Показатели материального баланса потерь воды в градирне
АННОТАЦИЯ
градирня экономический тепловой
В данном проекте рассмотрен вопрос реконструкции
и модернизации градирен водооборотного цикла 1-ой очереди Турбинного цеха ООО
«ЛУКОЙЛ-Волгоградэнерго» Волжской ТЭЦ. В теоретической части проекта дана
классификация и область применения градирен, рассмотрены принципы охлаждения
градирен и их технологические элементы. В проекте произведен тепловой и
аэродинамический расчеты существующей градирни. А также тепловой и
аэродинамический расчет градирни при ее реконструкции. Подсчитаны потери воды
при ее работе. Рассмотрены вопросы охраны окружающей среды и техники
безопасности при эксплуатации градирни. Произведена оценка экономической
эффективности реконструкции градирни.
Проект состоит из листов, содержит таблиц,
листов графической работы формата А1.
ВВЕДЕНИЕ
Среди наиболее водоемких
отраслей теплоэнергетическая промышленность занимает первое место. Основным
направлением рационального использования водных ресурсов и защиты водоемов от
загрязнений является сокращение объема потребления свежей воды из источников,
широкое внедрение оборотного водоснабжения, создание замкнутых бессточных
систем с полным извлечением и утилизацией продуктов, улавливаемых в процессе
очистки воды.
Потребление свежей воды в
промышленности в значительной мере может быть уменьшено за счет перехода
производств на безотходные, безводные или маловодные технологии. Однако многие
производственные процессы не всегда в полной мере позволяют использовать такие
технологии. Тогда на первый план в реализации задачи экономии воды в
промышленности вступают охлаждающие системы оборотного водоснабжения с
градирнями различных типов и конструкций.
Аппараты для охлаждения воды при ее
непосредственном контакте с воздухом (градирни), в настоящее время широко
используются во всех отраслях промышленности, где есть потребность в охлаждении
оборотной воды. Масштабы использования градирен колоссальны.
При применении в производстве
оборотного водоснабжения качество выпускаемой продукции зависит от качества и
температуры оборотной воды. В практике производственного водоснабжения
подготовка оборотных вод осуществляется на отдельных сооружениях
водоподготовки.
Настоящий проект проводился с
целью реконструкции и модернизации градирен водооборотного цикла 1-ой очереди
Турбинного цеха ООО «ЛУКОЙЛ-Волгоградэнерго» Волжской ТЭЦ и достижения
требуемого качества и температуры охлажденной воды.
При разработке дипломного
проекта предусматривается решение задачи повышение эффективности работы
башенных брызгальных градирен путем их реконструкции с применением более
совершенного оборудования.
1.
КЛАССИФИКАЦИЯ И ОБЛАСТЬ ПРИМЕНЕНИЯ ГРАДИРЕН
При охлаждении воды в
градирнях, чем больше поверхность контакта воды с воздухом, тем более
благоприятны условия теплопередачи. Контакт воды с воздухом и увеличение
поверхности этого контакта достигаются различными способами.
Градирни можно классифицировать
в основном по способу подвода воздуха к воде и по типу оросительного
устройства. По способу подвода воздуха градирни разделяются на три следующие
основные группы:
первая - вентиляторные
градирни, через которые воздух прокачивается нагнетательными или отсасывающими
вентиляторами;
вторая - башенные градирни, в
которых создается тяга воздуха высокой вытяжной башней.
третья - открытые или
атмосферные градирни, в которых для протока воздуха через них используются сила
ветра и отчасти естественная конвекция.
В зависимости от конструкции
оросительного устройства и способа, которым достигается увеличение поверхности
соприкосновения воды с воздухом, градирни подразделяются на пленочные,
капельные и брызгальные.
Каждый из указанных типов
градирен может иметь весьма разнообразные виды и конструкции отдельных
элементов оросителей, отличаться размерами их и расстояниями между ними и быть
выполнен из различных материалов.
Вентиляторные градирни
выполняются секционными или отдельно стоящими - одновентиляторными, в плане
имеют форму прямоугольника, квадрата, многоугольника или круга. Вентиляторные
градирни допускают более высокие тепловые нагрузки и обеспечивают более глубокое
охлаждение воды за счет повышенного относительного (к расходу воды) расхода
воздуха, проходящего через градирню.
На вентиляторные градирни
допускается удельная тепловая нагрузка 90-120 тыс. Вт/м2 [80-100
тыс. ккал/(ч
м2)] и
выше, в то время как, например, башенные градирни при прочих равных условиях
эти нагрузки не превышают 90
тыс. Вт/м2 [80 тыс.
ккал/(ч
м2)].
Для атмосферных градирен максимальная тепловая нагрузка составляет 35-60 тыс.
Вт/м2 [30
50 тыс. ккал/(ч
м2)].
Зависимость охладительного эффекта атмосферных градирен от силы и направления
ветра ограничивает область их применения.
С помощью вентиляторных
градирен температуру охлажденной воды получают на 4-60 (в отдельных
случаях на 2-30) выше температуры воздуха по смоченному термометру,
с помощью башенных градирен - на 8-100. С помощью «сухих»
(радиаторных) градирен температуру охлажденной воды можно получить только выше
температуры воздуха по сухому термометру.
Замена водяного охлаждения
воздушным экономичнее лишь в случае охлаждения продукта с высокой начальной
температуры до температуры, примерно на 20° превышающей температуру по сухому
термометру. Величина перепада температур воды на градирнях назначается в
зависимости от температуры поступающей на градирни воды, которая, в свою
очередь, определяется технологическим оборудованием, использующим воду как
хладагент. На вентиляторных градирнях возможно достижение перепада температур
воды до 25°С и более (в зависимости от начальной температуры воды). В практике
использования башенных градирен (например, на тепловых электростанциях)
максимальный перепад температур воды составляет 8-10°.
Вентиляторные градирни
обеспечивают более устойчивое заданное охлаждение воды и более маневренное, чем
башенные, регулирование ее температуры. Работа вентиляторных градирен более
легко поддается автоматизации для поддержания температуры охлажденной воды на
заданном уровне. Вентиляторные градирни требуют меньшей площади застройки в
сравнении с другими охладителями воды при достижении одинакового эффекта
охлаждения. В сравнении с башенными градирнями они работают при более низких
напорах воды.
Сооружение вентиляторных
градирен дешевле на 50-80%, чем башенных, и на 30-50%, чем брызгальных
бассейнов. Экономия древесины, при строительстве деревянных вентиляторных
градирен вместо башенных
достигает 60-70%. Однако для
привода вентиляторов требуется значительный расход электроэнергии, а сами
вентиляторы и их приводы нуждаются в постоянном уходе и ремонте и,
следовательно, вентиляторные градирни требуют дополнительных эксплуатационных
расходов по сравнению с башенными. Кроме того, в отдельных случаях
вентиляторные градирни, особенно с нагнетательными вентиляторами, вызывают
рециркуляцию теплого влажного воздуха. Во всех случаях необходимо производить
выбор того или иного типа градирни на основе технико-экономического анализа с
учетом расчетных расходов и температур воды, метеорологичеких параметров
атмосферного воздуха, условий размещения градирен на площадке предприятия,
инженерно-геологических и гидрогеологических условий площадки и др.
Секционные градирни
проектируются с площадью оросителя одной секции от 2 до 400 м2 и
отдельно стоящие одновентиляторные от 400 до 1200 мм2. При выборе
типа и числа градирен исходят обычно из следующих условий: оптимальное число
секций или градирен, в одном оборотном цикле, как правило, принимается от 4 до
8, максимальное- 12; наименьшее число секций 2. Опыт эксплуатации показал, что
соблюдение этих условий обеспечивает экономичную эксплуатацию градирен,
требуемую степень резервирования и регулирования температуры охлаждаемой воды
за счет отключения отдельных вентиляторов при одновременной экономии площади,
занятой градирнями.
Оросительное устройство
является одним из основных элементов градирни. Оно предназначено для увеличения
площади поверхности соприкосновения между водой и воздухом и, следовательно,
для ускорения процесса охлаждения.
Удельная гидравлическая
нагрузка для вентиляторных градирен ориентировочно может быть принята: при
пленочном оросителе 2,2
3,4 кг/(м2
с)
[8
12
м3/(м2
ч)], капельном
оросителе 1,7
2,2 кг/(м2
с)
[6
8
м3/(м2
ч)] и брызгальном
1,4
1,7
кг/(м2
с) [5
6
м3/(м2
ч)]. Скорость
воздуха в оросителе вентиляторных градирен принимается, как правило, не выше 4
5
м/с.
При выборе типа оросительного
устройства в каждом конкретном случае производится сопоставление охлаждающей
способности и стоимости градирни.
Величина потерь напора при
движении воздуха в оросителе также является неотъемлемым показателем его
работы, так как она определяет величину эксплуатационных затрат на градирню:
чем меньше сопротивление потоку воздуха, тем меньше требуемая мощность
вентилятора и ниже расход электроэнергии (или высота башни в башенных
градирнях). Следовательно, при выборе типов оросителей следует отдавать
предпочтение таким, какие будут обеспечивать более высокую охлаждающую
способность и низкие потери напора. При выборе и оценке оросительных устройств
необходимо учитывать и ряд других показателей, таких, как долговечность,
изнашиваемость материала оросителя, прочность и масса оросителя, легкость
установки, доступность ремонтов и осмотров. Важным фактором является также
наличие в охлаждаемой воде взвешенных веществ и агрессивных примесей. При
наличии в охлаждающей воде примесей, агрессивных по отношению к материалам
конструкций градирен, в отдельных случаях может оказаться экономически
целесообразным предусматривать обработку воды с целью исключения или уменьшения
степени агрессивности.
Оросительные устройства
вентиляторных градирен по своей функции могут быть аналогичными оросителям
башенных градирен.
В оросителе каждого из
указанных типов градирен вода движется вертикально сверху вниз под действием
силы тяжести. Воздух же, нагнетаемый или отсасываемый из оросителя
вентиляторами или в результате башенного эффекта, может двигаться либо снизу
вверх навстречу воде, либо в поперечном направлении по отношению к движению
воды. В первом случае градирни называются противоточными, во втором случае -
поперечноточными.
Противоточная схема движения
воды и воздуха более эффективна, чем поперечноточная. Это объясняется тем, что
значение средней разности теплосодержаний, являющейся «движущей силой» процесса
тепло-массообмена, при противотоке больше, чем при поперечном токе. За счет
этого размеры градирен, а следовательно, и их стоимость при прочих одинаковых
условиях при противотоке получаются меньшими, чем при поперечном токе.
Существует еще и комбинированное направление движения воздуха по отношению к
воде - поперечно-противоточное. По числу потоков воздуха в градирне они могут
быть двухпоточные и однопоточные.
Поперечноточные градирни в плане,
как правило, имеют прямоугольную или квадратную форму и выполняются в виде
секционных. Противоточные градирни могут иметь в плане любую из указанных форм,
а в том случае, когда они прямоугольные или квадратные, выполняются
преимущественно секционными.
Вход воздуха в секционные
градирни со всасывающими вентиляторами осуществляется только с двух
противоположных сторон, в отдельно стоящие - с четырех (по всему периметру в
плане). Это выгодно отличает отдельно стоящие градирни от секционных, так как
обеспечивает более равномерное распределение воздуха по оросителю и меньшие
потери давления воздуха при входе в градирню. Поэтому отдельно стоящие градирни
в сравнении с секционными при прочих равных условиях, обладают более высокой
охлаждающей способностью и лучшими экономическими показателями.
На возведение секционных градирен затрачивается
меньше строительных материалов, так как каждые две соседние секции имеют одну
общую стенку, и площадь застройки для секционных градирен меньше, чем для
отдельно стоящих. Благодаря прямоугольной форме секционных градирен
строительств их в отличие от многоугольных отдельно стоящих проще и может быть
осуществлено при меньшем числе типоразмеров элементов [5].
.
ПРИНЦИПЫ ОХЛАЖДЕНИЯ ВОДЫ В ГРАДИРНЯХ
При охлаждении воды в градирнях
часть тепла передается атмосферному воздуху за счет поверхностного испарения
воды (превращение части воды в пар
с переносом его посредством
диффузии и конвекции в воздух), другая часть - за счет разницы в температурах
между водой и воздухом, т. е. теплоотдачей соприкосновением (теплопроводность и
конвекция). Кроме того, некоторое количество тепла отводится от воды за счет
излучения. Однако тепло, передаваемое излучением, настолько мало в сравнении с
другими видами отдачи тепла, что им можно пренебречь при составлении теплового
баланса градирни.
Согласно кинетической теории
газов, механизм процесса испарения воды с поверхности соприкосновения ее с
воздухом может быть представлен следующим образом. Молекулы воды находятся в
беспорядочном тепловом движении, при этом скорости их колеблются в широких
пределах. Те молекулы, которые обладают наибольшей скоростью (точнее,
наибольшей кинетической энергией), вырываются в пространство, расположенное над
поверхностью воды (испарение). При этом могут оторваться от воды только
молекулы, расположенные вблизи ее поверхности, у которых составляющая скорости,
нормальная к этой поверхности, достаточно велика и способна преодолеть силы
молекулярного сцепления. Молекулы воды, оторвавшиеся от поверхности, при
столкновениях с молекулами воздуха изменяют величину и направление своего
движения. Некоторая часть вырвавшихся из воды молекул, сталкиваясь с молекулами
воздуха, может быть отброшена обратно к поверхности воды и затем вновь от нее
отразиться или поглотиться водой (конденсация). Часть же оторвавшихся от
поверхности воды молекул проникает в воздух в результате диффузии и конвекции и
уже безвозвратно теряется водой, образуя пары воды в воздухе. Эта потеря части
молекул воды и составляет сущность процесса испарения, сопровождающегося
переносом вещества (массы), или так называемым массообменом. Существует понятие
скорости испарения, которую определяют как убыль количества воды в единицу
времени. При равном парциальном давлении воды и пара скорость испарения
считается равной нулю, хотя процесс перехода молекул из жидкой фазы воды в
паровую не прекращается, но лишь полностью компенсируется обратным процессом
конденсации, т. е. процессом перехода молекул пара в жидкую фазу. Таким
образом, говоря о количестве испарившихся молекул, следует иметь в виду
разность между количеством молекул, оторвавшихся от поверхности воды, и
количеством молекул пара, сконденсировавшихся на этой поверхности в единицу
времени. В разреженном пространстве, когда вероятность столкновения
«испарившихся» молекул с молекулами воздуха меньше и, соответственно, меньшее
количество испарившихся молекул попадает обратно в воду, скорость будет
большей, чем при атмосферном давлении.
Температура воды определяется
кинетической энергией молекул, находящихся в тепловом движении, причем более
высокой температуре соответствует более высокая средняя кинетическая энергия
молекул. Средняя кинетическая энергия у покидающих воду молекул больше, чем у
остающихся; следовательно, температура остающейся воды в результате испарения
будет снижаться. Та часть энергии молекул, вырвавшихся из воды, которая
затрачивается на преодоление сил сцепления, а также энергия, затрачиваемая на
увеличение объема при испарении, определяет теплоту испарения.
Молекулы, оторвавшиеся от
поверхности воды, весьма медленно удаляются в толщу воздуха. Скорость их
диффузии измеряется десятыми и сотыми долями см/с. Эта скорость ничтожно мала
по сравнению с той, с какой эти же молекулы покидают поверхность воды. В
результате происходит весьма быстрое (почти мгновенное) накопление молекул пара
в слое воздуха, лежащем в непосредственной близости к испаряющей поверхности.
Парциальное давление в этом слое возрастает настолько, что скорость диффузии
молекул пара в толщу воздушного потока становится равной разности между максимальной
скоростью испарения и скоростью обратной конденсации, т. е. скорости испарения
воды.
Таким образом, можно сделать
вывод, что скорость испарения в воздухе определяется не скоростью процесса
парообразования, происходящего на поверхности раздела фаз, а скоростью диффузии
молекул пара в газовой фазе.
Количество молекул,
возвращающихся обратно в воду при испарении в воздухе при атмосферном давлении,
лишь ненамного меньше количества молекул, отрывающихся в то же самое время от
испаряющей поверхности. При огромном количестве молекул, отрывающихся от
поверхности, непосредственно над поверхностью воды будет слой почти насыщенного
пара. Это положение было впервые высказано еще Стефаном, который отмечал, что
разница между давлением насыщенного пара и парциальным давлением пара очень
мала.
Для расчета процессов испарительного
охлаждения в градирнях с достаточной степенью точности принимается (по
Стефану), что в слое воздуха, непосредственно расположенном у поверхности воды,
накапливается такое количество молекул пара, которое соответствует состоянию
насыщения, при этом температура пара равна средней температуре воды. Различием
в температурах на поверхности капель и пленок воды и в их толще можно
пренебречь, так как в градирне размеры капель и толщина пленок малы и
происходит интенсивное перемешивание воды. Следовательно, парциальное давление
паров воды в слое воздуха, непосредственно примыкающем к поверхности воды,
равно давлению насыщенного пара 
при средней температуре воды.
В общем случае основная масса
воздушного потока, двигающегося над поверхностью воды в градирнях, не насыщена
водяными парами. При значениях температур и давлений в условиях работы градирен
можно принять, что водяной пар подчиняется законам идеальных газов, и тогда
парциальное давление пара в основной массе воздушного потока 
при температуре θ
можно представить как произведение
относительной влажности воздуха на давление насыщенного водяного пара:

(2.1)
где 
относительная влажность воздуха в
долях единицы;

давление насыщенного пара при
температуре основной массы потока воздуха [5].
«Движущей силой» процесса испарения воды в
градирне является разность парциальных давлений пара у поверхности воды и в
ядре воздушного потока.

(2.2)
При теплоотдаче соприкосновением
такой движущей силой является разность температур воды и воздуха [9].
Положительное значение этой разности - необходимое условие, при котором
молекулы пара будут отводиться от поверхности воды в основную массу воздушного
потока и будет происходить испарение. В условиях работы градирен парциальное
давление пара 
всегда выше парциального давления
пара 
, и поэтому разность 
всегда положительная
независимо от того, больше или меньше температура воды температуры окружающего
воздуха. Следовательно, в градирне всегда происходит испарение воды. Но
поскольку испарение связано с затратой тепла на изменение агрегатного
состояния, оно вызывает поток тепла 
только от воды к воздуху, т. е.
охлаждение воды.
Поток тепла, возникающий в
результате теплоотдачи соприкосновением 
, может быть направлен как от
воды к воздуху, так и от воздуха к воде в зависимости от того, какая из этих
сред имеет более высокую температуру.
Когда температура воды больше
температуры воздуха (обычный случай для градирен), то теплоотдача за счет
испарения и соприкосновения (теплопроводность и конвекция) направлена в одну
сторону - от воды к воздуху. Количество тепла, отдаваемого водой, для этого
случая будет

.
Когда же температура воздуха больше
температуры воды, поток тепла 
направлен от воздуха к воде. Пока
количество тепла 
, теряемое водой благодаря ее
поверхностному испарению, больше притока тепла к воде 
, поток результирующего тепла
направлен в сторону от воды к воздуху, т.е. 
, и температура воды будет
понижаться. Это происходит до тех пор, пока направленный от воздуха к воде
поток тепла 
не становится равным потерям тепла
водой от испарения 
. Равенство 
достигается тогда, когда
температура воды 
становится равной температуре
атмосферного воздуха по влажному термометру 
. Равновесие это носит динамический
характер, так как ни испарение воды, ни подвод к ней тепла от воздуха при 
и 
не приостанавливаются. С
увеличением температуры воды общие теплопотери возрастают, причем теплоотдача
испарением увеличивается значительно быстрее, чем теплоотдача соприкосновением.
В результате этого в общих потерях тепла преобладает теплоотдача испарением.
При снижении температуры воды до температуры воздуха по сухому термометру
потери тепла соприкосновением становятся равными нулю, а при последующем
снижении температуры воды они становятся отрицательными, т. е. поток тепла 
направлен от воздуха к воде. Когда
температура воды, снижаясь, приближается к температуре воздуха по влажному
термометру, тогда потери тепла водой в результате испарения 
остаются положительными, в то же
время потери соприкосновением становятся все больше и больше по своей
абсолютной величине. При снижении температуры воды до температуры воздуха по
влажному термометру отрицательные теплопотери соприкосновением 
становятся равными положительным
потерям тепла при испарении 
. Следовательно, существует
равновесное состояние, но, как указывалось выше, оно носит динамический
характер. В этой точке, характеризующей равновесное состояние, результирующая
теплоотдача равна нулю и вода не снижает свою температуру.
Из изложенного выше следует, что
процессы, происходящие при испарительном охлаждении, более сложные, чем
теплообмен через твердую стенку. При испарительном охлаждении происходит
дополнительно поверхностное испарение воды, сопровождающееся массообменом. Вода
может быть охлаждена до температуры, более низкой, чем начальная температура
охлаждающего ее воздуха (по сухому термометру), что свойственно только
испарительному охлаждению. Температура охлаждающего воздуха может повышаться и
понижаться при понижении в то же время температуры воды [5].
3.
ТЕХНОЛОГИЧЕСКИЕ ЭЛЕМЕНТЫ ГРАДИРЕН
3.1 Оросители
Оросители являются основным
конструктивным элементом градирни, определяющим ее охлаждающую способность.
Конструкция оросителя должна обеспечивать получение достаточной площади
поверхности охлаждения при оптимальном аэродинамическом сопротивлении. В
зависимости от характера преобладающей поверхности охлаждения оросители могут
быть: пленочные, капельные (капельно-пленочные), комбинированные и брызгальные.
Каждый тип оросительного устройства может иметь весьма разнообразные
конструкции отдельных элементов и размеры, а также может выполняться из
различных материалов.
При выборе типа оросительного
устройства в каждом конкретном случае должно производиться сопоставление
охлаждающей способности и стоимости градирни. Значение потерь напора при
движении воздуха в оросителе также является неотъемлемым показателем его
работы, так как оно характеризует эксплуатационные затраты на градирню.
Необходимо учитывать и ряд других показателей - долговечность, изнашиваемость
материала, прочность и массу оросителя, легкость установки, доступность
ремонтов и осмотров, а также наличие в охлаждаемой воде взвешенных веществ и
агрессивных примесей.
Основным типом оросителей, обеспечивающих
наиболее высокий эффект охлаждения, является пленочный, но он чувствителен к
наличию в воде нефтепродуктов, взвешенных веществ и других примесей, вызывающих
зарастание зазоров между элементами. При пленочных оросителях концентрация
нефтепродуктов в воде не должна превышать 25 мг/л, а концентрация взвешенных
веществ - 50 мг/л. При наличии в оборотной воде жиров, смол и нефтепродуктов,
общая концентрация которых составляет 25-120 мг/л, применяют капельные или
капельно-пленочные оросители, выполненные из сетчатых элементов, а при
концентрации указанных веществ в отдельности, равной более 120 мг/л, -
брызгальные.
При наличии в охлаждающей воде
примесей, агрессивных по отношению к материалам конструкций градирен,
экономически целесообразно предусматривать обработку и очистку воды с целью
исключения или уменьшения степени агрессивности и загрязненности.
Оросительные устройства
вентиляторных и башенных градирен по своей конструкции аналогичны.
Вентиляторные градирни с пленочным оросителем выполняются, как правило,
противоточными. Наряду с пленкой в оросителях такого типа образуется
определенное количество капель и мелких брызг, свободная поверхность которых,
как и поверхность пленки, участвует в тепло- и массообмене между водой и
воздухом.
За последнее время стали
применяться чисто пленочные оросители ячеистой и листовой конструкций, в
которых количество капель сводится до минимума или полностью исключается. Щиты
и решетки пленочных оросителей могут изготавливаться из различных материалов:
дерева, асбестоцемента, пластмассы, металла, бумаги и картона, пропитанных
различными смолами, и др. Долгое время основными материалами для изготовления
оросительных устройств служили дерево и асбестоцемент [9].
.1.1 Пленочные оросители
Деревянные оросительные
устройства пленочного типа выполняются из прямоугольных брусков толщиной 8-13
мм и шириной до 100 мм. Из них изготавливаются щиты высотой 1,25-2,6 м и
шириной до 2,5 м за счет крепления досок широкой гранью к двум-трем
вертикальным рейкам с промежутками в 40-150 мм. Доски по высоте в соседних
щитах могут располагаться в одной плоскости или "вразбежку".
Применение отдельных щитов для монтажа пленочных оросителей не оправдало себя
на практике, поэтому они собираются, как правило, в жесткие блоки. Расстояния
между щитами блочного деревянного оросителя 20-80 мм. Блоки по высоте
устанавливаются в один или два яруса на горизонтальные опорные балки каркаса
оросителя или подвешиваются к ним на
стальных тягах. Щиты в блоках
двухъярусного оросителя могут устанавливаться во взаимноперпендикулярном
направлении.
При устройстве оросителя из
отдельных щитов они располагаются вертикально или под небольшим углом к
вертикали (до 15°). При этом направление наклона щитов меняется на обратное при
переходе от яруса к ярусу. Наклонное положение щитов несколько повышает
сопротивление проходу воздуха в сравнении с вертикальным, но при этом
исключается возможность проскока капель и струек воды на значительную глубину
без соприкосновения с планками оросителя.
Щиты обычно изготовляются из
нестроганной древесины хвойных пород деревьев, пропитанной антисептиком, или
мягколиственных пород деревьев, модифицированной. Крепежные изделия применяются
с антикоррозийным покрытием (оцинковка, омеднение и др.).
Характеристиками охлаждающей
способности оросителя являются величины 
и 
, которые не зависят от
гидравлической нагрузки и температурных условий его работы, а также
климатических факторов.
Оросители из дерева имеют следующие
недостатки: древесина чувствительна к химическому и биологическому воздействию,
а планки оросителей не могут быть тоньше 10 мм из-за коробления и разрушения
древесины в результате вымывания водой из нее лигнина (делигнификация). В
результате этого для связи клеток в древесине остается лишь целлюлоза и она
становится непрочной. Процесс делигнификации идет более интенсивно при высоких
значениях рН и значительном содержании в воде активного хлора [9].
3.1.2 Асбестоцементные оросители
Изготавливаются из стандартных
плоских или волнистых листов. Асбестоцемент, как и дерево, хорошо смачивается
водой, он гигроскопичен, впитывает в себя воду в количестве до 12% собственной
массы. Благодаря этим качествам по его листам обеспечивается хорошее растекание
пленки воды, что является важным свойством в улучшении охладительного эффекта
оросителя.
Расстояние между асбестоцементными
листами оросительного устройства обычно принимается 15-45 мм. Учитывая, что
толщина асбестоцементных листов меньше, чем деревянных, активная поверхность
соприкосновения пленок
воды с воздухом в единице объема
асбестоцементного оросителя при одинаковых расстояниях между щитами выше, чем
деревянного. Это обстоятельство позволяет уменьшить высоту оросителя, а
следовательно, и снизить высоту подачи воды. Расстояние между листами менее 15
мм нежелательно, так как может произойти засорение промежутков, что вызовет
заметное дополнительное сопротивление движению воздуха и увеличение массы оросителя.
Асбестоцементные листы в оросителе следует устанавливать преимущественно
вертикально, так как при наклонном положении обращенная книзу поверхность не
полностью смачивается.
Применяется, как правило, блочная
конструкция оросителей из асбестоцементных листов. При сборке блоков из плоских
листов или волнистых с параллельным расположением волн устанавливаются
разделительные элементы (фарфоровые, пластмассовые и др.), фиксирующие
расстояния между листами. В оросительных устройствах из волнистых листов с чередующимися
вертикальным и горизонтальным расположениями волн расстояние между листами
определяется высотой волн, поэтому разделительные элементы не требуются.
Недостатком асбестоцементных
оросителей является сравнительно большая масса на единицу площади, что вызывает
утяжеление несущих конструкций, его концерогенные свойства и склонность к
зарастанию поверхности листов солями карбоната кальция.
Максимальные размеры стандартных
асбестоцементных листов: плоских 1200×1600 мм,
волнистых 994×2500
и
994×2800
мм.
Толщина плоских и волнистых непрессованных листов составляет 8-10 мм, плоских
прессованных - 6 мм [9].
.1.3 Пластмассовые пленочные
оросители
Такие оросительные устройства
являются одним из наиболее прогрессивных и распространенных типов. Пластмасса
противостоит химическому воздействию многих растворов, кислот, щелочей и солей,
что выгодно отличает ее от древесины. Однако в охлаждаемой воде содержатся
углеводороды, как, например, на нефтеперерабатывающих заводах, в этом случае
таких пластмасс, как полистирол, следует избегать.
Ведущие зарубежные фирмы по
строительству градирен "Бальке-Дюрр" (Германия), "Хамон"
(Франция), "Марли" (США), "Мунтерс" (Швеция) и другие
активно ведут разработку пластмассовых оросителей и применяют их в действующих
градирнях. Эти разработки усиливаются в связи с дефицитом дерева, плохими
экологическими свойствами асбестоцемента и удорожанием энергии. К созданию
оптимального профиля указанные фирмы идут разными путями в зависимости от вида
материала, его толщины, принятых по условиям прохода воздуха и воды размеров
ячеек и т. п. Все большее применение находят пластмассы для изготовления
оросителей в Болгарии, Венгрии, Румынии, Чехии, Словакии и Китае.
Пленочные (сотовые или ячеистые)
оросители из пластмассы, а точнее из бумаги, впервые начали применять в
небольших серийных градирнях заводского изготовления 30 лет тому назад. Пытаясь
реализовать большую производительность в малом объеме, изготавливали оросители
с удельной площадью поверхности 500 м2/м3. Получили очень
высокую производительность, но ороситель часто закупоривался. Исходя из
указанных соображений, в Германии применяют пленочные оросители с расстояниями
между листами 12; 15; 19 и 27 мм, с удельной площадью поверхности обмена
соответственно 240; 180; 140 и 110 м2/м3.
Однако не только удельная площадь
поверхности определяет охлаждающую способность оросителя. Большое значение
имеют следующие условия: вода должна стекать по оросителю ровной пленкой, а не
отдельными ручейками или струйками; соприкасающаяся с воздухом поверхность
водяной пленки должна непрерывно обновляться путем турбулентного перемешивания.
Для изготовления пластмассовых
оросителей используют поливинилхлорид, полиэтилен низкого давления, насыщенные
полиэфирные смолы, ударопрочный полистирол, полимер стирола и акрилнитриала и
др. Все эти исходные материалы - листы или пленки обычно имеют гладкую
гидрофобную поверхность. Чтобы изготовить из них оросители, удовлетворяющие
указанным выше условиям, необходимо видоизменить их поверхность и
форму.
В НИИ ВОДГЕО проведено множество
испытаний оросителей из полимерных материалов различной конфигурации, чтобы
выявить и выделить по возможности в чистом виде конструктивные факторы,
влияющие на эффективность оросителя.
Интенсификация охлаждающей
способности пластмассовых оросителей может быть осуществлена путем
использования таких приемов, как создание шероховатой, пористой или волнистой
поверхности, подбор оптимального числа и формы волн, перфорирование листов или
замена их сетками, а также устройство разрывов по ходу движения воды и воздуха,
обеспечивающих чередование капельных и пленочных режимов движения воды и за
счет этого перераспределение и дополнительную турбулизацию взаимодействующих
потоков и повышение тепломассообмена. Наибольший эффект интенсификации
охлаждения достигается за счет комбинирования указанных выше приемов.
Увеличение охлаждающей способности
оросителей обычно сопровождается увеличением их аэродинамических сопротивлений,
что, как правило, считается нежелательным. Однако этого не всегда следует
опасаться, так как для обеспечения равномерного и полного растекания потока
воздуха по сечению оросителя он должен обладать определенным сопротивлением.
Поэтому для окончательной оценки эффективности и рациональности применения
конкретного оросителя целесообразно проводить технико-экономические расчеты с
учетом всех влияющих факторов. Основными из них являются охлаждающая
способность и аэродинамическое сопротивление оросителя [9].
.1.4 Капельно-пленочные оросители
Выполненные из дерева оросители состоят из двух
или более частей, располагаемых непосредственно друг над другом. По своей
конструкции капельная и пленочная части такого оросителя не отличаются от
обычных капельных и пленочных. Конструкции капельно-пленочных оросителей из
полимерных материалов могут быть аналогичны деревянным. Однако более
перспективными являются конструкции капельно-пленочных оросителей, выполненные
из пластмассовых сеток, сформированных в виде призм, гофролистов и др. По
возможности работать на загрязненной воде капельно-пленочные оросители,
выполненные из сетчатых элементов, имея значительно уменьшенную высоту (~ 1 м),
не уступают капельным деревянным высотой 2-3 м, а некоторые конструкции и
превосходят их.
При реконструкции градирен с
целью максимального использования сохранившихся элементов могут применяться и
комбинированные капельно-пленочные оросители, например, из асбестоцементных
листов в нижнем ярусе и полимерных сеток или листов различных видов в верхнем
[9].
3.1.5 Капельные оросители
Эти оросители конструктивно
представляют собой объемную решетку из планок или реек. Основным материалом для
их изготовления служит древесина хвойных пород деревьев, пропитанная
антисептиком, или мягколиственных пород деревьев, модифицированная. Планки
имеют в сечении прямоугольную или треугольную форму. Появившаяся было тенденция
к изготовлению капельных оросителей традиционной конструкции из синтетических
материалов в нашей стране развития не получила. Они были быстро вытеснены
сетчатыми капельно-пленочными оросителями, с успехом применяющимися на такой же
загрязненной воде, как и капельные, но имеющими больший охлаждающий эффект и
лучшую технологичность изготовления и монтажа.
Пособие по проектированию градирен
ориентирует на удельные гидравлические нагрузки для градирен с капельным
оросителем 
. В реальной практике проектирования
капельные градирни в зависимости от условий охлаждения воды рассчитывают на 
, а иногда и более [9].
.1.6 Брызгальные оросители
Это оросительные устройства
заполненные воздухонаправляющими щитами, предназначенными для улучшения
распределения воздушного потока. Щиты выполняются в виде спаренных блоков из
досок, волнистых асбестоцементных листов или листового стеклопластика.
Расстояние между щитами принимается обычно 0,4-0,5 м. Поскольку щиты несколько
увеличивают поверхность соприкосновения воды с воздухом, в отдельных случаях
при необходимости увеличения эффективности охлаждения расстояния между ними
уменьшают до 0,2 и даже до 0,1 м. Тогда этот брызгальный ороситель работает как
разреженный пленочный. Охлаждающая способность брызгальных оросителей примерно
на 20% ниже капельных при таком же расходе материала (дерева). Это
обуславливает целесообразность применения градирен с такими оросителями только
при невысоких требованиях к температуре охлажденной воды, содержащей большое
количество механических загрязнений или вещества, способные образовать трудно
удаляемые отложения на элементах капельного или пленочного оросителя. Поэтому
брызгальные градирни находят применение, в основном, на металлургических
предприятиях в системах оборотного водоснабжения доменных и конверторных
газоочисток, прокатных цехов, газогенераторных производств, аглофабрик и т.п.
Удаление из брызгальной градирни воздухонаправляющих щитов снижает охлаждающую
способность в 2-2,5 раза. Близки к ним по этому показателю эжекционные градирни
[9].
Выбор оросителя. При выборе
оросителей следует учитывать их технологические особенности. Охлаждающая
способность градирни при одинаковых параметрах воды и атмосферного воздуха тем
выше, чем больше значение произведения 
оросителя. При равенстве этого
параметра в градирнях с малым относительным расходом воздуха (
), что характерно для башенных
градирен, предпочтительнее применять оросители и с меньшим значением показателя
степени 
при λ. Когда λ > 1
эффективнее по охлаждающей способности оказываются оросители с более высокими
значениями 
. При λ = 1
параметр 
не влияет на охлаждение воды.
Следует учитывать также, что по
сравнению с трубчатыми и листовыми оросителями решетчатые конструкции требуют
меньшего количества материала на изготовление. Они допускают и большую
неравномерность распределения
воды по верху оросителя, которая,
как правило, имеет место в практических условиях эксплуатации градирен,
поскольку поток воды при движении сверху вниз в их объемной решетчатой структуре
имеет возможность свободного перераспределения. При этом поверхность
охлаждения, состоящая из пленок, стекающих по перемычкам решеток, и капель,
срывающихся с них и падающих вниз при многократном дроблении, непрерывно
обновляется и турбулизируется потоком воздуха, что интенсифицирует процесс
испарения (охлаждения) воды. Трубчатые оросители, как и листовые, при высоте
0,7-1,5м требуют равномерного распределения воды в градирне, поскольку
возможность ее перераспределения в объеме имеется только в пространстве между
трубами и листами. В трубах, занимающих около 50% активного объема градирни,
возможность такого перераспределения отсутствует. При расходе воды, например
10400 м3/ч, для градирни площадью 1520 м2 при равномерном
орошении на площадь, занимаемую каждой трубкой диаметром 44-63 мм, должно
попасть 0,01-0,02 м3/ч воды. При несоблюдении этого условия
некоторая часть активного объема трубчатого оросителя может вообще не
участвовать в процессе охлаждения воды. Целесообразно блоки трубчатых
оросителей изготавливать малой высоты (250-300 мм) и устанавливать в градирне с
разрывами в вертикальной плоскости [9].
3.2 Водоуловители
Работающая градирня выбрасывает
в атмосферу воздух, насыщенный водяными парами и содержащий капельки воды
размером 100-500 мкм. Значение капельного уноса регламентируется СНиПом. Она
определяется так же, как потеря воды вследствие уноса ветром (что для градирен
неточно) в процентах от расхода охлаждаемой воды. Значение допускаемого СНиПом
уноса зависит от вида охладителя и состава загрязнений оборотной воды.
Фактическая эффективность водоуловителей согласно опубликованным отечественным
и зарубежным данным колеблется в пределах 0,001-0,5%, по сообщениям из Японии
это значение для поперечноточных градирен с водораспределением без разбрызгивания
составляет 0,0001%. Такое разнообразие оценок значения уноса
может быть объяснено различием
не только условий, в которых работают водоуловители (скорость воздуха, расход
воды, конструкция и размеры водоуловителя и градирни), но и методов измерений
капельного уноса.
При сопоставлении
технологических характеристик различных водоуловителей следует обязательно
обращать внимание на условия и методику испытаний сравниваемых конструкций. Эти
требования объясняются многообразием существующих на сегодня методик и приборов
для испытаний водоуловителей, а также большим влиянием на результаты таких
факторов, как качество монтажа водоуловителей, скорость движения воздуха,
конструкции водораспределителя и оросителя, размеры капель, плотность орошения.
Чтобы в натурных условиях
получить такие же высокие показатели волоулавливания (0,007 и 0,001%), как и
при лабораторных испытаниях, фирма считает необходимым соблюдение следующих
основных требований:
тщательная расстановка блоков
водоуловителя так, чтобы не было сквозных щелей между блоками и стенками
градирни, а также самими блоками;
вертикальная составляющая
скорости движения воздуха не должна превосходить максимально допустимое
значение ни в одной точке водоуловителя по всему сечению градирни;
- все измерения характеристик водоуловителя
должны производиться непосредственно над водоуловителем по методике фирмы или
согласованной с ней;
- монтаж и сборка профильных
(жалюзийных) водоуловителей должны осуществляться по инструкции.
Все известные конструкции
водоуловителей работают по одному принципу - осаждение летящих вверх капелек
воды на препятствии за счет инерции при отклонении воздушного потока для
огибания этого препятствия. В качестве препятствия используются деревянные,
асбестоцементные или пластмассовые дощечки, планки, лопатки, соты (каналы)
различной конфигурации, располагаемые в 1-3 ряда, а также волокна сеток.
Различные типы водоуловителей отличаются друг от друга не только материалом, но
и формой указанных элементов (препятствий) и их расположением.
Долгое время основным типом
водоуловителей, использовавшихся в отечественных градирнях, были деревянные
жалюзийные. Однако они удовлетворяют предъявляемым требованиям только при
качественном изготовлении и монтаже; нуждаются в специальной раскладке блоков и
постоянном надзоре за состоянием конструкций в процессе эксплуатации, поскольку
в условиях работы градирен быстро разрушаются и теряют оптическую плотность,
что приводит к резкому увеличению уноса капель. Кроме того, дерево становится
все более дефицитным и дорогостоящим материалом и требует специальной обработки
против гниения. Поэтому все большее внимание уделяется разработке и освоению
водоуловителей из полимерных материалов. Как конструкционный материал
пластмассы позволяют значительно усовершенствовать конфигурацию водоуловителей
и снизить их массу, но требуют при этом высокой технологичности изготовления.
Несоблюдение этого требования не позволяет внедрить в промышленность даже самую
эффективную конструкцию пластмассового водоуловителя.
В то же время в угоду
технологичности нельзя поступаться требованиями, которым должен отвечать
водоуловитель как элемент, соответствующий своему назначению в работе градирни.
Конфигурация водоуловителя во многом определяет характер потока воздуха на
входе в конфузор и подходе к вентилятору. Конструкция и расположение лопаток и
решеток водоуловителя должны обеспечивать направление потока воздуха
вертикально вверх к вентилятору, выполняя в этом случае функцию направляющего
аппарата.
Водоулавливающая способность
водоуловителей существенно зависит от скорости воздуха 
перед ним и плотности орошения 
. Также преобладающее влияние на
значение капельного уноса оказывает гранулометрический (дисперсный) состав
капиль, находящийся в потоке воздуха.
При выборе водоуловителя в
конкретном случае необходимо учитывать, что каждому из них присущи свои
достоинства и недостатки. Они различаются материалом, схемой сборки блоков и
механической прочностью, а также значением аэродинамического сопротивления
проходу воздуха [9].
3.3 Водораспределительные
устройства
Водораспределительное
устройство является технологическим элементом градирни, во многом определяющим
ее эффективную и надежную работу. Оно должно обеспечивать равномерное
распределение воды по оросителю при небольших энергозатратах, не создавая
ощутимых препятствий проходу и распределению потока воздуха. В брызгальных и
эжекторных градирнях параметры водораспределительного устройства в значительной
мере определяют степень охлаждения воды.
Диапазон размеров капель и
пленок воды, создаваемых водораспределителем, должен, с одной стороны,
способствовать уменьшению капельного уноса из градирни, а с другой - не
допускать образования водяных струй в оросителе. С этих позиций опимальный
размер капель составляет 2-3 мм в диаметре. В некоторых случаях (в основном в
брызгальных градирнях) конструкция и материал водораспределителя должны быть
рассчитаны на пропуск воды с большим содержанием взвешенных веществ.
Исследованиями и разработкой водораспределительных устройств уже давно
занимаются в нашей стране и за рубежом.
Водораспределительные
устройства градирен можно разделить на три основные группы: разбрызгивающие,
без разбрызгивания и подвижные. Разбрызгивающие водораспределительные
устройства, в свою очередь, подразделяются на безнапорные, представляющие собой
системы открытых желобов и лотков, и напорные, выполняемые из закрытых желобов
или труб с соплами или разбрызгивателями, к которым вода подводится с большим
или меньшим напором. В промышленных вентиляторных противоточных градирнях в
нашей стране в последнее время применяются, как правило, разбрызгивающие
напорные водораспределительные устройства, представляющие собой систему
стальных трубопроводов, оборудованных пластмассовыми соплами различных видов и
конструкций.
Трубчатые системы распределения
воды градирен относятся к системам большого сопротивления, в которых
разбрызгивающие сопла располагаются с постоянным шагом (обычно 0,5-1 м).
Равномерность распределения воды в таких системах достигается за счет
существенно большего сопротивления проходу воды в соплах, чем изменение
пьезометрического напора в трубопроводе за счет потерь на трение и
восстановление скоростного напора при изменении скорости движения воды.
Методы расчета трубчатых систем
распределения воды основаны на общеизвестных законах гидравлики при движении
жидкости по трубопроводу с переменной массой. Расчет напорных
водораспределительных систем заключается в определении таких диаметров труб и
скорости движения воды в них, при которых обеспечиваются примерно одинаковые
напоры воды перед соплами и не происходит засорение труб взвешенными частицами
[9].
.3.1 Водоразбрызгивающие сопла
Современные требования к
разбрызгивающим соплам градирен в части экономии энергозатрат и равномерности
распределения воды по оросителю могут быть сформированы следующим образом: они
должны обеспечивать развитый факел разбрызгивания воды с радиусом 1,5-2 м при
5-30 кПа и не подвергаться засорению при концентрации взвешенных веществ в
оборотной воде около 100-150 мг/л в присутствии механических включений
(окалины, продуктов коррозии стали и т.п.).
По принципу действия сопла
разделяются на центробежные, струйно-винтовые и ударные. Большое разнообразие
сопел обусловлено, с одной стороны, поиском конструкции, которая при малом
напоре воды и достаточной производительности обеспечивала бы требуемые
гидравлические характеристики, а с другой - стремлением каждой фирмы иметь свою
конструкцию сопла, чтобы изготавливать все элементы градирен на собственном
производстве и по патентным соображениям.
Сопла ранее изготовлялись, в
основном, литыми из чугуна или цветного металла. В последние годы в нашей
стране и за рубежом для изготовления сопел стали применять пластмассу -
полиэтилен, полистирол и др.
Сопла из пластмасс не
подвергаются коррозии в условиях работы градирен, проще и дешевле в
изготовлении и имеют меньшую шероховатость внутренней поверхности, что при
прочих равных условиях увеличивает их пропускную способность. Пластмассовые
сопла обладают также более устойчивыми гидравлическими характеристиками.
При проектировании
водораспределительных систем градирен сопла подбирают с учетом их пропускной
способности, габаритов факелов разбрызгивания при располагаемом напоре воды и
степени загрязненности оборотной воды. Во всех случаях расположение сопел на
трубах водораспределительной системы должно обеспечивать равномерное
распределение воды по площади оросителя.
Эффективность работы сопел в градирне
определяется их основными технологическими (гидравлическими) характеристиками,
зависящими от заданного напора перед соплами: расхода воды через сопло, радиуса
факела разбрызгивания, распределения воды в зоне факела.
Иногда в качестве водоразбрызгивающих сопел для
градирен, если это экономически оправдано, применяются форсунки широкого
назначения, например форсунка каскадная высокопроизводительная типа ФГ.
Согласно проекту, форсунка ФГ предназначена для среднего и грубого распыления
жидкости в градирнях, скрубберах, конденсаторах, а также для распыления
загрязненной жидкости большой температуры с частицами размером до 10-15 мм.
Форсунка изготавливается из нержавеющей стали или металла, защищенного от
коррозии специальным покрытием.
При выборе типа сопел слудет учитывать, что при
тонком распыливании воды капли мелких фракций могут уноситься уходящим из
градирни воздухом или же полностью испаряться, что увеличивает потерю воды и
приводит к увлажнению воздуха, ухудшающему охлаждению остальных капель [9].
3.3.2 Системы распределительных
труб и лотков
В градирнях могут применяться
трубчатые или лотковые системы распределения воды. Напорные трубчатые системы в
сравнении с лотковыми безнапорными создают меньшее сопротивление проходу
воздуха, менее чувствительны к колебаниям расхода воды и проще в эксплуатации.
По этой причине в нашей стране примерно с 1970г. градирни проектируются и
строятся с трубчатыми водораспределительными системами. Однако за рубежом
лотковые водораспределительные системы широко используются. Они более
экономичны по энергозатратам на подачу воды на градирни. Схема трубопроводов в
плане принимается соответственно форме поперечного сечения градирни. При работе
этих систем происходит снижение расхода в направлении движения воды по
трубопроводу (лотку) вследствие попутного его оттока через разбрызгивающие
сопла (насадки).
Гидравлический расчет систем
заключается в определении диаметров магистральных и распределительных труб при
заданном напоре воды в начале системы, при которых обеспечивается относительно
равномерное распределение расходов воды по трубам и через разбрызгивающие
сопла. Характерной особенностью истечения воды через разбрызгивающие сопла
некоторых конструкций является неполное заполнение водой выходного отверстия
(несовершенное сжатие струи). Степень равномерности распределения расходов воды
между соплами зависит от соотношения потерь напора (сопротивления) в них и по
длине распределительной трубы. При этом степень равномерности можно повысить
увеличением потерь в соплах или уменьшением их по длине трубы. Потери напора в
соплах можно повышать путем уменьшения числа сопел или их производительности.
Снизить потери напора по длине трубы можно увеличением площади ее поперечного
сечения. Контролируют скорость движения воды: в магистральных трубах она должна
быть около 1,5-2 м/с, в распределительных - не более 1,5 м/с. Распределительные
трубы могут быть стальными, асбестоцементными и пластмассовыми; магистральные -
преимущественно стальными [9].
.
ПОКАЗАТЕЛИ ВОДЯНОГО ОХЛАЖДЕНИЯ ОБОРУДОВАНИЯ ТУРБИННОГО ЦЕХА
Градирни предназначены для охлаждения
циркуляционной воды, нагретой в конденсаторах турбин, маслоохладителях и
газоохладителях турбогенераторов и питательных насосов. Охлаждение воды в
градирнях происходит за счет испарения части воды теплом, отнимаемым от
основной массы воды, вследствие чего температура неиспарившейся воды снижается.
Теоретическим пределом охлаждения воды является температура конденсации водяных
паров в воздухе, т.е. температура по мокрому термометру.
Сооружения и оборудование подразделяются на две
автономные системы техводоснабжения 1-ой и 2-ой очереди.
В состав 1-ой очереди входят:
градирни № 1,2;
цирк. водоводы с арматурой и колодцами:
всасывающий А и Б и сбросной А и Б - с узлом подпитки от коллекторов сырой воды
А и Б;
циркуляционные насосы (ЦН) типа Д6300-27-3 .. -
2 шт.;
циркуляционные насосы (ЦН) типа 32Д-19 - 4 шт.;
насосы технической воды (НТВ) типа 12 НДС - 3
шт.;
типа 200Д60 - I шт.;
насосы газоохладителей (НГО) типа К290-30 -2
шт.;
насосы газоохладителей (НГО) типа 8K-I2 - 4 шт.
В состав 2-ой очереди входят:
градирни № 3,4,5;
лотки и водоводы, шандорные камеры;
цирк. водоводы с арматурой и колодцами: сбросной
А и Б, напорный А и Б - с узлом подпитки от коллекторов речной воды А и Б.
Оборудование ЦНС-1 (циркуляционная насосная
станция):
. насосы (ОЦН) типа ОПВ 3-87-КЭ - 1 шт.;
. дренажные насосы типа 6K-I2 - 2 шт.; С-569 - 2
шт.;
. насосы газоохладителей типа 12Д-19 ~ б шт.;
. здание ЦНС и камера переключений.
Оборудование ЦНС-2:
Примечание: для изучения оборудования ЦНС-2
использовать "Инструкцию по эксплуатации оборудования ЦНС-2".
Циркуляционная вода из градирен поступает к
циркуляционным насосам, насосами подается в напорные цирк. водоводы. Вода
проходит по трубкам конденсатора турбин, снимает тепло и далее поступает на
градирни, охлаждается и так постоянно циркулирует. Часть цирк. воды подается на
маслоохладители турбин.
На газоохладители вода подается насосами НГО. На
1-ой очереди НГО и НТВ (для турбины №3) воду забирают из всасывающих цирк.
водоводов, а на 2-ой очереди - из напорных цирк. водоводов.
В машзале на отм. -1.00м по ряду Б проходят 2
коллектора технической воды: напорный и сбросной - для охлаждения
маслоохладителей и воздухоохладителей:
питательных электронасосов (ПЭН) и охлаждения
подшипников насосов. В напорный коллектор вода поступает от насосов НТВ и
циркуляционных насосов (ЦН).
Градирни №1,2 брызгальные, башенные, каждая с
площадью орошения 1280 м2, производительностью 9200 м3/ч каждая и охлаждающей
способностью 8°С.
Высота градирни 49,5м, диаметр вписанной
окружности бассейна 40м.
Градирня состоит из следующих основных
элементов:
вытяжной башни, служащей для создания тяги
воздуха, обеспечивающего вынос водяных паров, с которыми отводится тепло
охлаждаемой воды;
водораспределительного устройства состоящего из
радиальных трубопроводов, подключенных к центральному стояку на различных
отметках;
разбрызгивающего устройства состоящего из 2050
эвольвентных сопел, номинальный напор воды перед соплами 4,0 м вод. ст.;
водосборного бассейна для сбора: охлаждаемой
воды и содержания запаса воды в циркуляционной системе. Для опорожнения и
сброса переливных вод каждая половина градирни оборудована соответствующим
устройством.
Отвод охлаждающей воды от каждой половины
градирни производится самотечными лотками, в которых установлены
сороудерживающие решетки. К всасывающим патрубкам циркуляционных насосов вода
транспортируется по двум безнапорным трубопроводам ф1200 мм, проложенных в
земле.
Из приемной камеры циркуляционными насосами
охлажденная вода подается на самоочищающиеся фильтры, где задерживаются крупные
частицы взвеси для исключения возможности забивания форсунок потребителей и
далее на потребителя.
Таблица 1 - Качество воды
|
Ингредиенты
|
Подпиточная
вода, мг/л-мгэкв/л
|
Оборотная
вода, мг/л-мгэкв/л
|
|
С2
|
В
|
|
Общий
растворенный сухой остаток
|
До
2
|
От
250 до 550 включ.
|
|
Растворенный
кислород
|
От
1 до 2 включ.
|
-
|
|
Окись
кремния
|
0,4
|
-
|
|
Общее
железо
|
0,1
|
0,01
|
|
Жесткость
|
0
|
От
100 до 140 включ.
|
|
Щелочность
|
-
|
От
35 до 60 включ.
|
|
СО2
|
0
|
От
0 до 0,1 включ.
|
|
Органические
вещества
|
0
|
0
|
|
Взвешенные
вещества
|
-
|
<10
|
|
рН
|
8±0,5
|
От
7 до 7,5 включ.
|
Таблица 2 - Характеристика оборудования
|
Наименование
групп насосов
|
Насосы
подачи воды на охлаждение турбоустановки
|
|
Марка,
тип
|
Д6300-27-3,
З2Д-19
|
|
Количество
|
6
|
|
Производительность,
м3/ч
|
6000
|
|
Напор,
м.в.ст.
|
21
|
|
Число
оборотов
|
590
|
|
Мощность,
кВт
|
320
|
|
Наличие
АВР
|
Система
автоматического включения резервного насоса при понижении давления в падающем
трубопроводе
|
Самоочищающиеся фильтры
Предназначены для удаления из воды крупных
механических примесей.
Тип фильтра - напорный.
Способ управления фильтрами - автоматический по
перепаду давления или от реле времени.
Способ подачи промывной воды - обратная промывка
исходной водой.
Место отвода промывной воды - в коллектор отвода
промывных вод на горизонтальные отстойники промывки песчаных фильтров.
Количество фильтров - 2 шт
Качество воды - С2
5.
АНАЛИЗ технического состояния градирни и решения по ее реконструкции
В настоящее время нарушений
покрытия бетонного каркаса градирни не обнаружено. Распределительные лотки
забиты шламом, вода, минуя форсунки, переливом стекает на деревянные оросители,
большая часть которых полностью вышли из строя. Деревянные жалюзи на окнах
отсутствуют (демонтированы). Приемные окна в бетонном полу градирни забиты деревянными
остатками оросителей, что затрудняет проход воды в чашу градирен.
Температура охлажденной воды на выходе из
градирни составляет 280С. В соответствии с требованиями технического
регламента для охлаждения оборудования, а также двигателей необходимо обеспечить
температуру охлажденной воды tх=20
0С. Это обуславливает необходимость выполнения работ по
реконструкции градирни с установкой более совершенного оборудования.
В основном эффективность процесса охлаждения
оборотной воды на градирнях определяется насадочными устройствами
(оросителями), призванными обеспечить необходимую поверхность контакта фаз при
минимальных аэро- и гидродинамическом сопротивлениях.
В настоящее время известно большое многообразие
конструкций оросителей градирен, однако ввиду того, что в промышленности
наблюдается тенденция замены изделий из традиционных материалов (древесина,
асбестоцемент) на полимерные изделия с различными размерами и формами сечения,
спрос на которые возрастает как на внутреннем, так и на мировом рынке, возникает
необходимость создания новых высокоэффективных и технологичных конструкций
оросителей градирен из полимерных материалов. При этом оросительные устройства
в каждом конкретном случае должны соответствовать техническим требованиям,
предъявляемыми государственными и отраслевыми стандартами в отношении
охлаждающей способности при минимальных затратах. Необходимо учитывать и ряд
других показателей - долговечность, изнашиваемость материала, прочность и массу
оросителя, легкость установки, доступность ремонтов и осмотров, а также наличие
в охлаждаемой воде взвешенных веществ и агрессивных примесей.
Строительные решения по
реконструкции градирни в Турбинном цехе ООО «ЛУКОЙЛ-Волгоградэнерго» Волжской
ТЭЦ предполагают использование существующего каркаса градирни с выбраковкой
дефектных элементов и их заменой и включают следующие мероприятия:
замену существующего
деревянного опорного каркаса под ороситель и водоуловитель на металлический;
устройство сеток под ороситель
и водоуловитель;
устройство опорных конструкций
для крепления трубопроводов водораспределительной системы;
монтаж зимнего ограждения
градирни и ветровой перегородки;
- монтаж полимерного оросителя
для обеспечения нормативного значения температуры охлажденной воды;
монтаж полимерного
водоуловителя для обеспечения нормативного капельного уноса (0,001% расхода
охлаждающей воды).
Перед началом
строительно-монтажных работ существующие деревянные конструкции градирни
демонтируются.
Для крепления трубопроводов
водораспределительной системы устраивается балочная клетка.
Поверх водораспределительной
системы укладывается сетка с шагом ячей 400×400 мм,
на которой размещаются блоки водоуловителя.
Под ороситель запроектирована
балочная клетка, поверх которой укладывается металлическая сетка с шагом ячей
200×200
мм.
Зимнее ограждение градирни
выполнено в виде навесных щитов из стального профилированного листа.
Ветровая перегородка
запроектирована из поливинилхлоридных экструзионно-профилированных листов
ЭПЛ-200 по ТУ 2247-002-0206888-99.
Листы ЭПЛ-200 крепятся шурупами
к деревянному антисептированному брусу, образующему пояс каркаса. Деревянный
каркас антисептируется водным раствором и крепится кронштейнами к несущим
конструкциям градирни.
Материал металлоконструкций сталь С245 и С235 по
ГОСТ 27772-88. После монтажа все металлоконструкции, предварительно очищенные
от ржавчины, покрываются тремя слоями лака ХС-76 по двум слоям грунта ХС-010.
Серьезный прогресс в области охлаждения воды в
градирнях произошел в последние 30 лет и выразился в предложении широкой гаммы
высокоэффективных оросителей из пластических масс, долговечных, негорючих,
обеспечивающих высокую степень охлаждения воды.
ИК-110 «ороситель косой дождь
модернизированный», разветвленная сетчатая поверхность тепло-массообмена,
позволяет сократить объем, транспортные расходы, и стоимость поставки.
Вертикальное расположение сетчатых трубок предотвращает забивку механическими
примесями. Кроме этого, согласно заключения НИИ «ВОДГЕО», ОКД-м имеет лучшие
теплотехнические характеристики по сравнению с ранее выпускаемыми оросителями.
Габаритные размеры (мм): 690×680×430;
вес
5.0 кг;
Удельная поверхность тепло-массообмена 95 м2/м3.
Ороситель градирни высотой 
= 1.020 м комплектуется из 4 ярусов
блоков ИК-110, 
= 0.430 м, между которыми
устанавливаются дистанционные втулки, 
= 0.100 м. Дистанционные втулки
устанавливаются между ярусами оросителей по четыре втулки на ороситель
равномерно по его торцевой поверхности.
С практической точки зрения, предлагаемая
конструкция оросителя градирен имеет следующие преимущества:
высокая прочность;
долговечность, самый высокий срок службы;
способность выдерживать низкие температуры и
перепады температур;
простота монтажа и эксплуатации;
снижение трудозатрат на монтаж и эксплуатацию
градирен;
малый вес;
высокая функциональность (-120 до +120
),
крепость и пластичность;
возможность продажи как вторичного сырья после
окончания срока службы;
отсутствие металлических элементов;
не подвержен биообрастанию;
экологически чистый материал.
Водоуловитель - каплеотбойник (ИК-100) выполнен
из гофрированных полиэтиленовых пластин. Расстояние между пластинами 65 мм.
Одна сторона пластины шириной 85 мм имеет козырек, выступающий на 10 мм под
углом 90°.
Укладка водоуловителей (каплеотбойников)
производится на арматурную сетку «козырьком» вверх.
Работы по монтажу оборудования и трубопроводов
производятся согласно СНиП 3.05.05-84 и ПБ 03-585-03 «Правил устройства и
безопасной эксплуатации технологических трубопроводов». Фланцевые соединения
комплектуются прокладками из материала ПОН по ГОСТ 481-80. Металлоконструкции
выполняются согласно СНиП 3.03.01-87 и СНиП 111-18-75. После монтажа все
трубопроводы и металлоконструкции, предварительно очищенные от ржавчины,
покрываются тремя слоями лака ХС-76 по двум слоям грунта ХС-010.
6.
ТЕПЛОВОЙ
РАСЧЕТ ГРАДИРНИ
Градирня представляет собой теплообменный
аппарат, в котором теплоноситель - вода передает тепло охлаждающему агенту -
воздуху путем непосредственного контакта. Для обеспечения необходимой площади
поверхности контакта градирня оборудуется специальным элементом - оросительным
устройством (оросителем).
Охлаждение воды в градирни
представляет собой сложный гидроаэротермический процесс тепло- и массообмена
между соприкасающимися потоками воды и воздуха. Эффективность охлаждения воды в
градирне зависит от интенсивности действия двух процессов: теплообмена и
массообмена. Теплообмен происходит при соприкосновении воды с воздухом, а
массообмен - в результате испарения воды с ее развернутой поверхности. Оба
процесса протекают одновременно в общем гидродинамическом поле скоростей воды и
воздуха, образуя при взаимодействии единый процесс переноса тепла.
Общий процесс теплопереноса
сопровождается изменением энтальпий (теплосодержаний) воздуха на границе и в
ядре потока по пути его движения в оросителе градирни (например, по высоте
оросителя при противотоке).
Тепловой расчет производится как при
проектировании новых градирен, так и при привязке типовых проектов градирен с
учетом местных метеорологических условий, требований к температурам охлажденной
воды и гидравлических нагрузок.
Определение количества тепла, передаваемого
оборотной воде от технологических установок, является необходимым условием для
теплотехнических расчетов охлаждения воды на градирне.
Баланс тепла, отдаваемого в градирне водой и
воспринимаемого воздухом, представляется в следующем виде:

, (6.1)
где 
- удельная теплоемкость воды, (
= 4.19 кДж/(кг
К) [1
ккал/(кг
0С)]);

- гидравлическая нагрузка на
градирню, кг/ч (кг/с);

, 
- температуры воды на входе в
градирню и выходе из нее, 0С;

- количество испарившейся воды,
кг/ч (кг/с);

- подача воздуха, кг/ч (кг/с);

- удельные энтальпии воздуха в ядре
потока при входе в градирню и выходе из нее, Дж/кг (ккал/кг);
Материальный баланс (баланс влаги)
определяется равенством между количеством испарившейся жидкости и приращением
влагосодержания воздуха:

(6.2)
где 
, 
- влагосодержания насыщенного
воздуха на входе в градирню и выходе из нее, кг/кг.
Определение технологических параметров градирни
осуществляется с помощью трех видов расчета: аэродинамического, теплового и
гидравлического.
Методики расчета вентиляторной градирни изложены
в [9].
Задача теплового расчета заключается в
определении необходимого количества воздуха, подаваемого вентиляторной
установкой на градирню, обеспечивающего охлаждение горячей воды до заданной
температуры (при выбранной компоновке оросителя). Наиболее широкое
распространение и общее признание во всем мире здесь получил метод Меркеля. При
расчете градирни использован сжатый современный вариант метода с учетом
допущений, принятых самим Меркелем.
Процесс тепломасообмена между водой и воздухом в
оросителе градирни может быть упрощенно описан следующим уравнением:

(6.3)
где 
- поправочный коэффициент,

(6.4)

- удельная теплота парообразования,

= 2493 кДж/кг (595 ккал/кг);

- перепад температур воды, 
= 
, 0С;

- объемный коэффициент массоотдачи,
отнесенный к разности влагосодержаний, кг/(м3
ч
кг/кг);

- средняя разность удельных
энтальпий воздуха, Дж/кг (ккал/кг);

- объем оросителя градирни, м3.
Коэффициент 
определяют
экспериментально для каждого типа оросителя. Подсчет его значений производят по
формуле:

или 
(6.5),
где 
- эмпирический коэффициент,
характеризующий влияние конструктивных особенностей оросителя на его
охлаждающую способность, 1/м;

- отношение массового расхода
воздуха к расходу воды;

, кг/кг;

- показатель степени, характеризующий
зависимость объемного коэффициента массоотдачи от изменения массовой скорости
воздуха;

плотность орошения (удельная
гидравлическая нагрузка) градирни, м3/(м2
ч) [кг/(м2
ч)];

массовая скорость воздуха, кг/(м2
ч).
Уравнение (7.5) показывает зависимость
коэффициент массоотдачи 
от соотношения масс
взаимодействующих воды и воздуха, а также от конструктивных особенностей
оросителя градирни.
.1 Тепловой расчет существующей градирни
Исходные данные для расчета:

- температура горячей воды на входе
в градирню;

- температура охлажденной воды на
выходе из градирни;

- удельная теплоемкость воды;


удельная теплота парообразования;

= 287.14 
- газовая постоянная сухого
воздуха;

- барометрическое давление;
Параметры атмосферного воздуха приняты
по данным для города Волгограда из условий 5% обеспеченности:

28.9
- температура атмосферного воздуха
по сухому термометру;

19.3
- температура атмосферного воздуха
по смоченному термометру;

37% = 0.37 - относительная
влажность атмосферного воздуха.
Технологический расчет можно условно
разделить на два этапа. На первом этапе определяется удельный расход водуха λ, на втором -
плотность орошения 
.
Первый этап. Для определения
величины λ
вычисляются
вспомогательные величины Y, U и R по
формулам:

(6.6)
где 
- энтальпия насыщенного воздуха у
поверхности воды при входе в градирню, Дж/кг (ккал/кг);

- энтальпия насыщенного воздуха у
поверхности воды при выходе из градирни, Дж/кг (ккал/кг);

- энатальпия воздуха в ядре потока
при входе в градирню, Дж/кг (ккал/кг);

- поправка к энтальпии, Дж/кг
(ккал/кг).

(6.7)

,

(6.8)
где 
- показатель степени,
характеризующий зависимость объемного коэффициента массоотдачи от изменения
массовой скорости воздуха;

- эмпирический коэффициент,
характеризующий влияние конструктивных особенностей оросителя на его
охлаждающую способность, 1/м;

- высота оросителя градирни, м.
6.1.1 Удельная энтальпия насыщенного
воздуха у поверхности воды на входе в градирню

, (6.9)
где 
- плотность насыщенного водяного
пара, определяемая в зависимости от 
;

- давление насыщенного водяного
пара, определяемое в зависимости от 
.
.1.2 Удельная энтальпия воздуха в
ядре потока при входе в градирню

, (6.10)
где 
- плотность насыщенного водяного
пара, определяемая в зависимости от 
;

- давление насыщенного водяного
пара, определяемое в зависимости от 
.
6.1.3 Удельная энтальпия насыщенного
воздуха у поверхности воды на выходе из градирни

, (6.11)
где 
- плотность насыщенного водяного
пара, определяемая в зависимости от 
;

- давление насыщенного водяного
пара, определяемое в зависимости от 
.
.1.4 Удельная энтальпия насыщенного
воздуха у поверхности воды при ее средней температуре

, (6.12)


- плотность насыщенного водяного
пара, определяемая в зависимости от 
;

- давление насыщенного водяного
пара, определяемое в зависимости от 
.
.1.5 Поправка к удельной энтальпии воздуха

, (6.13)
где 
- энтальпия насыщенного воздуха у
поверхности воды при входе в градирню, Дж/кг (ккал/кг);

- энтальпия насыщенного воздуха у
поверхности воды при выходе из градирни, Дж/кг (ккал/кг).
.1.6 Вспомогательная величина по формуле (6.6)
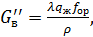
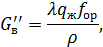
.1.7 Поправочный коэффициент по формуле (4)
.1.8 Вспомогательная величина по формуле (6.7)
6.1.9 Технологические характеристики для
существующего пленочного оросителя из деревянных брусков

- показатель степени,
характеризующий зависимость объемного коэффициента массоотдачи от изменения
массовой скорости воздуха;

- эмпирический коэффициент,
характеризующий влияние конструктивных особенностей оросителя на его
охлаждающую способность;

- коэффициент, учитывающий
дополнительные аэродинамические сопротивления от стекающей по оросителю воды;

1/м - коэффициент аэродинамического
сопротивления сухого оросителя;

м - высота оросителя.

Вспомогательная величина по формуле
(6.8)
.1.11 По графику черт.23 [10] в
зависимости от вспомогательных величин 
и 
определяется вспомогательная
величина 
.1.12 Удельный расход воздуха

(6.14)
Второй этап. На втором этапе
технологического расчета определяется плотность орошения (удельный расход воды)

.
Для башенных градирен:

(6.15)
В этом уравнении 
, 
, 
, 
, 
являются постоянными для выбранной
конструкции градирни и определяются при заданных расчетных условиях по
следующим формулам:

, (6.16)
где 
удельный расход воздуха;

- ускорение свободного падения;

- плотность воздуха.


, (6.17)
где 
- площадь орошения градирни
(секции);

- вспомогательная расчетная
величина

(6.18)
где 
- вспомогательная расчетная
величина

(6.19)
где 
- половина длины подоросительного
расстояния от воздуховходных окон до центра градирни

, (6.20)
где 
- коэффициент аэродинамического
сопротивления градирни без оборудования (оросителя и водоуловителя)
определяется по черт. 29 [10] в зависимости от отношения площади воздуховходных
окон градирни (секции) 
к площади градирни (секции) в плане

.

- коэффициент аэродинамического
сопротивления водоуловителя
Уравнение (6.15) является
кубическим, выраженным в канонической форме. Для определения 
при расчете градирен более
приемлемым является метод с использованием тригонометрических функций. Ниже
указывается последовательность вычислений 
по этому методу применительно к
вентиляторным градирням. Для решения уравнения (6.15) вводятся вспомогательные
величины:

, (6.21)
где 

(6.22)

(6.23)

(6.24)

(6.25)


(6.26)

(6.27)
6.1.13 Гидравлическая нагрузка на
градирню (расход оборотной воды)

(6.28)
где 
- число секций градирни;

- площадь орошения градирни (секции).
.1.14 После определения плотности
орошения необходимо проверить соответствие аэродинамических сопротивлений на
градирни напору, развиваемому вентилятором. Для этой цели вычисляется подача
воздуха вентилятором 
исходя из формулы

(6.29)
где 
удельный расход воздуха;

- плотность воздуха.
Номинальная подача составляет 436.25
тыс. 
/ч. Отклонение от номинальной подачи
составляет 9.9% (допускается до ±20%), следовательно, аэродинамическое
сопротивление градирни считается соответствующим напору вентилятора.
6.1.15 Скорость движения воздуха в
свободном сечении градирни

(6.30)
6.1.16 Определение объемного
коэффициента массоотдачи 
Теоретических методов для
определения 
на сегодняшний день не существует
из-за неизвестной площади поверхности контакта воды с воздухом в объеме
оросителя. Поэтому 
находят экспериментально для
каждого типа оросителя по формуле

(6.31)
где 
- коэффициент испарения
(безразмерный);

поправочный коэффициент;

- объем оросителя, м3

(6.32)


(6.33)
где 
- перепад температур воды,
;

- удельная теплоемкость воды;

- средняя разность удельных
энтальпий воздуха, кДж/кг

(6.34)

(6.35)
где 
- энтальпия насыщенного воздуха у
поверхности воды при входе в градирню, Дж/кг (ккал/кг);

- энтальпия насыщенного воздуха у
поверхности воды при выходе из градирни, Дж/кг (ккал/кг).

- энатальпия воздуха в ядре потока
при входе в градирню, Дж/кг (ккал/кг);

- удельная энтальпия воздуха в ядре
потока при выходе из градирни, кДж/кг (ккал/кг);

- поправка к энтальпии, Дж/кг
(ккал/кг).
где 
- отношение количеств воды и
воздуха по массе, кг/кг

(6.36)
.1.17 Тепловая нагрузка на градирню
по формуле (6.3)
.2 Тепловой расчет модернизированной
градирни
Исходные данные для расчета:

- температура горячей воды на входе
в градирню;

- удельная теплоемкость воды;


удельная теплота парообразования;

=287.14 
- газовая постоянная сухого воздуха;

- барометрическое давление;

- гидравлическая нагрузка на
градирню (расход оборотной воды);

- плотность орошения (удельный
расход воды);

- площадь орошения секции.
Параметры атмосферного воздуха
приняты по данным для города Волгограда из условий 5% обеспеченности:

28.9
- температура атмосферного воздуха
по сухому термометру;

19.3
- температура атмосферного воздуха
по смоченному термометру;

37% = 0.37 - относительная
влажность атмосферного воздуха.
Основным конечным технологическим
показателем работы градирен является температура охлажденной воды.
Определение температуры охлажденной
воды 
осуществляется по формуле:

(6.37)
Нахождение искомой величины может
быть выполнено только итерационным методом (подбором), посколько эта величина
входит в обе части уравнения и может быть разделена. Для решения этого
уравнения может быть применен любой из трех способов расчета: с помощью ПЭВМ по
специально составленным программам, по графикам или «вручную».
Предположим, температура охлажденной
воды на выходе из градирни 
.2.1 Удельная энтальпия насыщенного
воздуха у поверхности воды на выходе из градирни

(6.38)
где 
- плотность насыщенного водяного
пара, определяемая в зависимости от 
;

- давление насыщенного водяного
пара, определяемое в зависимости от 
.
.2.2 Удельная энтальпия насыщенного
воздуха у поверхности воды при ее средней температуре

(6.39)
где 
- средняя температура воды в
градирне,


- плотность насыщенного водяного
пара, определяемая в зависимости от 
;

- давление насыщенного водяного
пара, определяемое в зависимости от 
.
.2.3 Поправка к удельной энтальпии воздуха

(6.40)
6.2.4 Поправочный
коэффициент по формуле (6.4)
.2.5 Скорость движения воздуха в
свободном сечении градирни
.2.6 Плотность воздуха
.2.7 Относительный расход воздуха в
градирне

(6.41)
.2.8 Удельная энтальпия воздуха в
ядре потока при выходе из градирни

(6.42)
.2.9 Средняя разность удельных энтальпий воздуха
по формуле (6.35)
6.2.10 Технологические характеристики для
полимерного оросителя «косой дождь модернизированный» (ОКД-м)

- показатель степени,
характеризующий зависимость объемного коэффициента массоотдачи от изменения
массовой скорости воздуха;

- эмпирический коэффициент,
характеризующий влияние конструктивных особенностей оросителя на его
охлаждающую способность;

м - высота оросителя.
.2.11 Температура охлажденной на градирне воды
по формуле (6.37)
Следовательно, температура охлажденной на
градирне воды при замене оросителя на полимерный составит 18.2
.
.2.12 Перепад температур воды по формуле (6.34)
.2.13 Объем оросителя
.2.14 Коэффициент испарения по формуле (6.33)
.2.15 Объемный коэффициент массоотдачи по
формуле (6.31)
.2.16 Тепловая нагрузка по формуле (6.3)
При выполнении тепловых расчетов существующей и
модернизированной градирен был подсчитан расход оборотной воды (гидравлическая
нагрузка на градирню), который равен 1736.5 м3/ч. В соответствии с
требованиями технологического регламента, температура на выходе из данной
градини не соответствует требуемым условиям производства и составляет 20
.
В результате реконструкции градирни путем замены деревянных оросителей и
водоуловителей на полимерные будет достигнута температура на выходе из градирни
18
,
что является допустимым и необходимым условием производства. В результате
количество тепла, отдаваемое в градирне водой и воспринимаемого воздухом,
увеличится с 50.5 МВт до 67.2 МВт.
7. Аэродинамический
расчет градирни
7.1 Аэродинамический
расчет существующей градирни
Задачей аэродинамического
расчета является определение аэродинамического сопротивления градирни. Расчет
выполнен на основе усовершенствованной методики, разработанной НИИ ВОДГЕО [9].
Общее сопротивление градирни 
определяется следующим образом:

(7.1)
где 
- сопротивление входа в градирню,
включая воздухораспределитель, с учетом поворота потока воздуха в ороситель;

- сопротивление оросителя;

- сопротивление водораспределителя;

- сопротивление водоуловителя;

- сопротивление подхода воздуха от
водоуловителя до обечайки;

- сопротивление, добавляемое при
подаче на градирню воды. Это сопротивление зависит от гидравлической нагрузки,
типа оросителя, водораспределителя и размеров секции;
- коэффициент,
учитывающий влияние формы секции в плане на общее сопротивление градирни.
Подсчет сопротивления секции
производится по формуле

(7.2)
где 
скорость движения воздуха в
свободном сечении градирни;

плотность воздуха;

коэффициент сопротивления градирни
(секции), определяемый как сумма коэффициентов сопротивления всех элементов,
находящихся на пути прохождения воздуха.

(7.3)
где 
коэффициент сопротивления входа в
градирню, включая воздухораспределитель, с учетом поворота потока воздуха в
ороситель;

коэффициент сопротивления
оросителя;

высота оросителя;

коэффициент сопротивления
водораспределителя;

коэффициент сопротивления
водоуловителя;

коэффициент сопротивления при
подходе воздуха к вентилятору по пути от водоуловителя до обечайки;

коэффициент аэродинамического
сопротивления при подаче воды на градирню, определяемый по формуле

(7.4)
где 0.2 - коэффициент удельного
сопротивления дождя под оросителем, отнесенный к скорости воздуха в свободном
горизонтальном сечении;

- половина длины
воздухораспределителя;

коэффициент сопротивления дождя в
оросителе, принимаемый для пленочного деревянного оросителя равным 0.075;

- коэффициент сопротивления дождя в
водораспрелительном устройстве, принятый для трубчатого водораспределителя с
тангенциальными пластмассовыми соплами ВОДГЕО по данным натурных исследований
равным 0.1;

высота дождя в водораспределителе,
равная 1.6 м;

коэффициент размерности для
перехода к безразмерному значению 
, при единицах измерения, принятых в
данном случае, равен 1ч/м2;
qж = 15.84 м3/(м2∙ч)
- плотность орошения.
Коэффициент аэродинамического
сопротивления при подаче воды на градирню:
Коэффициент сопротивления градирни (секции):
Полное аэродинамическое сопротивление градирни:
.2 Аэродинамический расчет модернизированной
градирни
Задачей аэродинамического
расчета является определение аэродинамического сопротивления градирни. Расчет
выполнен на основе усовершенствованной методики, разработанной НИИ ВОДГЕО [9].
Общее сопротивление градирни 
определяется по формуле (8.1)
Где 
- сопротивление входа в градирню,
включая воздухораспределитель, с учетом поворота потока воздуха в ороситель;

- сопротивление оросителя;

- сопротивление водораспределителя;

- сопротивление водоуловителя;

- сопротивление подхода воздуха от
водоуловителя до обечайки;

- сопротивление, добавляемое при
подаче на градирню воды. Это сопротивление зависит от гидравлической нагрузки,
типа оросителя, водораспределителя и размеров секции;
- коэффициент,
учитывающий влияние формы секции в плане на общее сопротивление градирни.
Подсчет сопротивления секции производится
по формуле (7.2)
где 
скорость движения воздуха в
свободном сечении градирни;

плотность воздуха;

коэффициент сопротивления градирни
(секции), определяемый как сумма коэффициентов сопротивления всех элементов,
находящихся на пути прохождения воздуха
где 
коэффициент сопротивления входа в
градирню, включая воздухораспределитель, с учетом поворота потока воздуха в
ороситель;

коэффициент сопротивления
оросителя;

высота оросителя;

коэффициент сопротивления
водораспределителя;

коэффициент сопротивления
водоуловителя;

коэффициент сопротивления при
подходе воздуха к вентилятору по пути от водоуловителя до обечайки;

коэффициент аэродинамического
сопротивления при подаче воды на градирню, определяемый по формуле (8.4)
где 0.2 - коэффициент удельного
сопротивления дождя под оросителем, отнесенный к скорости воздуха в свободном
горизонтальном сечении;

- половина длины
воздухораспределителя;

коэффициент сопротивления дождя в
оросителе, принимаемый для пленочного деревянного оросителя равным 0.366;

- коэффициент сопротивления дождя в
водораспрелительном устройстве, принятый для трубчатого водораспределителя с
тангенциальными пластмассовыми соплами ВОДГЕО по данным натурных исследований
равным 0.1;

высота дождя в водораспределителе,
равная 1.6 м;

коэффициент размерности для
перехода к безразмерному значению

, при единицах измерения, принятых в
данном случае, равен 1ч/м2;

плотность орошения.
Коэффициент аэродинамического
сопротивления при подаче воды на градирню:
Коэффициент сопротивления градирни (секции):
Полное аэродинамическое сопротивление градирни:
Необходимо проверить соответствие
аэродинамических сопротивлений на градирни напору, развиваемому вентилятором.
Для этой цели вычисляется подача воздуха вентилятором 
исходя из формулы
где 
удельный расход воздуха;

- площадь орошения градирни
(секции), 

- плотность воздуха.
Номинальная подача вентилятора
составляет 436.25 тыс. 
/ч. Отклонение от номинальной подачи
составляет 9.9% (допускается до ±20%), следовательно, аэродинамическое
сопротивление градирни считается соответствующим напору .
Скорость движения воздуха в
свободном сечении градирни
В результате аэродинамического
расчета существующей и модернизированной градирен было определено общее
аэродинамического сопротивление и количество воздуха равно 479491 м3/ч.
Аэродинамическое сопротивление градирни считается соответствующим напору. Также
была найдена скорость движения воздуха в свободном сечении градирни, равная
2.43 м/с.
8.ПОКАЗАТЕЛИ МАТЕРИАЛЬНОГО БАЛАНСА
ПОТЕРЬ ВОДЫ В ГРАДИРНЕ
При охлаждении воды в градирнях
всегда происходит потеря воды за счет испарения и уноса капельной влаги с
уходящим воздухом. Количество испарившейся воды может быть подсчитано исходя из
уравнения теплового и материального баланса:
где 
и 
расход воды
на входе и выходе из градирни, кг/с;

- удельная теплоемкость воды;

- температура воды на входе в
градирню и выходе из нее,
;

энтальпия воздуха в ядре потока при
входе в градирню и выходе из нее, кДж/кг (ккал/кг);

расход воздуха, кг/с.
Количество испарившейся воды может
быть выражено также и через расход и влагосодержание воздуха, кг/с (кг/ч):
где 
, 
- влагосодержания насыщенного
воздуха на входе в градирню и выходе из нее, кг/кг.
Решая совместно эти уравнения,
получим следующую формулу для определения количества испарившейся воды:
Этой формулой удобно
пользоваться при испытаниях действующих градирен в натуре или опытных установок
в лабораторных условиях, когда требуется определить относительно точные
количества испарившейся воды.
При проектировании систем
оборотного водоснабжения для определения расхода добавочной воды (для
восполнения ее потерь) можно исходить из предположения, что все тепло
отнимается от воды только за счет испарения и тогда можно написать
где 

удельная теплота парообразования.
Отсюда количество испарившейся
воды в процентах от общего расхода циркуляционной воды будет определяться
формулой
где 
При средних температурах воды в
градирнях коэффициент 
будет равен примерно 0,171 
. В действительности благодаря
наличию теплоотдачи соприкосновением, особенно значительной при низких
температурах наружного воздуха, величина этого коэффициента уменьшится. При
температуре атмосферного воздуха по сухому термометру 
28.9
по СНиП коэффициент 
.
Количество испарившейся воды в
процентах от общего расхода циркуляционной воды для существующей градирни:
Количество испарившейся воды в
процентах от общего расхода циркуляционной воды для модернизированной градирни:
Восходящий поток влажного воздуха
при прохождении через градирню увлекает мелкие капли и выносит их за ее
пределы. Вынос капель воды вызывает увлажнение расположенных поблизости от
градирен сооружений, а также потери воды в системе оборотного водоснабжения
предприятия. Для снижения потерь воды вследствие уноса капельной влаги с
уходящим воздухом градирнях всех типов предусматриваются водоуловители.
Потери воды в результате уноса 
в значительной мере зависят от
конструкций водораспределителя и каплеуловителя градирни, а также от скорости
движения воздуха в градирне над оросителем.
Величина этих потерь может быть
установлена только экспериментально, однако проведение опытов затруднено из-за
небольшой величины уноса по отношению к общему расходу воды. Для брызгальных
градирен градирен принимаются потери за счет уноса в размере 1.0-1.5%
циркуляционного расхода воды. При неисправностях водораспределителя (лоткового)
и водоуловителя размер этих потерь значительно возрастает. По данным натурных
испытаний каплеотбойника (ИК-100) производства ООО «ИРВИК», который будет
использоваться в модернизированной градирне 
.
Резервуары градирен, как правило,
выполняются с гидроизоляцией. Потери воды на фильтрацию при этом малы, и их при
расчете обычно не учитывают.
Величина потери на продувку 
с целью ограничения солесодержания
охлаждающей воды определяется в зависимости от качества добавочной (свежей)
воды и способа водоподготовки. Эти потери предусматривают для поддержания
расчетной концентрации растворимых в оборотной воде солей, не выпадающих в
осадок.
Количество добавочной воды.
Количество воды, добавляемой в
систему 
равно общей сумме потерь воды в
системе:
Кроме того, оборотная вода часто
расходуется на технологические и другие нужды предприятия, что компенсируется
соответствующим увеличением количества добавляемой в систему воды дополнительно
к 
.
9. ОХРАНА ОКРУЖАЮЩЕЙ СРЕДЫ
Экологические требования по защите окружающей
среды, в частности, от воздействия промышленных объектов постоянно возрастают.
Градирню рассматривают в двух аспектах - как источник шума и как источник
выбросов аэрозолей вместе с выходящим из нее насыщенным воздухом в атмосферу.
При согласовании строительства вентиляторных
градирен санитарная инспекция прежде всего рассматривает их как источник шума.
Градирни должны отвечать требованиям защиты окружающей среды от шума в
соответствии с допустимыми санитарными нормами.
При размещении градирен на жилых или
производственных территориях с нормируемым уровнем шума, требуется производить
акустический расчет и при необходимости предусматривать мероприятия по снижению
шума [9].
.1 Шумовые характеристики градирен
Градирня как источник шума представляет собой
сооружение, в котором шум может создаваться движением воды (шум «дождя») - на
частотах 500-8000 Гц. В зависимости от конструкций и размеров градирни в
создаваемом ею шуме может преобладать один из указанных источников, или они
могут быть равны по мощности звука. Дополнительные шумы могут возникнуть также
при колебаниях и вибрациях отдельных элементов градирни (оболочки, диффузора и
т.п.).[9].
При больших размерах секции значительную долю в
общий шум, создаваемый градирней, может вносить шум «дождя», особенно на
высоких частотах. Разница в шуме градирни с различными типами капельных и
пленочных оросителей несущественна и колеблется в пределах 3 дБ.
Шум, создаваемый градирней, оценивается по ее
шумовой характеристике. Шумовой характеристикой вентиляторной градирни принято
считать уровни звукового давления на среднегеометрических частотах октавных
полос в диапазоне 63-8000 Гц на расстоянии 1 м от звукоактивных поверхностей.
Звукоактивная поверхность - часть поверхности
градирни с наибольшим излучением шума (входные окна, корпус вентилятора, выход
из диффузора).
9.1.1 Основные мероприятия по
снижению шума градирен
Уровень шума градирен, как
правило, не певышает допустимого по санитарным нормам для территорий
промышленных предприятий уже на расстоянии 10м, поэтому их можно размещать в
любом месте промышленного предприятия без проведения каких-либо мероприятий по
защите от шума. Однако если поблизости находятся жилые или другие здания,
уровень шума для которых ограничен санитарными нормами, следует предусматривать
мероприятия для снижения уровня шума в расчетных точках до значений, допустимых
санитарными нормами.
Эти мероприятия необходимо
предусматривать на стадии проектирования и привязки к местности, что обходится
обычно в 2-3 раза дешевле, чем обеспечение защиты от шума после пуска градирен
в эксплуатацию.
Борьба с шумом градирен
осуществляется по следующим основным направлениям:
уменьшение шума в источнике
(градирне) конструктивными и административными методами (создание и применение
малошумного источника, регламентация времени его работы и мест расположения на
территории);
снижение шума на пути его
распространения в городской среде от источника (градирни) до объекта
шумозащиты;
устройство шумозащиты
непосредственно на объекте конструктивно-строительными методами,
обеспечивающими повышение звукоизолирующих качеств ограждающих конструкций,
зданий и сооружений.
устройство удлиненных
диффузоров с непрерывным течением потока при покрытии внутренней поверхности
диффузора звукопоглощающим материалом с пластмассовой пленкой для защиты от
воды;
размещение градирен с выходом
звуковой энергии в сторону, противоположную рассматриваемому помещению.
В качестве мероприятий по
борьбе с шумом на путях его распространения могут быть рекомендованы:
удаление от жилых домов на
достаточное расстояние;
устройство между градирней и
рассматриваемым объектом экранов в виде насыпей, ограждений, стенок, полос
зеленых насаждений;
использование глушителей [9].
.2 Воздействие выбрасываемых из
градирен аэрозолей на окружающую среду
Работающая градирня выбрасывает
в атмосферу нагретый до 35-45 °С насыщенный водяными парами воздух, содержащий
капли воды размером 100-
мкм в количестве 0,5-1 г на 1 м3
воздуха. С парами в атмосферу поступает примерно 95% тепла, отводимого от
охлаждаемого оборудования, а оставшаяся часть тепла отводится в водоисточники с
продувочной водой. Интенсивность теплового потока на выходе из градирни в
зависимости от тепловой нагрузки может достигать 250-300 кВт/м2. Он
создает факел тумана (паровой факел), поднимающийся на высоту до 150-300 м и
распространяющийся в направлении ветра на 2-10 км. Наличие парового факела
является неотъемлемым признаком мокрых градирен, работающих по принципу
испарительного охлаждения воды.
При работе на промплощадке
большого количества мокрых градирен и определенном сочетании погодных условий
группа факелов может формировать в районе предприятия местный микроклимат с
повышенной влажностью атмосферного воздуха. Кроме того, при наличии в
атмосферном воздухе газообразных примесей выходящая из градирни влага может с
ними взаимодействовать и образовывать вредные для окружающей среды соединения.
При требованиях к работе
охладителей, исключающих видимость паровых факелов, применяются сухие или
гибридные градирни.
При использовании для подпитки
оборотных систем городских и промышленных сточных вод, а также сильно
минерализованных природных вод (например, морской воды) градирни могут быть
источником вредного воздействия на окружающую среду - атмосферу, почву, водные
объекты.
Вредное воздействие происходит
в результате выброса капель оборотной воды в атмосферу, осаждения их на почву и
на поверхность воды водных объектов. Капли воды распространяются в атмосфере в
районе градирен и увлажняют поверхность земли и близрасположенные сооружения, а
в зимний период вызывают их обледенение, поэтому в СНиП приведены допустимые
минимальные расстояния от градирен до ближайших сооружений.
Градирни размещают по отношению
к жилым застройкам с учетом розы ветров. При этом следует предусматривать
санитарно-защитные зоны.
Зона выпадения капельной влаги
на поверхности земли имеет форму элипса с большой осью, проходящей через центр
градирни в направлении ветра. Наибольшая интенсивность выпадения капель на
поверхность земли в этой зоне находится на большой оси элипса на расстоянии
примерно двух высот градирни. Размер зоны зависит от высоты градирни, скорости
ветра, степени турбулентности воздуха в приземном слое, концентрации и
крупности капель, а также от температуры и влажности атмосферного воздуха.
При использовании в системах
оборотного водоснабжения с градирнями очищенных сточных вод остаточные примеси
вредных веществ и токсичных ингибиторов коррозии могут повлиять на
санитарно-гигиенические условия в зоне выброса и распространения водного
аэрозоля, выносимого из градирен.
На основе экспериментальной и
расчетной оценки токсичности аэрозолей оборотных вод устанавливаются
гигиенические нормативы - ориентировочные безопасные уровни воздействия
аэрозолей (ОБУВ). Такие нормативы должны учитываться при определении
допустимого выноса капельной влаги из градирен при расчетах минимальной
санитарно-защитной зоны от градирен до жилой зоны.
Возможен контроль загрязнения
атмосферы в районе расположения градирни и по аэрозолям отдельных компонентов,
которые встречаются в оборотной воде при использовании сточных вод, при этом их
концентрация не должна превышать ПДК.
Эпидемическая безопасность в
районе градирен обеспечивается обработкой сточных вод, используемых в системах
оборотного водоснабжения различными реагентами или безреагентными методами
обеззараживания воды. Допускается обработка оборотной воды гипохлоридом натрия,
озоном, озоном с хлором [9].
10.ТЕХНИКА БЕЗОПАСНОСТИ ПРИ
ЭКСПЛУАТАЦИИ ГРАДИРНИ
. Всe колодцы в схеме
циркуляционного тех. водоснабжения должны быть надежно закрыты крышками и
должны иметь таблички с наименованием задвижек, расположенных в них.
. Проемы шандорных камер имеют
надежное перекрытие из рифленого железа, смотровые окна в шандорной камере ЦНС
ограждены и имеют сетчатое перекрытие. Открывать перекрытие шандорных проемов и
шандорных камер ЗАПРЕЩАЕТСЯ.
. Камеры напорных задвижек
градирен и камера переключении ЦНС имеют стационарное освещение. Неисправности
в цепях освещения, а также замена ламп производится электромонтером.
. Осмотр градирен, ЦНС,
шандорных камер и камер переключений разрешается производить единолично.
Проверку работы разбрызгивающих устройств градирен разрешается производить
только в присутствии второго лица.
. Вce переключения и отключения
по выводу в ремонт цирк. водоводов производятся по программам.
. Допуск к работам ремонтных,
монтажных и строительных бригад производится по нарядам, согласно установленных
правил допуска к работам.
. Поддон бака для хранения
суточного запаса масла должен быть чистым и сухим. Пролитое масло должно
убираться немедленно.
. Обкалывание льда с
периферийных частей градирни производить с разрешения начальника смены цеха
специальным шестом и в присутствии наблюдающего.
. Камера переключений должна
быть закрыта на замок
. Средства пожаротушения должны
храниться в установленном месте, неисправные и пустые огнетушители должны
своевременно заменяться исправными.
При проведении ремонтных работ
следует руководствоваться требованиями СНиП 12-03-2001 «Безопасность труда в
строительстве. Часть 1. Общие требования», СНиП 12-04-2002 «Безопасность труда
в строительстве. Часть 1. Строительное производство».
Охлаждение воды заданного расхода до требуемой
температуры может быть обеспечено на градирнях различных типов и конструкций с
неодинаковыми затратами материальных и трудовых ресурсов и при неодинаковых
дополнительных нагрузках на окружающую среду. Поэтому при разработке новых и
привязке существующих проектов градирен к местным условиям строительства и
эксплуатации следует производить расчеты технико-экономических показателей
градирни для оценки эффективности ее реконструкции. Критерием выбора варианта
является минимум затрат, рассчитываемых с учетом фактора времени, или максимум
При оценке эффективности предлагаемого решения
используют обобщающие и частные показатели. К основным обобщающим показателям
экономической эффективности относят:
- годовой экономический эффект;
- расчетный коэффициент
эффективности капитальных затрат;
- срок окупаемости.
Капитальные вложения:

(11.1)
де 
стоимость всех видов строительных
работ и монтажа оборудования;

стоимость оборудования.
Продолжительность работы
турбоагрегата ст.№2 в летний период со средним расходом пара (по данным учета)
в конденсатор 200 т/ч составляет 3600 час/год. Дополнительная выработка
электроэнергии в год:
тыс. кВтч/год (11.2)
Экономия условного топлива:
тут/год (11.3)
где:
гут/кВтч - удельный расход топлива
на отпуск электроэнергии по конденсационному циклу в летние месяцы .
Экономический эффект в
предварительных ценах т.у.т на 2015 г. (4768,99 руб/тут):
,99руб/тут*649,4тут/год=3097 тыс.руб
Экономический эффект от установки
влагоуловителя из ПВХ малого сопротивления при средней экономии воды 60 м3/ч и
предварительной стоимостью технической воды (с учетом индексации на 2015 г.)
6,2 руб/м3 составит: 60 м3/ч*8760ч*6,2 руб/м3=3258,24 тыс руб.
Суммарная экономия по реконструкции
градирен №1,2 составит:
тыс.руб+3258,24тыс руб.=6355,2 тыс.
руб.
Срок окупаемости проекта:
тыс. руб/6355,2 тыс.руб=7,6 лет
Таким образом, в результате
полученных технико-экономических показателей затраты на внедрение проекта
составят 
руб. Срок окупаемости
капиталовложений будет 7.6 лет.
ЗАКЛЮЧЕНИЕ
До проведения реконструкции градирни
на станции на протяжении многих лет существовала ситуация, при которой работа
башенной брызгальной градирни и циркуляционной системы охлаждения в целом не
обеспечивала достаточной температуры охлажденной воды установку-потребитель.
Вследствие чего было предложено установить полимерный ороситель, а также
заменить внедрить полимерный водоуловитель.
В связи с реконструкцией градирни с
применением указанных комплектующих была увеличена тепловая нагрузка, предел
охлаждения оборотной воды смещен в зону более низких температур и составляет
18,2
. Применение полимерного оросителя
решило проблему неравномерности распределения воды в градирне. А также
сократился расход подпиточной воды с установкой более эффективных пластиковых водоуловителей,
повысилась надежность оборудование вследствие сокращения простоев в работе.
Укладка оросителей и водоуловителей на специальные площадки предотвращает их
обрушение в бассейн вследствие длительной эксплуатации.
Создание систем оборотного водоснабжения с
использованием градирен позволяет уменьшить затраты предприятий на потребление
и сброс технической воды, повысить КПД использования оборудования, благодаря
чему затраты на приобретение, транспортировку и монтаж градирни окупаются в
течение нескольких лет. Одновременно подобные системы позволяют решать
актуальные сегодня проблемы экологии.
СПИСОК ЛИТЕРАТУРЫ
1. Аксенов В.И., Ладыгичев М.Г. и
др. Водное хозяйство промышленных предприятий: Справочное издание: В 2-х
книгах. Книга 1/ Под ред. В.И. Аксенова - М.: Теплотехник, 2005.
2. Атанов Н.А.
Оборотное водоснабжение нефтеперерабатывающего завода. Учебное пособие. Самара:
Самарская государственная архитектурно-строительная академия. 2002.
3. Берман Л.Д. Испарительное
охлаждение циркуляционной воды.- М.: Госэнергоиздат, 1957.- 314 с.
4. Ведомственные
указания по технологическому проектированию производственного водоснабжения,
канализации и очистки сточных вод предприятий нефтеперерабатывающей
промышленности. ВУТП-97. М.: Министерство топлива и энергетики РФ, 1997.
5. Клевцов А.В., Радин В.П.,
Федорович Л.А. Расчет градирни/ Под ред. И.Н. Тамбиевой. - М.: Изд-во МЭИ,
1992. - 72с.
6. ПБ 03-585-03
«Правила устройства и безопасной эксплуатации технологических трубопроводов».
. Пономаренко В.С.,
Арефьев Ю.И. Градирни промышленных и энергетических предприятий: Справочное
пособие/ Под общ. ред. В.С. Пономаренко. - М.: Энергоатомиздат: 1998. - 376 с.:
ил.
. Пособие по
проектированию градирен (к СНиП 2.04.02-84). М.: ЦИТП Госстроя СССР, 1987г.
9. Правила техники безопасности при
обслуживании теплосилового оборудования электростанций. Атомиздат, 1972.
. РД 34.22.505. Методические
указания по эксплуатации башенных градирен.
11. СНиП
2.04.02-84* «Водоснабжение. Наружные сети и сооружения».
. СНиП 3.05.05-84
«Технологическое оборудование и технологические трубопроводы».
. СНиП 3.05.04-85
«Наружные сети и сооружения водоснабжения и канализации».
14. СНиП 23-01-99* «Строительная
климатология (с изменением №1)».
и строительстве.
15. Шабалин А.Ф. Оборотное
водоснабжение промышленных предприятий. - М., Стройиздат, 1996. 296 с.