|
Параметры
|
Обозначения
|
Размерность
|
Величина
|
|
1
|
Потери давления в стопорных и регулирующих клапанах ЦВД
|
-
|
%
|
3
|
|
2
|
Потери давления пара в тракте промежуточного перегрева
|
-
|
%
|
14
|
|
3
|
Потери давления в ресиверах пара между ЦСД и ЦНД
|
-
|
%
|
2
|
|
4
|
Потери давления в паропроводах отборного пара
|
-
|
%
|
4-8
|
|
5
|
Потери давления в ПВД
|
|
МПа
|
0,2
|
|
6
|
Потери давления воды в ПНД
|
DpПНД
|
МПа
|
0,1
|
|
7
|
КПД насоса
|
|
-
|
0,85
|
|
8
|
КПД подогревателя
|
|
-
|
0,99
|
|
9
|
Подогрев в ОЭ, СП
|
|
|
20
|
Рис. 1.1. Принципиальная тепловая схема блока
1.2.2 Построение процесса расширения водяного пара в проточной части
турбины
Первый этап расчета ПТС заключается в определении состояний водяного пара
в ступенях турбины. Для этого строят процесс работы пара в турбине в h,
S-диаграмме. Исходными данными для построения процесса служат значения
начального давления и температуры пара перед турбиной (р0, t0), давления и температуры промежуточного перегрева
пара (рпп, tпп), конечного давления отработавшего
пара в конденсаторе турбины рк. Кроме того, необходимо знать
значения внутреннего относительного КПД отдельных отсеков (группы ступеней)
турбины. КПД турбин новых типов (с новыми параметрами пара или повышенной
мощности) при расчете ПТС определяют ориентировочно по аналогии с известными
типами турбин в зависимости от объемного пропуска и перепада давлений пара в
данном отсеке.
При построении процесса расширения пара в турбине учитываются потери
давления:
·
в стопорных и
регулирующих клапанах ЦВД Dр0=(0,04…0,05)р0;
·
в промежуточном
пароперегревателе Dрпп=0,1рпп;
·
в стопорных
клапанах ЦСД Dр=0,02рпп.
[1]
Рис. 1.2. Процесс расширения в турбине с промежуточным перегревом
водяного пара
1.2.3 Определение параметров пара и воды турбоустановки.
Точка 0'(перед первой ступенью турбины)
Начальные параметры:
По начальным параметрам определяем: [2]
Потери давления при течении в стопорном и регулирующем клапанах: [1]
Давление в точке 0'
Тогда, параметры в точке 0': [2]
Точка пп` на входе в ЦСД
Определим по значениям рпп и tпп энтропию и энтальпию в точке (пп):
По известным параметрам определяем: [2]
Потери давления в тракте промежуточном пароперегревателе [1]
Тогда, давление холодной нитки:
По
значениям 
и
определяем теоретические значения энтальпии и
температуры. [2]
Действительное
значение энтальпии:
По
значениям 
и 
определяем
значения энтропии и температуры [2]
Потери
давления в стопорных клапанах на входе в ЦСД [1]
Тогда,
по значениям
и
определяем
значения энтропии и температуры [2]
Точка
ПВ (параметры питательной воды):
Температура
питательной воды
Давление
питательной воды перед котлом. [1]
По
значениям 
и 
определяем
значения энтропии, энтальпии и объема [2]
Деаэратор
Давление
в деаэраторе
Определяем
значения энтальпии, температуры, энтропии и объема на линии насыщения [2]
Точка
(с) на выходе из ЦСД
Задаемся
значением давления на выходе из ЦСД:
Определяем
теоретическое значение энтальпии:
[2]
Действительное
значение энтальпии:
Определяем
значение энтропии на выходе из ЦСД: [2]
1.3
Распределение регенеративного подогрева по ступеням
Регенеративный
подогрев питательной воды на КЭС при промежуточном перегреве пара имеет ряд
особенностей. Относительное повышение КПД от регенерации при промежуточном
перегреве пара меньше, чем без него, так как КПД исходного цикла без
регенерации более высок, а отборы пара после промежуточного перегрева
уменьшаются. Пар в отборах после промежуточного перегрева имеет более высокую
энтальпию, чем пар такого же давления в турбине без промежуточного перегрева.
Использование более перегретого пара для подогрева воды менее выгодно из-за
уменьшения отборов пара на регенерацию и увеличения пропуска пара в конденсатор
и, следовательно, потери теплоты в нем.
Давление
первого отбора пара из ЦВД выбирают в зависимости от технико-экономического
обоснования оптимальной температуры питательной воды tПВ. Одним из регенеративных отборов, обычно вторым,
является отбор из противодавления ЦВД, из холодной линии промежуточного
перегрева. В подогреватель №3 поступает пар с наибольшим перегревом. При
обычной схеме включения пароохладителя этого подогревателя вследствие большей
необратимости процесса теплообмена в горячей ступени применяют подогрев в
холодной ступени (паром за ЦВД) t2>t3, а именно t2=(1,1¸2)t3.
При
известном значении tпв и
равномерном распределении подогрева по ступеням для любого подогревателя
системы
где
hпв -
энтальпия питательной воды, кДж/кг; h'к - энтальпия
конденсата, кДж/кг; z - число подогревателей. [1]
1.3.1 Подогреватель высокого давления ПВД 1.
Температура насыщения:
Определим
по температуре насыщения 
значения
давления и энтальпии [2]
Определяем
давление пара в отборе
Определяем
теоретическое значение энтальпии пара (по 
и 
)
По
h-s диаграмме находим действительное значение энтальпии:
Тогда,
значения температуры и энтропии: [2]
Давление
за ПВД 1:
Из
процесса работы пара в турбине в h, S-диаграмме, находим значения энтальпии и
энтропии
.3.2 Подогреватель высокого давления ПВД2
Давление пара в отборе, совпадает по значению с давлением холодной нитки:
Давление насыщения, с учетом потерь:
Определим значения энтальпии и температуры в подогревателе [2]
Температура за подогревателем:
Давление воды за ПВД 2 [1]
Значение
энтальпии 
и 
[2]
Температурный
напор в охладителях дренажа [1]
Температура
охлажденного дренажа
Энтальпия
охлажденного дренажа по значениям 
и
[2]
Подогрев
воды в питательном насосе

[2]
Средний
удельный объем воды
Давление
воды за питательным насосом
Подогрев
воды
Энтальпия
воды за питательным насосом
По
значениям 
и 
определяем
значение температуры воды за ПН: [2]
1.3.3 Подогреватель высокого давления ПВД3
Принимаем t2=1,5t3. [1]
Энтальпия воды за П3:
Давление воды за ПВД: [1]
По
значениям 
и 
определяем
значение температуры воды за П3: [2]
Температура
насыщения в подогревателе
По
температуре насыщения 
находим
значения давления и энтальпии в подогревателе: [2]
Давление
пара в отборе
Теоретическое
значение энтальпии пара в отборе: [2]
По
h-s диаграмме, находим действительное значение энтальпии
в 3 отборе
По
значениям
и
определяем
значение температуры: [2]
Температура
охлажденного дренажа:
Энтальпия
охлажденного дренажа: [2]
Температура
охлажденного дренажа
Энтальпия
охлажденного дренажа: [2]
1.3.4 Доли расхода пара на ПВД
Доля расхода пара на подогреватель ПВД 1
Уравнение теплового баланса
Рис. 1.3 ПВД1.
Доля расхода пара на подогреватель ПВД 2
Уравнение теплового баланса
Рис.1.4 ПВД 2.
1.4 Индифферентная точка
Внутренний абсолютный КПД ЧВД условной конденсационной турбины:
Количество теплоты, переданное в паровом пароперегревателе
Теплоперепад между энтальпией
и энтальпией пара в индифферентной
точке
Энтальпия пара в индифферентной точке
Значит, третий отбор находится за индифферентной точкой. [1]
.5 Распределение подогрева воды для ПНД:
Подогрев воды в деаэраторе: [1]
Температура воды на входе в деаэратор:

С
Давление
основного конденсата:
Энтальпия
вода за ПНД 4: [2]
Параметры
насыщения за конденсатором:
[2]
Подогрев
воды за конденсатором:
Точка
К:
Давление:
Теоретическое
значение энтальпии: [2]
Действительное
значение энтальпии:
1.5.1 Подогреватель смешивающего типа ПНД8
Энтальпия за подогревателем:
Давление за подогревателем:
Температура воды за ПНД 8: [2]
Температура насыщения в подогревателе:
Давление и энтальпия насыщения в подогревателе: [2]
Давление пара в отборе:
Теоретическое значение энтальпии для подогревателя: [2]
По h-s диаграмме находим действительное значение энтальпии:
Значения энтропии, температуры и степени сухости для подогревателя: [2]
.5.2 Подогреватель низкого давления ПНД 7
Энтальпия и давление воды за подогревателем:
Энтальпия воды:
Температура воды за ПНД 7: [2]
Температура в подогревателе:
Давление и энтальпия насыщения: [2]
Давление пара в отборе
Теоретическое значение энтальпии: [2]
По h-s диаграмме определяем действительное значение энтальпии:
Находим значение температуры и энтропии: [2]
.5.3 Подогреватель низкого давления ПНД 6
Давление воды за подогревателем:
Энтальпия воды:
Температура воды за ПНД 6: [2]
Температура насыщения в подогревателе:
По

находим
давление и энтальпию: [2]
Давление
пара в отборе
Теоретическое
значение энтальпии: [2]
По
h-s диаграмме находим действительное значение энтальпии:
Находим
значение температуры и энтропии: [2]
.5.4
Подогреватель низкого давления ПНД 4
Давление
воды за подогревателем:
Температура
воды: [2]
Температура
насыщения в подогревателе:
По

находим
давление и энтальпию: [2]
Давление
пара в отборе
Теоретическое
значение энтальпии: [2]
По
h-s диаграмме определяем действительное значение
энтальпии:
Находим
значение температуры и энтропии: [2]
.5.5
Подогреватель низкого давления ПНД 5
Давление
воды за подогревателем:
Энтальпия
воды:
Температура
воды за ПНД 5: [2]
Температура
насыщения:
По

находим
давление и энтальпию: [2]
Давление
пара в отборе
Теоретическое
значение энтальпии: [2]
По
h-s диаграмме определяем действительное значение
энтальпии:
Находим
значение температуры и энтропии: [2]
.6
Доли расхода пара на подогреватели
Доля
расхода пара на подогреватель высокого давления ПВД3:
Уравнение
теплового баланса для ПВД 3:
Доля
расхода пара на деаэратор:
Уравнение
материального баланса:
Уравнение
теплового баланса деаэратора:
Решаем
систему из двух уравнений, и в итоге получаем:
Доля
расхода пара на подогреватель низкого давления ПНД 4:
Тепловой
баланс подогревателя ПНД 4
Точка
смешения:
Тепловой
баланс подогревателя ПНД 5, ПНД 6 и точки смешения:
Решаем
систему равнений:
После
решения системы уравнений, получаем:

=0,7037033
Доля
расхода пара на подогреватель низкого давления ПНД 7
Уравнение
теплового баланса:
Доля
расхода пара на подогреватель низкого давления ПНД 8(смешивающего типа):
Уравнения
теплового баланса
Решив
систему уравнений, получим следующие данные:
Доля
расхода пара на турбопривод:
Давление
в конденсаторе приводной турбины:
Внутренний
относительный КПД турбопривода:
Внутренний
механический КПД турбопривода:
Давление
и энтальпия пара на входе в турбопривод с учетом потерь: [2]
Теоретическая
энтальпии пара поступающего в конденсатор: [2]
Действительная
энтальпии пара поступающего в конденсатор:
Внутренний
теплоперепад:
Средний
удельный объем воды: [2]
1.7 Контроль материального баланса пара и конденсата
Расход пара в конденсатор:
Доля потока конденсата из основного конденсатора со стороны
регенеративной системы:
Расход пара в конденсатор (по материальному балансу конденсатора)
Найдем погрешность вычислений:
Погрешность
составляет меньше 
и можно
считать, что материальный баланс сходится. [1]
1.8 Определение абсолютного значения расхода пара в голову турбины D0
,
где
NЭ=610
103
кВт,
- приведенный теплоперепад, где αj
- доля пропуска пара через отсек, а Δhj -
теплоперепад в отсеке.
Для
определения
составляем таблицу 1.3.
Таблица
1.3.
Определение
приведенного теплоперепада.
|
Цилиндр
|
Отсек турбины
|
Доля пропуска пара через отсек αj
|
Теплоперепад пара в отсеке Δhj, кДж/кг
|
Внутренняя работа на 1 кг свежего пара αj∙Δhj, кДж/кг
|
|
ЦВД
|
0 -1
|
α0 =1
|
h0 - h1 = 3371,3-3048=323,3
|
323,3
|
|
1-2
|
1 - α1=1- 0,024754= 0,975246
|
h1 - h2 = 3048-3021,27=26,73
|
26,07
|
|
ЦСД
|
ПП-3
|
1 - α1 - α2 = 0,853665
|
hпп - h3 =3575,8-3323=252,8
|
215,38
|
|
3-4
|
1 - α1 - α2 - α3- αд - αтп=0,73264
|
h3 - h4 =3323-3010=313
|
229,32
|
|
4-5
|
1-α1-α2-α3- αд - α4- αтп =0,69911
|
h4 - h5 =3010-2880= 130
|
90,88
|
|
ЦНД
|
5-6
|
1-α1-α2 - α3-αд-αтп-α4-α5=0,667193
|
h5 - h6 =2880-2757=
123
|
82,06
|
|
6-7
|
1-α1-α2-α3-αд-αтп-α4-α5-α6=0,639663
|
h6 - h7
=2757- 2640=117
|
74,84
|
|
7-8
|
1-α1-α2-α3-αд-αтп-α4-α5-α6-α7=0,609084
|
h7- h8 =
2640-2510=130
|
79,18
|
|
8-к
|
1-α1-α2-α3-αд-αтп-α4-α5-α6-α7-α8=0,580884
|
h8- hк = 2510-2321=189
|
109,79
|
|
1230,82
|
|
Расход
пара в голову турбины: кг/с, где
-
механический КПД турбины,
- КПД электрического генератора, принимаем согласно.
Абсолютные
расходы рабочего тела по элементам тепловой схемы:
.9 Энергетические показатели энергоблока
Расход
теплоты на турбоустановку:
КПД
турбоустановки по выработке электроэнергии:
Удельный
расход теплоты на выработку электроэнергии:
Удельный
расход пара турбоустановки:
Тепловая
нагрузка парового котла:
принимаем,
что
,
тогда:
КПД
транспорта теплоты:

[1]
КПД
энергоблока брутто:
- КПД
котельной установки.
КПД
энергоблока нетто:
Принимаем
- доля электроэнергии собственных нужд станции, тогда
[1]
Удельный
расход условного топлива (нетто) на энергоблок:
Удельный
расход теплоты энергоблока (нетто):
Расход
натурального топлива на энергоблок:
где

- низшая
теплота сгорания топлива (каменный уголь). [8]
Глава 2. Выбор основного и вспомогательного оборудования
энергоблока КЭС
.1 Выбор турбоустановки
Мощность турбины КЭС выбирается в соответствии с мощностью блока.
Принимаем за прототип турбоустановку К-500-240 мощностью 500 МВт, которую
выпускает завод по производству конденсационных турбин ЛМЗ. Конденсационная
паровая турбина К-500-240-4 ЛМЗ одновальная, работает с электрогенератором
ТВВ-500. Турбина состоит из ЦВД, ЦСД и двух ЦНД. Расход свежего пара на турбину
для нагрузки в 500 МВт составляет 1527*103 кг/ч, параметры свежего
пара: 23,54 МПа, 540 °С. Конденсатор установки типа К-11520 приварен к четырем
выхлопам ЦНД.
В схему включены 3 регенеративных ПВД, деаэратор, питаемый паром из
третьего отбора, 5 регенеративных ПНД. Из ПВД дренаж сливается каскадно в
деаэратор. Особенностью схемы является паротурбинный привод питательного
насоса. Приводная турбина с конденсатором питается паром из третьего отбора, а
отработавший пар поступает в конденсатор турбины привода, откуда конденсат идёт
на конденсатор главной турбины. Турбопривод решает проблему быстроходности и
регулирования отборов и при достаточном внутреннем относительном КПД
оказывается экономичнее, чем электропривод вызывающий дополнительные потери
энергии в редукторах и гидромуфте. [3]
Таблица 2.1.
Параметры проектируемой турбины К-610-250
|
Мощность номинальная, МВт
|
610
|
|
Начальные параметры пара:
|
|
· давление, МПа
|
25
|
|
· температура, °С
|
560
|
|
Параметры пара после промперегрева:
|
|
· давление, МПа
|
4,8
|
|
· температура, °С
|
560
|
|
Номинальный расход свежего пара, кг/с (т/ч)
|
535 (1920)
|
2.2 Выбор парового котла
Тип парового котла определяется главным образом выбранными параметрами,
мощность и типом турбины.
На блочных КЭС производительность котла DПЕ, т/ч, выбирается по максимальному расходу пара в голову
турбины D0 с учетом расхода на собственные нужды и общего запаса
по пару:
На выходе из котла давление пара p.пе, МПа, и температура пара t.пе, С, должны быть выше, чем перед турбиной, на величину
потерь давления и температуры в паропроводах: [2]
параметры
промперегрева: Pпп

[3]
В
качестве прототипа выбираем прямоточный котел марки Пп-1650-25-545/542 КТ
(П-57Р) и составляем техническое задание на проектирование котла (табл.2.2.).
[4]
Таблица
2.2.
Параметры
проектируемого котла Пп-1900-26-566/560
|
Номинальный расход свежего пара, т/ч
|
1920
|
|
Топливо
|
Экибастузский каменный уголь
|
|
Начальные параметры пара:
|
|
|
· давление, МПа
|
26
|
|
· температура, °С
|
565,6
|
|
Параметры пара после промперегрева:
|
|
|
· давление, МПа
|
5
|
|
· температура, °С
|
565,6
|
|
Температура питательной воды, °С
|
275
|
Котел Пп-1650-25-545/542 (П-57Р) предназначен для работы на экибастузских
каменных углях повышенной зольности (Ad до 55%) в блоке с турбиной
мощностью 500 МВт. Котел прямоточный, на сверхкритические параметры пара, с
промперегревом, однокорпусный, выполнен по Т-образной компоновке и с твердым
шлакоудалением. Котел имеет две одинаковые конвективные шахты, в которых по
ходу газов расположены следующие поверхности нагрева: конвективного
пароперегревателя высокого давления; конвективного пароперегревателя
промперегрева второй ступени; два пакета конвективного промперегревателя
первой; водяной экономайзер, который может изготавливаться как с поперечным
оребрением, так и гладкотрубным. [4]
.3 Выбор оборудования
пылеприготовления
Процесс пылеприготовления состоит из следующих операций: предварительное
грубое дробление угля до кусков размером 150 - 200 мм, улавливание металла,
отделение щепы, грохочение и тонкое дробление до кусков размером не более 25
мм, сушка и размол до необходимой тонины.
Качество угольной пыли характеризуется тонкостью помола и влажностью. Показателем
тонкости помола считается остаток (в %), полученный после просеивания пыли на
сите с ячейками размером 90x90 мкм и обозначаемый как R90. Тонкость
помола зависит от реакционной способности угля, характеризуемой выходом летучих
фракций Vг; чем выше содержание летучих, тем грубее может быть помол
и тем меньше затраты энергии на пылеприготовление.
Влажность пыли Wп влияет на производительность мельницы и
экономичность сжигания. Недостаточное подсушивание приводит к забиванию
пылепитателей и медленному возгоранию, излишнее может привести к самовозгоранию
пыли и взрыву. Влажность пыли Wп нормируется в пределах 0,5 - 23 % в
зависимости от свойств топлива. [3]
Таблица 2.3.
Характеристика топлива - Экибастузский СС, Р
|
Сернистость, %
|
Влажность, %
|
Зольность%
|
Выход летучих, %
|
Теплота сгорания, МДж/кг
|
Размолоспособность
|
Теоретические объемы, м3/кг
|
|
|
|
|
|
|
воздуха
|
газов
|
|
1,2
|
7
|
38,1
|
24,2
|
18,88
|
1,35
|
4,55
|
4.95
|
.3.1 Выбор типа мельниц
Выбираем молотковые мельницы. Мельница состоит из стального корпуса и
ротора с шарнирно укрепленными на нем билами. Уголь, попадая на
быстровращающиеся била, размалывается и увлекается из корпуса потоком воздуха.
По способу подвода сушильного агента молотковые мельницы имеют две модификации:
тангенциальные (ММТ) и аксиальные (ММА). Мельницы предназначены для размола
каменного угля. На мельнице устанавливается сепаратор пыли; для каменных углей
применятся сепараторы центробежного типа. Молотковые мельницы и сепараторы к
ним изготавливаются плотными и допускают работу при разрежении и под наддувом
(до 7-8 кПа). Удельный расход электроэнергии в зависимости от размольных
свойств углей составляет 5-20 кВт*ч/т. [3]
.3.2 Выбор схемы пылеприготовления
Схема пылеприготовления определяется в основном типом применяемых
мельниц.
Выбираем систему пылеприготовления - замкнутую с прямым вдуванием
(рис.2.1.).Отработавший после сушки топлива воздух вместе с угольной пылью и
выделившимися водяными парами сбрасывается в топку.
Из бункера сырого угля 1 топливо поступает в мельницу 2. Размолотое в
мельнице топливо попадает в шахту, которая является гравитационным сепаратором,
тонкая пыль через горелку 3 выбрасывается в топку потоком воздуха, а крупные
частицы угля возвращаются в мельницу. В схеме отсутствует пылевой бункер, что
упрощает и удешевляет установку.[3]
Рис 2.1. Схема пылеприготовления с прямым вдуванием пыли.
-бункер сырого угля, 2- МВ, 3-горелки, 4- короб горячего воздуха, 5-
воздухоподогреватель.
.3.3 Выбор числа и производительности мельницы
Число мельниц, установленных на котле, зависит от его производительности
и от типа мельниц. В схемах прямого вдувания без пылевого бункера для котлов
производительностью более 400 т/ч должно быть не менее трех мельниц. Принимаем
число мельниц z=6. [3]
С
учетом выбранного котла: 
Характеристика
проектируемой молотковой мельницы на основе прототипа: [4] 2600/2550/590К
Таблица
2.4.
Характеристика
проектируемой молотковой мельницы
|
Диаметр ротора
|
D=2600 мм
|
|
Частота вращения
|
nэл=600 об/мин
|
|
Производительность номинальная
|
Bх=59т/ч
|
Так как при останове одной мельницы, оставшиеся должны обеспечить 100%
нагрузку, выполним проверку:
Следовательно, выбираем 6 мельниц
2.4 Выбор тягодутьевых машин
Для подачи воздуха в топку и создания тяги служат дутьевые вентиляторы и
дымососы. В проектируемой схеме энергоблок 610 МВт работает на угле. Паровой
котел работает с уравновешенной тягой. Присосы воздуха по тракту котла
увеличивают объем перекачиваемых газов на 30-40% выше теоретических значений.
Это приводит не только к перерасходу энергии на собственные нужды, но и снижает
экономичность работы котла в целом. [3]
Таблица 2.5.
Присосы воздуха в элементах газовоздушного тракта
|
Коэффициент избытка воздуха
|
αт
|
1,2
|
|
Присосы воздуха
|
Топочная камера
|
∆αт
|
0,05
|
|
суммарные присосы воздуха в конвективных газоходах первичного
и вторичного пароперегревателя, переходной зоны и экономайзера
|
∆αк.п
|
0,10
|
|
Воздухоподогреватель
|
∆αвп
|
0,03
|
|
Золоуловители
|
∆αзу
|
0,10
|
|
Присосы в газоходах между воздухоподогревателем и дымососом
|
∆αгх
|
0,01
|
|
Присосы в системе пылеприготовления
|
∆αпл.у
|
0,25
|
Расход топлива, по которому выбираются дутьевые вентиляторы и дымососы,
определяются с учетом физической неполноты сгорания твердого топлива. Принимаем
q4=1%. Тогда, расчетный расход топлива: [3]
.4.1 Выбор дутьевых вентиляторов
Дутьевой
вентилятор подает холодный воздух в воздухоподогреватель, забирая его из
верхней части котельной или с улицы. Температура холодного воздуха
. Производительность вентилятора определяется расходом
воздуха, необходимым для горения топлива с учетом коэффициента избытка воздуха
в топке и присосов по тракту котла:
Расчетная
производительность вентилятора принимается с коэффициентом запаса
. Кроме того, вводится поправка на барометрическое
давление. Принимаем,
число
вентиляторов z=2. Расчетная производительность одной машины:
Напор
дутьевого вентилятора зависит от сопротивления воздушного тракта, включающегося
всасывающие и нагнетательные короба, воздухоподогреватель, горелочные
устройства. Суммарное сопротивление тракта Hд.в=4,80 кПа.
Расчетное
значение напора принимается с коэффициентом запаса
.
По
найденным расчетным значениям производительности и напора определяем типоразмер
дутьевого вентилятора (табл.2.6.). [3]
Вентиляторы
осевые двухступенчатые типа ВДОД предназначены для подачи воздуха в топки
стационарных паровых котлов паропроизводительностью 2650 (ВДОД-41-500-1) для
энергоблока 800 МВт. [4]
Таблица
2.6.
Характеристики
дутьевого вентилятора - ВДОД-41-500-1
|
Подача
|
V, тыс.м³/ч
|
1520
|
|
Полное давление
|
P, Па
|
5511
|
|
КПД
|
η, %
|
82,5
|
|
Частота вращения
|
n, об/мин
|
500
|
Максимальное снижение КПД при работе с расчетной производительностью 10%
Расчет снижения КПД, при переменной нагрузке: [3]
Условие снижения максимального КПД не выполняется. Поэтому на основе
вентилятора ВДОД-41-500-1, пишем техническое задание. [4]
Таблица 2.7.
Характеристики проектируемого дутьевого вентилятора на основе
ВДОД-41-500-1
|
Подача
|
V, тыс.м³/ч
|
1397
|
|
Полное давление
|
P, Па
|
5520
|
|
Частота вращения
|
n, об/мин
|
600
|
Мощность на валу дутьевого вентилятора (эффективная мощность)
определяется по формуле:
Мощность
привода берется с коэффициентом запаса
,
необходимым для преодоления инерции при пуске вентилятора. [3]
2.4.2 Выбор дымососов
Объем газов, перекачиваемый дымососом, больше объема воздуха за счет
более высокой температуры среды и больших присосов воздуха по газовому тракту.
Производительность дымососа определяется объемными расходами газов,
уходящих из котла и воздуха, присасываемого в тракт после котла в
золоуловителях и газоходах.
Коэффициент избытка воздуха в уходящих газах
Объем уходящих газов равен сумме теоретического объема газов,
образующихся при горении топлива и объема присосов воздуха по тракту котла
Объем присосов за пределами котла с учетом присосов в системе
золоулавливания
Температура газов перед дымососом
Объемная производительность машины
Принимаем число дымососов, равное числу дутьевых вентиляторов z=2. Тогда
расчетная производительность дымососа, с учетом коэффициента запаса β1=1,1:
Напор дымососа при уравновешенной тяге должен обеспечить преодоление
суммарных сопротивления трения и местных сопротивления всех газоходов от котла
до дымососа, а также сопротивление от дымососа до трубы и самой трубы.
С учетом коэффициента запаса β2=1,2 расчетный напор дымососа: [3]
Осевые двухступенчатые дымососы типа ДОД предназначены для отсасывания
газов из топок паровых стационарных котлов паропроизводительностью 640-2560 т/ч
для энергоблоков мощностью 200,300,500 и 800 МВт. [4]
Таблица 2.8.
Характеристики дымососа ДОД-43-500
|
Тип
|
Подача, тыс. м3/ч
|
Полное давление, Па
|
КПД, %
|
Частота вращения, об/мин.
|
|
ДОД-43-500
|
1810
|
6168
|
82.5
|
500
|
Максимальное снижение КПД при работе с расчетной производительностью 10%
Расчет
снижения КПД, при переменной нагрузке
Условие
максимального снижения выполняется.
Мощность
на валу дымососа определяется по формуле:
Мощность
привода берется с коэффициентом запаса: [3]
2.5 Выбор насосов
Насосы тепловых электростанций, как и другие типы машин, служащие для перемещения
среды и сообщения ей энергии, характеризуются следующими параметрами:
· объемной производительностью (подачей) Q, м3/с;
· давлением на стороне нагнетания рн, МПа;
· плотностью перемещаемой среды ρ, кг/м3, или удельным
объемом v, м3/кг.
В расчетах тепловой схемы определяется массовый расход воды D, кг/с.
Между объемным и массовым расходами существует соотношение
Q=D/ρ=Dv.
Напор насоса Dр
определяется как разность давлений на стороне нагнетания рн и на
стороне всасывания рв:
Dр= рн - рв.
Давление нагнетания рн, развиваемое насосом, определяется
заданным давлением в конечной точке тракта ркон, суммарными
гидравлическими сопротивлениями тракта åDрс и геодезическим напором, обусловленным
разницей высоты Н между точками перемещения среды.
Давление на стороне всасывания рв рассчитывается из условия
недопущения вскипания воды при попадании ее на быстровращающиеся лопасти колеса
насоса (условие обеспечения бескавитационной работы). [3]
2.5.1 Выбор питательных насосов
Количество и производительность питательных насосов выбирают в
соответствии с «Нормами технологического проектирования тепловых электростанций
и сетей».
На блоках с закритическими параметрами пара устанавливают насосы с
турбоприводами. На блоках мощностью 500, 800 и 1200 МВт устанавливают по два
насоса с турбоприводом на 50% каждый.
Выбор
насосов осуществляется по значениям объемной производительности насоса
и напора насоса
м
вод.ст. [3]
Производительность
питательного насоса
Максимальное
конечное давление, которое создается питательным насосом:
Суммарное
гидравлическое сопротивление тракта с прямоточным котлом:
Плотность
среды в прямоточном котле
Давление
воды на выходе из насоса:
Для создания дополнительного подпора на всасе питательного насоса
устанавливают предвключенные бустерные насосы, давление нагнетания бустерного
насоса, является давлением на всасывающей стороне питательного насоса, принимаем
равным давлению на выходе из бустерного насоса.
Тогда можно рассчитать напор питательного насоса (определяется как
разность давлений на стороне нагнетания и на стороне всасывания)
Напор насоса в метрах водного столба:
Подача питательного насоса
Выбираем питательный насос, основные характеристики которого,
представлены в таблице 2.9 [4]
Таблица 2.9.
Характеристики питательных насосов
|
Тип насоса
|
Подача, м3/ч
|
Напор, м
|
Частота вращения, об/мин.
|
КПД насоса, %
|
|
ПТН-2200-350
|
2200
|
3500
|
4700
|
85
|
Паровая турбина типа ОК-18ПУ-800 с редуктором типа Р-1А. Мощностью 10300
кВт.[4]
.5.2 Выбор конденсатных насосов
Конденсатные насосы входят в оборудование, поставляемое комплектно с
турбиной наряду с конденсатором и эжекторами. Тип и количество насосов, хотя
они и указаны в комплектующем оборудовании, должны быть выбраны, поскольку
технические решения по установке этих насосов зависят от конкретных условий
тепловой схемы.
Число конденсатных насосов равняется двум, по 100% производительности,
расположены в две группы. Первая группа конденсатных насосов находится после
конденсатора, вторая - после смешивающего подогревателя. Конденсатные насосы
всегда устанавливаются с резервом: резервный насос включается по системе АВР.
Общая подача насосов:

, где
Давление нагнетания конденсатных насосов первой
ступени (КН I) равно:
Принимаем:
D Рпод=0,15МПа - величина необходимого подпора
D Ртр=0,05 МПа - суммарное гидравлическое сопротивление
трубопроводов
D РБОУ=0.55 МПа
- сопротивление БОУ;
Напор насоса:
Напор перемещаемой жидкости, выраженный в метрах столба:
где,

кг/м3
- плотность конденсата;
Объемная
производительность:

[3]
Конденсатные
насосы всегда устанавливаются с резервом. Устанавливаем 2 насоса по 100%
производительности, один из которых будет находиться в резерве.
Выбираем
конденсатный насос КсВ 1150-95 (табл.2.11.) [4]
Таблица
2.11.
Характеристики
насоса КсВ 1150-90
|
Тип насоса
|
Подача, м3/ч
|
Напор, м
|
Частота вращения, об/мин.
|
Мощность, кВт
|
|
КсВ 1150-90
|
1150
|
90
|
1500
|
500
|
На основе выбранного насоса, пишем техническое задание:
Таблица 2.12.
Характеристики проектируемого насоса на основе КсВ 1150-95
|
Тип насоса
|
Подача, м3/ч
|
Напор, м
|
Частота вращения, об/мин.
|
Мощность, кВт
|
|
КсВ 1150-90
|
1177
|
79
|
1500
|
500
|
Мощность насоса (эффективная мощность):

[3]
Давление
нагнетания насосов второй ступени (КН
II) рассчитывается также, как и при одноподъемной схеме,
с учетом сопротивления тракта от насоса до деаэратора и высоты установки
деаэратора.
Расход
воды на вторую линию конденсатных насосов:
Подача:

где,

кг/м3
- плотность конденсата;
Суммарное
сопротивление тракта:

Давление
нагнетания:

Давление
всасывания:

Напор:

[3]
Выбираем
конденсатный насос КсВ1500-140, его характеристики приведены в табл.2.12. [4]
Таблица
2.13.
Характеристики
насоса КсВ1500-140
|
Тип насоса
|
Подача, м3/ч
|
Напор, м
|
Частота вращения, об/мин.
|
Мощность, кВт
|
|
КсВ1500-140
|
1500
|
140
|
1500
|
1000
|
На основе выбранного насоса, пишем техническое задание:
Таблица 2.14.
Характеристики проектируемого насоса на основе КсВ1500-140
|
Тип насоса
|
Подача, м3/ч
|
Напор, м
|
Частота вращения, об/мин.
|
Мощность, кВт
|
|
КсВ 1500-140
|
1502
|
84
|
1500
|
1000
|
Мощность насоса (эффективная мощность):

[3]
2.6 Выбор регенеративных подогревателей
Регенеративные подогреватели (поверхностные и смешивающие)
устанавливается без резерва. На каждый отбор целесообразно устанавливать один корпус
подогревателя, только для энергоблоков мощностью 800 и 1200 МВт допускается
применение двухниточной схемы установки подогревателей высокого давления. [3]
.6.1 Выбор подогревателей высокого давления
ПВД предназначены для регенеративного подогрева питательной воды за счет
охлаждения и конденсации пара. Все три подогревателя поверхностного типа. Для
более полного использования теплоты подводимого пара предусматриваются
специальные поверхности нагрева для охлаждения пара до параметров, близких к
параметрам насыщения - охладители пара, и для охлаждения конденсата пара -
охладители конденсата.
Исходные данные для выбора ПВД берем из расчета тепловой схемы. Они
приведены в таблице 2.15.
Таблица 2.15
|
ПВД-3
|
ПВД-2
|
ПВД-1
|
|
Расход воды , 513,25513,25513,25
|
|
|
|
|
Температура воды на входе , 170,3209,5265,6
|
|
|
|
|
Температура воды на выходе , 209,5265,6275
|
|
|
|
|
Давление пара отбора , 2,15,56,3
|
|
|
|
|
Расход пара , 29,1061,4812,52
|
|
|
|
|
Энтальпия пара , 332330213048
|
|
|
|
|
Энтальпия дренажа , 764,5941,11213,9
|
|
|
|
|
Давление в корпусе подогревателя , 25,36,1
|
|
|
|
|
Температура насыщения при давлении в корпусе , 211,46267,61277
|
|
|
|
Пренебрегая наличием охладителя пара рассчитаем площадь поверхности
собственно подогревателя и охладителя дренажа, усредняя коэффициент
теплопередачи. Полученное значение площади поверхности домножаем на коэффициент
1.1, принимая тот факт, что площадь поверхности охладителя пара составляет
около 10% полученного значения.
Принимаем коэффициент теплопередачи и задаемся недогревом на выходе из
зоны конденсации:
Выбор ПВД 3.
Расчетный тепловой поток:
Температурный напор:
Площадь поверхности собственно подогревателя и охладителя дренажа:
Площадь поверхности теплообмена:
Выбор ПВД 2.
Расчетный тепловой поток:
Температурный напор:
Площадь поверхности собственно подогревателя и охладителя дренажа:
Площадь поверхности теплообмена:
Выбор ПВД 1.
Расчетный тепловой поток

.
Температурный
напор:
Площадь
поверхности собственно подогревателя и охладителя дренажа:
Площадь
поверхности теплообмена:

[3]
Запишем
техническое задание для модернизации подогревателей до необходимых параметров.
[4]
Таблица
2.16
|
ПВД-3
|
ПВД-2
|
ПВД-1
|
|
Тепловой поток , 73,7126,622,7
|
|
|
|
|
Коэф. теплопередачи , 2.72.72.7
|
|
|
|
|
Температурный напор , 18.322.98.4
|
|
|
|
|
Площадь поверхности теплообмена , 1640.92252.31102.6
|
|
|
|
|
Прототип подогревателя
|
ПВ-1700-380
|
ПВ-2300-380
|
ПВ-1100-380
|
.6.2. Выбор деаэратора
Деаэраторы выбираются по расходу питательной воды и давлению пара в них.
Вместе с деаэратором (деаэраторной колонкой) выбирается бак запаса питательной
воды. Для блоков КЭС запас питательной воды в аккумуляторном баке должен
соответствовать пяти минутам работы котла. Объем воды принимается равным 0,85
геометрического объема бака. [3]
Расход питательной воды и давление в деаэраторе:

Выбираем
деаэратор ДП-2000/150.
Деаэратор
имеет одну колонку КДП-2000 в вертикальном исполнении. [4]
Таблица
2.17
|
Номинальная производительность, т/ч
|
Рабочее давление, МПа
|
Диаметр корпуса, мм
|
Объем деаэраторного бака, м3
|
|
2000
|
0,69
|
8370
|
3400
|
150
|
2.6.3 Выбор подогревателей низкого давления
Подогреватели низкого давления располагаются между конденсатором турбины
и питательным насосом. Движение в них происходит под давлением конденсатного
насоса.
Исходные данные берем из расчета тепловой схемы. [3]
Таблица 2.18
|
ПНД-5 (П4)
|
ПНД-4 (П5)
|
ПНД-3 (П6)
|
ПНД-2 (П7)
|
|
Расход воды , 402,85402,85355,84355,84
|
|
|
|
|
|
Температура воды на входе , 126,99103,880,4356,95
|
|
|
|
|
|
Температура воды на выходе , 149,95126,99103,880,43
|
|
|
|
|
|
Давление пара отбора , 0,5860,310,1490,064
|
|
|
|
|
|
Расход пара , 16,9616,1413,9215,46
|
|
|
|
|
|
Энтальпия пара , 3010288027572640
|
|
|
|
|
|
Энтальпия дренажа , 653,7554,9465,3357,8
|
|
|
|
|
|
Давление в корпусе подогревателя , 0,5430,2870,1380,059
|
|
|
|
|
|
Температура насыщения при давлении в корпусе , 154,95131,99108,885,43
|
|
|
|
|
Принимаем коэффициент теплопередачи:
Выбор ПНД-2.
Расчетный тепловой поток:
Температурный напор
Площадь поверхности теплообмена:

[3]
Выбор
ПНД-3.
Расчетный
тепловой поток:
Температурный
напор:
Площадь
поверхности теплообмена:

[3]
Выбор
ПНД-4.
Расчетный
тепловой поток:
Температурный
напор:
Площадь
поверхности теплообмена:

[3]
Выбор
ПНД-5.
Расчетный
тепловой поток:
Температурный
напор:
Площадь
поверхности теплообмена:

[3]
Выбираем
прототипы подогревателей и пишем техническое задание на проектирование
подогревателей низкого давления. [4]
Таблица
2.19
|
ПНД-5 (П4)
|
ПНД-4 (П5)
|
ПНД-3 (П6)
|
ПНД-2 (П7)
|
|
Тепловой поток , 39,236,831,334,6
|
|
|
|
|
|
Коэф. теплопередачи , 3333
|
|
|
|
|
|
Температурный напор , 13,413,413,513,5
|
|
|
|
|
|
Площадь поверхности теплообмена , 974,2914,8771,9853,8
|
|
|
|
|
|
Прототип подогревателя
|
ПН-1100-25-6
|
ПН-1100-25-6
|
ПН-850-25-6
|
ПН-850-25-6
|
.6.4 Выбор подогревателей низкого давления смешивающего типа
Выбор подогревателя смешивающего типа осуществляется по расходу
нагреваемого конденсата и температуре воды на выходе из подогревателя.
Параметры смешивающих ПНД в результате расчета тепловой схемы. [3]
Табл. 2.20
|
Подогреватель
|
Расход, кг/с
|
Температура конденсата, °С
|
Температура пара, °С
|
Рабочее давление в корпусе, МПа
|
|
конденсата
|
пара
|
на входе
|
на выходе
|
|
|
|
ПНД-1 (П8)
|
326,12
|
14,26
|
28,96
|
56,95
|
61,95
|
0,022
|
В качестве прототипа выбираем ПНСВ-800
Таблица 2.21.
Технические характеристики выбранного прототипа.
|
Типоразмер подогревателя
|
Температура пара, °С
|
Рабочее давление в корпусе, МПа
|
Максимальная высота, мм
|
Диаметр корпуса, мм
|
|
|
|
|
|
|
ПНСВ-800
|
200
|
0,2
|
8800
|
3200
|
2.7 Расчет собственных нужд
Мощность собственных нужд есть сумма мощностей приводов всех насосов,
тяго-дутьевых машин и системы топливоприготовления.
Таблица 2.23.
|
Название оборудования
|
Мощность, МВт
|
|
Конденсатный насос 1 ступени
|
0.335
|
|
Конденсатный насос 2 ступени
|
0.485
|
|
Дутьевой вентилятор
|
2.676
|
|
Дымосос
|
2.418
|
|
Топливоприготовление (молотковая мельница)
|
0,8
|
N`сн=
По
данным расчета доля электроэнергии расходуемая на собственные нужды равна 
В главе
1 мною было принято 
[3]
Глава 3. Расчет подогревателя высокого давления ПВД-3
.1 Описание конструкции подогревателя высокого
давления
Подогреватели высокого давления предназначены для регенеративного
подогрева питательной воды за счет охлаждения и конденсации пара.
Конструктивно подогреватель высокого давления выполняется вертикальным,
коллекторного типа.
Поверхность теплообмена набирается из свитых в плоские спирали гладких
труб наружным диаметром 32 мм, присоединенных к вертикальным раздающим и
собирающим коллекторным трубам.
Основными узлами подогревателя являются корпус и трубная система.
Верхняя объемная часть корпуса крепится фланцевым соединением к нижней
части. Гидравлическая плотность соединения обеспечивается предварительной
приваркой к фланцам корпуса и днища мембран, которые свариваются между собой по
наружной кромке и соединяются другими методами. Само фланцевое соединение
крепится шпильками.
Конструкция трубной системы включает в себя шесть коллекторных труб для
распределения и сбора воды. В нижней части корпуса устанавливаются специальные
развилки и тройники для соединения коллекторных труб с патрубками подвода и
отвода питательной воды. Между спиральными трубными элементами в зоне СП через
8-12 рядов плоскостей навивки спиралей установлены горизонтальные перегородки,
предназначенные для организации движения пара и отвода конденсата. Спиральные
элементы поверхности зон ОП и ОК располагаются в специальных кожухах.
В кожухе ОП перегретый пар в несколько ходов омывает трубный пучок и
передает теплоту перегрева. В СП пар распределяется по всей высоте. Конденсат
пара с помощью перегородок отводится за пределы трубного пучка и вдоль стенок
корпуса стекает в нижнюю часть, где расположена зона ОК. Неконденсирующиеся
газы отводятся в подогреватель с более низким давлением пара по специальной
трубе, установленной в зоне СП над верхним днищем кожуха зоны ОК. Все
подогреватели высокого давления помимо автоматического устройства регулирования
уровня конденсата в корпусе, которым оснащены и ПНД, имеют также автоматическое
защитное устройство. Назначение этого устройства - защита турбины от попадания
воды в случае превышения уровня ее в корпусе в результате разрыва труб, появления
свищей в местах сварки и других причин.
Поддержание нормального уровня конденсата в корпусе каждого из
подогревателей в заданном диапазоне осуществляется регулирующим клапаном путем
изменения количества конденсата, каскадно сбрасываемого в подогреватель более
низкого давления. При превышении допустимого нормального уровня открывается
клапан аварийного сброса конденсата. При дальнейшем повышении уровня сверх так
называемого первого аварийного предела приборы защиты дают команду на включение
клапана с электромагнитным приводом, закрывающего доступ питательной воды к ПВД
и направляющего ее по байпасному трубопроводу в котел. При достижении уровнем
конденсата второго аварийного предела приборы защиты дают команду на отключение
питательных насосов и останов энергоблока.
Предусматривается одно защитное устройство на группу ПВД. Однако подача
импульсов по уровню конденсата на него осуществляется от каждого корпуса
подогревателя. При срабатывании защиты все ПВД отключаются по питательно воде.
Рассматриваемый подогреватель высокого давления подключен к третьему
отбору турбины. Подогреватель имеет охладитель конденсата и охладитель пара.
ПВД 3 выполнен по классической схеме: пар поступает в охладитель пара, отдает
некоторое количество теплоты питательной воде; затем поступает в собственно
подогреватель, где конденсируется; образовавшийся конденсат сливается в
охладитель конденсата, а затем в деаэратор. Питательная вода частично подается
в охладитель конденсата, где подогревается на 5-100С. Схема движения
греющего пара и питательной воды и график распределения температур в
теплообменнике показаны соответственно на рис. 3.1.1 и рис. 3.1.2. [5]
Рис.
3.1.1. Схема движения питательной воды и греющего пара в ПВД3.
Рис.
3.1.2. График распределения питательной воды и греющего пара по поверхностям
нагрева теплообменника.
3.2
Тепловой и конструктивный расчет подогревателя высокого давления
.2.1
Исходные данные для теплового расчета ПВД3
Исходные
данные для расчета приняты по данным расчета тепловой схемы.
Параметры
греющего пара:
Рп=2,1
МПа - давление греющего пара на входе в теплообменник
tп=435,23 ºС - температура греющего пара на входе в теплообменник
Параметры
питательной воды:
Gпв=513,25 кг/с - расход питательной воды
Рпв=32,9
МПа - давление питательной воды
tвх=170,3 ºС - температура питательной воды на входе в подогреватель
tвых=209,46 ºС - температура питательной воды на выходе из подогревателя
Dп=29.10 кг/с - расход пара в подогреватель.
Dдр=74 кг/с - расход дренажа в подогреватель.
h`др=941,1кДж/кг
- энтальпия дренажа.
По
исходным данным определяем параметры, нужные для дальнейшего расчета [2]
hп=3324,2кДж/кг - энтальпия греющего пара на входе в
теплообменник
Р`п=2
МПа - давление греющего пара в подогревателе
tпн=211,46 ºС - температура насыщения пара
hпн=904,4
кДж/кг - энтальпия конденсата за собственно подогревателем
tдр=180,30С - температура конденсата на выходе
из охладителя дренажа
hдр=764,5 кДж/кг - энтальпия конденсата на выходе из
охладителя дренажа
hвх=738,9 кДж/кг - энтальпия питательной воды на входе в
подогреватель
hвых=907,8 кДж/кг - энтальпия питательной воды на входе из
подогревателя
Поверхность
нагрева включает охладитель пара, собственно подогреватель и охладитель
дренажа. [5]
Расход
питательной воды составляет:
через
охладитель дренажа Gод = Gпв*βод=0,20*513,25=103кг/с
через
собственно подогреватель Gкп = Gпв=513,25кг/с
через
охладитель пара Gоп = Gпв *βоп=513,25*0,15=76,99кг/с
Температура
пара на выходе из охладителя пара
Энтальпия
пара на выходе из охладителя пара: [5]
.2.2 Определение тепловых нагрузок
Тепловая нагрузка охладителя пара:
Qоп= Dп(h-h``оп)ηп =29,10∙(3324,2-2826)∙0,99=14352,0 кВт
Тепловая нагрузка собственно подогревателя:
Qкп= Dп(h``оп-hпн)ηп+Dдр(h`др- hпн )
=29,10(2826-904,4)0*0,99+74(941,1-904,4)*0,99=58048 кВт
Тепловая нагрузка охладителя дренажа:
Qод=(Dп+Dдр)(hпн
-hдр)ηп =(74+29,10)*(904,4-764,5)*0,99=14279 кВт
Суммарная тепловая нагрузка ПВД:
Расчет поверхностей нагрева подогревателя производим отдельно ввиду
разных условий теплопередачи.
Принимаем: диаметр трубок 32/20 мм; [6]
Определим энтальпию воды на выходе из охладителя дренажа:
По давлению и энтальпии воды на выходе из охладителя дренажа по [2]
определим температуру: t``од=202,50С
Определим энтальпию питательной воды на входе в собственно подогреватель:
По давлению и энтальпии воды на входе в собственно подогреватель по [2]
определим температуру: tв`кп=176,80С
Определим энтальпию питательной воды на выходе из КП:
По давлению и энтальпии воды на выходе из охладителя пара по [2]
определим температуру: tв``кп=2030С
Определим параметры питательной воды на выходе из ОП:
По давлению и энтальпии воды на выходе из охладителя пара по [2]
определим температуру: tв``оп=2450С
Сделаем проверку:
По давлению и энтальпии воды на выходе из охладителя пара по [2]
определим температуру: t2в=209,50С
.2.3 Расчет собственно подогревателя
Поверхность нагрева подогревателя определяется из уравнения теплопередачи
,
где
Среднелогарифмическая
разность температур в подогревателе:
Определение
коэффициента теплопередачи производим графоаналитическим методом.
Определим
коэффициент теплоотдачи от стенок труб к воде:
Установим
режим течения.
Принимаем
скорость течения воды в трубках подогревателя равной ωв=2 м/с
[6]
Средняя
температура воды:
Принимаем
внутренний диаметр трубок собственно подогревателя равным dвн=20 мм.
Удельный
объем воды υ=0,001115 м3/кг [2]
Плотность
воды ρ=896,9 кг/м3
Кинематическая
вязкость воды
=0,1666∙10-6 м2/с
Коэффициент
теплопроводности λ=0,6939 Вт/м∙К
Критерий
Прандтля Pr=0,9284
Число
Рейнольдса при данных параметрах
Поскольку
расчетное значение числа Рейнольдса Re=24∙104>Re*=104, режим течения в трубках
теплообменника турбулентный. Тогда, выражение для нахождения коэффициента
теплоотдачи можно определить по следующей формуле
Определим
термическое сопротивление стенки труб собственно подогревателя:
λст=35,2
Вт/м∙К - теплопроводность стенки трубы по [6]
δст=6 мм -
толщина стенки трубы собственно подогревателя
термическое
сопротивление стенки труб собственно подогревателя
Определение
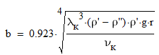
коэффициента теплоотдачи от пара к стенке труб собственно подогревателя:
Коэффициент
теплоотдачи можно рассчитать по следующей формуле:
где
[2]
= 0,6629 Вт/м∙К и
= 863,9
кг/м3 - коэффициент теплопроводности и плотность конденсата,
= 0,1549∙10-6 м2/с -
кинематическая вязкость конденсата,
= 7,969
кг/м3 - плотность пара,
= 1937
кДж/кг - удельная теплота конденсации пара,
= 9,8 м/с2
- ускорение свободного падения,
= 32 мм -
наружный диаметр труб.
Величина
b определяется по средней температуре плёнки
конденсата.
Средняя
температура плёнки конденсата:
С
помощью математического пакета MathCAD построим график зависимости ∆t=f(q) и
по графику определим значение плотности теплового потока при среднем
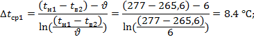
логарифмическим напором ∆tсп=18,580С.
Рис.
1.2.3 График зависимости температурного напора от плотности теплового потока.
По
графику определяем, что при ∆tсп=18.58,0С q=49751 Вт/м2
Коэффициент
теплопередачи в собственно подогревателе при этих условиях:
Площадь
поверхности нагрева собственно подогревателя:
При
принятой скорости течения воды в трубках число трубок собственно подогревателя
определим из формулы:
Таким
образом, на собственно подогреватель приходится 936 трубок; в каждой из 6-ти
секций будет 936/6=156 спиралей. [7]
Длина
спирали в этом случае
Сделаем
проверку и определим скорость питательной из уравнения неразрывности:
Шаг
трубок по высоте выбирается равный 36 мм.
Общая
высота трубной системы:
Hсп=156∙38=5928
мм. Спираль навита в один ярус по девять витков в каждом ярусе. Шаг витков
равен s=38 мм. [5]
3.2.4 Расчет охладителя пара
Встроенный пароохладитель выполняется в виде шести секций, заключенных в
специальный кожух. Конструктивные размеры секций такие же, как и в собственно
подогревателе.
Средняя температура пара в межтрубном пространстве:
Физические параметры пара приняты при Р`п=2 МПа и tпоп.ср=328,350С
[2]
Удельный объем пара υ=0,13300137 м3/кг
Критерий Прандтля Pr=0,9894
Теплопроводность пара λ=0,04865 Вт/м∙К
Кинематическая
вязкость пара
=0.2835∙10-5 м2/с
Площадь
живого сечения для прохода пара определяю по формуле:
где
= 0,99 - коэффициент, учитывающий часть длины труб,
участвующей в теплообмене по,
= 0,006 м
- расстояние между трубами [6]
Эквивалентный
диаметр:
Скорость
пара в межтрубном пространстве охладителя пара (разбиваем на 2 потока).
Критерий
Рейнольдса:
Поскольку
Re>104 и Pr>0,7,
коэффициент теплоотдачи определяем по формуле, пригодной для каналов с
размещенными в них трубками при продольном обтекании
Найдем
коэффициент теплоотдачи α2 от
стенки труб к воде:
Принимаем
скорость воды в трубках ωоп=2,3 м/с
Средняя
температура воды в ОП:
Физические
параметры воды при Рпв=32,9 МПа и tвоп.ср=2240С
[2]
Удельный
объем воды υ=0,001163 м3/кг
Критерий
Прандтля Prвоп=0,83
Теплопроводность
воды λвоп=0,6735 Вт/м∙К
Кинематическая
вязкость пара
воп=0,1472∙10-6 м2/с
Критерий
Рейнольдса:
Коэффициент
теплопередачи:
Поверхность
нагрева по внешнему диаметру труб:
Число
змеевиков охладителя пара:
Сделаем
проверку и определим скорость питательной воды из уравнения неразрывности
Общая
высота трубной системы: [5]
3.2.5 Расчет охладителя дренажа
Температурный напор:
Средняя температура конденсата в межтрубном пространстве:
По
и Р`п=2 МПа находим физические параметры
конденсата: [2]
Удельный
объем υ=0,001136 м3/кг
Критерий
Прандтля Prод=0,9544
Теплопроводность
λк.од=0,6721 Вт/м∙К
Кинематическая
вязкость пара
вод=0,1645∙10-6 м2/с
Охладитель
дренажа имеет такую же конструкцию, как и охладитель пара. Разница заключается
в числе спиралей по высоте, поэтому dэ = 0,011874 м,
=
0,07128м2.
Скорость
конденсата в межтрубном пространстве (разбиваем на 2 потока):
Значение
числа Рейнольдса при найденной скорости:
Коэффициент
теплоотдачи от конденсата к внешней стенке трубы:
Средняя
разность температур воды в трубах охладителя:
Удельный
объем воды υ=0,001123 м3/кг [2]
Теплопроводность
воды λв.од=0,691 Вт/м∙К
Критерий
Прандтля Prв.од=0,9072
Кинематическая
вязкость пара
вод=0,1626∙10-6 м2/с
Принимая
скорость воды в трубах ωод=1 м/с,
определим число Рейнольдса:
Коэффициент
теплоотдачи от стенки к воде:
Коэффициент
теплопередачи:
kод= 3373,38 Вт/м2 К
Поверхность
нагрева определяем по наружному диаметру
Число
змеевиков с учетом ηод :
Принимаем
Nод=378
Сделаем
проверку и определим скорость питательной воды из уравнения неразрывности
Общая
высота трубной системы охладителя конденсата:
Таким
образом, суммарная поверхность нагрева подогревателя высокого давления [5]
3.3
Гидравлический расчет
Задачей
гидравлического расчета подогревателей является определение их гидравлического
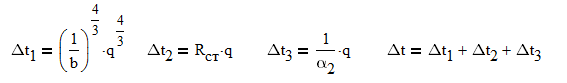
сопротивления. Для любого элемента или участка подогревателя гидравлическое
сопротивление определяется выражением, [6]:
,
где
-
определяет гидравлические потери, возникающие при движении тепло- носителя за
счёт трения о стенки труб;
-
гидравлические потери при движении теплоносителя, вызванные местными
сопротивлениями (поворотами, сужениями или расширениями и т. п.).
3.3.1 Входной и выходной патрубки. [6]
Диаметр патрубка: D.вх=0,4
м
Длина участка: L.вх=2,42
м
Удельный объем воды:
Плотность воды:

Скорость питательной воды:
Число Рейнольдса входного патрубка:
Коэффициент сопротивления трения, [6]: λвх=0,0152
Коэффициент трения:
Потеря давления потока питательной воды:
Диаметр патрубка: D.вых=0,4
м
Длина участка: L.вых=2,42
м
Скорость питательной воды:
Число Рейнольдса:
Коэффициент сопротивления трения, [6]: λвх=0,0152
Коэффициент трения:
Потеря давления на участке:
.3.2 Коллектор с подводящими и отводящими трубами
Диаметр трубопроводов: Dв.п=0,250
м
Длина трубопровода: Lв.п
=9,116 м
Скорость питательной воды:
Число Рейнольдса:
Коэффициент сопротивления трения: λ2=0,0157
Коэффициент трения, [4]:
Коэффициент местного сопротивления (при повороте на 90, ответвление на
магистарали) находим по литературе [6]:
Таблица 3.1
|
Наименование
|
Значение
|
|
Поворот на 90
|
0,2
|
|
Ответвление на магистрали
|
1,1
|
Суммарный коэффициент сопротивления:
Потеря давления потока питательной воды в отводящих (подводящих) трубах:
[6]
.3.3 Расчёт потери давления для охладителя конденсата
Диаметр спирали: dвн=0.020 м
Длина участка: L=12 м
Число спиралей: Nод=374
Скорость воды: Wод=1 м/с
Число витков: nв=9
Число Рейнольдса определяем по формуле:
Коэффициент сопротивления трения: λ2=0,029
Коэффициент местного сопротивления (вход потока в спираль, выход из
спирали и влияние кривизны спирали):
Коэффициент сопротивления спиральной трубы: [6]
Коэффициент сопротивления входа:
Коэффициент сопротивления выхода:
Суммарный коэффициент сопротивления:
Потеря давления потока питательной воды в охладителе пара:
3.3.4 Расчёт потери давления для собственно подогревателя
Диаметр спирали: dвн=0.020 м
Длина участка: L=12 м
Число спиралей: Nкп=936
Скорость воды: Wкп=2 м/с
Число витков: nв=9
Число Рейнольдса определяем по формуле:
Коэффициент сопротивления трения: λ4=0,0293
Коэффициент трения:
Коэффициент местного сопротивления (вход потока в спираль, выход из
спирали и влияние кривизны спирали):
Коэффициент сопротивления кривизны спирали:
Коэффициент сопротивления входа:
Коэффициент сопротивления выхода:
Суммарный коэффициент сопротивления:
Потеря давления потока питательной воды в охладителе пара: [6]
.3.5 Расчёт потери давления для охладителя пара
Диаметр спирали: d.2=0.020
м
Длина участка: L=12 м
Число спиралей: Nоп=126
Скорость воды: Wоп=2,3 м/с
Число витков: nв=9
Число Рейнольдса определяем по формуле:
Коэффициент сопротивления трения: λ5=0,0293
Коэффициент трения:
Коэффициент местного сопротивления (вход потока в спираль, выход из
спирали и влияние кривизны спирали):
Коэффициент сопротивления кривизны спирали: [6]
Коэффициент сопротивления входа:
Коэффициент сопротивления выхода:
Суммарный коэффициент сопротивления:
Потеря давления потока питательной воды в охладителе пара:
Суммарное падение давления: [6]
.4 Расчет на прочность элементов подогревателя
Номинальная толщина корпуса, подверженному внутреннему давлению, должна
быть не менее определенной по данной формуле[6]
- внутренний номинальный диаметр (из прототипа).
Ратм=0,1 МПа
Элементы корпуса выполняются из качественной углеродистой стали 20К.
-допустимое напряжение при расчете только на действие
давления.
φ ≤ 1, - минимальный коэффициент
прочности элемента, приведенный к продольному направлению. Для корпусов и
обечаек регенеративных подогревателей, а также трубок поверхностей нагрева
любого теплообменника φ = 1.
C -
учёт минусовых допусков при изготовлении корпуса, принимаем С=2,4 мм.
Корпус ослаблен отверстиями диаметром dотв= 400 мм
Предельный диаметр неукрепленного отверстия
где
Тогда сумма компенсирующих площадей укрепляющих элементов
энергоблок подогреватель регенеративный
Глава 4. Сравнение схем включения ПВД в систему
регенеративного подогрева (схема Виолена)
.1 Исходные данные для расчета тепловой схемы
В этой части будет рассмотрено изменение показателей экономичности
энергоблока при включении пароохладителя ПВД-3 по схеме Виолен при неизменных
положениях отборов. Данное преобразование схемы не повлияет на работу ПВД-1.
Температура
воды на выходе из ПВД-1 остается прежней, но температура на входе в котел
изменится в связи с дополнительным подогревом в
охладителе пара третьего отбора, включенного по схеме Виолен. [1]
Температура
пара на входе в собственно подогреватель:
где,

недоохлаждение
пара в ПВД3;
По
температуре пара 
и
давления 
находим
значение энтальпии: [2]
Температура
воды на выходе из ПВД-3:
где,

недогрев
воды в ПВД;
По
температуре пара 
и
давления 
находим
значение энтальпии: [2]
С
учетом недоохлаждения дренажа, его температура на выходе из ПВД 2:
hдр2 = 922.9кДж/кг
.2 Решение уравнений теплового баланса для элементов тепловой схемы
ПВД-2:
Уравнение теплового баланса для ПВД-2:
,
откуда
доля расхода пара в ПВД-2

ПВД-3:
Уравнение
теплового баланса для ПВД 3:
откуда
доля расхода пара в ПВД-3:
Выносной
пароохладитель:
Уравнение
теплового баланса для выносного пароохладителя:
откуда
энтальпия воды после пароохладителя:
Смеситель:
Уравнение
теплового баланса для смесителя:
Деаэратор:
Т.к.
деаэратор является подогревателем смешивающего типа, то составляем уравнения и
теплового, и материального балансов:
Уравнение
материального баланса:
Уравнение
теплового баланса деаэратора:
Решим
систему из 2-х уравнений и определим относительные расходы
и
:
αок =
0,78896
αд =
0,014027
Регенеративные
подогреватели низкого давления.
ПНД
4:
Тепловой
баланс подогревателя ПНД 4
Тепловой
баланс подогревателя ПНД 5, ПНД 6 и точки смешения:
Решаем
систему равнений:
После
решения системы уравнений, получаем:

=0,69691

,031608
ПНД-7
Уравнение
теплового баланса:
ПНД
8(смешивающего типа):
Уравнения
теплового баланса
Решив
систему уравнений, получим следующие данные:
Доля
расхода пара на турбопривод:
Давление
в конденсаторе приводной турбины:
Внутренний
относительный КПД турбопривода:
Внутренний
механический КПД турбопривода:
Давление
и энтальпия пара на входе в турбопривод с учетом потерь: [2]
Теоретическая
энтальпии пара поступающего в конденсатор: [2]
Действительная
энтальпии пара поступающего в конденсатор:
Внутренний
теплоперепад:
Средний
удельный объем воды: [2]
4.3 Контроль материального баланса пара и конденсата
Доля потока конденсата из основного конденсатора со стороны
регенеративной системы:
Расход пара в конденсатор (по материальному балансу конденсатора)
Найдем погрешность вычислений:
Погрешность
составляет меньше 
и можно
считать, что материальный баланс сходится. [9]
.4 Определение абсолютного значения
расхода пара в голову турбины D0.
,
где
NЭ=610
103
кВт,
- приведенный теплоперепад, где αj
- доля пропуска пара через отсек, а Δhj -
теплоперепад в отсеке.
Для
определения
составляем таблицу 1.3.
Таблица
4.1.
Определение
приведенного теплоперепада.
|
Цилиндр
|
Отсек турбины
|
Доля пропуска пара через отсек αj
|
Теплоперепад пара в отсеке Δhj, кДж/кг
|
Внутренняя работа на 1 кг свежего пара αj∙Δhj, кДж/кг
|
|
ЦВД
|
0 -1
|
α0 =1
|
h0 - h1 = 3371,3-3048= =323,3
|
323,3
|
|
1-2
|
1 - α1=1- 0,024754= 0,975246
|
h1 - h2 = 3048-3021,27= 26,73
|
26,07
|
|
ЦСД
|
ПП-3
|
1 - α1 - α2 =0 ,846465
|
hпп - h3 =3575,8-3323=252,8
|
213,99
|
|
3-4
|
1 - α1 - α2 - α3- αд - αтп=0,724918
|
h3 - h4 =3323-3010=313
|
226,9
|
|
4-5
|
1 - α1 - α2 - α3- αд - α4- αтп =0,691746
|
h4 - h5 =3010-2880= 130
|
89,93
|
|
ЦНД
|
5-6
|
1 - α1 - α2 - α3- αд-αтп -α4-α5==0,660138
|
h5 - h6 =2880-2757=
123
|
81,97
|
|
6-7
|
1-α1 - α2 - α3-αд -αтп-α4 -α5 -α6=0,63288
|
h6 - h7
=2757- 2640=117
|
74,05
|
|
7-8
|
1-α1-α2-α3-αд-αтп-α4-α5-α6-α7=0,602596
|
h7- h8 =
2640-2510=130
|
78,34
|
|
8-к
|
1-α1-α2-α3-αд-αтп-α4-α5-α6-α7-α8=0,574574
|
h8- hк = 2510-2321=189
|
108,59
|
|
1223,14
|
|
Расход
пара в голову турбины: кг/с, где
-
механический КПД турбины,
- КПД электрического генератора, принимаем согласно.
Абсолютные
расходы рабочего тела по элементам тепловой схемы:
4.5 Энергетические показатели энергоблока
Расход теплоты на турбоустановку
КПД турбоустановки по выработке электроэнергии:
Удельный расход теплоты на выработку электроэнергии:
Удельный расход пара турбоустановки:
Тепловая
нагрузка парового котла:
принимаем,
что
,
тогда:
КПД
транспорта теплоты:
КПД
энергоблока брутто:
- КПД
котельной установки.
КПД
энергоблока нетто:
Принимаем
- доля электроэнергии собственных нужд станции, тогда
Удельный
расход условного топлива (нетто) на энергоблок:
Удельный
расход теплоты энергоблока (нетто):
Расход
натурального топлива на энергоблок:
Так
как в первой главе, не был выбран паровой котел, делаем пересчет энергетических
параметров, для 
КПД
энергоблока брутто:
- КПД
котельной установки.
КПД
энергоблока нетто:
Принимаем
- доля электроэнергии собственных нужд станции, тогда
[1]
Удельный
расход условного топлива (нетто) на энергоблок:
Удельный
расход теплоты энергоблока (нетто):
Расход
натурального топлива на энергоблок:
где

- низшая
теплота сгорания топлива (Экибастузский бурый уголь). Проанализировав
полученные данные, приходим к выводу, что при включении охладителя пара
третьего отбора по схеме Виолен, экономия топлива составляет 
- 
13= 0.001
кг у.т. / (кВт∙ ч). Это объясняется тем, что перенос теплоты перегрева к
более горячему теплоносителю эффективнее.
4.6 Сравнение характеристик исходной тепловой схемы и пересчитанной
тепловой схемы.
Таблица. 4.2
|
Наименование
|
Исходная тепловая схема
|
Тепловая схема с ПВД, включенным по схеме Виолена.
|
Относительное изменение, %
|
|
Паропроизводительность,  505.7 кг/с508.8 кг/с+0,61
|
|
|
|
|
Удельный расход пара на турбоустановку, d
|
|
|
+0,633
|
|
КПД энергоблока брутто, 0,39560,3965+0,23
|
|
|
|
|
КПД энергоблока нетто, 0,375820,37668+0,23
|
|
|
|
|
Удельный расход условного топлива на энергоблок,   -0,226
|
|
|
|
|
Расход натурального топлива на энергоблок,   -0,244
|
|
|
|
Заключение
В представленной выпускной работе бакалавра был произведен расчет
принципиальной тепловой схемы энергоблока с турбоустановкой К-600-25, по
результатам которого были определены:
-расход
пара в голову турбины 
все
потоки пара и воды в схеме
показатели
тепловой экономичности (КПД блока брутто 
, КПД
блока нетто 
%,
абсолютный удельный расход натурального топлива 
,
удельный расход условного топлива
В
соответствии с существующими нормами и правилами был проведен выбор основного и
вспомогательного оборудования этого энергоблока, а также выполнены необходимые
для этого расчеты.
В
индивидуальном задании был выполнен тепловой, конструкторский и гидравлический
расчет подогревателя высокого давления поверхностного типа.
В
результате работы были получены следующие показатели:
· параметры каждой поверхности( ОП, СП, ОД)
· общая площадь подогревателя F=1764.5 м2
· длина спирали: l=12м
· число спиралей каждого отсека: Nод=374, Nсп=936, Nоп=126
· толщина стенки: s=28 мм
В специальной части был произведен расчет тепловой схемы с ПВД-3
включенным по схеме Виолена, определены показатели экономичности и произведен
сравнительный анализ двух схем.
В результате работы, КПД блока брутто увеличился, КПД блока нетто
увеличился, абсолютный расход топлива уменьшился. Остальные показатели
экономичности, представлены в сравнительной таблице.
Список использованной литературы
1. Рыжкин В.Я. «Тепловые электрические станции». Учебник
для вузов. М.: Энергоатомиздат, 1987 г.
. Александров А.А., Григорьев Б.А. «Таблицы
теплофизических свойств воды и водяного пара». Справочник. М.: Издательство
МЭИ, 1999 г.
. Л.А. Федорович, А.П. Рыков. «Методика выбора
тепломеханического оборудования ТЭС».Издательский дом МЭИ, 2007 г.
. «Тепловые и атомные электрические станции».Справочник.
Под общ. ред. А.В. Клименко, В.М. Зорина. 3-е изд., перераб. М.:
Энергоатомиздат, 2003 г.
. Ю.Г. Назмеев, В.М. Лавыгин. «Теплообменные аппараты
ТЭС». Москва, Идательский дом МЭИ, 2007 г.
. РТМ 108.271.23-84 Расчет и проектирование поверхностных
подогревателей высокого и никого давления.
. Вспомогательное оборудование тепловых
электростанций: Учебное пособие для вузов/ Л.А. Рихтер, Д.П. Елизаров, В.М.
Лавыгин. - М.: Энергоатомиздат, 1987. - 216 с., ил.
. Стерман Л.С., Лавыгин В.М., Тишин С.Г. «Тепловые и
атомные электрические станции». Учебник для вузов. М.: Издательство МЭИ, 2004
г.
. Конспект лекций по курсу «ТЭС и АЭС»
. Конспект лекций по курсу «Тепломеханическое и
вспомогательное оборудование ТЭС».