Поляриметрическое определение сахара в соке
Департамент образования Ярославской
области
Государственное образовательное
учреждение
среднего профессионального
образования Ярославской области
ЯРОСЛАВСКИЙ
ПРОМЫШЛЕННО-ЭКОНОМИЧЕСКИЙ КОЛЛЕДЖ
Курсовая работа
на тему:
Поляриметрическое определение сахара в соке
Студента Соболевой Д.Н.
Оглавление
Введение
. Литературный обзор
.1 Характеристика поляриметрического метода
.2 Характеристика анализируемых веществ и используемых
реактивов
.2.1 Химический состав. Химические и физические свойства
.2.2 Токсикологическое воздействие
.3 Характеристика существующих методов анализа данного
вещества
.4 Обоснования выбора данного метода исследования
.5 Метод оценивания погрешности измерений
. Экспериментальная часть
.1 Методика работы
2.2 Принципиальная схема прибора, порядок
работы
2.3 Калибровка посуды
.4 Приготовление реактивов и выполнение работы
Вывод о работе
Список литературы
Приложение
Введение
Поляриметрический метод основан на измерении угла поворота плоскости
поляризации при прохождении поляризованного света через оптически активные
вещества.
Этот метод наиболее часто применяется в сахарной промышленности,
используется в пищевой промышленности для анализа жиров, в фармацевтической
промышленности для анализа антибиотиков, алкалоидов, эфирных масел, в медицине
при клинических исследованиях на белок, сахар.
Цель работы: Аттестовать методику, определения содержания сахара в
растворе сока поляриметрическим методом.
Задачи:
Изучить литературу, необходимую для выполнения эксперимента
Прокалибровать посуду
Приготовить реактивы необходимые для эксперимента
Построить градуировочный график зависимости угла поворота плоскости
поляризации от концентрации сахара в растворе
Определить содержание сахара в соке «Фруктовый сад» яблочный
Обработать результаты методом математической статистики
1. Литературный обзор
.1
Характеристика поляриметрического метода
Вращение плоскость поляризации было открыто Д. Арго 1811г. При
исследовании кристаллического кварца и Ж. Био 1815г. При исследовании
растворов. Поляриметрические измерения, основанные на определении угла
вращения, являются общепринятыми, официально утвержденными методами анализа в
различных отраслях промышленности, особенно в сахарной.
Поляриметрия - метод анализа растворов оптически активных веществ, то
есть имеющих в своём составе хотя бы один асимметрический атом углерода и
способных вращать после скаляризации луча света. Оптическая активность
обусловлена особенности строения молекулы вещества и кристаллической решётки
вещества. Кристаллическая решётка при растворении вещества разрушается, и
оптическая активность исчезает. Если вызвана атомом углерода, то при
растворении оптическая активность сохраняется. Угол вращения плоскости
поляризации вещества зависит от природы оптически активного вещества и растворителя,
длинны волны света, толщины слоя раствора. При прочих равных условиях значение
альфа зависит так же от концентрации раствора.
В поляриметрическом методе для определения концентрации оптически
активных веществ используют измерения угла вращения плоскости поляризации
света. Как известно из физики, свет представляет собой поперечные
электромагнитные волны. Колебания световых волн естественного светового луча
происходят во всех плоскостях, проходящих через луч. Колебания световой волны
поляризованного света происходят в одной плоскости. Поляризованный свет
получают, например, пропуская естественный свет через некоторые кристаллы
(такие как исландский шпат, турмалин и др.) или поляроидные пленки(поляроиды)
Это оптические устройства получили название поляризаторов.
Исландский шпат, турмалин и поляроиды являются анизотропными телами. При
прохождении пучка света через анизотропные тела он разделяется на 2
поляризованных во взаимно перпендикулярных направлениях луча. Один из лучей
обыкновенный отклоняется от первоначального направления, а
второй-необыкновенный сохраняет направление падающего луча. Это явление вызвано
тем, что лучи по-разному преломляют анизотропным телом и получило название
двойного лучепреломления. Если обыкновенный луч каким-либо образом устранить,
то получится свет, поляризованный в одной плоскости. Для этого используют
специальные призмы, например, призму Николя. (рис.1)
Рис.1
Призма из исландского шпата разрезается по линии и склеивается канадским бальзамом.
Показатель преломления бальзама n-1,55.
Он имеет промежуточное значение между показателями преломления обыкновенного и
необыкновенного лучей. Свет, падающий на призму под определенным углом,
расщепляется в первой призме на луч обыкновенный и не обыкновенный.
Обыкновенный луч отображается от прослойки канадского бальзама на боковую
зачерненную грань призмы, где и поглощается. Необыкновенный луч проходит сквозь
вторую призму полностью поляризованным.
Поляризаторы такого типа дороги, имеют неудобную форму, поэтому их
заменяют пленочными поляризаторами-поляроидами. Это анизотропные материалы,
разделяющие падающий на них свет на 2 поляризованных луча, причем один из
поляризованных лучей поглощает сильнее другого. Такое явление называется
дихроизмом. Дихроизмом обладают и некоторые кристаллы, например, турмалин. Свет
выходит из дихроничных поляризаторов поляризованным в одной плоскости.
Большинство применяемых в настоящее время поляризаторов дихроичны. Это
анизотропные пленки, пропитанными веществами.
Рис.2
На рис. 2 показана схема получения поляризованного света.
Плоскость, в которой происходят колебания световой волны, называется
плоскостью колебаний, а плоскость ей перпендикулярная, называется плоскостью
поляризации.
Рис.3
На рис. 3 показана схема естественного и поляризованного света.
Поляризацию света можно обнаружить с помощью второй призмы Николя или
второго поляроида-анализатора. По устройству поляризатор и анализатор одинаковы,
но назначение их разное.
Если на пути света, прошедшего через поляризатор поставить анализатор
так, чтобы плоскости, в которых они пропускают колебания, совпадали (были
параллельны), то свет пройдет и через анализатор. Если же анализатор повернут на
90 градусов вокруг горизонтальной оси, от плоскости, в которых они пропускают
колебания, станут взаимно перпендикулярными и свет через анализатор не пройдет.
Такое скрещенное положение поляризатора и анализатора называют установкой их на
темноту.
Все вещества по отношению к поляризованному свету делятся на оптически
активные и оптически неактивные. Оптически активные вещества способны изменять
плоскость поляризации света. Оптическая активность обусловлена либо асимметрией
структуры кристаллических решёток веществ, либо асимметрией молекул. Оптически
активные вещества встречаются в двух модификациях: правовращающие и
левовращающие. Объяснение явления вращения плоскости поляризации было дано
Френелем. Он предположил, что вращение плоскости поляризации связано с особым
типом лучепреломления. При взаимодействии света с молекулами активных веществ
возникают два вида круг поляризованных волн с одинаковым периодом и частотой,
но разными скоростями распространения в веществе. Это волны, поляризованные по
правому и левому кругам.
Правовращающие вращают плоскость поляризации света вправо (по часовой
стрелке) левовращающие вращают плоскость поляризации влево (против часовой
стрелки). Примером твердого оптически активного вещества является кварц (SiO2). Атомы кремния и кислорода,
входящие в состав кварца, расположены по винтовой линии-правой (правовращающий
кварц) или левой (левовращающий кварц).
.2
Характеристика анализируемых веществ и используемых реактивов
.2.1
Химический состав. Химические и физические свойства
Характеристика сахара.
Сахар - это вещество белого цвета, иногда с голубоватым оттенком,
мелкокристаллический, сладкий на вкус, хорошо растворим в воде.
Образует прозрачные сиропы, очень гигроскопичен.
Формула сахарозы С12Н22О11.
Сахар - важный ингредиент различных блюд, напитков, хлебобулочных и
кондитерских изделий. Его добавляют в чай, кофе, какао; он главный компонент
конфет, глазурей, кремов и мороженого и других кондитерских изделий. Сахар
используют при консервировании мяса, выделке кож и в табачной промышленности.
Он служит консервантом в вареньях, желе и других продуктах из плодов.
В химической промышленности из сахара получают тысячи производных,
используемых в самых разных областях, включая производство пластмасс,
фармацевтических препаратов, шипучих напитков и замороженных пищевых продуктов.
Сахароза
- чистый углевод, хорошо усвояем, очень калориен, обладает энергетической
ценностью. Сахароза же быстро расщепляется в пищеварительном тракте на глюкозу
<https://ru.wikipedia.org/wiki/Глюкоза> и фруктозу
<https://ru.wikipedia.org/wiki/Фруктоза>, которые затем поступают в
кровоток <https://ru.wikipedia.org/wiki/Кровоток>.
Глюкоза
<https://ru.wikipedia.org/wiki/Глюкоза> обеспечивает более половины
энергетических затрат организма. Нормальная концентрация глюкозы в крови
поддерживается на уровне 80-120 миллиграммов сахара в 100 миллилитрах
(0,08~0,12 %). Глюкоза обладает способностью поддерживать барьерную функцию
печени против токсических веществ благодаря участию в образовании в печени так
называемых парных серных и глюкуроновых кислот. Вот почему прием сахара внутрь
или введение глюкозы в вену рекомендуется при некоторых заболеваниях печени,
отравлениях.
Характеристика
сока «Фруктовый сад яблочный»
Нектар
Фруктовый сад Яблочный
Осветленный
для детского питания.
Состав:
яблочный сок, сахар, регулятор кислотности - лимонная кислота, вода.
Изготовлен
из концентрированного сока.
Объемная
доля сока не менее 50%.
Не
содержит консервантов, красителей и других искусственных добавок.
Рекомендуется
детям с 3-х лет.
Открытый
пакет хранить в холодильнике не более суток.
Пищевая
ценность: углеводы 11г.
Энергетическая
ценность: 44 ккал.
Хранить
при Т от 0 до +25'С и относительной влажности воздуха не более 75%.
Срок
хранения 12 месяцев.
1.2.2
Токсикологическое воздействие
Сахар:
. Добавленный сахар не содержит существенных питательных веществ и вреден
для зубов.
Он может негативно влиять на обмен веществ и стать причиной различных
заболеваний. В добавленных сахарах (таких как сахароза и высокофруктозный
кукурузный сироп) содержится огромное количество калорий, но отсутствуют
питательные вещества. Из-за этого их называют «пустыми» калориями. В составе
сахара нет белков, незаменимых жиров, витаминов или минералов лишь чистая
энергия. Когда люди получают около 10-20 (или более) процентов калорий в виде
сахара, это может перерасти в серьёзную проблему и привести к недостаточности
питательных веществ. Также сахар крайне вреден для зубов, потому как он
обеспечивает легкоперевариваемую энергию для микробов полости рта.
. Добавленный сахар содержит большое количество фруктозы, которая может
вызвать перегрузку печени.
Чтобы понять, чем же так плох сахар, необходимо узнать из чего он
состоит. Перед тем, как сахар попадает в кровоток из пищеварительного тракта,
он расщепляется на простые сахара: глюкозу и фруктозу.
Глюкозу можно обнаружить в любой живой клетке на Земле. Если мы не
получаем глюкозу из пищи, она вырабатывается нашим организмом. С фруктозой же
всё по-другому. Наш организм не производит её в значительных количествах и мы не
испытываем физиологической потребности во фруктозе. Отличие фруктозы в том, что
в значительных количествах она может быть метаболизирована только печенью. Это
не проблема если мы употребляем немного фруктозы (например через фрукты) или же
мы только что закончили упражняться. В этом случае фруктоза превращается в
гликоген и накапливается в печени до тех пор, пока она нам не понадобится.
Однако если печень переполнена гликогеном (что бывает гораздо чаще),
употребление большого количества фруктозы перегружает её, заставляя превращать
фруктозу в жир. При частом употреблении большого количества сахара этот процесс
может привести к развитию жировой болезни печени, а также к различным серьёзным
проблемам со здоровьем.
Однако стоит учесть, что всё это не имеет отношения к фруктам. Употребляя
фрукты почти невозможно получить чрезмерное количество фруктозы.
Также в данном случае большую роль играют индивидуальные различия.
Активные и здоровые люди способны справится с бо́льшим количеством сахара по сравнению
с теми, кто ведёт пассивный образ жизни и питается в соответствии с западной,
высококарбонатной и калорийной диетой.
Вывод: У пассивных людей с западным рационом большие количества фруктозы
из добавленных сахаров превращаются в жиры, откладываемые в печени.
. Перегрузка печени фруктозой может стать причиной неалкогольной жировой
дистрофии печени.
Когда фруктоза в печени превращается в жир, он выходит в качестве ЛПОНП
(липопротеиды очень низкой плотности; прим. mixednews) частиц холестерина.
Однако не весь жир выводится из печени, и некоторое его количество может
остаться там. Это может стать причиной развития неалкогольной жировой дистрофии
печени - распространяющейся в странах Запада проблемы, тесно связанной с
расстройствами обмена веществ.
Исследования показывают, что люди, страдающие жировой болезнью печени,
употребляют примерно в два-три раза больше фруктозы, по сравнению со
среднестатистическим человеком.
Вывод: Излишек фруктозы превращается в жир, который может откладываться в
печени и тем самым провоцировать развитие неалкогольной жировой дистрофии
печени.
. Сахар может вызвать инсулиновую резистентность, которая является первым
шагом к метаболическому синдрому и диабету.
Инсулин
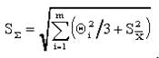
- очень важный для организма гормон <#"871673.files/image004.gif">), за оценку истинного значения измеряемой величины (4.20).
. Проводят оценку рассеяния единичных результатов измерений путем
измерений S (4.22, 4.23). Оценку случайной
погрешности среднего арифметического значения результата измерений проводят
путем вычисления среднего арифметического
(4.21).
. Проверяют гипотезу о нормальности распределения результатов
наблюдения. При числе результатов n>50 для оценки закона распределения используют критерий Пирсона (λ2) или Мизеса-Смирнова (ω2), при 15<n<50- составной d-критерий (ГОСТ 8.207-76). При n<15 нормальность распределения не
проверяется.
. Определяют наличие грубых погрешностей и промахов и, если они
обнаружены, соответствующие результаты отбраковывают и вычисления повторяют.
. Определяют доверительные границы случайной погрешности ε при доверительной вероятности P=0,95, а также при P=0,99, если измерения в дальнейшем
повторить нельзя,
(4.25)
где tр - коэффициент распределения
Стьюдента при заданной доверительной вероятности P и числе наблюдений n, определяемый по таблице 1.
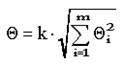
. Определяют границы Θ неисключенной систематической
погрешности результата измерений. В качестве составляющих неисключенной
систематической погрешности рассматриваются погрешности метода и средств измерений
и погрешности, вызванные другими причинами. При суммировании составляющих
неисключенные систематические погрешности рассматриваются как случайные
величины.
Если известно, что погрешности результата измерений определяются рядом
составляющих неисключенных систематических погрешностей, каждая их которых
имеет свои доверительные границы, то при неизвестных законах распределения
границы неисключенной суммарной систематической составляющей погрешности
результата находят по формуле:
Таблица 1 - Коэффициент распределения Стьюдента (tр)
|
n
|
При доверительной
вероятности Р
|
n
|
При доверительной
вероятности Р
|
|
0,90
|
0,95
|
0,98
|
0,99
|
0,999
|
|
0,90
|
0,95
|
0,98
|
0,99
|
0,999
|
|
2
|
6,31
|
12,71
|
31,82
|
63,68
|
636,62
|
12
|
1,80
|
2,20
|
2,72
|
3,11
|
4,44
|
|
3
|
2,92
|
4,30
|
6,97
|
9,93
|
31,60
|
13
|
1,78
|
2,18
|
2,68
|
3,06
|
4,32
|
|
4
|
2,35
|
3,18
|
4,54
|
5,84
|
12,92
|
14
|
1,77
|
2,16
|
2,65
|
3,01
|
4,22
|
|
5
|
2,13
|
2,78
|
3,75
|
4,60
|
8,61
|
15
|
1,76
|
2,15
|
2,62
|
2,98
|
4,14
|
|
6
|
2,02
|
2,57
|
3,37
|
4,06
|
6,87
|
16
|
1,75
|
2,13
|
2,60
|
2,95
|
4,07
|
|
7
|
1,94
|
2,45
|
3,14
|
3,71
|
5,96
|
17
|
1,75
|
2,12
|
2,58
|
2,92
|
4,02
|
|
8
|
1,90
|
2,37
|
3,00
|
3,50
|
5,41
|
18
|
1,74
|
2,11
|
2,57
|
2,90
|
3,97
|
|
9
|
1,86
|
2,31
|
2,90
|
3,36
|
5,04
|
19
|
1,73
|
2,10
|
2,55
|
2,88
|
3,92
|
|
10
|
1,83
|
2,26
|
2,82
|
3,25
|
4,78
|
20
|
1,73
|
2,09
|
2,54
|
2,86
|
3,88
|
|
11
|
1,81
|
2,23
|
2,76
|
3,17
|
4,59
|
∞
|
1,65
|
1,96
|
2,33
|
2,58
|
3,29
|
,(4.26)
где: Θi - границы отдельных составляющих общим числом m;
m -
число неисключенных систематических составляющих погрешностей результата
измерений;
k -
коэффициент, принимаемый равным 1,1 при доверительной вероятности P=0,95 и 1,4 при P=0,99.
8. Определяют доверительные границы погрешности результата измерения
Δ.
Если выполняется условие
<0,8, то систематической
погрешностью можно пренебречь и определить доверительные границы погрешности
результата как доверительные границы случайной погрешности по формуле:
,(4.27)
при P=0,95 (P=0,99).
Если же
>8, то можно пренебречь случайной погрешностью и тогда Δ=Θ
при P=0,95 (P=0,99). Если 0,8<
<8 при определении границ
погрешности Δ следует учитывать и случайную и систематическую составляющие.
В этом случае вычисляют среднеквадратическое отклонение результата как сумму
неисключенной систематической погрешности и случайной составляющей:
.(4.28)
Границы погрешности результата измерения в этом случае вычисляют по
формуле:
.(4.29)
Коэффициент К вычисляют по эмпирической формуле:
.(4.30)
9. Окончательный результат измерения записывается в виде
,(4.31)
при
доверительной вероятности P, а при отсутствии сведений о виде функции
распределения составляющих погрешности, результаты измерений представляют в
виде
, n и Θ при
определенной доверительной вероятности.
Аттестация МВИ -
исследование и подтверждение соответствия МВИ установленным к ней
метрологическим требованиям.
Основная
цель аттестации МВИ - подтверждение возможности выполнения измерений в
соответствии с процедурой, регламентированной в документе на МВИ, с оценкой
реальных характеристик погрешности (неопределенностью) измерений.
Аттестация
МВИ осуществляется путем метрологической экспертизы документации, теоретических
или экспериментальных исследований МВИ.
Часто
для аттестации МВИ (например, в химии и нефтехимии) проводят межлабораторные
испытания. Поскольку МВИ на одни и те же показатели продукта используются в
разных лабораториях как производителей, так и потребителей этого продукта, то
при метрологической аттестации необходимо воссоздать модель такого множества. С
этой целью межлабораторные испытания проводят в определенном количестве
выбранных лабораторий (от 5 до 15) на некотором наборе проб, охватывающем весь
диапазон значений измеряемого параметра, на который рассчитан метод.
Организация
работ по межлабораторным испытаниям, как правило, включает следующие этапы:
- разработка программы и методики проведения испытаний;
- подготовка набора проб образцов, подвергаемых межлабораторным
испытаниям и рассылка их в закодированном виде лабораториям - участникам
испытаний;
- издание документа (приказа) о проведении метрологических испытаний;
- рассылка программы и методики испытаний;
получение и сбор экспериментальных данных;
- математическая обработка результатов испытаний и получение численных
оценок показателей точности аттестуемого метода;
- составление акта и отчета по результатам метрологической
аттестации.
Аттестацию МВИ осуществляют метрологические службы или организации,
которые аккредитованы на право выполнения аттестации МВИ в соответствии с
правилами ПР 50.2.013-97 «Государственная система обеспечения единства
измерений. Порядок аккредитации метрологических служб юридических лиц на право
аттестации методик выполнения измерений и проведения метрологической
экспертизы». Результатом аттестации является выдача «Свидетельства об
аттестации» с установленными метрологическими характеристиками МВИ.
Аттестованные МВИ, применяемые в сфере государственного регулирования
обеспечения единства измерений, подлежат государственному метрологическому
надзору в соответствии с ПР 50.2.002-94 «Государственная система обеспечения
единства измерений. Порядок осуществления государственного метрологического
надзора за выпуском, состоянием и применением средств измерений, аттестованными
методиками выполнения измерений, эталонами и соблюдением метрологических правил
и норм». Реестр аттестован методик выполнения измерений ведет ВНИИМС. Аттестованные
методики могут входить отдельным разделом в разрабатываемые национальные
стандарты и технические регламенты или могут быть оформлены как самостоятельный
отдельный стандарт.
.
Экспериментальная часть
.1
Методика работы
Зависимость между углом вращения плоскости поляризации
плоскополяризованного света и концентрацией оптически активного вещества в
растворе можно изобразить в координатах «концентрация угла вращения»
графически. Полученный график используют для определения концентрации исходного
вещества в исследуемом растворе
Реактивы и оборудование:
. Сахар
. Сок «Фруктовый сад» яблочный
. Дистиллированная вода
. Мерные колбы на 50 см3. и 100 см3.
. Пипетка на 25 см3
. Воронка
. Сахариметр
Навески 1.25; 2.50; 3.75; 5.00г. сахара помещают в мерные колбы
вместимостью 50 мл и растворяют в дистиллированной воде. Доводят до метки и
перемешивают. Проверяют нулевую точку сахариметра. Затем промывают
поляриметрическую трубку сначала дистиллированной водой потом самым
концентрированным раствором и заполняют ее раствором так, чтобы в ней не
оставались пузырьки воздуха. Вставляю трубку в сахариметр и добиваюсь равенства
освещенности оптических полей. Делают отсчет по шкале окуляр. После 5 измерений
стандартных растворов находят среднее значение. По полученным данным строят
градуировочный график
.
Пипеткой на
25см3 исследуемого сока помещают в колбу 100см3 и доводят до метки
дистиллированной водой. Замеряют показания угла поворота. По графику определяют
концентрацию сахара в соке.
.2
Принципиальная схема прибора, порядок работы
Сахари́метр - поляризационный прибор для определения содержания
сахара (реже других оптически активных веществ) в растворах путём измерения
угла вращения плоскости поляризации (ВПП) света, пропорционального концентрации
раствора.
В сахариметрах осуществляется поворот плоскости поляризации, равный и
противоположный по знаку произошедшему в растворе. Роль компенсатора в
сахариметрах играет линейно смещающийся кварцевый клин. Так как зависимости
оптической активности кварца и сахара от длины волны света практически
одинаковы, использование кварцевого компенсатора позволяет освещать раствор
белым светом.
Отсчёт угла вращения ведётся по линейной шкале, проградуированной в
процентах содержания активного вещества в растворе. Как и в поляриметрах, в
сахариметрах при компенсации происходит уравнивание яркостей двух половин поля
зрения. Условия измерения содержания сахара с помощью сахариметра
стандартизированы так, что освещающий белый свет предварительно пропускают
через фильтр - слой 6%-ного раствора дихромата калия толщиной 1,5 см.

Рисунок 4
Зависимость угла поворота плоскости колебаний поляризованного света от
концентрации оптически активных растворов дает возможность быстро и надежно
определять их концентрацию. Метод определения заключается в следующем. Между
скрещенными поляризатором и анализатором (установленными на темноту) помещают
трубку с раствором вещества. В результате поворота плоскости поляризации поле зрения
просветляется. Для определения угла поворота надо повернуть анализатор до
получения первоначального состояния поля зрения. Если известны постоянная
вращения αo и угол поворота ϕo, то концентрацию легко рассчитать по
формуле. В своей работы использовала сахариметр СУ-3, внешний вид которого
представлен на рис.4. В состав сахариметра входят: измерительный узел,
осветительный узел. Эти узлы соединены между собой траверсой, на которой
укреплена камера для поляриметрических кювет (трубок). С лицевой стороны измерительной
головки прибора имеются зрительная труба и лупа в оправе для отсчета показаний
по шкале. В нижней части измерительной головки расположена рукоятка
кремальерной передачи для компенсации поворота плоскости поляризация. На
передней части основания находится тумблер для включения осветительной лампы. С
тыльной стороны основания имеются вилка разъема для подключения электролампы к
трансформатору и вилка со шнуром для подключения трансформатора в сеть. Свет от
источника, пройдя через фильтр или матовое стекло и конденсор попадает на
полутеневую поляризационную призму поляризатор. Затем, пройдя через рабочую
камеру, систему кварцевых клиньев и анализатор, попадает в поле зрения
зрительной трубы. Отсчетная шкала и нониус рассматривается через лупу и освещаются
этим же источником через оборотную призму и светофильтр. В сахариметре угол
поворот плоскости поляризации определяется по выравниванию освещенности двух
частей поля зрения в зрительной трубе.
2.3
Калибровка посуды
Химик-аналитик должен быть совершенно уверен в точности всех
измерительных приборов, которыми он пользуется В производственных лабораториях
средства или клейма, для каждого измерительного прибора, в том числе и для
измерительных сосудов, обязательно. Перед использованием мерной посуды необходимо
произвести ее объем. Такую проверку называют калиброванием. Объем измерительных
сосудов проверяют по массе вмещаемой до метки (или выливаемой из них)
дистиллированной воды при температуре весовой комнаты. Вода принимает
температуру комнаты через 40-60 минут.
Реактивы и оборудование:
. Весы технохимические
. Пипетка 25 см3
. Мерная колба 100см3
. Мерная колба 50 см3
Чисто вымытую пипетку наполняют дистиллированной водой до метки. Выливают
воду во взвешенный на технохимических весах стакан, особенно точно выполняя
правила обращения с пипеткой.
Взвешивают стакан с водой на технохимических весах с точностью до 2-го
знака. Полученное значение массы воды делят на ее плотность при данной
температуре и вычисляют объем пипетки (см3)
Проверка объема мерной колбы
Чисто вымытую мерную колбу наполняют водой до метки. Выливают воду во
взвешенный на весах стакан. Взвешивают стакан с водой с точностью до 2-го
знака. Полученное значение массы воды делят на ее плотность при данной
температуре и вычисляют объем.
Пипетка Колба
= 25
= 24,132
∆ =
= 0,03472
∆ = = 0,0178
Колба
= 100
= 98,275
∆ = = 0,01725
Весы- 0.02
Прибор(сахариметр)- 0.0011 х=
.25-100%
.02-х
Q(p)=1.1
.4
Приготовление реактивов и выполнение работы
В мерных колбах на 50 приготовлены растворы с навесками сахара 1.25;
2.50; 3.75; 5.00г. В мерной колбе на 100 см3 взят раствор исследуемого сока
25см3 и доведен до метки. Замерены показания угла поворота. По графику
определена концентрация сахара в соке.
Данные замеров приведены в таблицах 1,23(растворы сахара таблица 1,2,3,
раствор сока таблица 4).Данные замеров, обработанные методом математической
статистики даны в таблицах (приложение)
Таблица 1.
Угол плоскости поляризации стандартных растворов.
|
Концентрация
|
Угол вращения плоскости
поляризации, °
|
|
|
|
|
|
|
|
|
|
1. 2,5 2. 5,0 3.
7,5 4. 10,0 К.р 8,0 К.р 3.0
|
19,18 26,27 30,27
37,27 33,45 16,27
|
19,18 26,18 30,18
37,27 33,18 16,18
|
19,27 26,36 30,36 37,36
33,27 16,27
|
19,36 26,27 30,36 37,27
33,18 16,45
|
19,36 26,36 30,18 37,36
33,36 16,27
|
19,27 26,28 30,27 37,30
33,28 16,28
|
Таблица 2. Угол плоскости поляризации стандартных растворов
|
Концентрация
|
Угол вращения плоскости
поляризации, °
|
|
|
|
|
|
|
|
|
|
1. 2,5 2. 5,0 3.
7,5 4. 10,0 К.р 8,0 К.р 3.0
|
19,18 26,36 29,27
37,63 31,18 13,18
|
19,27 26,45 29,18
37,18 31,27 13,18
|
19,18 26,18 29,36 37,18
31,18 13,54
|
19,36 26,27 29,27 37,27
31,36 13,45
|
19,27 26,27 29,36 37,18
31,36 13,54
|
19,25 26,30 29,28 37,28
31,27 16,37
|
Таблица 3
|
Концентрация
|
Угол вращения
плоскости поляризации, °
|
|
|
|
|
|
|
|
|
2,5 5,0 7,5
10,0 К.р 8,0 К.р 3.0
|
17,18 26,18
30,27 37,18 33,45 16,18
|
17,27 26,27
30,27 37,27 33,18 16,27
|
17,36
26,18 30,18 37,27 33,36 16,45
|
17,18 26,36
30,36 37,18 33,27 16,18
|
37,27
26,27 30,36 37,36 33,27 16,36
|
17,25
26,25 33,28 37,25 33,30 16,28
|
Таблица 4
раствора сока
|
Концентрация
|
Угол вращения плоскости
поляризации, °
|
|
|
|
|
|
|
|
|
|
1. 25 см3
|
33,18
|
33,27
|
33,18
|
33,27
|
33,23
|
Вывод о
работе
Аттестовала методику, определения содержания сахара в растворе сока
поляриметрическим методом.
Изучила литературу, необходимую для выполнения эксперимента
Прокалибровала посуду: пипетку на 25 см3, колбу на 50 см3 и на 100см3.
Приготовила реактивы необходимые для эксперимента: раствор сахара и
раствор сока.
Построила градуировочный график зависимости угла поворота плоскости
поляризации от концентрации сахара в растворе.
Определила содержание сахара в соке «Фруктовый сад» яблочный
Обработала результаты методом математической статистики.
Построила градуировочный график
Список
литературы
1. https://ru.wikipedia.org/wiki/Сахариметр
. http://yandex.ru/images/search
. http://www.utkonos.ru/item/66/1341441
. https://ru.wikipedia.org/
. http://mixednews.ru/archives/42946
. «Основы стандартизации, метрологии, сертификации»
2004 г. О.П. Яблонский, В.А. Иванова
. «Основы физико-химических методов анализа»1983 г.
В.Ф. Барковский, Т.Б. Городенцева, Н.Б. Топорова
. «Аналитическая химия. Книга 2» 2002 г. В.П. Васильев
Приложения
|
N
|
Xi
|
Y1
|
Y2
|
Y3
|
Yi
|
Xi²
|
Xi Yi
|
Yi²
|
Yiр
|
|Yi-Yip|
|
|Yi-Yip|²
|
|
1
|
2,5
|
19,27
|
19,25
|
17,25
|
18,59
|
6,25
|
46,475
|
345,5881
|
19,056
|
0,466
|
0,217156
|
|
2
|
5
|
26,28
|
26,3
|
26,25
|
26,27667
|
25
|
131,383333
|
690,463211
|
25,038667
|
1,238
|
1,532644
|
|
3
|
7,5
|
30,27
|
29,28
|
30,28
|
29,94333
|
56,25
|
224,575
|
896,603211
|
31,021333
|
1,078
|
1,162084
|
|
4
|
10
|
37,3
|
37,38
|
37,25
|
37,31
|
100
|
373,1
|
1392,0361
|
37,004
|
0,306
|
0,093636
|
|
∑
|
25
|
|
|
|
112,12
|
187,5
|
775,533333
|
3324,69062
|
|
|
3,00552
|
А=13.073
В=2.393
Yан=32.61
Хан=8.164
Хобщ=6.25
Уобщ=28.03
S0=1.225871
Sхан=0.418754
tст=2.2
Е=0.471629
|
N
|
Xi
|
Y1
|
Y2
|
Y3
|
Yi
|
Xi²
|
Xi Yi
|
Yi²
|
Yiр
|
|Yi-Yip|
|
|Yi-Yip|²
|
|
1
|
2,5
|
19,27
|
19,25
|
17,25
|
18,59
|
6,25
|
46,475
|
345,5881
|
19,056
|
0,466
|
0,217156
|
|
2
|
5
|
26,28
|
26,3
|
26,25
|
26,27667
|
25
|
131,383333
|
690,463211
|
25,038667
|
1,238
|
1,532644
|
|
3
|
7,5
|
30,27
|
29,28
|
30,28
|
29,94333
|
56,25
|
224,575
|
896,603211
|
31,021333
|
1,078
|
1,162084
|
|
4
|
10
|
37,3
|
37,38
|
37,25
|
37,31
|
100
|
373,1
|
1392,0361
|
37,004
|
0,306
|
0,093636
|
|
∑
|
25
|
|
|
|
112,12
|
187,5
|
775,533333
|
3324,69062
|
|
|
3,00552
|
А=13.073
В=2.393
Yан=16.31
Хан=1.353
Хобщ=6.25
Уобщ=28.03
S0=1.225871хан=0.595382
tст=2.2
Е=0.65492
|
N
|
Xi
|
Y1
|
Y2
|
Y3
|
Yi
|
Xi²
|
Xi Yi
|
Yi²
|
Yiр
|
|Yi-Yip|
|
|Yi-Yip|²
|
|
1
|
2,5
|
19,27
|
19,25
|
17,25
|
18,59
|
6,25
|
46,475
|
345,5881
|
19,056
|
0,466
|
0,217156
|
|
2
|
5
|
26,28
|
26,3
|
26,25
|
26,27667
|
25
|
131,383333
|
690,463211
|
25,038667
|
1,238
|
1,532644
|
|
3
|
7,5
|
30,27
|
29,28
|
30,28
|
29,94333
|
56,25
|
224,575
|
896,603211
|
31,021333
|
1,078
|
1,162084
|
|
4
|
10
|
37,3
|
37,38
|
37,25
|
37,31
|
100
|
373,1
|
1392,0361
|
37,004
|
0,306
|
0,093636
|
|
∑
|
25
|
|
|
|
112,12
|
187,5
|
775,533333
|
3324,69062
|
|
|
3,00552
|
А=13.073
В=2.393
Yан=33.23
Хан=8.423
Хобщ=6.25
Уобщ=28.03
S0=1.225871
Sхан=0.439
tст=2.2
Е=0.4829