Электромагнитные поля и волны
Федеральное агентство по образованию
Государственное образовательное
учреждение
высшего профессионального образования
Пермский национальный
исследовательский политехнический университет Кафедра Автоматики и Телемеханики
Расчетная работа
Электромагнитные поля и волны
Выполнил: студент группы АТ-13 Арисов И.А.
Проверил: Щербинин А.Г.
Пермь, 2015 г.
Постановка
задачи
Металлический цилиндрический стержень находился в среде с
проводимостью γ1 (рис. 1. табл. 1).
Рис. 1. Условие задачи.
Задание:
I. Найти ток утечки на единицу длины между стержнем и
металлической поверхностью проводящего полупространства (γ = ∞), если потенциал стержня относительно этой поверхности φ0.
. Найти проводимость на единицу длины между стержнем и
металлической поверхностью без учета влияния непроводящей стенки, т.е. когда γ1 = γ2.
. Построить график изменения потенциала вдоль линии ВС.
. Определить плотность тока в точках А и B.
Таблица 1.
|
Номер группы
|
φ0, В
|
h
|
α
|
R, м
|
|
|
|
м
|
|
|
АТ 2
|
1800
|
100
|
1
|
0,9
|
0,04
|
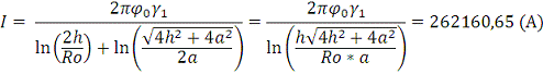
Задание 1.
Рис. 2. Применение метода зеркальных изображений для 1-го
пункта.
Аналогично:
Тогда ток утечки равен:
Задание
2
Картина линий напряженности в случае отсутствия непроводящей
стенки будет выглядеть так (Рис. 2.):
Рис. 3. Применение метода зеркальных изображений для 2-го
пункта.
ток металлический стержень проводимость
Задание 3
Рис. 4. Условие 3-го пункта.
Потенциал - величина аддитивная.
Полученный график:
Рис. 5. График зависимости потенциала от координаты на оси,
совпадающей с прямой ВС.
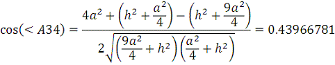
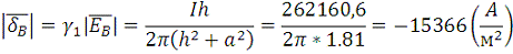
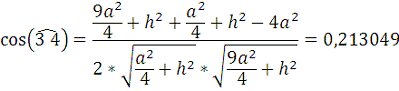
Задание 4
Закон Ома в дифференциальной форме:
Рис. 6. Сложение векторов для вычисления плотности тока в
точке В.
Рис. 8. Сложение векторов для вычисления плотности тока в
точке А.
