Современные особенности французских инвестиций
Введение
инвестиция товарооборот капитал
В последние годы экономические и политические отношения между Россией и
Францией развиваются крайне динамично, а инвестиционное сотрудничество
становится прочной базой для долгосрочного и успешного взаимодействия между
двумя странами.
Российско-французские отношения становятся более тесными, и число
совместных проектов растет с обеих сторон. Все крупнейшие французские
корпорации присутствуют на рынке России и рассматривают эту страну как одно из
основных стратегических направлений для инвестиций. Оставаясь одним из наиболее
динамичных рынков, Россия рассматривается французскими предпринимателями как
важный фактор развития экономики самой Франции.
Важно заметить, что Франция демонстрирует намерение укреплять франко-российское
сотрудничество, несмотря на ассиметрию политических, культурных и экономических
отношений. Так, в настоящее время Франция является пятым по величине
иностранным инвестором России, тогда как в 2010 году она занимала лишь 9 место.
К тому же, Франция стала вторым торговым партнером России в Европе, что не
может не демонстрировать положительную динамику их партнерства.
Нельзя не отметить, что Франция стала одной из первых стран, предложивших
России помощь в модернизации национальной экономики. Несмотря на определенные
проблемы с инвестиционным климатом в России, французские инвесторы активно
вкладывают свой капитал в высокотехнологичные сферы, что особенно важно для
процветания Российской экономики.
Инвестиции являются очень важной составляющей этих экономических
отношений между странами. Именно они формируют основу долгосрочного
сотрудничества Российской Федерации и Франции. Сегодня французские компании,
размещающие свои предприятия на территории России, настроены на длительные
проекты и стремятся к долгосрочному сотрудничеству с российскими компаниями.
Эти отношения отражают сотрудничество двух государств на
самом высоком уровне, а в первую очередь их реальную экономическую
взаимодополняемость.
Наличие определенных политических расхождений не мешает экономическому
сотрудничеству между Россией и Францией. Такое сотрудничество помогает
устранить или локализовать политические расхождения, способствуя, тем самым,
положительной динамике.
В работе будет проведен анализ текущего состояния инвестиционного сотрудничества
и определены возможные перспективы дальнейшего развития отношений между Россией
и Францией. Для этого будут рассмотрены инвестиционный климат в России в целом,
а также экономическое и торговое сотрудничество между странами за последние 8
лет. Отношения России и Франции в области инвестиций показывают, что Франция
занимает устойчивые позиции на российском рынке и их инвестиционное
сотрудничество развивается достаточно динамично.
Актуальность данного исследования состоит в том, что и Россия, и Франция
на данном этапе являются важными партнерами для каждой из стран. Таким образом,
детальный анализ их инвестиционного сотрудничества, и анализ возможных
перспектив дальнейшего развития их отношений поможет сделать вывод о том, какие
последствия будут иметь их дальнейшие действия и в какой мере они будут выгодны
для обеих стран.
Проблема исследования состоит в том, что Россия, имея огромный потенциал,
все же еще отстает от ведущих экономических держав, таких как Америка, Франция
или Германия. Однако, привлекаемые ей инвестиции, в частности из Франции, могут
в некоторой степени помочь стране не только сократить этот разрыв, но и
приобрести выгодного и сильного экономического, политического и торгового
союзника.
Предметом работы являются текущие тенденции французских инвестиций в
Россию, а тема диплома определяется разнообразием прямых иностранных инвестиций
из Франции в Россию.
Цель исследования - проанализировать потоки французских инвестиций в
Россиию и выявить возможные результаты и перспективы этого сотрудничества.
Таким образом, основными задачами данной работы являются:
исследовать российский инвестиционный климат в целом;
проанализировать развитие экономического и торгового сотрудничества между
Россией и Францией;
рассмотреть, как французские инвестиции влияют на экономику России;
разобрать диверсификацию французских инвестиций в Россию;
выделить основные проблемы, с которыми сталкиваются страны в ходе
инвестиционного сотрудничества;
сделать прогноз о возможных тенденциях развития этого сотрудничества;
Наконец, для того чтобы, выполнить поставленные задачи, использованы
следующие источники информации: Интернет, документы встреч франко-российских
представителей и глав государств, периодические издания и статистические
данные.
1.
Понятие иностранных инвестиций и их показатели
Российское
законодательство определяет иностранную инвестицию как «вложение иностранного
капитала в объект предпринимательской деятельности на территории Российской
Федерации в виде объектов гражданских прав, принадлежащих иностранному
инвестору…».
Прямая
иностранная инвестиция, согласно Федеральному закону «Об иностранных
инвестициях Российской Федерации» это «приобретение иностранным инвестором не
менее 10 процентов доли, долей (вклада) в уставном (складочном) капитале
коммерческой организации, созданной или вновь создаваемой на территории
Российской Федерации в форме хозяйственного товарищества или общества в
соответствии с гражданским законодательством Российской Федерации; вложение
капитала в основные фонды филиала иностранного юридического лица, создаваемого
на территории Российской Федерации; осуществление на территории Российской
Федерации иностранным инвестором как арендодателем финансовой аренды (лизинга)
оборудования…».
Иностранными
инвесторами могут являться как партнерства, так и физические и юридические
лица, а также международные организации и государства при заключении
международных соглашений.
Существует
несколько классификаций иностранных инвестиций в зависимости от активов, в
которые происходит приток капитала, в зависимости от формы собственности на
инвестиционные ресурсы, от характера использования инвестиций и в зависимости
от объекта вложения капитала.
В
зависимости от объекта вложения различают три основных вида иностранных
инвестиций: прямые, портфельные и прочие.
1.1 Прямые инвестиции
Прямые инвестиции, как определяет их Большой банковский словарь - это «капитальные вложения непосредственно в производство
какой-либо продукции, включающие покупку, создание или расширение фондов
предприятия (филиала), а также все другие операции, связанные либо с
установлением (усилением) контроля над компанией, независимо от ее юридической
формы, либо с расширением деятельности компании. П.и. обеспечивают инвесторам
фактический контроль над инвестируемым производством».
Основной целью приобретения прямых иностранных инвестиций
является получение максимальной прибыли от вложения средств в иностранные
предприятия, которые обеспечивают более высокий доход, чем в стране
происхождения иностранного капитала.
Существует несколько способов приобретения прямых иностранных
инвестиций, а именно:
· Создание иностранным инвестором компании
за рубежом «с нуля»;
· Покупка или поглощение предприятия
иностранного происхождения;
· Приобретения прав пользования природными
ресурсами, землей и так далее;
· Финансирование деятельности филиалов;
· Предоставление прав использования
иностранных технологий;
· Приобретение доли в уставном капитале
иностранной компании, которое дает возможность контроля деятельности
предприятия;
Что касается инвестиционных отношений России и Франции, то задачи,
поставленные странами, сходятся. Приоритетными стали сектора энергетики, а
также авиационная, космическая и транспортная промышленность, машиностроение,
авиация, космос, телекоммуникации, производственная кооперация и информационные
технологии. Всего в России насчитывается порядка 470 предприятий с участием
французского капитала.
1.2 Портфельные инвестиции
Портфельные инвестиции - вложение средств юридического или физического
лица в одну, несколько или множество видов ценных бумаг и других финансовых
инструментов, образующих единую совокупность для данного лица (портфель ценных
бумаг). Лицо, осуществляющее вложение в финансовые активы, называется
инвестором. Если инвестиции вкладываются группой инвесторов, объединенных по
определенным правилам, то последние выступают в качестве коллективного
инвестора.
Специализированные инвестиционные институты осуществляют управление
инвестициями. Банки, Финансовые компании, пенсионные взаимные фонды являются
институциональными инвесторами на рынках ценных бумаг и других рынках
капиталов, которые осуществляют инвестиции в ценные бумаги предприятий,
работающих в реальном секторе экономики.
К иностранным портфельным инвестициям относятся: иностранные акции и
облигации, высоколиквидные активы и наличность.
Основным отличием портфельных инвестиций от прямых иностранных инвестиций
является то, что первые не дают их владельцу право на осуществление контроля
над деятельностью иностранной компании. Владелец лишь получает доход в виде
дивидендов от своих капитальных вложений.
1.3 Прочие инвестиции
Прочие инвестиции - это те, которые не попадают под определение прямых
или портфельных. Они включают «кредиты иностранных финансовых организаций под
гарантию правительства страны-заемщика», а именно операции с наличностью,
займы, ссуды, торговые кредиты, займы правительств
иностранных государств, вклады в банки и так далее. Такой тип
иностранных инвестиций обычно занимает более 50% от общего объема инвестиций,
ввозимых в страну из-за границы.
Прямые, портфельные и прочие инвестиции являются главными показателями
инвестиционного климата в стране и определяют привлекательность страны для
деятельности иностранных агентов на ее территории. Таким образом, иностранные
инвестиции способствуют не только привлечению капитала и новых технологий в
государство, но и увеличивают его конкурентоспособность на мировом рынке.
2.
Инвестиционный климат в России
Инвестиционный климат является одной из наиболее обобщенных характеристик
инвестиционных процессов в России и является совокупностью различных
социально-экономических, политических, экологических, природных и других
условий, которые определяют объемы, темпы и масштабы инвестиционных вложений в
основной капитал страны.
По заявлению министра экономического развития Российкой Федерации Андрея
Белоусова, впервые «за последние пять лет Россия заняла шестое место в мире по
объему привлеченных прямых иностранных инвестиций, получив около 300 млрд.
долларов США». В 2011 году Россия стала девятой из двадцати ведущих мировых
стран, когда объем прямых иностранных инвестиций за год в стране составил 52
млрд. долларов США.
В последние годы (2011 - 2012) инвестиционное положение России стало
меняться к лучшему, но сейчас еще преждевременно считать эти улучшения
устойчивыми. Стремительное развитие экономики России невозможно без решения
целого ряда вопросов как регионального и отраслевого характера, так и
институционального и инструментального характера, которые являются
приоритетными направлениями современной инвестиционной политики, направленной
на обеспечение интеграции страны в мировую экономическую систему.
На данном этапе сложно сказать, является ли инвестиционный климат в
России благоприятным или нет, но сейчас деятельность правительства России
определяет судьбу создания полноценной рыночной экономики страны.
Хотя в последнее время наблюдается постепенное преобразование и усиление
инвестиционной деятельнсти в России, в абсолютном выражении общий объем
инвестиций явно не соответствует реальным потребностям экономики России в
ресурсах.
Согласно исследованию «Инвестиционный климат России 2012 года»,
проведенному компанией Ketchum Global Research and
Analytics совместно с Консультативным советом по иностранным инвестициям, где
приняли участие основные инвесторы Российской Федерации из ведущих стран мира,
были сделаны следующие основные выводы:
) Россия считается привлекательной страной для инвестиций;
2) Инвестиционный климат в стране улучшился по стравнению с 2007 годом;
3) Инвесторов в особенности привлекают в России природные ресурсы,
прибольность капиталовложений, российский потребительский рынок;
4) По сравнению с 2007 годом в 2012 большинство инвесторов полагают, что
Россия делает успехи в привлечении иностанных инвестиций (2007 год - 8%, 2012
год - 35%);
5) Ключевым фактором роста авторитета России как инвестиционного партнера
стало ее вступление во Всемирную Торговую Организацию. 84% опрошеных считают,
что членство России в ВТО поможет России привлечь еще большее количество
инвестовров;
Однако существуют и негативные факторы, которые затрудняют поток
иностранных инвестиций в Россию. Среди них можно выделить бюрократию, коррупцию
и недостаточное развитие инфраструктуры.
Так, из Таблицы 1 видно, что поступление иностранных инвестиций в Россию
имеет непостоянный характер. Самый низкий уровень поступлений за 8 лет был
зафиксирован в 2006 году (55,1 млрд. долларов США),
а самый высокий в 2011 году, когда объем вложений
достиг 190,6 млрд. долларов США. В 2012 году Российская Федерация привлекла на
свою территорию 154,57 млрд. долларов США в виде иностранных инвестиций, что на
29% ниже уровня предыдущего года. Однако, этот показатель является самым
высоким после 2011 года.
Таблица 1.
|
Поступление
иностранных инвестиций в Россию, млрд. долларов США
|
|
2005
|
2006
|
2007
|
2008
|
2009
|
2010
|
2011
|
2012
|
|
53,65
|
55,1
|
120,94
|
103,77
|
81,92
|
114,75
|
190,64
|
154,57
|
Что касается прогнозов на 2013 год, то они сильно разнятся. Goldman Sachs видит 2013 год благоприятным для вливания
иностранных инвестиций в страну, а банк Danske считает, что показатели будут не
столь привелкательными.
В 2013 году ожидается рост прямых иностранных инвестиций, так
как крупные международные компании начинают осознавать масштабы
потребительского рынка Российской Федерации. Предыдущие года уже показали
масштабный рост числа ведущих транснациональных компаний на территории страны.
Среди иностранных инвесторов появляется множество компаний среднего масштаба.
Однако, для того чтобы иметь возможность финансировать эти
инвестиции, российские компании должны будут в значительной мере увеличить
темпы роста.
Инвестиционный климат России стремительно улучшается и можно
предположить, что в 2013 году и в последующее время она станет еще более ценным
партнером в сфере привлечения иностанных инвестиций.
3.
Динамика абсолютного товарооборота и его структура
И Россия и Франция крайне заинтересованы в дальнейшем наращивании
торгово-экономического и инвестиционного взаимодействия. Их заинтересованность
подтверждается ростом объема российско-французского внешнеторгового оборота.
Несмотря на то, что в 2011 году, по данным российской таможенной
статистики, объем товарооборота снизился по сравнению с предыдущим годом на
3,53% и составил 21,8 млрд. долларов (2010 год - 22,6 млрд. долларов США),
российский экспорт в 2011 возрос на 33,3% до 12,1 млрд. долларов США, а импорт
вырос на 42,6% до 9,8 млрд. долларов США.
В 2012 году внешнеторговый оборот России с Францией был равен 24,3 млрд.
долларов США, что на 11,5% больше, чем этот же показатель прошлого года (21,8
млрд. долларов США в 2011 году). Экспорт из России во Францию в 2012 году
составил 12,04 млрд. долларов США (снизался на 0,54%), импорт - 9,12 млрд.
долларов США (упал на 2,92%).
По данным сайта Российской статистики, среднегодовой товарооборот между
Россией и Францией в период 2005 - 2012 годы характеризуется умеренным и
постоянным ростом. Снижение внешнеторгового оборота в 2009 году, скорее всего,
стало последствием мирового финансового кризиса, когда большинство экономик
были не в состоянии проводить ту же торговую политику, что и в прежние годы.
Однако в 2012 году внешнеторговый оборот между странами по сравнению с 2005
годом вырос почти в два раза.
Сегодня доля Франции на российском рынке составляет 4,35%, тогда как в
2011 она была 3,7% (экспорт - 3,2%, импорт - 4,4%). Французский экспорт растет
не столь высокими темпами, как у основных партнеров России, таких как Германия
и Италия. Тем не менее, наблюдаются положительные тенденции укрепления
сотрудничества между Россией и Францией, и обе страны намерены продолжать
усиливать свои связи в этой сфере.
Таблица 2. Товарооборот между Россией и Францией в период за 2005-2012
гг., млрд. долларов США
|
|
2005
|
2006
|
2007
|
2008
|
2009
|
2010
|
2011
|
2012
|
|
Оборот
|
9,80
|
13,50
|
16,50
|
22,20
|
17,20
|
22,60
|
21,80
|
24,30
|
|
рост, %
|
30,00
|
37,80
|
22,20
|
34,50
|
-22,50
|
31,40
|
-3,50
|
11,50
|
|
Экспорт
|
6,10
|
7,70
|
8,70
|
12,20
|
8,70
|
12,40
|
12,10
|
12,04
|
|
рост, %
|
38,00
|
25,60
|
13,10
|
40,50
|
-28,50
|
42,50
|
33,30
|
-0,54
|
|
Импорт
|
3,70
|
5,90
|
7,80
|
10,00
|
8,40
|
10,10
|
9,80
|
9,12
|
|
рост, %
|
19,00
|
59,60
|
32,50
|
29,00
|
-15,80
|
20,00
|
42,60
|
-6,94
|
|
Сальдо
|
2,40
|
1,80
|
0,90
|
2,20
|
0,30
|
2,30
|
2,30
|
2,92
|
В российских внешнеэкономических связях в 2011 году Франция занимала 9
место, а в 2012 стала занимать 5 место. Однако динамика развития их отношений
такова, что есть шансы на быстрое наверстывание этого отставания.
Существует специфика не только в российско-французских торговых
отношениях, но и в отношениях России с другими странами Европы. Наш экспорт
гораздо менее разнообразен по структуре и товарной фактуре, чем наш импорт. Это
негативно отражается на условиях торговли и движении цен на российский экспорт
и импорт, а именно на добавленной стоимости (Россия: сырьевые товары, Франция:
товары высокой степени обработки и т.д.). Данная ситуация связана с тем, что
существуют значительные различия в структуре экономик двух стран не в пользу
России. Уйти от этого не просто, однако определенные меры разрабатываются и
принимаются для сокращения этого разрыва.
3.1
Динамика
экспорта и импорта товаров
Значительную долю экспорта из России во Францию занимают минеральные
продукты, а также продукция химической промышленности. Затем идут металлы и
изделия из них, машины, оборудование, транспортные средства, древесина и
целлюлозно-бумажные изделия.
Доминирующими позициями французского импорта из России сегодня стали:
минеральное топливо, нефтепродукты, в основном дизельное топливо - 89,3% всего
объема (2010 г. - 88,8%), древесина, продукция химической промышленности - 4,5%
(2010 г. - 6,9%), машины, транспортные средства, оборудование - 2,6% (2010 г. -
1,2%), и др.
Французский экспорт в Россию в основном формируют: продовольственные
товары, сельскохозяйственное сырье, транспортные средства, машины и
оборудование, продукция химической промышленности (лекарственные средства,
парфюмерия, косметика, вакцины, сыворотки и т.д.), авиационная техника,
телефонные аппараты и др.
В 2012 году основную долю российского импорта составили: продукция
химической промышленности - 27,7% (2011 год - 32,2%), машины, оборудование,
транспорт - 54,3 % (2011 год - 46,5%), продовольственные и сельскохозяйственные
товары - 10,8% (2011 - 1,2%).
3.2 Динамика экспорта и импорта услуг
Что касается Франции, то в настоящее время она стоит на третьем месте в
мире после США и Великобритании по экспорту услуг. Торговать услугами на
мировом рынке Франция начала довольно давно. За 1985-2005 гг. удельный вес
услуг в общем объеме французского экспорта возрос вдвое - с 10% до 20%.
Основными направлениями экспорта нематериальной продукции являются туризм,
транспортные услуги и «другие корпоративные услуги».
Показатели России сильно отстают от тех же самых показателей Францци,
однако страны продолжают активно торговать услугами друг с другом.
Так, в Таблице 4 представлены данные по торговле услугами между двумя
странами в период с 2005 по 2012 год (данные представленны в млрд. долларов
США).
Таблица 4. Внешняя торговля Российской федерации услугами с Францией в
2005-2012 гг. (млрд. долларов США)
|
Импорт услуг
|
|
|
2005
|
2006
|
2007
|
2008
|
2009
|
2010
|
2011
|
2012
|
|
Всего
|
38,75
|
44,72
|
58,16
|
75,47
|
61,43
|
74,33
|
91,49
|
108,89
|
|
Старны ЕС
|
16,49
|
18,76
|
24,81
|
31,68
|
26,55
|
31,35
|
40,77
|
46,91
|
|
Франция
|
1,26
|
1,29
|
1,66
|
2,12
|
1,61
|
1,98
|
2,75
|
2,67
|
|
Экспорт услуг
|
|
|
2005
|
2006
|
2007
|
2008
|
2009
|
2010
|
2011
|
2012
|
|
Всего
|
24,97
|
31,10
|
39,26
|
51,18
|
41,59
|
45,12
|
58,04
|
62,69
|
|
Старны ЕС
|
9,94
|
11,97
|
15,42
|
20,65
|
16,00
|
17,21
|
21,32
|
23,80
|
|
Франция
|
0,789
|
0,94
|
0,91
|
1,16
|
0,89
|
1,04
|
1,00
|
1,14
|
По данным таблицы нельзя не заметить, что с каждым годом происходит рост
как импорта, так и экспорта услуг в торговле между двумя странами. Это еще раз
доказывает растущее сотрудничество и улучшение торговых отношений между Россией
и Францией. Конечно, в торговле услугами друг с другом Франция опережает
Россию, и это не удивительно. Однако эти показатели не столь разнятся, и есть
основания полагать, что Россия в скором времени сможет конкурировать с Францией
по производству и экспорту своих услуг.
3.3 Движение капитала
Сотрудничество между Россией и Францией становится все более и тесным в
основном благодаря инвестициям в экономику России, а также конференциям,
посвященным экономическому обмену между странами.
Торгово-экономическое сотрудничество основано на постоянном диалоге между
Москвой и Парижем. Доказательством стабильности этого диалога является то, что
Франция является одним из десяти крупнейших партнеров России.
Во время подведения итогов сессии российско-французской комиссии по
двустороннему сотрудничеству в 2011 году Владимир Путин заявил, что Россия
интенсивно поддерживает коммерческие и экономические связи, которые активно
развиваются. В 2011, году обмен возрос на 34% за период с января по сентябрь. В
феврале 2013 года во время пресс-конференции по итогам переговоров с
Президентом Франции Владимир Путин отметил стратегическую важность
франко-российского партнерства и необходимость еще более тесного экономического
и политического сотрудничества между странами. Также он добавил, что
взаимоотношения между странами весьма разнообразны: страны сотрудничают в сфере
энергетики, космоса, транспорта, инфраструктуры, авиации и даже в
военно-технической сфере. Французские вложения присутствуют практически во всех
отраслях экономики Российской Федерации.
Важно отметить, что французский капитал представлен на 470 российских
предприятиях, а общее число накопленных французских инвестиций в нашу страну
составило более 9 миллиардов долларов США. Этот показатель меньше аналогичного
показателя Германии, однако, нельзя не отметить масштабность капиталовложений
со стороны Франции. За последние 10 лет Франция увеличила свой экспорт в Россию
в пять раз.
Что касается торговли, то, несмотря на увеличение оборота, обе страны
выразили озабоченность по поводу дисбаланса в структуре торговли. Франция
продает России в основном промышленную продукцию, тогда как сырье, прежде всего
топливо и первичное сырье, Россия поставляет во Францию.
Для поддержания длительных партнерских отношений с Россией, французское
бизнес-сообщество хочет инвестировать в крупные проекты строительства и
модернизации в России, заявил премьер-министр Франсуа Фийон осенью 2011 года во
время заседания межправительственной комиссии по сотрудничеству между Францией
и Россией.
Французские компании уже довольно давно действуют на территории России, и
они хорошо осведомлены о трудностях и проблемах российского бизнеса и
экономической ситуации в стране в целом. Однако практически все остаются на
российском рынке, а значит, они видят очевидные преимущества в ведении бизнеса
именно в Российской Федерации. Это обстоятельство дает основание полагать, что
двустороннее франко-российское деловое сотрудничество имеет хорошие
перспективы.
Франция сильно заинтересована в инвестировании в такие крупные российские
проекты как совместная программа «Союз», создание совместных самолетов «МС-21»
и «Сухой Суперджет-100», разработка технологического парка «Сколково», альянс
«Рено-Ниссан» и Автоваз, сотрудничество с Францией в области атомной энергетики
и другие. Французский бизнес также особо заинтересован в крупных
инфраструктурных российских проектах (строительство газотранспортных систем,
строительство спортивных объектов для зимней Олимпиады в Сочи 2014 года,
чемпионат мира по футболу в 2018 году и так далее).
Владимир Путин выразил уверенность, что финансовый кризис в Европе и
долговые проблемы Франции не помешают Франции продолжать активно развивать
отношения с Россией.
Программа развития российско-французского партнерства в области
модернизации была подписана в 2011 году. Ее реализация будет способствовать
укреплению сотрудничества в области высоких технологий, а также развитии
инновационных проектов с высокой добавленной стоимостью. Французские
предприниматели особенно заинтересованы в инновационном проекте технополиса
Сколково. «Цель проекта - формирование благоприятных условий для инновационного
процесса: ученые, конструкторы, инженеры и бизнесмены совместно с участниками
образовательных проектов будут работать над созданием конкурентоспособных наукоемких
разработок мирового уровня в пяти приоритетных направлениях». В рамках проекта
были подписаны также соглашения с ЕАДС (Европейский аэрокосмический и оборонный
концерн) и Альстом.
Создание совместного центра по энергоэффективности является знаменательным
событием 2011 года. Здесь приоритет отдается энергоэффективности в модернизации
экономики РФ. Россия считает необходимым снизить к 2020 году энергоемкость ВВП
на 40%. Важно также создать соответствующие инструменты. Этот центр является
одним из первых проектов в данной области. Множество французских компаний уже
развернули свою деятельность в России в области энергоэффективности и
использования возобновляемых источников энергии в промышленности, а также
строительстве и переработке отходов. Эта компания должна реализовывать проекты
в России с использованием французских технологий. Основатели центра в России
надеются, что технологии, разработанные в России, будут применены также и во
Франции.
Границы русско-французского сотрудничества в последнее время значительно
расширились. Так, конференции по вопросам денежно-кредитных и финансовых
проблем были проведены поочередно в обеих странах. Уфа, столица Башкортостана,
объявила год Фрации, а Тулуза стала посредником. Эксперты из обеих стран
рассматривали проблемы и перспективы валютно-финансовых рынков, актуальные
проблемы экономики России и Франции. Форум "Государственно-частное
партнерство в развитии региональной инфраструктуры и муниципалитета" стал
важным событием, в котором приняли участие более 400 делегатов, представителей
органов власти разных уровней, бизнесмены и эксперты.
Для развития и укрепления франко-российских экономических связей был
создан Российско-Французский совет по экономическим, финансовым, промышленным и
торговым вопросам, в 2012 году - Российско-Французский деловой совет. В ходе
рабочего визита Президента Франции Олланда в Россию были подписаны следующие
основные документы:
1) Декларация о намерениях по созданию партнерства
между Ассоциацией инновационных регионов России (АИРР) и Регионом Прованс -
Альпы - Лазурный берег;
) Декларация о намерениях между Республикой
Татарстан (Российская Федерация) и Региональным советом Региона Прованс - Альпы
- Лазурный берег (Французская Республика);
) Лицензионное соглашение о совместном использовании
технологий между открытым акционерным обществом «Ракетно-космической
корпорацией «Энергия» имени С.П. Королева», обществом с ограниченной
ответственностью «Энергия Спутниковые Технологии» и компанией Астриум;
) Меморандум о взаимопонимании между Российским фондом
прямых инвестиций (РФПИ), государственной корпорацией «Внешэкономбанк» и
французским государственным банком развития «Депозитно-сберегательная касса» о
поощрении взаимных инвестиций;
) Соглашение о намерениях по созданию международного
центра высокоскоростных железнодорожных и скоростных транспортных систем между
открытым акционерным обществом «Российские железные дороги», Национальной
компанией французских железных дорог (СНСФ), Московским государственным
университетом путей сообщения и Национальной школой мостов и дорог и
Консерваторией искусств и ремесел;
) Арендный договор о предоставлении Французскому
лицею имени А.Дюма в Москве дополнительного земельного участка;
) Договор о совместной деятельности по созданию
инжиниринговой компании по проектированию и строительству «под ключ»
нефтеперерабатывающих, нефтехимических и газохимических производств в России
между закрытым акционерным обществом «Ростехэкспорт» и компанией «Текнип»;
) Меморандум о взаимопонимании между Государственной
корпорацией по содействию разработке, производству и экспорту
высокотехнологичной промышленной продукции «Ростехнологии» и компанией
«Текнип»;
) Арендный договор о предоставлении Французскому
лицею имени А.Дюма в Москве дополнительных помещений;
) Меморандум о намерениях между федеральным
государственным бюджетным учреждением «Эндокринологический научный центр» и
акционерным обществом «Санофи-авентис груп»;
) Соглашение о создании совместного предприятия
между открытым акционерным обществом «Информационные спутниковые системы имени
академика М.Ф. Решетнева» и компанией «Талес Аления Спейс Франс»;
Говоря о российско-французском сотрудничестве, можно констатировать в
целом положительную динамику их взаимоотношений. Масштабные двусторонние
проекты реализуются во всех основных отраслях производства товаров и услуг,
таких как энергетика, автомобилестроение, транспорт, инфраструктура и так
далее.
Обе страны стараются углубить и увеличить диверсификацию делового
сотрудничества между странами, чтобы дать возможность Франции еще более
укрепить свои позиции на Российском рынке. А этот факт, в свою очередь, сможет
помочь России оптимизировать число капиталовложений во Францию, число которых
продолжает оставаться весьма и весьма неудовлетворительным.
4.
Диверсификация французских инвестиций в Россию
Сотрудничество между Россией и Францией становится более тесным в
основном благодаря инвестициям в российскую экономику. Как уже говорилось
ранее, Франция является одним из наиболее крупных российских партнеров и в
настоящее время является пятым по величине иностранным инвестором в Российской
Федерации.
Тесное сотрудничество между российскими и французскими компаниями в
области инноваций может помочь не только России, но и Франции добиться большей
конкурентоспособности на международном рынке.
Что касается приоритетов двустороннего сотрудничества в области передовых
технологий, следует отметить, что, в принципе, задачи, поставленные Россией и
Францией, сходятся. Совместная декларация о партнерстве для модернизации,
подписанная сопредседателями CEFIC в 2011 году является тому доказательством.
Приоритетными стали, прежде всего, сектора энергетики, а также авиационная,
космическая и транспортная промышленность, машиностроение, авиация, космос,
производственная кооперация и информационные технологии.
Эти отношения воплощают взаимосвязь двух государств на самом высоком
уровне. В первую очередь, они отражают реальную экономическую
взаимодополняемость и партнерство.
Сегодня, в нашей стране присутствуют более тысячи французских
предприятий, причем президент Ф. Олланд отметил необходимость привлечения не
только крупных компаний, но также и средних и мелких, а президент Российской
Федерации В. Путин его полностью поддержал. Приоритеты французского присутствия
на российском рынке остаются очень широкими.
В настоящее время, французские инвестиции в Россию практически достигают
отметки в 10 млрд. долларов США и присутствуют во всех основных сферах
деятельности, таких как: энергетика, космос, авиация, вооружение,
агропромышленный комплекс, инфраструктурные проекты, туризм и т.д.
4.1 Диверсификация французских инвестиций в Россию по структуре
По структуре иностранные инвестиции, как уже говорилось, делятся на
прямые, портфельные и прочие. Не удивительно, что прочих инвестиций в Россию из
Франции поступает больше, чем прямых или портфельных. Это объясняется тем, что
к прочим иностранным инвестициям относятся все те, которые нельзя отнести ни к
прямым, ни к портфельным.
Так, что касается прямых французских инвестиций в Российскую Федерацию,
то их число выросло в примерно 6 раз с 2005 по 2012 год (2005г. - 513,7 млн.
долларов США, 2012 - 3260 млн. долларов США). В период с 2005 по 2012 год
происходило едва заметное колебание в 2006 и 2009 годах, когда объем
накопленных прямых инвестиций снизился на 200 и 100 млн. долларов США
соответственно. Тем не менее, общая тенденция показывает довольно положительные
результаты. Они демонстрируют усиление инвестиционных отношений между Россией и
Францией за рассмотренные 8 лет.
Объем портфельных инвестиций, которые формируются в виде портфеля ценных
бумаг, остается на невысоком уровне (30 млн. долларов США в 2012 году).
Основной причиной сложившейся ситуации является то, что их стоимость намного
меньше, чем стоимость прямых или прочих инвестиций. Также, посчитать суммарный
объем приобретенных акций и облигаций достаточно сложно.
Прочие инвестиции включают в себя торговые кредиты, вклады в банки,
кредиты правительств государств и прочие кредиты. Они составляют большую часть
всех французских инвестиций в российскую экономику (6530 млн. долларов США в
2012 году). Также как и с прямыми инвестициями, количество прочих резко
сократилось в 2009 году из-за воздействия мирового финансового кризиса. В 2012
году происходит снижение вложений в прочие инвестиции по сравнению с 2011
годом, который стал пиком роста французских вложений (7076 млн. долларов США).
В целом динамика поступления французских инвестиций в Россию показывает
положительные тенденции. Более подробный статистический анализ поступления
инвестиций из Франции в Российскую Федерацию приведен в 4 Главе работы -
«Статистический анализ привлекательности России для французских инвесторов».
4.2 Диверсификация французских инвестиций в Россию по отраслям
Энергетика
Франция меньше зависит от российских энергоносителей, чем многие другие
страны Европейского Союза. Тем не менее, в каком-то смысле, в этом можно найти
и положительные стороны. Есть страны, которые испытывают сильную зависимость от
российских энергоносителей, и поэтому, Россия очень заинтересована в импорте.
Франция и Россия, как экспортеры, являются одновременно
взаимодополняемыми партнерами и конкурентами. Если речь идет о ядерных
носителях, то Франция и Россия, как правило, являются конкурентами на рынках
третьих стран при строительстве атомных электростанций. Это имеет место в
Индии, Китае. Вместе с тем, отношение России и Франции к ядерной энергетике в
принципе, сегодня, гораздо ближе, нежели с Германией после японской катастрофы.
Решительная ставка Франции на ядерную энергетику, несмотря на последствия
Фукусимы, остается в силе. Страны, будучи конкурентами при продаже своих
атомных станций, материалов и прочего, вместе с тем, являются партнерами и
имеют общие интересы в распространении и развитии ядерной энергетики.
Совместно с французскими партнерами госкомпания «Росатом» разрабатывает
реактор четвертого поколения на быстрых нейтронах. Влидимир Путин, президент
России, полагает, что такое объединение даст сильные конкурентные преимущества
как российским, так и французским атомным компаниям.
В том, что касается нефтегазового сотрудничества, то 18 ноября 2011 года
страны подтвердили важность контрактов в долгосрочной перспективе по поставкам
российского природного газа для сохранения стабильности энергообеспечения и
увеличение региональной энергетической безопасности.
Нефтепродукты, природный газ, сырая нефть, каменный уголь по итогам 2010
года составляют свыше 88% всех российских поставок во Францию.
Энергоэффективность является еще одной областью, богатые возможности для
сотрудничества. Русско-французский центр энергоэффективности начал вносить свой
вклад в реализацию конкретных проектов, направленных на модернизацию экономики
России, которая потребляет меньше энергии. В связи с этим 29 сентября 2011 года
в Париже была проведена конференция, объединяющая компании из обеих стран,
компетентных в этой области. Конференция «Французские ключевые технологии для
2015-2020 и франко-российское техническое сотрудничество в области
энергоэффективности» провела инвентаризацию лучших французских технологий,
приобретенных в разработке энергетических систем, возобновляемых источников
энергии, энергоэффективности в строительном секторе, переработке и утилизации
органических отходов. Есть основания думать, что в ближайшие годы мы увидим
появление совместных проектов в этих областях.
Автомобилестроение и машиностроение
По итогам 2012 года российский автомобильный рынок стал вторым по объему
в Европе. Такое преимущество российских компаний не может не привлекать
французские инвестиции в эту область. Так, например, совместное производство
автомобилей альянсом «Рено-Ниссан» и АвтоВаз уже приносит ощутимые и
положительные результаты. Французская компания имеет 25% (инвестиции в размере
350 миллионов долларов США) акций российского АвтоВаза. Также в 2012 году был
открыт завод «Пежо-Ситроен» по промышленной сборке автомобилей в Калужской
области. На российском рынке довольно успешно работают автозаводы «Автофрамос»,
выпуская ежегодно до 160 тысяч автомобилей под маркой «Рено» на территории
России.
Что касается атомного машиностроения, то успешно ведет свою деятельность
совместное франко-российское предприятие «Альстом-Атомэнергомаш», которое
производит тихоходные турбины для атомных электростанций. Компания «Альстом»
также участвует в совместном проекте с «Трансмашхолдинг» по строительству
железнодорожного подвижного состава в Российской Федерации. Эти две компании
основали новое предприятие по созданию локомотивов нового поколения. 200 новых
электровозов в 2013-2020 годах будут произведены для РЖД и обойдутся им в 1
млрд. евро.
Космос и авиация
Россия и Европейский Союз (не только Франция, как ведущая держава
Европейской Космической программы) конкурируют в производстве космического
оборудования для третьих стран. В то же время Франция и Россия являются
партнерами, даже в большей степени, чем Россия и Германия, в области
космической техники.
Успешное сотрудничество в одной из наиболее наукоемких областей
выражается в создании совместного франко-российского проекта «Союз», в
совместной разработке большого числа спутников, а также в четырех успешных запусках
российских ракетоносителей в Куру. В 2013 году планируются еще 6 таких
запусков.
ноября 2011 года главы правительств России и Франции выразили свое
удовлетворение ходом сотрудничества в сфере производства спутников связи,
космических исследований, а также создании Международной космической станции.
Они выступили за подписание «Меморандума о взаимопонимании» в рамках создания
совместного сотрудничества между ОАО «Информационные спутниковые системы им.
Решенева» и французской компанией «Thales Alenia Space France».
Та же ситуация обстоит и с авиационной техникой: в этих отраслях
экспортные интересы Франции и России иногда сталкиваются, но в большей степени
они все же совпадают. Страны сотрудничают в производстве многих комплектующих
частей для самолетов.
Союз авиапроизводителей России (САП) активно ведет переговоры с
Ассоциацией аэрокосмической промышленности Франции (GIFAS) особенно в сфере
малого и среднего бизнеса.
марта 2011 года в Париже состоялись переговоры между САП и GIFAS. Особое
внимание на этой встрече было уделено реализации 101 Поправки к приложению 8
«Летная годность воздушных судов» Конвенции ИКАО. Были также затронуты вопросы
по проведению заседаний рабочей группы СЕФИК в Ульяновске и вопросы
сотрудничества в сфере малого и среднего бизнеса в области авиастроения. В
результате этих переговоров было решено провести в рамках МАКС-2011
российско-французский круглый стол, где примут участие малые и средние
предприятия. Круглый стол состоялся 31 марта 2011 года. На нем было принято
решение о создании «контактной точки по сотрудничеству между малыми и средними
предприятиями в области авиастроения России и Франции». Это значит, что на
сайте Союза авиапроизводителей будет размещена информация, которая освещает
деятельность малых и средних предприятий двух стран для укрепления
сотрудничества в ходе разработки, производства и реализации авиационной
продукции.
В Париже Россия и Франция подписали Соглашение по поводу сотрудничества
российских и французских организаций в сфере экспортных продаж самолетов
«Sukhoi Superjet 100». Программа создания ближнемагистрального пассажирского
самолета уже реализуется, а общая французская доля в этом проекте составляет
более 30%, тогда как общая стоимость проекта - 1,5 миллиардов долларов США.
В области авиастроения был отмечен позитивный эффект от сотрудничества
между двумя странами. Этот эффект включает как рост поставок оборудования, так
и усиление партнерских отношений между научно-исследовательскими компаниями
России и Франции.
Структуры экспорта в области авиастроения и космической промышленности не
однозначны, но в целом у России они более примитивны. Тем не менее, будучи
отчасти конкурентами, страны остаются партнерами в целом ряде отраслей,
находящихся в авангарде инноваций и технического прогресса.
Вооружение
Продажа вооружения - это не только острополитический, но и важный
коммерческий вопрос. Здесь Россия, безусловно, является конкурентом Франции на
рынках третьих стан, но наши интересы взаимодополняются. Впервые в истории
НАТО, Франция продала России вертолет МИСТРАЛЬ, что явилось само по себе
символическим явлением.
Агропромышленный комплекс
На сегодняшний день, Россия выступает не только как чистый импортер, но и
как экспортер. Будучи третьим или четвертым экспортером зерна в мире, Франция
является второй после США по стоимости экспорта агропромышленной продукции,
первой в Евросоюзе. Россия является одним из крупных клиентов Франции в этом
отношении, но у стран есть определенные различия интересов в отношении экспорта
и импорта. Мы не экспортируем во Францию какие-то более ли менее значительные
объемы, но импортируем оттуда. Россия импортирует не просто продукцию, но и
технологии. В то же время, Франция является не просто продавцом своей
агропромышленной продукции в Россию, но к тому же, благодаря своим достижениям,
она способствует развитию этой сферы в Российской Федерации.
Инфраструктурные проекты
Россия и Франция всегда проявляли заинтересованность в осуществлении
инвестиционных проектов, которые основаны «на принципах государственно-частного
партнерства и высоких требованиях к экологическим стандартам». Особенно
заинтересовал инвесторов проект строительства автодороги
Москва-Санкт-Петербург. Этот проект является не единственным, где участвуют
французские компании. Россия также приветствует участие компании Винси в
конкурсе на заключение Оперативного контракта на платное использование участка
федеральной автомобильной дороги М-4 «Дон».
В железнодорожной сфере происходит довольно эффективное сотрудничество
между ОАО «Российские железные дороги» и Национальной железнодорожной компанией
Франции (СНСФ). Обе стороны решили, что будут сотрудничать в развитии железных
дорог России, и договорились сделать это направление одним из наиболее важных в
их двустороннем взаимодействии.
В сфере энергетики обе страны сотрудничают при создании и эксплуатации
газопровода «Северный поток» и «Южный поток». Французской компании GDF Suez
принадлежит 9% уставного капитала Nord Stream AG, строящей «Северный поток», а
компания EDF выкупила 15% акций компании при создании проекта «Южный поток».
Другим крупным франко-российским инфраструктурным проектом на территории
Российской Федерации стал основанный в июне 2012 года проект «по производству
сжиженного природного газа и строительству арктического порта Сабетта, через
который будет осуществляться транспортировка энергоресурсов по Северному
морскому пути», заявил В. Путин на встрече с представителями российских с
французских деловых кругов. Стоимость этого проекта - приблизительно 18-20
миллиардов долларов.
Французские предприятия хотят также и активно участвуют в таких крупных
инфраструктурных проектах как Олимпиада в городе Сочи в 2014 году и Чемпионат
мира по футболу, который пройдет в России в 2018 году.
Туризм
В этой области наблюдается довольно успешное взаимодействие, которое было
достигнуто в связи с заявлением, принятым 26 мая 2011 года, президентами России
и Франции о создании «туристического кластера на Северном Кавказе».
Франко-российская компания Международного Развития Кавказа, которая
отвечает за развитие туризма в регионе начала свою работу в феврале 2012 года.
В соответствии с соглашением между Россией и Францией, в 2012 году она должна
была привлечь до одного млрд. евро инвестиций.
Роль этого предприятия заключается в координации развития туризма на
Северном Кавказе. Среди задач компании значится также изучение проектов
строительства в регионе для того, чтобы адаптировать их к экологическим,
техническим, социальным и архитектурным стандартам.
Президенты России и Франции Дмитрий Медведев и бывший Президент Франции
Николя Саркози всячески одобряют двустороннее сотрудничество на Северном
Кавказе. На встрече в Довиле в мае 2010 года, главы государств отметили, что
развитие туризма в российском Кавказе является стратегическим приоритетом
франко-российских отношений.
В последние года Алтайский край стал одним из туристических центров
России. Для продвижения инфраструктурных проектов в регионе делегация
Алтайского края приняла участие в международной ярмарке инвестиционных проектов
в сфере коммерческой недвижимости «MIPIM». После этого в 2011 году между Французским институтом туризма и
Администрацией Алтайского края было подписано соглашение о сотрудничестве в
сфере туризма.
Таким образом, благодаря внушительному числу инвестиционных проектов со
стороны Франции, сотрудничество между двумя странами продолжает с каждым годом
крепнуть и приносить каждой стране свои преимущества, увеличивая их значимость
и конкурентоспособность на мировом рынке.
4.3
Диверсификация французских инвестиций в Россию по регионам
Географическая диверсификация французских инвестиций в Россию не столь
разнообразна как отраслевая. Однако инвесторы из Франции видят Россию страной с
большими перспективами, и с каждым годом число территорий, где они сотрудничают
с российскими компаниями открывают свои заводы, непрерывно растет.
Большинство французских инвестиций сконцентрировано на европейской части
Российской Федерации, а именно в Москве, Санкт-Петербурге и Московской области.
Ненецкий автономный округ также привлекает значительные объемы прямых
инвестиций из Франции благодаря нефтегазовому концерну Тоталь. Большая доля
инвестиций располагается в Рязанской области, Республике Татарстан и
Краснодарском крае.
Москва и Санкт-Петербург
Сегодня в Москве насчитывается более 150 организаций, где участвует
французский капитал. В 2011 году на столичный регион была направлена
значительная доля прямых французских инвестиций (Москва - 19,5%, Московская
область - 18,5%).
Так, в столице производится строительство железного подвижного состава
компанией «Трансмашхолдинг» при участии компании «Альстом», производятся
легковые автомобили компанией «Автофрамос». В Московской области открыт
комплекс по производству лекарств компанией «Сервье», образовано совместное
предприятие «Альстом-Атомэнергомаш», которое осуществляет свою деятельность в
области атомного машиностроения, а компания «Данон» производит там
кисломолочные продукты.
В 2012 году из Франции в Центральный Федеральный округ РФ поступило более
530,8 млн. долларов в виде прямых иностранных инвестиций (55% от общего числа прямых
иностранных инвестиций в этом году), в Московскую область - 146,3 млн. долларов
(15%), Санкт-Петербург - 3,6 млн. долларов (0,4%).
Ненецкий автономный округ
Согласно общероссийскому рейтингу Ненецкий автономный округ находится на
6 месте по инвестиционной привлекательности в России. В 2012 году объем
инвестиций на душу населения в регионе составил 680 тысяч рублей. Этот
показатель выше среднего по стране в 13 раз, заявил Игорь Федоров, губернатор
округа.
Такая концентрация французских инвестиций в Ненецком автономном округе
была достигнута в основном благодаря деятельности нефтегазового концерна
Тоталь, который участвует в разработке Харьягинского нефтяного месторождения.
Не считая ежегодных отчислений на социальные нужды, общая сумма вкладов компании
Тоталь в социальную сферу региона составляет около 6 млн. долларов. Доля
нефтегазового концерна в проекте составляет около 40% от общего капитала, тогда
как остальные инвесторы имеют не более 30% (норвежская компания StatioHydro).
Калужская область
Администрация Калужской области считается иностранными инвесторами одной
из наиболее гостеприимных в России. Они отмечают близость региона к Москве,
которая является главным рынком сбыта, а также квалифицированный и обученный
персонал с новыми идеями и желанием развиваться.
Здесь осуществляет промышленную сборку автомобилей концерн
«Пежо-Ситроен», открыли свои заводы Лореаль, Пежо, Лафарж.
Краснодарский край
Французские эксперты считают, что Краснодарский край является одним из
наиболее стабильных регионов России. На территории области постоянно проводятся
конгрессно-выставочные мероприятия, где участвуют французские инвесторы. К
таким мероприятиям относятся: Международный промышленный форум «ЮГАРО»,
Международный инвестиционный форум «Сочи» и другие. Краснодарский край стал
также постоянным экспонентом выставки коммерческой недвижимости в Каннах под
названием MIPIM (Le Marché International des
Professionnels de l’Immobilier).
В Краснодарском крае зарегистрированы 9 коммерческих компаний, в которых
участвует французский капитал (СП РФ ООО «БЕЛЬВЕДЕР-ЮГ», ЗАО «Еврофранс
Руссие», ООО «Старстрой», ООО «СИС ЕВРАЗИЯ», ООО «Майзадур Семанс Кубань», ООО
«Лимагрен РУ», ООО «Бондюэль-Кубань», ООО «МВК - СОЮЗ», ООО «КУБАНСКИЕ
КОНСЕРВЫ»), а также ряд организаций французского происхождения, разместивших
свои мощности на территории региона. Среди этих организаций следует отметить
Группу «Бондюэль», Компанию «Секаб» и «Шато ле Гран Восток». Группа «Гиоримекс» ведет свою деятельность по
обустройству и подготовке города Сочи к Зимним Олимпийским играм 2014. В апреле
2009 года был открыт информационный туристический центр в Красной поляне.
Что касается банковского сектора, то в Краснодарском крае представлены
банк «Сосьете Женераль Восток», «БНП Париба банк» и «Русфинанс Банк». Комании
ООО «Декатлон» (товары для спорта) и ООО «ОБИ» (товары для дачи) представляют в
Краснодарском крае потребительский сектор.
В качестве привлекательного места для французских инвестиций отдельно
следует выделить Северный Кавказ, где между российским и французским
правительствами было достигнуто соглашение по поводу строительства
туристического кластера в регионе. Французские компании оказались крайне
заинтересованы во вложении средств в этот проект.
Французские инвесторы вкладывают свой капитал в строительство гостиниц и
развитие инфраструктуры, а также в поставку горнолыжного оборудования. К тому
же, они планируют вложить в строительство и управление курортами свои инновации
и опыт. Проекту будет оказана также и помощь в разработке стратегий маркетинга
и сбыта, что обеспечит региону всестороннюю поддержку на высоком уровне.
Республика Татарстан
Чрезвычайный и Полномочный посол Франции в Российской Федерации Жан де
Глиниасти отметил, что Франция является одним из крупнейших инвесторов в
Татарстан. Причиной этого, по его мнению, является благоприятность региона для
иностранных инвестиций.
Татарстан и Франция сегодня тесно сотрудничают не только в области
экономики, но и в области культуры и образования. Например, представительство
организации «Альянс Франсэз» в Казани реализует программу «Алгарыш» по обучению
госслужащих, а также по проведению в жизньряда культурных проектов.
февраля во время визита Президента Ф. Олланда в Москву была подписана
декларация о намерениях между республикой Татарстан и Прованс-Альпы-Лазурный
берег. На основании этого документа регионы будут осуществлять сотрудничество в
области экономики, инноваций, образования, культуры и науки.
Рязанская область
В 2012 году товарооборот между Рязанской областью и Францией составил
30,3 млн. долларов США. Французские инвесторы крайне заинтересованы во вложении
средств в различные проекты на территории Рязанской области. Они планируют и
дальше развивать инвестиционное сотрудничество с регионом в сфере
высокотехнологичного и инновационного производства.
марта 2013 года Франко-российская торговая палата организовала в
Посольстве Франции в Москве презентацию Рязанской области для французских
инвесторов, где обсуждались перспективы расширения сотрудничества между
Рязанской областью и Францией. В ходе презентации было решено создать на
территории региона особую экономическую зону промышленно-производственного
типа. Она будет размещена около Рязанской ГРЭС, являющейся одной из крупнейших
электростанций в Европе. Это зона станет центром сосредоточения крупных
энергоемких предприятий, на ее территории будет создан промышленный парк
площадью более 900 гектаров. В августе 2013 года было решено открыть первый на
территории региона гипермаркет «ЛеруаМерлен».
Прошлый 2012 год был ознаменован открытием на территории области
гипермаркета «АШАН», а также французского завода по производству технических
газов Эр Ликид. Эр Ликид стал одной из семи действующих производственных
площадок на территории России.
Таким образом, необходимо отметить ассиметричность географической
структуры вливания французских инвестиций в Российскую Федерацию. Однако, в
последние несколько лет можно наблюдать положительные сдвиги в оптимизации
региональной структуры инвестиционной деятельности французских предприятий на
территории России. Улучшения были достигнуты в основном благодаря росту конкуренции
на рынках Центрального федерального округа (Москва, Московская область,
Санкт-Петербург), усилению внимания французского правительства к инвестиционной
деятельности в России, а также благодаря росту потребительского спроса в ряде
российских регионов.
5.
Статистический анализ привлекательности России для французских инвесторов
5.1 Анализ динамики поступления французских инвестиций в Российскую
Федерацию
Ниже приведена таблица, где отражены данные за 2005-2012 гг. в млн.
долларов США.
Таблица 4. Поступление французских инвестиций в Россию (млн. долл. США)
|
Поступило
инвестиций/Год
|
2005
|
2006
|
2007
|
2008
|
2009
|
2010
|
2011
|
2012
|
|
Всего
|
1428,4
|
3038,60
|
6696,40
|
6156,50
|
2490,60
|
3702,30
|
9804,00
|
9820,00
|
|
Прямых
|
513,7
|
343,40
|
663,10
|
879,10
|
757,90
|
960,20
|
2691,00
|
3260,00
|
|
Портфельных
|
0
|
0,07
|
0,28
|
0,10
|
3,40
|
0,02
|
37,00
|
30,00
|
|
Прочих
|
914,7
|
2695,10
|
6033,00
|
5277,30
|
1729,30
|
2742,00
|
7076,00
|
6530,00
|
Рисунок 1
График показывает, что динамика поступлений инвестиций не однородна, то
есть существует разница в темпах роста и падения между показателями. Для того
чтобы проанализировать взаимозависимость прямых, портфельных и прочих
инвестиций необходимо рассчитать коэффициент корреляции. Таким образом, надо
найти связи между прямыми и портфельными инвестициями (1), прямыми и прочими
инвестициями (2), а также между прочими инвестициями и портфельными
инвестициями (3).
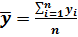
Данные показатели находятся по следующей формуле:
Где

-
величина одного типа инвестиций

-
величина другого типа инвестиций

, 
, -
средние значения показателей x, y
Таблица
2. Расчет коэффициента корреляции (млн. долл. США)
|
Год
|
|
|
|
|
|
|
|
2005
|
-744,85
|
-8,86
|
-3209,98
|
554801,5
|
78,47745
|
10303940
|
|
2006
|
-915,15
|
-8,79
|
-1429,58
|
837499,5
|
77,24213
|
2043685
|
|
2007
|
-595,45
|
-8,58
|
1908,33
|
354560,7
|
73,59495
|
3641704
|
|
2008
|
-379,45
|
-8,76
|
1152,63
|
143982,3
|
76,7157
|
1328544
|
|
2009
|
-500,65
|
-5,46
|
-2395,38
|
250650,4
|
29,79795
|
5737821
|
|
2010
|
-298,35
|
-8,84
|
-1382,68
|
89012,72
|
78,1235
|
1911790
|
|
2011
|
1432,45
|
28,14
|
2951,33
|
2051913
|
791,93
|
8710319
|
|
2012
|
2001,45
|
21,14
|
2405,33
|
4005802
|
446,9525
|
5785588
|
Таким образом, ρ1= 0,96337821
ρ2=0,659162

=0,596924
Можно
заметить, что тесная связь существует только между прямыми и портфельными
инвестициями, однако, каждые из них слабо связаны с прочими инвестициями. Это
объясняется тем, что прочие инвестиции состоят из реальных, нефинансовых и
интеллектуальных инвестиций. Однако в данной работе рассматривается только
прямые и портфельные инвестиции, так как они наилучшим образом отражают
динамику и инвестиционный климат страны.
Для
статистического анализа поступления французских инвестиций в Россию необходимо
рассчитать следующие показатели:
· Абсолютные приросты (цепные, базисные, средние);
· Темпы роста и прироста (цепные, базисные, средние);
· Абсолютное значение 1% прироста (по годам);
· Ускорение (только в цепном варианте);
· Средний уровень ряда;
· Среднегодовой абсолютный прирост за 2005-2012 гг.;
· Среднегодовые темпы роста и прироста за 2005-2012 гг.;
Абсолютные приросты, темпы роста и прироста считаются по следующим
формулам:
· Базисные
абсолютные приросты: 
,
где

-
порядковый уровень ряда динамики

-
начальный уровень ряда динамики (базовый)
· Цепные
абсолютные приросты: 
,
где

-
предыдущий уровень для i-го ряда
· Базисные
темпы роста: 
· Цепные темпы
прироста: 
· Базисные
темпы прироста: 
· Цепные темпы
прироста: по аналогии с базисными
· Абсолютное
значение 1% прироста: 
Рассчитав средние показатели данного ряда динамики, получается следующая
таблица
Таблица 3. Динамика поступления французских инвестиций в Российскую
Федерацию за 2005-2012 гг. (в млн. долл. США, темп роста - %)
|
Год
|
Поступл
иностран инвестиц
|
Абсолютный
прирост
|
Темп роста, %
|
Темп прироста
|
Абсолютно знач
1% прироста
|
|
|
Базисный (по
сравнению с 2005 г.)
|
Цепной (по
сравнению с предыдущим годом)
|
Базисный (по
сравнению с 2005 г.)
|
Цепной (по
сравнению с предыдущим годом)
|
Базисный (по
сравнению с 2005 г.)
|
Цепной (по
сравнению с предыдущим годом)
|
|
|
2005
|
1428,40
|
_
|
_
|
100,00
|
_
|
0,00
|
_
|
_
|
|
2006
|
3038,60
|
1610,20
|
1610,20
|
212,73
|
212,73
|
112,73
|
112,73
|
14,28
|
|
2007
|
6696,40
|
5268,00
|
3657,80
|
468,80
|
220,38
|
368,80
|
120,38
|
30,39
|
|
2008
|
6156,50
|
4728,10
|
-539,90
|
431,01
|
91,94
|
331,01
|
-8,06
|
66,96
|
|
2009
|
2490,60
|
1062,20
|
-3665,90
|
174,36
|
40,45
|
74,36
|
-59,55
|
61,57
|
|
2010
|
3702,30
|
2273,90
|
1211,70
|
259,19
|
148,65
|
159,19
|
48,65
|
24,91
|
|
2011
|
9804,00
|
8375,60
|
6101,70
|
686,36
|
264,81
|
586,36
|
164,81
|
37,02
|
|
2012
|
9820,00
|
8391,60
|
16,00
|
687,48
|
100,16
|
587,48
|
0,16
|
98,04
|
Полученные данные показывают, что систематические сдвиги (в данном случае
это падение) французских инвестиций наблюдались только в период с 2008 по 2010
гг., так как показатели абсолютного базисного прироста в этом промежутке
времени падали. Цепные абсолютные приросты показывают, что после снижения
французских инвестиций в Россию в 2009 году, они начали нарастать и нарастали в
течение следующих трех лет. В 2008 и 2009 годах цепные абсолютные приросты
имеют отрицательный знак, указывает на снижение уровня инвестиций в
рассматриваемом периоде.
Связь между базисными и абсолютными приростами заключается в том, что
сумма цепных абсолютных приростов равна базисному абсолютному приросту
последнего периода данного ряда динамики, то есть базисный абсолютный прирост,
например, 2012 года равен 8391,60 млн. долл. США.
Что касается темпа роста, то самый большой базисный темп
роста наблюдается в 2012 году (687,48 %), а цепной - в 2011 году (264,81%).
Связь между цепными и базисными коэффициентами роста заключается в том, что
произведение цепных коэффициентов равно базисному, а результат деления двух базисных
коэффициентов равен цепному.
Темп прироста показывает, на сколько процентов данный уровень
больше или меньше другого, принимаемого за базу сравнения. Абсолютное значение
1% прироста равно сотой части предыдущего (или базисного) уровня. Оно показывает,
какое абсолютное значение скрывается за относительным показателем - одним
процентом прироста. Данные представленные в Таблице 3 показывают, что
абсолютное значение 1% прироста французских инвестиций в Россию в 2005-2012
годах колебалось, не демонстрируя никакого тренда.
Для того чтобы охарактеризовать тенденции ряда динамики
необходимо рассчитать показатель ускорения, который имеет место только в цепном
варианте.
Таблица 7. Динамика поступления французских инвестиций в Российскую Федерацию за
2005-2012 гг. (в млн. долл. США)
|
Год
|
Поступление
инвестиций
|
Абсолютный
прирост
|
Ускорение
|
|
2005
|
1428,40
|
_
|
|
|
2006
|
3038,60
|
1610,20
|
|
|
2007
|
6696,40
|
3657,80
|
2047,60
|
|
2008
|
6156,50
|
-539,90
|
-4197,70
|
|
2009
|
2490,60
|
-3665,90
|
-3126,00
|
|
2010
|
3702,30
|
1211,70
|
4877,60
|
|
2011
|
9804,00
|
6101,70
|
4890,00
|
|
2012
|
9820,00
|
16,00
|
-6085,70
|
Ускорение в 2007,2010 и 2011 годах показывает, насколько данная скорость
была больше предыдущей. Отрицательная величина ускорения в 2008 и 2009 и 2012
годах говорит о замедлении роста данного уровня ряда динамики.
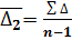
Остальные показатели необходимые для анализа динамики французских
инвестиций в Российскую Федерацию:
· Средний уровень ряда:

,
где

, 
,
…
- уровни
ряда
n - число уровне
ряда
Так,
средний уровень ряда равен
Средний уровень ряда показывает среднее число инвестиций, поступивших в
Россию из Франции. Этот довольно высокий показатель был достигнут в основном
благодаря возросшим инвестициям в 2011и 2012 годах.
· Средний абсолютный прирост:

, или 
где

-
конечный уровень ряда динамики
n - число
уровней ряда динамики
Средний абсолютный прирост (или средняя скорость роста) показывает
среднюю арифметическую из показателей скорости роста за 7 (с 2005 по 2012 год)
промежутков времени.
· Средний темп роста:

или 
,
где m - число коэффициентов роста
K1,
2 ... m - цепные коэффициенты роста

0,5264%

1,3171%
Средний темп роста - средний коэффициент роста, выраженный в процентах.
· Средний темп прироста:

Средний темп прироста, выраженный в процентах, показывает, что уровень
французских инвестиций в России увеличился на 31,71% по сравнению с уровнем
базисного, то есть 2005, года. Средний темп прироста характеризует среднюю
интенсивность роста.
5.2 Выводы статистического анализа
Проанализировав приток французских инвестиций в Россию, можно сделать
следующие выводы:
. Основными показателями анализа выступают прямые, портфельные и
прочие инвестиции, которые наилучшим образом отражают динамику инвестиционных
отношений между двумя странами.
. Корреляционный анализ показал, что тесная взаимосвязь существует
только между прямыми и портфельными инвестициями. Это значит, что изменение
количества вкладываемых в страну прямых инвестиций влияет на количество
портфельных и наоборот.
. Анализ динамики инвестиционного потока не выявил определенного
тренда. Количество иностранных инвестиций колебалось из года в год. Однако
резко упав в 2009 году, они начали восстанавливаться, достигнув восьмигодичного
максимума в 2012 году.
. Отрицательная величина ускорения в 2008, 2009 и 2012 годах
говорит о замедлении роста объема французских инвестиций в Россию в эти годы.
Это замедление, скорее всего, объясняется мировым финансовым кризисом, который
начался в 2008 году.
5. Высокий
показатель (
среднего
уровня ряда был достигнут в основном благодаря возросшему в 2011 году числу
французских инвестиций в Россию.
. Средний
темп роста составил 1,379%, что является не очень большим изменением. Это
вызвано тем, что в инвестиционном потоке не существует тренда.
. Средний
темп прироста выявил, что уровень французских инвестиций в России увеличился на
31.71% по сравнению 2005 годом.
Таким образом, общий вывод состоит в том, что начинает намечаться
довольно устойчивая положительная тенденция роста потока французских инвестиций
в Россию. Отсюда следует, что инвестиционная привлекательность нашей страны
растет, тогда как партнерство между Россией и Францией может послужить базой
для еще более тесного сотрудничества между Россией и всем Европейским Союзом.
6. Проблемы развития инвестиционного сотрудничества между Россией и Францией
Россия и Франция имеют многовековую историю отношений, которые пережили
разные этапы. Однако сегодня обе страны ищут способы и пути сближения во всех
сферах деятельности и стараются укрепить свои позиции на рынках
страны-партнера.
Россия - страна с непростой и насыщенной историей, и поэтому в ней
существуют специфические трудности инвестиционного сотрудничества с другими
странами.
Главной проблемой, с которой сталкиваются французские предприниматели,
стала проблема инвестиционного климата России. Несмотря на то, что страна
постепенно приобретает привлекательность в глазах иностранных инвесторов,
некоторые немаловажные проблемы все-таки остаются. К таким проблемам можно
отнести высокий уровень бюрократии в России, в частности, сложности с регистрацией
новой компании на территории страны.
Другой сложностью на пути французских инвесторов стал характер
национального предпринимательства. Французские компании крайне осторожны и
обладают предельной чувствительностью к изменениям в экономической и политической
структуре Российской Федерации. Они обеспокоены не высокой стабильностью
страны, что налагает определенные барьеры на ведение успешного инвестиционного
сотрудничества с Россией. Для того чтобы избежать значительной части рисков
французские предприятия должны иметь весьма крупные активы, что затрагивает
мелкие и средние предприятия.
Хотя размещение производства на территории России может иметь
значительные выгоды для иностранных, а в частности французских инвесторов,
однако, это зачастую требует значительного объема вкладываемых средств.
Французским компаниям бывает очень сложно найти проекты, которые были бы
экономически целесообразны с точки зрения объема работ и технологий.
Если рассматривать трудности, с которыми сталкивается Франция при
вложении своих капиталов в Россию, по отраслям, то стоит отдельно выделить
производство автомобилей. Этот сектор экономики гораздо хуже приспособлен к
российскому рынку, чем, например, японский, немецкий или американский.
На российском рынке практически не задействованы крупные французские
компании, которые занимаются недвижимостью, хотя капиталоотдача от таких
проектов сегодня весьма велика.
Поставка углеводородов во Францию с российской стороны также терпит
некоторые трудности. Франция зависит от России в энергетической сфере только на
четверть от общего импортируемого объема нефти и газа. В 2012 году наметилось
еще большее падение спроса на нефтепродукты из России, а соответственно и
снижение поставок.
Существуют также проблемы организационного характера, с которыми сталкиваются
французские инвесторы при вступлении на российский рынок. Эти трудности
включают проблемы со сроками выполнения соглашений,
административно-юридическими формальностями, нестабильность цен на аренду
земли, коммунальные услуги, энергоносители и так далее. Нередко французы
предпочитают России производство на рынках Египта или Китая.
Немаловажной, а возможно одной из приоритетных, проблемой является слабое
присутствие российских компаний и производств во Франции. Количество проектов и
соглашений, заключаемых на территории Французской Республики крайне мало.
Несмотря на то, что товарооборот между странами вырос в пять раз за последние
десять лет, российские внешнеэкономические связи с Францией составляют лишь 3%
от общих. Эти показатели являются весьма нежелательными как для России, так и
для Франции.
Как замечают сами российские инвесторы, их капиталовложения во
Французскую республику сильно ограничиваются влиянием французских СМИ. Для
того, чтобы россиянин смог открыть счет во французском банке, ему необходимо
преодолеть большое число формальностей.
Так, сотрудничество стран в области инвестиций имеет множество
труднопреодолимых проблем, однако, в условиях укрепления и роста успешных
экономических отношений между странами существует возможность преодоления
многих из них. Это партнерство - важная часть развития экономик обеих стран,
которое при правильном подходе может принести им значительные выгоды.
Заключение
«Взаимодополняемость» - этот тот термин, который следует использовать,
когда речь идет о современных подходах к развитию экономического сотрудничества
и росту инвестиций между Россией и Францией.
В последнее время наблюдается тенденция к значительному росту французских
инвестиций в Россию. Большинство крупных французских компаний расположили свои
представительства на территории Российской Федерации. Примечательно, что многие
из них считают Россию вторым рынком после отечественного, констатирует газета
«Русский очевидец».
Россия крайне заинтересована в привлечении Французского капитала, так как
это способствует модернизации национальной экономики и выдвижению Российской
Федерации на новый уровень как важного и желанного экономического партнера.
Спецпредседатель МИД Франции Жан-Пьер Шевенман считает, что Россия и
Франция имеют большие перспективы сотрудничества. Он добавил, что
сотрудничество между странами имеет большой потенциал во всех отраслях и, что
Франция рассматривает Российскую Федерацию как ценного и близкого партнера. В
последние годы французские инвесторы заметно увеличили свое присутствие в
Российской Федерации. По объему капиталовложений в экономику России Франция
занимает 5 место, вкладывая в страну более 12 млрд. евро ежегодно.
Количество французских компаний, которые работают в аэрокосмической,
энергетической, транспортной, строительной и финансовой сферах, а также в
области реализации туристических проектов в последние годы возросло благодаря
плодотворному сотрудничеству между этими странами. Эти компании работают помимо
Москвы также и в некоторых регионах Санкт-Петербурга и Сибири. Также они
понимают, что эта гигантская страна должна быть структурирована, чтобы
справиться с конкуренцией со стороны азиатских стран.
В области ядерной энергетики, авиастроения, машиностроения и транспорта,
а также в ряде других высокотехнологичных отраслей, российские и французские
компании, которые нередко являлись прямыми конкурентами, в настоящее время
развивают перспективные возможности для сотрудничества. Они начали сотрудничать
также и на рынках третьих стран. На самом деле, сегодня Россия поставила задачу
интеграции отечественных компаний в экономическое пространство и технологии,
которые складываются между Россией и Францией, а в долгосрочной перспективе
отношения между Россией и Европейским Союзом. Это цель, которую ставят перед
собой лидеры России и Французской Республики, и только ее конкретная реализация
будет гарантировать, что две наши великие страны займут достойное место в
мировой экономике третьего тысячелетия.
Страны планируют расширить географию экономического сотрудничества в регионах
Российской Федерации, где французские компании представлены не столь широко.
Для этого сегодня проводится ряд важных мероприятий, в которых участвуют
представители обеих стран. К таким мероприятиям относятся конференции глав
правительств государств, круглые столы, подписание соглашений по развитию
сотрудничества в различных регионах России и другие. Все эти действия
способствуют укреплению двустороннего сотрудничества в области региональных
инвестиций между странами.
Каждая из обеих стран знает свои слабости и, учитывая это, мы сможем
совместно определить общие приоритеты на будущее сотрудничество. Прежде всего,
необходимо активизировать отношения в сфере инвестиций. По сравнению с 10 млрд.
долларов представленных в виде французских инвестиций в Россию, вес России во
французской экономике по-прежнему минимален. Рост экономики и промышленности
России в настоящее время можно представить через сотни французских компаний,
работающих на русском рынке. Конечно же, Россия хотела бы тоже быть широко
представлена на французском рынке, особенно в крупных проектах. Консолидация
капитала, по сути, укрепление промышленного и технологического сотрудничества
между нашими компаниями может создать базу для долгосрочного стратегического
партнерства.
Другой ключевой аспект совместной работы - это объединение компаний
регионального масштаба. Если десятки крупных проектов, которые Россия уже
внедрила, и которыми мы можем гордиться, не приведут впоследствии к сотням и
тысячам проектов с участием малых и средних предприятий (МСП), то будет нелегко
надеяться на создание эффективных, способных предотвратить кризисы,
затрагивающих различные секторы экономики проектов. Русско-французское
соглашение о региональном сотрудничестве, которое было подписано на 16-ом
Межправительственном семинаре, стало важным шагом в этом направлении. Была
создана специальная комиссия для определения и внедрения проектов в области
перспективных, в том числе связанных с планированием землепользования и
созданием современной инфраструктуры, инноваций.
Партнерство между Россией и Францией должно быть основано на взаимности.
Россия заслуживает лучшего, чем некоторые клише, которые установились в течение
нескольких лет. Пришло время осознать, что изменяя наши взгляды, мы можем,
наконец, объединить континент и сделать сотрудничество не только между Россией
и Францией, но и между Россией и всем Европейским Союзом последовательным и
динамичным.