Разработка полноценной методологии для прогнозирования товарооборота в торговом объекте

  • Вид работы:
    Дипломная (ВКР)
  • Предмет:
    Маркетинг
  • Язык:
    Русский
    ,
    Формат файла:
    MS Word
    448,73 Кб
  • Опубликовано:
    2016-01-30
Вы можете узнать стоимость помощи в написании студенческой работы.
Помощь в написании работы, которую точно примут!

Разработка полноценной методологии для прогнозирования товарооборота в торговом объекте

Оглавление

Введение

. Существующие подходы к решению поставленных задач

.1 Методы оценки товарооборота

.1.1 Оценка с помощью регрессионной модели

.1.2 Оценка с помощью временных рядов

.1.3 Оценка через оборот якорных объектов

.1.4 Оценка через объем рынка и конкуренцию в нем

.2 Методы оценки доли рынка торгового объекта

.2.1 Виды методов оценки конкурентоспособности предприятия

.2.2 Оценка конкурентоспособности по степени удовлетворенности покупателей

.2.3 Оценка долей рынка торговых объектов с помощью гравитационной модели

.3 Способы оценки структуры расходов посетителей ТЦ

.4 Способы оценки численности населения в зоне охвата торгового объекта

. Применяемый подход к решению задач

.1 Описание разработанной методологии

.2 Исходная модель прогнозирования товарооборота

.3 Модель прогнозирования товарооборота с помощью регрессий

.4 Оценка численности населения в зонах охвата

.5 Оценка долей рынка торговых объекта в товарной категории

.5.1 Описание алгоритма

.5.2 Допущения и ограничения в модели

.6 Оценка структуры расходов потребителей

. Практическая реализация предложенного подхода к решению задач

.1 Описание подхода к практическому применению методологии

.2 Описание данных для построения регрессионных моделей

.3 Запуск модели расчета численности населения в зонах охвата

.4 Запуск модели расчета конкуренции

.5 Прогнозирование товарооборота с помощью регрессионных моделей

.6 Запуск исходной модели оценки товарооборота

.7 Запуск модели оценки структуры расходов

Заключение

Литература

Приложения

Введение

Розничная торговля является одной из ключевых отраслей экономики РФ. В 2013 году, с учетом оптовой торговли, её доля в валовой добавленной стоимости РФ составила 18,3%[1]. За 2014 год оборот розничной торговли в стране вырос на 2.5% и составил 26,12 трлн рублей[2].

Москва, будучи крупнейшим городом и основным логистическим узлом в России, представляет особый интерес для организаций, занимающихся розничной торговлей. Несмотря на снижение темпов роста экономики, в течение 2014 года в Москве было открыто 15 крупных торговых объектов. С учетом расширения уже введенных в эксплуатацию ТЦ, совокупный прирост предложения торговых площадей увеличился на 689,9 тыс. м2 и составил 4,74 млн м2 на конец года[3].

Рис. 1. Динамика прироста торговых площадей в московских ТЦ

В то же время, значительная скорость прироста, в совокупности с другими факторами, привели к переизбытку предложения, что отражает динамика доли вакантных площадей. С учетом постепенного насыщения рынка, все более важное значение принимает качество оценки экономической целесообразности реализации проектов по строительстве торговых объектов.

На срок окупаемости торгового объекта может влиять значительное число факторов, включая как его характеристики - площадь, расположение и качество инфраструктуры, планируемые арендаторы и пр., - так и более глобальные обстоятельства, связанные, в частности, с текущим состоянием рынка и уровнем дохода покупателей.

Вместе с тем, основным источником прибыли, создаваемой торговым центром, является сдача площадей арендаторам. На практике применяется три способа расчета арендной ставки, базирующиеся на:

§  стоимости аренды одного квадратного метра;

§  величине товарооборота арендатора;

§  комбинировании первых двух факторов.

На сегодняшний день, для большинства крупных торговых объектов характерно использование комбинированного метода расчета. Таким образом, оценка окупаемости торгового объекта связана с получением данных по имеющемуся или планируемому обороту у его арендаторов.

В то же время, информация о товарообороте объектов в России сегодня практически не публикуется владельцами торговых объектов, что затрудняет оценку текущего и будущего состояния рынка и прогнозирование оборота для проектируемых объектов.

Данная диссертация является продолжением курсовой работы за прошлый год. В рамках него с помощью средств Microsoft Excel была реализована модель прогнозирования товарооборота. Вместе с тем, для получения корректного прогноза модели требовались данные по конкуренции в зоне охвата торгового объекта, которые могли быть получены путем экспертной оценки, а также структура расходов посетителей объекта. В качестве последней были взяты данные по структуре потребительских и розничных расходов, опубликованные Росстатом, однако структура и уровень детализации в обоих случаях слабо соответствует спектру товаров и услуг, предлагаемых торговыми центрами.

Целью данной работы является разработка полноценной методологии для прогнозирования товарооборота в торговом объекте, включающей в себя модели для определения как товарооборота, так и вспомогательных данных. Помимо использования уже существующей модели прогнозирования товарооборота предполагается реализация еще одной, зависящей от меньшего объема входных данных и более простой в использовании.

Достижение поставленной цели подразумевает выполнение следующих задач в ходе работы:

·        изучение возможностей по созданию методологии прогнозирования оборота торговых объектов;

·        разработка и объединение элементов методологии, включая модели прогнозирования товарооборота, оценки структуры расходов и конкуренции в зоне охвата торговых центров;

·        применение реализованных моделей для получения прогноза по товарообороту.

Объектом исследования в данной работе является сегмент московского рынка торговой недвижимости, включающий в себя наиболее крупные торговые центры и специализированные магазины с общей арендуемой площадью (GLA) не менее 5000 квадратных метров. Предмет исследования - прогноз оборота в торговых объектах с разбивкой на ключевые товарные категории и без неё.

Структура работы включает три главы, каждая из которых соответствует одной из перечисленных выше задач.

Разработка методологии производилась при участии компании Knight Frank. Данная организация занимается консалтингом на рынке недвижимости, и в её сферу интересов попадают крупнейшие торговые объекты Москвы. На сегодняшний день компания не располагает возможностью прогнозирования товарооборота, поэтому получение подобной модели представляет для них практический интерес и позволила бы оценивать варианты проектов торговых объектов с точки зрения их рентабельности, а также получать дополнительную информацию о текущем состоянии всего рынка торговой недвижимости.

Большинство данных, для которых не указаны источники, а также ряд теоретических сведений по теме исследования были предоставлены компанией Knight Frank.

прогнозирование товарооборот расходы покупатель

1. Существующие подходы к решению поставленных задач

В данной главе выпускной работы перечислены существующие методы и подходы к оценке характеристик торговых объектов, включая его товарооборот, положение на рынке, численность покупателей и расходы, которые те несут при посещение торговых объектов.

 

.1 Методы оценки товарооборота

 

.1.1 Оценка с помощью регрессионной модели

В классическом понимании, задачей регрессионного анализа является установление зависимости эндогенной переменной от набора экзогенных факторов, позволяющей наиболее точно приблизить прогнозные данные к фактическим. Наиболее простой, хотя и не единственно возможной, формой зависимости является модель линейной регрессии, имеющая следующий вид:

, (1.1)

где  - вектор наблюдений для эндогенной (зависимой) переменной,

 - матрица наблюдений для экзогенных (независимых) переменных,

 - вектор коэффициентов регрессии,

 - вектор случайных ошибок модели.

Исходя из представленного выше равенства для линейной регрессии, прогнозирование товарооборота объекта с помощью подобной модели будет требовать определения, совокупности факторов, полагаемых оказывающими влияние на него, а также списка источников данных, позволяющих получить значения, принимаемые этими факторами для каждого из объектов, включенных в выборку, по которой строится модель.

Одним из возможных этапов прогнозирования с помощью регрессионной модели является включение в нее товарных категорий. Допустимым способом достижения данной цели является введение дополнительных независимых переменных, характеризующих объект из выборки по представленным в нем товарах и степени привлекательности для покупателей. Кроме того, товарные категории могут описываться собственными уравнениями, что позволяет включить для из них собственный набор экзогенных факторов и, таким образом, добиться большей гибкости модели в целом.

Примерный алгоритм оценки товарооборота с помощью регрессионной модели может включать в себя следующие этапы:

.        установление количества и списка товарных категорий, для которых проводится анализ;

.        определение зон охвата торговых объектов и численности населения для них;

.        оценка расходов потребителей в торговых объектов и возможное разбиение на группы с различным поведением;

.        включение в модель характеристик торговых объектов и иных факторов;

.        оценка коэффициентов регрессионной модели.

Практическая реализация подобного алгоритма дает возможность оценить оборот торгового объекта по различным категориям товаров, исходя из его параметров.

Вместе с тем, применение подобной модели ограничено невозможностью получить достаточно детальные данные, включавшие бы в себя полную характеристику каждого из представленных в выборке торговых объектов, в том числе, если в число экзогенных факторов входят и необходимые с точки зрения логики параметры, такие, как площадь объектов. Также разбиение на товарные категории значительно усложняет процесс оценки, поскольку требует для успешного выполнения более детализированной информации по рассматриваемым торговым объектам.

Соответственно, для практического применения регрессионной модели при оценке товарооборота необходимо либо полагаться на значительное число допущений при подстановке данных или пытаться сделать модель, основываясь на небольшом объеме информации, т.е. включив только наиболее значимые независимые переменные. И тот, и другой способ обхода нехватки данных негативно сказывается на точности прогнозирования с помощью подобной модели.

 

.1.2 Оценка с помощью временных рядов

Использование модели, анализирующей временные ряды данных, позволит прогнозировать не оборот неизвестного, а динамику оборота известного торгового объекта за различные периоды времени, в зависимости от значений тех или иных факторов, включенных в ряды. К таким факторам можно отнести, в частности:

·        динамику населения в зоне охвата объектов;

·        изменение потребительских привычек посетителей объектов;

·        изменения, происходящие на рынках, в которых работают арендаторы торговых центров, и влияющие на доли рынка, занимаемые самими ТЦ.

Недостатком подобного подхода к оценке является трудность получения достаточного набора данных, характеризующих состояние торговых объектов и иных влияющих на товарооборот факторов в различное время. Невозможность прогнозирования при отсутствии данных значительно ограничивает возможности по использованию подобных моделей для существующих объектов и делает их неприменимыми для проектируемых торговых центров, по которым информация не может быть получена в принципе.

1.1.3 Оценка через оборот якорных объектов

Использование данного подхода предполагает оценку товарооборота по одному или нескольким основным арендаторам торгового центра, называемых якорными, с последующей экстраполяцией этой информации на весь ТЦ. В целом, подобный подход в большей степени отвечает интересам арендаторов-ритейлеров, обладающих значительным числом уже существующих магазинов, чем для владельцев ТЦ, т.к. для получения интересующей последних оценки оборота всего торгового центра необходимо делать дополнительные допущения, базирующиеся на экспертных оценках.

Алгоритм данного метода состоит из следующих частей:

.        Определение торговой точки или магазина, наиболее схожего по своим характеристикам с тем, который планируется разместить в торговом центре. В случае отсутствия похожих магазинов возможно проецирование на планируемый объект данных о конкурирующих торговых точках.

.        Получение оценки среднего числа посетителей за день. Искомое значение может быть установлено с помощью изучения транспортных и пешеходных потоков вблизи торгового центра, путем проведения маркетинговых исследований или иным способом.

.        Расчет прогноза товарооборота магазина как произведения числа покупателей на величину среднего чека; данный показатель можно получить из открытых источников для большинства компаний, ведущих деятельность в сфере сетевого ритейла. Возможно также использование усредненного среднего чека для всего рынка.

.        Внесение корректировок в прогноз товарооборота, исходя из различий между параметрами существующего и планируемого магазинов. Итоговая точность корректировки, во многом, зависит от объема накопленных по другим объектам данных - чем больший размер имеет выборка, тем проще не только подобрать для планируемой точки уже существующую, но и оценить то, как различные параметры магазинов влияют на итоговую прибыль.

.        Проецирование полученной оценки (или оценок) товарооборота от одного (или нескольких) арендаторов на весь торговый центр, исходя из планируемой структуры арендаторов и соотношений товарооборотов на один квадратный метр, генерируемых различными арендаторами, если имеются сведения, позволяющие их получить.

Данный подход отличается относительной простотой практической реализации, но в то же время в большей степени завязан на информацию, являющуюся недоступной при поиске в открытых источниках, и на экспертные оценки, получаемые на её основе. В целом, использование подобного метода дает возможность получить лишь приблизительно верную оценку товарооборота.

 

.1.4 Оценка через объем рынка и конкуренцию в нем

Данный подход был использован консалтинговой компанией Centrumutveckling Sverige AB в ходе оценки вариантов проекта торгового центра в Санкт-Петербурге. Использование данного метода предполагает разбивку оборота ТЦ на различные товарные категории. Алгоритм использованной для прогнозирования оборота модели включал в себя следующие части:

.        Установление зон охвата и оценка численности населения в них;

.        Расчет величины и структуры расходов, приходящейся на одного человека в РФ;

.        Расчет объема рынков в зонах охвата для каждой из товарных категорий;

.        Оценка итогового товарооборота в зависимости от предполагаемых долей рынка, которые займет ТЦ.

Исходная модель также затрагивала изменения, происходящие в течение нескольких лет после открытия ТЦ в силу прироста или убыли населения, величины их доходов и изменения долей рынка.

Работоспособность модели в этом случае также зависела от наличия адекватных экспертных оценок ряда входных параметров. К их числу относятся коэффициенты прироста численности населения и объемов их расходов, а также предположения о долях рынков, занимаемых торговым центром при имеющейся и ожидаемой конкуренции.

 

.2 Методы оценки доли рынка торгового объекта

 

.2.1 Виды методов оценки конкурентоспособности предприятия

Оценка конкурентоспособности предприятия может быть оценена большим числом различных методов, которые могут быть классифицированы по ряду своих характеристик, таких, как[4]:

§  применимость для предприятий той или иной отрасли экономики;

§  способ моделирования и представления результатов (расчетный или графический);

§  принимаемые в расчёт факторы и принцип их приоритизации;

§  критерии, по которым оценивается конкурентоспособность;

§  возможность прогнозирования конкурентоспособности;

§  источники данных для проведения оценки.

Разбиение всей совокупности методов оценки конкурентоспособности позволяет выделить ряд основных категорий, который представлен в таблице 1.

Табл. 1. Классификация методов оценки конкурентоспособности предприятий.

Группа методов

Описание

Преимущества и недостатки

Матричные методы

Использование данных методов подразумевает построение матрицы, описывающей долю предприятий на рынке, а также динамику их прироста. Каждый из этих факторов используется в качестве оси координат, после чего определяется положение предприятия относительно других участников рынка. Примерами подобных методов являются матрицы Портера и BSG.

Применение данной группы методов позволяет получить общую картину рынка, но в то же время не дает информации о причинах, повлиявших на её формирование, и зависит от точности информации, на основе которой производится ранжирование предприятий.

Методы оценки конкурентоспособности товаров и услуг

Ключевое допущение при использовании подобных методов заключается в том, что конкурентоспособность предприятия определяется конкурентоспособностью его товаров и услуг. В большинстве случаев, способ их оценки сводится к получению соотношения цены и качества с последующим сравнением с конкурентами.

В подобных способах оценки затрагивается качество производимых товаров и услуг, являющегося важным критерием конкурентоспособности, однако не затрагиваются внутренние аспекты самой организации и эффективность её работы.

Методы, оценивающие эффективность работы предприятия

В основе этих методов лежит теория эффективной конкуренции и оценка эффективности работы подразделений организации. Как правило, под эффективностью подразделения понимается эффективность использования им ресурсов предприятия для достижения поставленных целей.

Подобные методы позволяют учесть аспекты деятельности предприятия по отдельности, однако, чаще всего, не учитывают существующий синергетический эффект, равно как и не дают представления о качестве товаров и услуг.

Комплексные методы

Задачей данной группы методов является сопоставление текущей и прогнозируемой конкурентоспособности предприятия. При этом, прогнозируемое значение является производным от текущего и меняется в зависимости от некоторого заранее определенного набора факторов.

Методы, относящиеся к данной категории, чаще всего базируются на одной из методик, принадлежащих к перечисленным выше группам, и поэтому обладают их преимуществами и недостатками. При этом, они также дают возможность составления прогноза на определенный период времени.

Отличительной особенностью торгового центра является присутствие значительного числа неоднотипных арендаторов, вследствие чего возникает необходимость производить оценку конкуренции сразу на нескольких рынках. Кроме того, к значимым факторам можно отнести население вблизи ТЦ и пролегающие поблизости транспортные и пассажиропотоки.

Для решения задачи по оценке товарооборота с использованием метода, базирующегося на расчете объемов рынка и конкуренции в зонах охвата, конкурентоспособность ТЦ должна быть представлена в виде доли рынка, которую центр занимает в той или иной категории товаров. В совокупности, все эти факторы делают затруднительным применение описанных в таблице 1 методов без дополнительной доработки под рассматриваемую в работе предметную область.

 

.2.2 Оценка конкурентоспособности по степени удовлетворенности покупателей

Данная методика предназначена для оценки конкурентоспособности торгового объекта на основе анкетных данных, получаемых от его посетителей. В качестве объекта исследования выступает отдельный магазин, рассматриваемый как совокупность некоторых характеристик, отличающихся по уровню важности для потребителя[5]. Эти атрибуты могут быть использованы в ходе разработки модели будущего магазина или для оценки конкурентоспособности уже существующего. Перечень характеристик может включать:

·        ширина (количество товарных групп) и глубина (размер товарных групп) ассортимента;

·        набор услуг, оказываемых при посещении магазина: наличие парковки, консультация со стороны персонала по характеристикам и особенностям товаров, возможность открытия кредита на покупку и т.д.;

·        уровень и динамика цен в сравнении с текущими рыночными условиями;

·        расположение и доступность магазина, время работы;

·        квалификация персонала и качество обслуживания (расположение товаров, средняя длина очереди на кассе и т.д.);

·        интерьер магазина.

Ключевой задачей при планировании открытия торгового объекта внутри ТЦ является выбор наиболее подходящей концепции объекта, т.е. совокупности его атрибутов, соответствующих планируемым посетителям и обеспечивающий ему максимально возможную конкурентоспособность по сравнению с существующими магазинами.

Проведение оценки конкурентоспособности торгового объекта с помощью данного метода подразумевает завершение трех основных этапов работы:

.        Проведение анкетирования покупателей на выходе в уже существующем магазине;

.        Ранжирование атрибутов торгового объекта по степени их значимости для посетителей и получение среднего уровня удовлетворенности каждой из них;

.        Составление предложений и рекомендаций по изменению атрибутов магазина с целью повышения его конкурентоспособности.

Применение данной методики позволяет определить наиболее важные для покупателей атрибуты торгового объекта, степень удовлетворенности или неудовлетворенности его характеристиками, а также необходимые изменения.

Описанный подход к оценке конкурентоспособности подходит для организаций, занимающихся ритейлом, а также работающих в сфере услуг. Использование метода подразумевает проведение соответствующих маркетинговых предприятий для получения требуемых данных.

Применение методики к торговому центру сопряжено с необходимостью изучения каждой из представленных в нем торговых категорий. Кроме того, в этом случае встает вопрос о сравнимости результатов исследования с эталонными или средними значениями для рынков, на которых функционируют торговые объекты.

 

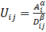
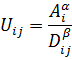
.2.3 Оценка долей рынка торговых объектов с помощью гравитационной модели

В основе подобных модели лежит концепция, предложенная Дэвидом Хаффом[6], применимая для оценки долей рынка, занимаемых торговым центром в отдельной взятой товарной категории.

Пусть  - торговые объекты, занимающиеся реализацией товаров рассматриваемой категории, а  - районы изучаемого города.

Каждый из рассматриваемых объектов представляет для жителей каждого из районов некоторую полезность , определяемую соотношением:

, (1.2)

где  и  - корректирующие коэффициенты;

 - привлекательность i-го объекта;

 - расстояние от i-го объекта до j-го района.

Под привлекательностью объекта в простейшем случае понимается его площадь. Вместе с тем, возможно проведение балльной оценки торговых объектов в зависимости их атрибутов, отражающих предлагаемых ассортимент, ценовые уровни, качество обслуживания и иные факторы.

Используя полученные полезности, становится возможным установить доли рынка , занимаемые торговыми объектами в каждом из районов:

 (1.3)

В данном выражении доля рынка определяется отношением полезности i-го объекта к суммарной полезности всех торговых объектов для жителей j-го района.

Из полезностей для отдельного района становится возможным получить общую долю рынка , занимаемую районом:

, (1.4)

где - численность населения в j-ом районе.

 

.3 Способы оценки структуры расходов посетителей ТЦ


В ходе оценки товарооборота с помощью модели, основанной на индивидуальных расходах и конкуренции в зонах охвата, необходимо определить величину и структуру потребительских расходов среднестатистического покупателя. Среди потенциальных источников, данных для Москвы можно выделить данные Росстата по потребительским расходам и розничному товарообороту[7]. Однако на базе этих данных можно выделить лишь базовые расходы, включающие в себя несколько товарных категорий.

Другим направлением для поиска необходимой информации по расходам покупателей является изучение анализов и маркетинговых исследований рынков, в которых оперируют предполагаемые или уже имеющиеся арендаторы. В этом случае, однако, встает вопрос полноты и открытости данных по всем необходимым товарным категориям.

Наконец, при наличии соответствующих данных, структуру расходов можно попытаться перенести с ТЦ с известным товарооборотом на тот, для которого строится прогноз. При подобном подходе, возможно использование некоторого алгоритма, определяющего усредненную структуру расходов, или же путем ручного поиска существующего объекта, обладающего схожими с исследуемым параметрами и экстраполяции на него известных данных.

 

.4 Способы оценки численности населения в зоне охвата торгового объекта


Численность потенциальных посетителей торгового объекта является одним из наиболее значимых факторов при проведении оценки его товарооборота. Для установления количества людей в зонах охвата необходимо определить общее число людей, проживающих на соответствующей им территории, их распределение по ним, а также принцип выделения самих зон.

В качестве достоверного источника данных по численности населения возможно использование данных, публикуемых государственными организациями, занимающимися статистикой. Так, для Москвы в открытом доступе можно получить численность населения с точностью до района[9].

Более точное соотнесение численности населения с зонами охвата, равно как и их определение, возможно произвести двумя способами. Как уже было сказано выше, возможно установить некоторый набор допущений, позволяющий однозначно, пусть и с погрешностями, сопоставить всех покупателей с той или иной зоной охвата. Другим вариантом является составление модели на более точных данных с использованием специализированных геоинформационных систем (ГИС).

Функциональные возможности современных ГИС позволяют решать широкий спектр задач, связанных с поиском объектов, работой с системой координат, сопоставлением географического расположения объектов с любой другой относящейся к ним информацией, визуализацией этих данных и выполнением графоаналитических операций[8].

Разработка модели оценки численности населения в зонах охвата средствами геоинформационной системы позволяет более точно выделить зоны и на основе проведенных границ рассчитать численность населения. С другой стороны, подобный анализ требует наличия более детальных данных, а также является более трудоемким, поскольку предполагает работу с API взятой в качестве платформы для разработки информационной системы.

2. Применяемый подход к решению задач

 

.1 Описание разработанной методологии


Созданная в рамках выпускной работы методология предназначена для прогнозирования товарооборота в торговых объектах и получения ряда требуемых для этого данных. Практическая реализация методологии проведена на базе табличного редактора Microsoft Excel и встроенного в него языка программирования Visual Basic.

Функциональность модели может быть разделена на ряд основных элементов, выполняющих оценку:

·        товарооборота по товарным категориям;

·        структуры потребительских расходов;

·        конкуренции для торговых объектов;

·        численности населения в зонах охвата торгового объекта;

·        товарооборота без разбивки на товарные категории.

Модели оценки товарооборота используют в качестве входных данных результаты, полученные при запуске остальных модулей. Кроме того, для расчета структуры потребительских расходов требуются данные о конкуренции и численности населения в зоне охвата объектов. Схематически, взаимосвязь между составляющими методологии представлена на рисунке 2.

Прогнозирование товарооборота с разбивкой на категории выполняется с помощью разработанной в рамках прошлогодней курсовой работы модели, основанной на описанном в разделе 1.1.4 подходе. Эта модель позволяла делать прогноз на несколько лет вперед, однако для части входных параметров нельзя было достаточно точные значения. К ним относятся, во-первых, доли рынка по каждой из товарных категорий, приходящиеся на объект, и, во-вторых, структура расходов населения, взятая из данных Росстата и слабо соответствовавшая специфике торговых центров. С целью устранения описанных проблем, были дополнительно спроектированы и реализованы инструменты для оценки долей рынка объектов в товарной категории, а также структуры потребительских расходов.

Рис. 2. Взаимосвязь данных в модели

Параллельно с этим, была реализована модель прогнозирования оборота для торговых центров в целом путем построения уравнений регрессии. Для выполнения оценки товарооборота этим способом требуется наличие данных по ряду объектов, однако список влияющих на оборот факторов состоит всего из двух элементов, что упрощает подбор входных значений.

Наконец, в обеих моделях оценки товарооборота применяются данные по населению в зонах охвата, в связи с чем была также разработан подход к оценке и этого типа данных.

 

.2 Исходная модель прогнозирования товарооборота


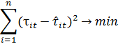
В соответствии с исходной моделью, оценка оборота по t-й категории  производится по следующей формуле[10]:

, (2.1)

где  - зоны охвата исследуемого ТЦ;

 - население, проживающее в k-й зоне охвата;

 - общие потребительские расходы по Москве;

 - общая численность населения Москвы;

 - доля t-й товарной категории в индивидуальной структуре расходов;

 - доля исследуемого ТЦ на рынке k-й зоны охвата в t-й товарной категории.

Основные допущения, принимаемые при использовании модели, включают в себя:

·        равномерность распределения продаж в объектах, не учтенных при оценке долей рынка анализируемого ТЦ (например, продуктовых магазинов с небольшой площадью, ориентированных только на близлежащие кварталы), что подразумевает отсутствие искажений, вызванных ими, в какой-либо из зон охвата;

·        итоговый товарооборот анализируемого объекта полностью состоит из средств, потраченных населением, проживающим в зонах охвата;

·        уровень и структура потребления одинаковы для всех потребителей.

Общий список входных параметров для данной модели включает в себя:

§  базовый год, для которого указываются данные, и год, для которого строится прогноз;

§  перечень зон охвата анализируемого объекта;

§  численность населения в зонах охвата;

§  динамика изменения населения во всем городе на период прогнозирования (также берущиеся и для населения в зонах охвата);

§  общая численность населения города в базовом году;

§  список товарных категорий, представленных в анализируемом объекте, и приходящиеся на них доли от общего потребления;

§  общие расходы населения города по указанным товарным категориям;

§  коэффициенты изменения общих расходов в течение прогнозного периода;

§  доли рынка, занимаемые объектом, в каждой зоне охвата и по каждой товарной категории.

На практике, использование данного метода затруднено отсутствием обоснованных значений для ряда входных переменных. Прежде всего, детальное прогнозирование для большого числа товарных категорий, которые в реальности будут представлены в ТЦ, требует адекватной оценки того, сколько денег будет тратиться посетителями в совокупности и отдельно на каждую категорию.

Помимо этого, для получения относительно точной оценки товарооборота важно правильно оценить уровни конкуренции, характерной для каждой из товарных категорий, представленных ТЦ. Наиболее простым способом является экспертная оценка «на глаз» существующих в зонах охвата торговых объектов, их параметров и привлекательности для покупателей, на основании которой возможно сделать предположение о рыночных долях, которые сможет занять исследуемый ТЦ. Однако более предпочтительным является использование формализованного подхода, т.к. это позволит более точно представлять уровень адекватности полученных данных.

 

.3 Модель прогнозирования товарооборота с помощью регрессий


Второй способ прогнозирования товарооборота в объектах предполагает построение линейной, степенной, экспоненциальной и логарифмической моделей регрессии по некоторой выборке, содержащей сведения о торговых объектах Москвы. В качестве зависимой переменной выступает оборот всего торгового центра, без разбивки на отдельные составляющие.

Табл. 2. Уравнения регрессионных моделей, с помощью которых прогнозируется оборот.

Модель

Общая запись

Запись в линейном виде

Линейная

-

Степенная

 

Экспоненциальная

Логарифмическая

 

-


Каждая из рассчитываемых моделей имеет два независимых регрессора: совокупное население в зоне охвата торговых центров (рассматривается только одна зона) и суммарная привлекательность (площадь) объектов. В качестве второго регрессора также возможно использование долей рынка, приходящихся на объекты.

Значения независимых переменных определяются из имеющихся данных по торговым объектам, а также с помощью моделей, описанных в разделах 2.4 - 2.5 данной работы.

В целом, модель оценки оборота с помощью регрессий состоит из следующих элементов:

.        таблица, содержащая входные выборки для каждой из четырех регрессий (в качестве входных данных выступают названия торговых центров и соответствующие им данные для линейной модели);

.        блок расчета уравнений регрессии (реализован в виде скрипта на VBA, для расчета коэффициентов и оценок качества регрессий используется функция LINEST (ЛИНЕЙН));

.        таблицы, содержащие коэффициенты регрессий и численные оценки качества полученных моделей (коэффициент детерминации, статистики Фишера и Стьюдента);

.        таблица, содержащая проверочную выборку;

.        таблицы, содержащие сравнение прогнозных и фактических значений для проверочной выборки.

Исходный код скрипта из пункта 2 алгоритма представлен в приложении 1 к данной работе.

 

.4 Оценка численности населения в зонах охвата


Данные по населению в зонах охвата являются исходными для оценки товарооборота с помощью каждого из двух описанных выше подходов. С целью упрощения оценки этих значений был разработан отдельный модель в методологии, проводящий расчет численности для заданных торговых объектов и их зон охвата с учетом распределения населения по районам Москвы. Практическая реализация данного модуля также была проведена с использованием скрипта, написанного на VBA.

Исходные данные для модели имеют следующий вид:

·        - таблица объектов (содержит десятичные координаты объектов);

·        - таблица районов Москвы (включает численность населения и десятичные координаты центра каждого района);

·        - таблица зон охвата для объектов (содержит радиусы каждой из зон);

·        - массив границ зон охвата;

·        - граница полного включения района в зону охвата.

Все объекты и районы города интерпретируются как точки с указанными для них координатами.

Под зоной охвата понимается все территория Москвы, лежащая внутри окружности с центром в точке, соответствующей расположению торгового объекта, и соответствующим ей радиусом. При этом, из этой площади вычитаются все зоны охвата с меньшим радиусом.

Соответственно, для корректной работы алгоритма требуется ввести для  и  следующие ограничения:

§  каждый последующая зона имеет больший радиус ;

§  граница полного включения района в зону охвата .

Алгоритм расчета численности населения состоит из следующих частей:

.        Оценка расстояний между объектами и районами ;

.        Расчет коэффициентов вхождения р-нов в зоны охвата ;

.        Оценка численности населения в зоне охвата .

В качестве входных данных используются десятичные координаты объектов, поэтому для корректной оценки расстояний между ними в метрической системе применяется модификация формулы гаверсинусов для точек-антиподов[11]:

, (2.2)

где

;

;

 и  - широты двух точек;

 - разница координат точек по долготе.

После расчета расстояний  производится оценка коэффициентов вхождения j-го района в k-ю зону охвата i-го объекта . Смысл данных коэффициентов в отображении доли района, попадающей в соответствующую зону охвата, а их значения могут принимать значения от 0 до 1.

В простейшем случае, когда для объектов выделяется одна зона охвата, данные коэффициенты будут рассчитываться по следующей формуле:

 (2.3)

Из данной формулы следует, что значение коэффициента вхождения линейно убывает от 1 до 0 на полуинтервале ; ). То есть, при приближении центра района к границе зоны охвата, район начинает входить в нее только частично.

В общем случае, когда имеется k зон охвата, вводится вспомогательный массив , заполняемый следующим образом:

 (2.4)

Иначе говоря, исходные границы зон охвата дополняются нулевой зоной с отрицательным радиусом, что позволяет вывести формулу расчета коэффициентов вхождения:

 (2.5)

Переменные  и  используются для распределения населения граничного района между соседними зонами охвата или для частичного включения районов, располагающихся вблизи границы последней зоны охвата:

 (2.6)

 (2.7)

В качестве примера, в таблице 3 представлены значения коэффициентов вхождения для случая с тремя зонами охвата.

Табл. 3. Значения коэффициентов вхождения районов для трех зон охвата

1

0

0

0

0

0

0

1

0

0

0

0

0

0

1

0


Определив все коэффициенты вхождения, можно рассчитать искомую численность населения в зонах охвата :

 (2.8)

В выражении (2.8)  содержит численность населения, соответствующую j-му району города.

 

.5 Оценка долей рынка торговых объекта в товарной категории

 

.5.1 Описание алгоритма

Алгоритм оценки долей рынка, занимаемых объектами в конкретной товарной категории, базируется на гравитационной модели, описанной в разделе 1.2.3 данной работы. Часть действий, выполняемых в ходе него, аналогична тем, которые представлены в описанном выше алгоритме оценки численности населения. То же самое относится и к входным данным модели, включающим в себя:

·        таблицу объектов ;

·        таблицу подобъектов  (на один объект может приходиться несколько магазинов или иных арендаторов, относящихся к одной или нескольким категориям);

·        таблицу районов Москвы ;

·        таблицу зон охвата ;

·        массив границ зон охвата ;

·        границу полного включения района в зону охвата ;

·        степенные коэффициенты для расчета полезности объектов ;

·        коэффициенты для учета не включенных в расчет объектов .

В рамках данного подхода выполняется следующая последовательность действий:

.        Определение общей привлекательности объектов . Внутри одного торгового центра может присутствовать одновременно несколько арендаторов, предлагающих товары исследуемой категории.

.        Расчёт расстояний между объектами и центрами районов . Методика расчета аналогична представленной в формуле (2.2).

.        Оценка полезностей каждого объекта для жителей каждого из районов :

 (2.9)

.        Получение коэффициентов вхождения районов в зоны охвата торговых объектов  с помощью выражений (2.4 - 2.5).

.        Расчет долей рынка, занимаемых объектами в каждом из районов, с учетом принадлежности последних к той или иной зоне охвата. Для этого в выражение (1.3) включается в качестве множителя в числителе коэффициент вхождения района в зону охвата объекта:

 (2.10)

.       
Расчет средних долей рынка для каждой из зон охвата. Полученные доли затем корректируются с помощью коэффициентов X и Y, чтобы учесть объекты, не включенные в расчет:

 (2.11)

 

.5.2 Допущения и ограничения в модели

Практическая реализация и применение данного подхода к оценки долей рынка сопряжено с необходимостью решения следующих проблем:

§  учет торговых объектов, не включенных в расчет в виду отсутствия данных;

§  калибровка степенных коэффициентов  и ;

§  определение степени влияния на конкуренцию со стороны объектов вне зон охвата анализируемых объектов;

§  определение подхода к получению привлекательностей каждого из объектов .

Принимая во внимание перечисленные проблемы, становится необходимым сделать ряд предположений относительно входных данных и порядка их анализа. Так, для решения первой из проблем, можно допустить, что неучтенные торговые объекты снижают доли рынка учтенных в одинаковой степени. Иначе говоря, предлагается переход от обобщенной доли рынка  к скорректированной , такой что:

 (2.12)

,

а .

Коэффициенты X и Y устанавливаются в зависимости от доступности данных по учтенным объектам, а также от сведений или допущений относительно неучтенных, но в целом, их получение возможно только экспертным путем.

Калибровка корректирующих коэффициентов для полезностей объектов  и  должна производиться по известным данным о долях рынка. Однако в рамках данного исследования сделать подобное не представляется возможным, поэтому значения коэффициентов будут приниматься фиксированными по умолчанию.

Для учета влияния торговых объектов вне зон охвата исследуемого ТЦ на долю рынка последнего можно применить два типа подходов. В первом случае, модель рассматривает только районы внутри зон охвата, а влияние на рынок остальных игнорируется или описывается дополнительными коэффициентами, заданными в виде фиксированных значений или функций от расстояния между исследуемым ТЦ и районами, входящими в зону охвата.

Во втором случае, модель учитывает все районы города и максимально возможное число торговых объектов. Применяя такой подход, районы, объекты и зоны охвата можно описать двумя способами:)         рассматривается несколько зон охвата с центрами в точке, соответствующей анализируемому торговому объекту, и с фиксированным радиусом; районы представляются в виде точек с заданными координатами и равномерно распределенным по ним населением;)    рассматривается одна или большее число зон охвата и районы, представленные в виде полигонов.

Аналогичные рассуждения справедливы и для модели оценки численности населения. В каждом из случаев, для качественной реализации подхода b потребовалось бы использование геоинформационной системы, но поскольку остальные элементы методологии реализуются средствами Excel, было решено применить подход, изложенный в пункте a.

Последней из проблем, связанных с качеством входных данных для гравитационной модели, является адекватность оценки привлекательности . Для практического применения модели в рамках ВКР, с целью упрощения получения данных, планируется использовать наиболее простой из возможных вариантов, при котором в качестве привлекательности объекта принимается его площадь, отведенная под исследуемую товарную категорию.

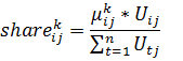
2.6. Оценка структуры расходов потребителей

Описываемая ниже модель предназначается для получения структуры потребительских расходов на основе данных по известным торговым объектам, включающих в себя список товарных категорий, а также доли в товарообороте каждого из объектов. Доли товарооборота могут быть выражены не в денежном, а в относительном виде, что более удобно с точки зрения работы с данными из закрытых источников, к числу которых и относится товарооборот. Полученные результаты могут быть применены для оценки оборота по товарным категориям у других торговых объектов.

В соответствии с выражением (2.1), исходная модель оценки товарооборота имеет вид:

 (2.13)

Выразим из данного равенства долю в структуре расходов :

 (2.14)

В случае, если в модели на вход подавался товарооборот по каждой категории в денежном выражении, далее необходимо преобразовать его в долю от суммарного оборота по всем категориям. Обозначим за  долю t-ой товарной категории в структуре оборота i-го ТЦ.

Также обозначим для простоты записи оператор суммы в знаменателе выражения (2.14), подсчитывающий суммарное количество покупателей, приходящих в i-й ТЦ из всех его зон охвата за товарами i-й категории, как .

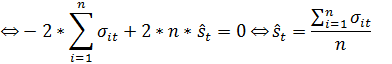
Сделав указанные преобразования, становится возможным рассчитать структуру расходов среднестатистического посетителя i-го ТЦ. Обозначим долю t-й товарной категории в ней за :

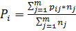
 (2.15)

На основе полученных  требуется оценить долю товарной категории в структуре расходов среднестатистического жителя Москвы . В качестве критерия точности оценки будет выступать минимальность расхождения между известными долями товарных категорий в структуре оборота торговых центров  и их оценками , полученными с применением

(2.16)

Преобразуем данное условие:

Таким образом, оптимальная оценка доли t-ой товарной категории  совпадает со средним арифметическим для рассчитанных .

3. Практическая реализация предложенного подхода к решению задач

 

.1 Описание подхода к практическому применению методологии


В рамках третьей главы данной работы показано использование элементов разработанной методологии для решения соответствующих им задач. Первая часть главы связана с запуском модель прогнозирования оборота по уравнениям регрессии. С этой целью также проведена оценка независимых факторов для обучающей и проверочной выборок - численности населения и долей рынка.

Также рассмотрен запуск исходной модели с разбивкой на товарные категории. Для применения модели оценки структуры расходов населения в рамках работы не удалось собрать достаточного объема информации, поэтому для нее приведены только общие сведения относительно её работы и получаемых результатов.

 

.2 Описание данных для построения регрессионных моделей


В ходе работы была получена информация по расположению и приблизительной величине арендуемой площади для 131 торгового центра Москвы и Московской области. Из них один объект находится в стадии проектирования, и для него требуется получить прогноз по товарообороту. Данный ТЦ далее будет обозначаться как “X”. Остальные объекты являются действующими.

Поскольку величина площадей большинства объектов была указана только приближенно, в качестве показателя привлекательности при расчете долей рынка были взяты значения, округленные с точностью до 15000 м2 и разделенные на эту же величину. Иными словами, за каждые 15 тысяч квадратных метров объекту начислялся один балл привлекательности для посетителей.

Расчеты проводились для районов, относящихся к десяти округам Москвы, существовавшим до её расширения в 2012 году. Соответственно, районы Троицкого и Новомосковского округов не были представлены данных для моделей оценки населения и долей рынка.

 

.3 Запуск модели расчета численности населения в зонах охвата


Было произведено несколько запусков модели оценки численности населения в зонах охвата с разными параметрами:

.        Три зоны охвата с радиусами в 3, 6 и 9 км, граница полного включения района в зону охвата ;

.        Три зоны охвата с радиусами в 4, 8 и 12 км, граница полного включения района в зону охвата ;

.        Три зоны охвата с радиусами в 5, 10 и 15 км, граница полного включения района в зону охвата ;

.        Одна зона охвата с радиусом в 12 км, граница полного включения района в зону охвата .

Суммарные численности населения для ТЦ с известным товарооборотом, а также для неизвестного объекта, полученные в ходе запусков, представлены в таблицах 4 и 5.

Табл. 4. Результаты первой и второй оценок численности, тыс. чел.


Табл. 5. Результаты третьей и четвертой оценок численности, тыс. чел.


В качестве входных данных для построения регрессионных моделей были взяты результаты последнего запуска.

 

.4 Запуск модели расчета конкуренции


Было проведено четыре запуска модели оценки долей рынка объектов со следующими значениями параметров:

·        количество и радиусы зон охвата, а также  идентичны значениям при оценке численности населения;

·        корректирующий коэффициент X = 1, а Y = 0 (изменение первого не повлияет на дальнейшую оценку коэффициентов регрессии, а подобрать значения второго в ходе работы не представлялось возможным в виду отсутствия данных);

·        степенной коэффициент ,  (калибровка значений также не представляется возможной из-за отсутствия данных по товарообороту большинства объектов).

Поскольку предложенный алгоритм оценивает доли рынка в отдельно взятой товарной категории, а для построения регрессий требуется усредненная доля для каждого из объектов, была создана условная категория «ТЦ». Привлекательность торговых центров по данной категории соответствовала их общим арендуемым площадям.

Полученные результаты приведены в таблицах 6 и 7.

Табл. 6. Первый и второй запуски модели оценки долей рынка


Табл. 7. Третий и четвертый запуски модели оценки долей рынка


Результаты четвертого запуска были взяты в качестве значений независимой второй из независимых переменных.

3.5 Прогнозирование товарооборота с помощью регрессионных моделей


В ходе работы было протестировано два набора экзогенных факторов при оценке товарооборота. Численность населения присутствовала в обоих наборах, тогда как в качестве второго фактора выступала общая арендуемая площадь или занимаемая доля рынка. Включение этих двух факторов в модели одновременно могло повлечь за собой возникновение мультиколлинеарности, поскольку между ними прослеживается достаточно высокая корреляция. Для полной выборки, включающей 131 объект, она имеет значение, равное 0.7.

С целью валидации моделей, элементы общей выборки, включающей в себя объекты с известным товарооборотом, а также неизвестный объект, были разбиты на две группы, представленные в таблицах 8 и 9.

Табл. 8. Данные обучающей выборки

Объект

Оборот к эталонному

Население, тыс. чел.

Площадь, тыс. м2

Доля рынка

Авиа Парк

130

5006,696

230

6,62%

Калейдоскоп

30

3068,671

41,047

4,09%

Кунцево-плаза

80

2904,573

65

3,65%

Филион

40

4422,585

55

2,36%

Щука

40

3842,955

42

2,13%


Табл. 9. Данные проверочной выборки

ОбъектОборот к эталонномуНаселение, тыс. чел.Площадь, тыс. м2Доля рынка





X

-

4862,662

50

1,65%

Авиа Парк

130

5006,696

230

6,62%

Калейдоскоп

30

3068,671

41,047

4,09%

Кунцево-плаза

80

2904,573

65

3,65%

Метрополис

100

4237,220

80

4,24%

Филион

40

4422,585

55

2,36%


Построенные на обучающей выборке модели и их характеристики приведены на рисунках 3 и 4.

Табл. 10. Регрессионные модели с населением и площадями в качестве независимых переменных.


Наибольший вклад в объясняющую способность полученных моделей вносит площадь объектов (коэффициент a2 в таблицах 11 и 12). Замена площади на долю рынке приводит к ухудшению качества моделей. Вместе с тем, параметр численности населения внутри зон охвата характеризуется низкими значениями t-статистики во всех моделях.

Табл. 11. Регрессионные модели с населением и долями в качестве независимых переменных.


Табл. 12. Среднее отклонение прогнозных значений от фактических

Модель

С площадями

С долями

Линейная

27,2%

36,2%

Степенная

20,4%

34,6%

Экспоненциальная

28,9%

34,0%

Логарифмическая

16,3%

37,2%


После получения коэффициентов моделей были сделаны прогнозы для объектов из проверочной выборки. Среднее отклонение прогнозных значений от фактических представлено в таблице 10.

Качество прогноза также падает при замене площадей объектов их долями на рынке. Как видно из приведенных выше данных, наиболее точный прогноз для проверочной выборки делают степенная и логарифмическая модели с площадью в качестве второго регрессора. При этом, стоит учитывать, что коэффициенты регрессий строились всего по 5 наблюдениям, а в обучающей и проверочной выборках содержится всего 7 объектов, 2 из которых сильно выделяются по значениям («Метрополис» имеет больший сравнительно высокий сравнительно высокий оборот на м2 площади, а «Авиапарк - значительно большую, чем с других объектов, GLA).

Расхождения между прогнозными и фактическими значениями для моделей с площадью показаны на рисунке 5.

Табл. 13. Прогнозные и фактические значения для моделей с площадью.

 

.6 Запуск исходной модели оценки товарооборота


В рамках работы было проведено два запуска исходной модели оценки оборота для «Метрополиса» и «Филиона». Часть входных данных при этом была взята из тех же источников, что и в курсовой работе. В качестве базового года также был взят 2012. Численность населения в Москве в 2012 году, коэффициенты прироста и её прогноз представлены в таблице 11[12],[13].

Табл. 14. Текущая и прогнозная численность населения Москвы, тыс. чел.

Год

Численность

Прирост за год, %

Изменение к 2012

2012

11796,2

1,9%

100,0%

2013

12016,2

0,8%

101,9%

2014

12115,9

0,8%

102,7%

2015

12213,4

0,8%

103,5%

2016

12308,7

0,7%

104,3%

2017

12400,6

0,7%

105,1%

2018

12488,3

0,7%

105,9%

2019

12571,2

0,6%

106,6%

2020

12649,6

0,5%

107,2%

2021

12714,8

0,5%

107,8%

2022

12780,4

 

108,3%


Оборот розничной торговли в Москве в 2012 году составил 3,64 трлн рублей[14]. В рамках курсовой работы было выбрано пять товарных категорий, соответствующих одной или более позиции в структуре розничного оборота:

·        еда и товары быстрого потребления;

·        одежда и обувь;

·        электроника;

·        товары для дома;

·        косметика и товары для здоровья.

Общий их вес в структуре расходов составляет 70,4%.

Компанией Knight Frank была представлена доля расходов, приходящаяся на арендаторов одного профиля, приблизительно одинаковая для ряда крупных торговых центров Москвы, что дало возможность взять её в качестве структуры потребительских расходов, характерной для посетителей ТЦ.

Табл. 15. Новая структура расходов потребителей

Профиль

Доля

Одежда

45,0%

Еда и товары быстрого потребления

15,5%

Рестораны

8,0%

Электроника

7,7%

Обувь

6,4%

Аксессуары

5,1%

Спорттовары

4,4%

Косметика и товары для здоровья

3,9%

Услуги и развлечение

2,9%

Товары для дома

1,1%


В новой структуре расходов, приведенной в таблице 12, присутствует несколько категорий, не соответствующих данным ФСГС. В частности, объем рынка общественного питания в Москве составляет порядка 150 млрд рублей в год[15]. Совокупные кассовые сборы в России в 2012 году составили 1,2 млрд. долларов США[16], т.е. порядка 40 млрд. рублей; кинотеатры, в свою очередь, формируют большую часть оборота среди арендаторов из категории «услуги и развлечение».

Было сделано предположение, что совокупный объем расходов потребителей в Москве, приходящийся на объекты данного профиля, составляет 2,73 триллиона рублей, т.е. 75% от величины розничного оборота.

Коэффициенты роста рынка розничной торговли взяты из прогноза Минэкономразвития[17].

Табл. 16. Общее конечное потребление, млн. руб.

Год

Объем потребления

Прирост за год, %

2012

2729786,3

5,50%

2013

2879924,6

5,50%

2014

3038320,4

5,50%

2015

3205428,0

5,50%

2016

3381726,6

4,50%

2017

3533904,3

4,50%

2018

3692930,0

4,50%

2019

3859111,8

4,50%

2020

4032771,9

4,50%

2021

4214246,6

3,30%

2022

4353316,7

 


В качестве данных по численности населения и долям рынка в зонах охвата были взяты результаты запусков под номером 2 из разделов 3.3 - 3.4. Доли рынка для каждой товарной категории были взяты эквивалентными доле рынка всего ТЦ, но при этом последняя была уменьшена на одну треть в рамках предположения, что часть оборота в реальности уходит в пользу не включенных в оценку торговых объектов. Доли рынка в прогнозном году идентичны долям для базового года.

Табл. 17. Население и доли рынка для зон охвата объектов


4 км

8 км

12 км

Население, Метрополис, тыс. чел.

641,343

1713,144

1882,733

Население, Филион, тыс. чел.

501,582

1642,922

2278,081

Доли рынка, Метрополис

12,2%

1,8%

0,5%

Доли рынка, Филион

7,3%

1,3%

0,5%


Поскольку, общие потребительские расходы в Москве, а также их структура одинаковы для обоих торговых центров, расходы одного человека на товарную категорию в денежном выражении также оказались одинаковыми.

Табл. 18. Индивидуальные потребительские расходы, тыс. руб.

Товарная категория

2012

2017

Одежда

103,582

127,559

Еда и товары быстрого потребления

35,609

43,852

Кафе и рестораны

18,377

22,631

Электроника

17,640

21,724

Обувь

14,833

18,267

Аксессуары

11,756

14,477

Спорттовары

10,193

12,553

Косметика и здоровье

8,994

11,075

Услуги и развлечение

6,763

8,329

Товары для дома

2,486

3,062

Всего:

230,234

283,528


Итоговые объемы совокупного товарооборота для каждого из торговых центров представлены в таблице 16. Процентное соотношение каждой из категорий товаров идентично представленному в таблице 12, поскольку для каждой из них были взяты одинаковые доли рынка.

Табл. 19. Полученные с помощью исходной модели оценки товарооборота


2012

2017

прирост

%

Метрополис

27586,29131

35712,43

8126,14238

29,5%

Филион

16045,14037

20771,59

4726,445237

29,5%


Сравнить полученные оценки с реальными данными по товарообороту в рамках ВКР не было возможным в виду отсутствия сведений по последним. Однако можно определить, что при данных входных параметрах соотношение полученных оборотов для «Филиона» и «Метрополиса» составляет приблизительно 0.58, что отличается от представленного в таблицах 8 и 9, которое равняется 0.4.

 

3.7 Запуск модели оценки структуры расходов


В виду отсутствия сведений о величине или структуре товарооборота для достаточного числа объектов, а также о соответствующих им долях рынков в разных товарных категориях, запуск данной модели на реальных данных не был возможен. Вместо этого, с целью проверки работоспособности, был осуществлен запуск модели на случайно сгенерированном наборе данных, включающем в себя сведения о восьми объектах. Были взяты те же десять товарных категорий, что и при оценке товарооборота исходной моделью в разделе 3.6. Таблица 20 содержит входные данные относительно структуры товарооборота в каждом из 8 торговых объектов.

Табл. 20. Доли категорий в товарообороте.


Для каждого ТЦ рассматривалось три зоны охвата, численность населения в которых приведена в таблице 21.

Табл. 21. Население в зонах охвата ТЦ, тыс. чел.

Зона 1

Зона 2

Зона 3

Всего

591

1159

2235

3985

491

1184

2238

3913

438

1462

2155

4055

584

1142

2387

4113

420

1209

2045

3674

419

1009

2233

3661

451

1422

2431

4304

492

2033

3739


Для каждого торгового объекта были указаны соответствующие ему доли рынка, занимаемые в каждой из товарных категорий внутри каждой из трех зон охвата.

Табл. 22. Уровни конкуренции для категории «Одежда и обувь»

Объект

Зона #1

Зона #2

Зона #3

Всего посетителей, тыс.

#1

8,5%

3,9%

1,3%

124,491

#2

8,4%

3,2%

0,6%

92,56

#3

7,7%

4,4%

0,8%

115,294

#4

7,2%

3,9%

1,4%

120,004

#5

7,8%

4,2%

1,4%

112,168

#6

7,4%

4,5%

1,1%

100,974

#7

7,0%

5,0%

0,7%

119,687

#8

7,3%

4,3%

1,5%

118,613


Табл. 23. Структура расходов, полученная в результате работы модели.

Категория

Доля

Одежда

44,5%

Еда и тов. быстр. потр.

13,1%

Кафе и рестораны

9,8%

Электроника

3,3%

Обувь

8,3%

Аксессуары

4,5%

Спорттовары

4,4%

Косметика и здоровье

3,2%

Услуги и развлечение

1,6%

Товары для дома

7,4%

Всего

100,0%


Заключение


Разработанная в рамках ВКР методология оценки оборота торговых объектов включает в себя ряд взаимосвязанных модулей, предназначенных для прогнозирования как непосредственно товарооборота, так и вспомогательных данных, к которым относятся численность населения и уровень конкуренции в зонах охвата объектов, а также структура расходов потребителей. Применение этой методологии дает необходимую информацию для оценки величины арендных платежей в существующих и проектируемых торговых центрах, а, следовательно, и их рентабельности.

Использование методологии на практике дало возможность оценить оборот для ряда торговых центров Москвы и частично сопоставить прогнозные значения с фактическими. Точность полученных прогнозов оказалась разной в зависимости от объекта, что обусловлено рядом факторов.

Прежде всего, возникновение отклонений прогнозов вызвано доступностью информации лишь о небольшом числе торговых объектов, равно как и низким уровнем её детализации. В ходе прогнозирования с помощью регрессионных уравнений, обучающая и проверочная выборки включали, в общей сложности, всего семь объектов. Прямая оценка качества работы исходной модели оборота и вовсе не представилась возможной, поскольку не было фактических сведений о величине оборота объектов в денежном выражении.

Нехватка данных также оказала влияние на выбор в пользу относительной простоты выбранных способов реализации элементов методологии - оценки численности населения, конкуренции и использование всего двух регрессоров при оценке товарооборота.

Несмотря на описанные ограничения, всё же можно сказать, что в ходе работы были полностью выполнены поставленные задачи. Были рассмотрены возможны подходы к оценке оборота и доработке исходной модели, созданной в рамках курсового проекта. С учетом имеющихся теоретических сведений была разработана полноценная методология прогнозирования товарооборота. Наконец, с помощью этой методологии были составлены прогнозы по обороту в ряде существующих, а также одном проектируемом объекте.

Дальнейшее улучшение созданной методологии может проводиться по ряду направлений:

·        увеличение числа объектов, для которых доступна информация, на основе которой может проводиться прогнозирование: точность регрессионных моделей, как правило, возрастает с ростом числа наблюдений, а наличие сведений об абсолютных величинах товарооборотов для значительного числа объектов даст возможность осуществления калибровки остальных моделей;

·        получение более детальной информации об арендаторах торговых центров, а также о наиболее крупных объектах, работающих в исследуемых товарных категориях, что дало бы возможность проводить более гибкую оценку положения на рынке того или иного ТЦ;

·        расширение имеющихся сведений о характеристиках объектов, которое позволило бы более точно оценивать их привлекательность для посетителей, а, следовательно, и занимаемую ими долю рынка; общая арендуемая площадь, безусловно, оказывает влияние на итоговую величину товарооборота, однако было бы целесообразно рассмотреть и иные факторы, вроде расположения относительно транспортных путей, числа парковочных мест или наличия иных предоставляемых дополнительно услуг;

·        внесение изменений в модуль оценки численности населения с целью повышения точность его работы или его реализация средствами одной из геоинформационных систем, позволяющих значительно более точно определять границы зон охвата и число попадающих в них людей.

Литература

1.      Структура ВВП России // www.newsruss.ru - http://newsruss.ru/doc/index.php/Структура_ВВП_России

.        http://tass.ru/ekonomika/1728983

.        Рынок торговой недвижимости // Knight Frank. Москва, 2014.

.        Лазаренко А. А. Методы оценки конкурентоспособности [Текст] / А. А. Лазаренко // Молодой ученый. - 2014. - №1. - С. 374-377.

.        Павлова Н. Н. Маркетинговый подход к оценке конкурентоспособности магазина (сервиса) // "Маркетинг в России и за рубежом" - 2005 - №1.

6.      David L. Huff. Parameter Estimation in the Huff Model // ArcUser, October - December, 2003 - esri.com

7.      Российский статистический ежегодник - 2013 г. // Федеральная служба государственной статистики, 2013.

.        Административные округа и районы Москвы // портал «Электронная Москва» - http://mosopen.ru/regions.

.        Хортонен А. А. Географические информационные системы как класс систем поддержки принятия решений при управлении пространственность информацией (на примере банковской сферы) // Вестник Астраханского государственного технического университета. Серия: Управление, вычислительная техника и информатика - 2011 - №1.

.        Зборовский Р.Д., Сидоренко В. И., Солдатов Г. И. Рынок торговой недвижимости. Модель расчета товарооборота торговых центров // НИУ ВШЭ, 2014.

.        Вычисление расстояния и начального азимута между двумя точками на сфере // www.gis-lab.info - http://gis-lab.info/qa/great-circles.html

.        Численность постоянного населения на 1 января // Единая межведомственная информационно-статистическая система - http://www.fedstat.ru/indicator/data.do?id=31557

.        Предположительная численность населения Российской Федерации до 2030 года (статистический бюллетень) // Федеральная служба государственной статистики. Москва, 2013.

.        Розничная торговля и услуги населению // Федеральная служба государственной статистики

.        Рынок общественного питания // Intesco Research Group. Москва, 2014.

.        Обзор российского кинорынка. Итоги 2012 года // Невафильм Research. Санкт-Петербуг, апрель 2013.

.        Прогноз долгосрочного социально-экономического развития РФ до 2030 года // Минэкономразвития России.

Приложение 1

Исходный код написанных для методологии макросов

 

Блок общего назначения

'получение тела таблицы

Function GetTable(tableName)= ThisWorkbook.Sheets("Справочные_данные").ListObjects(tableName).DataBodyRange.ValueFunctionGetTable2(sheet, colStart, rowStart, colEnd)= ThisWorkbook.Sheets(sheet).Range(colStart & Rows.Count).End(xlUp).Row= ThisWorkbook.Sheets(sheet).Range(colStart & rowStart & ":" & colEnd & rowEnd)Function

'очистка листаClearSheet(sheetname As String)(sheetname).Cells.ClearSub

'расчет расстояния меджу объектом и р-ном по формуле гаверсинусов

'координаты - десятичные, расст. в кмGetDistance(objLat, objLong, areaLat, areaLong)Application.WorksheetFunction= .Atan2(Sin(.Pi() * objLat / 180) * Sin(.Pi() * areaLat / 180) + Cos(.Pi() * objLat / 180) * _(.Pi() * areaLat / 180) * Cos(Abs(.Pi() * areaLong / 180 - .Pi() * objLong / 180)), _

((Cos(.Pi() * areaLat / 180) * Sin(.Pi() * areaLong / 180 - .Pi() * objLong / 180)) ^ 2 + _

(Cos(.Pi() * objLat / 180) * Sin(.Pi() * areaLat / 180) - Sin(.Pi() * objLat / 180) * _(.Pi() * areaLat / 180) * Cos(Abs(.Pi() * areaLong / 180 - .Pi() * objLong / 180))) ^ 2) ^ 0.5) * 6372795 _

/ 1000

End With

End Function

Блок расчета численности населения

Sub CalculatePopulation().ClearSheet ("Насел_в_ЗО") 'очистка листаborder = ActiveWorkbook.Worksheets("Справочные_данные").Range("_DistanceBorder").Value 'пороговое расстояние для ЗО= General.GetTable("Data_Objects") 'таблицы объектов, ЗО и р-нов= General.GetTable("Data_Zones")= General.GetTable("Data_Areas")distances(1 To UBound(objects, 1), 1 To UBound(areas, 1)) 'массив расстояний между объектами и р-намиincludeCoeffs(1 To UBound(objects, 1), 1 To UBound(areas, 1), 1 To UBound(zones, 1)) 'коэффициенты вхождения р-на в ЗОzonesPop(1 To UBound(objects, 1), 1 To UBound(zones, 1)) 'население в ЗО каждого ТЦ

ReDim zoneBorders(1 To UBound(zones, 1) + 1) 'расширенный массив сграницами ЗО для проверки на полноту вхождения р-нов в ЗО

zoneBorders(1) = -1 * borderk = 2 To UBound(zoneBorders, 1)(k) = zones(k - 1, 2)ki = 1 To UBound(objects, 1) 'для каждого объекта

If objects(i, 4) = "Да" Then 'если включен в расчет

For j = 1 To UBound(areas, 1)

'определение расст. между i-м объектом и ЗО

distances(i, j) = General.GetDistance(objects(i, 2), objects(i, 3), areas(j, 4), areas(j, 5))

'определение вхождений р-нов в ЗО

For k = 2 To UBound(zoneBorders, 1)(zoneBorders(k - 1) - border <= distances(i, j) And _(i, j) < zoneBorders(k - 1) + border) Then 'beta (слишком близко к объекту)(i, j, k - 1) = (distances(i, j) - zoneBorders(k - 1) + border) / (2 * border)(zoneBorders(k - 1) + border <= distances(i, j) And _(i, j) < zoneBorders(k) - border) Then '1 (полностью входит)(i, j, k - 1) = 1(zoneBorders(k) - border <= distances(i, j) And _(i, j) < zoneBorders(k) + border) Then 'alpha (слишком далеко от объекта)(i, j, k - 1) = (zoneBorders(k) + border - distances(i, j)) / (2 * border)(i, j, k - 1) = 0Ifkj

'подсчет суммарного населения в ЗО

For k = 1 To UBound(zones, 1)

zonesPop(i, k) = 0j = 1 To UBound(areas, 1)(i, k) = zonesPop(i, k) + areas(j, 3) * includeCoeffs(i, j, k)jkIf

Next i

'вывод результатов на лист.Sheets("Насел_в_ЗО").Cells(3, 1) = "Объекты\зоны"

ThisWorkbook.Sheets("Насел_в_ЗО").Cells(3, 1).Font.Bold = True.Sheets("Насел_в_ЗО").Cells(3, 2 + UBound(zones, 1)) = "Всего".Sheets("Насел_в_ЗО").Cells(3, 2 + UBound(zones, 1)).Font.Bold = Truei = 1 To UBound(objects, 1).Sheets("Насел_в_ЗО").Cells(3 + i, 1) = objects(i, 1).Sheets("Насел_в_ЗО").Cells(3 + i, 1).Font.Bold = Trueik = 1 To UBound(zones, 1).Sheets("Насел_в_ЗО").Cells(3, 1 + k) = zones(k, 1).Sheets("Насел_в_ЗО").Cells(3, 1 + k).Font.Bold = Truek.Sheets("Насел_в_ЗО").[B4].Resize(UBound(zonesPop, 1), UBound(zonesPop, 2)) = zonesPopi = 1 To UBound(objects, 1)(3 + i, 2 + UBound(zones, 1)).Value = _.sum(Range(Cells(3 + i, 2), Cells(3 + i, 1 + UBound(zones, 1))))i(Cells(4, 2), Cells(3 + UBound(objects, 1), 2 + UBound(zones, 1))).NumberFormat = "0.000"

End Sub

Блок расчета долей рынка объектов

Sub ShareButtonClick()category As String= ActiveWorkbook.Worksheets("Конкуренция").Range("_ShareCategory").Value= GetShares(category)= General.GetTable("Data_Objects")= General.GetTable("Data_Zones").Sheets("Конкуренция").Cells(4, 1) = "Объекты\зоны".Sheets("Конкуренция").Cells(4, 1).Font.Bold = Truei = 1 To UBound(objects, 1).Sheets("Конкуренция").Cells(4 + i, 1) = objects(i, 1).Sheets("Конкуренция").Cells(4 + i, 1).Font.Bold = Trueik = 1 To UBound(zones, 1).Sheets("Конкуренция").Cells(4, 1 + k) = zones(k, 1).Sheets("Конкуренция").Cells(4, 1 + k).Font.Bold = Truek.Sheets("Конкуренция").[B5].Resize(UBound(zoneShares, 1), UBound(zoneShares, 2)) = zoneShares(Cells(5, 2), Cells(4 + UBound(objects, 1), 2 + UBound(zones, 1))).NumberFormat = "0.00%"SubGetShares(category As String)border = ActiveWorkbook.Worksheets("Справочные_данные").Range("_DistanceBorder").Value 'пороговое расстояние для ЗОx = ActiveWorkbook.Worksheets("Справочные_данные").Range("_X").Value 'корректирующие коэфф.Y = ActiveWorkbook.Worksheets("Справочные_данные").Range("_Y").Valuea = ActiveWorkbook.Worksheets("Справочные_данные").Range("_Alpha").Value 'коэфф для полезностиb = ActiveWorkbook.Worksheets("Справочные_данные").Range("_Beta").Value= General.GetTable("Data_Objects") 'таблицы объектов, подобъектов, ЗО и р-нов= General.GetTable("Data_Subobjects")= General.GetTable("Data_Zones")= General.GetTable("Data_Areas")attr(1 To UBound(objects, 1)) 'привлекательностьdistances(1 To UBound(objects, 1), 1 To UBound(Areas, 1)) 'расстоянияutil(1 To UBound(objects, 1), 1 To UBound(Areas, 1)) 'полезностьincludeCoeffs(1 To UBound(objects, 1), 1 To UBound(Areas, 1), 1 To UBound(zones, 1)) 'коэффициенты вхождения р-на в ЗОshares(1 To UBound(objects, 1), 1 To UBound(Areas, 1), 1 To UBound(zones, 1)) 'доли рынкаzoneShares(1 To UBound(objects, 1), 1 To UBound(zones, 1)) 'доли рынка внутри зон охвата zoneBorders(1 To UBound(zones, 1) + 1) 'расширенный массив сграницами ЗО для проверки на полноту вхождения р-нов в ЗО

zoneBorders(1) = -1 * borderk = 2 To UBound(zoneBorders, 1)(k) = zones(k - 1, 2)k

'привлекательность, расстояние и полезности

For i = 1 To UBound(objects, 1)

'подсчет суммарной привлекательности объекта в категории

attr(i) = 0t = 1 To UBound(subobjects, 1)subobjects(t, 3) = category And subobjects(t, 2) = objects(i, 1) Then(i) = attr(i) + subobjects(t, 4) If

Next t

'для объектов с ненулевой привлекательностью

If attr(i) > 0 Thenj = 1 To UBound(Areas, 1)

'определение расстояний до районов(i, j) = General.GetDistance(objects(i, 2), objects(i, 3), Areas(j, 4), Areas(j, 5))

'определение полезностей

If distances(i, j) > 0 Then

util(i, j) = attr(i) ^ a / distances(i, j) ^ b If

'определение вхождений р-нов в ЗО

For k = 2 To UBound(zoneBorders, 1)(zoneBorders(k - 1) - border <= distances(i, j) And _(i, j) < zoneBorders(k - 1) + border) Then 'beta (слишком близко к объекту)(i, j, k - 1) = (distances(i, j) - zoneBorders(k - 1) + border) / (2 * border)(zoneBorders(k - 1) + border <= distances(i, j) And _(i, j) < zoneBorders(k) - border) Then '1 (полностью входит)(i, j, k - 1) = 1(zoneBorders(k) - border <= distances(i, j) And _(i, j) < zoneBorders(k) + border) Then 'alpha (слишком далеко от объекта)(i, j, k - 1) = (zoneBorders(k) + border - distances(i, j)) / (2 * border)(i, j, k - 1) = 0Ifkj If

Next i

'определение долей рынка объектов в каждом районе с разбиением по зонам охвата

For j = 1 To UBound(Areas, 1)

'определение суммарной полезности всех объектов для р-на

sumUtil = 0i = 1 To UBound(objects, 1)= sumUtil + util(i, j) i

'если все полезности = 0

If sumUtil = 0 Theni = 1 To UBound(objects, 1)k = 1 To UBound(zones, 1)(i, j, k) = 0k i

'если существует ненулевая полезность от 1 или более объектов

Elsei = 1 To UBound(objects, 1)k = 1 To UBound(zones, 1)(i, j, k) = includeCoeffs(i, j, k) * util(i, j) / sumUtilkiIf j

'определение долей рынка объектов в их зонах охвата

For i = 1 To UBound(objects, 1)k = 1 To UBound(zones, 1) = 0 'общая численность населения р-нов внутри зоны охвата

sharesOnPop = 0 'сумма произведений численностей населения и долей рынка в районах

For j = 1 To UBound(Areas, 1)includeCoeffs(i, j, k) > 0 Then= sumPop + Areas(j, 3) * includeCoeffs(i, j, k)= sharesOnPop + shares(i, j, k) * Areas(j, 3) If

Next j

'если в зону охвата объекта попадает хотя бы один район

If sumPop > 0 Then(i, k) = sharesOnPop / sumPop * x - YIfki= zoneSharesFunctionClearShares()ThisWorkbook.Sheets("Конкуренция")

.Rows("3:" & Rows.Count).Clear With

End Sub

Блок построения регрессионных моделей

Sub RegressionButtonClick()SubCalculateRegressions()

'линейная модель= General.GetTable2("Регрессии", "B", "6", "B")= General.GetTable2("Регрессии", "C", "6", "D")= Application.WorksheetFunction.LinEst(rY, rX, True, True)ThisWorkbook.Sheets("Регрессии")

.Range("P4").Value = lin(3, 1)

.Range("P5").Value = lin(4, 1)

.Range("R4").Value = lin(3, 2)

.Range("R5").Value = lin(4, 2)

.Range("P7").Value = lin(1, 3)

.Range("Q7").Value = lin(1, 2)

.Range("R7").Value = lin(1, 1)

.Range("P8").Value = lin(1, 3) / lin(2, 3)

.Range("Q8").Value = lin(1, 2) / lin(2, 2)

.Range("R8").Value = lin(1, 1) / lin(2, 1)With

'степенная модельrY2(1 To UBound(rY, 1), 1 To 1)rX2(1 To UBound(rX, 1), 1 To UBound(rX, 2))i = 1 To UBound(rY, 1)(i, 1) = Application.WorksheetFunction.Ln(rY(i, 1))(i, 1) = Application.WorksheetFunction.Ln(rX(i, 1))(i, 2) = Application.WorksheetFunction.Ln(rX(i, 2))i= Application.WorksheetFunction.LinEst(rY2, rX2, True, True)ThisWorkbook.Sheets("Регрессии")

.Range("P11").Value = pow(3, 1)

.Range("P12").Value = pow(4, 1)

.Range("R11").Value = pow(3, 2)

.Range("R12").Value = pow(4, 2)

.Range("P14").Value = pow(1, 3)

.Range("Q14").Value = pow(1, 2)

.Range("R14").Value = pow(1, 1)

.Range("P15").Value = pow(1, 3) / pow(2, 3)

.Range("Q15").Value = pow(1, 2) / pow(2, 2)

.Range("R15").Value = pow(1, 1) / pow(2, 1)With

'экспоненциальная модельi = 1 To UBound(rY, 1)(i, 1) = rX(i, 1)(i, 2) = rX(i, 2)i= Application.WorksheetFunction.LinEst(rY2, rX2, True, True)ThisWorkbook.Sheets("Регрессии")

.Range("P18").Value = expon(3, 1)

.Range("P19").Value = expon(4, 1)

.Range("R18").Value = expon(3, 2)

.Range("R19").Value = expon(4, 2)

.Range("P21").Value = expon(1, 3)

.Range("Q21").Value = expon(1, 2)

.Range("R21").Value = expon(1, 1)

.Range("P22").Value = expon(1, 3) / expon(2, 3)

.Range("Q22").Value = expon(1, 2) / expon(2, 2)

.Range("R22").Value = expon(1, 1) / expon(2, 1)With

'логарифмическая модельi = 1 To UBound(rY, 1)(i, 1) = rY(i, 1)(i, 1) = Application.WorksheetFunction.Ln(rX(i, 1))(i, 2) = Application.WorksheetFunction.Ln(rX(i, 2))i= Application.WorksheetFunction.LinEst(rY2, rX2, True, True)ThisWorkbook.Sheets("Регрессии")

.Range("P25").Value = logar(3, 1)

.Range("P26").Value = logar(4, 1)

.Range("R25").Value = logar(3, 2)

.Range("R26").Value = logar(4, 2)

.Range("P28").Value = logar(1, 3)

.Range("Q28").Value = logar(1, 2)

.Range("R28").Value = logar(1, 1)

.Range("P29").Value = logar(1, 3) / logar(2, 3)

.Range("Q29").Value = logar(1, 2) / logar(2, 2)

.Range("R29").Value = logar(1, 1) / logar(2, 1) WithSub

'очистка ячеек с информацией о моделях

Sub ClearRegressionData()ThisWorkbook.Sheets("Регрессии")

.Range("P4:P5").ClearContents

.Range("R4:R5").ClearContents

.Range("P7:R8").ClearContents

.Range("P11:P12").ClearContents

.Range("R11:R12").ClearContents

.Range("P14:R15").ClearContents

.Range("P18:P19").ClearContents

.Range("R18:R19").ClearContents

.Range("P21:R22").ClearContents

.Range("P25:P26").ClearContents

.Range("R25:R26").ClearContents

.Range("P28:R29").ClearContentsWithSub

Похожие работы на - Разработка полноценной методологии для прогнозирования товарооборота в торговом объекте

 

Не нашли материал для своей работы?
Поможем написать уникальную работу
Без плагиата!
Без нейросетей!