Электропитание и электроснабжение нетяговых потребителей
ФЕДЕРАЛЬНОЕ АГЕНТСТВО
ЖЕЛЕЗНОДОРОЖНОГО ТРАНСПОРТА
Федеральное государственное бюджетное
образовательное учреждение
Высшего профессионального образования
"Иркутский государственный
университет путей сообщения"
(ЗабИЖТ ИрГУПС)
Факультет "Наземные транспортные
системы"
Кафедра "Электроснабжение"
Курсовая работа
Электропитание и электроснабжение
нетяговых потребителей
ВЫПОЛНИЛ:
студент гр. СОД 1-11-1 Батоева А.В.
ПРОВЕРИЛ:
преподаватель Филиппов С.А.
Чита 2014
Аннотация
Страницы - __, рисунки - 5, таблицы - 12, список литературы -
5.
Ключевые слова: нетяговые потребители; системы
электроснабжения электрифицированных железных дорог; каталог данных;
электрическая тяга; трансформаторная подстанция; линия электропередачи;
компенсирующее устройство; термическая стойкость.
Цель курсовой работы состоит в определении реактивной, полной
мощности для РЩ, мощности присоединений по каждому РЩ, максимальному току
нагрузки по каждому РЩ и присоединению, выбору аппаратов защиты и типов
исполнения РЩ, а также составлению принципиальной схемы по каждому РЩ.
Содержание
Обозначения и сокращения
Введение
1. Исходные данные
2. Выбор аппаратов защиты
2.1 Выбор автоматических выключателей
2.2 Выбор предохранителей
3. Выбор линии 0,4 кВ питающей РЩ
4. Выбор автомата на ввод низкого напряжения
5. Выбор трансформатора
5.1 Произведем выбор силового трансформатора
5.2 Произведем выбор трансформатора тока и напряжения
6. Выбор исполнения РЩ
Заключение
Список литературы
Нормативные
ссылки
В настоящей работе использованы ссылки на следующие стандарты
(нормативные документы):
ГОСТ 2.104 - 2006 ЕСКД. Основные надписи;
ГОСТ 2.105 - 95 ЕСКД. Общие требования к текстовым
документам;
ГОСТ 2.106 - 96 ЕСКД. Текстовые документы;
ГОСТ 2.108 - 68 ЕСКД. Спецификации;
ГОСТ 2.111 - 68 ЕСКД. Нормоконтроль;
ГОСТ 14254 - степени защиты, обеспечиваемые оболочками (код IP)
ГОСТ 13109-98 - качество электрической энергии
ГОСТ 21128 - системы электроснабжения, сети, источники,
преобразователи и приемники электрической энергии.
ГОСТ Р 51321.1 - 2000 - Устройства комплектные низковольтные
распределения и управления.
ГОСТ Р 51778-2001 - щитки распределительные для
производственных и общественных зданий. Общие технические условия
ГОСТ Р 50339.0 92 - низковольтные плавкие предохранители.
ГОСТ Р 53769-2010 Кабели силовые с пластмассовой изоляцией на
номинальное напряжение 0,66; 1 и 3 кВ. Общие технические условия;
Обозначения и
сокращения
ТП - трансформаторная подстанция
КЗ - короткое замыкание
ЩО - щит одностороннего обслуживания
РЩ - распределительный щит
РУ - распределительное устройство
НН - низшее напряжение
ВН - высшее напряжение
ГПП - главная понизительная подстанция
Введение
Через системы электроснабжения
электрифицированных железных дорог одновременно питаются всевозможные нетяговые
потребители. Переход на электрическую тягу, кроме ряда преимуществ, создаваемых
непосредственно для перевозочного процесса, значительно меняет условия работы
самих железных дорог и прилегающих районов. Поэтому задача обеспечения
электроэнергией всех нетяговых потребителей, находящихся в районе железных
дорог, является весьма важной. Эффект от питания нетяговых потребителей
уменьшается, но одновременно снижаются и затраты на развитие энергосистем для
нужд электрической тяги.
Исходя из всего изложенного в проектах
электрификации ж. д. предусматривают питание железнодорожных нетяговых
потребителей и районных потребителей (городов, сельского хозяйства и т.д.) от
тяговых подстанций. Оно осуществляется либо специальными линиями передачи 10 и
35 кВ непосредственно от тяговой подстанции, либо от линий продольного
энергоснабжения, т.е. от линии передачи, подвешенной на опорах контактной сети.
Такая система питания позволяет закрыть мелкие электрические станции, выработка
энергии на которых всегда сопряжена с большими расходами.
электроснабжение нетяговый потребитель распределительный щит
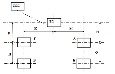
1. Исходные
данные
Таблица 1.
Исходные данные
|
Мощность
короткого замыкания на шинах НН ГПП, МВ АМощность нагрузок силовых шкафов, кВт
|
|
|
А
|
Б
|
В
|
Г
|
|
80
|
40
|
50
|
45
|
Таблица 2.
|
Длина, м
|
Время
использования максимума активной нагрузки, ч
|
Требуемый на шинах 0,4 кВ
|
|
К
|
М
|
Н
|
О
|
П
|
Р
|
|
|
|
51
|
40
|
48
|
53
|
65
|
52
|
3200
|
0,4
|
Таблица 3.
|
Средний Длина линии от ГПП до ТП,
кмКонструктивное выполнение линии от ГПП к ТПВремя использования максимума
реактивной нагрузки, ч
|
|
|
|
|
А
|
Б
|
В
|
Г
|
|
|
|
|
0,75
|
0,48
|
1,0
|
1,73
|
8
|
воздушная
|
3800
|
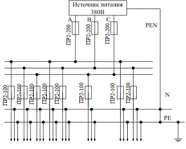
Вводной аппарат щиты:
А, Б - трехфазный автомат;
В, Г - предохранители.
Отходящие аппарат щиты:
А, В - автоматы;
Б, Г - предохранители.
Число отходящих присоединений (в том числе 2 резерва), n - 4
Рис. 1 - Расчетная схема
. Расчет мощности P, Q, S по каждому щиту РЩ
А) Определим полную мощность S и реактивную Q по каждому РЩ
;
Находим 
для каждого РЩ, результаты расчета сведем в таблицу 1.
Таблица 1.
|
|
|
|
|
А
|
0.8
|
0.6
|
36.87
|
|
Б
|
0.9
|
0.43
|
25.64
|
|
В
|
0.71
|
0.71
|
45
|
|
Г
|
0.5
|
0.87
|
59.97
|
Определим полную мощность S для каждого РЩ:
;
;
;
Определим реактивную мощность для каждого РЩ:
;
;
;
;
Определим мощность однофазного присоединения и мощность
трехфазного присоединения для каждого РЩ:
Результаты расчета сведем в таблицу 2.
Таблица 2.
|
S, кВА
|
Q, квар
|
P
(1), кВт
|
S
(1), кВА
|
Q
(1), квар
|
P
(3), кВт
|
S
(3), кВА
|
Q
(3), квар
|
|
А
|
50
|
30
|
10
|
12.5
|
7.5
|
20
|
25
|
15
|
|
Б
|
55.5
|
24
|
12.5
|
13.9
|
6.0
|
25
|
27.7
|
12
|
|
В
|
84.9
|
60
|
15
|
21.2
|
15.0
|
30
|
42.4
|
30
|
|
Г
|
89.9
|
77.9
|
11.3
|
22.5
|
19.5
|
22.6
|
45.0
|
38.9
|
Б) Определим максимальный рабочий ток для однофазных
потребителей и для трехфазных потребителей по каждому РЩ:
Результаты расчета сведем в таблицу 3.
Таблица 3.
|
 , А , А , А
|
|
|
|
А
|
54.34
|
37.98
|
75.96
|
|
Б
|
60.28
|
42.13
|
84.26
|
|
В
|
92.23
|
128.92
|
|
Г
|
97.73
|
68.30
|
136.61
|
2. Выбор
аппаратов защиты
2.1 Выбор
автоматических выключателей
Выбор вводных автоматических выключателей для РЩ А, Б:
Номинальный ток максимального расцепителя для РЩ А должен
быть:
;
.
Для вводного аппарата в РЩ А, согласно [1], выберем выключатель
ВА57-31 с номинальным током выключателя 100А.
Номинальный ток максимального расцепителя для РЩ Б должен быть:
;
Для вводного аппарата в РЩ Б, согласно [1], выберем выключатель
ВА57-35-35 с номинальным током выключателя 160А, с регулируемым номинальным
током выключателя 160А.
Выбор отходящих автоматических выключателей для РЩ А, В:
Номинальный ток максимального расцепителя для РЩ А должен быть:
Для однофазных потребителей:
;
.
Для однофазных потребителей РЩ А, согласно [1], выберем
выключатель ВА57-31 с номинальным током выключателя 100А.
Для трехфазного потребителя РЩ А:
;
.
Для трехфазного потребителя РЩ А, согласно [1], выберем
трехполюсной выключатель ВА57-35-35 с номинальным током выключателя 100А, с
регулируемым номинальным током выключателя 65А.
Выбор автоматических выключателей для потребителей РЩ В
Номинальный ток максимального расцепителя для потребителей РЩ В
должен быть:
Для однофазных потребителей:
;
.
Для однофазных потребителей РЩ В, согласно [1], выберем
выключатель ВА57-35-35 с номинальным током выключателя 160А
Для трехфазного потребителя:
;
.
Для трехфазного потребителя РЩ В, согласно [1], выберем
трехполюсной выключатель ВА57-35-35 с номинальным током выключателя 100А.
Результаты выбора автоматических выключателей сведем в таблицу 4.
Таблица 4.
|
Вводные
|
|
Отходящие
|
|
При Iраб. макс
|
|
|
|
|
А
|
ВА57-31
|
А
|
ВА57-31
|
ВА57-35-35
|
|
Б
|
ВА57-35-35
|
В
|
ВА57-35-35
|
ВА57-35-35
|
Также в РЩ А предусмотрим для трехфазного и одного
однофазного потребителя установку устройства УЗО. Номинал выключателя по току
должен быть на ступень ниже, чем у УЗО. Выберем совмещенную установку.
Для трехфазного потребителя, согласно [3], выберем УЗО
трехфазное ABB F204 АС-100А 300mA с номинальным током 100А, током утечки 300мА
и количеством модулей - 4.
Для однофазного потребителя, согласно [3], выберем УЗО
однофазное УЗО Legrand 2 полюса 100А 30mA (DX3) с номинальным током 100А, током
утечки 30мА и количеством модулей - 2.
2.2 Выбор
предохранителей
Произведем выбор вводных предохранителей для РЩ В и Г.
Для выбора предохранителей должны выполняться условия:
А) По номинальному току плавкой вставки:
Б) По номинальному току предохранителя:
В) По номинальному напряжению:
Для РЩ В и Г, согласно [1], выбираем предохранитель типа ПР2-200 и
делаем проверку, условия проверки сведем в таблицу 5.
Таблица 5.
Произведем выбор отходящих предохранителей для РЩ Б и Г.
Для трехфазных потребителей РЩ Б [1] выбираем предохранитель
типа
Таблица 6.
Для однофазных потребителей РЩ Б, согласно [1], выбираем
предохранитель типа ПР2-100 и для РЩ Г предохранитель типа ПР2-100, условия
проверки сведем в таблицу 7.
Таблица 7.
Результаты выбора предохранителей сведем в таблицу 8.
Таблица 8.
|
Вводные
|
|
Отходящие
|
|
При Iраб. макс
|
|
|
|
|
В
|
ПР2-200
|
Б
|
ПР2-100
|
ПР2-60
|
|
Г
|
ПР2-200
|
Г
|
ПР2-100
|
ПР2-100
|
3. Выбор
линии 0,4 кВ питающей РЩ
Для выбора кабельной линии должны выполняться условия:
А) По длительно допустимому току кабеля:
Б) По экономической плотности тока:
где j - нормированное значение экономической плотности тока для
заданных условий работы равняется 1,4 согласно [2].
Исходя из данных условий произведем выбор кабельных линий и
сведем в таблицу 9.
Таблица 9.
|
РЩ
|
|
|
Тип кабельной
линии
|
|
А
|
|
|
АВБбШв 4х70
|
|
Б
|
|
|
АВБбШв 4х70
|
|
В
|
|
|
АВБбШв 4х95
|
|
Г
|
|
АВБбШв 4х120
|
4. Выбор
автомата на ввод низкого напряжения
Выберем по максимально рабочему току НН:
где Ко - коэффициент одновременности равный 0.7
согласно [1].
Для вводного аппарата НН в РЩ А, Б, В, Г выберем выключатель
ВА51-37 с номинальным током выключателя 300А.
5. Выбор трансформатора
5.1
Произведем выбор силового трансформатора
По мощности высокого напряжения:
Мощность низкого напряжения:
,
Проверим трансформатор ТС3-250-10 УХЛ3 паспортные данные
сведем в таблицу 10.
Таблица 10.
|
Тип
трансформатора
|
Мощность
номинальная, кВА
|
Напряжение
короткого замыкания, %
|
Потери
короткого замыкания, Вт
|
Ток холостого
хода, %
|
Потери
холостого хода, Вт
|
|
ТС3-250-10 УХЛ3
|
250
|
6
|
3200
|
1.3
|
700
|
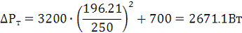
Активные потери мощности в трансформаторе:
,
Реактивные потери мощности в трансформаторе:
Потери мощности в трансформаторе:

=2671.1+j12490=12.78кВА
Отсюда мощность ВН выразим как:
Условия выбора трансформатора:
Трансформатор ТС3-250-10 УХЛ3 подходит по условиям выбора.
5.2
Произведем выбор трансформатора тока и напряжения
По току на ВН:
где Кпер - коэффициент перспективы равный 1.3 согласно
[2], 
- номинальная мощность трансформатора равная 250 кВА исходя из
паспортных данных, 
- напряжение высокой стороны равная 10 кВ.
Исходя из 
выбираем трансформатор тока ТПЛ-10 и трансформатор напряжения
НАМИ-10-95.
Технические данные трансформаторов сведем в таблицу 11 и 12.
Таблица 11. Технические характеристики трансформатора тока ТПЛ-10
|
Номинальное
напряжение, кВ
|
10; 11
|
|
Наибольшее
рабочее напряжение, кВ
|
12
|
|
Номинальная
частота, Гц
|
50; 60
|
|
Номинальный
первичный ток, А
|
5 - 600
|
|
Номинальный
вторичный ток, А
|
1; 5
|
|
Количество вторичных
обмоток
|
2
|
|
Исполнение по
обмоткам
|
0,5/10P; 0,2S/10P; 10P/10P
|
|
Класс точности
вторичной обмотки для измерений, А
|
0,2S; 0,5S; 0,5 0,5S; 0,5
|
|
Класс точности
вторичной обмотки для защиты
|
10Р
|
Таблица 12. Технические характеристики трансформатора напряжения
НАМИ-10-95
|
Номинальное
напряжение, кВ
|
10
|
|
Номинальное
напряжение вторичной основной обмотки, кВ
|
0,1
|
|
Номинальное
напряжение вторичной дополнительной обмотки, кВ
|
0,1
|
|
Наибольшее
рабочее напряжение первичной обмотки частоты 50 Гц, кВ
|
|
Предельная
мощность, ВА, первичной обмотки
|
1000
|
|
Предельная
мощность, ВА, основной вторичной обмотки
|
900
|
|
Предельная
мощность, ВА, дополнительной вторичной обмотки
|
100
|
|
Тип внешней
изоляции
|
Фарфор
|
|
Тип внутренней
изоляции
|
Маслобарьерная
|
|
Масса
трансформатора, кг
|
93
|
|
Масса масла, кг
|
16
|
|
Габаритные
размеры, мм
|
482х330х575
|
|
Установочные
размеры, мм
|
286х344
|
6. Выбор
исполнения РЩ
Для исполнения РЩ А при максимальной нагрузке потребителей
75.96А, выберем Шкаф с автоматическими выключателями переменного тока, с выключателем
на вводе ВА57-31 с номинальным током выключателя 100А, с выключателями
распределения ВА57-31 с номинальным током выключателя 100А - 6шт., УЗО
трехфазное ABB F204 АС-100А 300mA с номинальным током 100А - 1шт., УЗО
однофазное УЗО Legrand 2 полюса 100А 30mA (DX3) с номинальным током 100А - 1шт.
Для исполнения РЩ Б при максимальной нагрузке потребителей
84.26А, выберем ВРУ1-25-65УХЛ4 с выключателем на вводе ВА57-35-35 с номинальным
током выключателя 160А, с регулируемым номинальным током выключателя 160А, с
предохранителя распределения ПР2-60 с номинальным током плавкой вставки 45А и
номинальным током предохранителя 60А - 8шт.
Для исполнения РЩ В при максимальной нагрузке потребителей
128.92А, выберем ЩО70 - 1 - 31 - У3 с предохранителями на вводе ПР2-200 с
номинальным током плавкой вставки 160А и номинальным током предохранителя 200А,
с выключателями распределения ВА57-35-35 с номинальным током выключателя 100А,
с регулируемым номинальным током выключателя 100А - 7шт., ВА57-35-35 с
номинальным током выключателя 100А, с регулируемым номинальным током
выключателя 100А - 1шт.
Рис. 2 Принципиальная электрическая схема РЩ А.
Рис. 3 Принципиальная электрическая схема РЩ Б.
Рис. 4 Принципиальная электрическая схема РЩ В.
Для исполнения РЩ Г при максимальной нагрузке потребителей
136А, выберем ЩО70 - 1 - 31 - У3 с предохранителями на вводе ПР2-200 с
номинальным током плавкой вставки 160А, номинальным током предохранителя 200А,
с предохранителями распределения ПР2-100 с номинальным током плавкой вставки
80А и номинальным током предохранителя 100А
Рис. 5 Принципиальная электрическая схема РЩ Г.
Заключение
В ходе данной курсовой работы определили полную и реактивную
мощность, также рассчитали мощность однофазного и трехфазного присоединения для
каждого РЩ. Определили максимально рабочий ток однофазных и трехфазных
потребителей. Выбрали автоматические выключатели, а также предохранители.
Сделали выбор линии 0,4 кВ питающей РЩ. Произвели выбор силового
трансформатора, и трансформатора тока и напряжения. А также произвели выбор
исполнения РЩ.
Список
литературы
1. Расчет
и проектирование систем электроснабжения объектов и установок: учебное
пособие/А.В. Кабышев, С.Г. Обухов. - Томск: Изд-во ТПУ, 2006 - 248с.
2. Правила
устройств электроустановок. ПУЭ-М: Энергоатомиздат, 1985-640 с
3. УЗО трехфазное АВВ.
[Электронный ресурс] // Режим доступа: http://www.<http://www.electrica220.ru>
. Низковольтные
автоматические выключатели: учебное пособие / А.В. Кабышев, Е.В. Тарасов;
Томский политехнический университет. - Томск: Изд-во Томского политехнического
университета, 2011. - 346 с.
. Электроснабжение
объектов. Ч.2 Расчет токов короткого замыкания в электроустановках до 1000В:
учебное пособие/ А.В. Кабышев. - Томск: Изд-во Томского политехнического
университета, 2009 - 168с.