда, изменяя его
физико-химические свойства.
Главной составной частью средств труда являются орудия
труда. В отличие от предметов труда (сырья, материалов и т.п.), которые
потребляются в течение одного производственного цикла, они участвуют в
производственных процессах многократно. Средства труда, используемые в
производственном процессе, как элемент производительных сил сами по себе не
являются экономической категорией.
Средства труда становятся стоимостной категорией лишь
в том случае, когда рассматривается способ их использования, характер которого
определяется собственностью на средства производства. Экономическая природа
средств труда в различных общественных формациях неодинаковая. Если средства
труда находятся в частной собственности, они являются основным капиталом. В
условиях общественной собственности средства труда выступают в форме основных
производственных фондов, обладающих потреби тельной стоимостью и стоимостью.
Следовательно, к основным производственным фондам относятся только средства
труда, которые созданы трудом и имеют стоимость.
Учитывая, что в условиях рыночной экономики
значительная доля государственного имущества, включая средства труда, должна
быть, приватизирована, т.е. продана в частную собственность, можно с полным
основанием средства труда считать основным капиталом.
Основные производственные фонды промышленного
предприятия включает средства труда, которые многократно участвуют в процессе
производства, выполняя качественно различные функции. Постепенно изнашиваясь,
они переносят свою стоимость на созданный продукт по частям в течение ряда лет
в виде амортизационных отчислений.
Объект исследования - промышленное предприятие.
Предмет исследования - основные фонды.
Цель данной работы - это исследование состояния и
использования основных фондов.
Задачи:
) изучить основные фонды и их характеристику;
) рассмотреть состояние и эффективность
использования основных фондов;
) раскрыть резервы повышения эффективности и
конкурентоспособности промышленного предприятия.
Глава 1. Основные фонды и их характеристика
.1 Понятие, состав, назначение основных фондов
Для характеристики основных средств важное значение имеет
учет срока их полезного использования.
Этот срок представляет собой период, в течение
которого использование объекта основных средств призвано приносить доход
организации (или служить для выполнения целей деятельности организации),
определяемый для принятых к бухгалтерскому учету основных средств в
соответствии с установленным порядком.
Для отдельных групп основных средств срок полезного
использования определяется исходя из количества продукции или иного
натурального показателя, объема работ, ожидаемого к получению в результате
использования этого объекта.
Срок полезного использования объекта основных средств
определяется организацией при принятии объекта к бухгалтерскому учету.
В настоящее время в соответствии с типовой
классификацией основные производственные фонды (основной капитал) промышленного
предприятия подразделяется в зависимости от однородности производственного
назначения и натурально-вещественных признаков на следующие группы:
. здания - архитектурно-строительные объекты,
предназначенные для создания необходимых условий труда. К зданиям относятся
производственные корпуса цехов, депо, гаражи, складские помещения,
производственные лаборатории и т.д.;
. сооружения - инженерно-строительные объекты,
предназначенные для тех или иных технических функций, необходимых для
осуществления процесса производства и не связанных с изменением предметов
труда. К сооружениям относятся насосные станции, тоннели, мосты и т.д.; 3.
передаточные устройства, с помощью которых передаются энергия различных видов,
а также жидкие и газообразные вещества (нефтепроводы, газопроводы и т.п.);
. машины и оборудование, в том числе:
а) силовые машины и оборудование, предназначенные для
выработки и преобразования энергии, - генераторы, двигатели и т.п.;
б) рабочие машины и оборудование, используемые
непосредственно для воздействия на предмет труда или на его перемещение в
процессе создания продуктов или услуг, т.е. для непосредственного участия в
технологических процессах (станки, прессы, молоты, подъемно-транспортные механизмы
и другое основное, и вспомогательное оборудование);
в) измерительные и регулирующие приборы и устройства,
лабораторное оборудование и т.п.;
г) вычислительная техника - совокупность средств,
предназначенная для ускорения автоматизации процессов, связанных с решением
математических задач, и т.п.; прочие машины и оборудование;
. транспортные средства, предназначенные для
транспортировки грузов и людей в пределах предприятия и вне его;
. инструмент всех видов и прикрепляемые к машинам
приспособления для обработки изделия (зажимы, тиски и т.д.);
. производственный инвентарь для облегчения
производственных операций (рабочие столы, верстаки), хранения жидких и сыпучих
тел, охраны труда и т.п.;
. хозяйственный инвентарь.
В составе основного капитала не учитываются средства
труда, не введенные в действие, малоценный (стоимостью менее установленной
законодательством величины, независимо от срока службы) и быстроизнашивающийся
(при сроке службы до 1 года независимо от стоимости) инструмент.
1.2 Учет и оценка основных фондов
Для оценки основных фондов могут использоваться
натуральные и стоимостные единицы измерения. Натуральное измерение применяется
с целью определения технического состава оборудования, производственной
мощности, Доставления баланса оборудования. Стоимостная оценка Используется для
изучения структуры и динамики основных фондов в целом, для начисления их износа
(амортизационной стоимости), определения себестоимости и рентабельности
производства.
В процессе оценки основных фондов необходимо
учитывать, что имеются не подверженные износу основные средства (например,
земельные участки, вложения в строительство, участие в капитале), которые
должны быть отражены в балансе по стоимости их приобретения или затратам на их
производство. Другие основные средства, подверженные износу (например, здания,
машины, приборы и устройства, нематериальные активы и др.), использование
которых ограничено во времени. Последние находятся в распоряжении организации
длительное время (исходя из срока службы). Эти основные средства в процессе
использования их для производства продукции (осуществления работ и оказания
услуг) постепенно теряют заключенный в них полезный потенциал.
Основные средства принимаются к бухгалтерскому учету в
случае приобретения, сооружения и изготовления, внесения учредителями в счет их
вклада в уставный (складочный) капитал, получения по договору дарения и в иных
случаях безвозмездного получения и других поступлений. Основные средства
принимаются к бухгалтерскому учету по первоначальной стоимости.
Первоначальная стоимость основных фондов - это
стоимость основных фондов в ценах, учитывавшихся при их постановке на учет. Она
выражает фактические денежные расходы на возведение зданий, сооружений и на
приобретение, доставку к месту назначения, установку и монтаж машин,
оборудования и других видов основных фондов в ценах, действующих в период
строительства или на момент приобретения этих объектов, за исключением налога
на добавленную стоимость и иных возмещаемых налогов (кроме случаев,
предусмотренных законодательством РФ).
Первоначальная стоимость остается неизменной до
переоценки основных фондов, в результате которой первоначальная стоимость
объектов заменяется их восстановительной стоимостью, или до проведения
расширения, модернизации и реконструкции объектов за счет капиталовложений, при
которых затраты добавляются к первоначальной стоимости. Увеличение (уменьшение)
первоначальной стоимости основных средств относится на добавочный капитал
организации.
Остаточная ликвидация - это стоимость основных
средств, вычисленная с учетом их износа, равна первоначальной стоимости за
вычетом амортизации в течение всего срока эксплуатации.
Величина этой стоимости в момент составления баланса
уменьшается на величину накопленного, по данным бухгалтерского учета, износа
объектов основных фондов и определяется остаточная первоначальная стоимость.
Первоначальная стоимость служит базой для учета и
контроля основных фондов, определения степени износа и сумм амортизационных
отчислений.
В процессе расширенного воспроизводства основные фонды
обновляются и совершенствуются, происходит изменение цен, тарифов. Все это
обусловливает необходимость переоценки основных фондов и их оценки по
восстановительной стоимости.
Восстановительная стоимость основных фондов -
представляет собой стоимость воспроизводства основных средств в современных
условиях (при современных ценах техники и т. п.). Переоценка основных фондов
проводится по решению правительства. Эта стоимость также корректируется в
последующем периоде в связи с реконструкцией и износом.
Организация имеет право не чаще одного раза в год (на
начало отчетного года) переоценивать объекты основных средств по
восстановительной стоимости путем индексации или прямого пересчета по
документально подтвержденным рыночным ценам с отнесением возникающих разниц на
добавочный капитал организации, если иное не установлено законодательством
Российской Федерации.
Оценка объектов основных средств, стоимость которых
при приобретении определена в иностранной валюте, производится в рублях путем
пересчета иностранной валюты по курсу Центрального банка Российской Федерации,
действующему на дату приобретения организацией объектов по праву собственности,
хозяйственного ведения, оперативного управления или договора аренды.
Накопленный износ (амортизационная стоимость) основных
средств отражается в учете и отчетности отдельно. В процессе эксплуатации
основные фонды изнашиваются и оцениваются по остаточной стоимости, которая
представляет собой первоначальную или восстановительную стоимость за вычетом
износа.
Различают физический износ, характеризующий потерю
потребительской стоимости основными фондами и снижение технико-экономических
показателей их работы, а также моральный износ, выражающийся в обесценивании
основных фондов до окончания срока их службы в связи достижениями научно-технического
прогресса.
Коэффициент годности: Кг = 3850/5280х100 = 72,9%.
Коэффициент износа на конец года: Ки = 100 - 72,9 =
27,1%.
Заметим, что по приведенным выше данным можно
определить и абсолютную сумму износа основного капитала на конец года как
разность между полной и остаточной стоимостью на отчетную дату:
- 3850 = 1430 млн. руб.
Тогда коэффициент износа будет равен:
/5280х100 = 27,1% и Кг =100-27,1 = 72,9%.
В данном примере коэффициенты износа и годности основных
средств определены на конец года. Однако если известны необходимые данные, то
эти показатели могут быть определены и на начало периода. Тогда можно будет
судить об изменении состояния основных средств за период. Так, по данным
баланса предприятия коэффициенты износа и годности могут быть рассчитаны на
начало и конец периода.
Коэффициент износа характеризует долю той части
стоимости основных средств, которая перенесена на продукт, а коэффициент
годности - неизношенную часть основных средств.
Абсолютная стоимостная оценка, характеризующая
границу, которая позволяет отнести те или иные элементы средств труда к
основным фондам или оборотным средствам, не может быть долгосрочной и со
временем она, естественно, будет изменяться в сторону увеличения. В связи с
этим целесообразнее ввести периодическую корректировку (два раза в год), а за
базу использовать индекс цен, который официально публикуется Государственным
комитетом статистики Российской Федерации. Не учитываются также объекты
длительного непроизводственного назначения, которые сохраняют свою натуральную
форму и утрачивают стоимость по частям в процессе их потребления (здания и
сооружения непроизводственного характера, хозяйственный инвентарь и
оборудование жилых домов, школ, клубов, находящихся на балансе предприятия).
Анализ технологической структуры основных производственных фондов промышленного
предприятия показывает, что наибольший удельный вес приходится на рабочие
машины и оборудования - 42%, далее идут здания - 38%. Активная часть основных
производственных фондов (рабочие машины и оборудование плюс измерительные и
регулирующие приборы и устройства) за исследуемый период возросла с 40% (38 +
2,0) до 41% (39 + 2,0) в основном за счет роста стоимости рабочих машин и
оборудования, что отражает прогрессивность в применении технологической
структуры.
Для оценки движения основного капитала используется
система показателей, представленная в табл. 1.
Таблица 1. Показатели оценки движения основного
капитала
Формула для расчета
|
Обозначения
|
|
1
|
2
|
3
|
|
Коэффициент обновления
основного капитала (Коби)
|
Коби= ОКв/ОКвг
|
ОКв - стоимость вводимого
основного капитала
|
|
Коэффициент выбытия
основного капитала (Кл) Коэффициент прироста основного капитала (Кпр)
|
Кл = ОКл/ОКпг Кпр =
(ОКв-ОКл)/ОКкг
|
ОКл - стоимость выбытия
основного капитала; ОКиг - стоимость основного капитала на начало года; ОКкг
- стоимость основного капитала на конец года,
|
|
Удельный вес активной части
основного капитала (аКакт)
|
аКакт=ОКакт/ОК
|
ОК - суммарная стоимость
основного капитала
|
Структура основного капитала не может быть одинаковой
для промышленных предприятий, измерительные различных отраслей. Это объясняется
спецификой самих отраслей, технической оснащенностью предприятия, уровнем
специализации, концентрации и кооперирования, географическим размещением и
прочими особенностями.
Не все группы основного капитала играют в процессе
производства одинаковую роль. Если здания и сооружения, как правило,
обеспечивают условия для производства, то машины и оборудование непосредственно
участвуют в создании продукции. На этой основе основной капитал подразделяется
на активную и пассивную части.
Активная часть основного капитала является ведущей и
служит базой в оценке технического уровня и производственных мощностей. В целом
по предприятиям промышленности (без учёта отраслевой специфики) активная часть
включает передаточные устройства, силовые машины и оборудование, рабочие машины
и оборудование регулирующие приборы и устройства. В отраслевом разрезе активные
группы выделяются по характеру воздействия на предметы труда и влиянию на
формирование продукции. Для предприятий машиностроения и металлообработки
активными элементами являются рабочие машины и оборудование, и регулирующие
приборы и устройства; на . предприятиях электроэнергетики - силовое оборудование
и передаточные устройства и т.п.
Пассивная часть основного капитала является
вспомогательной и обеспечивает процесс работы активных элементов.
Сложившееся в промышленности соотношение активных и
пассивных элементов показывает, что почти на всех предприятиях материального
производства, за исключением энергетики, доля активной части ниже. В целом по
промышленности доля активной части составляет около 48%, а по промышленным
предприятиям в разрезе отдельных отраслей она колеблется от 35 до 52%. Доля
активной части может отличаться даже по аналогичным промышленным предприятиям
одной отрасли, ибо их географическое размещение предопределяет стоимость
капитального строительства. Рост активной части основного капитала, особенно в
наиболее фондоемких отраслях, явление экономически оправданное. Однако в каждом
конкретном случае повышение доли активной части должно обосновываться
экономически, так как рост эффективности основного капитала обеспечивается лишь
при соблюдении определенных пропорций, т.е. при таком соотношении, когда
увеличение доли активных элементов не сопровождается снижением уровня их
использования.
Для возмещения стоимости основного капитала
используется амортизационный фонд, который формируется из амортизационных
отчислений, поступивших на расчетный счет промышленного предприятия после
реализации продукции.
Однако этот фонд не всегда используется по целевому
назначению, т.е. для осуществления простого воспроизводства основных
производственных фондов. Наблюдаются случаи, когда амортизационный фонд направляется
на оплату труда. В результате возможности обновления действующего Парка
основного технологического оборудования сократились.
Экономическая эффективность замены морально
устаревшего оборудования подтверждается тем, что внедрение достижений научно-технического
прогресса в технические решения новых моделей машин способствует обесцениванию
действующих аналогичных орудий труда.
При оценке морального износа определенное значение
приобретает проблема установления времени наступления морального износа. С нашей
точки зрения, моральный износ действующих машин и оборудования проявляются
только через определенный промежуток времени, т.е. после появления новой более
современной модификации, аналогичной в серийном производстве, что
обеспечивается внедрением достижений научно-технического прогресса.
На этой стадии наступление морального износа
действующей техники результат естественного процесса морального устаревания.
Это необходимо учитывать при формировании плана научно-технического развития
предприятия и обновления парка технологического оборудования. Замена морально
устаревшей техники необходимое условие совершенствования действующего
технологического процесса.
основный
фонд промышленный конкурентоспособность
Глава 2. Состояние и эффективность использования основных
фондов
.1 Показатели состояния основных фондов, порядок расчета
Эффективность использования основных производственных
фондов оценивается посредством общих и частных показателей. Наиболее обобщающим
показателем, отражающим уровень использования основного капитала, является
фондоотдача.
Существует несколько методов ее расчета. Самый
распространенный - это метод расчета по валовой продукции - заключается в
сопоставлении стоимости валовой продукции и среднегодовой стоимости основного
капитала. Однако при этом методе не учитывается влияние материальных затрат,
которые оказывают искусственное воздействие на фондоотдачу.
Метод расчета фондоотдачи по собственной продукции
позволяет исключить влияние изменения доли покупных изделий и полуфабрикатов. В
этом случае учитывается и влияние качества используемого сырья и материалов на
производительность основного технологического оборудования.
Несмотря на положительные стороны этого метода, он,,
как и метод расчета по валовой продукции, не совсем точно отражает уровень
использования основного капитала.
Дело в том, что общество в конечном счете интересует
не объем валовой или собственной продукции, а вновь созданная стоимость.
Включение же в расчет ранее затраченного труда, т.е. стоимости используемого
материала, энергии и т.п., способствует искусственному воздействию на
фондоотдачу за счет изменения материалоемкости, роста цен на материалы и других
факторов.
Допустим, что в базисном году стоимость валовой
продукции достигла 400 млн. руб., а материальные затраты составили 120 млн.
руб., из которых 40 млн. руб. приходилось на покупные изделия и полуфабрикаты.
Таким образом, стоимость собственной продукции составила 360 млн. руб. При
стоимости основного капитала в 200 млн. руб. фондоотдача (ФО), рассчитанная по
валовой продукции, составила: ФОвал = 400/200 = 2 руб., а по собственной
продукции ФОвал = 360/200 = 1,8 руб.
Предположим, что в отчетном году валовая продукция,
увеличилась в 1,3 раза, а материальные затраты возросли до 240 млн. руб., из
которых 120 млн. руб. приходилось на покупные изделия и полуфабрикаты. В
результате стоимость валовой продукции увеличилась на 120 млн. руб. [400 (1,3 -
1,0)] за счет роста цен на материалы и покупные изделия и полуфабрикаты.
Стоимость собственной продукции возросла до 400 млн. руб. Следовательно, при
стоимости основного капитала на уровне базисного года (ОК6 = 200 млн. руб.)
ФОвал = 520/200 = = 2,6 руб.; ФОсоб = 400/200 = 2 руб.
При расчете по условно чистой продукции (УЧП)
фондоотдача осталась бы неизменной, так как УЧПбаз = 400 - 120 = 280 млн. руб.;
УЧПбаз = = 520 - 240 = 280 млн. руб.
Таким образом, несмотря на повышение фондоотдачи,
рассчитанной по валовой и собственной продукции, дополнительного прироста вновь
созданной стоимости по сравнению с базисным годом не произошло, так как
фондоотдача увеличилась вследствие роста цен на материалы и повышения доли
покупных изделий и полуфабрикатов.
Из очевидного баланса производственных фондов можно
вывести взаимосвязанный набор показателей для учета, анализа и оценки процесса
обновления производственных фондов (ОПФ):
где
производственные
фонды на конец года;
производственные
фонды на начало года;
производственные
фонды, введенные в отчетном периоде;
-
производственные фонды, выбывшие в отчетном периоде.
Показатели,
рассчитываемые на основе приведенного равенства:
1) индекс роста основных производственных фондов:
Назначение данного показателя очевидно;
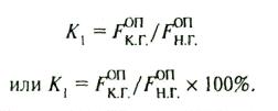
2) коэффициент обновления основных производственных
фондов, исчисляемый по принятой методологии:
Этот показатель следовало бы назвать коэффициентом
новизны основных производственных фондов, потому что он характеризует долю
новых основных средств в составе всех фондов на конец года.
Для характеристики обновления основных фондов
правильнее исчислять отношение:
) коэффициент интенсивности обновления основных
производственных фондов:
Это важный показатель характеристики темпов технического
прогресса. Известно, что темпы ввода основных фондов и производственных
мощностей намного выше темпов их выбытия. Это ведет к «старению» применяемой
техники - увеличению сроков эксплуатации машин и оборудования за экономически
целесообразные пределы;
) коэффициент масштабности обновления основных
производственных фондов:
Показатель характеризует долю новых фондов по
отношению к начальному уровню. Возможна детализация анализа по формам
обновления (техническое перевооружение, реконструкция, расширение и т.п.):
где - мощности, заменяемые в результате их износа;
- мощности реконструируемые.
Для целей экономического анализа имеет смысл рассчитывать
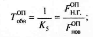
таю» обратный коэффициент, который характеризует срок обновления основны
производственных фондов:
) коэффициент стабильности основных
производственных фондов, который характеризует сохраняемые для дальнейшего использования
фонды:
) Коэффициент выбытия основных производственных
фондов:
Исходная форма баланса производственных фондов может
быть преобразована также в следующий вид:

Надежность металлорежущего оборудования может
характеризоваться временем безотказной работы в течение определенного
промежутка времени. Так, при односменном режиме работы и постоянном поддержке
металлорежущего станка в работоспособном состоянии показателем надежности может
выступать период безотказной работы или доля безотказной работы в структуре
годового эффективного фонда времени.
.2 Показатели эффективности использования основных
фондов
Конечная эффективность использования основных фондов
характеризуется показателями фондоотдачи, фондоемкости, рентабельности,
относительной экономии фондов, повышения объема продукции, повышения
производительности труда работающих, снижения себестоимости продукции и затрат
на воспроизводство основных фондов, увеличения сроков службы средств труда и
др.
На промышленных предприятиях фондоотдача определяется
по объему выпуска продукции на 1 руб. среднегодовой стоимости основных фондов.
Фондоотдача - обобщающий показатель использования производственных фондов. На
величину и динамику фондоотдачи влияют многие факторы, зависящие и не зависящие
от предприятия. Вместе с тем резервы повышения фондоотдачи, лучшего
использования техники имеется на каждом предприятии, участке, рабочем месте.
Интенсивный путь ведения хозяйства предполагает систематический рост
фондоотдачи за счет увеличения производительности машин, механизмов и
оборудования, сокращения их простоев, оптимальной загрузки техники,
технического совершенствования производственных основных фондов. Для выявления
неиспользуемых резервов важно знать основные направления факторного анализа
фондоотдачи, вытекающие из различия в подходах к моделированию данного
показателя.
Наиболее проста двухфакторная модель анализа:
где: f -
фондоотдача;
FA - активная часть основных фондов;
N - объем продукции, принятый для исчисления фондоотдачи.
При анализе фондоотдачи применение данной модели
позволяет ответить на вопрос, как изменения в структуре основных фондов, т. е.
в сношении активной и пассивной их частей, повлияли на изменение фондоотдачи.
Для того чтобы раскрыть влияние на фондоотдачу
действия экстенсивных и интенсивных факторов использования основных фондов (в
том числе машин и оборудования), необходимо использовать в анализе более полную
модель:
Использование основных фондов признается эффективным,
если относительный прирост физического объема продукции или прибыли превышает
относительный прирост стоимости основных фондов за анализируемый период. Рост
фондоотдачи ведет к относительной экономии производственных основных фондов и к
увеличению объема выпускаемой продукции. Размер относительной экономии ресурсов
и доля прироста продукции в результате роста фондоотдачи определяются
специальным расчетом.
Так, относительная экономия основных фондов
определяется как разность между величиной среднегодовой стоимости основных
фондов отчетного периода и среднегодовой стоимостью основных фондов базового
года (предшествующего года), скорректированной на рост объема производства
продукции.
Известно, что по мере старения оборудования
потенциальные возможности относительно времени его работы снижается, т.е. при
увеличении количества лет эксплуатации годовой эффективный фонд времени единицы
оборудования сокращается в результате нарастающего износа отдельных деталей и
узлов и увеличения продолжительности ремонта который восстанавливает утраченные
технико-производственные свойства, в том числе и продолжительной работы
оборудования в течение года, но только частично.
Укрупненная оценка изменения годового фонда времени показывает, что для
оборудования возрастом до 5 лет годовой эффективный фонд времени единицы
оборудования не изменяется и составляет 1870 ч, в интервале от 6 до 10 лет
ежегодное сокращение составляет 1,5%, в интервале от 11 до 15 дет... - 2,0%, а
свыше 15 лет - 2,5%.
Стоимость активной и пассивной частей основного
капитала должна быть в такой пропорции, при которой обеспечивается более
высокая доля активной части, что способствует росту производственных мощностей,
повышению производительности труда, увеличению объема производства. В каждом
конкретном случае повышение доли активной части должно быть экономически
обосновано, так как рост эффективности основного капитала обеспечивается только
при соблюдении определенных пропорций, когда увеличение доли активной части не
сопровождается вынужденным снижением его уровня использования или ухудшением
условий труда вследствие высокой плотности оборудования. Еще один фактор,
влияющий на рост эффективности основного капитала, - это совершенствование
состава парка металлообрабатывающего оборудования. Действующий парк
металлообрабатывающего оборудования промышленности по своим возможностям
является более прогрессивным по сравнению с действующей технологией. Однако в
отраслях промышленности, в которых слабо развита специализация и наблюдается
высокий удельный вес продукции общемашиностроительного назначения, состав парка
металлообрабатывающего оборудования представлен в основном универсальными
станками.
В парке металлорежущего оборудования наибольший
удельный вес занимает малопроизводительное универсальное оборудование.
Естественно, что при такой структуре парка трудоемкость механической обработки
будет высокой, так как для снятия одной тонкой стружки на универсальном
оборудовании требуется почти в пять раз больше времени, чем на
специализированным. Поэтому совершенствование парка основного
металлообрабатывающего оборудования должно быть направлено на повышение
удельного веса заготовительного и сварочного оборудования, что позволит увеличить
долю точных заготовок (литых и штампованных), расширить ее номенклатуру,
повысить качество сварных конструкций путем использования прогрессивного
сварочного оборудования, работающего на новых технологических принципах.
Даже при очень высоких темпах расширения действующего
парка основного технологического оборудования средний возраст последних будет
сокращаться медленно, если не обеспечивается соответствующая доля выбытия
устаревшей техники, т.е. интенсивная форма обновления. При сокращении среднего
возраста оборудования в зависимости от темпов роста парка и нормы выбытия
увеличивается парк выбытия. Так, при минимальной норме выбытия (3,0%) и
максимальном среднегодовом темпе роста парка (110%) средний возраст парка
оборудования сокращается примерно на одну четверть (1 - 16/22 = 0,27); при
минимальном среднегодовом темпе роста парка (104%) и максимальной норме выбытия
(6,0%) - на одну треть (1 -10/14) = 0,29.
Для ускоренного обновления парка
металлообрабатывающего оборудования наряду с расширением и совершенствованием
технической базы отечественного машиностроения большое значение имеет
специализация. Разделение труда в условиях многономенклатурного производства
металлообрабатывающего оборудования позволяет несколько сократить рост
номенклатуры оборудования на станкостроительных заводах и увеличить серийность
выпуска. План мероприятий по повышению эффективности использования парка
основного технологического оборудования и его работы должен разрабатываться для
каждого конкретного промышленного предприятия.
.3 Производственная мощность промышленного предприятия, методы ее
расчета, показатели ее эффективности
Центральной проблемой при проектировании новых видов
станочного оборудования является улучшение его качественных характеристик.
Увеличение производительности и точности, повышение качества и надежности
(улучшение прочих качественных характеристик) оборудования возможно посредством
оснащения заводов новым, более производительным и эффективным в эксплуатации
оборудованием и модернизации действующего станочного парка.
С экономической точки зрения, наилучшие результаты,
как правило, дает замена устаревшего оборудования. Но практически решить эту
задачу, ориентируясь только на новое оборудование, пока полностью нельзя.
Обусловлено это тем, что в настоящее время возможности производства некоторых
видов станков ограничены, а если они появляются на рынке средств производства,
то только по очень высокой цене.
Действующая практика производства и приобретения
оборудования показывает: значительная доля выпуска станков направляется или
приобретается на оснащение новых предприятий и расширение действующих.
Укрупненная оценка показывает, что при ежегодной потребности замены в пределах
10-12% установленного парка основного технологического оборудования,
приобретается на эти цели не более 2-3%. Такое отношение к обновлению
постепенно наращивает долю физически устаревшей техники, и приводит к
сокращению эффективного фонда времени работы оборудования и постоянному
снижению уровня его использования по времени.
Поэтому большое значение должно придаваться
модернизации действующего парка для поддержания оборудования на уровне
современных технико-производственных требований с минимальными затратами и в
короткие сроки.
В связи с предполагаемым большим объемом модернизации
действующего парка основного технологического оборудования особую роль и
значение приобретает выбор наиболее радикальных направлений, обеспечивающих
наилучшие экономические результаты при обработке деталей.
В работах, направленных на сокращение машинного времени, большое
внимание уделяется концентрации нескольких операций. Кроме роста
производительности труда, достигнуты в результате совмещения нескольких
операций, резко сокращаются затраты, связанные с эксплуатацией и ремонтом
модернизированного оборудования. Например, в результате модернизации расточного
станка установлены дополнительные суппориты, позволяющие вести обточку двух
торцов.
Практика модернизации по сокращению машинного времени
показала, что такие работы целесообразны, когда они проводятся совместно с механизацией
и автоматизацией вспомогательных операций, так как при доле вспомогательного
времени в пределах 50-80% штучного уменьшения машинного времени даже в 30 раз
даст рост производительности не более, чем в два раза.
В ряду технических решений, направленных на сокращение
вспомогательного времени, наибольшее внимание уделяется механизации выпрямления
деталей. При сравнительно небольших затратах, составляющих примерно 5%
стоимости модернизированного станка, время опускаемых затрат не превышает
одного года.
Столь высокая эффективность таких технических решений
при модернизации металлорежущих станков объясняется тем, что в парке
оборудования машиностроительных заводов еще высок удельный вес универсального
оборудования, оснащенного простейшими и малоэффективными зажимами.
Значительно место в действующем парке металлорежущего
оборудования занимают станки, управление которыми требует различных
качественных изменений. Например, на многих станках управление ускоренным
перемещением суппорта находится за колонкой. Кроме того, правые и левые
суппорты в большинстве случаев имеют различные предельные подачи. Это приводит
к непроизводительным потерям рабочего времени станочника.
В результате модернизации управление всеми механизмами
карусельного станка сосредоточено на одном пульте рядом с рабочим местом
станочника, увеличена мощность двигателя мотора и, соответственно возросло
число оборотов станка. Все эти меры значительно обновили устаревшую модель,
улучшили органы управления станка, увеличили скорость резания. При этом рост
производительности станка составил 20%, затраты окупились в 1,7 года.
Выключение станка обычно сопровождается некоторым
временем, которое особенно заметно при обработке деталей в условиях массового
производства с очень малой долей машинного времени. Несмотря на большой
удельный вес основных направлений модернизации, их осуществление не всегда дает
желаемый результат. В практике не часто отмечается существенное повышение
экономических показателей путем модернизации. Происходит это по целому ряду причин.
Во-первых, проектировщикам модернизации недостаточно хорошо известны
типоразмеры тех деталей, которые могут обрабатываться в механических цехах
основного производства. В результате нерациональной структуры станочного парка
значительная часть мелких деталей обрабатывается на крупных станках с большой
мощностью, весом, габаритами и т.д. В этих условиях использовать повышенные
режимные и размерные характеристики не представляется возможным.
Главным показателем оценки деятельности предприятия в
направлении модернизации должен быть размер экономии как результат внедрения
модернизированного станка. Чтобы решить поставленную задачу по существу, нужно
ввести такой порядок, при котором руководители предприятия были бы
заинтересованы в получении максимальных результатов при минимальных затратах.
Целесообразно план модернизации разрабатывать на предприятиях непосредственно
под руководством главного инженера и технолога совместно с главным экономистом
и механиком.
При такой постановке вопроса основной целью предприятия
будет увеличение прибыли предприятия, отдача с рубля производственных фондов. В
производство будут внедряться варианты модернизации, которые кроме обеспечения
нужд технологии, будут обеспечивать повышение показателя рентабельности или
эффективности капитальных вложений, но не ниже, чем в среднем по заводу.
Наряду с вопросами совершенствования действующей
практики планирования парка основного технологического оборудования большое
значение.
Следует отметить, что в настоящее время в
проектировании модернизации допускается большой разнобой, возникает ряд
трудностей с выбором направления и оценкой их эффективности.
Наиболее простым методом оценки выбора направления
модернизации является такой, при котором осуществляется количественная увязка
затрат на модернизацию с ее результатами. Затраты на модернизацию находят свое
сконцентрированное выражение в росте производительности оборудования, повышении
точности, надежности и других показателях.
Повышение производительности оборудования может быть определено следующим
образом: для аналогичных по технологическому назначению станков устанавливается
условный комплект деталей, характерных для обработки на данном оборудовании.
При экономической оценке эффективности во внимание
должна приниматься фактическая производительность, практически решающая
сокращение штучного времени и в соответствии с этим основную заработную плату
станочника.
В настоящее время все большее значение приобретает
модернизация, направленная на повышение надежности. Параметр надежности
оборудования характеризует время безотказной, безаварийной работы машины при
неизменной потребительной стоимости. Увеличение надежности работы оборудования
можно отождествить с сокращением затрат на текущий ремонт, так как его исходные
технические параметры сохраняются более длительное время.
Таким образом, для таких качественных характеристик,
как производительность, точность и надежность, можно найти их количественное
выражение в экономических результатах. Проследим на примере увязки
производительности с затратами на модернизацию.
При планировании модернизации станочного оборудования
критерием экономической оценки должен служить не количественный показатель, а
размер экономии, который может быть обеспечен модернизацией. Тогда главное
внимание будет направлено на то, чтобы с минимальными затратами (независимо от
объема модернизации) получать максимальную отдачу. Выбор оптимальных
направлений модернизации должен основываться на реальных потребностях
производства. Однако в практике нередки случаи, когда измененные в результате
модернизации технические параметры станка используются не более чем на 50%
(примером может служить токарно-винторезный станок).
Для оценки производительности наиболее точным является
метод сопоставления трудоемкости условного комплекта деталей, взвешенного по
каждой из групп комплекта до и после модернизации.
Использование этого метода позволяет избежать ошибок в
оценке производительности оборудования и облегчает выбор для конкретного
оборудования типового комплекта детален, при обработке которых данное оборудование
будет использоваться с максимальной отдачей.
Глава 3. Резервы повышения эффективности и конкурентоспособности
промышленного предприятия
На основе обобщения опыта многих хозяйствующих субъектов (по производству
товаров народного потребления) и научных исследований этой проблемы считаем
важным обозначить некоторые трудности и направления решения этой проблемы в
настоящее время и в ближайшей перспективе.
На этой основе устанавливается излишек неэффективных
основных фондов (совсем неиспользуемых или используемых частично) и намечаются
меры по улучшению их использования путем организации совместной деятельности с
другими хозяйствующими субъектами, предпринимателями или использования для
организации других видов деятельности, сдачи в аренду или, в случае
необходимости, путем их реализации.
Материалы анализа свидетельствуют, что необходимый
объем выпуска продукции обеспечивается за счет двух факторов: наличия основных
фондов и уровня использования этих фондов. Учитывая, что наличие основных
фондов определяется как среднегодовая стоимость основных фондов исчисленная по
среднеарифметической при наличии данных на начало и конец периода и по
среднехронологической при использовании данных на три и более периодов. Уровень
использования этих фондов - в виде фондоотдачи, исчисленной как отношение
выпуска продукции на 1 руб. среднегодовой стоимости основных фондов.
В последние 6-7 лет в сфере материального производства функционирует
лишь половина производственного Потенциала. Однако проблема заключается не столько
в наличии неработающих мощностей, сколько в очень больших объемах их
незагруженности. Такая тенденция отрицательно влияет на показатели работы
организаций (предприятий). Содержание на балансе предприятий неиспользуемого
оборудования препятствует нормализации их финансового положения и постоянно
воспроизводит инфляцию расходов. Это ведет к исчерпанию естественного предела
финансовых возможностей окупаемости затрат, уменьшению прибыльности, снижению
резервов экономии расходов на производство в условиях жестких спросовых
ограничений и делает хозяйствующие субъекты не способными формировать
накопления для обновления оборудования и инвестиционной деятельности. Многие
предприятия используют мощности на уровне, при котором не достигают точки
безубыточности по объемам производства. Они работают в зоне прямых убытков,
когда имеет место рост условно-постоянных расходов на единицу выпуска продукции
при одновременном снижении условно-переменной составляющей производственных
расходов (затрат).
Резервы роста эффективности использования активной
части основных производственных фондов оцениваются на основе результатов
анализа, который отражает уровень фондоотдачи, основные причины целосменных и
внутрисменных простоев, объективность внедрения высокопроизводительного, дорогостоящего
и прогрессивного оборудования, необходимость обновления парка в направлении
сокращения физически изношенного и морально устаревшего оборудования,
сокращения среднего возраста и т.п.
Фондоотдача зависит от периода освоения вновь
введенных производственных мощностей, коэффициента сменности работы
оборудования, средней стоимости единицы установленного оборудования, доли
активной части основных производственных фондов, количества наименований
выпускаемой продукции (уровня специализации).
Улучшение использования основных производственных
фондов возможно по двум направлениям:
а) увеличение объема производства;
б) сокращение среднегодовой стоимости основных
производственных фондов.
Анализ использования действующих производственных
мощностей - важнейший этап технико-экономического планирования. Он необходим
для того, чтобы устранить возможность возникновения диспропорции между'
пропускной способностью отдельных групп оборудования, участков, цехов: оценить
уровень использования действующих производственных мощностей; определить
экономию денежных, материальных и трудовых ресурсов; разработать план
организационно-технических мероприятий по реализации выявленных резервов.
Одним из центральных направлений в повышении
эффективности использования парка основного технологического оборудования
является увеличение времени его фактической работы за счет сокращения
целосменных простоев, что обеспечивает рост коэффициента сменности
оборудования.
При сокращении целосменных простоев увеличивается
количество отработанных станкосмен в течение суток обеспечивается рост
коэффициента сменности.
Разработка и осуществление мероприятия по повышению
сменности работы оборудования - весьма сложная проблема, связанная с
привлечением дополнительной рабочей силы станочников, расширением
многостаночного обслуживания, списанием излишнего оборудования и т.д. В
условиях ограниченности рабочей силы обеспечение прироста числа станочников
может быть достигнуто за счет механизации и автоматизации вспомогательных
операций, что ведет к высвобождению работников, занятых ручным трудом.
Повышение доли более производительного оборудования сокращает фактическую
потребность в станочниках, т.е. при том же приведенном фонде времени,
количество оборудования тоже сокращается.
Расширение многостаночного обслуживания и совмещение
профессий - важный резерв повышения коэффициента сменности, реализации которого
предшествует большая организационная и подготовительная работа. Во-первых,
осуществляется перераспределение оборудования по принципу значительного машинного
времени, что дает возможность пересмотреть время работы станочника при
многостаночном обслуживании. Во-вторых, использование при этом бригадной формы
многостаночного обслуживания оборудования позволяет применить совмещение
профессий и тем самый обеспечить рост сменности оборудования на 15-20%.
Большой удельный вес сверхплановых простоев
оборудования по причине ремонта связан, с ростом его среднего возраста, что
непосредственно влияет на восстановление работоспособности. Существует обратная
зависимость: чем выше средний возраст оборудования, тем меньше его годовой
эффективный фонд времени. Следовательно, одним их направлений по сокращению
целосменных сверхплановых простоев по причине ремонта следует считать
сокращение среднего возраста и повышение темпов обновления парка.
Наиболее высокая доля оборудования с возрастом до 5
лет приходится на топливную промышленность - 45%, в машиностроении и
металлообработки доля оборудования данной возрастной группы, составляет 23%,
минимальная доля 2% приходится на электроэнергетику. В результате сложившейся
возрастной структуры парка установленной оборудование минимальный средний
возраст (Тср - 7,5 лет) приходится на топливную промышленность, максимальный
(Тср - 12,2 г.) - на электроэнергетику. Из расчета на 100 ед. установленного
оборудования потери времени из-за физического износа составляет в
электроэнергетики по сравнению с топливной промышленностью 17 тыс. час.
Доля металлорежущего оборудования с возрастом выше 20
лет, в машиностроении, металлообработке и в электроэнергетике - 19%, и только в
пищевой и топливной промышленности, а также промышленности строительных
материалов эта доля не превышает 10%.
В сложившейся экономической ситуации в стране
обновление парка основного технологического оборудования, как о пассивной части
основных производственных фондов следует видеть в интенсивном пути развития,
ибо капитальные вложения на приобретение нового оборудования и новое
строительство, включая восстановление производственных площадей, отсутствуют.
Важное значение для повышения эффективности использования производственных
фондов имеет совершенствование состава и структуры парка основного
технологического оборудования. Изменение состава парка оборудования - результат
совершенствования структуры технологических процессов. Применение прогрессивных
технологий проявляется в постепенной -замене трудоемкой и малоэффективной
механической обработки точной штамповкой, литьем, сваркой и другими
высокопроизводительными и эффективными с экономической точки зрения процессами.
Одна единица кузнечно-прессового оборудования может заменить от трех до семи
единиц металлорежущего оборудования, обеспечить экономию рабочей силы и
высвобождение производственных площадей, сократить расход металла примерно на
12%. Особенно высокие результаты дает применение принципиально новых
технологических процессов.
Заключение
Итак, основные производственные фонды промышленного
предприятия включает средства труда, которые многократно участвуют в процессе
производства, выполняя качественно различные функции. Постепенно изнашиваясь,
они переносят свою стоимость на созданный продукт по частям в течение ряда лет
в виде амортизационных отчислений. Структура основных производственных фондов -
это доля каждой из групп в их общей стоимости. В данной работе рассмотрена структура
основных производственных фондов на примере Тюменского Станкостроительного
завода.
Не все группы основного капитала играют в процессе
производства одинаковую роль. Если здания и сооружения, как правило,
обеспечивают условия для производства, то машины и оборудование непосредственно
участвуют в создании продукции. На этой основе основной капитал подразделяется
на активную и пассивную части.
Эффективность использования основных производственных
фондов оценивается посредством общих и частных показателей. Наиболее обобщающим
показателем, отражающим уровень использования основного капитала, является
фондоотдача. Критерием уровня фондоотдачи является соотношение между темпами
роста валовой продукции (стоимости произведенной продукции) и основного
капитала. Этот критерий обусловлен объективным законом экономии общественного
труда.
Стоимость активной и пассивной частей основного
капитала должна быть в такой пропорции, при которой обеспечивается более
высокая доля активной части, что способствует росту производственных мощностей,
повышению производительности труда, увеличению объема производства. В каждом
конкретном случае повышение доли активной части должно быть экономически
обосновано, так как рост эффективности основного капитала обеспечивается только
при соблюдении определенных пропорций, когда увеличение доли активной части не
сопровождается вынужденным снижением его уровня использования или ухудшением
условий труда вследствие высокой плотности оборудования.
С экономической точки зрения, наилучшие результаты,
как правило, дает замена устаревшего оборудования. Но практически решить эту
задачу, ориентируясь только на новое оборудование, пока полностью нельзя.
Обусловлено это тем, что в настоящее время возможности производства некоторых
видов станков ограничены, а если они появляются на рынке средств производства,
то только по очень высокой цене. Действующая практика производства и
приобретения оборудования показывает: значительная доля выпуска станков
направляется или приобретается на оснащение новых предприятий и расширение
действующих. Главным показателем оценки деятельности предприятия в направлении
модернизации должен быть размер экономии как результат внедрения
модернизированного станка. Чтобы решить поставленную задачу по существу, нужно
ввести такой порядок, при котором руководители предприятия были бы
заинтересованы в получении максимальных результатов при минимальных затратах.
Список использованной литературы
1. Аврова
И.А. Основные средства: Бухгалтерский и налоговый учет. М.: Бератор-Пресс,
2013. - 247с.
. Бакаев
А.С. Некоторые вопросы учета основных средств. // Бухгалтерский учет. 2012. №3.
С.42-56.
. Балабанов
И.Т. Основы финансового менеджмента. М.: Финансы и статистика,2014. - 512с.
. Веретенникова
И.И. Амортизация и амортизационная политика. М.: Финансы и статистика, 2014. -
192с.
. Григорьев
В.В. Оценка и переоценка основных фондов. М.: ИНФРА-М, 2014. - 320с.
. Зайцев
Н.Л. Экономика организации. М.: Экзамен, 2013. - 624с.
. Основные
фонды Тюменской области: статистические данные за 2014 год. Т.: Вектор Бук,
2015. - 64с.
. Остапенко
В.В., Малис Н.И. Оценка основных фондов и налоги. // Финансы. 2014. №2. С.
71-86.
. Раицкий
К.А. Экономика предприятия. М.: Дашков и К, 2012. - 1012с.
. Чечин
Н.А. Эффективность использования основных фондов и производственных мощностей.
Самара: СЭИ, 2013. - 80с.
. Шеремет
А.Д., Сайфулин Р.С. Финансы предприятий. М.: ИНФРА-М, 2014. - 343с.
. Юровицкий
В.М. Проблемы восстановления основных производственных фондов. //Финансы. 2014.
№12. С.61-73.