Эволюция продуктов деления ядерного реактора

  • Вид работы:
    Курсовая работа (т)
  • Предмет:
    Физика
  • Язык:
    Русский
    ,
    Формат файла:
    MS Word
    89,22 Кб
  • Опубликовано:
    2015-06-22
Вы можете узнать стоимость помощи в написании студенческой работы.
Помощь в написании работы, которую точно примут!

Эволюция продуктов деления ядерного реактора

Министерство образования и науки Российской Федерации

Федеральное государственное автономное образовательное учреждение высшего профессионального образования

"Уральский федеральный университет имени первого Президента России Б.Н.Ельцина"

Физико-технологический институт

Кафедра радиохимии и прикладной экологии




КУРСОВАЯ РАБОТА

Эволюция продуктов деления ядерного реактора













Екатеринбург - 2015

1. Исходные данные

Исходные данные приведены в таблице 1.

Таблица 1. Исходные данные.

Наименование

Принятое обозначение

Численное значение

Мощность, МВт Тепловая: Электрическая:

 W Q

 1435 430

Обогащение, %

q

3

Загрузка, т U-мет

m(U-мет)

41,2

Выгорание, МВт-сут / т U-мет

УВ

2,1∙104

Время выдержки ТВЭЛов, сут.

Тохл

130

Массовое число цепочки

А

129


Тип реактора - ВВЭР-440 (на тепловых нейтронах).

Химическая формула топлива - UО2.

2. Расчетная часть

2.1 Определение удельного выгорания

Поскольку удельное выгорание в МВт·сут/ т U-мет. уже задано, пересчет в другие размерности труда не представляет. Единственное, что надо учесть, это измененный, по сравнению с природным, изотопный состав исходного материала. Поэтому требуется уточнение значений атомной и молярной масс урана и топлива с применением изотопных масс (в углеродной шкале) и заданной степени обогащения топлива U - 235.

Таблица 2. Содержание изотопов урана в природном и обогащенном топливе.

Изотоп

Молярная масса, г/моль*

Природный уран, масс %*

Уран, обогащенный до 3,1 масс % по U-235, масс %

U-238

238,0508

99,2739

96,979424

U-235

235,0439

0,7204

3

U-234

234,0410

0,0057

0,023712


Массовый процент обогащенного урана был найден следующим образом:

В процессе обогащения содержание U-235 увеличилось от 0,7204 масс % до 3 масс%, то есть в 4,16 раз. Содержание U-234, который сопровождает U-235 в технологических схемах, также увеличилось в 4,16 раз по сравнению с природным.

%U-234(в топливе) = [q /% U-235(природный)]·U-234(природный) = [3/0,7204]·0,0057 = =0,023712 масс%.

Содержание U-238 в топливе было найдено как разность:

%U-238(в топливе) = 100% - %U-234(в топливе) - %U-235(в топливе) =100-0,023712-3= =96,979424 масс%.

Находим молярную массу U-мет по формуле:

М(U-мет) = М(U-238)·%U-238(в топливе)+ М(U-235)·%U-235(в топливе)+ М(U-234)·%U-234(в топливе);

где М(U-238), М(U-235), М(U-234) - молярные массы изотопов U [4]

М(U-мет)=[238,0508·0,96979424]+[235,0439·0,030000]+[234,0410·0,00023712]=

=230,859856+7,051317+0,0554958=237,966669 г/моль.

Молярная масса топлива равна:

М(UО2) = 269,9206 г/моль,

где М(О) = 15,9949 г/моль.

Масса топлива в пересчете на UО2:

(UО2) = [m(U-мет)(U-мет)]·М(UО2),

m(UО2) =[41,2/237,966669 ]·269,9206=46,7323 т.

Масса U-235 в загрузке топлива с учетом обогащения:

m(U-235) = m(U-мет)·q = 41,2·0,03000 = 1,236 т.

Определение удельного выгорания в МВт·сут/т топлива

Удельное выгорание (УВ) топлива меньше удельного выгорания U-мет во столько раз, во сколько масса топлива UО2 больше массы загрузки U-мет:

УВ(U-235) = [m(U-мет)/ m(UО2)]·УВ(U-мет) = [41,2/46,7323]·2,1·104 =

= 18513,96 МВт·сут/т топлива.

Определение удельного выгорания в МВт·сут/т U-235

УВ(U-235) = УВ(U-мет)*q = 2 ,1*104*0,03= 630 МВт·сут/т U-235.

2.2 Определение скорости выгорания

Скорость выгорания - это удельная мощность, т.е. мощность, отнесенная к единице массы топлива, металла или U-235.

Определение скорости выгорания в МВт / т топлива

V = W / m(UО2) = 1435 / 46,7323 = 30,71 МВт / т топлива.

Определение скорости выгорания в МВт / т U-мет

= W / m(U-мет) = 1435 / 41,2 = 34,83 МВт / т U-мет.

Определение скорости выгорания в МВт / т U-235

V = W / m(U-235) = 1435 / 1,236 = 1161 МВт / т U-235.

2.3 Определение времени кампании

УВU-мет = (W·tK) / mU-мет ;

Следовательно, tK = УВ U-мет ·m U-мет / W,

tK = 2,1·104 ·41,2 / 1435 = 603 сут.

2.4 Определение плотности потока нейтронов

πср = 2,1·1010 ·W / m(U-235) [1]

πср - средняя плотность потока нейтронов.

πср = 2,1·1010 ·1435/ 1,236 = 2,44·1013 см-2·с-1.

.5 Определение изменения активности для 10 временных точек в абсолютных единицах, Бк, для цепочки с А=129

Цепочку с А = 129 выписываем из [1]:


Так как можно рассчитывать только линейны цепочки, в данном случае таких цепочек будет 1:

. In→ Sn m → Sn→ Sb→ Te m→ I→ Xeстаб

Таблица 3. Характеристики радионуклидов цепочки с А = 129.

Радионуклид

нез, доли

Т1/2, с

, с-1

In-129

1,01Е-03

0,8

0,866

Sn-129m

3,89E-03

134

5,10E-03

Sn-129

1,72E-03

534

1,3E-03

Sb-129

9,64E-04

15552

4,46E-05

Te-129m

3,30E-05

2896128

2,39Е-07

Te-129

7,20E-06

4176

1,7E-04

I-129

1,54Е-07

49,5Е+13

1,4Е-15

Xe-129

3,64E-13

стаб



пояснение к таблице:

нез - независимый выход, доли;1/2 - период полураспада, с;

- постоянная распада, с-1;

Примечания: ветви, для которых приход или уход в соседние цепочки с большим(меньшим) А составляет меньше 5% и для которых λ больше Λ*з не учитываются.

•              128Sb: = з·ср = 1,14·10-24·2,44·1013 = 2,78·10-11 с-1, так как для 129Sb = 4,46·10-5 больше , то реакцию захвата для него не учитываем.

•              129mTe: = з·ср = 2,44·1013 ·1,11·10-24 = 2,71·10-11 с-1 > 2,39·10-7 c-1.

•              129Te: = 0,37·10-24·2,44·1013 = 0,9·10-11 с-1 , в то время как постоянная распада 129Te равна 1,7·10-4 с-1 → постоянную захвата можно не учитывать.

Цепь A=129 после упрощений:


За время кампании (tK = 603 сут = 52099200 с.)

Накопление In129

Родоначальник цепочки - In-129 является короткоживущим. Его активность уже через 1 секунду достигнет своей предельной величины, равной скорости его поставки, и после этого меняться не будет.

F = 3·1016·W = 3·1016·1435 = 4,31·1019 дел/с

АIn,max = PIn = F·In = 4,31·1019 0,00101= 4,353*10 16 Бк

lg АIn,max = 16,63879864;

Расчетная формула:

Расчетный интервал времени 1 - 10с.

Результаты расчета приведены в таблице 4.

Таблица 4.Эволюция In129 за время кампании.

t,сек

N,шт

A,Бк

lgt

lgA

1

2,9123E+16

2,52E+16

0

16,40175

2

4,1373E+16

3,58E+16

0,30103

16,55423

3

4,65258E+16

4,03E+16

0,477121

16,60521

4

4,86932E+16

4,22E+16

0,60206

16,62499

5

4,96049E+16

4,30E+16

0,69897

16,63304

6

4,99883E+16

4,33E+16

0,778151

16,63639

7

5,01496E+16

4,34E+16

0,845098

16,63779

8

5,02175E+16

4,35E+16

0,90309

16,63837

9

5,0246E+16

4,35E+16

0,954243

16,63862

10

5,0258E+16

4,35E+16

1

16,63872

52099200

5,02667E+16

4,35E+16

7,716831

16,6388


пояснение к таблице:- время от начала кампании, с; N - число ядер данного изотопа; A - активность данного изотопа, А=N*, Бк;

Накопление Sn129m

Так как периоды полураспада индия и олова отличаются больше чем в 100 раз , то для индия олово считается долгоживущим (добавляем независимый выход индия). Скорость поставки принимаем постоянной. Считаем по одночленной формуле. Так как идет ветвление цепочки, то умножаем на коэффициент ветвления 0.5

Расчетная формула:

Расчетный интервал времени, учитывая что Т1/2(Sn) = 134 с выбираем от 140с до 1340 c. К этому времени скорость поставки олово сравнится со скоростью его распада и в дальнейшем меняться не будет. Этот интервал разбиваем на 10 точек.

Результаты расчета приведены в таблице 5.

Таблица 5. Эволюция Sn129m за время кампании.

t,сек

N,шт

A,Бк

lgt

lgA

140

1,90E+19

9,67E+16

2,146128

16,98528

230

2,56E+19

1,31E+17

2,361728

17,11664

320

2,99E+19

1,52E+17

2,50515

17,18294

410

3,26E+19

1,66E+17

2,612784

17,22016

500

3,42E+19

1,75E+17

2,69897

17,24213

590

3,53E+19

1,80E+17

2,770852

17,25546

680

3,60E+19

1,84E+17

2,832509

17,26368

870

3,67E+19

1,87E+17

2,939519

17,27227

960

3,69E+19

1,88E+17

2,982271

17,27418

1340

3,71E+19

1,89E+17

3,127105

17,27697

52099200

3,71E+19

1,89E+17

7,716831

17,27744


Накопление Sn129

Так как периоды полураспада индия и олова отличаются больше чем в 600 раз, то для индия олово считается долгоживущим (добавляем независимый выход индия). Считаем скорость поставки постоянной. Расчет по одночленной формуле. Так как идет ветвление цепочки, то умножаем на коэффициент ветвления 0.5

Расчетная формула:

Расчетный интервал времени - от 540 с до 5400 с.

Результаты расчета приведены в таблице 6.

Таблица 6.Эволюция Sn129 за время кампании.

t,секN,штA,БкlgtlgA





540

3,72E+19

4,84E+16

2,732394

16,68459

1000

5,37E+19

6,98E+16

3

16,84362

1500

6,33E+19

8,23E+16

3,176091

16,91516

2000

6,83E+19

8,88E+16

3,30103

16,94829

2500

7,09E+19

9,22E+16

3,39794

16,96463

3000

7,23E+19

9,40E+16

3,477121

16,97293

3500

7,30E+19

9,49E+16

3,544068

16,97719

4000

7,34E+19

9,54E+16

3,60206

16,9794

4600

7,36E+19

9,57E+16

3,662758

16,98071

5400

7,37E+19

9,58E+16

3,732394

16,98142

52099200

7,38E+19

9,59E+16

7,716831

16,98181


Накопление Sb129129 - долгоживущий по отношению к олову. Рассчитываем активность по одночленной формуле.

Расчетная формула:

Расчетный интервал времени - от 16000 с до 155520 с (43,2 ч).

Результаты расчета приведены в таблице 7.

Таблица 7.Эволюция Sb129 за время кампании.

t,секN,штA,БкlgtlgA





16000

1,67E+17

4,20412

17,22205

20000

4,33E+21

1,93E+17

4,30103

17,28535

40000

6,10E+21

2,72E+17

4,60206

17,43452

60000

6,82E+21

3,04E+17

4,778151

17,4834

90000

7,20E+21

3,21E+17

4,954243

17,50646

120000

7,29E+21

3,25E+17

5,079181

17,51231

130000

7,31E+21

3,26E+17

5,113943

17,51306

140000

7,33E+21

3,27E+17

7,716831

17,51438

155520

7,32E+21

3,27E+17

5,191786

17,51395

52099200

7,33E+21

3,27E+17

7,716831

17,51438



Накопление Te129m

Так как периоды полураспада метастабильного теллура и сурьмы отличаются больше чем в 180 раз, то для сурьмы теллур считается долгоживущим (добавляем независимый выход сурьмы). Так как идет ветвление цепочки, то умножаем на коэффициент ветвления 0.166

Расчётная формула:

,

Расчетный интервал времени - от 2900000 с до 28961280 с.

Результаты расчета приведены в таблице 8.

Таблица 8.Эволюция Te129m за время кампании.

t,секN,штA,БкlgtlgA





2900000

1,16E+23

2,78E+16

6,462398

16,44467

6000000

1,77E+23

4,24E+16

6,778151

16,62747

9000000

2,06E+23

4,92E+16

6,954243

16,69199

12000000

2,20E+23

5,25E+16

7,079181

16,72032

15000000

2,27E+23

5,41E+16

7,176091

16,7335

18000000

2,30E+23

5,49E+16

7,255273

16,7398

21000000

2,31E+23

5,53E+16

7,322219

16,74284

23000000

2,33E+23

5,56E+16

7,462398

16,7453

26000000

2,33E+23

5,56E+16

7,414973

16,74485

29000000

2,33E+23

5,56E+16

7,462398

16,7453

52099200

2,33E+23

5,57E+16

7,716831

16,74572


Накопление Te129

Эволюция теллура целиком зависит от эволюции его долгоживущих предшественников: метастабильного теллура и сурьмы

Расчетная формула:


Расчетный интервал времени: 4200 - 41760 сек.   

Результаты расчета приведены в таблице 9.

Таблица 9. Накопление Te129 за время компании.

t,сек

N,шт

A,Бк

lgt

lgA

4200

1,08E+21

1,84E+17

3,623249

17,26499798

8000

1,71E+21

2,91E+17

3,90309

17,46370059

12000

2,17E+21

3,68E+17

4,079181

17,56641437

16000

2,50E+21

4,25E+17

4,20412

17,62792613

20000

2,75E+21

4,67E+17

4,30103

17,66928736

24000

2,94E+21

5,00E+17

4,380211

17,69913492

28000

3,10E+21

5,27E+17

4,447158

17,72167761

32000

3,23E+21

5,49E+17

4,50515

17,73922211

36000

3,33E+21

5,66E+17

4,556303

17,75315402

41760

3,45E+21

5,87E+17

4,62076

17,76861067

52099200

4,18E+21

7,11E+17

7,716831

17,85196487


Накопление I129

Йод - долгоживущий радионуклид, скорость поставки принимаем постоянной и считаем по одночленной формуле. За время кампании йод будет далек от равновесного значения, поэтому будем наблюдать самый начальный участок экспоненты накопления йода(практически прямая линия).

Расчетная формула:

Расчетный интервал времени: 30000000 - начальная точка, берем 5 точек.

Результаты расчета приведены в таблице 10.

Таблица 10. Накопление I129 за время компании

t,сек

N,шт

A,Бк

lgt

lgA

30000000

9,86E+24

1,38E+10

7,477121

10,13993

35000000

1,15E+25

1,61E+10

7,544068

10,20688

40000000

1,31E+25

1,84E+10

7,60206

10,26487

45000000

1,48E+25

2,07E+10

7,653213

10,31602

52099200

1,71E+25

2,40E+10

7,716831

10,37964


Накопление Хе129m

Ксенон короткоживущий радионуклид. Так как периоды полураспада йода и метастабильного ксенона отличаются больше чем в 180 раз, то для йода ксенон считается долгоживущим (добавляем независимый выход йода). Скорость поставки принимаем постоянной. Считаем по одночленной формуле.

Расчётная формула:

Расчетный интервал времени - от 770000 с до 7680960 с.

Результаты расчета приведены в таблице 11.

Таблица 11. Накопление Хе129m за время кампании



За время выдержки (Тохл = 130 сут = 9331200 сек).

К моменту выгрузки радионуклиды цепочки А = 129 будут иметь характеристики, представленные в таблице 11.

Таблица 11. Исходные данные для расчета эволюции цепочки с массовым числом А = 129 при выдержке ТВЭЛов.

Радионуклид

, с-1

Начальное число ядер,N0

In129

0,866

5,03E+16

Sn129m

5,10E-03

3,71E+19

Sn129

1,3E-03

7,38E+19

Sb129

4,46E-05

7,33E+21

Te129m

2,39Е-07

2,33E+23

Te129

1,7E-04

4,18E+21

I129

1,4Е-15

1,71E+25


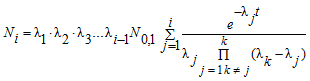
Эволюцию цепочки во время выдержки рассчитаем по уравнению Бейтмана, в соответствии с которым для цепочки вида:

N1  N2  N3  Nj  Ni ,


Если принять, что при t =0 N1 = N01, a N2 = N3 = ...Nj...= Ni = 0, то справедливо:

Распад In-129- короткоживущий радионуклид. Его распад считаем по простой формуле:


Расчетный интервал времени от 1с до 40 с.

Результаты расчета приведены в таблице 12.

Таблица 12. Распад In за время выдержки.

t,сек

N,шт

A,Бк

lgt

lgA

1

2,11437E+16

1,83105E+16

0

16,2627

5

6,61889E+14

5,73196E+14

0,69897

14,7583

10

8,71546E+12

7,54759E+12

1

12,87781

15

1,14761E+11

99383193270

1,176091

10,99731

20

1511123461

1308632917

1,30103

9,116818

25

19897789,93

17231486,08

1,39794

7,236323

30

262005,0939

226896,4113

1,477121

5,355828

35

3449,964517

2987,669271

1,544068

3,475333

40

45,42757161

39,34027702

1,60206

1,594837

9331200

-

-

6,970

-


Распад Sn-129m

Так как олово гораздо более долгоживущий, чем его предшественники, то расчет ведем по простейшей формуле, при этом даже не учитывая начальные числа ядер его предшественников, т.к. они не внесут особого вклада в эволюцию рутения. Расчетный интервал времени от 1 с до 8000 с.

Результаты расчета приведены в таблице 13.


Таблица 13. Распад Sn за время выдержки.

t,сек

N,шт

A,Бк

lgt

lgA

1

3,69113E+19

3,19652E+19

0

19,50468

500

2,89683E+18

2,50865E+18

2,69897

18,39944

1000

2,26189E+17

1,9588E+17

3

17,29199

2000

1,37902E+15

1,19423E+15

3,30103

15,07709

3000

8,40753E+12

7,28092E+12

3,477121

12,86219

4000

51258569129

44389920866

10,64728

5000

312510505,3

270634097,6

3,69897

8,432383

6000

1905297,35

1649987,505

3,778151

6,217481

7000

11616,11507

10059,55565

3,845098

4,002579

8000

70,82050968

61,33056138

3,90309

1,787677

9331200

-

-

6,97

-


Распад Sn-129.

Так как олово гораздо более долгоживущий, чем его предшественники, то расчет ведем по простейшей формуле, при этом даже не учитывая начальные числа ядер его предшественников, т.к. они не внесут особого вклада в эволюцию рутения. Расчетный интервал времени от 1 с до 8000 с.


Результаты расчета приведены в таблице 14.

Таблица 14. Распад Sn за время выдержки.

t,сек

N,шт

A,Бк

lgt

lgA

1

7,37041E+19

6,38278E+19

0

19,80501

500

3,8527E+19

3,33644E+19

2,69897

19,52328

1000

2,01128E+19

1,74177E+19

3

19,24099

2000

5,48139E+18

4,74688E+18

3,30103

18,67641

5000

1,10954E+17

9,6086E+16

3,69897

16,98266

10000

1,66812E+14

1,44459E+14

4

14,15975

15000

2,50792E+11

2,17186E+11

4,176091

11,33683

20000

377050770,3

326525967,1

4,30103

8,513918

25000

566872,9058

490911,9364

4,39794

5,691004

30000

852,258944

738,0562455

4,477121

2,868089

9331200






Распад Sb-129. Так как сурьма гораздо более долгоживущий, чем его предшественники, то расчет ведем по простейшей формуле, при этом даже не учитывая начальные числа ядер его предшественников, т.к. они не внесут особого вклада в эволюцию сурьмы.


Результаты расчета приведены в таблице 15.

Таблица 15. Распад Sb за время выдержки.

t,сек

N,шт

A,Бк

lgt

lgA

1

7,33E+21

6,3475E+21

0

21,8026

500

7,17E+21

6,20779E+21

2,69897

21,79294

1000

7,01E+21

6,07089E+21

3

21,78325

2000

6,70E+21

5,80608E+21

3,30103

21,76388

4000

6,13E+21

5,3106E+21

3,60206

21,72514

5000

5,86E+21

5,07895E+21

3,69897

21,70577

10000

4,69E+21

4,06375E+21

4

21,60893

50000

7,88E+20

6,82567E+20

4,69897

20,83415

100000

8,48E+19

7,33953E+19

5

19,86567

200000

9,80E+17

8,48624E+17

5,30103

17,92872

9331200

1,33E-159

1,1525E-159

6,969937

-158,938


Распад Tem-129

Так как теллур гораздо более долгоживущий, чем его предшественники, то расчет ведем по простейшей формуле, при этом даже не учитывая начальные числа ядер его предшественников, т.к. они не внесут особого вклада в эволюцию теллура.

Расчетная формула:


Расчетный интервал времени от 1 с до 200000 с.

Результаты расчета приведены в таблице 16.

Таблица 16.Эволюция Tem за время выдержки.

t,сек

N,шт

A,Бк

lgt

lgA

1

2,33E+23

2,01778E+23

0

23,30487

500

2,33E+23

2,01754E+23

2,69897

23,30482

1000

2,33E+23

2,0173E+23

3

23,30477

2000

2,33E+23

2,01682E+23

3,30103

23,30467

4000

2,33E+23

2,01585E+23

3,60206

23,30446

5000

2,33E+23

2,01537E+23

3,69897

23,30435

10000

2,32E+23

2,01296E+23

4

23,30384

50000

2,30E+23

1,99381E+23

4,69897

23,29968

100000

2,27E+23

1,97013E+23

5

23,29449

200000

2,22E+23

1,9236E+23

5,30103

23,28411

9331200

2,51E+22

2,16935E+22

6,969937

22,33633

1

2,33E+23

2,01778E+23

0

23,30487


Распад Te-129

Расчетная формула:


Расчетный интервал времени от 1 с до 9331200 с.

Результаты расчета приведены в таблице 17.

Таблица 17.Эволюция Te за время выдержки.

t,секN,штA,БкlgtlgA





1

4,18E+21

3,6196E+21

0

21,55866

500

4,02E+21

3,4822E+21

2,69897

21,54185

1000

3,87E+21

3,35278E+21

3

21,52541

2000

3,60E+21

3,11633E+21

3,30103

21,49364

4000

3,14E+21

2,71879E+21

3,60206

21,43438

5000

2,95E+21

2,55094E+21

3,69897

21,4067

10000

2,22E+21

1,92568E+21

4

21,28458

50000

6,05E+20

5,23683E+20

4,69897

20,71907

100000

3,50E+20

3,03471E+20

5

20,48212

900000

2,65E+20

2,29096E+20

5,954243

20,36002

9331200

3,53E+19

3,05414E+19

6,969937

19,48489


Распад I-129

Йод- долгоживущий радионуклид. Расчет ведем по одночленной формуле. Так как период полураспада йода составляет десятки миллионов лет, что превышает время выдержки на много порядков, то распада не наблюдается и активность остается постоянной.


Результаты расчета приведены в таблице 18.

Таблица 18.Эволюция I в целом за время выдержки.

t,сек

N,шт

A,Бк

lgt

lgA

1

1,71E+25

1,48086E+25

0

25,17051

500

1,71E+25

1,48086E+25

2,69897

25,17051

1000

1,71E+25

1,48086E+25

3

25,17051

2000

1,71E+25

1,48086E+25

3,30103

25,17051

4000

1,71E+25

1,48086E+25

3,60206

25,17051

5000

1,71E+25

1,48086E+25

3,69897

25,17051

10000

1,71E+25

1,48086E+25

4

25,17051

50000

1,71E+25

1,48086E+25

4,69897

25,17051

100000

1,71E+25

1,48086E+25

5

25,17051

200000

1,71E+25

1,48086E+25

5,30103

25,17051

9331200

1,71E+25

1,48086E+25

6,969937

25,17051

Расчитываем по простой формуле:



Расчетный интервал времени - от 1 с до 9331200 с.

Результаты расчета приведены в таблице 20.

Таблица 20. Эволюция Хе129m за время кампании



3. Графические зависимости

Графические зависимости lg A-lg tK для радионуклидов цепочки А= 129 по данным таблиц 4 - 11 представлены на рисунке 1, зависимости lg A-lg Тохл по данным таблиц 13 - 20 представлены на рисунке 2.

Рисунок 1. Графические зависимости lg A-lg tK для радионуклидов цепочки А= 129.

Рисунок 2. Графические зависимости lg A-lg Tохл для радионуклидов цепочки А= 129.

Определение содержания стабильного радионуклида с А=129

К концу кампании:

Стабильным членом цепочки является Xeстаб.

Рассчитываем число наработанных за время кампании ядер:

удельный выгорание уран топливо

 ,

где tк=603 сут,  - скорость поставки ядер, F=4,305 ·1019 дел/с - скорость деления ядер,

η= ηIXemXe= 1,54·10-7+ +2,24·10-12 +3,64·10-13=1,540026·10-7 - выход цепочки с А=129 в долях.

Nнараб = 603·24·3600·4,305·1019·1,54002·10-7=3,454066·1020 шт

 шт

Nза кампанию = Nнараб - Nнакоп = 3,454066·1020 - 3,669997·1018=3,4174·1020 шт

К концу выдержки:

Теперь рассчитаем количество распавшихся ядер к концу времени выдержки (охлаждения), но не будем учитывать те радионуклиды цепочки, у которых время уменьшения их активности в 10 раз относительно первоначальной не сравнимо с временем выдержки - 130 сут (11232000 с), значит нет смысла для них рассчитывать числа оставшихся ядер на момент окончания выдержки, т.е. для In, Snm, Sn, Sb, Tem, Te, Xem. Для оставшегося I129 с Т1/2=1,57·1013 лет рассчитаем число оставшихся ядер цепочки за время охлаждения.

Число оставшихся ядер I129 к концу выдержки рассчитываем по формуле:

остI = N0Iexp(-λI∙t) = 1,71∙1025∙ exp(-1,4∙10-15∙11232000)= 1,71∙1025 шт.

Тогда, число ядер которые распадутся к концу времени охлаждения:

NраспI = 1,71∙1025- 3,454066·1020 = 1,71∙1025шт.

NстабXe=3,4174·1020 +1,71∙1025+3,67∙1018 =1,71∙1025 шт. - число стабильных ядер цепочки на момент окончания выдержки.

Список используемой литературы

•   Особенности эволюции радионуклидов в природных и техногенных системах/ Учебное пособие / Н.Д. Бетенеков, Ю.В. Егоров, Т.А. Недобух, В.Д. Пузако. Екатеринбург: ГОУ УГТУ-УПИ, 2001, 72с.

•        Колобашкин В.М. и др. Радиационные характеристики облученного ядерного топлива: Справочник.-М.:Энергоатомиздат.1983.-384 с.

•        Курс лекции по дисциплине "Основы Радиохимии и дозиметрии". Недобух Т.А.

•        Лаврухина А. К., Малышева Т. В., Павлецкая Ф. И., Радиохимический анализ, Москва, 1963.

•        Старик И. Е., Основы радиохимии, 2 изд., 1969.

Похожие работы на - Эволюция продуктов деления ядерного реактора

 

Не нашли материал для своей работы?
Поможем написать уникальную работу
Без плагиата!
Без нейросетей!