Технологический проект зоны технического обслуживания автомобиля ВАЗ-2115

  • Вид работы:
    Курсовая работа (т)
  • Предмет:
    Транспорт, грузоперевозки
  • Язык:
    Русский
    ,
    Формат файла:
    MS Word
    110,24 Кб
  • Опубликовано:
    2015-06-10
Вы можете узнать стоимость помощи в написании студенческой работы.
Помощь в написании работы, которую точно примут!

Технологический проект зоны технического обслуживания автомобиля ВАЗ-2115

Департамент образования города Москвы

Государственное бюджетное профессиональное образовательное учреждение города Москвы

Колледж градостроительства, транспорта и технологий № 41(ГБПОУ КГТиТ № 41)








Курсовая работа

На тему: «Технологический проект зоны технического обслуживания автомобиля ВАЗ-2115»


Выполнил:

Власов П.А.




Содержание

Введение

. Назначение и краткая характеристика АТП участка

.1 Технические параметры автомобиля ВАЗ-2115

. Расчетно-технологическая часть

.1 Расчет производственной программы

.2 Расчет периодичности ТО и нормы межремонтного пробега с корректированием их нормативов

.3 Расчет коэффициента кратности

.4 Расчет коэффициента технической готовности автомобиля и всего парка и коэффициент использования парка

.5 Расчет коэффициента перехода от технического обслуживания к годовому

.6 Планирование работающих по специальности

. Организационная часть

.1 Подбор оборудования

.2 Расчет необходимых производственных площадей

.3 Краткая характеристика ремонтного участка

.4 Техническое обслуживание автомобиля

.5 Разработка технологического процесса операций

. Охрана труда

.1 Санитарно-гигиенические факторы условий труда

.2 Общие требования технической эстетике

.3 Пожарная безопасность

Список литературы

Введение

Значение автотранспорта в обеспечении перевозки пассажиров и грузов. Задачи, стоящие перед автотранспортом

Автомобильному транспорту принадлежит важная роль в процессе общего производства, так как обязательным элементом его существования является перевозка сырья, материалов, полуфабрикатов, готовой продукции. Продукцией транспорта является процесс перемещения грузов и пассажиров во времени и пространстве, осуществляемых при помощи транспортных средств. При этом транспорт не перерабатывает «сырье» и не создает никаких новых продуктов.

Транспорт, обеспечивая производственные, экономические связи различных отраслей, оказывает существенное влияние на размещение производственных сил, создание новых производственных комплексов технологического производства.

Основное преимущество автомобильного транспорта - это способность доставить груз со склада отправителя до склада получателя, без перевозки на другие виды транспорта. Процесс интенсификации общественного производства, развития агропромышленного комплекса вызывают качественные изменения в экономике, расширение связей между отдельными экономическими регионами страны, что обуславливает увеличение перевозок грузов и пассажиров. Исходя из этого, возрастает роль транспорта, от деятельности которого, в большей степени, зависит эффективность работы всех отраслей страны.

Таким образом, основной задачей, стоящей перед автомобильным транспортом, является своевременное, качественное и полное удовлетворение потребностей хозяйствующих субъектов и населения в перевозках, повышение экономической эффективности работы.

Вследствие большой эффективности перевозок грузов и пассажиров автомобильным транспортом объем перевозок постоянно растёт. В современных условиях рыночной экономики необходимо выполнение следующих условий:

) Формирование единого правового поля деятельности предприятий транспорта с учетом международных норма работы транспорта. Создание эффективной системы межгосударственного управления транспортом, регулирование и контроль рынка транспортных услуг, обеспечивающее справедливую конкуренцию на транспортном рынке.

) Обеспечение безопасного функционирования транспортного комплекса страны и снижение негативных воздействий транспорта на окружающую среду.

) Усиление координирующей роли государства в развитии транспортной сети перевозочных и логических систем, создание новой транспортной техники и технологий.

) Создание условий для повышения конкурентоспособности российских перевозчиков на международных рынках транспортных услуг за счет реализации комплекса мер государственной поддержки российских транспортных предприятий, обеспечивающих экспортно-импортные перевозки.

) Создание гибкой системы регулирования транспортных тарифов, учитывающих рыночные условия и интересы пользователей транспортных услуг и транспортных организаций.

) Создание единого информационного пространства транспортного комплекса на основе повышения производительности сетей телекоммуникаций, внедрение современных информационных и управляющих систем.

) Развитие современного менеджмента и ориентированной на перспективу системы подготовки и переподготовки кадров на транспорте.

) Развитие производственно-технической базы автопредприятий.

1. Назначение и краткая характеристика АТП участка

Основной задачей технического обслуживания автомобиля является поддержание его в надлежащем внешнем виде и технически исправном состоянии на протяжении, оговорённого регламентом и гарантией производителя, ресурса. Основным отличием технического обслуживания от ремонта является то, что оно является профилактическим мероприятием.

Техническое обслуживание включает в себя следующие виды работ:

смазочные;

регулировочные;

контрольно-диагностические;

крепежные;

заправочные;

электротехнические.

Задача ежедневного технического обслуживания заключается в том, чтобы поддерживать автомобиль в надлежащем внешнем виде, отслеживать его заправку топливом, маслом, иными расходными материалами, а также контролировать техническое обеспечение безопасности дорожного движения.

Каждый раз перед поездкой в рамках ЕО бригада механиков должна проверить:

комплектность автомобиля;

состояние его кузова;

наличие и регулировку зеркал заднего вида;

наличие и читаемость государственных регистрационных номерных знаков;- исправность дверных замков, а также замков капота и багажника;

исправность электрооборудования («дворники», приборы освещения и сигнализации);

герметичность систем питания, смазки и охлаждения и наличие соответствующих расходных жидкостей;

герметичность гидравлического привода тормозной системы;

свободный ход рулевого колеса;

работу контрольно-измерительных приборов.

Автотранспортное предприятие - организация, осуществляющая перевозки автомобильным транспортом, а также хранение, техническое обслуживание и ремонт подвижного состава.

Основными задачами автотранспортного предприятия являются:

· организация и выполнение перевозок в соответствии с планом и заданиями;

· хранение, техническое обслуживание и ремонт подвижного состава;

· материально-техническое снабжение предприятия;

· содержание и ремонт зданий, сооружений и оборудования;

· подбор, расстановка и повышение квалификации персонала;

· организация труда, планирование и учет производственно-финансовой деятельности.

Проектируемый участок диагностики двигателя является составной частью АТП состоящих из многих ремонтных частей. Данное АТП находиться в умеренно климатической зоне в Московской области. Парк АТП использует автомобили ВАЗ-2115.

автомобиль автотранспорт перевозка межремонтный

Таблица 1

Основные параметры и технические характеристики ВАЗ- 2115

Габариты, мм:

длина

4330

ширина

1650

высота

1415

База, мм

Колесная база

2460

Колея передняя

1400

Колея задняя

1370

Дорожный просвет

170

Масса, кг:

Снаряженная масса автомобиля

970

Допустимая полная масса

1395

Двигатель:

Тип двигателя

Бензиновый

Расположение двигателя

Спереди, поперечно

Объем двигателя

1500 см³

Мощность

78 л.с.(56,5кВт)

При оборотах

5400 об/мин

Крутящий момент

115 н*м /3000 об/мин

Система питания

Распределенный впрыск

Газораспределительный механизм

OHC

Расположение цилиндров

4

Диаметр цилиндра

82 мм

Ход поршня

71 мм

Степень сжатия

9.9

Количество клапанов на цилиндр

2

Топливо

АИ-95

Колёсная формула

Размер шин

175/70 R13

Запас топлива

43 л

Скорость максимальная

170 км/час


Подвижной состав в рассматриваемом АТП укомплектован в количестве 265 автомобилей со среднесуточным пробегом 300 км, а дни работы в году составляет 240.

.1 Технические параметры автомобиля ВАЗ-2115

Таблица 2

Характеристика

Модель автомобиля

ВАЗ- 2115-20

Снаряженная масса, кг

985

Полезная масса, кг

425

Разрешенная максимальная масса, кг

1410

Модель двигателя

ВАЗ-2111

Частота вращения коленчатого вала двигателя при номинальной мощности, об/мин.

5200

Топливо

бензин с ОЧ 92-95

Система зажигания

Электронная система управления двигателем (ЭСУД)

Максимальная скорость, км/час, не менее

155

Время разгона с места с переключением передач до скорости 100 км/ч, с

14,2

Расход топлива на 100 км пути на высшей передаче, не более, л


при скорости 90 км/ч

5,7

при скорости 120 км/ч

7,8

при городском цикле движения

8,9

Коробка передач

пятиступенчатая

Рулевое управление

с регулируемой по углу наклона рулевой колонкой


2. Расчетно-технологическая часть

Таблица 3

НАИМЕНОВАНИЕ

ОБОЗНАЧЕНИЕ

ЗАДАНОЕ ЗНАЧЕНИЕ

1.Подвижной состав в АТП укомплектован в количестве, шт.

265

2.Количество обслуживаний в год, шт.

Аи

 2910шт

3.Марки автомобилей

М

ВАЗ 2115

4.Среднесуточный пробег, км

300

5. Нормативный пробег до ТО-1, км

5000

5. Нормативный пробег до ТО-2, км

24000

6. Удельный простой автомобиля в ТО на 1000км пробега, дней

0.28

7. Коэффициент, учитывающий условия эксплуатации автомобиля.

1

8. Коэффициент, учитывающий модификацию подвижного состава.

1

9.Коэффициент учитывающий природно-климатические условия.

К3

0.8

10. Коэффициент учитывающий отношение L/Lкр

0.85

11. Коэффициент учитывающий изменение трудоемкости в зависимости от количества автомобилей.

0.95

12. Количество рабочих дней проектируемого участка в году.

Др

240

13. Нормативная трудоёмкость технического обслуживания, чел-час.

Tто

11.8

14.Продолжительность рабочего времени, час

8


2.1 Расчет производственной программы

Таблица 4. Объем работ по ТО

Вид пробега

Обозначение

Норматив, км

Откорректированное значение пробега, км

Кратность

Значение пробега принятое к расчёту, км

Среднесуточный

300

300

1 цикл

300

До ТО-1

5000

4000

13,3 цикла

4000

До ТО-2

24000

19200

4,8 цикла ТО-1

19200

До КР

150000

120000

6,25 цикла ТО-2

120000


На основании этой таблицы видно, что автомобиль встает на ТО-1 через 13 дней, при этом он проходит 4000 км, а ТО-2 через 64 дня, при этом он проходит 19200 км, а на капитальный ремонт автомобиль пойдет через 400 дней при этом он проходит 120000 км.

На основании этих данных строим цикловой график.

Рисунок 1

2.2 Расчет периодичности ТО и нормы межремонтного пробега с корректированием их нормативов

Скорректированная величина периодичности ТО рассчитывается по формуле:

 (1)

 (2)

где,  - нормативный пробег до ТО-1, км;

 - нормативный пробег до ТО-2, км;

- корректированный пробег до ТО-1, км;

 - корректированный пробег до ТО-2, км;

 - коэффициент корректирования периодичности ТО и пробега до КР в зависимости от категории условий эксплуатации;

К3 - коэффициент корректирования в зависимости от природно-климатических условий.

Пробег до КР рассчитывается по формуле:

 (3)

 - нормативный пробег до КР, км;

 - корректированный пробег до КР, км;

 - коэффициент корректирования периодичности ТО и пробега до КР в зависимости от категории условий эксплуатации;

 - коэффициент корректирования в зависимости от модификации подвижного состава.

.3 Расчет коэффициента кратности

После определения расчета периодичности ТО-1 произведем окончательную корректировку ее величины по кратности со среднесуточным пробегом:

 суточных циклов(4)

 - среднесуточный пробег, км;

 - корректированный пробег до ТО-1, км;

 количество суточных циклов до ТО-1.

Аналогично произведем окончательную корректировку периодичности ТО-2:

циклов ТО-1 (5)

 - корректированный пробег до ТО-2, км;

- корректированный до ТО-1, км;

 количество циклов ТО-1 до ТО-2.

и капитального ремонта (КР):

 циклов ТО-2 (6)

 - корректированный пробег до КР, км;

 - корректированный пробег до ТО-2, км;

 количество циклов ТО-2 до КР

Выбор значений принятых к расчету.

, принимаем к расчёту 4000 км (7)

- расчётный пробег до ТО-1, км;

- корректированный пробег до ТО-1, км

 принимаем к расчёту 19200км(8)

 - корректированный пробег до ТО-2, км;

- расчётный пробег до ТО-2, км.

, принимаем к расчёту 120000км(9)

 - корректированный пробег до КР, км;

 - расчётный пробег до КР, км

.4 Расчет коэффициента технической готовности автомобиля и всего парка и коэффициент использования парка


Где, αт  - коэффициент технической готовности;

Дэ - количество дней эксплуатации автомобиля за межремонтный период, дней;

Дрц - количество дней простоя автомобиля за межремонтный период, дней.


Где, Дэ - количество дней эксплуатации автомобиля за межремонтный период, дней;

 - расчётный пробег до КР, км;

 - среднесуточный пробег, км.


Где Дрц - количество дней простоя автомобиля за межремонтный период, дней;

 - удельный простой автомобиля в ТО на 1000км пробега, дней;

 - расчётный пробег до КР, км;

 - коэффициент, учитывающий отношение L/Lкр

L/Lкр -нормативный пробег до капремонта.


 - коэффициент использования парка;

Др - количество рабочих дней в году, дней;

Дг - число календарных дней в году, дней;

αт - коэффициент технической готовности.

Расчет среднегодового пробега.

Где,  - среднегодовой пробег (с учётом коррекции на 1автомобиль в год)

Др - количество рабочих дней в году, дней;

 - среднесуточный пробег, км;

αт - коэффициент технической готовности.


 - суммарный среднегодовой пробег с учётом коррекции по всему автопарку, км;

 - среднесуточный пробег, км;

αт - коэффициент технической готовности

 - подвижной состав (количество автомобилей в АП), шт;

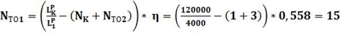
Расчет коэффициента перехода от технического обслуживания к годовому.


Где, η - коэффициент перехода от межремонтного пробега к годовому;

 - годовой пробег (с учётом коррекции на 1автомобиль в год), км;

 - расчётный пробег до КР, км

Расчет годового объема работ по ТО-2(количество)

 ТО-2

 - количество циклов ТО-2 (с учётом коррекции на 1автомобиль в год)

Lкр - расчетный пробег до КР, км.

L2p- расчетный пробег до ТО-2, км.

Nк - количество капитальных ремонтов за межремонтный цикл, Nк =1; η - коэффициент перехода от межремонтного пробега к годовому.

Определение суммарного количества обслуживаний ТО-2 за год

,

 - суммарное количество обслуживаний ТО-2 за год по всему автопарку;

 - количество циклов ТО-2 (с учётом коррекции на 1автомобиль в год)

 - подвижной состав (количество автомобилей в АП).

 - коэффициент использования парка = 0.61.

Расчет объемов работ по ТО-1(количество). 


 - количество циклов ТО-1 (с учётом коррекции на 1автомобиль в год)

Lкр - расчетный пробег до КР, км;

L1р - расчетный пробег до ТО-1, км;

η - коэффициент перехода от межремонтного пробега к годовому.

,

 - суммарное количество обслуживаний ТО-1 за год по всему автопарку;

 - количество циклов ТО-1 (с учётом коррекции на 1автомобиль в год)

 - подвижной состав (количество автомобилей в АП).

 - коэффициент использования парка = 0.61.

Определение суммарного количества обслуживаний ТО по парку АТП за год

,

Au - расчётное суммарное количество обслуживаний ТО по парку АТП в год, через коэффициенты осреднения с учётом коррекции;

 - суммарное количество обслуживаний ТО-1 за год по всему автопарку;

 - суммарное количество обслуживаний ТО-2 за год по всему автопарку;

Расчет трудоемкости работ по техобслуживанию.

чел-час

tто1р - расчётная трудоемкость ТО -1, чел-час;

tто1н - нормативная удельная трудоемкость ТО-1, чел-час;

КТО - коэффициент корректирования трудоемкости, принимаем равным 1

чел-час

tто2р - расчётная трудоемкость ТО -2, чел-час.

tто2н - нормативная удельная трудоемкость ТО-2, чел-час;

КТО - коэффициент корректирования трудоемкости, принимаем равным 1

, чел-час;

tтор - расчётная трудоемкость техобслуживания, чел.-час

Расчет суммарной трудоемкости работ по техобслуживанию парка АТП.

 чел-час

Tсумм - суммарная расчётная трудоемкость техобслуживания, чел.-час

tтор - расчётная трудоемкость техобслуживания, чел-час;

Аи - количество обслуживаний в год.

Расчет производственной программы на предприятии.


Где, Фм - годовой фонд времени рабочего места, час;

 - продолжительность смены, час;

-количество календарных дней в году,365 дней

-количество выходных дней в году,100 дней

-количество праздничных дней в году, 25 дней

Расчёт количества технологически необходимых рабочих мест


количество технологически необходимых рабочих мест;

Tсумм - суммарная расчётная трудоемкость техобслуживания, чел.-час

Фм - годовой фонд времени рабочего места, час.

Принимаем количество технологически необходимых рабочих мест равным 18.

Расчет количества штатных рабочих на предприятии.

 час

Где, ФШ - годовой фонд времени штатных рабочих

 - продолжительность смены, час;

До - количество дней отпуска, принимаем 28 дня;

Дб - количество дней болезни, принимаем 5 дней;

Дво - количество дней вынужденного отпуска, принимаем 2 дня.

Расчет количества штатных рабочих.


количество штатных рабочих, занятых на ТО; ФШ - годовой фонд времени штатных рабочих, занятых на ТО;

Tсумм - суммарная расчётная трудоемкость техобслуживания, чел-час

2.6 Планирование работающих по специальности

Таблица 5

Наименование участка, Специальность работающих.

Общая трудоемкость ТО в рабочий день  

Количество технологически необходимых рабочих.

Количество штатных рабочих в смене. принято


%

Чел-час



Мойка

10

14.31

1.79

3

Сборочно-разборочные

25

35.77

4.47

5

Слесарно-ремонтные

25

35.77

4.47

5

Диагностические

25

35.77

4.47

5

Проверочные

15

21.465

2.68

3

Итого:

100

143.1

17.88 (18)

21


Принимаем  количество технологически необходимых рабочих в смену равным 18

Выбор метода ТО и расчет суточного количества ТО.


 количество ТО в сутки, принимаем равным 12

Au - расчётное суммарное количество обслуживаний ТО по парку АТП в год, через коэффициенты осреднения с учётом коррекции;

Др - количество рабочих дней в году, дней;

Количество ТО за один час рабочей смены


 - количество ТО за один час рабочей смены;

Au - расчётное суммарное количество обслуживаний ТО по парку АТП в год, через коэффициенты осреднения с учётом коррекции;

Др - количество рабочих дней в году, дней;

 - продолжительность смены, час;

Определение планово необходимого количества ТО в смену.


планово необходимое количество ТО в смену;

 - коэффициент корректирования периодичности ТО и пробега до КР в зависимости от категории условий эксплуатации;

 - коэффициент корректирования в зависимости от модификации подвижного состава.

Такт поста.


 - такт поста (количество времени, необходимое для выполнения одного цикла ТО);

планово необходимое количество ТО в смену;

 - количество технологически необходимых рабочих в смене;

 определяется исходя из общей номенклатуры времени, необходимого для реализации подготовительного процесса и окончания готового продукта, принимаем 195 мин.

 

 - количество ТО на одном посту за рабочую смену;

 - продолжительность рабочей смены в минутах;

 - такт поста (количество времени, необходимое для выполнения одного цикла ТО);

Количество ТО на одном посту за рабочую смену принимаем равным 2

Ритм производства.


 - ритм производства;

- продолжительность смены;

 - количество ТО на одном посту за рабочую смену;

 количество ТО в сутки, принимаем равным 12;

Расчет количества универсальных постов.


 - количество универсальных постов;

 - такт поста (количество времени, необходимое для выполнения одного цикла ТО);

 - ритм производства;

- коэффициент, учитывающий производительность, принимаем 0,56

3. Организационная часть

.1 Подбор оборудования

Таблица 6

Наименование

Модель или тип

Количество

Универсальный комплект приспособлений для разборки и сборки узлов автомобиля

ПИМ-192

1 комплект

Большой набор инструментов

ПИМ-1514

2 комплекта

Съемник универсальный

СГ215

2

Динамометрическая рукоятка

131-М

2

Набор торцовых головок к динамометрической рукоятке


2

Сверла спиральные с цилиндрическим хвостиком

ГОСТ10902-64

5

Молоток медный

ПИМ 1468-17-370

3

Динамометр


1

Наждачная бумага


1м²

Средний набор инструментов

ПИМ 1515

2 комплекта

Напильники личнёвые плоские


3

Линейка металлическая

ГОСТ427-75

2

Щуп пластинчатый


1

Ключ для проверки и регулировки зазоров между электродами свечей


3

Ключ для свечей зажигания двухсторонний 16*21


4

Кисти большие волосяные


3

Штангенциркуль с двусторонними губками для наружных и внутренних измерений

ШЦ-166-73

2

Банка с маслом


2

Ножовочный универсальный станок

ИН524-68

1

Щетка стальная


3

Щетка волосяная

ГОСТ10597-80

3

Полотно ножовочное 300*13*0,8м

ГОСТ6645-68

7

Обжимка ручная для заклепок


1

Набор щупов№1 из 9 пластин

ГОСТ882-75

1

Масленка №1 емкость 0.25л.

ГОСТ1303-56

2

Электрическая дрель

С-480

1

Пистолет для обдува деталей сжатым воздухом

199

2

Пневматический гайковерт

ПИМ1763

2

Тиски слесарные

Т5

2


Таблица 7. Технологическая оснастка

Наименование

Модель или тип

количество

Набор инструментов

Металлист

6

Набор отверток

Stanley Fat Max

6

Пневматический гайковерт

YearsWay AIWK02173

6

Универсальный комплект съёмников и приспособлений для разборки и сборки узлов автомобиля

УКАСП-58, ПИМ-192

6

Набор напильников

Fit

6


Таблица 8. Технологическое оборудование и оснастка для участка диагностики двигателя

Наименование

Тип модели

Количество

Размеры в плане, мм

Общая площадь, м²

Осмотровая канава


5

7000*1200

42

Ванна для мойки деталей


1

2000*875

1.75

Стеллаж


6

1500*750

5.625

Компрессор воздушный






Р641

2

570*650

0,74


КС-27601

1

750*800

0,6

Верстак 2 -тумбовый

ВС-2

1

1500*650

0,975

Верстак 1-тумбовый

ВС-1

1

1300*740

0,96

Моечная установка

196М

1

1140*690

0,78


VALEX

1

450*260

0,11


Р-186

1

560*440

0,24

Противопожарный щит

ПШ

1

1300*500

0,65

Нагнетатель смазки

С322

4

470*540

1.01

Станок точильно-шлифовальный

ВЕ-116

1

513*670

0,34

Станок сверлильный

Р-175

1

500*280

0,14

Шкаф для одежды


2

800*500

0,8

Компрессометр

179

1

365*70

0,02*

Газоанализатор-тахометр

АТ 2110

1

200*300

0,06*

Тележка с набором инструментов

60-135

1

815*520

0,42

Ящик с песком


1

100*800

0,08*

Верстак слесарный

ВС-2(двух-тумбовый)

2

1400*800

2,24

Тиски

ТС

2

440*233

0,2*

Итого: 59.38 м


.2 Расчет необходимых производственных площадей

 кв м

-Площадь, занимаемая автомобилем =4330*1970=8.53кв м + рулёжное пространство

-Площадь, занимаемая автомобилем

-Сумма площадей, занимаемая оборудованием

-Коэффициент плотности расстановки оборудования.

.3 Краткая характеристика ремонтного участка

Принципиальной основой построения системы ТО и Р. являются:

) условия эксплуатации автомобилей;

) уровень надежности и качества автомобилей;

) организационно-технические ограничения.

ТО включает в себя 8-10 видов работ (смазочные, крепежные, регулировочные, контрольные, диагностические и др.) и более 150-280 контрольных объектов обслуживания, т. е. агрегатов, механизмов, деталей, требующих предупредительных воздействий.

Каждый узел, агрегат, соединение может иметь свою оптимальную периодичность ТО. Если следовать этим периодичностям, то автомобиль в целом практически непрерывно должен находиться на ТО каждого соединения, узла, что вызовет большие сложности с организацией работ и дополнительные потери рабочего времени, особенно на подготовительно-заключенных операциях. Поэтому после выделения из всей совокупности воздействий тех, которые должны выполняться при ТО и определенной оптимальной периодичности каждой операции, производят группировку операций в виде ТО. Это дает возможность уменьшить число группировок операций, неизбежно связанных с отклонением периодичности ТО отдельных операций.

.4 Техническое обслуживание автомобиля

В процессе эксплуатации автомобиля происходит ухудшение его технического состояния вследствие изнашивания трущихся поверхностей деталей, нарушения регулировочных параметров, старения резинотехнических изделий и других явлений. Для предупреждения неисправностей и повышения срока службы автомобиля он подвергается планово-предупредительному техническому обслуживанию, которое включает в себя смазку, проверку и регулировку узлов автомобиля через определенный пробег. Периодичность технического обслуживания и наименование работ приведены в таблице.

Таблица 9

№ п/п

Периодичность тыс. км



4

19

45

60

75

1

Проверить наличие сколов, трещин и очагов коррозии лакокрасочного покрытия кузова, повреждений мастики арок колес и днища; работу замков дверей, капота и крышки багажника

+





2

Проверить состояние элементов передней и задней подвесок, их резиновых и резинометаллических шарниров, втулок и подушек; состояние шарниров рулевых тяг и их защитных колпачков; защитных чехлов рулевого механизма, приводов колес, шаровых пальцев, состояние шарниров и защитных чехлов тяги переключения передач и реактивной тяги; состояние защитных чехлов направляющих пальцев переднего тормоза

+





3

Проверить герметичность уплотнений узлов и агрегатов

+

+


+


4

Проверить герметичность систем охлаждения, питания и гидравлического привода тормозов, состояние шлангов и трубок

+





5

Проверить люфт рулевого колеса

+





6

Проверить уровень охлаждающей жидкости

+





7

Проверить состояние и натяжение ремня привода генератора

+





8

Проверить уровень и плотность электролита аккумуляторной батареи

+





9

Проверить работу генератора, освещение, световую и звуковую сигнализацию, контрольные приборы, отопитель, стеклоочистители, омыватели, обогрев заднего стекла, электропривода наружных зеркал, обогрева передних сидений

+





10

Проверить работу системы зажигания

+





11

Наличие посторонних стуков и шумов двигателя, сцепления, коробки передач и валов привода передних колес; четкость переключения передач

+





12

Проверить ход педали сцепления


+




13

Проверить эффективность работы передних и задних тормозов

+





14

Проверить уровень масла в коробке передач

+





15

Проверить регулировку стояночного тормоза и свободный ход педали тормоза


+




16

Проверить работоспособность вакуумного усилителя тормозов



+



17

Проверить работоспособность регулятора давления тормоза


+




18

Проверить уровень тормозной жидкости

+





19

Подтянуть крепления агрегатов, узлов и деталей шасси и двигателя


+




20

Отрегулировать натяжение зубчатого ремня привода механизма газораспределения

+





21

Заменить воздушный фильтр


+


+


22

Отрегулировать зазоры клапанов



+



23

Отрегулировать обороты холостого хода с контролем токсичности отработавших газов

+





24

Заменить масляный фильтр и масло в картере двигателя

+





25

Заменить масло в коробке передач Заменить охлаждающую жидкость





++

26

Зачистить и смазать клеммы и зажимы аккумуляторной батареи


+




27

От балансировать колеса и переставить по схеме. Отрегулировать углы установки передних колес


++




28

Заменить зубчатый ремень привода механизма газораспределения





+

29

Заменить свечи зажигания новыми


+




30

Зачистить коллектор стартера, проверить износ и прилегание щеток, очистить и смазать детали привода стартера



+



31

Зачистить контактные кольца генератора, проверить износ и прилегание щеток




+


32

Проверить состояние колодок передних тормозов

+





33

Проверить состояние колодок задних тормозов


+




34

Заменить тормозную жидкость



+



35

Отрегулировать направление световых пучков фар



+



36

Промыть и продуть детали карбюратора и топливного насоса. Проверить и при необходимости отрегулировать уровень топлива в поплавковой камере


+




37

Заменить фильтр тонкой очистки топлива


+


+


38

Смазать трущиеся участки ограничителя открывания дверей, шарнир и пружину крышки люка топливного бака, замочные скважины дверей и крышки багажника


+




39

Смазать петли дверей

+





40

Прочистить дренажные отверстия дверей и порогов

+





41

Заменить датчик концентрации кислорода





+

42

Очистить и промыть детали системы вентиляции картера




+



Регулярно через каждые 500-600 км пробега (или перед каждым выездом) проверяем уровни масла в картере двигателя, охлаждающей жидкости в расширительном бачке, тормозной жидкости в бачке гидропривода тормозов, электролита в аккумуляторной батарее, а также давление воздуха в шинах.

Уровень масла в картере двигателя необходимо проверять на холодном неработающем двигателе. Уровень должен находиться между рисками "MIN" и "МАХ" указателя.

Замена масла проводится на теплом двигателе. Для слива отработавшего масла необходимо отвернуть пробку в поддоне картера.

Масляный фильтр меняют, отвернув его с блока цилиндров. Перед установкой нового масляного фильтра его уплотнительное кольцо смазывают моторным маслом. Новый фильтр завертывают до касания уплотнительного кольца блока цилиндров, а затем усилием рук доворачивают его на 3/4 оборота или 14Нм(1.4 кг-м).

Уровень тормозной жидкости должен доходить до нижней кромки заливной горловины.

Одновременно следует проверить исправность работы датчика аварийного уровня. Для этого необходимо нажать сверху на центральную часть защитного колпачка. При этом в комбинации приборов должна загораться контрольная лампа, если включено зажигание.

Контрольная лампа сигнализации аварийного состояния рабочей тормозной системы загорается, когда уровень жидкости в бачке опустился ниже метки "MIN", что при частично изношенных или новых накладках колодок тормозных механизмов говорит о потере герметичности системы и об утечке жидкости. Доливка жидкости в этом случае проводится только после восстановления герметичности системы.

Если гидропривод тормозов исправен, понижение уровня жидкости в бачке связано с износом накладок колодок тормозных механизмов. Понижение уровня жидкости до метки "MIN" косвенно свидетельствует об их предельном износе

Проверяя техническое состояние тормозов, предварительно очищают передние и задние тормоза от грязи, промывают теплой водой и высушивают сжатым воздухом. Не допускается при этом применять любые минеральные растворители, так как они могут вызвать повреждение защитных колпачков и уплотнителей гидравлических цилиндров.

Загрязненные накладки колодок, диски и барабаны очищают металлической щеткой и промывают моющими средствами. Если на накладках обнаруживаются следы тормозной жидкости, необходимо найти и устранить причины ее появления. Во время технического обслуживания оберегайте тормозные колодки, диски и барабаны от попадания на них масла или смазки.

Уровень охлаждающей жидкости в расширительном бачке должен быть всегда на 25-30 мм выше риски "MIN". Проверку уровня и открытие пробки бачка для доливки жидкости проводите только на холодном двигателе. После доливки жидкости пробка бачка должна быть плотно завернута, так как расширительный бачок при работающем и прогретом двигателе находится под давлением.

В крайнем случае, в систему охлаждения можно добавлять дистиллированную воду. Но при этом температура замерзания смеси повышается и снижается коррозионная стойкость алюминиевого радиатора. Поэтому при первой же возможности необходимо выполнить ремонт системы и залить в нее охлаждающую жидкость.

Давление воздуха в шинах, включая запасное колесо, проверяется манометром.

Если наблюдается постоянное падение давления воздуха в шине, проверьте с помощью мыльного раствора, нет ли утечки воздуха через золотник вентиля. В случае утечки воздуха доверните золотник ключом на конце колпачка, а если это не поможет, замените его новым. Если давление падает при исправном золотнике, то используя специальный герметик, прикладываемый к автомобилю, отремонтируйте шину. Чтобы избежать повреждения герметизирующего слоя закраины шины, демонтаж и монтаж ее проводите с помощью специального приспособления или на шиномонтажном станке в ремонтной мастерской.

Чтобы не нарушить балансировку колеса, перед разбортовкой сделайте отметку мелом на шине против вентиля, а при монтаже установите шину по этой метке.

После установки новых шин обязательно от балансируйте колеса на предприятии технического обслуживания.

При эксплуатации автомобиля с бескамерными шинами избегайте притирания колес к бордюрам дорог и быстрой езды по дорогам с нарушенным покрытием (выбоины, ухабы и т.п.), так как повреждение обода колеса может вызвать потерю герметичности шины и дисбаланс колеса. При

появление вибраций во время движения, необходимо проверить качество балансировки колес.

3.5 Разработка технологического процесса операций

Представляет собой сложную комплексную задачу, для которой характер намного вариантность возможных решений. Выбор наилучшего решения для конкретных условий является важным условием повышения эффективности производства и его совершенствования. Выбранный оптимальный вариант технологического процесса должен быть осуществим в конкретных условиях производства в кратчайшие сроки с минимальными потерями материальных и трудовых ресурсов, и обеспечить в дальнейшем минимальную трудоемкость и себестоимость, при стабильном высоком уровне качества продукции. Выбранный вариант технологического процесса должен соответствовать высокой категории уровня с технически обоснованными средствами автоматизированных систем управления производством. При разработке технологического процесса на изделия используются следующие данные:

§   рабочие чертежи изделия и его деталей;

§   технические условия, нормы точности и другие данные, характеризующие служебное назначение деталей, требования к деталям и их поверхностям;

§   программа, количество деталей, изготавливаемых в единицу времени;

§   условия, в которых будет осуществляться разрабатываемый технологический процесс: имеющееся оборудование, площади, транспортные средства, контрольные приборы и т.п.;

§   стандарты и нормали на полуфабрикаты, материалы и комплектующие изделия;

§   типовые технологические процессы и режимы на детали, и аналогичные изделия;

§   техническая характеристика оборудования, режущего инструмента и оснастки;

§   справочные и руководящие материалы по перспективной технологии и новым материалам.

При разработке технологических процессов на механическую обработку заготовок рационально руководствоваться следующей последовательностью:

§   наметить рациональную последовательность обработки поверхностей заготовок, выявить возможность одновременной их обработки, установить технологические базы, оценить возможности их использования;

§   определить вид оборудования, обеспечивающего получение детали из заготовки требуемой точности с минимальной затратой, труда;

§   определить количество необходимых проходов и переходов;

§   выяснить возможность совмещения переходов;

§   уточнить технологические базы, намеченные для использования на каждом виде оборудования;

§   определить необходимую оснастку для выполнения каждой технологической операции, установить требования к оснастке и возможность использования имеющейся;

§   рассчитать межпереходные размеры и допуски заготовок по всем показателям точности для самоконтроля рабочего;

§   разработать другие возможные варианты механической обработки заготовок или получения детали другими методами, составить калькуляцию технологической себестоимости по укрупненным данным для каждого варианта; обосновать выбор оптимального варианта;

§   оформить технологическую документацию;

§   разработать техническое задание на конструирование нетиповых приспособлений и режущего инструмента и т. п.

Типизация и стандартизация технологических процессов позволяет сократить сроки технологической подготовки и трудоемкость оформления документации в 2-3 раза. При этом исключаются возможные ошибки технолога в оценке анализируемых вариантов технологического процесса. Стандартизация технологических процессов включает решение комплекса производственных задач, связанных с технологией, планированием, организацией и экономикой производства. При стандартизации обеспечивается единство методики проектирования технологических процессов, сокращается многообразие возможных вариантов, создаются условия для механизации и автоматизации, гарантируется стабильность качества продукции.

4. Охрана труда

Инструкция по охране труда для работников автотранспортного предприятия

1. Общие требования охраны труда.

1.1. Настоящая инструкция разработана для автотранспортного предприятия.

.2. Работник предприятия допускается к самостоятельной работе после прохождения:

.2.1. Вводного инструктажа по охране труда.

.2.2. Первичного инструктажа на рабочем месте, проведённого руководителем структурного подразделения, службы или участка, производителем работ или мастером.

.2.3. Обучения безопасным методам работы в течение 1-2 дней (или смен).

.2.4. Обучения элементарным правилам электробезопасности, проверки знаний с присвоением квалификационной I группы по электробезопасности.

.3. Проверка знаний настоящей инструкции для работников предприятия проводится один раз в год.

.4. Работник предприятия обязан выполнять свои должностные обязанности, работать по заданию своего руководителя, соблюдать дисциплину труда, своевременно и точно выполнять распоряжения руководства, требования по охране труда и правил безопасности, бережно относиться к имуществу предприятия.

.5. Работник предприятия, эксплуатирующий электрооборудование при выполнении трудовых обязанностей должен:

.5.1. Знать основные меры предосторожности по охране труда, соблюдать организационно-технические меры при выполнении работ (знание настоящей инструкции; применение средств защиты; исправность питающей линии подключения - перегибы, оголённые участки, места смятия; использование инструмента с изолированными ручками, проверка подключения заземления и зануления).

.5.2. Иметь элементарное знакомство с эксплуатируемой электроустановкой (инструкция по эксплуатации, место подключения электроустановки в распределительном устройстве, входной рубильник, принципиальную электрическую схему трассы подключения и так далее).

.5.3. Иметь отчетливое представление об опасности электрического тока и опасности приближения к токоведущим частям (опасное напряжение, опасная сила тока, классификация помещений по электробезопасности, величина сопротивления заземления).

.5.4. Иметь практические навыки оказания первой доврачебной помощи пострадавшим от электротока.

.6. За нарушение требований настоящей инструкции, относящейся к выполняемой им работе, работник несёт ответственность в соответствии с действующим трудовым, и административным законодательством.

.7. О каждом несчастном случае, связанном с производством, пострадавший или очевидец должны немедленно сообщить соответствующему руководителю. Руководитель должен организовать первую помощь пострадавшему, его доставку в лечебное учреждение, сообщить инженеру по охране труда и технике безопасности и сохранить для расследования обстановку на рабочем месте и состояние оборудования таким, какими они были в момент происшествия, если это не угрожает здоровью и жизни окружающих работников и не приведёт к аварии.

. Требования охраны труда перед началом работы при работе с электрооборудованием.

.1. Работник перед началом работы с электрооборудованием должен провести:

осмотр электрооборудования;

проверку комплектности и надежности крепления деталей;

проверку внешним осмотром исправности кабеля (шнура);

проверку четкости работы выключателя;

использовать только штатные приспособления.

.2. Работник обязан доложить руководителю при обнаружении дефектов в электрооборудовании и не эксплуатировать неисправное электрооборудование.

.3. Включение электрооборудования производить вставкой исправной вилки в исправную розетку для бытовых приборов.

.4. Работник во время работы с электрооборудованием обязан поддерживать порядок на рабочем месте.

.5. При работе с электрооборудованием запрещается:

оставлять включенное электрооборудование без надзора;

передавать электрооборудование лицам, не имеющим право работать с ним;

ударять по электрооборудованию;

снимать средства защиты;

дергать за подводящий провод для отключения;

держать палец на выключателе при переносе электрооборудования;

натягивать, перекручивать и перегибать подводящий кабель;

ставить на кабель (шнур) посторонние предметы;

допускать касание кабеля (шнура) с горячими или теплыми предметами

.6. Работник обязан выполнять с электрооборудованием только ту работу, для которой предназначено электрооборудование.

.7. Если во время работы обнаружится неисправность электрооборудования или работающий с ним почувствует хотя бы слабое действие тока, работа должна быть немедленно прекращена и неисправное электрооборудование должно быть сдано на проверку или в ремонт.

.8. Отключение электрооборудования необходимо производить:

при перерыве в работе;

при окончании рабочего процесса.

.9. Работник должен отключить электрооборудование, вынув исправную вилку из исправной розетки.

.10. Работник должен убедиться, что включение оборудования никого не подвергает опасности.

. Требования охраны труда во время работы.

.1. Работник во время работы ОБЯЗАН:

.1.1. Выполнять только ту работу, по которой он был проинструктирован, не допуская при этом спешки с учетом безопасных приёмов и методов работы.

.1.2. В течение всего рабочего дня содержать в порядке и чистоте рабочее место.

.1.3. Держать открытыми все вентиляционные устройства.

.2. Работнику во время работы ЗАПРЕЩАЕТСЯ:

.2.1. Допускать захламленность рабочего места бумагой в целях недопущения накапливания органической пыли: производить отключение питания во время выполнения активной задачи.

.2.2. Производить частые переключения питания.

.2.3. Включать сильно охлажденное (принесенное с улицы в зимнее время) оборудование.

.2.4. Производить самостоятельно вскрытие и ремонт оборудования.

. Требования охраны труда в аварийных ситуациях.

.1. Работник обязан во всех случаях обнаружения обрыва проводов питания, неисправности заземления и других повреждений электрооборудования, появления запаха гари немедленно отключить питание и сообщить об аварийной ситуации руководителю и дежурному электрику предприятия.

.2. При обнаружении человека, попавшего под напряжение, немедленно освободить его от действия тока путем отключения электропитания и до прибытия врача оказать потерпевшему первую медицинскую помощь.

.5. При возгорании оборудования отключить питание и принять меры к тушению очага пожара при помощи углекислого или порошкового огнетушителя, вызвать пожарную команду и сообщить о происшествии руководителю работ.

. Требования охраны труда после окончания работы.

.1. Привести в порядок рабочее место, для чего убрать инструменты, обрывки проводов и другой мусор.

.2. Сообщить своему непосредственному начальнику обо всех замечаниях, неисправностях аппаратуры и оборудования, выявленных в ходе работы.

.3. Снять спецодежду.

.4. Отключить электроэнергию.

. Требования охраны труда во время местной командировки.

.1. Работник, выполняющий свои обязанности в местной командировке, обязан:

при движении пешком необходимо выполнять правила дорожного движения для пешехода;

при отсутствии пешеходных мостов и тоннелей переходить автодорожные проезды по зеленому сигналу светофора по обозначенному переходу «зеброй»;

при отсутствии инженерных сооружений или светофоров, передвигаться по обочине автопроезда или по тротуару, оценив расстояние до приближающихся автомашин, переходить автопроезд по перпендикулярному направлению при отсутствии транспорта.

.2. Железнодорожные пути переходить по пешеходным тоннелям и мостам.

.3. При пользовании служебной машиной, оборудованной ремнём безопасности, работник обязан быть пристёгнутым им.

.4. Работник обязан производить посадку и высадку в служебную машину со стороны тротуара или обочины, посадка со стороны проезжей части возможна при условии, что это будет безопасно и не создаст помех другим участникам движения.

.5. Работнику при езде в служебной машине или другом транспортном средстве запрещается отвлекать водителя от управления транспортным средством во время движения автомобиля и открывать двери транспортного средства во время его движения.

.1 Санитарно-гигиенические факторы условий труда

Под санитарно-гигиеническими условиями труда понимается совокупность факторов воздействия на организм человека в производственных условиях. Проектирование оптимальных санитарно-гигиенических условий труда на рассматриваемом объекте направлено на обеспечение защиты организма рабочего от неблагоприятного воздействия окружающей среды, создание высокой работоспособности, повышение эффективности труда. Оптимальные и допустимые параметры по санитарно- гигиеническим факторам регламентируется СН-245-86.

Метеорологические условия определяются величинами температуры и влажности воздуха, скорости его движения. Помещения должны быть оборудованы вентиляцией, отоплением в соответствии со СНиП 11-33-75 и ГОСТ12.1.005-88

Таблица 10. Норма температуры и влажности в рабочей зоне

Холодный и переходный период года (температура ниже +10⁰С)

Теплый период года с (температура выше +10⁰С)

Температура воздуха, С

Относительная влажность, %

Температура воздуха, С

Относительная влажность, %

Оптимальная 17-19

Оптимальная 30-60

Оптимальная 20-23

Оптимальная 30-60

Допустимая 15-20 13-20

Допустимая  Не более 75

Допустимая 23

Допустимая 30-60

Условия освещенности. В производственных помещениях используется искусственное и естественное освещение. Оптимальная освещенность рабочих мест для комбинированной системы освещения составляет 200-500 лк, допустимая 150-200 лк.

Расчет искусственного освещения сводится к определению: количество ламп, типа светильников, высота подвесов светильников, размещение их по участку.

Определение единовременной мощности светильников:

Wосв=R*Fуч=20*271=5420 (Вт)

где R- норма расхода электроэнергии, Вт/м², эту величину при укрепленных расчетах принимают равной 15-20 Вт на 1 м² площади;

Fуч- площадь пола участка, м².

Количество ламп на участке рассчитывается по формуле:

n=

где Wламп - мощность одной лампы.

Освещенность на участке диагностики двигателя рассчитывается по нижеприведенной формуле и сравнивается с нормированной:

E==24,6

где F - световой поток каждой лампы, лм;

К - коэффициент запаса мощности, учитывающий снижение освещенности в процессе эксплуатации (1.3- 1.7)

Fуч - площадь пола участка, м².

n - количество ламп на участке ;

ŋ - коэффициент использования светового потока (0.2 -0.5)

Определение световой мощности ламп за год:

Wr=Wосв*Q=5420*2100=11382000 (кВт)

где, Q - продолжительность работы электрического освещения в течении года ( принимается в среднем 2100 ч)

Расчет естественного освещения:

Fок=Fуч*α =1425*0,3=81.3 (м²)

где, α - световой поток (для участка диагностики двигателя)

Примем для участка диагностики двигателя 4 окна высотой 2,4 м. и шириной 2 метра.

Расчет вентиляции.

При расчете вентиляции определяется необходимый воздухообмен, подбирают вентилятор и электродвигатель.

В зависимости от объема помещения и кратности воздухообмена определяем производительность вентилятора:

W=V*R= 700*4=41553 (м³/час)

где, R - кратность обмена воздуха

V - объем участка диагностики двигателя.

Расход воды, согласно нормативным данным, составляет: на хозяйственно - питьевые нужды - 40 литров на одного работающего в смену. Средний суточный расход воды на мойку полов составляет - 1 литр на 1 м² площади. На прочие нужды - 20% годового расхода на хозяйственно - питьевые нужды.

Qв=

где, Ряв - явочное количество рабочих на участке, зоне;

Fуч - площадь участка. зоны, м²;

Дрг - дни работы в году участка.

Защита от шума, ультразвука и вибраций.

Шум, ультразвук и вибрация ухудшают условия труда, способствуют возникновения травматизма, приводят к снижения качества ТО и ремонта автомобилей. Для защиты от шума предлагаю использовать стены и потолки с шумоизоляцией Пенофол.

Лучшая шумоизоляция стен создаётся при комбинированном способе использования шумоизоляционных материалов. Хороший эффект даёт слоистый материал, состоящий из твёрдого слоя - фольги и резины или пенополиэтилена.

Таким материалом является пенофол.

.2 Общие требования технической эстетике

Цель технической эстетики - создать благоприятную внешнюю обстановку, обеспечивающую безопасность труда, способствующую повышению качества ТО и ремонта, создающую хорошее настроение у работающих.

.3 Пожарная безопасность

На станциях обслуживания широко используются легковоспламеняющиеся продукты, пожароопасные вещества и материалы (бензин, керосин, ацетон, бензол, дизельное топливо, смазочные масла, ацетилен, лесоматериалы и др.) Все помещения СТО классифицируются по взрывной и пожарной опасности в соответствии со СНиП 2.09.02-85 и перечнем категорий производств по взрывной, взрывопожарной и пожарной опасности, классов взрывоопасных и пожароопасных зон по правилам устройства электроустановок, категорий и групп взрывоопасных смесей для предприятии автомобильного транспорта, утвержденным приказом министра автомобильного транспорта РСФСР в 1984 г.

Категорию А (взрыво-, пожароопасных) составляют помещения, к которых хранятся лакокрасочные материалы, баллоны с ацетиленом, сжиженным нефтяным газом, карбид кальция, растворители и жидкости с температурой вспышки паров до 28 °С включительно. На СТО это окрасочное (малярное) и краскоприготовительное отделения, газогенераторная, помещения для хранения газобаллонных автомобилей, ремонта приборов системы питания, зарядная электротранспортных средств (электрокаров, электропогрузчиков и т.п.), склады лакокрасочных материалов, топлива и смазочных материалов, баллонов с горючими газами (пропан-бутановой смесью, ацетиленом). Кроме того, к указанной категории относят посты технического обслуживания, текущего ремонта и диагностирования автомобилей.

К категории Б (взрыво-, пожароопасных) относят помещения, где технологический процесс связан с применением растворителей и жидкостей, температура вспышки паров которых составляет от 28 до 61 °С: окрасочное (малярное) и краскоприготовительное отделения, помещение для ремонта приборов системы питания, склады лакокрасочных материалов, топлива и смазочных материалов, насосная складов, склад наполненных кислородом баллонов.

К категории В (пожароопасных) относят помещения, где технологический процесс связан с применением жидкостей, температура вспышки паров которых выше 61 °С.; при наличии горючей пыли, нижний предел взрывоопасности которой более 65 г на 1 м3 объема воздуха в помещении; при наличии веществ, способных гореть только при непосредственном взаимодействии с водой, кислородом воздуха или друг с другом; при наличии твердых сгораемых веществ и материалов.

Это такие помещения, где расположены посты технического обслуживания и текущего ремонта автомобилей, диагностирования, хранения автомобилей, работающих на жидком топливе, отделения деревообработки, обойное, шиномонтажное, кислотное, склады двигателей и прочих агрегатов, запасных частей, если они хранятся в сгораемой таре и упаковке, шин, сгораемых материалов, инструментально-раздаточная и промежуточная кладовые, склад смазочных материалов и насосная склада. При этом масса сжиженного нефтяного газа в баллоне наибольшей вместимости не должна превышать 1,45 г на 1 м3 объема помещения;

- возможное поступление в помещение сжатого природного газа не должно превышать 1,1 г на 1 м3 свободного объема помещения;

- подготовительные, окрасочные и сушильные работы производятся в камерах, занимающих до 50% площади помещения, либо подготовительные работы, выполняются вне камер с применением негорючих жидкостей. При этом масса жидкости, хранящейся в небольшой емкости, не должна превышать: ксилола - 145,2, сольвента - 3,3, уайт-спирита - 95,65 г на 1м3свободного объема помещения;

Список литературы

1. Учебник: С.К. Шестопалов "Устройство, техническое обслуживание и ремонт легковых автомобилей".

. Учебник: В.М. Власов; С.В. Жанказиев; С.М. Круглов; В.А. Васильев; В.А. Зенченко; В.В. Майер; Н.А. Захаров; С.В. Елесен. "Теническое обслуживание и ремонт автомобилей".

. Учебник: Т.С. Туревский "Дипломное проектирование автотранспортных предприятий".

. Учебник: А.И. Яговкин "Организация производства технического обслуживания и ремонта машин".

. Учебник Светлов Михаил Васильевич «Техническое обслуживание и ремонт автомобильного транспорта. Дипломное проектирование».

Похожие работы на - Технологический проект зоны технического обслуживания автомобиля ВАЗ-2115

 

Не нашли материал для своей работы?
Поможем написать уникальную работу
Без плагиата!
Без нейросетей!