Ремонт газораспределительного механизма ЗИЛ-508-10 на моторном цехе автотранспортного объединения

  • Вид работы:
    Дипломная (ВКР)
  • Предмет:
    Транспорт, грузоперевозки
  • Язык:
    Русский
    ,
    Формат файла:
    MS Word
    1,13 Мб
  • Опубликовано:
    2015-06-16
Вы можете узнать стоимость помощи в написании студенческой работы.
Помощь в написании работы, которую точно примут!

Ремонт газораспределительного механизма ЗИЛ-508-10 на моторном цехе автотранспортного объединения

Содержание

Введение

1.Технологический раздел

1.1 Устройство и принцип действия газораспределительного механизма

1.2 Материалы для изготовления основных деталей и эксплуатационные жидкости

. Организация технологического процесса диагностирования, технического обслуживания и ремонта автотранспортных средств

2.1 Назначение моторного цеха

2.2 Контрольно-измерительные инструменты и приборы

2.3 Диагностическое оборудование

2.4 Технологическое оборудование

2.5 Инструменты и приспособления

2.6 Организационная оснастка

2.7 Техническое обслуживание газораспределительного механизма

2.8 Диагностирование неисправностей газораспределительного механизма

2.9 Ремонт газораспределительного механизма

3. Расчетно-технологический раздел. Исходные данные

4. Охрана труда и техника безопасности на автотранспортном предприятии

4.1 Виды инструктажа

4.2 Требования к оборудованию рабочих мест мотористов

4.3 Требования к личной безопасности и приемам работы мотористов

Заключение

Список литературы

Приложения


Введение

Если объявить конкурс среди грузовых автомобилей на звание самого известного ветерана городских перевозок, то, без сомнения, первое место займет ЗИЛ-130. В 2014 году исполнилось 50 лет с начала массового производства автомобилей этой серии.

Придя на смену ЗИЛ-164, он выпускался более тридцати лет. Всего с 1964 до 1994 года на Московском заводе им. Лихачева выпустили 3 380 000 грузовиков этого семейства. До сих пор на дорогах России можно встретить этот узнаваемый всеми автомобиль.

В 1953 году на ЗИСе развернули работы над опытным образцом нового базового грузовика «ЗИС-125» (по конструкторской документации - «ЗИС-150М»). Она-то и стала прообразом «стотридцатки», появившимся на свет за десять лет до того, как «ЗИЛ-130» стал массовым.

«ЗИС-125» постоянно совершенствовался, и в 1956 году собрали его новую версию уже с другой внешностью и под индексом «ЗИЛ-130»

Первые опытные образцы грузовика ЗИЛ-130 появились в 1958 году.

В том же 1959 году были проведены заводские испытания «ЗИЛа-130», которые были признаны в целом удовлетворительными. В феврале 1961 года было окончательно утверждено проектное задание на освоение производства, которое предусматривало комплексную реконструкцию завода. По заданию партии и правительства на ЗИЛе в 1961-1962 гг. должны были окончательно, без остановки действующего производства, перейти на выпуск машин «ЗИЛ-130», но работы по ряду субъективных и объективных причин затягивались. Уже в третий раз уточнялся график перехода на выпуск новой техники.

Первая партия предсерийных «ЗИЛов-130» в количестве пяти штук была-таки изготовлена в 1962 году. После реконструкции Завода им. Лихачева в конце 1962 года была выпущена первая серийная партия машин. Для опытной эксплуатации их передали на Ярославский шинный завод. «Почти серийные» автомобили начали сходить с конвейера в 1963 году, но массовый выпуск, как уже упоминалось, начался только в октябре 1964 года, когда полностью завершилась генеральная реконструкция завода. Это был вполне современный для тех лет автомобиль. От своего предшественника его отличал целый ряд преимуществ - повышенная грузоподъемность, мощный по тем временам V-образный двигатель, несколько американизированная внешность (широкий капот, “пухлые” крылья, просторная кабина с панорамным ветровым стеклом). «ЗИЛ-130» получил государственный знак качества и набрал неплохой экспортный потенциал. Его продавали более чем в сорок стран мира, «третьего мира», конечно.

Время шло, и машина, сколь бы удачной она ни была, нуждалась в модернизации. В 1972 году в ее конструкцию внесли ряд изменений, которые позволили увеличить грузоподъемность с 5 до 6 т. Позже в соответствии с требованиями стандарта по расположению наружных светотехнических приборов была изменена облицовка радиатора. После такого обновления машина в 1976 году получила обозначение «ЗИЛ-130-76». Следующая модернизация также оставила след в индексе модели. Она стала называться «ЗИЛ-130-80».

Первые модификации ЗИЛ 130 имели грузоподъемность 4 тонны, но поскольку он обладал большим запасом прочности, уже в 1965 году ее увеличили до 5 тонн. А в 1977 году начали выпуск модернизированной модели - ЗИЛ-130-76. Внешне она отличалась измененной облицовкой радиатора с низко установленными фарами. Грузоподъемность автомобиля выросла до 6 тонн.

После очередных нововведений 1986 года автомобилю присвоили новое, в соответствии с принятой в отрасли системой индексации, обозначение «ЗИЛ-431410». Несмотря на несколько модернизаций, изначальная конструкция «ЗИЛ-130» уже не отвечала требованиям времени, тем более что с 1986 года ЗИЛ приступил к выпуску боле совершенных дизельных автомобилей «ЗИЛ-4331». Постепенно производство «ЗИЛ-130» на головном автозаводе в Москве начали сокращать.

С 16 сентября 1992 года «ЗИЛ-130» начали выпускать на филиале ЗИЛа - Уральском автомоторном заводе (УАМЗ) в городе Новоуральске.

Новая глава в истории ЗИЛ-130 началась в 1995 году, когда производство этих машин перенесли на Уральский автомоторный завод возле Екатеринбурга, являвшийся филиалом ЗИЛа. Там автомобиль начал выпускаться под маркой УамЗ-43140. Кабину и капот на него начали устанавливать от полно приводного автомобиля ЗИЛ-131, который производился на этом предприятии с 1990 года.

Семейство двухосных машин включало бортовой ЗИЛ-431410 (бывший ЗИЛ-130) грузоподъемностью 6 тонн и шасси для установки кузовов различного типа - ЗИЛ-431412 с полезной нагрузкой 6,8 тонн.

Существовала и дизельная версия автомобиля - ЗИЛ-431920 с бортовой платформой (шасси ЗИЛ-431922), на которые устанавливался 132-сильный дизель ЗИЛ-0550 с рабочим объемом 6,28, созданный на базе бензинового двигателя. По заказу на автомобили этой серии устанавливался также 4-цилиндровый 4,75 -литровый дизель Минского моторного завода Д-245.1-538 мощностью 108 л.с.

За свою более чем сорокалетнюю историю “Стотридцатый” зарекомендовал себя как машина прочная, надежная, неприхотливая в эксплуатации и простая в ремонте.

Создание конструкции и освоение производства новых грузовых автомобилей семейства ЗИЛ-130, является серьезной трудовой победой коллективов Московского автомобильного завода имени И.А. Лихачева и многочисленных заводов поставляющих приборы, агрегаты, материалы, заготовки и оборудование для производства автомобилей. Московский автозавод имени

И.А. Лихачева первый среди автомобильных заводов страны приступил к массовому выпуску автомобилей с мощными карбюраторами 8-ми цилиндровыми двухрядными двигателями. В связи с большим запасом мощности двигателя высокоэффективное использование автомобилей и его модификации достигается прежде всего, при использовании с ними прицепов и полуприцепов.

Новые возможности получения высоких эксплуатационных показателей возникают при использовании длиннобазного автомобиля ЗИЛ-130. Автомобили ЗИЛ -130 обладают высокой долговечностью и надежностью. В результате дальнейшего совершенствования конструкции автомобилей, применения новых материалов и новой технологии производства в 1966 году завод должен обеспечить пробег до капитального ремонта 200 тысяч километров. Возможность получения высоких эксплуатационных показателей в значительной степени зависит от совершенства знаний конструкции автомобилей работниками эксплуатации, соблюдения или правил технического обслуживания и подготовки технических служб автохозяйств к приёму новых автомобилей. ЗИЛ - 130 гарантированы только при условии применения предусмотренных заводов высококачественных топлив и смазочных материалов. Двигатель ЗиЛ-508.10 предназначен для установки на автомобили ЗИЛ-130, и его модификации.

Двигатель карбюраторный, бензиновый, с V-образным расположением цилиндров, 4-тактный, жидкостного охлаждения. Внешняя характеристика двигателя ЗИЛ - 508 составляет 41 кГн.

Высокие мощные показатели двигателя ЗИЛ - 508 получены за счёт увеличения степени сжатия. Максимальная скорость, развиваемая полностью груженым автомобилем на горизонтальном, прямом и равном автомобильной дороги с твердым покрытием составляет 80 - 85 км/час.

Для поддержания автомобиля в технически исправном состоянии на весь период эксплуатации применяется техническое обслуживание.

Соблюдение периодичности и качественное выполнение технического обслуживания в установленном объеме обеспечивают постоянную техническую готовность автомобиля и снижают потребность в ремонте.

В объем технического обслуживания входят контрольно-диагностические, крепежные, смазочные, регулировочные, электротехнические и другие работы, выполняемые без разборки агрегатов и снятия отдельных узлов с автомобиля.

Техническое обслуживание по периодичности, объему и трудоемкости выполняемых работ подразделяется на следующие виды:

ежедневное техническое обслуживание (ЕО)

первое техническое обслуживание (ТО-1)

второе техническое обслуживание (ТО-2)

сезонное техническое обслуживание (СО)

В нашей стране принята планово-предупредительная система технического обслуживания и ремонта автомобилей, регламентированная «положением о техническом обслуживании и ремонте подвижного состава автомобильного транспорта», которая представляет собой совокупность средств, нормативно-технической документации и исполнителей, необходимых для обеспечения работоспособного состояния подвижного состава. Данной системой предусматривается обеспечение работоспособного состояния подвижного состава автомобильного транспорта путем проведения планово-предупредительных работ по его техническому обслуживанию и ремонту.

Планово-предупредительный характер системы технического обслуживания и ремонта определяется плановым и принудительным (через установленные пробеги или промежутки времени работы подвижного состава) выполнением контрольно-диагностических операций с последующим выполнением по потребности необходимых работ. Под режимом технического обслуживания понимают его периодичность, перечень выполняемых при этом работ и их трудоемкость.

Диагностирование- это определение технического состояния автомобилей, их агрегатов и узлов без разборки. Диагностирование является техническим элементом технического обслуживания и ремонта автомобилей.

Целью диагностирования при техническом обслуживании заключается в определении действительной потребности в выполнении работ технического обслуживания путем сопоставления фактических значений параметров с предельными, а также в оценке качества выполнения работ.

Целью диагностирования при ремонте заключается в выявлении неисправностей, причин их возникновения и установлении наиболее эффективного способа устранения : на месте , со снятием агрегата узла или детали, с полной или частичной разборкой и заключительным контролем качества выполнения работ.

При диагностировании с помощью контрольно-диагностических средств определяют диагностические параметры , по которым судят о структурных параметрах, отражающих техническое состояние диагностируемого механизма.

Ежедневное техническое обслуживание включает уборку и мойку автомобиля, контроль технического состояния систем механизмов, от которых зависит безопасность движения, заправку топливом, контроль уровня масла и охлаждающей жидкости в двигателе.

Первое техническое обслуживание дополнительно к работам ЕО включает контрольно-диагностические, крепежные смазочные и регулировочные работы с целью предупреждения случайных отказов до очередного технического обслуживания, экономии топлива и других эксплуатационных материалов , а также уменьшения окружающей среды.

Второе техническое обслуживание дополнительно к работам ТО-1 включает контрольно-диагностические и регулировочные работы, связанные с частичной разборкой составных частей автомобиля, их снятием и проверкой на специальном оборудовании.

Периодичность, перечни и порядок выполнения работ по ТО проводятся в заводских инструкциях по эксплуатации и сервисных книжках, прилагаемых к автомобилю при продаже.

Регламентируемая "Положением о техническом обслуживании и ремонте подвижного состава автомобильного транспорта" периодичность выполнения ТО-1 и ТО-2 .

Сезонное техническое обслуживание проводят 2 раза в год с целью подготовки автомобиля к эксплуатации в холодное или теплое время года, совмещая его с очередным техническим обслуживанием, обычно с ТО-2 .

Ремонтомявляется комплекс операций по восстановлению исправного или работоспособного состояния, ресурса и обеспечения безопасности работы подвижного состава и его составных частей. Ремонт выполняется как по потребности после появления соответствующего неисправного состояния , так и принудительно по плану. Через определенный пробег или время работы автомобиля. Второй вид ремонта является планово-предупредительным.

Ремонт автомобилей является объективной необходимостью , обусловленной невозможностью обеспечения одинаковых сроков службы деталей и сборочных единиц автомобиля при изготовлении и в процессе эксплуатации . В связи с этим нецелесообразно прекращать эксплуатацию автомобиля при выходе из строя отдельных деталей и сборочных единиц.

Ремонт позволяет более полно использовать ресурс деталей автомобиля и продлить срок его службы.

Ремонт подразделяют на текущий и капитальный.

Текущий ремонт предназначен для обеспечения работоспособного состояния автомобилей с восстановлением или заменой отдельных его агрегатов, узлов и деталей, достигших предельно допустимого состояния. Базовой называется деталь, с которой начинают сбоку изделия. Присоединяя к ней другие детали и сборочные единицы. Соответственно замена базовой детали обычно требуют полной разборки изделия.

Определение потребности в текущем ремонте осуществляется обычно при техническом обслуживании и диагностировании автомобиля , а выполнение его, как правило, совмещается с текущим обслуживанием, либо производится при возникновении отказов.

Капитальный ремонт предназначен для восстановления исправности и близкого к полному (не менее 80% ) ресурса автомобиля или агрегата путем замены или восстановления любых сборных единиц и деталей, включая базовые. Капитальный ремонт может производиться не обезличенным и обезличенным методам.

Цель и задачи дипломной работы

Основной целью дипломной работы является освещение организации работ по диагностированию, техническому обслуживанию и ремонту газораспределительного механизма ЗИЛ-508-10 на моторном цехе автотранспортного объединения. Цель дипломной работы реализуется рассмотрением основных задач: описать историю развития автомобильной промышленности и значения автомобильного транспорта в экономике государства; рассмотреть устройство и принцип действия газораспределительного механизма; методы и формы диагностики, технического обслуживания и ремонта подвижного состава автомобильного транспорта; выбрать необходимое для производства этих работ оборудование, инструмент и приспособления; рассчитать технико-экономических показатели, согласно заданным условиям эксплуатации автомобиля; описать правила охраны труда при производстве ремонтных работ.

газораспределительный ремонт автотранспортный

.Технологический раздел

.1 Устройство и принцип действия газораспределительного механизма

Газораспределительный механизм предназначен для обеспечения своевременной подачи в цилиндры двигателя топливно-воздушной смеси и выпуска из цилиндров отработавших газов.

На д.в.с. ЗИЛ-508.10 (рис.1) применяют газораспределительный механизм с верхним расположением клапанов.

Газораспределительный механизм с верхним расположением клапанов дает возможность улучшить форму камеры сгорания, наполнение цилиндров иусловия сгорания рабочей смеси. Лучшая форма камеры сгорания позволяетповысить также степень сжатия, мощность и экономичность двигателя.

Газораспределительный механизм состоит из, распределительного вала, толкателей, штанг, коромысел, клапанов, пружин и направляющих втулок, привода распределительного вала.

Рис.1. д.в.с. ЗИЛ-508.10

Принцип действия газораспределительного механизма

При вращении распределительного вала кулачок набегает на толкатели, поднимает его вместе со штангой. Верхний конец штанги надавливает на регулировочный винт во внутреннем плече коромысла, которое, провертываясь на своей оси, наружным плечом нажимает на стержень клапана и открывает отверстие впускного или выпускного канала в головке цилиндров.

После выхода кулачка из-под коромысла клапан под действием пружин плотно садится на седло.

Рис.2. Распределительный вал

Распределительный вал (рис.2) обеспечивает своевременное закрытие или открытие клапанов ГРМ в соответствии с последовательностью работы цилиндров двигателя и фазами распределения газов в механизме.

Распределительный вал изготавливается из высокопрочной стали (с дополнительным закаливанием) или отливается из чугуна. Вал оснащен опорными шейками и кулачками. При этом форма кулачков оказывает влияние на рабочие фазы распределения газов, частоту и продолжительность работы клапанов.

На торце распределительного вала закреплена звездочка цепного привода. Вал монтируется в корпусе подшипников, который закреплен на головке цилиндров. Для предотвращения осевых смещений распределительного вала используется упорный фланец, который подсоединен к торцевой части корпуса подшипников.

Толкатели.

Толкатели - это детали ГРМ, основным назначение которых является передача усилий от кулачков распределительного вала к штангам. Для изготовления толкателей применяется высокопрочная сталь или чугун.

Штанги.

Штанги предназначены для передачи действий от толкателей к коромыслам. Данные детали могут быть представлены в форме полых цилиндрических стержней со стальными наконечниками.

Штанги изготавливаются из износостойкого алюминиевого сплава, соединяются с одной стороны с коромыслом, с другой - с толкателем.

Рис.3 Клапаны

Клапаны предназначены для обеспечения подачи ТВС в цилиндры двигателя и вывода отработанных газов.

Конструкция клапана состоит из стержня и плоской головки. Клапанная головка имеет плоскую кромку, скошенную под углом в 45 градусов. При этом диаметр головки клапана впуска значительно больше, чем у клапана выпуска, поскольку объем газов, выводимых из камеры сгорания, превышает объем ТВС.

Клапаны ГРМ устанавливаются в головке цилиндрового блока, при этом место их соединения также имеет конусную форму и называется седлом.

Впускные клапаны изготавливаются из стали, с хромистым покрытием, а выпускные клапаны - из жаропрочной стали. Для изготовления седел клапанов применяется жаропрочный чугун.

Клапанный стержень выполнен в форме цилиндра, в верхней части оснащен специальной канавкой для фиксации клапанной пружины.

Движение стержней клапанов осуществляется исключительно по направляющим втулкам, выполненным из чугуна или стали. Сами направляющие соединены с головкой блока цилиндров.

Для того чтобы предотвратить попадание масла в камеру, между клапанным стержнем и направляющей втулкой устанавливается уплотняющий колпак, выполненное из маслостойкой резины.

Каждый клапан оснащен внутренней и наружной пружинами. Крепление пружин происходит при помощи шайб, тарелки и сухаря.

Открытие клапанов производится за счет привода, который передает усилие от распределительного вала на клапан.

Рис.4 Коромысло

Коромысло осуществляет передачу усилия от штанги к впускным/выпускным клапанам. Коромысло имеет вид рычага с двумя плечами, который размещен на оси. При этом одно плечо (возле клапана) имеет большую длину, чем другое (возле штанги). Коромысла изготавливаются из прочной стали и устанавливаются на специальных втулках на оси, закрепленной на головке цилиндров. Между самим коромыслом и осью располагается втулка, предназначенная для уменьшения трения между ними.

Привод распределительного вала.

Распределительный вал движется от коленчатого вала при помощи привода, который обеспечивает его вращательные движения. Скорость, при которой вращается распределительный вал в 2 раза меньше, чем скорость вращения коленчатого вала. Таким образом, за два вращательных движения коленчатого вала распределительный вал совершит только одно вращение, обеспечивая по одному открытию впускного и выпускного клапана за один рабочий цикл.

1.2 Материалы для изготовления основных деталей и эксплуатационные жидкости

Материалы для изготовления основных деталей и применяемые в газораспределительном механизме эксплуатационные жидкости сведены в таблицу приложения 1.


2. Организация технологического процесса диагностирования, технического обслуживания и ремонта

Схема технологического процесса производства ТО и ремонта на АТО такова: машина с начала проходит контрольно технический пост, потом она движется в зону ежедневного обслуживания после проверки систем и уборочно-моечных работ она переходит в зону ожидания где автомобиль направляют на диагностику неисправностей либо на определённый вид технического обслуживания согласно технологической карте автомобиля. При диагностировании какой либо неисправности машину направляют текущий ремонт. Если не удаётся починить неисправность то поломанный агрегат направляется на капитальный ремонт а авто буксируют на стоянку либо на пост для ремонта.

Рис.5 Схема технологического процесса технического обслуживания и текущего ремонта:

Д-1 - общая диагностика, Д-2 - поэлементная диагностика, Др - диагностические средства.

2.1 Назначение моторного цеха

Работоспособность подвижного состава автомобильного транспорта поддерживают различные предприятия: автотранспортные, авторемонтные, автообслуживающие. АТП предназначено для выполнения транспортной работы и проведению работ ТО и ремонта, храненияи обеспечения автоэксплуатационными материалами.

Моторный цех предназначен для притирки и шлифовки клапанов, замены поршневых пальцев, поршней, поршневых колец, замены вкладышей шатунных и коренных подшипников на вкладыши эксплуатационных размеров, замены прокладки головки блока.

.2 Контрольно-измерительные инструменты и приборы

Рис.6 Микрометр

Микрометр - это прибор для измерения контактным способом линейных размеров мелких деталей с помощью механизма именуемого микропара, то есть гайка-винт, точность измерений до 2 микрометров.

Данный измерительный инструмент <#"872277.files/image007.jpg">

Рис.7 Штангенциркуль

Штангенциркули бывают различных видов. Между собой они различаются точностью и пределами измерений. Штангенциркуль имеет измерительную штангу с основной шкалой, а также нониус. Точность измерения штангенциркуля - десятые/сотые доли миллиметра. Штангенциркуль состоит из штанги, неподвижной рамки, шкалы штанги, губки для внутренних и наружных измерений, нониуса, линейки глубиномера и винта для зажима рамки.

Штангенциркули по способу снятия показаний делятся на:

цифровые - для безошибочного считывания с цифровой индикацией;

нониусные;

- циферблатные - для быстроты и удобства снятия показаний оснащены циферблатом.

Различают такие виды штангенциркулей:

ШЦ-1 - это штангенциркуль для измерения внутренних и наружных размеров и для измерения глубины (с двусторонним расположением губок);

ШЦ-1С - используется для отсчета показаний (штангенциркуль со стрелочным отсчетом);

ШЦТ-1 - используется для измерения глубин и наружных размеров в условиях абразивного изнашивания (с односторонним расположением губок);

ШЦЦ - электронный штангенциркуль с цифровой индикацией.

Перед началом измерений штангенциркуль необходимо проверить на точность. Для этого необходимо совместить губки инструмента, и при этом нулевые риски на обеих шкалах должны совпадать. Должны одновременно совместиться девятнадцатый штрих миллиметровой шкалы и десятый штрих нониуса.

Рис.8 Индикатор часового типа

Индикатор часового типа - это измерительный прибор, отсчетное устройство, которое предназначается в основном для относительных измерений и контроля отклонений от заданных размеров геометрической формы деталей

Схема устройства индикатора часового типа.

Индикатор часового типа - самый распространенный индикатор. Внутри цилиндрического корпуса индикатора часового типа размещается реечно-зубчатая и шестеренная передачи, благодаря которым, возвратно-поступательное движение измерительного стержня преобразуется во вращательное движение стрелки индикатора.

Рис.9 Динамометрический ключ

Динамометрический инструмент - это прецизионный инструмент для затяжки резьбовых соединений с точно заданным моментом.

Все динамометрические ключи можно разделить на два вида: это ключи предельного типа и ключи индикаторного типа. В свою очередь динамометрические ключи индикаторного типа бывают: стрелочные, шкальные или электронные.

Рис.10 Набор щупов

Измерительный щуп - инструмент для измерения очень малых расстояний контактным способом, представляющий собой набор тонких металлических пластинок различной толщины с нанесенным на них размером

Рис.11 Линейка проверочная

Линейка - простейший измерительный инструмент, представляющий собой узкую пластину, у которой как минимум одна сторона прямая.Обычно линейка имеет нанесённые штрихи (деления), кратные единице измерения длины (сантиметр, миллиметр, дюйм), которые используются для измерения.

.3 Диагностическое оборудование

При диагностировании с помощью контрольно-диагностических средств определяют диагностические параметры, по которым судят о структурных параметрах, отражающих техническое состояние диагностируемого механизма.

Диагностика ГРМ является весьма ответственной и сложной операцией.

Диагностику по герметичности надпоршневого пространства цилиндров двигателя производят по компрессии, прорыву газов в картер двигателя, угару масла, разрежению на впуске, по утечкам сжатого воздуха и по сопротивлению прокручиванию коленчатого вала.

Компрессию измеряют при помощи компрессометра.

Рис.12 Компрессометр

Компрессометр - прибор проверки компрессии для бензиновых двигателей. Универсальное подключение к цилиндром двигателя через отверстие для свечи зажигания.: гибкий наконечник длиной 13 дюймов. Удобная для чтения шкала диаметром 2.5 дюйма.

Рис.13 Стетоскоп

Прибор для прослушивания двигателя на наличие посторонних звуков.

Рис.14 Вакуумметр, манометр

Изображен прибор для проверки работы клапанов, герметичности впускного коллектора и пр.

Разрежение измеряют при помощи вакуумметра, присоединяемого к впускному трубопроводу.

По измерительному манометру определяют не давление, а относительную утечку воздуха в процентах по отношению к максимальному значению утечки.

 <#"872277.files/image016.jpg">

Рис.16 Пневмотестер

Для профессионального применения в условиях станций технического обслуживания автомобилей.

С помощью данного прибора определяется механическое состояние цилиндропоршневой группы, плотность прилегания клапанов, целостность прокладки головки блока цилиндров.

2.4 Технологическое оборудование

Рис.17 Моечная ванна для деталей

Моечная ванна для деталей- технологическое оборудование, для мытья деталей предназначена для очистки деталей и агрегатов физико-химическим путём при помощи циркулирующего моющего раствора.

Рис.18 Электроточило

Электроточило предназначено для заточки режущего инструмента, хозяйственного инвентаря, шлифования различных изделий и других работ.

Электроточило работает от сети переменного тока напряжением 220В, частотой 50 Гц. В качестве инструмента применяют шлифовальные круги наружным диаметром от 150 до 200 мм, толщиной 20 мм, внутренним диаметром посадочного отверстия 32 мм.

Стенд для фрезерования головок блока.

Данный стенд предназначен для обработки головок и блоков двигателей легковых автомобилей и легких грузовиков.

Рис.19 Стенд для фрезерования головок блока

Рис.20 Стенд для испытания двигателя

Стенды предназначены для испытания двигателей внутреннего сгорания (ДВС), применяемых на грузовых и легковых автомобилях.

Рис.21 Моечная установка

Моечная установка предназначена для мойки нагретым раствором синтетических моющих средств блоков цилиндров двигателей.

Рис.22 Сверлильный станок

Сверлильные станки предназначены для сверления, зенкования, зенкерования, развертывания отверстий, для подрезания торцов изделий и нарезания резьб метчиками.

Рис.23 Кран балка

Кран балка представляет собой несущую балку и ряд вспомогательных механизмов для поднятии грузов.

.5 Инструменты и приспособления.

Рис.24 Набор инструментов

Набор автомеханика НИА-1 позволяет произвести монтажные и демонтажные работы при техническом обслуживании или при ремонте автотранспортных средств.

В набор обязательно должен входить комплект сменных головок размерностью от 10 до 32 мм, под соединительный квадрат 1/2" (0,5 дюйма). Желательно, чтобы в этом комплекте был весь ряд рабочих профилей метрического размера, а также специальная «свечная» головка на 16 или 21 мм (глубокая головка, внутрь которой вставлено резиновое кольцо, предназначенное для удержания свечи зажигания при ее извлечении). Также желательно, чтобы был второй комплект головок размерностью от 6 до 14 мм под меньший посадочный размер (1/4") и дополнительный набор глубоких головок на 8, 10, 12 и 13 мм, для отворачивания гаек с длинных шпилек. Очень удобно работать, если в наборе есть воротки с храповым механизмом (трещотки). Они позволяют быстро отворачивать и заворачивать крепежные детали.

Рис.25 Тиски

Тиски предназначены для ремонтно-наладочных и мелких слесарных работ.

Рис.26 Ключ специальный для отварачивания храповика

Храповый ключ позволяет прокручивать коленчатый вал, за гайку которой притягивается шкив.

Рис.27 Съемник трехлапый

Предназначен для снятия внешних или внутренних подшипников.

2.6 Организационная оснастка

Рис. 28 Стеллаж для деталей

Предназначен для хранения готовой продукции.

Рис.29 Верстак слесарны

Рабочий стол для обработки вручную изделий из металла, дерева и других материалов.

Рис.30 Держатель двигателя

Держатель двигателя предназначен для вывешивания двигателя автомобиля в моторном отсеке при проведении ремонтных работ, когда не требуется полный демонтаж двигателя.

Рис. 31 Тумба для инструментов

Используется для хранения инструмента и оснастки.

Рис. 31 Ящик для инструментов

Органайзер представляет собой универсальное решение для хранения множества разнообразных инструментов различного размера, а также мелких деталей, необходимых для выполнения работ.

 

Рис.32 Ящик с песком

Ящики предназначены для хранения просушенного и просеянного песка.

Рис. 33 Шкаф для деталей

Предназначен для эксплуатации в качестве хранилища деталей и узлов.

Рис. 34 Стол конторский

Используется как рабочее место мастера.

2.7 Техническое обслуживание газораспределительного механизма

Ежедневное обслуживание механизмов двигателя подразделяется на работы перед выездом автомобиля и работы после завершения поездок. Перед выездом автомобиля необходимо проверить визуально и на слух работу двигателя, отсутствие посторонних стуков и шумов. После завершения поездок нужно очистить двигатель от грязи. Очистку двигателя рекомендуется проводить с помощью специальных средств.

При первом техническом обслуживании кроме очистительных работ и проверки герметичности всех систем необходимо провести диагностику состояния механизмов двигателя без его разборки.

При втором техническом обслуживании на большинстве двигателей следует проверить крепление головки цилиндров двигателя и отрегулировать зазоры в механизме газораспределения. Для этого необходимо частично разобрать двигатель, сняв крышки клапанов и ряд установленных на головках приборов в зависимости от конструкции двигателя.

Проверка крепления головки цилиндров.

Проверка крепления головки цилиндров производится по методике, рекомендованной заводом-изготовителем. На двигателях с алюминиевой головкой она производится на холодном двигате¬ле, а на двигателях с чугунной головкой - на теплом двигателе. Болты крепления головок к блоку затягивают динамометрическим ключом. Момент затяжки головки карбюраторных двигателей ниже, чем у дизелей. Например, на двигателе ЗИЛ-508.10 он составляет 90... 110 Н м, причем при температуре двигателя около 0°С момент затяжки должен быть ближе к нижнему пределу, а при температуре 20... 25 °С - ближе к верхнему пределу. Запрещается подтягивать болты крепления головок цилиндров при температуре двигателя ниже 0 °С. В этом случае следует предварительно прогреть двигатель, а затем затянуть болты. Для обеспечения полного прилегания плоскостей в месте соединения головок с блоком гайки или болты крепления головок нужно подтягивать в определеннойпоследовательности в зависимости от конструкции двигателя и рекомендаций завода-изготовителя. Затягивать болты следует равномерно, в два приема. Одновременно с затягиванием болтов крепления головок цилиндров необходимо

затягивать болты крепления выпускных газопроводов. После затя-гивания болтов следует проверить зазоры в клапанном механизме.

Регулирование зазора в клапанах двигателя ЗИЛ 508. 10

В процессе работы двигателя нормальный зазор между клапанами и толкателями может изменяться, что приводит к ухудшению заполнения цилиндров свежим зарядом, затрудняет удаление выхлопных газов и тем самым ухудшает работу двигателя и снижает его мощность. Регулирование клапанов у карбюраторного двигателя и дизеля проводится в последовательности, зависящей от конструкции двигателя.

На двигателе ЗИЛ-508.10 при появлении стуков в клапанном механизме зазоры между клапанами и коромыслами, которые должны составлять 0,25...0,30 мм для впускных и выпускных клапанов, регулируют на холодном двигателе регулировочными винтами 2 с контргайками 1, расположенными в коротком плече коромысла, с помощью щупа 3.

Рис. 36. Регулирование зазора в клапанах двигателя ЗИЛ-508. 10;

- контргайка; 2- винт; 3 -щуп.

Для регулирования зазора в клапанном механизме нужно установить поршень первого цилиндра в ВМТ такта сжатия. При этом отверстие на шкиве коленчатого вала должно находиться под меткой «ВМТ» на указателе установки момента зажигания. В этом положении регулируют зазоры следующих клапанов:

•впускного и выпускного первого цилиндра;

•выпускного второго цилиндра;

•впускного третьего цилиндра;

•выпускного четвертого цилиндра;

•выпускного пятого цилиндра;

•впускного седьмого цилиндра;

•впускного восьмого цилиндра.

Зазоры у остальных клапанов регулируют после поворота коленчатого вала на 360° (полный оборот).

Регулирование нужно проводить в такой последовательности. Провернуть коленчатый вал до момента перекрытия клапанов в первом цилиндре (впускной клапан первого цилиндра начинает открываться, а выпускной заканчивает закрываться) и отрегулировать зазоры в четвертом, шестом, седьмом и восьмом клапанах (считая от вентилятора), затем повернуть коленчатый вал на один оборот, установив перекрытие в четвертом цилиндре, и отрегулировать зазоры в первом, втором, третьем и пятом клапанах.

Для регулирования зазора отпустить контргайку 1 винта 2 на коромысле регулируемого клапана и, поворачивая винт, установить необходимый зазор по щупу 3 между бойком коромысла и торцом стержня клапана. После установки зазора необходимо затянуть контргайку. По окончании регулирования зазора в клапанах поставить колпак крышки головки цилиндров.

При ТО-2 проверяется также крепление передних и задних опор двигателя.

2.8 Диагностирование неисправностей газораспределительного механизма

Диагностика ГРМ является весьма ответственной и сложной операцией. Исследования показывают, что на эти механизмы приходится около 20% отказов двигателя, а на устранение отказов - около половины трудоёмкости ремонта и обслуживания. При отсутствии диагностики этих механизмов значительное число двигателей может поступать в ремонт преждевременно с недоиспользованным ресурсом или же с неисправностями аварийного характера. Методы диагностики механизмов двигателя базируются на измерении характерных диагностических параметров, сопутствующих его работе и функционально связанных со структурными параметрами его основныхэлементов. Зная измеренные и нормативные значения диагностических параметров, можно определить без разборки потребность в ремонте двигателя.

Диагностику по герметичности надпоршневого пространства цилиндров двигателя производят по компрессии, прорыву газов в картер двигателя, угару масла, разрежению на впуске, по утечкам сжатого воздуха и по сопротивлению прокручиванию коленчатого вала.

Компрессию измеряют при помощи компрессометра (манометра, фиксирующего максимальный показатель) или компрессографа (записывающего манометра), сообщая его с цилиндром двигателя через отверстие для свечи зажигания. Коленчатый вал вращают стартером. Компрессия зависит как от состояния цилиндропоршневой группы, так и от герметичности клапанов, поэтому полученные результаты необходимо дифференцировать. Для этого можно повторить замер, повысив герметичность колец заливкой в цилиндр небольшого количества масла.

Угар масла определяется по доливам в процессе эксплуатации. Он зависит, с одной стороны, от износа колец, поршня и цилиндра и, с другой - от герметичности клапанов. Кроме того, возможно подтекание масла. Допустимая норма угара масла составляет не более 4% от расхода топлива. Повышенный угар масла сопровождается заметным дымлением на выпуске.

Прорыв газов в картер также зависит от износа деталей цилиндропоршневой группы двигателя или соответственно от пробега автомобиля. Его измеряют на динамометрическом стенде или на низшей передаче под нагрузкой, создаваемой притормаживанием вывешенных ведущих колёс автомобиля.

Объём прорывающихся газов измеряют газовым счётчиком или же реометром. Прибор присоединяют к маслоналивной горловине, а картер герметизируют (закрывают вентиляционную трубку и отверстие для маслоизмерительного щупа). Для того чтобы убедиться в отсутствии утечек газов через сальники коленчатого вала двигателя, необходимо одновременно измерять давление в картере. Более точно прорыв газов можно измерить прибором ГосНИТИ. Принцип работы этого прибора основан на измерении степени дросселирования канала (через который вакуум-насос откачивает газы), необходимой для устранения в картере избыточного давления. При этом ошибки, связанные с утечкой газов, помимо прибора, исключаются. Между прорывом газов в картер и давлением в нём существует функциональная связь. Поэтому давление в картере двигателя может также характеризовать состояние цилиндропоршневой группы и служить диагностическим параметром.

Разрежение во впускном тракте и его постоянство зависит от скоростного напора воздуха и потерь напора, обусловленных компрессией, сопротивлением воздушного фильтра, неплотностью клапанов, неравномерностью рабочих процессов и т.д. Поэтому величина и стабильность разрежения во впускном трубопроводе двигателя может характеризовать его техническое состояние и рабочие процессы. Разрежение измеряют при помощи вакуумметра, присоединяемого к впускному трубопроводу. Перед проверкой состояния механизмов двигателя предварительно устраняют неисправности систем питания и зажигания. Ориентировочными нормативами разрежения при исправном состоянии двигателя являются при проворачивании коленчатого вала стартером - 380-430 мм рт. ст. и при оборотах холостого хода 480-560 мм рт. ст. (положение стрелки должно быть стабильно).

Утечки сжатого воздуха из цилиндра в положении, когда его клапаны закрыты, характеризуют износ колец, потерю ими упругости, закоксовывание или поломку, износ цилиндра, износ стенок поршневых канавок, потерю герметичности клапанов и прокладки головки цилиндров. Состояние двигателя проверяют при помощи прибора К-69. Пользуясь этим прибором, поочерёдно впускают сжатый воздух в цилиндры через отверстия для свечей зажигания в положении, когда клапаны закрыты, и при этом измеряют утечки воздуха по показаниям манометра прибора.

Сжатый воздух из воздушной магистрали через впускной штуцер поступает в коллектор. При открытом впускном вентиле измерения утечек (и закрытом вентиле прослушивания утечек) воздух поступает в редуктор давления и через калиброванное отверстие проходит в воздушную камеру, которая через второе калиброванное отверстие сообщается с измерительным манометром. Далее воздух из воздушной камеры через обратный клапан, гибкий шланг и испытательный наконечник, снабжённый резиновым конусом, поступает в цилиндр двигателя. По измерительному манометру определяют давление воздуха, характеризующее его утечку из цилиндра. Перед измерением редуктор давления регулируют на рабочее давление 2 кг/см2, а при помощи регулировочной иглы тарируют показания измерительного манометра. При полной герметичности исследуемого цилиндра давление воздуха в воздушной камере будет равно давлению воздуха за редуктором давления, которое и покажет измерительный манометр.

Наличие в цилиндре неплотностей вызывает утечку из него воздуха и уменьшение давления воздуха в воздушной камере, которое также будет регистрироваться измерительным манометром. Для удобства пользования прибором по измерительному манометру определяют не давление, а относительную утечку воздуха в процентах по отношению к максимальному значению утечки. При полной герметичности цилиндра стрелка измерительного манометра будет показывать максимальное давление, которое по шкале измерительного манометра принимается за нуль. При полной утечке воздуха из цилиндра давление по шкале измерительного манометра принимается за 100%. Таким образом, отклонение стрелки измерительного манометра от нулевого значения будет указывать потерю воздуха через не плотности, выраженную в процентах. Для удобства пользования прибором шкала измерительного манометра размечена на зоны: хорошее состояние двигателя, удовлетворительное и требующее ремонта.

Утечки воздуха через клапаны двигателя, указывающие на их неисправности, обнаруживают прослушиванием при помощи фонендоскопа или визуально по колебаниям в индикаторе, устанавливаемом в свечных отверстиях, соседних с проверяемым цилиндром. Утечки через прокладку головки цилиндров определяют по пузырькам воздуха, появляющимся в горловине радиатора или в плоскости разъёма.

Диагностика по шумам и вибрациям.

Шумы (стуки) и вибрации, т.е. колебательные процессы упругой среды, возникающие при работе механизмов, используют для виброакустической диагностики двигателя и других агрегатов автомобиля. Воздушные колебания называют шумами (стуками), а колебания материала, из которого состоит механизм, - вибрациями. Шумы воспринимают при помощи микрофона, а параметры вибрации - при помощи пьезоэлектрических датчиков. Полученные таким образом сигналы усиливают, измеряют по масштабу и регистрируют. Средством регистрации может быть осциллограф (при визуальном наблюдении за процессом) или предельный индикатор, например устройство, в котором при достижении заданного уровня колебаний зажигается контрольная лампа. В простейших слуховых приборах (стетоскопах) вибрации воспринимают при помощи стержня и диафрагмы.

Шумы подвержены значительным искажениям под влиянием внешней среды. Это усложняет их использование для диагностики двигателей. Вибрации воспринимаются непосредственно на поверхности диагностируемого механизма, благодаря чему дают более достоверную информацию о его техническом состоянии.

Существует несколько методов виброакустической диагностики. Одним из них является регистрация при помощи осциллографа уровня колебательного процесса в виде мгновенного импульса в функции времени (или угла поворота коленчатого вала). Чтобы подавить помехи и конкретизировать наблюдение, процесс регистрируют, во-первых, в полосе частот, в которой неисправность данного механизма проявляется наиболее сильно, во-вторых, на узком участке, вблизи опорной точки (например, в.м.т.), в-третьих, используют наиболее выгодные для диагностики скоростные и нагрузочные режимы и места установки датчиков. О неисправностях диагностируемого сопряжения судят по уровню и характеру спада колебательного процесса, сравнивая его с нормативным.

2.9 Ремонт газораспределительного механизма

Основными дефектами распределительного механизма изгиб, износ опорных шеек и шейки под распределительную шестерню, износ кулачков.

Биение промежуточных опорных шеек проверяют при установке вала в призме на крайние опорные шейки. Допустимая величина биения устанавливается техническими условиями, Если биение превышает допустимую величину, то вал правят под прессом. Изношенные шейки шлифуют на меньший диаметр до одного из ремонтных размеров. После шлифования шейки полируют абразивной лентой или пастой ГОИ. При этом осуществляют замену изношенных опорных втулок на новые. Внутренние диаметры новых запрессованных втулок обрабатывают разверткой или расточкой резцов мод размер перешлифованных шеек распределительного вала. Опорные шейки вала, вышедшие из ремонтных размеров, можно восстановить хромированием или осталиванием под номинальный или ремонтный размер.

Небольшой износ кулачков устраняют шлифованием на копировально-шлифовальном станке. При значительном износе вершину кулачка можно восстановить наплавкой сормайтом №1 с последующим предварительным шлифованием на электрошлифовальнойустановке и окончательной обработкой на копировально-шлифовальном станке.

Наиболее часто встречающимися дефектами клапанов являются:

износ и обгорание рабочей фаски

деформации тарелки (головки)

износ и изгиб стержня

При значительных износах или наличии глубоких раковин и рисок осуществляют шлифование и притирку. После шлифования фаски высота цилиндрической части головки клапана должна быть не менее величины, установленной техническими условиями,

Все клапаны притирают одновременно на специальном станке. Герметичность пары клапана - седло контролируют прибором, с помощьюкоторого нагнетается под избыточным давлением 0,006 - 0,007 MПa(0,6 - 0,7 кгс/см2) воздух. Давление в течение 1 минуты не должно резко уменьшаться.

Изгиб стержня и биение рабочей фаски головки относительно стержня проверяют на специальном приспособлении. Контроль осуществляют индикаторами. Допускаемое биение стержня клапана - 0,015 мм на длине 100 мм, а биение рабочей фаски - 0,03. при большем биении стержень клапана правят.

Изношенный стержень, клапана можно восстановить хромированием или осталиванием с последующим шлифованием до номинального размера. Изношенный торец стержня клапана шлифуют до получения гладкой поверхности.

У толкателей клапанов изнашиваются сферическая и цилиндрическая поверхности. Стержень восстанавливают шлифованием до ремонтного размера или хромированием. При этом отверстие у направляющих толкателей обрабатывают разверткой под размер устанавливаемых стержней или для запрессовки втулки. Втулки изготавливают из серого чугуна изапрессовывают с натягом 0,02 - 0,03 мм. После запрессовки внутренний диаметр втулок обрабатывают разверткой, обеспечивая необходимый зазор в соединении.

Износ сферической поверхности стержня устраняют шлифованием по шаблону, выдерживая установленную техническим условиями высоты.

В коромысле клапанов изнашиваются втулки, которые заменяют на новые и растачивают отверстия в них до номинального или ремонтного размера.

В новой втулке сверлят масляные отверстия. Изношенную сферическую поверхность носка коромысла обрабатывают шлифованием.

. Расчетно-технологический раздел

Исходные данные

Тип подвижного состава (марка, модель)

Среднесуточный пробег автомобиля LСС , км

Категория условий эксплуатации К1

Природно-климатические условия К3

Среднесписочное количество автомобилей  АСС(И) , шт

Количество рабочих дней в году для АТП, Дрг

Пробег с начала эксплуатации в долях от нормативно го пробега до капитального ремонта

ЗИЛ-508.10

132

II

Холодный

84

365

0,75-1


Выбор исходных нормативов периодичности технического обслуживания и их корректирование

Периодичность ТО- 1 рассчитаем по формуле:


где: L1н - нормативная периодичность ТО1, км (принимается по табл. 2.1[6]);- коэффициент корректирования нормативов в зависимости от условий эксплуатации (принимается по табл. 2.8 [6] ; ki =0,9- коэффициент корректирования нормативов в зависимости от природно-климатических условий (принимается по табл. 2.10 [6] ); k3 =0,9

Принимаем, согласно [6]: Lн ТО-1=3000 км

 км.

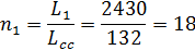
После определения расчетной периодичности ТО-1 проверяем ее кратность со среднесуточным пробегом автомобилей (LСС):


где: n- величина кратности (округляется до целого числа).

Скорректированная по кратности величина периодичности ТО-1 принимает значение:


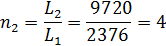
Периодичность ТО-2 рассчитаем по формуле:


где: L2н - нормативная периодичность ТО-2, км (принимается по табл. 2.1 [6]).

Принимаем, согласно [6]: L(н) ТО-2=12000 км

После определения расчетной величины периодичности ТО-2 проверяем ее кратность с периодичностью ТО- 1:


где: n2 - величина кратности.

Скорректированная по кратности величина периодичности ТО-2 принимает значение:


Пробег до капитального ремонта рассчитывается по формуле:


где: - нормативный пробег до капитального ремонта, км (принимается по табл. 2.3 [6]); =300000км

К2 - коэффициент корректирования нормативов в зависимости от модификации подвижного состава и организации его работы (принимается по табл. 2.9 [6]); К2=0,9

Проверяем кратность расчетной величины пробега до капитального ремонта с периодичностью ТО-1:


где: n3 - величина кратности (округляется до целого числа).

Скорректированная по кратности величина пробега до капитального ремонта принимает значение:


Выбор исходных нормативов продолжительности простоя подвижного состава в техническом обслуживании и ремонте и их корректирование

Продолжительность простоя подвижного состава в ТО и ТР рассчитывается по формуле:


где: dн ТО и ТР - нормативная продолжительность простоя подвижного состава в ТО и ТР, дн /1000 км (принимается по табл. 2.6 [6]; dн ТО и ТР =0,5

Принимаем, согласно [6]:

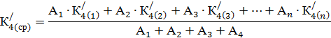
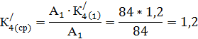
К'4(ср) - среднее значения коэффициента корректирования продолжительности простоя подвижного состава в ТО и ТР в зависимости от пробега с начала эксплуатации.

Среднее значение коэффициента корректирования рассчитывается

по формуле:


где: А1, А2,...Аn„ - количество автомобилей, входящее в группу с одинаковым пробегом с начала эксплуатации, ед;

К'4(1) , К'4(2) ... К'4(n) - величины коэффициентов корректирования

продолжительности простоя подвижного состава в ТО и ТР в зависимости от пробега с начала эксплуатации для соответствующих групп автомобилей с одинаковым пробегом с начала эксплуатации (принимаются по табл. 2.11[6]).



Продолжительность пребывания подвижного состава в капитальном ремонте (dкр), (принимается по табл. 2.6 [6]) без корректирования; dкр= 15дн /1000 км.

Определение коэффициента технической готовности

Коэффициент технической готовности рассчитываем по формуле:


где: Lcc - среднесуточный пробег автомобилей, км;ср кр - средневзвешенная величина пробега автомобилей до капитального ремонта, км.

Так как автомобиль не проходил капитальный ремонт то Lср кр =L кр =216216км


3.4 Определение коэффициента использования автомобилей

Коэффициент использования автомобилей рассчитывается по формуле:


где: Дрг - количество рабочих дней ТМП в году, дн; Дрг =365дн.

Ки - коэффициент, учитывающий снижение использования технически исправных автомобилей по эксплуатационным причинам (принимается в пределах 0,93... 0,97). Ки =0,93

3.5 Определение суммарного годового пробега автомобилей в АТП

Суммарный годовой пробег автомобилей рассчитывается по формуле:


где: Асс - списочное количество автомобилей в ТМП, едСС - среднесуточный пробег автомобиля, км.


Определение годовой программы по техническому обслуживанию и диагностике автомобилей

Количество ежедневных обслуживаний за год рассчитаем по формуле:

 воздействий

Количество УМР за год рассчитаем по формуле для грузовых автомобилей и автобусов


Количество ТО-2 за год рассчитаем по формуле:


Количество ТО-1 за год рассчитаем по формуле:


Количество общего диагностирования за год рассчитаем по формуле:

 воздействий.

воздействий

Количество поэлементного диагностирования за год рассчитаем по формуле:

 воздействий.


Количество сезонных обслуживаний за год рассчитаем по формуле:

обслуж

3.7. Определение трудоемкости технических воздействий

Трудоемкость ежедневного обслуживания рассчитывается по формуле:


где: tEO- нормативная трудоемкость ежедневного обслуживания, чел.-ч (принимается но табл. 2.2 [6] );

К2- коэффициент корректирования нормативов в зависимости от модификации подвижного состава и организации его работы (принимается по табл. 2.9 [6] );

К5 - коэффициент корректирования нормативов в зависимости от количества обслуживаемых и ремонтируемых автомобилей на ТМП и количества технологически совместимых групп подвижного состава (принимается по табл. 2. 12 [6] );

Км (ЕО) - коэффициент механизации, снижающий трудоемкость ЕО, рассчитаем по формуле:

где: См - % снижения трудоемкости за счет применения моечной установки (принимается равным 55 %);

Со - % снижения трудоемкости путем замены обтирочных работ обдувом воздухом (принимается равным 15 %).


Трудоемкость ТО-1 рассчитаем по формуле:


где: t н 1 - нормативная трудоемкость ТО-1, чел.-ч (принимается по табл. 2.2(6]);

Км (1) - коэффициент механизации, снижающий трудоемкость ТО-1 при поточном методе производства (для поточного метода принимается равным 0,8; для тупикового метода принимается равным 1,0).


Трудоемкость ТО-2 рассчитаем по формуле:


где: t н 2 - нормативная трудоемкость ТО-2, чел.-ч (принимается по табл. 2.2 [6]);

Км (2) - коэффициент механизации, снижающий трудоемкость ТО-2 при поточном методе производства (для поточного метода принимается равным 0,9; для тупикового метода принимается равным 1,0).

Трудоемкость сезонного обслуживания рассчитаем по формуле:


где: Ссо- доля трудоемкости СО от трудоемкости ТО-2:

,5 - для очень холодного и очень жаркого сухого климатических районов;

,3 - для холодного и жаркого сухого районов;

,2 - для прочих районов.


Трудоемкость общего диагностирования рассчитаем по формуле:


где: Сд-1 - доля трудоемкости диагностических работ в общей трудоемкости ТО-1 (принимается по Приложению 1 Методических указаний); Сд-1=8- трудоемкость ТО-1, чел.-ч.

Трудоемкость поэлементного диагностирования рассчитаем по формуле:


где: Сд-2 - доля трудоемкости диагностических работ в общей трудоемкости ТО-2 (принимается по Приложению 1 Методических указаний); Сд-2=6- трудоемкость ТО-2, чел.-ч.

Удельную трудоемкость текущего ремонта рассчитаем по формуле:


где: t н тр - нормативная удельная трудоемкость текущего ремонта, (принимается по табл. 2 2 [6]);

К5 - коэффициент корректирования нормативов в зависимости от количества обслуживаемых и ремонтируемых автомобилей на предприятии и количества технологически совместимых групп подвижного состава (принимается по табл. 2.12 [6]);

К4 (ср) - среднее значения коэффициента корректирования удельной трудоемкости текущего ремонта в зависимости от пробега с начала эксплуатации.


Определение общей годовой трудоемкости технических воздействий

Годовую трудоемкость ежедневного обслуживания рассчитаем по формуле:


Годовая трудоемкость ТО-1 рассчитывается по формуле:


где: T г СП.р (1) - годовая трудоемкость сопутствующего ремонта при проведении ТО-1, чел.-ч.

Годовая трудоемкость сопутствующего ремонта при проведении ТО-1 рассчитывается по формуле:


где Стр - регламентированная доля сопутствующего ремонта при проведении ТО-1 (принимаем равной 0,15).


Годовую трудоемкость ТО-2 рассчитаем по формуле:


где: T г СП.р (2) - годовая трудоемкость сопутствующего ремонта при проведении ТО-2 , чел -ч.

Годовую трудоемкость сопутствующего ремонта при проведении ТО-2 рассчитаем по формуле:


где: Стр - регламентированная доля сопутствующего ремонта при проведении ТО-2 (принимаем равной 0,15).

Годовые трудоемкости общего и поэлементного диагностирования рассчитываются по формулам:


Годовая трудоемкость сезонного обслуживания рассчитывается по формуле


Годовую трудоемкость сезонного обслуживания рассчитаем по формуле:


где: Асс - среднесписочное количество автомобилей в ТМП, ед.

Общую годовую трудоемкость для всех видов ТО рассчитаем по формуле:


Годовую трудоемкость текущего ремонта рассчитаем по формуле:


Годовая трудоемкость постовых работ текущего ремонта рассчитаем по формуле:


Годовую трудоемкость работ в зоне текущего ремонта предприятия и ремонтным цехам (участкам) рассчитаем по формуле:


где: Стр - доля постовых или цеховых работ в % от общего объема постовых работ ТР (принимается по данным Приложения 1 Методических указаний). Для данного случая Стр= 7% .

Общий объем работ по техническим воздействиям на подвижной состав рассчитаем по формуле:


Определение количества ремонтных рабочих на участке (цехе)

Число производственных рабочих мест и рабочего персонала рассчитаем по формулам:


где: Ря - число явочных, технологически необходимых рабочих или количество рабочих мест, чел.

Ршт - штатное число производственных рабочих, чел.;

 - годовая трудоемкость соответствующей зоны ТО, ТР, цеха, отдельного специализированного поста или линии диагностирования, чел - ч,

Фрм - годовой производственный фонд времени рабочего места (номинальный), ч (принимается по Приложению 2 Методических указаний);

Фрв - годовой производственный фонд рабочего времени штатного рабочего, тес учетом отпуска и невыхода на работу по уважительным причинам, ч (принимается по Приложению 2 Методических указаний)

Округляем до ближайшего целого большего числа Ря =21 чел.

Округляем до ближайшего целого большего числа Ршт = 23чел.

4. Охрана труда и техника безопасности на автотранспортном предприятии

4.1 Виды инструктажа

Вводный инструктаж - проводится со всеми принимаемыми на работу не зависимо от производственного стажа и вида работ, а также со студентами и учащимися пришедшими на производство для прохождения практики. Инструктируют по данному инструктажу главные инструкторы по охране труда. Инструктаж может проводиться как с одним, так и с группой людей.

Первичный инструктаж - проводится с работником при переводе с одного вида работы на другую. Инструктируется каждый работник в отдельности.

Повторный инструктаж - проводится 1 раз в 3 месяца не зависимо от классификации, стажа и вида работ. Целью проведения является проверка, и повышение уровня знаний правил и инструкций.

Внеплановый инструктаж - проводится также как и первичный инструктаж вследствие изменения правил по охране труда, технического процесса исходного сырья, замены или нормализации оборудования, а также при нарушении работником требовании по охране труда. Проводится, как с одним, так и с группой людей одной профессии.

Текущий инструктаж - проводится непосредственно перед началом работы. Рабочие и инженерно - технические работники, занятые на работах повышенной опасности, допускается к выполнению служебных обязанностей только после прохождения курсового обучения и сдачи экзаменов, а также получение удостоверение на право работы и обслуживание данного предприятия механизмов.

Обучение проводят не реже 1 раза в 2 года.

4.2 Требования к оборудованию рабочих мест мотористов

Испытания и ремонт двигателей связаны с воздействием на работающего вредных для здоровья влияний, таких как шум, вибрация, токсичность выхлопных газов и эксплуатационных материалов и др. Поэтому для помещений, в которых производятся испытания и ремонт двигателей, разработаны специальные требования для защиты людей от вредного воздействия этих факторов.

Эти требования обусловливаются назначением испытаний и методикой, положенной в основу технологии их проведения, а также необходимостью создания санитарно-технических и безопасных условий труда для персонала, обеспечения пожарной безопасности и др.

Технологические требования сводятся к следующему:

оборудование испытательных стендов и вспомогательных устройств должно обеспечивать проведение испытаний полностью по установленной программе с минимальными затратами времени на выполнение монтажных и других подготовительных работ и с точностью измерения отдельных параметров, допускаемой для данного вида испытаний;

помещения должны быть оснащены необходимыми подъемно-транспортными средствами, централизованной подачей топлива и всеми видами энергетических и промышленных коммуникаций, без которых нельзя обеспечить успешное проведение испытаний и ремонта двигателей.

Санитарно-технические требования предусматривают:

обеспечение лабораторных помещений эффективной приточно-вытяжной вентиляцией, необходимой для технических целей и исключения возможности загрязнения их атмосферы вредными веществами сверх предельно допустимой концентрации, установленной нормами для рабочих помещений, в том числе на содержание в них окиси углерода, паров топлива и масла, паров ртути (при пользовании ртутными пьезометрами) и других ядовитых веществ;

создание необходимых бытовых удобств для обслуживающего персонала лабораторий, включая действующие нормы на площадь и кубатуру помещений с вредными условиями труда, их освещение, отопление и водоснабжение;

применение материалов для строительных конструкций, не взаимодействующих с ядовитыми веществами (ртутные пары и др.);

борьбу с шумом в помещениях, где возможно длительное пребывание обслуживающего персонала, и вне стен лаборатории, поскольку в зоне 300 м от лаборатории уровень шума не должен превышать 70 дБ.

Требования техники безопасности предусматривают:

мероприятия, исключающие травматизм и производственные заболевания, регулярный надзор за оборудованием, проведение инструктажа новых рабочих и соблюдение технологии работы на каждом рабочем месте;

обеспечение персонала защитными приспособлениями, спецодеждой;

соблюдение технологии работы с ртутными приборами. Приборы должны иметь улавливающие устройства на выходе из трубок и сборники под ними (на случай аварии). Стеклянные трубки должны закрываться органическим стеклом. Для устранения возможности выхода паров ртути в помещение поверхность ее в приборах закрывают слоем защитной жидкости (например, водой). Пролитую на пол ртуть тщательно удаляют, например 20%-ным раствором хлорного железа.

Требования пожарной безопасности включают в себя мероприятия, предупреждающие взрывы и пожары в лабораториях, относящихся в целом к категории пожароопасных сооружений. Трубопроводы централизованной подачи топлива рекомендуется прокладывать только с внешней стороны здания, а на вводе в помещение они должны иметь запорные вентили и быть надежно заземлены.

Для обеспечения безопасности необходимы:

периодический контроль оборудования топливных систем;

организация хранения обтирочных и горючих материалов, запас которых не должен превышать сменной потребности в закрытой таре;

особые меры предосторожности при выполнении сварочных работ, разрешаемых соответствующими инструкциями;

постоянная готовность местных средств пожаротушения (песок, кошма, углекислые огнетушители), заготовленных в нужных количествах и расположенных в доступных местах, так как в помещениях лаборатории возможность загорания особенно велика.

Материалы, идущие на изготовление полов и покрытие внутренних стен, должны быт износостойкими и огнестойкими и непроницаемы для топлива и масел.

При испытании тихоходных двигателей малой мощности с шумностью, не превышающей 85 дБ, допускается размещать пульт и обслуживающий его персонал в одном помещении с испытуемым двигателем.

При испытании мощных и высокооборотных двигателей с шумностью свыше 85 дБ пульт и персонал располагаются в отдельном звукоизолированном помещении (кабине), снабженном окном для визуального наблюдения за испытуемым двигателем. Стены бокса для испытания двигателей должны быть облицованы звукопоглощающим материалом.

Современные установки для испытания двигателей снабжаются также автоматическими устройствами для поддержания заданного скоростного (или нагрузочного) режима, а также теплового режима двигателя (температуры жидкости и масла). При наличии таких устройств можно значительно ускорить процесс испытания двигателя и повысить точность измерений.


4.3 Требования к личной безопасности и приемам работы мотористов

Особый характер работы слесаря-моториста требует от него дисциплинированности, строгого соблюдения технологического режима, правильной эксплуатации оборудования, точного выполнения требований инструкций и правил безопасности.

К испытанию двигателей допускаются мужчины не моложе 18 лет, прошедшие медицинское освидетельствование и техническое обучение с проверкой знаний в квалификационной комиссии, имеющие удостоверение и квалификацию испытателя двигателей (моториста), получившие инструктаж по безопасным методам, приемам работы и по противопожарной безопасности непосредственно на рабочем месте, с отметкой в свидетельстве о получении инструктажа. Повторный инструктаж должен проводиться не реже, чем через 3 мес.

Испытатель двигателей обязан хорошо знать правила использования стенда, его контрольных приборов и органов управления, получить техническое знакомство с электроустановкой, иметь отчетливое представление об опасности электрического тока, знать меры предосторожности при работе на стенде, уметь пользоваться средствами пожаротушения и уметь оказать первую (доврачебную) помощь при несчастных случаях. Испытатель двигателей несет ответственность за правильную эксплуатацию закрепленного оборудования.

К управлению грузоподъемными машинами (электро тельфер, кран-балка) допускаются лица, ознакомленные с правилами пользования этими машинами и получившие соответствующее свидетельство.

Слесарь-моторист должен:

носить на работе чистую, исправную, имеющую клеймо спецодежду, другие средства индивидуальной защиты, к которым относятся специальная обувь, средства индивидуальной защиты от шума (вкладыши «Беруши» или специальные наушники типа ВЦНИИОТ-1);

содержать рабочее место в чистоте и порядке;

выполнять только ту работу, которая поручена администрацией и по которой проведен инструктаж;

не допускать на свое рабочее место посторонних лиц;

во время работы не отвлекаться от своих прямых обязанностей и не отвлекать других какими-либо действиями и разговорами, не имеющими отношения к работе;

при эксплуатации оборудования строго соблюдать технологический режим, правильно эксплуатировать оборудование во время его пуска, работы и останова;

обо всех замеченных на рабочем месте недостатках или неисправностях инструмента, приспособлений и оборудования заявить мастеру или руководителю работ и без его указаний к работе не приступать;

не оставлять работающее оборудование без присмотра. Уходя с рабочего места даже на короткое время, перекрыть кран подачи топлива, выработать топливо, перекрыть кран подачи масла, выключить зажигание. При уходе с рабочего места обязательно предупреждать мастера или руководителя работ;

соблюдать правила личной гигиены. Не допускается на рабочем месте принимать пищу, курить. Курить разрешается только в местах, специально оборудованных для этой цели;

при несчастном случае прекратить работу, сообщить мастеру и обратиться в пункт медицинского обслуживания. Если необходимо, вызвать скорую медицинскую помощь.

Перед началом работы слесарь-моторист должен:

привести в порядок свою спецодежду. Застегнуть обшлага рукавов и подобрать свисающие концы одежды, надеть головной убор;

убедиться, что рабочее место находится в чистоте, лишние предметы убрать;

проверить исправность инструмента, электро устройств испытательного стенда, тормозных установок, контрольно-измерительных приборов;

убедиться в исправности оборудования, обращая при этом внимание на надежность заземления тормозной установки, разводки по стенду, нормальную работу топливных кранов;

убедиться в отсутствии утечки топлива в сети и в том, что топливные краны закрыты;

убедиться в достаточности освещенности рабочего места;

проверить состояние грузоподъемной машины и убедиться в ее исправности.

Во время работы слесарь-моторист должен:

перед запуском двигателя закрыть ограждения ременной передачи и кардана;

при обнаружении дефектов на работающем двигателе остановить двигатель; при этом перекрыть кран подачи топлива, выработать топливо, перекрыть кран подачи масла, выключить зажигание;

обязательно применять предохранительные и защитные приспособления, предусмотренные технологической картой;

при испытании двигателей применять инструменты, исправные и соответствующего размера согласно технологии;

следить, чтобы во время приработки и испытания двигателя его вращающиеся шкивы и механизмы были обязательно закрыты предохранительными ограждениями или защитными решетками. Решетка, ограждающая вращающиеся шкивы, при испытании двигателя также должна быть закрыта. Защитный кожух, закрывающий карданную передачу, должен открываться только при установке и снятии двигателя;

следить, чтобы в помещениях испытательной станции всегда надежно работала вытяжная вентиляция;

при перемещении груза в горизонтальном направлении предварительно поднять его на 0,5 м выше встречающихся на пути предметов. Следить, чтобы путь был свободен и груз не мог задеть за посторонние предметы. Сопровождая груз во время передвижения, не ходить под поднятым грузом и не перемещать груз над людьми;

не оставлять работающий двигатель без надзора даже на короткое время. Во время обеденного перерыва или по окончании работы смены надежно перекрыть топливный кран;

не допускать прорыва отработанных газов через не плотности соединений;

при установке двигателя на стенде или при снятии его со стенда соблюдать последовательность операций согласно технологии;

не разбирать и не ремонтировать двигатель, подвешенный на крюке троса грузоподъемной машины, и не оставлять двигатель в подвешенном состоянии на крюке грузоподъемного механизма.

По окончании работы слесарь-моторист должен:

по окончании испытания двигателя закрыть топливный кран, доработать до полного израсходования смеси в карбюраторе и выключить зажигание (для карбюраторных двигателей);

•привести в порядок рабочее место, убрать инструменты и приспособления в отведенное для их хранения место;

•сдавая рабочее место сменщику или мастеру, сообщить обо всех недостатках или неисправностях инструмента, приспособлений и оборудования, обнаруженных в процессе работы, и о мерах, принятых по их устранению.

вымыть руки теплой водой с мылом, принять душ.

При возникновении аварийной ситуации слесарь-моторист должен немедленно остановить двигатель.

Аварийная остановка двигателя производится в следующих случаях: при пожаре; при хлопках и пламени в карбюраторе; при утечке топлива; при появлении сильных стуков в двигателе; при остановке вытяжной вентиляции выхлопных газов; при отключении электропитания на стендах; при самопроизвольном увеличении скорости вращения коленчатого вала выше допустимой (3400 мин-1).

Слесарь-моторист должен выполнять следующие требования по пожарной безопасности:

знать правила пожарной безопасности, а также уметь обращаться с пожарным инвентарем и правильно использовать его в случае возникновения пожара;

следить, чтобы на рабочем месте всегда был огнетушитель, ящик с сухим песком, лопата;

для хранения обтирочных, использованных и замасленных материалов пользоваться металлическим баком или ящиком с герметично закрывающейся крышкой. Ящик должен стоять в стороне от рабочего места;

в случае возникновения пожара на испытательной станции немедленно перекрыть магистральные трубопроводы подвода топлива, масла и приступить к

тушению пожара, одновременно сообщив о пожаре в пожарную охрану;

если пожар возник на испытываемом и работающем двигателе, то немедленно перекрыть подачу топлива и увеличить частоту вращения коленчатого вала двигателя для того, чтобы дать возможность быстрее израсходовать оставшееся топливо.


Заключение

В данной дипломной работе были рассмотрены: история развития автомобильной промышленности, значение автомобильного транспорта в экономике государства. Методы и формы диагностики, технического обслуживания и ремонта подвижного состава автомобильного транспорта.

Описано устройство, принцип действия системы, двигателя автомобиля. Дано описание организации технологического процесса по техническому обслуживанию и ремонту, а так же обоснование в выборе участка по ремонту механизма. Описаны виды работ выполняемых на моторном участке. Подобранны контрольно-измерительные инструменты, приборы, оборудование и технологическая оснастка для диагностических работ, техническому обслуживанию и ремонту, а так же описаны неисправности, методы их обнаружения и ремонт.

Выбраны и скорректированы исходные нормативы периодичности технического обслуживания, а так же продолжительности простоя подвижного состава в техническом обслуживании и ремонте; определил коэффициенты технической готовности и использования автомобилей; суммарный годовой пробег автомобилей.

Рассчитана годовая программа по ТО и ТР, вычислена трудоемкость технических воздействий; определено количество ремонтных рабочих на участке.

Раскрыты вопросы охраны труда лиц, работающих на автомобильном транспорте, а так же требования к инструменту и оборудованию рабочих мест.

Графическая часть представлена четырьмя чертежами, выполненными в формате А1:

Головка блока газораспределительного механизма

Приспособление для притирки клапанов

План моторного цеха

Список литературы по разделам

. Власов В.М., Жанказиев С.В., Круглов С.М. и др.; Техническое обслуживание и ремонт автомобилей: Учебник для студ. учреждений сред. проф. образования. Под ред. В.М. Власова. - 2-е изд., стер.- М.: Издательский центр «Академия», 2011.- 480с.

. Епифанов Л.И., Епифанова Е.А. Техническое обслуживание и ремонт автомобилей: учебное пособие. - 2-е изд. перераб. и доп. - М.: ИД «Форум»: Инфра - М, 2012. - 352 с.

. Передерей В.П.. Устройство автомобиля. Учебное пособие для учебных учреждений среднего профессионального образования. - М.,ИД «Форум»- Инфра-М.2010.

. Пехальский А.П., Пехальский И.А. Устройство автомобилей. Учебник для Ссузов. - М., Академия 2010.

. Пехальский А.П., Устройство автомобилей: лабораторный практикум: учеб. пособие для студ. учреждений сред. проф. образования. - М.: Издательский центр «Академия», 2010. - 272с.

. Положение о техническом обслуживании и ремонте подвижного состава автомобильного транспорта.

. Пузанков А.Г. Автомобили: Устройство автотранспортных средств: учебник для студ. учреждений сред. проф. образования - 6-е изд., стер. -М.: Издательский центр «Академия», 2010. - 560с.

. Туревский И.С. Техническое обслуживание автомобилей. Книга 2. Организация хранения, технического обслуживания и ремонта автомобильного транспорта: учебное пособие. - М.: ИД «Форум». ИНФРА - М, 2010.- 256с.

Список литературы по охране труда

Графкина М.В. Охрана труда и основы экологической безопасности Автомобильный транспорт: учебное пособие. - М.: Издательский центр «Академия», 2009-192с.

Кланица, В.С. Охрана труда на автомобильном транспорте: Учебное пособие для нач. проф. образования / В.С. Кланица. - М.: ИЦ Академия, 2012. - 176 c.

ПОТ Р0-200-01-95 "Правила по охране труда на автомобильном транспорте", утверждены Постановлением Минтруда РФ от 12 мая 2003 года № 28

Туревский, И.С. Охрана труда на автомобильном транспорте: Учебное пособие / И.С. Туревский. - М.: ИД ФОРУМ, ИНФРА-М, 2010. - 240 c.


Приложение 1

Технические характеристики автомобиля ЗИЛ 130.



Габариты, мм

6755х2500х2656

Колесная база, мм

3800

Дорожный просвет, мм

230

Грузоподъемность, кг

6000

Полная масса, кг

12000

КПП

5 ступеней/механическая

Двигатель

ЗИЛ-508.10; V8 К

Рабочий объем, л

6

Мощность, л.с.

150

Максимальная скорость, км/ч

90




Приложение 2

Материалы изготовления основных деталей системы охлаждения.

Наименование детали

Материал

ГОСТ

Распределительный вал

Сталь 45

ГОСТ 1050-88

Корпус головки блока цилиндров

АЛ4

ГОСТ 2685-75

Впускной клапан

40X10C2M

ГОСТ 10589-87

Выпускной клапан

ЭП332

ГОСТ 5949-75

Коромысло

Сталь 50ППА

ГОСТ 380-94




Приложение 3

Ведомость технологического оборудования и оснастки моторного цеха.

Наименование оборудования, краткая характеристика

Кол-во

Габаритные размеры

 





 

1.

Моечная установка

1

1250х620

 

2.

Верстак слесарный с пневматикой

3

1250х800

 

3.

Инструментальная тумбочка

2

674x522

 

4.

Стеллаж для хранения приборов и приспособлений

1

930x510

 

5.

Станок для притирки клапанов

1

1600x520

 

6.

Станок для шлифования клапанов

1

935x600

 

7.

Шкаф для деталей

1

800x460

 

8.

Умывальник

1

600x600

 

9.

Конторский стол

1

1100x620

 

10.

Ларь для обтирочных материалов

1

800x400

 

11.

Компрессор

1

1090x840

 

12

Стенд для ремонта головок

1

150х130

 

13

Шлифовальный станок

1

2800х1930

 

14

Кран-балка

1


 


ВСЕГО:

17


 

Наименование оборудования, краткая характеристика

Кол-во

Габаритные размеры м*м

Площадь м2






1.

Верстак слесарный

9

1,2x0,6

6,48

2.

3

1,5x0,4

1,8

3.

Тумба для инструмента

6

0,7x0,5

4.

Ящик для инструмента.

6

1x0,5

3

5.

Ящик для инструмента

2

2x1

4

6.

Ящик с песком

3

1x0,5

1,5

7.

Стеллаж для деталей

6

1,5x0,8

7,2

8.

Стеллаж для деталей

2

1x0,5

1

9.

Шкаф для деталей

1

2x1

2

10

Стол

1

2x1

2


ВСЕГО:

39


31,08




Общая

46,13




Приложение 4

План моторного цеха.



Приложение 5

Технологическая карта

Демонтажные работы газораспределительного механизма двигателя ЗИЛ 508.10

№ п/п

Наименование и содержание работ

Приборы, инструменты, приспособления, модель, тип.

Технические требования.

1

2

3

4


Отвернуть гайки крепления крышки головки блока (одного из рядов цилиндров).

 Ключ торцовый 17 мм



Снять крышку головки блока




Отвернуть гайки крепления оси коромысла.

 Ключ торцовый 17мм



Снять ось коромысла в сборе.




Вынуть штанги толкателей.




Извлечь толкатели, расположить толкатели и штанги по порядку от 1 цилиндра к восьмому на верстаке.

Съёмник специальный



Отвернуть болты крепления головки блока цилиндров.

Ключ торцовый 17 мм.



Снять головку блока цилиндров, прокладку головки блока цилиндров.




Снять головку блока цилиндров на другом ряду, выполнив операции пп. 3-10




Отвернуть храповик крепления приводного шкива коленчатого вала.

Ключ храповика.



Снять храповик.




Снять приводной шкив с коленчатого вала двигателя.




Снять шпонку с коленчатого вала двигателя




Отвернуть гайки крепления передней крышки распределительных шестерен.

Вороток; Головка торцовая 13 мм



Снять крышку.




Вывернуть болты крепления фланца распределительного вала.

Ключ торцовый 13 мм.

Болты крепления фланца распределительного вала выворачивать через отверстия в шестерне привода.


Вынуть вал с шестерней.






Приложение 6

Исходные и скорректированные нормативы технического обслуживания и ремонта по разделу 3.

Марка или модель подвижно-го состава

Исходные нормативы

Коэффициенты корректирования

Скорректированные нормативы

ЗИЛ 130

Размер-ность

Величина

К1

К2

К3

К4(ср) К'4(ср)

К5

Км (ео)/ Км

Размер-ность

Величина


L1н , км

3000

0,9


0,9




L1, (км)


L2н , км

12000

0,9


0,9




L2, (км)


tн ЕО,(чел.-ч.)

0,45


1,0



0,15

0,3

tЕО,(чел.-ч.)

 4,3


tн 1,(чел.-ч.)

2,7


1,0



1,15

1,0

t1,(чел.-ч.)


tн 2,(чел.-ч.)

10,8


1,0



1,15

1,0

t2,(чел.-ч.)

12,4


tн тр,(чел.-ч.) 1000 км

4,0

1,1

1,0

1,3

0.7

1,15


tтр,(чел.-ч.)

7,3


Lн КР,(км)

300000

0,9

1,0

0,8




LКР,(км)

216000


d н ТО и ТР, (дн/1000 км)

0,5




1,2



dТО и ТР, (дн/1000 км)

0,6


d н кр,(дн)

22







dкр,(дн)

22




Приложение 7

Расчетные показатели по автотранспортному предприятию.

№ п/п

 Наименование  показателя

Условное обозначение

 Единица  измерения

Величина показателя

1.

 Годовая производственная программа


по ЕО

 N г ЕО

 обслуж.

28207


по ТО-1

 N г 1

обслуж.

1175


по ТО-2

 N г 2

обслуж.

392


по СО

 N г СО

обслуж.

168


по Д-1

 N г Д-1

воздейств.

1567


по Д-2

 N г Д-2

воздейств.

470

2.

 Годовая трудоемкость технических воздействий


в зонах ТО

T г ЕО

чел. - ч.

4231



T г 1

чел. - ч.

4189



T г 2

чел. - ч.

5590


в зоне диагностики

T г д-1

чел. - ч.

3134



T г Д-2

чел. - ч.

329


на постах ТР

T г ТР

чел. - ч.

27180


в отделении зоны ТР

T г ТР (цех)

чел. - ч.

1814

3.

Количество необходимых производственных рабочих в моторном цехе


явочное

 Р яв

чел.

21


списочное

 Р ШТ

чел.

23


Похожие работы на - Ремонт газораспределительного механизма ЗИЛ-508-10 на моторном цехе автотранспортного объединения

 

Не нашли материал для своей работы?
Поможем написать уникальную работу
Без плагиата!
Без нейросетей!