Структура базы знаний БОСЭС ДБВ1х1: ПрС/С 'Защита с нападением'
Курсовой проект
по курсу «Синтез систем бортовых
алгоритмов летательных аппаратов»
на тему;
Структура базы знаний БОСЭС ДБВ1х1:
ПрС/С Защита с нападением
Оглавление
Введение
Глава 1.
Индикационное обеспечение ДБВ на истребителе 4-го поколения (на примере F-16M1)
.1 Процедура
назначения дальнего боя по воздуху 1х1 на истребителе F-16M1
.2
Индикационное обеспечение ДБВ 1х1 на F-16M1. Необходимость разработки БОСЭС ДБВ
Глава 2.
Структура базы знаний БОСЭС ДБВ 1х1
.1 Процедура
назначения ДБВ 1х1 (информационно управляющее поле F-16M1)
.2 Первый
иерархический уровень базы знаний
.3 Второй
иерархический уровень базы знаний
Глава 3.
Фрагмент базы знаний для Пр С/С «Защита с нападением»
Заключение
Литература
Введение
При современном развитии боевой авиационной техники, необходимо иметь
системы помогающие лётчику в бою, такой системой является БОСЭС, она
анализирует внешнюю обстановку, выбирает наиболее рациональные способы решения
возникших проблем и предъявляет лётчику рекомендации по способу их решения.
Система имитационного моделирования для БОСЭС “ДБВ 1x1” ПрС/С ”З/Н” требует имитации
работы ракет, ЛА истребителя и самолёта противника, а так же работу
ИИУ(БРЛС,ОЛС).
Защита с нападением заключается в том, что мы имитирует координаты
истребителя противника, время пуска им своей ракеты, координаты ракет,
координаты своего истребителя, и все эти сигналы должны подаваться на входы
БОСЭС.
Бортовая оперативно-советующая экспертная система дальнего воздушного боя
(БОСЭС «ДБВ 1x1») работающая в режиме 1х1 (дуэль истребителей), анализирует
внешнюю обстановку, выбирает наиболее рациональные способы разрешения
возникающих проблем и предъявляет летчику рекомендации по способу их
разрешения.
Взаимодействие БОСЭС с летчиком строится по принципу оповещательно-советующих
систем - рекомендации только предъявляются ему на индикаторе. При необходимости
БОСЭС дает летчику также краткое пояснение (подсказку) к рекомендуемому способу
разрешения текущей проблемы и временную перспективу последующих событий,
которые могут быть при развитии сложившейся на данный момент ситуации, если
летчик не выполнит текущую рекомендацию.
Предметная область функционирования БОСЭС «ДБВ 1x1» представлена семантической сетью из 3 проблемных
субситуаций (ПрС/С): «Защита с нападением», «Нападение» и «Защита».
Для успешного ведения боя летчику необходима интелектуальная поддержка,
которую могут ему оказывать бортовые интеллектуальные системы. Их рекомендации
предъявляются летчику на индикаторах информационно управляющего поля кабины
(ИУП) самолета.
Глава 1
Индикационное обеспечение ДБВ на истребителе 4-го поколения (на примере F-16M1)
.1
Процедура назначения дальнего боя по воздуху 1х1 на истребителе F-16M1
На истребителе F-16
назначение дальнего боя по воздуху может происходить двумя способами:
· Посредством нажатия кнопки «A-A» под КАИ на интегральной панели
управления ICP. Заметим, что если не нажата ни одна
из кнопок, то истребитель по умолчанию находится в режиме «Маршрут» (“NAV”). При нажатии кнопки «А-А», КАИ
переходит в режим «воздух-воздух», как представлено на рис.1
· Посредством нажатия на DOGFIGHT/MSL OVRD на ручке управления двигателем.
Теперь рассмотрим, как происходит переход в ТС «воздух-воздух» из ТС
«Маршрут»
«А-А»

Рис. 1
Нас интересуют режимы радара для дальнего боя при сопровождении одной и
нескольких целей.
Для дальнего воздушного боя предназначен режим «CRM» радара, который включается нажатием на кнопку OSB1 на МФИ (первая слева в верхнем
ряду)
Данный режим включает в себя два режима: режим сопровождения одной цели (RWS) и режим сопровождения нескольких
целей (TWS). Режим RWS использует высокую пиковую мощность, форму волны со
средней частотой повторения импульсов и расширенную обработку сигнала для
оптимизации распознавания цели и улучшения качества отсеивания ложных. В
дополнение к возможности поиска на больших дальностях, RWS обладает двумя вспомогательными режимами отслеживания
траектории: режим ситуационной осведомлённости одной цели (SAM) и режим ситуационной
осведомлённости для двух целей (TTS).
Режимы SAM и TTS обеспечивают корректное сопровождение траектории
движения цели, движущейся в вертикальной плоскости с более высокой вероятностью
чем в режиме TWS, но происходит это за счёт
уменьшения зоны поиска и количества одновременно сопровождаемых целей.
В режиме TWS БРЛС может
сопровождать до 10 целей, одновременно осуществляя поиск других воздушных
целей. Назначение приоритета по дальности для сопровождаемой цели в TWS основано на выборе ближайшей цели. В
режиме TWS антенна БРЛС не задерживается на
цели(ях) для получения актуальной информации, как это происходит в других
режимах сопровождения что даёт более высокую чувствительность TWS к маневрирующим целям чем в режимах SAM, SMT или STT.
Тем не менее, режим TWS менее
чувствителен чем другие режимы к механизмам радиоэлектронной борьбы, которые
может применить противник. Функциональность TWS была расширена режимом SMT. В данном режиме БРЛС способна одновременно сопровождать
до 9 целей как если бы это делалось в режиме TWS, и одновременно осуществлять поиск в режиме
ситуационной осведомлённости по намеченной цели, которая может находиться за
пределами границ радиолокационного обзора БРЛС.
Таким образом, для сопровождения одной цели при переходе в режим
«воздух-воздух» включается режим RWS
радара. А если необходимо сопровождать несколько целей, то включается режим TWS.
Для того, чтобы перевести радар в режим TWS из любого другого режима надо на МФИ нажать и
удерживать в течении 1 секунды кнопку OSB2 (вторая слева в верхнем ряду)
При этом на МФИ появится следующий кадр:
Для работы в режиме ДБВ предусмотрены кнопки на ручке управления
двигателем (РУД), которая находится справа от пилота (Throttle grip), а также кнопки на ручке управления самолётом
Рассмотрим подробнее назначение кнопок в режиме ДБВ на ручке управления
самолётом.
- (Display management) предназначена для управления индикацией. Так нажатие на левую
и правую кнопки соответственно переключает курсор между левым и правым МФИ.
Нажатие на верхнюю кнопку позволит работать с КАИ, а нажатие на нижнюю - с HUD, FCR, RCCE.
- (Weapon release)
предназначена для пуска ракеты класса «воздух-воздух».
- (Missile step) кнопка
выбора ракеты класса «воздух-воздух» среди тех, что имеются на борту.
- (Trigger)
спусковой крючок для стрельбы из пушки. Стрельба начинается со второго нажатия.
- (Countermeasures management) кнопка
постановки помех
А теперь рассмотрим кнопки на ручке управления двигателем:
- (Dogfight/Missile override) в центральном положении даёт
возможность назначить режим ДБВ как основной (Master Mode).
- (Communication switch) если
нажать влево и держать в этом положении полсекунды можно передавать данные
другим бортам в режиме ДБВ.
- (Manual range) управление
углом места БРЛС.
Рассмотрим теперь случай, когда при переходе из режима NAV информация о цели пришла с другого
борта. Для приёма информации о целях с других бортов (до 4 дружественных
самолётов) предусмотрена система IDM (Intra-flight Data-link mode). Этот режим
позволяет лётчику просматривать информацию о принятой цели на МФИ. Чтобы
перейти в данный режим лётчику необходимо нажать на кнопку OSB6 на МФИ. Заметим, что неважно в
каком базовом режиме (mastermode) находится самолёт.
Когда приходит информация о цели с другого борта в шлемофоне лётчика
звучит речевое сообщение «DATA»,
а на ИЛС появляется надпись “DATA”:
При нажатии на кнопку OSB6
на МФИ появляется кадр с принятой информацией:
1.2
Индикационное обеспечение ДБВ 1х1 на F-16M1. Необходимость разработки БОСЭС ДБВ
Индикация режима дальнего боя по воздуху осуществляется на КАИ и МФИ.
Рассмотрим коллиматорный авиационный индикатор в режиме ДБВ (кнопка «А-А»)
(рис. 1). На нём приняты следующие обозначения:
Target aspect - ракурс
положения воздушной цели
Target range - дальность до
цели
A/A Missile type & number remaining - тип
ракет класса «воздух-воздух» и количество оставшихся ракет
Pre-Launch AIM-9 time of flight - предпусковое время полёта ракеты Range - длина траектории пуска ракеты
Missile Launch Envelope - траектория пуска ракеты
Индикация воздушных объектов на МФИ:
-
основная цель
-
вторичная цель
-
остальные цели
-
дружественные воздушные объекты (белый цвет индикации)
-
Самолеты группы (ведомые)
-
Приоритетные (атакуемые) цели для ведомых
Пр С/С «Нападение»
Проблемная субситуация “Нападение” активизируется появлением цели на ИЛС
(HUD) или нашлемном индикаторе (HMCS) и принятием лётчиком решения об атаке
цели.
Проблемная субситуация “Нападение” может быть прервана в любой из
моментов еѐ реализации (например, при обнаружении пущенной ракеты
противника), при этом по усмотрению лётчика возможна либо активизация
субситуации “Защита” либо продолжение работы в рамках ситуации “Нападение” до
пуска своей ракеты, а затем переход к субситуации “Защита”.
Если лётчик принимает решение атаковать цель, то в зависимости от
дистанции до цели ему необходимо выбрать, какой тип ракет использовать:
AIM-120 AMRAAMSIDEWINDER
Для ракеты AMRAAM
В режиме CRM для захвата цели лётчику необходимо либо на формате FCR
навести курсор на желаемую цель, а затем нажать кнопку TMS-Forward
для подтверждения выбора, либо нажать кнопку TMS-right и тогда система
автоматически осуществит захват ближайшей цели.
Для пуска ракеты AMRAAM лётчику необходимо
нажать кнопку MSL OVRD для быстрого выбора AMRAAM;
нажать кнопку TMS-Right для захвата ближайшей цели;
выполнить манёвр так, чтобы индикатор (директорная метка выдерживания
траектории атаки) атаки попал в зону допустимых манёвров
Для ракеты AIM9
Радар ACM:
В режиме ACM при обнаружении цели, она автоматически захватывается
радаром.
ГСН ракеты AIM-9 охлаждается аргоном и в среднем запаса газа хватит на
1.5 часа непрерывного охлаждения.
Для пуска ракеты AIM-9 лётчику необходимо
переключится на настройки DGFT, нажав соответствующий
переключатель на ручке управления двигателем;
выполнить маневрирование, таким образом, чтобы цель оказалась внутри зоны
допустимого пуска;
когда звуковой сигнал будет устойчивым, нажать кнопку Uncage и
удостовериться, что ГСН ракеты удерживает цель;
выполнить маневрирование для достижения желаемой дальности пуска;
нажать кнопку Weapon Release.
Если, по каким-то причинам, лётчику требуется выполнить пуск ракеты в
режиме A-A Master Mode, то последовательность действий следующая:
включить охлаждение головки наведения ракеты, нажав кнопка OSB 8
на формате SMS;
включить режим AUTO: Кнопка OSB 19 на формате SMS;
выбрать Air-to-Air Master Mode;
выбрать и указать цель;
выполнить маневрирование, таким образом, чтобы цель оказалась внутри зоны
допустимых манѐвров;
удостовериться, что ГСН удерживает цель;
при появлении надписи SHOOT нажать кнопку Weapon Release.
ПрС/С «Защита»
Для данной проблемной субситуации характерно то, что лѐтчик ставит
первостепенную задачу по обеспечению безопасности своему самолѐту.
Условием активизации проблемной субситуации “Защита” является:
обнаружение того, что противник нацеливается на самолѐт
(обеспечивается системой RWR);
обнаружение пуска ракеты (обеспечивается системой RWR и MWS);
обнаружение ракеты в полѐте (обеспечивается системой RWR и MWS).
Наличия одного из перечисленных событий достаточно для активизации
субситуации “Защита”, при этом сам вражеский самолѐт может быть не
обнаружен.
Условием окончания проблемной субситуации “Защита” является факт
непопадания ракеты противника и отсутствие информации о каких-либо угрозах
своему самолѐту.
При обнаружении излучений ракеты или характерных излучений наведения на
самолѐт системой RWR красная лампочка ML начинает мигать и
на локаторе системы RWR отображается угроз.
Для выбора режима отображения неопознанных угроз (те угрозы, чьи
излучения оцениваются системой RWR как угрозы, но отсутствуют в базе
данных) на локаторе RWR, необходимо нажать кнопку UNK, при этом
над кнопкой загорится зелѐная лампочка, которая сигнализирует о включении
режима.
Если неопознанная угроза будет обнаружена, но режим UNK будет
выключен, то такие угрозы не будут отображены на локаторе системы RWR,
однако зелѐная лампочка включения режима UNK будет мигать.
При обнаружении пуска ракеты или ракеты в полете системой MWS в
центре HUD появляется восьмиугольник и до двух линий, обозначающий
направления угроз относительно своего самолёта в виде циферблата часов.
Наиболее опасная угроза отображается непрерывной прямой линией исходящей из
центра восьмиугольника и уходящей на направление угрозы. Вторая угроза, которая
менее опасна на данный момент, отображается в виде пунктирной линии, так же
исходящей из центра восьмиугольника и указывающей на направление угрозы.
Дополнительная информации, отображается только по первой угрозе (которая
наиболее опасна) в виде указания еѐ положения относительно горизонта.
Так же при обнаружении угрозы система VMU воспроизведёт голосовой
сигнал, который содержит следующую информацию:
характер угрозы
Варианты:
MISSILE, MISSILE - обнаружена ракета.
направление угрозы
Варианты:
NOSE - направление перед самолётом в +/- 20 градусов;
TAIL - направление позади самолёта в +/- 20 градусов;
RIGHT - направление справа (на три часа) от самолѐта в +/- 70 градусов;
LEFT - направление слева (на девять часов) от самолѐта в +/- 70
градусов.
уровень угрозы относительно линии горизонта
Варианты:
HI -
выше уровня горизонта более чем на 5 градусов;
LO -
ниже уровня горизонта более чем на 5 градусов
LEVEL - +/- 5 градусов от уровня горизонта.
рекомендация по противодействию
Варианты:
COUNTER, COUNTER - необходимо применить средства защиты или глушение;
JAMMER, JAMMER - необходимо применить глушение.
Примечание: такое голосовое сообщение устанавливается не на все самолёты.
Голосовой сигнал лётчику, соответствующий ситуации приведённой будет
следующим:
MISSILE, MISSILE, RIGHT, HI, COUNTER, COUNTER.
После получения голосового сигнала лётчику необходимо оценить дистанцию
до ракеты, а затем непосредственно задействовать средства защиты ECM и
выполнить оборонительные манёвры.
У лётчика существуют следующие возможности по управлению системой помех ECM
для переключения системы в режим ожидания или ограничения только на приём
необходимо нажать CMS-right;
для перехода или возврата системы в обычный режим работы нажать CMS-afterward;
для активации цикла помех следует нажать CMS-left.
При малом количестве какого-либо средства защиты система VMU воспроизведёт
голосовую команду “LOW” без указания на то, какое именно средство
заканчивается (расходуемые средства бывают 4 типов - Chaff, Flare,
Other 1, Other 2, поэтому команда “LOW” может
воспроизвестись до 4 раз, если заканчиваются все расходные материалы).
При полном истощении запаса какого-либо из средств системой VMU воспроизведёт
голосовой сигнал “OUT” без указания на то, какое именно средство
закончилось (расходуемые средства бывают 4 типов - Chaff, Flare, Other
1, Other 2, поэтому команда “OUT ” может воспроизвестись до 4
раз, если кончились все расходные материалы).
Оставшийся запас расходуемых средств лётчик может проверить на панели c
системой RWR.
Переключатель управления излучениями самолёта RF имеет три
положения, которые позволяют лётчику регулировать излучения различных систем
самолёта
положение NORMAL - системы работают в штатном режиме
положение QUIET - система ECM переходит в режим STBY,
система FCR переходит в режим без изучений NO RAD, кроме
следующих ситуаций:
если до входа в режим QUIET цель была захвачена в любом A-A режиме
кроме режима TWS, то цель продолжит сопровождаться, но система
обнаружения перейдѐт на пассивный режим обнаружения и улавливания
источников RF излучений;
если осуществлён переход в под-режим ACM нажатием кнопки TMS-right;
если цель была захвачена в режиме ACM, а потом режим был
переключен, то цель будет сопровождаться дальше.
положение SILENT - система ECM переходит в режим STBY,
радар переходит в режим без изучений NO RAD, кроме следующих ситуаций:
если осуществлѐн переход в под-режим ACM нажатием кнопки TMS-right;
если цель была захвачена в режиме ACM, а потом режим был
переключен, то цель будет сопровождаться дальше.
Пр С/С «Защита с нападением»
Для данной субситуации характерно то, что лётчик ставит одновременно две
задачи - обеспечение безопасности своему самолёту и обеспечение поражения
противника. При этом задача уничтожения противника имеет больший приоритет, чем
собственная безопасность.
Условием активизации проблемной ситуация “Защита с нападением” является
обязательное обнаружение противника и:
обнаружение того, что противник нацеливается на самолёт (обеспечивается
системой RWR);
обнаружение пуска ракеты (обеспечивается системой RWR и MWS);
обнаружение ракеты в полёте (обеспечивается системой RWR и MWS).
Для активизации ситуации “Защита с нападением” необходимо наличие одного
из вышеперечисленных дополнительных событий.
В субситуации “Защита с нападением” лётчику необходимо следовать
инструкциям проблемной субситуации “Нападение”, а затем сразу же приступить к
выполнению инструкций субситуации “Защита”. При этом лѐтчик может перейти
к субситуации “Защита” досрочно, если психоэмоциональное состояние лѐтчика
окажется нестабильным либо руководствуясь своим опытом.
Таким образом задача БОСЭС ТБС ДБВ 1х1 - выдать своевременные
рекомендации пилоту для предотвращения попадания ракеты противника в самолёт в
активизированной проблемной субситуации «Защита» и «Защита с нападением», а
также для повышения эффективности применения оружия в проблемных субситуациях
«Нападение» и «Защита с нападением».
Глава 2.
Структура базы знаний БОСЭС ДБВ 1х1
.1
Процедура назначения ДБВ 1х1 (информационно управляющее поле F-16M1)
Как уже было отмечено в главе 1, на истребителе F-16 М1 назначение дальнего боя по воздуху может происходить
двумя способами:
· Посредством нажатия кнопки «A-A» под КАИ на интегральной панели
управления ICP. Заметим, что если не нажата ни одна
из кнопок, то истребитель по умолчанию находится в режиме «Маршрут» (“NAV”). При нажатии кнопки «А-А», КАИ
переходит в режим «воздух-воздух», как представлено на рис.1
· Посредством нажатия на DOGFIGHT/MSL OVRD на ручке управления двигателем.
Для работы в режиме ДБВ предусмотрены кнопки на ручке управления
двигателем (РУД), которая находится справа от пилота (Throttle grip), а также кнопки на РУД
Предметная область ДБВ 1х1 структурирована следующими 4 проблемными
субситуациями (ПрС/С), составляющих основу базы знаний БОСЭС
. Тактически выгодное положение
2. Нападение
. Защита
. Нападение с защитой
База знаний БОСЭС ДБВ 1х1 по семантике разделена на два иерархических
уровня. Первый иерархический уровень - активизация проблемной субситуации,
соответствующий сложившейся внешней обстановке. Второй иерархический уровень -
выбор рационального способа решения Пр С/С с помощью базы правил, подключающей
математические модели и алгоритмы, объединённые схемой бортовых алгоритмов.
В блоках принятия решений базы данных БОСЭС ДБВ 1х1 выполняется решение
оптимизационных игровых задач.
Система БОСЭС ДБВ 1х1 должна оперативно вырабатывать рекомендации лётчику
по способу решения задач активизированной Пр С/С.
В описании базы знаний БОСЭС ДБВ 1х1 сделано упрощение о том, что
противоборствующие истребители могут осуществлять только однократный пуск
ракеты.
Структурная схема БОСЭС «ДБВ 1х1» выглядит следующим образом (Рис. 2):
.2 Первый
иерархический уровень базы знаний
На первом иерархическом уровне происходит активизация Пр С/С,
соответствующей сложившейся внешней обстановке.
Правила сопоставления текущей внешней ситуации, которая представляется
ситуационным вектором SV(ТБС-Пр
С/С), одной из проблемных субситуаций приведены в таблице 1. «-« означает, что
соответствующее условие для назначения ПрС/С не используется.
Рис.2
Теперь рассмотрим базу знаний по иерархическим уровням
2.3 Второй
иерархический уровень базы знаний
Теперь подробно рассмотрим, как вырабатывается решение для каждой из
четырёх возможных Пр С/С. Второй иерархический уровень БЗ - это способ
достижения цели (задачи ПрС/С) с помощью базы правил, подключающей
математические модели и алгоритмы, объединенные схемой бортовых алгоритмов
(СБА).
|
Проблемные субситуации ДБВ 1х1
|
|
№
|
Название
|
Условия наступления
|
|
1
|
Занятие тактически выгодного положения
|
Начальный этап воздушного боя. И1 и И2 вне ЗВП противника
|
|
2
|
Нападение
|
И2 в ЗРП И1, пуска R(И2) нет
|
|
3
|
Защита с нападением
|
Упреждающий пуск И2. Есть исправное оружие на И1
|
|
4
|
Защита
|
Упреждающий пуск И2. Нет исправного оружия на И1.
|
1. ПрС/С «Занятие тактически выгодного положения»
Оба самолета находятся вне зон возможных пусков (ЗВП) своих ракет, выбранных на
атаку цели. В координатах «высота-скорость» для каждой пары ракет (одна - на
борту И1, другая - на борту И2) существует область
преимущества истребителя И1 по критерию упреждающего попадания его
ракеты в И2 при условии пуска ракет обоими самолетами со своих
максимальных дальностей пуска
. Эта
область называется зоной тактически выгодного положения (ТВП).
Цель
данной ПрС/С - занятие тактически выгодного положения. Способ ее достижения -
выполнение истребителем маневров в вертикальной плоскости. Проблемная
субситуация завершается входом одного из самолетов в ЗВП ракеты другого
самолета.
В
базе знаний БОСЭС ДБВ 1х1 оперативно решаются следующие задачи:
ü оценить, какую ракету будет применять противник;
ü определить границу зоны ТВП с учетом траекторий движения
самолетов И1 и И2 и характеристик их ракет R(И1)
и R(И2);
ü оценить текущее положение самолета И1 относительно
этой зоны;
ü выбрать оптимальный способ маневрирования для достижения зоны
ТВП;
ü оценить, успеет ли самолет И1 достигнуть зоны ТВП
при выбранном способе маневрирования до того момента, когда он войдет в ЗВП
ракеты истребителя И2.
В этой проблемной ситуации практически все знания БОСЭС сконцентрированы
в блоке математических моделей, который включает следующие модели:
· аппроксимирующая математическая модель (АММ) ракеты , которая оперативно
настраивается своими параметрами на ракеты истребителей И1 и И2;
· алгоритм расчета максимальной дальности пуска ракет R(И1)
и R(И2) в моменты выхода в зону тактического преимущества;
· алгоритм расчета границы зоны ТВП;
· алгоритм управления самолетом для выхода на заданную границу
зоны ТВП.
2.
ПрС/С «Нападение». В этой ПрС/С в базе знаний БОСЭС ДБВ 1х1 решается
игровая задача оптимального выбора траекторной стратегии и момента пуска ракеты
с истребителя И1 на заданном множестве траекторий полета
истребителей И1 и И2, моментов пуска ракет и
применения помех с них. Начиная с текущей дальности между истребителями И1
и И2 формируются два набора моментов виртуальных пусков ракет R(И1)
и R(И2) с разных дальностей при различных сочетаниях
траекторных стратегий И1 и И2 и количества возможных
циклов помех с бортов И1 и И2.
В рассматриваемой ПрС/С истребитель И1 может сознательно
выполнить запаздывающий пуск своей ракеты (перевод ПрС/С «Нападение» в ПрС/С
«Защита с нападением») и обеспечить себе преимущество в бою.
В рассматриваемой ПрС/С функционируют следующие алгоритмы и
математические модели:
АММ движения управляемой ракеты;
ММ «АТАМАН» движения истребителя;
-
алгоритм вычисления характерных дальностей пуска своей выбранной ракеты по
цели, совершающей противоракетные маневры «тактический отворот (ТО)»
(характерная дальность
) и «гарантированный отворот (ГО)» (характерная дальность
);
алгоритм
выполнения истребителем противоракетных маневров ТО и ГО;
- алгоритм выбора оптимальной стратегии «маневр - пуск ракеты -
постановка помехи»
3.
ПрС/С «Защита с нападением». В базе знаний для ПрС/С «Защита с
нападением» в ответ на реализовавшийся упреждающий пуск ракеты R(И2) организуется
последовательность виртуальных пусков ракеты R(И1) с разных дальностей до цели (И2)
для различных пар траекторных стратегий истребителей И1 и И2 и
возможных циклов помех с их бортов. В проблемной субситуации
использует блок генерирования гипотез траекторного маневрирования.
Так как в ПрС/С «Защита с нападением» известно о моменте пуска ракеты
противника, то рассчитывается не матрица, а вектор реализации стратегий в
каждый текущий момент времени (см. табл. 6). Расчётные формулы критерия F идентичны расчётным формулам в ПрС/С
«Нападение». Стратегия, соответствующая максимальному элементу этого вектора,
будет являться оптимальной и предъявляться на ИУП.
4.
ПрС/С «Защита». Цель этой ПрС/С - формирование эффективной защиты от
ракеты противника и продолжение имитации атаки. В отличие от ПрС/С «Защита с
нападением», в рассматриваемой ПрС/С из множества допустимых решений
исключается решение о пуске собственной ракеты. Возможные ответы И1
- противоракетные маневры и постановка информационных помех.
В базе знаний БОСЭС ДБВ 1х1 рассматриваются три возможных способа
движения обороняющегося истребителя ;
а) маневр с сохранением информационного контакта с атакующей ракетой -
вычисление предельной дальности применения противоракетного маневра
«Тактический отворот» (ТО);
б) маневр без сохранения информационного контакта с атакующей ракетой -
вычисление предельной дальности применения противоракетного маневра
«Гарантированный отворот» (ГО);
в) противоракетный маневр «Кадушка» - вычисление дальности начала маневра
и его параметров (радиус и угловая скорость движения самолета по поверхности
«Кадушки», направление оси «Кадушки»).
Рекомендуемый маневр предъявляется летчику на индикаторе на лобовом
стекле (ИЛС). По этой информации летчик принимает решение о выполнении
приемлемого в сложившейся ситуации типа противоракетного маневра, учитывая
имеющиеся у него сведения о тактике воздушного боя и допустимых маневрах своего
самолета.
индикационный база знаний воздушный бой
Глава 3.
Фрагмент базы знаний для Пр С/С «Защита с нападением»
В базе знаний для Пр С/С «Защита с нападением» в ответ на реализовавшийся
пуск ракеты R(И2) организуется последовательность
виртуальных пусков ракеты R(И1)
с разных дальностей до цели И2 для различных пар траекторных стратегий
истребителей И1 и И2 и возможных циклов помех с их бортов. В проблемной
субситуации используется блок генерирования гипотез траекторного
маневрирования.
На рис.2 была представлена структура базы знаний БОСЭС ДБВ 1х1,
обеспечивающая решение задач в ПрС/С «Нападение», «Защита с нападением» и
«Защита».
В таблице 5 приведён перечень допустимых фрагментов траекторий для нашего
истребителя И1 и истребителя противника И2.
Со стороны истребителя выбирается тот противоракетный манёвр, который ещё
спасает И1 от пущенной по нему ракеты противника из следующего приоритетного
ряда (в порядке увеличения сложности его выполнения): маневр в горизонте,
маневр в вертикали и маневр в пространстве.
Выработка рекомендаций в Пр С/С «Защита с нападением». Проблемная субситуация «Защита с
нападением» назначается в том случае, когда был пуск со стороны противника, а
истребитель И1 либо уже осуществил упреждающий пуск, либо может организовать
ответный пуск. Цель ситуации - сформировать эффективную защиту от ракеты
противника и реализовать успешный пуск своей ракеты. База знаний БОСЭС ДБВ 1х1
в этой ситуации строится на базе игры И1 и И2 в условиях, когда И2 сделал свой
ход первым (пустил ракету R(И2)).
Так как в Пр С/С «Защита с нападением» известно о моменте пуска ракеты
противника, то рассчитывается не матрица, а вектор реализации стратегий в
каждый текущий момент времени (таблица 6)
Расчётные формулы критерия F
идентичны расчётным формулам в Пр С/С «Нападение».
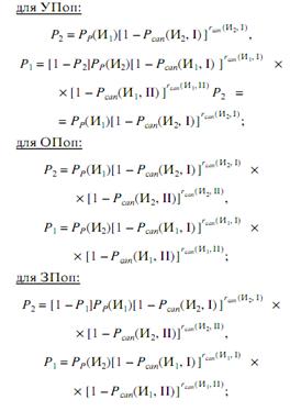
Расчёт Р1 и Р2 различен в зависимости от типа попадания ракеты
истребителя И1. Всего возможно четыре типа попадания ракеты: упреждающее
попадание (УПоп), одновременное попадание (ОПоп), запаздывающее (ЗПоп),
непопадание (НПоп). Формулы расчёта параметра F для каждого из попаданий выглядят следующим образом:
Для каждого сочетания моментов виртуальных пусков ракет с И1 и И2 и
соответствующего количества циклов активных помех (применения САП) выполняется
расчёт критерия F=P2-P1, где Р1 и Р2 - вероятность поражения истребителя И1 и И2
соответственно. Стратегия, соответствующая максимальному элементу этого
вектора, будет являться оптимальной и предъявляться на ИУП.
Вот так, например, будет выглядеть реализация упреждающего попадания при
запаздывающем пуске:
При моделирования Пр С/С «Защита с нападением» нам понадобятся:
. Ячейка таблицы D(R(И1)) для Тр.И1-Тр.И2
2. АТАМАН (И2) для Тр И2
. АММ(И1): захват ГСН МП R(И1)
. АТАМАН (И1) для Тр И1 с момента пуска ракеты R(И1) с учётом момента реального пуска
. АММ (И2), захват ГСН МП R(И2)
. Алгоритм расчёта rсап
(И1,1), rсап(И2,1), rсап(И1,2), rсап(И2,2)
. Алгоритм расчета P2-P1.
Теперь остановимся на математической модели АТАМАН. Ниже приведена его
структурная схема.
Модули АТАМАН (истребитель) и АТАМАНц (самолет-цель), представленные на
рассматриваемом рисунке, имеют одинаковую структуру и состоят из следующих
блоков:
ОПО
(относительное положение объектов) вычисляет переменные относительного
расположения самолета-цели;
ЛВМ
(логика выбора маневров) содержит логику подключения внутренних алгоритмов
модели «АТАМАН» для отработки заданного в блоке БСУ маневра и формирования
параметров этого маневра для блока ФУС;
ФУС
(формирование управляющих сигналов)
формирует управляющие сигналы самолета
по
заданным параметрам, полученным из модуля ЛВМ;
БДИ
(база данных истребителя) объединяет
данные (аэродинамические и др.) по своим истребителям и самолетам противника
(истребителям и ударным самолетам), возможности и ограничения по
летно-техническим характеристикам этих самолетов;
ТДО
(траекторное движение объекта)
включает систему дифференциальных уравнений управляемого движения самолета. На
основе сигналов от блоков БДИ, ЛВМ и ФУС выполняется интегрирование этой
системы уравнений.
Для
замыкания всех связей между двумя (и более) ММ, обеспечивающими полет и
наведение самолетов друг на друга необходимы следующие два блока, являющиеся
внешними для ММ «АТАМАН»:
ИУМ (исходные условия моделирования) формирует исходные
условия моделирования: местоположения и векторы скоростей самолетов, типы
(характеристики) самолетов;
БСУ (блок ситуационного управления) - блок логики
переключения с одного фрагмента траектории полета самолета-истребителя на
другой. В нём заложена логика полета самолета, определяемая конкретной задачей.
Вся требуемая траектория полета самолета разбивается на фрагменты, каждый из
которых описывается двумя управляющими командами (горизонтальная и вертикальная
компоненты маневра формируются отдельными командами). На выходе блока также
содержатся параметры этого маневра.
Входы
ММ «АТАМАН»: тип самолета (истребитель, маломаневренный самолет и т.п.); идентификатор
и параметры маневра;
- текущие значения фазовых координат самолета;
- текущие значения фазовых координат самолета
противника цели.
Выходы
ММ «АТАМАН»:
- новые значения фазовых координат траектории полета
самолета.
Параметры
модели:
· высотно-скоростная характеристика конкретного самолета;
· значения величин на различных режимах полета:
;
· коэффициенты аппроксимации обобщенных аэродинамических характеристик
самолета
Будем понимать под исходными данными модели совокупность таких данных
(скалярные переменные, массивы, структуры и т.п.), которые до начала
моделирования полета самолета следует задать (загрузить из файлов). Эти данные
не будут подвержены изменениям на протяжении всего процесса эксперимента
(например, в течение всего процесса ведения ДВБ не должны меняться ЛТХ самолета
и его цели).
Начальные
условия моделирования: декартовые координаты самолета в земной системе
координат
, модуль скорости полета самолета
и углы
и
самолета.
Модель
«АТАМАН» позволяет реализовать в автоматическом режиме следующий набор
фрагментов траектории полета боевого самолета, из которых можно составлять
любые траектории, применяемые на этапе ввода группы самолетов в воздушный бой и
при ведении дальнего воздушного боя:
1) стабилизация курса (прямолинейное равномерное движение);
2) стабилизация высоты;
) разгон и торможение;
) набор и снижение;
) разворот на заданный угол (в горизонте);
) боковое смещение (в горизонте);
) методы наведения: кривая атаки, параллельное сближение, погоня;
) тактический отворот (в горизонте);
) гарантированный отворот (в горизонте);
) гарантированный отворот (в вертикали).
Конкретная траектория полета самолета формируется из перечисленных
фрагментов, которые стыкуются между собой логическими условиями переключения
(например, переключение происходит при достижении требуемой дальности до
самолета противника).
Теперь рассмотрим более подробно аппроксимирующую математическую модель
ракеты. Будем описывать процесс наведения управляемой ракеты на самолет-цель
при следующих допущениях:
) полет ракеты происходит только под действием тяги двигателя, сил
лобового и индуктивного аэродинамического сопротивления и силы тяжести;
2) двигатель
ракеты создает постоянную тягу
(за
которую принято отношение средней тяги двигателя ракеты к средней массе ракеты
за время работы двигателя ракеты) только в течение
секунд с момента старта ракеты:
3) воздействие сил лобового и индуктивного аэродинамического
сопротивления на полет ракеты учитывается соответственно двумя постоянными
параметрами (обобщенные коэффициенты лобового и индуктивного сопротивления),
зависящими от условий старта ракеты:
4) контур наведения ракеты полагается безынерционным, обеспечивая
мгновенную отработку заданных управляющих сигналов;
5) окончание
наведения ракеты наступает при выполнении в некоторый момент времени
хотя бы одного условия: 1) попадание ракеты в
некоторую окрестность цели
, где
- радиус этой окрестности (малая величина),
- дальность «ракета-цель» в момент
; 2) снижение скорости полета ракеты до скорости цели
(в данной работе принято
).
Движение центра масс ЛА в пространстве (в земной системе координат) в
случае полета без скольжения с неизменной массой ЛА описывается следующей
системой дифференциальных уравнений [1]:
(1)
где
- ускорение силы тяжести;
-
тангенциальная и нормальная скоростная перегрузка летательного аппарата (ЛА);
- тяга
двигателя ЛА;
- сила
лобового сопротивления ЛА;
-
аэродинамическая подъемная сила ЛА;
- масса
ЛА;
-
скоростной угол крена ЛА;
-
скорость полета ЛА;
- углы
поворота и наклона траектории полета ЛА;
-
декартовые координаты ЛА в земной системе координат. Следует заметить, что
здесь положительный отсчет угла
выполняется
по часовой стрелке. В системе (1) фазовыми координатами являются переменные
; управляющими сигналами -
. Принята безынерционная отработка управляющих
сигналов.
Воспользуемся
квадратичной аппроксимацией поляры ракеты:
,
где
;
-
скоростной напор;
-
плотность воздуха на заданной высоте
.
Управляющими
сигналами ракеты выберем в системе (1) величины
,
Величина
при
(скоростях
более 300 м/с) может быть аппроксимирована зависимостью
. Тогда система дифференциальных уравнений полета
ракеты на основе системы (1) будет иметь вид:
(2)
где
- соответственно скорость и высота полета ракеты;
-
остальные декартовые координаты ракеты в земной системе координат;
- углы
поворота и наклона траектории ракеты (положительный отсчет угла
- по часовой стрелке); управляющие сигналы ракеты (в
соответствии с методом пропорциональной навигации)
- вектор
дальности «ракета-цель»;
- вектор скорости полета самолета-цели;
-
навигационный коэффициент модели ракеты; ограничение управляющего сигнала
ракеты
;
-
компоненты угловой скорости вращения линии дальности «ракета-цель» в связанной
с ракетой системе координат (поворот этой системы координат относительно земной
только на углы поворота
и наклона
траектории
полета ракеты - полускоростная система координат
):
вектор
угловой скорости линии дальности «ракета-цель» в земной системе координат
В
уравнениях (2) используется экспоненциальная зависимость (таблица стандартной
атмосферы, ГОСТ 4401-81) плотности воздуха от высоты полета летящего объекта:
где
- высота полета (в метрах),
,
.
Назовем
эту математическую модель движения ракеты аппроксимационной (АММ) и введем для
нее обозначение
,
где:
- обобщенный коэффициент тяги двигателя ракеты
(отношение средней тяги двигателя ракеты к средней массе ракеты за время работы
двигателя ракеты),
-
продолжительность работы однорежимного двигателя ракеты (продолжительность
активного участка),
-
обобщенный коэффициент лобового сопротивления ракеты соответственно на активном
и пассивном (с отработавшим двигателем) участке ее полета,
-
обобщенный коэффициент индуктивного сопротивления ракеты соответственно на
активном и пассивном (с отработавшим двигателем) участке ее полета.
Параметры
АММ зависят от следующих переменных в момент старта ракеты: от типа ракеты,
высоты и скорости полета истребителя, пускающего ракету. Они полагаются
константами на протяжении всего времени полета ракеты.
Эту
модель удобно использовать при решении задачи сопровождения УР противника
неизвестного типа и расчета для нее максимальной (Дmax),
тактической (Дтп) и гарантированной (Дгп) дальностей пуска ракеты (т.е. пуск
ракеты по неманеврирующей цели (Дmax), и цели, совершающей маневры тактический (Дтп) или
гарантированный (Дгп) отворот).
Теперь
опишем логику программы, которая бы моделировала дальний воздушный бой в Пр С/С
«Защита с нападением».
Приложение
должно выдавать летчику рекомендации к определенным действиям в зависимости от
различных факторов. Это программное обеспечение работает только с ТБС «ДБВ
1х1». Мы в нем не рассматриваем процедуру перехода на эту стадию боевого вылета
самолета. Однако можем заметить, что летчик может свести ситуацию воздушного
боя с несколькими противниками к описанному выше «ДБВ 1х1». Мы конечно
понимаем, что это приведет к «последовательной» выборке самолетов противника на
атаку.
То
есть сначала БЦВМ определит для нас приоритетную цель и мы начинаем с ней
сближаться для перехода в бой 1х1, и в данном случае мы могли бы
воспользоваться алгоритмом, который будет описан дальше. Но этот алгоритм не
будет учитывать условий внешней среды в виде возможных пусков и атакующих
маневров других самолетов из группы противника.
Ситуация
может получиться курьезная: БЦВМ дает нам одну приоритетную цель, потому что
алгоритм работы БОСЭС «ДБВ 1х1» использует в качестве входных начальных условий
данные только об одной цели, а в это время следующая «по значимости» цель будет
в 50 метрах от самолета противника, выбранного в качестве основного.
Таким
образом летчик, использующий данный алгоритм, ничего не подозревая о других
целях будет получать рекомендации только для одной цели, не обращая внимания на
действия других сил противника. Мы считаем, что предложенная нами концепция
алгоритма является работающей в пределах тех упрощений, которые мы озвучим
впоследствии, но для достижения совершенства нужна интеграция с другими БОСЭС
для данного типа летательного аппарата.
Основным
источником, используемым для осуществления работы алгоритма, является
лабораторная работа №3 по курсу «Синтез систем бортовых алгоритмов ЛА» на тему
«Исследование фрагментов дальнего воздушного боя 1х1 с целью выработки
рекомендаций экипажу истребителя по пуску ракет и выполнению противоракетных
маневров» и лекции д.т.н. Федунова Б.Е. Также мы используем программное
обеспечение, являющееся приложением к лабораторной работе №3, которое позволяет
рассчитывать ПИБ для различных сочетаний тактик противника.
Таким
образом, первое что нам необходимо вычислить - это начальные значения фазовых
координат движения самолета противника и нашего самолета:
.
Мы
можем вычислить эти значения для самолета-противника, используя собственную
визирную систему, а при помощи акселерометров и инерциальной системы управления
мы вычисляем значения фазовых координат в каждый момент времени полета нашего
самолета. Мы не ставим перед собой задачу описания физического принципа
измерения всех этих величин или описания процедуры их вычисления в БЦВМ
самолета-носителя на основе данных, поступающих с различных датчиков.
Таким
образом во время несения боевого дежурства в случае обнаружения
самолета-противника мы переходим в режим «ДБВ1х1» путем нажатия на
соответствующую кнопку на приборном оборудовании кабины истребителя. Перед нами
сразу же появляется индикация, соответствующая текущей ТБС.
Далее
опишем имитационную модель развития боя с использованием программного
обеспечения из ЛР №3. Мы будем считать, что знаем начальные значения фазовых
координат движения нашего самолета и самолета противника. Используем эти данные
для активизации работы программы, вычисляющей ПИБ для различных сочетаний
тактик при заданных начальных условиях. То есть мы считаем, что БЦВМ самолета,
несущего боевого дежурство, уже вычислила все необходимые значения фазовых координат
движения обоих самолетов в начальный момент времени. Повторюсь, начальный
момент времени в данном случае - момент обнаружения нашим самолетом самолета
противника.
Далее
мы запускаем процесс вычисления ПИБ и ждем результатов. Тут следует уточнить,
что мы рассматриваем не все возможные тактики движения самолета-противника и
нашего самолета, а только некоторые из них. Всего мы рассматриваем 4 возможных
тактики поведения самолета противника и 4 тактики движения нашего самолета.
Таким образом, путем произведения несложных вычислений, становится понятно, что
всего мы рассматриваем 16 возможных сочетаний траекторий нашего самолета и
самолета противника. По окончании вычислений, производимых ПО из ЛР№3, нам
выдаются 16 ПИБ, соответствующих каждому из возможных сочетаний траекторий
движения, по заданным начальным данным.
ПИБ
представлены в виде графиков. Мы за отсутствием достаточного опыта в
программировании немного их упростим, переведя каждый из этих графиком в
массивы данных, с которыми нам уже будет проще работать. В каждом ПИБ
вертикальный срез описывает упреждающий пуска ракеты с нашего истребителя и
возможный запаздывающий пуск ракеты с самолета противника. Горизонтальный срез
показываем обратную ситуацию: упреждающий пуска ракеты с самолета противника и запаздывающий
пуск с нашего самолета. Нам будет известна дальность между самолетами в
начальный момент времени. ПИБ будет вычислен для дальностей возможных пусков
ракет с расстояния от 1 км до дальности возможного пуска ракет. Мы считаем, что
на обоих самолетах находятся идентичные друг другу по типу ракеты. Мы также
считаем что самолеты сами являются представителями одного и того же поколения
самолетов со схожими ТТХ. Поэтому ЗВП у них будут одинаковые.
Допустим
что ЗВП ограничена дальностью 25 км. Мы в нашем алгоритме предлагаем либо для
каждой дальности (для каждого км), либо для каждого диапазона дальностей (если
на этом диапазоне у нас наблюдается практически идентичные варианты исходов
боя) вычислять массив данных. В этом массиве мы будем отмечать диапазоны
дальностей, соответствующих различным исходам боя, как то: недолет ракеты,
поражение И1-нашего самолета, поражение И2- самолета противника, взаимное
поражение. Чтобы более наглядно это пояснить приведем небольшой пример. Но
перед этим хотелось бы подчеркнуть одну фундаментальную вещь в нашем алгоритме.
Изначально при переводе нашего истребителя в режим «ДБВ 1х1», в случае
отсутствия пуска ракеты с самолета противника летчику будет выдаваться
информация по упреждающему пуску с нашего самолета, то есть будет выдаваться
информация на каждой дальности, что будет если пустить ракету сейчас. Мы в
нашем алгоритме не выдаем информацию по запаздывающему пуску ракеты с нашего
самолета, пока не произошел пуск ракеты с самолета-противника. Зачем гадать,
что будет, если противник пустит сейчас ракету, ведь пока он не пустил, мы
считаем лучше индицировать летчику, что будет при его упреждающем пуске на
текущей дальности до самолета-противника. И только, если происходит пуск ракеты
с самолета-противника, и это фиксируется приборами то по наш алгоритм сразу же
переводит проблемную с/с «Нападение», которая включается по умолчанию сразу,
как только летчик перешел в режим «ДБВ 1х1», в проблемную с/с «Защита с
нападением». И тогда летчику на ИЛС предъявляется информация об исходах боя при
его запаздывающем пуске.
Перейдем
к рассмотрению ситуации, когда противник совершает первым пуск своей ракеты. В
нашем алгоритме предлагается сразу после фиксации пуска ракеты самолетом
противника сбрасывать всю индикацию, касающуюся с/с «Нападение» и переходить к
с/с «Защита с нападением». На ИЛС также будет выводится цветовая индикация по
диапазонам возможных исходов, только теперь будет рассматриваться наш
запаздывающий пуск. Мы предлагаем ограничиться выводом только цветовой
индикации для различных диапазонов дальностей в с/с «Защита с нападением». Цвет
диапазона дальности и соответствующий ему исход боя будет таким же как и для
с/с «Нападение».
Получается
для данного сочетания тактик, при котором противник пускает с определенной
дальности ракету по нашему самолету, будем соответствовать своя шкала,
показывающая диапазоны дальностей , при пуске нашей ракеты с которых мы будем
получать определенный исход боя. Тут летчик может, как мы полагаем интуитивно
догадаться, какие действия ему лучше предпринять. Ведь если на выводимой
цветовой шкале будет исход «Наша победа», то летчик просто дождется пока
сблизится на эту дальность с самолетом противника и осуществит запаздывающий
пуск. Если летчик видит что исхода «наша победа» нет, а исходов «взаимный
недолет» почти нет, и вся цветовая шкала показывает что будет либо «наше
поражение», либо «взаимное поражение», что для летчика одинаково
неблагоприятно, то он поймет, что ему нужно срочно делать отворот и ставить
помехи ракете противника.
Однако
наш алгоритм все-таки предлагает летчику небольшую помощь в этом вопросе.
Воспользуемся все тем же параметром «Р», если его значение для с/с «Защита с
нападением» будет меньше 0.2, то БОСЭС переводит с/с «Защита с нападением» в
с/с «Защита». Этак рекомендация будет и индицироваться летчику в виде мигающего
слова «Защита» на ИЛС и дублироваться будет речевым сообщением в шлемофон.
Возникает
вопрос по поводу того, как определить какое сочетание тактик должно
рассматриваться в текущий момент времени и для какой дальности должна
выдаваться рекомендация в текущий момент времени. Начнем с рассмотрения второй
части вопроса. В ходе решения ДУ движения нашего самолета и самолета противника
мы в каждый момент времени можем получать значения фазовых координат движения.
Таким образом в каждый момент времени мы будем знать значения X,Y,Z для
нашего самолета и самолета противника. Зная их, можно путем простых
алгебраических вычислений получить значение дальности между самолетами в
текущей момент времени. Дальность будет равна квадратному корню из суммы
квадратов разностей значений координат X,Y,Z для
нашего самолета и самолета противника.
При
решении вопроса об определении сочетания тактик в текущий момент времени будем
руководствоваться следующей логикой. Сначала мы определяем первый этап
траектории полета самолета противника, чтобы для него выбрать оптимальную
траекторию полета нашего самолета. Мы рассматриваем 4 возможных траектории
движения самолета противника, именно комбинированные, которые состоят из
нескольких составных маневров. По аналогии у нас имеются на рассмотрение 4
комбинированных траектории движения нашего самолета. Первый этап траектории
движения противника мы определяем на основе следующего алгоритма, реализуемого
программой, но не в рамках нашей работы.
Суть
этой процедуры такова: через какие-то дискретные промежутки времени которые мы
можем сами задать, например 5 или 10 секунд, проводятся замеры контрольных
параметров движения самолета противника, далее они анализируются в этой
программе, измеряется угловая скорость движения самолета противника, и в
соответствии с этим выдается каждые 5 или соответственно 10 секунд информация о
текущем этапе траектории движения противника. То есть когда он движется прямо
на нас выдается признак «кривая атаки», если он движется под каким-то углом, то
выдается признак «ТО» с обозначением угла. Далее эта информация поступает на
вход в наш алгоритм. Зная конкретный первый этап составной траектории движения
противника, мы должны выбрать какую из составных траекторий использовать для
ответа. Наш алгоритм предлагает решать задачу выбора оптимальной траектории
движения нашего самолета в ответ на определенную траекторию движения противника
следующим образом. Следует отметить следующие важные особенности нашего
алгоритма. Как уже было сказано выше, наш алгоритм апеллирует большим массивом
данных, который мы получаем в свою очередь путем ручного забивания данных на
основе ПИБ вычисленного для определенных начальных условий.
На
текущей дальности, процедура вычисления которой была описана выше, мы
используем данные из 4 ПИБ. Получается это, потому что первый этап траектории
противника уже определен, и мы теперь рассматриваем 4 возможных ответных
траектории. Поэтому рассматриваем 4 ПИБ, соответствующих 4 сочетаниям наших
тактик с выбранной тактикой противника.
Эти
ПИБ предъявляются нашему алгоритму на вход в виде массивов данных, процедура
заполнения которых была описана выше. Таким образом на текущей дальности мы
сравниваем значения параметра «Р» каждой нашей ответной траектории друг с
другом. После проведения процедуры сравнения мы получаем, что для какой-то
траектории этот параметр имеет наибольшее значение, эту траекторию мы и
выбираем в качестве нашей ответной. А дальше идет выработка рекомендации и
индицировании ее и цветной шкалы диапазонов возможных исходов боя на ИЛС.
Следует
добавить к индикации, выводимой на ИЛС также рекомендацию в виде словесного обозначения
текущего рекомендованного этапа полета нашего самолета, который является
оптимальным ответом на текущий этап полета самолета противника. Физически это
будет выглядеть на ИЛС в виде сокращенного буквенного обозначения
соответствующих этапов полета нашего самолета.
Например,
если рекомендуется совершать маневр тактический отворот 30о, то
летчику на ИЛС в режиме «ДБВ 1х1» в текущей проблемной субситуацие под
обозначением рекомендуемых действий в плане использования оружия: «Атака»,
«Продолжение сближения» будет выводиться строка следующего вида «ТО30о».
Если нужно делать гарантированный отворот, то будет выводиться «ГО». Если
кривая атаки, то «КА». Тут конечно может возникнуть вопрос, а что делать
летчику, если по этой логике для текущего этапа траектории самолета противника,
нам выдается какой-то этап движения нашего самолета, а значение параметра «Р»
при этом будет меньше 0.2, что означает вывод на ИЛС в с/с «Нападение»
рекомендации «немедленный отворот».
Тут
можно поступить следующим образом. Пропишем логическое условие, которое при
выявлении того факта, что значение параметра «Р» будет меньше 0.2, не будет
выдавать нам рекомендацию по текущему этапу составной траектории полета нашего
самолета, а выдаст мигающую словесную рекомендацию «немедленный отворот».
Заключение
Бортовая оперативно советующая экспертная система дальнего воздушного боя
(БОСЭС ДБВ 1х1) в каждый момент времени протекания воздушного боя предъявляет
экипажу истребителя рекомендации: об оптимальном маневре, моменте пуска своей ракеты
и моментам применения информационных помех. Этот образец может являться основой
для макетирования бортовых интеллектуальных систем.
В первой главе данной работы были подробным образом рассмотрены процедуры
назначения дальнего боя по воздуху на истребителе F-16M1.
Также были разобраны действия лётчика в каждой конкретной субситуации:
нападение, защита, защита с нападением.
Во второй главе мы рассмотрели структуру базы знаний БОСЭС ДБВ 1х1 по
иерархическим уровням. Выяснили, по каким правилам назначается каждая
субситуация (1 ГЛУУ), и каковы особенности решения этих субситуации на 2 ГЛУУ.
И наконец, в третьей главе был рассмотрен принципиальный алгоритм
программы моделирования фрагмента базы знаний для проблемной субситуации
«Защита с нападением», то есть случай, когда противник уже пустил по нашему
истребителю ракету. Ещё раз оговоримся, что от БОСЭС в данной ПрС/С требуется
выдать рекомендуемый тактический маневр, который позволит избежать столкновения
с ракетой противника, диапазон дальностей с которых можно осуществить пуск
ракеты и циклы помех. По высказанному в данной работе представлению такая
программа может быть реализована на базе программного обеспечения из
лабораторной работы №3 по курсу «Синтез систем бортовых алгоритмов». Это ПО
строит поля исходов боя на основе некоторых начальных данных - координаты, углы
поворота и наклона траектории, скорости, а также выбранных тактических
манёвров. Таким образом, сопоставляя тактику противника с возможными тактиками
нашего истребителя (их всего 4) мы можем построить для каждой пары тактик своё
ПИБ. Его вероятностный анализ позволит нам найти не только наиболее безопасную
тактику и диапазон дальностей, но и при необходимости указать лётчику, что
необходимо сменить ПрС/С например с «Защита с нападением» на «Защита», если
будет очевидно, что шансы лётчика выиграть воздушный бой крайне малы.
Литература
1. Лекции
проф. Б.Е. Федунова по курсу «Синтез систем бортовых алгоритмов»
. В.А.
Стефанов, Б.Е. Федунов «Бортовые оперативно-советующие экспертные системы (БОСЭС)
типовых ситуаций функционирования антропоцентрических (технических) объектов.-
М.: Изд-во МАИ, 2012.
3. F-16
A/B Mid-Life Update Production Tape M1 The Pilot’a Guide 2004 by Lockheed
Martin Corporation.
4. Федунов
Б.Е. Бортовые оперативно советующие экспертные системы тактических самолетов
пятого поколения (обзор по материалам зарубежной печати). М.: НИЦ ГосНИИАС,
2002.
5. Демкин
М.А., Тищенко Ю.Е., Федунов Б.Е. Базовые бортовые оперативно советующая
экспертные системы для дуэльной ситуации дальнего воздушного боя.- М., Изв.
РАН, ТиСУ. №4, 2010. стр. 59-75.
. Лабораторные
работы по АММ, БОСЭС ДБВ1х1 по курсу «Синтез систем бортовых алгоритмов ЛА».
Демкин М.А.
7. Системы
управления вооружением истребителей: основы интеллекта многофункционального
самолета: под ред. акад. РАН Е.А. Федосова. Российская академия ракетных и
артиллерийских Наук. М.: Машиностроение, 2005.
. Поспелов
Д.А. Ситуационное управление. Теория и практика. М.: Наука, 2014.