Проектирование механизма для поднятия груза на высоту 200 мм
Содержание
Введение
.
Обзор и анализ существующих конструкций
.
Описание и принцип действия спроектированного механизма
.
Расчеты, подтверждающие работоспособность конструкции
.1
Выбор электродвигателя
.2
Кинематический расчёт
.3
Расчёты, подтверждающие работоспособность зубчатой передачи
.3.1
Расчет зубчатых колес на контактную выносливость
.3.2
Расчет зубьев на выносливость при изгибе
.3.3
Основные параметры зубчатой передачи
.3.4Точность
зубчатой передачи
.4
Расчёт передачи винт-гайка
.5
Расчёт работоспособности подшипников качения
.6
Силовой расчет вала
.6.1
Определение диаметров валов
.6.2
Расчёт на усталостную прочность
.6.3
Расчёт валов на жёсткость
.7
Расчёт направляющих скольжения
Заключение
механизм подшипник зубчатый вал
Введение
Целью курсового проекта является приобретение
навыков принятия самостоятельных конструктивных решений, усвоение
последовательности разработки механизмов общего назначения, закрепление
учебного материала по расчету типовых деталей приборов.
Привод состоит из электродвигателя и зубчатого
редуктора. Электродвигатель выбирается по требуемой мощности и ориентировочной
частоте вращения. Зубчатые передачи проектируются по критерию контактной
прочности активной поверхности зубьев, проверяются по контактным и изгибным
напряжениям. Ориентировочный расчет валов проводится на чистое кручение по
пониженным допускаемым напряжениям. Подшипники выбираем по характеру нагрузки
на валы и по диаметрам валов, проверяем на долговечность по динамической
грузоподъемности. Шпоночные соединения проверяем на смятие.Способ смазки и
уровень масла обусловлены компоновкой механизма. Масло выбирается исходя из
действующих контактных напряжений и окружной скорости в зацеплениях.
В результате работы должна быть получена
компактная и эстетичная конструкция редуктора, отвечающая современным
требованиям, предъявляемым к механизмам данного назначения.
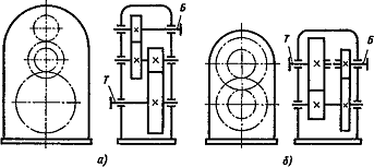
1. Обзор и анализ существующих конструкций.
Наиболее распространены двухступенчатые
горизонтальные редукторы, выполненные по развернутой схеме. Эти редукторы отличаются
простотой, но из-за несимметричного расположения колес на валах повышается
концентрация нагруз ки по длине зуба. Поэтому в этих редукторах следует приме
нять жесткие валы.
Соосная схема позволяет получить меньшие габа
риты по длине; это ее основное преимущество.
В соосных редукторах быстроходная ступень
зачастую недогружена, так как силы, возникающие в зацеплении колес тихоходной
ступени, значительно больше, чем в быстроходной, а межосевые расстояния
ступеней одинаковы (aWB = аwt). Указан ное обстоятельство является одним из
основных недостатков соосных редукторов. Кроме того, к их недостаткам относят
также:
а)большие габариты в направлении геометрических
осей валов, по сравнению с редукторами, выполненными по развернутой схеме;
б)затруднительность смазывания подшипников,
расположенных в средней части корпуса;
в)большое расстояние между опорами
промежуточного вала, поэтому требуется увеличить его диаметр для обеспечения
достаточной прочности и жесткости.
Очевидно, применение соосных редукторов
ограничивается случаями, когда нет необходимости иметь два выходных конца
быстроходного или тихоходного вала, а совпадение геометри ческих осей входного
и выходного валов удобно при намеченной общей компоновке привода.
В отношении типа зубьев и подшипников в
двухступенча тых редукторах справедливо сказанное относительно одно ступенчатых
цилиндрических редукторов; часто быстроходную ступень выполняют косозубой, а
тихоходную - прямозубой (это относится как к соосным, так и к несоосным
редукторам).
Тихоходная ступень при этом может иметь либо
шевронные колеса, либо прямозубые.
При раздвоенной быстроходной (или тихоходной)
ступени колеса расположены симметрично относительно опор, что приводит к
меньшей концентрации нагрузки по длине зубьев, чем при применении обычной
развернутой или соосной схемы. Это позволяет иметь в рассматриваемом случае
менее жест кие валы. Быстроходный вал редуктора, показанного на рис., должен
иметь свободу осевого перемещения («плавающий» вал), что обеспечивается
соответствующей конструкцией подшипниковых узлов; в редукторе с шевронными
тихоходными колесами свободу осевого перемещения должен иметь и тихоходный вал.
При соблюдении указанного условия нагрузка распределяется поровну между
параллельно работающими парами зубчатых колес.

Двухступенчатые цилиндрические редукторы обычно
приме няют в широком диапазоне передаточных чисел: по ГОСТ 2185 - 66 м = 6,3
ч-63. Крупные двухступенчатые цилиндрические редукторы, выпускаемые НКМЗ, имеют
и = 7,334-44,02.
От целесообразной разбивки общего передаточного
числа двухступенчатого редуктора по его отдельным ступеням в значительной
степени зависят габариты редуктора, удобство смазывания
каждой ступени, рациональность конструкции корпуса и удобство компоновки всех
элементов передач. Дать рекомендации разбивки передаточного числа,
удовлетворяющие всем указанным требованиям, невозможно, и поэтому все
рекомендации следует рассматривать как ориентировочные.
2. Описание и принцип действия спроектированного
механизма
Данный механизм предназначен для поднятия груза
на высоту 200мм. Преобразует вращение вала электродвигателя в перемещение
обьекта.
Данный механизм вертикального перемещения
состоит из корпуса, в котором размещаются элементы передачи - зубчатые колёса,
валы, подшипники, а так же из направляющей и гармошки, которая защищает от
окружающей среды.
Корпус выполним литым. Валы монтируются на
подшипниках качения.
Спроектированный в данном курсовом проекте
механизм вертикально перемещения соответствует условиям технического задания
(приложение 1).
Конструкция механизма отвечает всем сборочным и
техническим требованиям.
Крутящий момент с вала двигателя с помощью
шпонки передаётся зубчатому колесу. Оно, в свою очередь, вращает зубчатое
колесо, которое передаёт крутящий момент следующему зубчатому колесу. Последнее
зубчатое колесо передаёт крутящий момент выходному валу.
Сборка и демонтаж соединений проводится в
соответствии с чертежом.
Во избежание травм при эксплуатации привода
следует строго соблюдать технику безопасности.
3. Расчеты, подтверждающие работоспособность
конструкции
3.1 Выбор
электродвигателя
Для определения требуемой мощности двигателя
необходимо знать силу тяжести, развиваемую приводом, силу трения и скорость
перемещения каретки. Определяем силу тяжести:
=FТ
+Fтр=m*g+µ*m*g=20*10+0,1*20*10=200+20 = 220H,
где FТ - сила тяжести;тр- сила
трения.
Рассчитываем скорость перемещения
каретки:
V=
=0,0033м/c
Переходим к непосредственному
расчету полезной мощности:
P=V *ΣF=0,0033*220=0,67Вт
Находим с учетом кпд механизма
затраченную мощность (принимаем суммарное кпд редуктора и катушки 0,5):
η=
=
Мощность электродвигателя должна быть не ниже
той, которая
была определены выше. Из существующих электродвигателей выбирают
маломощные. Выберем
двигатель УАД с
мощностью10Вт и частотой
вращения
ротора 2800об/мин.
3.2 Кинематический расчёт
Входе проектирования был выбран
электродвигатель УАД-42,Р=10 Вт, n=2800 об/мин.
Скорость вращения вала двигателя:


ίΣ=29
С учетом передаточного числа мы
можем высчитать скорость вращения выходного вала
nвых=
Погрешность, возникающую при такой операции:
.3.Расчёты, подтверждающие
работоспособность зубчатой передачи
В редукторе используются
цилиндрические зубчатые колёса, выполненные без смещения. Материал ведущего
колёса - Сталь 40Х ГОСТ 4543-71, твёрдость зубьев 45-55 HRCэ
3.3.1 Расчет
зубчатых колес на контактную выносливость
Здесь и далее на прочность будут
просчитываться элементы, подвергающиеся наибольшим нагрузкам. Однотипные им
элементы, подвергающиеся меньшим нагрузкам, просчитываться не будут.
Расчёты даны в соответствии с
рекомендациями ГОСТ 21354-75.
Для начала найдем допустимое
контактное напряжение:

,
где
- предел контактной выносливости
при базовом числе циклов работы. 
. Значение HRC берется для стали
объемной закалки (HRC = 40). 
;

- коэффициент долговечности. Если
число циклов нагружения каждого колеса больше базового, то принимают 
;

- коэффициент безопасности, при
объемной закалке 

.
Далее, пользуясь формулой
проектировочного расчета, найдем допустимое межосевое расстояние:

,
где Ка для прямозубых передач 49.5-
передаточное число, принимается за 10/40=0.25 - наибольшее передаточное число;-
передаваемый момент, принят M = 8;

- коэффициент концентрации
контактной нагрузки, 
;

- допустимое контактное напряжение,
найдено ранее 
;

- коэффициент ширины колеса, 
.

.
Таким образом минимальное межосевое
расстояние составляет 8.2 мм.
3.3.2 Расчет зубьев на выносливость
при изгибе
Применим формулу проектировочного
расчета для нахождения минимального модуля зубчатых колес:

,
Где M -
передаваемый момент, принят M = 8;

- коэффициент нагрузки, 
,
Где
- коэффициент, учитывающий
неравномерность нагрузки по длине зуба, 
;

- коэффициент, учитывающий
динамическое действие нагрузки, 
.

.

- коэффициент, учитывающий форму
зуба, так как количество зубьев 18, то 
;

- допускаемое напряжение, 
, где

- предел выносливости, 
;

- коэффициент безопасности, 
, где

- коэффициент, учитывающий
нестабильность свойств материала, 
;

- коэффициент, учитывающий способ
получения заготовки зубчатого колеса, 
;

;

;

- коэффициент ширины зубчатого
колеса, 
;

- количество зубьев, 
(выбираем наименьшее для получения
предельного значения модуля);

.
Из ряда стандартных модулей
принимаем модуль равным1. Это позволит упростить производство.
.3.3 Основные параметры зубчатой
передачи
Торцевой модуль зацепления =m=1 мм.
Число зубьев колеса - z1=10, z3
=20;=i12*z1=7*10=70 z4= i34*z3=4*20=80
Делительный
диаметр :=m*z1=10 мм, d2=m*z2=70 мм,=m*z3=20 мм, d4=m*z4=80мм.
Диаметр
окружности вершин зубьев:=d1+2m=17мм,
da2=d2+2m=72мм.,=d3+2m=22мм,da4=d4+2m=82мм.
Диаметр
окружности впадин зубьев :=d1-2,5m=7.5мм, df2=d2-2,5m=67,5 мм.,=d3-2,5m=17,5
мм, df4=d4-2,5m=77,5 мм.
Межосевое
расстояние:
мм.
мм.
Ширина
зубчатого венца :b=1*10=10мм
3.3.4
Точность зубчатой передачи
Зубчатая
передача тихоходная, режим работы - реверсивный. По своему функциональному
назначению отнесём зубчатую передачу к категории кинематических и назначим
восьмую степень точности по нормам кинематической точности. Так как передача
реверсивная, то ужесточим требования по нормам плавности работы зубчатой
передачи относительно выбранной степени точности по нормам кинематической
точности. Назначим седьмую степень точности по нормам плавности работы.
По
нормам полноты контакта зубьев в зацеплении назначим более грубую - восьмую
степень точности с учётом допускаемых стандартом пределов комбинирования степеней
точности.
Так
как передача кинематическая, работающая в реверсивном режиме
при
относительно невысоких окружных скоростях и умеренных нагрузках,
выбираем
вид сопряжения зубьев в зацеплении - D, допуск на боковой зазор - d, класс
отклонений межосевого расстояния - III.
Точность
зубчатой передачи: 8D ГОСТ 1643-81.
3.4
Расчёт передачи винт-гайка
1.Расчет
передачи винт гайка начинают с определения среднего диаметра резьбы (d2) по
критерию износоустойчивости.
(1)
где=mg=200
- расчетное усилие, Н;
YH= Hг / d -
коэффициент высоты гайки, Нг - высота гайки, мм;
Рекомендуемое
значение коэффициента высоты гайки 1,2...2,5.
Yh = h / P -
коэффициент высоты резьбы, Yh
= 0,75;- рабочая высота профиля резьбы, мм.;
Р
- шаг резьбы, мм;
мм. (2)
Исходя
из конструкторских соображений принимаем:
d2
= D2 = 10 мм ;P = 2 мм
Высоту
гайки Н определяют по формуле (2), в зависимости от принятого значения
коэффициента высоты гайки - YH.
Нг
= YH×d2; Нг =
0,75 × 10 = 7,5
мм.
Число
витков резьбы в гайке вычисляется по выражению:= Hг / P; Z = 7,5/1 = 7,5.<
10, следовательно выбранная резьба удовлетворяет нас.
.
Проверка соблюдения условия самоторможения
Для
большинства механизмов, использующих передачу винт-гайка, является обязательным
удовлетворение условия самоторможения:
y<j,
где
y - угол
подъема винтовой линии по среднему диаметру;
j - угол
трения винтовой пары.
Угол
трения определяется из соотношения:
j = arctgfд
где
fд - действительный коэффициент трения в винтовой паре.
Действительный
коэффициент трения для сочетания: сталь по стали принимают - 0.15, сталь по
чугуну - 0.3, сталь по бронзе - 0.12.
При
типах резьб отличных от прямоугольной (квадратной), вместо коэффициента fд
подставляют условный (приведенный) коэффициент трения.
,
где
- угол
между боковой стороной профиля резьбы в направлении действия нагрузки и
перпендикуляром к оси винта.
Для
резьб, отличных по профилю от прямоугольной, используют понятие приведенного
угла трения:
, где для
упорной
пр = 1,001fД
;
(5)
Для
всех видов резьб угол подъема нарезки резьбы определяется по соотношению:
где Р - шаг
резьбы, мм;- средний диаметр резьбы, мм.
(6)
Для
самотормозящих винтов величина угла трения винтовой пары находится в пределах
5°...8°. Тогда, чтобы с гарантией соблюсти условие самоторможения - (y<j), разность
междуy и j должна составлять не менее
1°.
<
- условие
выполняется.
.
Определим момент трения в витках винта:
Ттр
= 0,5 ×d2 ×F×tg (y + j) (16)
Ттр
= 0,5×20×tg (
+
)=179 Н.мм
.5
Расчёт работоспособности подшипников качения
Выбираем
радиально-упорные однорядные шарикоподшипники. Они воспринимают осевые и
радиальные нагрузки, действующих в обоих направлениях вдоль оси вала.
Подшипники допускают перекосы валов до 10’, по сравнению с подшипниками других
типов имеют минимальные потери на трение, фиксируют положение вала относительно
корпуса в двух осевых направлениях. Этот вид подшипников заполняется
заводом-изготовителем пластичным смазочным материалом и в дополнительной смазке
не нуждается.
Пригодность
подшипника, установленного в опоре, оцениваем по динамической С и статической
грузоподъёмности в зависимости от требуемой долговечности.
Устанавливаем
подшипник на вал диаметром 3 мм.
На
выходе нет необходимости выбирать другой подшипник, т.к. понадобятся
дополнительные ненужные расчеты.
Устанавливаем
подшипники в распор.
)
Для определения динамической грузоподъемности С, принимаем следующие условия.
Нагрузка
радиальная в опорах AFr ≈ 34H, осевая нагрузка на валу А ≈ 100Н,
нагрузка - с легкими толчками, частота вращения - постоянная (n = 900 об/мин).
Вращается внутреннее кольцо, желательная долговечность Lh = 100000, температура
подшипниковых узлов не превышает 100°С. Режим нагружения - II (средний
равновероятный) КE = 0,63.
Вычисляем
эквивалентные нагрузки.
;
Fr-
радиальная нагрузка на подшипник.коэффициент эквивалентности.
)
Предварительно назначаем шариковые радиально-упорные подшипники 1006093.
)
Для принятых подшипников находим по ГОСТ 831-75 для диаметра d = 3мм = 790H (динамическая
нагрузка); Co = 285H (статическая нагрузка)
)
Отношение
= 0.56; Y =
2.2; e = 0.22.
Отношение
, что
значительно больше = 0.22
Окончательно
принимаем X = 0.56; Y = 1.99
)
Эквивалентная динамическая радиальная нагрузка
;
V-
коэффициент вращения кольца.
Принимаем
Кδ
= 1.4 (коэффициент
безопасности)
Умеренные
толчки, вибрационная нагрузка, кратковременные перегрузки до 150% номинальной нагрузки.
Кт
- температурный коэффициент - в зависимости от рабочей температуры tраб
подшипника
Для
tраб°С ≤ 100, Кт = 1
)
Расчетный скорректированный ресурс подшипника при коэффициенте надежности а1 =
1;
а23
- коэффициент, характеризующий совместное влияние на долговечность особых
свойств металла деталей подшипника и условий его эксплуатации.
Для
обычных условий применения подшипников наличие перекосов колец, отсутствие
надежной гидродинамической пленки масла)
а23
= 0.7 (для шарикоподшипников)= 3 (шариковый подшипник)
;
где
n - частота вращения кольца, мин-1;- эквивалентная динамическая нагрузка
7)
Так как расчетный ресурс больше требуемого
(519040.8<1000000),
то
предварительно назначенный подшипник 1006093 пригоден.
3.6
Силовой расчет вала
В
процессе эксплуатации валы передач испытывают деформации от действия внешних
сил, масс самих валов и насаженных на них деталей. Однако в данном курсовом
проекте, массы валов и деталей, насаженных на них сравнительно невелики,
поэтому их влиянием можно пренебречь, ограничиваясь анализом и учетом внешних
сил, возникающих в процессе работы.
.6.1
Определение диаметров валов
Расчет
валов начнем с определения мощностей валов:
Рэ.д.=10
Вт
Р3=Р2*
*ηззп=9,6*0,992*0,98 = 9,2 Вт
Расчет
частот вращения валов:
ωдв= 293 с-1
ω2=ωдв/i12=293/7=41,9
с-1
ω3=ω2/i34=41,9/4=10,5
с-1
Расчет
крутящих моментов валов:
Тдв=Рэ.д./ωдв =
10/293=0,34мН*м;
Т2=Р2./ω2 = 9,6/41,9
= 23 мН*м;
Т3=Р3./ω3 = 9,2/10,5
= 0,9Н*м.
Расчет
диаметров валов:min
= 
.

- допускаемое напряжение на
кручение, для валов из сталей 40Х ГОСТ 4543-71 принимается равным90 Мпа.min
= 
= 1,1мм

- допускаемое напряжение на
кручение, для валов из сталей 45Х ГОСТ 4543-71 принимается равным115 Мпа.
Диаметр
выходящего вала необходимо рассчитать с учетом изгибающего момента.
Определим
окружные, радиальные и осевые силы, действующие на вал от зубчатых передач.
Цилиндрическая
передача:
где

.
Горизонтальная
плоскость:
Вертикальная
плоскость:
Наибольшее
значение суммарно изгибающего момента:
Эквивалентный
момент:
Определим
допустимый диаметр вала:
где[σ] =124 МПа -
допустимое напряжение при изгибе для стали 40Х.
Из
конструктивных соображений принимаем вал, диаметр которого 10 мм.
>9,2
мм, значит статическая прочность вала обеспечена.
.6.2
Расчёт на усталостную прочность
Условие
прочности имеет вид:
, где
[S]=2,5…3
- требуемый коэффициент запаса прочности;σ, Sτ -
коэффициенты запаса, соответственно, по нормальным и касательным напряжениям;
;
τ-1=200 МПа, σ-1=320 МПа -
пределы выносливости материала вала при изгибе и кручении с симметричным
знакопеременным циклом нагружения;
σа, τа и σm=0, τm=0 -
амплитудные и средние напряжения циклов нормальных и касательных напряжений;
σа=МИ/0,1d3=0,111/0,1*33=0.002
τа=T/0,2d3=0,113/0,2*33=0,004
ψσ=0,1, ψτ=0,05 -
коэффициенты, учитывающие влияние постоянной составляющей цикла на усталость
вала;σ=2, kτ=1,9 -
эффективные коэффициенты компенсации напряжений при изгибе;
εσ=0,87,
ετ
- масштабные факторы;
β=0,4…2,8
- коэффициент
поверхностного упрочнения.
Тогда:
.
Условие
прочности выполняется.
3.6.3
Расчёт валов на жёсткость
Различают
изгибную и крутильную жесткость.
Изгибная
жёсткость обеспечивается при выполнении условий:≤[f] и θ≤[θ], где
[f]
и [θ] -
допустимые прогибы и углы наклона упругих линий валов.
Крутильная
жёсткость оценивается углом закручивания:
, где
G=8*1010
- модуль сдвига;=0,1d4=0,1*0,0034=8,1*10-12 - полный момент инерции.
Прогиб
в месте воздействия силы:
[f]=0,02>0,004
Жёсткость
вала обеспечена.
3.7
Расчёт направляющих скольжения
В
ходе проектировочного расчета были выбраны направляющие скольжения
цилиндрические.
Проверка
на не заклинивание направляющих.
Условие
не заклинивания:
ГдеL=30
мм - расстояние между опорами;=0,15 - коэффициент трения (сталь по стали);=200
мм;
, значит,
заклинивания не произойдёт.
Для
обеспечения плавности хода, малого износа трущихся поверхностей и отсутствия
заклинивания необходимо выполнение условия:
Условие
выполняется.
Заключение
Приведенные
в данной пояснительной записке расчеты показали, что все элементы
разработанного механизма работоспособны и удовлетворяют требованиям точности и
надежности конструкции.
Технологичность
конструкции соответствует предполагаемому типу производства. Соблюдение норм
точности при конструировании обеспечивает высокое качество изделия и
продолжительный срок безотказной службы.