Расчет аэродинамических коэффициентов крылатой ракеты типа Tомагавк
Курсовой
проект
Расчет
аэродинамических коэффициентов крылатой ракеты типа Tомагавк
Введение
тангаж ракета летательный аэродинамический
Проектирование летательного аппарата
должно обязательно включать в себя расчёт его аэродинамических характеристик.
Полученные результаты в дальнейшем позволяют оценить правильность выбора
аэродинамической схемы, рассчитать траекторию ЛА.
Для расчётов вводится очень важное
допущение: следует считать ЛА неподвижным, а набегающий поток воздуха,
напротив, движущимся (т.н. «принцип обращения движения»).
Второе используемое допущение
подразумевает расчленение ЛА на отдельные составляющие: корпус, оперение
(крылья и рули), а также их комбинации. В таком случае характеристики
вычисляются по отдельности для всех компонент, а их суммы вместе с
интерференционными поправками, обуславливающими эффекты взаимодействия,
определяют аэродинамические коэффициенты и моменты.
1. Крылатые ракеты
.1 Общие сведения
Процесс создания современных КР является
сложнейшей научно-технической задачей, которая решается совместно рядом
научно-исследовательских, проектно-конструкторских и производственных
коллективов. Можно выделить следующие основные этапы формирования КР:
тактико-техническое задание, технические предложения, эскизное проектирование,
рабочий проект, экспериментальная отработка, стендовые и натуральные испытания.
Работы по созданию современных образцов КР
ведутся по следующим направлениям:
· увеличению дальности и
скорости полёта до сверхзвуковой;
· использованию для
наведения ракет комбинированных многоканальных систем обнаружения и
самонаведения;
· снижению заметности ракет
за счёт применения технологии «стелс»;
· повышению скрытности
ракет путём уменьшения высоты полёта до предельных границ и усложнения
траектории полёта на её конечном участке;
· оснащению бортовой
аппаратуры ракет системой спутниковой навигации, которая определяет место
нахождения ракеты с точностью до 10…..20 м;
· интегрированию ракет
различного предназначения в единую ракетную систему морского, воздушного и
наземного базирования.
Реализация перечисленных направлений
достигается главным образом за счёт применения современных высоких технологий.
Технологический прорыв в авиастроении и
ракетостроении, микроэлектроники и вычислительной техники, в разработке бортовых
автоматических систем управления и искусственного интеллекта, двигательных
установок и топлив, средств радиоэлектронной защиты и т.д. создал реальные
разработки нового поколения КР и их комплексов. Стало возможным значительное
увеличение дальности полёта как дозвуковых, так и сверхзвуковых КР, повышение
избирательности и помехозащищённости бортовых систем автоматического управления
с одновременным уменьшением (более чем в два раза) массогабаритных
характеристик.
Крылатые ракеты подразделяются на две группы:
· наземного базирования;
· морского базирования.
К этой группе относятся ракеты
стратегического и оперативно-тактического назначения с дальностью полёта от
нескольких сот до нескольких тысяч километров, которые в отличие от
баллистических ракет летят к цели в плотных слоях атмосферы и имеют для этого
аэродинамические поверхности, создающие подъёмную силу. Такие ракеты
предназначены для поражения важных стратегических.
Крылатые ракеты, способные запускаться с
подводных лодок, надводных кораблей, наземных комплексов, самолётов,
обеспечивают морским, наземным и воздушным силам исключительную гибкость.
Их основными преимуществами по сравнению с
БР, являются:
· почти полная неуязвимость
при внезапном ракетно-ядерном нападении противника благодаря мобильности
базирования, тогда как места расположения пусковых шахт с БР часто заранее
известны противнику;
· снижение по сравнению с
БР затрат на выполнение боевой операции по поражению цели с заданной
вероятностью;
· принципиальная
возможность создания для КР усовершенствованной системы наведения,
функционирующей автономно или использующей спутниковую навигационную систему.
Эта система может обеспечить 100%-ную вероятность поражения цели, т.е. промах,
близкий к нулю, что позволит сократить необходимое число ракет, а
следовательно, и эксплуатационные затраты;
· возможность создания
системы оружия, которая сможет решать как стратегические, так и тактические
задачи;
· перспектива создания
крылатых стратегических ракет нового поколения, имеющих ещё большую дальность, сверхзвуковые
и гиперзвуковые скорости, допускающих перенацеливание в полёте.
На стратегических крылатых ракетах
применяют, как правило, ядерные БЧ. На тактических вариантах этих ракет
устанавливаются обычные БЧ. Например, на противокорабельных ракетах могут быть
установлены БЧ проникающего, фугасного или фугасно-кумулятивного типа.
Система управления крылатых ракет
существенно зависит от дальности полёта, траектории ракеты и радиолокационного
контраста целей. Дальние ракеты обычно имеют комбинированные системы
управления, например автономную (инерциальную, астроинерциальную) плюс
самонаведение на конечном участке траектории. Пуск с наземной установки,
подводной лодки, корабля требует применения ракетного ускорителя, который
целесообразно отделять после выгорания топлива, поэтому крылатые ракеты
наземного и морского базирования делаются двухступенчатыми. При пуске с
самолёта-носителя ускоритель не требуется, так как имеется достаточная
начальная скорость. В качестве ускорителя обычно применяют РДТТ. Выбор маршевого
двигателя определяется требованиями малого удельного расхода топлива и большого
времени полёта (десятки минут или даже несколько часов). Для ракет, скорость
полёта которых сравнительно невелика (М<2), целесообразно применять ТРД как
наиболее экономичные. Для дозвуковых скоростей (
) используют ТРДД малых
тяг (до 3000 Н). При М>2 удельные расходы топлива ТРД и ПВРД становятся
соизмеримыми и основную роль при выборе двигателя играют другие факторы:
простота конструкции, малая масса и стоимость. В качестве топлива маршевых
двигателей используются углеводородные топлива.
В данном курсовом проекте для дальнейших
исследований в качестве прототипа ЛА будет рассмотрена крылатая ракета типа
«Tомагавк». [1]
.2 Крылатая ракета «Томагавк»
КР «Томагавк» в ядерном снаряжении имеет
мощность ядерного заряда 200 кг. Её трудно обнаружить радиолокационными
станциями. Длина КР - 6.25 м, а вес - 1450 кг. В обычном снаряжении эта ракета
предназначается для нанесения ударов по надводным кораблям на дальностях до 550
км от места запуска и по береговым объектам - на дальностях до 1500 км.
Крылатая ракета «Томагавк» (BGM - 109A) морского базирования
предназначена для нанесения ударов по важным военным и промышленным объектам.
Дальность стрельбы - 2500 км. Точность стрельбы - не более 200 м. Система
наведения ракеты - комбинированная, включает в состав инерциальную систему и
систему коррекции траектории по контуру рельефа местности. Стартовая масса -
1225 кг, длина 5,5 м, диаметр корпуса - 530 мм, масса боевой части - 110 кг.
Ракета оснащена ядерной боевой частью мощностью 200 кг. Ракета поступила на
вооружение в 1984 году. Её боевое применение предусматривается как с подводных
лодок, так и с надводных кораблей. [2]
Рис. 1 Крылатая ракета «Томагавк» (BGM - 109A)
Траектория полета ракеты
«Tомагавк» BGM-109С/D
Рис. 2 Траектория полета ракеты «Томагавк»
BGM-109С/D:
-старт;
-район первой коррекции по системе TERCOM;
-маршевый участок коррекция TERCOM с
использованием системы NAVSTAR
-коррекция траектории по системе DSMAC;
Тактико-технические характеристики
|
Дальность
стрельбы, км
|
|
BGM-109A при
пуске с надводного корабля
|
2500
|
|
BGM-109С/D при
пуске с надводного корабля
|
1250
|
|
BGM-109С/D при
пуске с подводной лодки
|
900
|
|
Скорость полета
максимальная, км/час
|
1200
|
|
Скорость полета
средняя, км/час
|
885
|
|
Длина ракеты, м
|
6.25
|
|
Диаметр корпуса
ракеты, м
|
0.53
|
|
Размах крыльев,
м
|
2.62
|
|
Стартовый вес,
кг
|
|
BGM-109A
|
1450
|
|
BGM-109С/D
|
1500
|
|
Боевая часть
|
|
BGM-109A
|
ядерная
|
|
BGM-109С
|
полубронебойная
- 120 кг
|
|
BGM-109D
|
кассетная - 120
кг
|
|
Маршевый
двигатель F-107
|
|
Топливо
|
RJ-4
|
|
Масса топлива,
кг
|
550
|
|
Вес сухого
двигателя, кг
|
64
|
|
Тяга, кг
|
272
|
|
Длина, мм
|
940
|
|
Диаметр, мм
|
305
|
2. Расчет аэродинамических
характеристик аналитическим методом Лебедева-Чернобровкина
Аэродинамический расчет является важнейшим
элементом аэродинамического исследования ЛА или его отдельных частей (корпуса,
крыльев, оперения, управляющих устройств). Результаты такого расчета используются
при траекторных вычислениях, при решении задач, связанных с прочностью
движущихся объектов, при определении летно-технических характеристик ЛА.
При рассмотрении аэродинамических
характеристик можно использовать принцип расчленения характеристик на отдельные
компоненты для изолированных корпусов и несущих поверхностей (крылья и
оперение), а также их комбинации. В последнем случае аэродинамические силы и
моменты определяются в виде суммы соответствующих характеристик (для
изолированных корпуса, крыльев и оперения) и интерференционных поправок,
обусловленных эффектами взаимодействия.
Аэродинамические силы и моменты можно
определить с использованием аэродинамических коэффициентов.
По представлению полной аэродинамической
силы и полного аэродинамического момента в проекциях на оси соответственно
скоростной и связанной систем координат приняты следующие названия
аэродинамических коэффициентов:
- аэродинамические коэффициенты лобового
сопротивления, подъем боковой силы;
- аэродинамические
коэффициенты моментов крена, рысканья и тангажа.
Для исследования динамики ЛА необходимо
учесть действующие силы и моменты, в том числе и аэродинамические. Полную
аэродинамическую силу
, зависящую от ряда факторов можно представить
составляющими по скоростным осям координат (x, y, z) или по связанным (
), а полный
аэродинамический момент М - разложенным по осям (
). В случае симметричного
ЛА подъемная сила Y и боковая сила Z имеют одинаковую зависимости соответственно от углов атаки a и скольжения b, от углов отклонения
рулей
и
. [3]
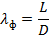
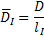
Таблица геометрических характеристик
|
Название,
размерность
|
Величина
|
Значение
|
|
|
Консоль I
|
Консоль II
|
|
Длина, м
|
L
|
6.25
|
|
Диаметр
корпуса, м
|
D
|
0,53
|
|
Площадь миделя,
м2
|
|
0,221
|
|
Площадь донного
среза, м2
|
|
0,1105
|
|
Длина носовой
части, м
|
|
0.26
|
|
Длина
цилиндрической части, м
|
|
5.99
|
|
Удлинение
корпуса
|
|
11,7924
|
|
Объём носовой
части корпуса, м3
|
|
0,0191
|
|
Удлинение
носовой части корпуса
|
|
0.8125
|
|
Удлинение
цилиндрической части корпуса
|
|
11.3
|
|
Сужение
кормовой части корпуса
|
|
0.707
|
|
Полный размах
несущей поверхности, м
|
|
2.63
|
1,5
|
|
Размах несущей
поверхности без учёта диаметра корпуса, м
|
|
2.1
|
0,97
|
|
Длина бортовой
хорды консоли, м
|
|
0.4
|
0,35
|
|
Длина корневой
хорды консоли, м
|
|
3,09
|
0,657
|
|
Длина концевой
хорды консоли, м
|
|
0,25
|
0,25
|
|
Площадь двух
консолей, м2
|
|
0,683
|
0,291
|
|
Удлинение
консолей
|
|
6.457
|
3.233
|
|
Сужение
консолей
|
|
1.6
|
1.4
|
|
Угол
стреловидности консолей по передней кромке
|
|
45
|
58
|
|
Тангенс угла
стреловидности консолей по линии середины хорд
|
|
0.035
|
0.89
|
|
Угол
стреловидности консолей по линии середины хорд
|
|
45
|
58
|
|
Относительная
толщина профиля
|
|
0.1
|
0.1
|
|
Длина средней
аэродинамической хорды, м
|
|
0.27
|
0.303
|
|
Координата zа.к. средней аэродинамической хорды, м
|
|
0.485
|
0,303
|
|
Координата xа.к. средней аэродинамической хорды
относительно
|
|
6.836
|
6.999
|
|
Расстояние от
передней точки корпуса до консоли, м
|
|
3,1
|
5.87
|
|
|
|
|
|
.1 Подъемная сила
Подъемная сила определяется по формуле
,
где
- скоростной напор, - плотность воздуха,
- характерная площадь, (например, площадь поперечного сечения фюзеляжа
),
- коэффициент подъемной силы.
Коэффициент
принято определять в скоростной системе
координат 0xyz. Наряду с коэффициентом
далее рассматривается и коэффициент
нормальной силы
, определяется в связанной системе
координат
.
Эти коэффициенты связаны между собой соотношением
. (1)
Представляем ЛА в виде совокупности следующих основных частей:
корпуса (фюзеляжа), передних (I) и задних (II) несущих поверхностей. При небольших
углах атаки и углах отклонения несущих поверхностей зависимости
и
близки к линейным, т.е. могут быть представлены в виде
;
;
здесь
и
- углы отклонения передних и задних несущих поверхностей
соответственно;
и
- значения
и
при
;
,
,
,
,
,
- частные производные коэффициентов
и
по углам
,
и
, взятые при
.
Значения
и
у беспилотных ЛА в большинстве случаев близки к нулю, поэтому в
дальнейшем они не рассматриваются. В качестве органов управления принимаются
задние несущие поверхности.
. (2)
При малых углах атаки и при можно
положить
, тогда равенство (2) принимает вид
. Представим нормальную силу ЛА в виде
суммы трех слагаемых
, (3)
каждое из которых выразим через соответствующий коэффициент
нормальной силы:
;
;
.
Поделив равенство (3) почленно на
и изъяв производную по a, получим в точке a = 0
, (4)
где
;
- коэффициенты торможения потока;
;
;
- относительные площади частей ЛА. Рассмотрим подробнее величины,
входящие в правую часть равенства (4).
Первое слагаемое учитывает собственную нормальную силу фюзеляжа, и
при малых углах атаки оно равно нормальной силе изолированного фюзеляжа (без
учета влияния несущих поверхностей)
.
Второе слагаемое характеризует нормальную силу, создаваемую
передней несущей поверхностью и приложенную частично к консолям, а частично к
корпусу в зоне их влияния.
Величина этой силы выражается через нормальную силу изолированных
крыльев (т.е. крыльев, составленных из двух консолей) с помощью коэффициента
интерференции kaa:
. Величины
и kaaI подсчитываются при числе Маха
.
Третье слагаемое в выражении (4) аналогично второму. Единственное
отличие состоит в том, что при определении угла атаки задней несущей поверхности
надо учитывать средний угол скоса потока
, вызываемого передней несущей поверхностью:
. При малых углах атаки зависимость
близка к линейной. В том случае
и производную
можно выразить в виде
. (5)
Все величины, входящие в (5), подсчитываются при числе Маха
. [3]
2.2 Производная коэффициента подъемной силы ЛА по углу отклонения
органов управления
продифференцируем выражение (1) по углу dII:
.
При малых углах
и
это выражение принимает
следующий вид:
.
Поделив равенство (3) почленно на qS и
взяв производную по
, получим

.
характеризует нормальную
силу задней поверхности, приложенную частично к консолям, а частично к корпусу
в зоне их влияния. Величина этой силы выражается через коэффициент
интерференции
и относительную эффективность органов управления
n:

. Тогда 
.
Расчет
представлен в табл. 3.3,
где
- угол стреловидности
оперения;
- коэффициент снижения
подъёмной силы из-за щели между рулём и корпусом при отклонении рулей. [3]
Таблица расчетов 
|
Величина
|
М
|
|
0.7
|
1,2
|
|
|
0,043
|
0.06
|
|
|
1.45
|
1,35
|
|
|
0,041
|
0,037
|
|
|
4.7
|
5.3
|
|
|
2,8763299
|
3,254196
|
|
|
0.225
|
|
|
2.87
|
|
|
3.713
|
|
|
1.506
|
|
|
0,009
|
0,105
|
|
|
0,0549
|
0,0581
|
|
|
0,202
|
|
|
0,353
|
|
|
1.45
|
|
|
1.85
|
|
|
1,505
|
|
|
1,35
|
|
|
3,3
|
|
|
6,045
|
|
|
0,000014607
|
|
|
0,022
|
0,025
|
|
|
0,04
|
0,045
|
|
|
0,996
|
0,987
|
|
|
0,955
|
0,95
|
|
|
12.45
|
|
|
11.406
|
|
|
1
|
1
|
|
|
0,999
|
|
|
0,9987
|
|
|
1.49
|
1.48
|
|
|
1.65
|
1.66
|
|
|
1,49
|
1,48
|
|
|
1,2
|
1,2
|
|
|
0.77
|
0,75
|
|
DII
|
0.353
|
0.353
|
|
|
0,202
|
|
|
1.073
|
1.052
|
|
|
0.2124
|
|
|
1
|
|
|
0
|
|
|
1
|
|
|
1,21
|
|
|
1,02575807
|
|
|
0,97
|
0,96
|
|
|
0,43
|
0,98
|
0,97
|
|
|
1
|
1
|
|
|
0,98
|
0,97
|
|
|
0,041
|
0,037
|
|
|
0,575
|
0,6466
|
Таблица расчетов 
|
Величина
|
М
|
|
0.7
|
1.2
|
|
|
1,35
|
|
|
0,985
|
|
|
0,955
|
0,955
|
|
|
1.28
|
1.28
|
|
|
62
|
|
|
0.4695
|
|
|
0,85
|
0.9
|
|
|
0.34
|
|
|
0.012
|
0.012
|
.3 Лобовое сопротивление
Сила лобового сопротивления подсчитывается
по формуле
.
Коэффициент лобового сопротивления ЛА
представим в виде суммы двух слагаемых
, где
- коэффициент
сопротивления при
;
- коэффициент индуктивного сопротивления, под
которым понимается сопротивление, зависящее от углов
,
и
. Коэффициент
ЛА может быть выражен в
виде
,
где 1.05 - поправка на неучтенные детали;
- отношение суммарной
площади всех консолей передней несущей поверхности к характерной площади;
- то же для задней
несущей поверхности;
,
,
- коэффициенты изолированных частей ЛА. [3]
.4 Коэффициент лобового
сопротивления при
По физической природе лобовое
сопротивление корпуса при
можно разделить на сопротивления трения и
давления. В соответствии с таким давлением можно выразить коэффициент лобового
сопротивления корпуса при
(отнесенный к площади миделя
) в следующем виде:

,
где последние три слагаемых представляют
собой сопротивление давления. [3]
2.5 Коэффициент лобового
сопротивления несущих поверхностей при
Методы расчета коэффициента передних и
задних несущих поверхностей почти идентичны. Единственное отличие состоит в
том, что расчет
следует вести при числе Маха, а расчет при
.
Лобовое сопротивление несущей поверхности
с заостренными задними кромками при
складывается из
профильного и волнового сопротивления. В соответствии с этим можно написать
.
Профильное сопротивление обусловлено
вязкостью воздуха. Оно определяется в основном силами трения и в незначительной
степени - разностью давлений в носовой и хвостовой частях профиля.
Волновое сопротивление - сопротивление
давления, обусловленное сжимаемостью воздуха. Оно возникает при
, когда обтекание крыльев
сопровождается появлением скачков уплотнения.
У ЛА с крестообразным расположением
крыльев (++) сила лобового сопротивления создается двумя парами передних и
задних несущих поверхностей, поэтому коэффициенты
и
должны перемножаться на
соответствующие удвоенные безразмерные площади. [3]
Таблица расчетов 
и 
|
Величина
|
М
|
|
0.7
|
1.2
|
|
|
12.6
|
|
|
9.5*107
|
16.2*107
|
|
|
0
|
|
|
0,0042
|
0,0039
|
|
|
0,95
|
0,9
|
|
|
0,004
|
0,0035
|
|
|
0,12
|
0,11
|
|
|
0,01
|
0,19
|
|
|
0,14
|
0,275
|
|
|
0.7071
|
1
|
|
|
0,0495
|
0,1375
|
|
|
0,1795
|
0,4375
|
|
|
1.28
|
|
|
1,28
|
|
|
0,0082
|
0,0073
|
|
|
0,0083
|
0,0072
|
|
|
0,0082
|
0,0073
|
|
|
0,0083
|
0,0072
|
|
|
0,2835
|
1.128
|
|
|
0,574
|
0,6462
|
Таблица расчетов 
|
Величина
|
М
|
|
0.7
|
1.2
|
|
ϛ
|
0,12
|
0,15
|
|
|
0,027133
|
0,028026
|
|
|
-0,10744
|
-0,09138
|
|
|
0
|
0
|
|
|
2,249912
|
2,196271
|
|
|
2,452368
|
2,339593
|
|
|
0,043466
|
0,040768
|
|
 -0,851960,370882
|
|
|
|
|
0,308696
|
0,342531
|
|
|
-0,54459
|
0,237077
|
|
|
-0,81117
|
-0,769
|
|
|
0
|
0
|
|
|
0,103494
|
0,099285
|
2.6 Момент тангажа
При изучении моментов сил, действующих на
ЛА, в частности моментов тангажа, будем пользоваться связанной системой
координат 0x1y1z1 Момент тангажа или продольный момент вызывается
аэродинамическими и реактивными силами. Рассматривая момент аэродинамических
сил, удобно ввести понятие безразмерного коэффициента
.
Величина аэродинамического момента
при данной скорости и
высоте полета зависит от ряда факторов и прежде всего от угла атаки и углов
отклонения органов управления. Кроме того, на величину момента влияет угловая
скорость вращения ЛА
, а также скорости изменения угла атаки и
отклонения рулей, характеризуемые производными
и
. Таким образом,
. (6)
При малых значениях аргументов выражение
(6) можно представить в виде линейной функции
, (7)
где
и
т.д. - частные
производные момента тангажа по соответствующим параметрам.
Безразмерный коэффициент момента
является функцией только
безразмерных параметров. Так как величины
,
и
имеют размерность I/с,
то вместо них вводят безразмерную угловую скорость
и безразмерные
производные
,
. Общее выражение коэффициента продольного
момента при малых значениях параметров
,
и
и т.д. имеет вид
(7)
Для упрощения записи величин, входящих в
выражения (6) и (7), индекс «I» будем в дальнейшем опускать. Кроме того, будем
опускать черточки в обозначениях частных производных
[3]
.7 Момент тангажа при
Рассмотрим величину аэродинамического
продольного момента, действующего на ЛА, при условии, что угловая скорость
, а угол атаки и углы
отклонения органов управления остаются неизменными по времени.
Введем понятие центра давления ЛА. Центр
давления - это точка на продольной оси 0x1, через которую проходит
равнодействующая - аэродинамических сил.
Момент аэродинамических сил относительно
центра давления можно выразить в виде
, а коэффициент момента
,
здесь
- координата центра
тяжести ЛА,
- координата центра давления (отчет производится
от носа корпуса).
По аналогии с понятием центра давления всего
ЛА введем также понятие центров давления его частей как точек приложения
нормальных сил, создаваемых этими частями.
Из условия равновесия имеем
.
Отсюда находим выражение для
:
При малых углах атаки и углах отклонения
рулей удобно пользоваться понятием аэродинамических фокусов ЛА. Фокусом ЛА по
углу атаки называется точка приложения той части нормальной силы, которая
пропорциональна углу атаки (т.е.
). Тогда при закрепленных
органах управления момент аэродинамических сил относительно оси 0z1, проходящей через точку
фокуса, не зависит от угла атаки. Аналогично можно показать, что момент
относительно фокуса по
не зависит от
, а момент относительно
фокуса по
не зависит от
.
Пользуясь понятием аэродинамических
фокусов, можно записать следующее выражение коэффициента момента тангажа ЛА при
малых углах
,
и
:
,
где
,
,
.
В этих выражениях
,
,
- координаты фокусов по
,
и
.
2.8 Момент тангажа,
вызванный вращением ЛА вокруг оси Z
Рассмотрим ЛА, летящий со скоростью v и одновременно вращающийся вокруг своей оси (поперечной) с
угловой скоростью
.
При вращении ЛА каждая точка его поверхности приобретает
дополнительную скорость, равную
. Вследствие этого углы встречи потока с отдельными элементами
поверхности получаются отличными от углов встречи при чисто поступательном
движении. Изменение углов встречи приводит к появлению дополнительных
аэродинамических сил, которые можно свести к равнодействующей
, приложенной в центре тяжести, и моменту
относительно поперечной оси, проходящей
через центр тяжести.
Величина
очень мала и в расчётах подъёмной силы ею
обычно пренебрегают.
Момент
существенно влияет на динамические
свойства ЛА. Он называется демпфирующим моментом тангажа или продольным демпфирующим
моментом.
Величина демпфирующего момента пропорциональна угловой скорости
. Поэтому
.
Выразим производную
через безразмерный коэффициент момента
и безразмерную угловую скорость
. Так как
и
, то
, где
- вращательная производной коэффициента
момента.
Представим продольный демпфирующий момент как сумму моментов,
создаваемых частями ЛА:
. Это выражение можно переписать в
соответствии с равенством (9):
.
Сокращая на
, получаем:
Где
,
,
[3]
Таблица расчетов 
и 
|
Величина
|
М
|
|
0.7
|
1.2
|
|
|
1.92
|
2.12
|
|
|
0.47
|
-0.52
|
|
|
0,45
|
0,46
|
|
|
0,42
|
0,44
|
|
|
6.987
|
6.989
|
|
|
7.12626
|
7.13
|
|
|
0,0357
|
|
|
0,0146
|
|
|
6.975
|
6.978
|
|
|
7.10
|
7.11
|
|
|
0,4196
|
0,4696
|
|
|
0,448007
|
0,450007
|
|
|
3.686
|
3.57
|
|
|
6,37
|
6,26
|
|
|
6.074
|
6.146
|
|
|
6,865
|
6,83
|
|
|
5.91
|
2.61
|
|
|
4.97
|
1.71
|
|
|
-0,0326
|
-0,03352
|
|
|
6,925
|
6,926
|
|
|
-0.0037
|
-0.0108
|
Таблица расчетов 
|
Величина
|
М
|
|
0.7
|
1.2
|
|
|
0.5133
|
|
|
0.7952
|
0.2736
|
|
|
-0.647
|
-0.575
|
|
|
-6,9
|
-18.98
|
|
|
-6.6
|
-17.42
|
|
|
-1.454
|
-1.39
|
|
|
-1.592
|
-1.413
|
|
|
-2.2797
|
-0.744
|
|
|
-1.802
|
-190.874
|
|
|
-1.66
|
-1.565
|
2.9 Сводная таблица
аэродинамических коэффициентов
|
Величина
|
0.7
|
1.2
|
|
Сαу
|
0.574
|
0,6462
|
|
Сх
|
0.2835
|
1.128
|
|
Сδу
|
0.012
|
0.013
|
|
mαz
|
-0.086
|
-0.097
|
|
mδz
|
-0.0037
|
-0.0108
|
|
mωz
|
-1.66
|
-1.565
|
3. Расчет
аэродинамических характеристик с помощью пакета SolidWorks 2014
.1 САПР SolidWorks 2014
- это система автоматизированного
проектирования, инженерного анализа и подготовки производства изделий любой
сложности и назначения. Разработчиком САПР SolidWorks является SolidWorks Corp.
(США), независимое подразделение компании Dassault Systemes (Франция) -
мирового лидера в области высокотехнологичного программного обеспечения.
Разработки SolidWorks Corp. характеризуются высокими показателями качества,
надежности и производительности, что в сочетании с квалифицированной поддержкой
делает SolidWorks лучшим решением для промышленности и персонального
использования. Программное обеспечение функционирует на платформе Windows,
имеет поддержку русского языка, и, соответственно, поддерживает ГОСТ и ЕСКД.
Данный пакет позволяет построить модель ЛА
и произвести расчёт аэродинамики с помощью Flow Simulation, являющегося модулем
гидрогазодинамического анализа в среде SolidWorks, минимизируя ошибки,
зависящие от человеческого фактора.
В данном курсовом проекте было произведено
построение модели КР «Томагавк» и расчёт аэродинамики при помощи SolidWorks 2014 и SolidWorks Flow Simulation 2012.
Построенная с помощью САПР SolidWorks 2014 модель ЛА
представлена на рисунках 3 и 4.
Рисунок 3 - Вид модели сбоку
Рисунок 4 - Вид модели спереди
3.2 Выбор углов атаки и
скорости потока
Расчёт аэродинамических коэффициентов
будет произведен для Маха: M=0.7, 1.2 и для угла атаки α= 0 градусов.
Аэродинамические силы и моменты можно определить,
зная аэродинамические коэффициенты.
По представлению полной аэродинамической
силы и полного аэродинамического момента в проекциях на оси соответственно
скоростной и связанной систем координат приняты следующие названия
аэродинамических коэффициентов:
- аэродинамические коэффициенты лобового
сопротивления, подъемной и боковой силы;
- аэродинамические
коэффициенты моментов крена, рысканья и тангажа.
3.3 Результаты расчета
Результаты расчёта приведены для скорости
потока М=0.7 и М=1.2 при α= 0 градусов. Результаты
выведены на рисунках 5-14 и в таблице 10.
Для α=0 и М=1.2
Рисунок 5 - Результаты изменения скорости
Рисунок 6 - Результаты изменения давления
Рисунок 7 - Результаты изменения плотности

Для α=0 и М=0.7
Рисунок 9 - Результаты изменения скорости
Рисунок 10 - Результаты изменения давления
Рисунок 11 - Результаты изменения
плотности
Рисунок 12 - Результаты изменения
температуры
Рисунок 13-основные параметры для М=1.2
Рисунок 14-основные параметры для М=0.7
Так как нам известны значения подъёмной
силы и силы лобового сопротивления, то можем из выражений Y=cyqS и X=cxqS выразить су и
сх
Таблица расчетов
|
Скорость потока
|
Угол атаки
|
Cx
|
Cy
|
|
0.7
|
0
|
0,357
|
0,5661
|
|
1.2
|
0
|
1.782
|
0,3019
|
Заключение
В данном курсовом проекте был рассмотрен
ЛА типа КР «Томагавк» и произведён расчёт его аэродинамических коэффициентов.
В результате произведенных расчетов были
получены значения коэффициентов лобового сопротивления, коэффициентов подъемной
силы и коэффициентов аэродинамических моментов. При рассмотрении
аэродинамических характеристик можно использовать принцип расчленения характеристик
на отдельные компоненты для изолированных корпусов и несущих поверхностей
(крылья и оперение), а также их комбинации. В последнем случае аэродинамические
силы и моменты определяются в виде суммы соответствующих характеристик (для
изолированных корпуса, крыльев, и оперения) и интерференционных поправок,
обусловленных эффектами взаимодействия. Аэродинамические силы и моменты можно
определить с использованием аэродинамических коэффициентов.
Результаты расчёта аэродинамических
коэффициентов и сравнительный анализ аналитического метода
Лебедева-Чернобровкина и численного моделирования приведены в таблице.
Сравнительный анализ результатов расчёта
|
Аналитический
метод Лебедева-Чернобровкина
|
Численное
моделирование
|
|
Число Маха
|
Угол атаки
|
Cx
|
Cy
|
Число Маха
|
Угол атаки
|
Cx
|
Cy
|
|
0.7
|
0
|
0.2835
|
0.574
|
0.7
|
0
|
0,357
|
0.5661
|
|
1.2
|
0
|
1.128
|
0.6462
|
1.2
|
0
|
1.782
|
0.3019
|
Была создана модель исследуемого ЛА при
помощи САПР SolidWorks 2014 SP5.0 и исследована его аэродинамика при помощи SolidWorks Flow Simulation. В результате
проделанных расчётов следует считать, что методика численного моделирования
позволяет избежать ошибок вычислений вызванных различием расчетной и реальной
форм обдуваемого объекта. Методика также даёт возможность оценить степень
влияния неточностей в изготовлении моделей на результаты их продувок в
аэродинамических трубах.
Аналитический метод Лебедева-Чернобровкина
основывается на полуэмпирических закономерностях, полученных из анализа
многочисленных экспериментальных данных. Этот метод не подходит для точных
научных расчетов, но может быть использован для учебных целей и для расчета
аэродинамических коэффициентов в первом приближении
Библиографический список
1. Лебедев А.А., Чернобровкин Л.С. Динамика полёта. - М.:
Машиностроение, 1973. - 615 с.: ил.
2. Шалыгин А.С. - Аэродинамические характеристики
летательных аппаратов. - СПб: БГТУ, 2003. - 119 с.
. SolidWorks - мировой стандарт автоматизированного
проектирования [Электронный ресурс] - http://www.solidworks.ru/products/ - дата
обращения 15 ноября 2014 г.
4. David Salomon. Curves and Surfaces for
Computer Graphics. - Springer, 2006.
5. .В. Карпенко, С.М. Ганин «Отечественные авиационные
тактические ракеты» 2000 г.
. Синтез управления в системах стабилизации
беспилотных летательных аппаратов. Учебное пособие под редакцией А.С. Шалыгина.
СПБ 2005 г.