Упрощенный порядок проектирования электрической сети района
Упрощённый
порядок проектирования электрической сети района
ОГЛАВЛЕНИЕ
Введение
. Разработка вариантов конфигураций и выбор номинальных напряжений
сети
. Ориентировочный выбор компенсирующих устройст
. Выбор числа и мощности трансформаторов на понижающих подстанциях
. Выбор конструктивного исполнения сети и сечений проводников
.1 Сечения проводников 35 кВ и выше
.2 Сечения проводников до 35 кВ
. Технико-экономическое сравнение вариантов сети
.1 Определение капитальных затрат
.2 Определение годовых эксплуатационных расходов
5.3 Сравнение двух вариантов сетей
. Электрический расчёт характерных режимов сети
. Выбор ответвлений трансформаторов и других средств обеспечения
качества напряжения
. Технико-экономические показатели электрической сети
Заключение
Список использованных источников
ВВЕДЕНИЕ
В данной работе рассмотрен
упрощённый порядок проектирования электрической сети района. В ходе работы
обучающимся достигнуты результаты:
) Усвоен материал, связанный с
содержанием работы;
) Повышен навык использования
справочной литературы;
) Приобретены знания и способности,
необходимые для дальнейшего обучения выбранной специальности.
1. РАЗРАБОТКА ВАРИАНТОВ КОНФИГУРАЦИЙ
И ВЫБОР НОМИНАЛЬНЫХ НАПРЯЖЕНИЙ СЕТИ
Из возможных вариантов конфигураций
сети выбираем два наилучших - №1 и №2.
Рисунок 1.1 - Варианты сети
Длины участков
Номинальное напряжение для участка
Л1 (вариант №1):
по формуле Илларионова
принимаем ближайшее
стандартное 
по экономическим
областям [3, рисунок 6.5] 
Принимаем 
Аналогично выбираем
номинальные напряжения остальных участков обоих вариантов конфигурации сети и
сводим результаты в таблицу 1.2.
Таблица 1.2 - Результаты
выбора номинального напряжения участков сети
|
Участок сети
|
Номинальное напряжение
|
Выбранное напряжение, кВ
|
|
По формуле Илларионова
|
По экономическим областям
|
|
|
Вариант сети №1
|
|
Л1
|
110
|
110/150
|
110
|
|
Л2
|
110
|
110
|
110
|
|
Л3
|
220
|
220
|
220
|
|
Л4
|
220
|
220
|
220
|
|
Вариант сети №2
|
|
Л1
|
220
|
220
|
220
|
|
Л2
|
220
|
220
|
220
|
|
Л3
|
110
|
110/220
|
220
|
|
Л4
|
110
|
110
|
220
|
|
Л5
|
220
|
220
|
220
|
2. ОРИЕНТИРОВОЧНЫЙ ВЫБОР
КОМПЕНСИРУЮЩИХ УСТРОЙСТВ
Рассчитаем необходимую мощность
компенсаторов реактивной мощности по формуле:
и сведём результаты в таблицу 2.1
Таблица 2.1 - Необходимые мощности
реактивных компенсаторов
|
Потребитель
|
|
|
|
|
1
|
28
|
0,89
|
7,28
|
|
2
|
23
|
0,95
|
0
|
|
3
|
72
|
0,95
|
0
|
|
4
|
72
|
0,90
|
10,8
|
Потребитель №1. I категория.
Необходимая мощность одного компенсатора
Выбираем по [1, таблица
7.27] стандартную 10 кВ шунтовую конденсаторную батарею мощностью 
.
Потребитель №2. III
категория. В обоих вариантах схемы будет использован один двухобмоточный
трансформатор. Компенсатор для этого потребителя не требуется, так как реальный
коэффициент мощности соответствует желаемому.
Потребитель №3. В обоих
вариантах схемы будет использован один двухобмоточный трансформатор. Компенсатор
для этого потребителя не требуется, так как реальный коэффициент мощности
соответствует желаемому.
Потребитель №4. I
категория, напряжения всех подводимых линий одинаковы (п. 1). В обоих вариантах
сети будут использованы два двухобмоточных трансформатора. Необходимая мощность
одного компенсатора
Выбираем по [1, таблица
7.27] стандартную 10 кВ шунтовую конденсаторную батарею мощностью 
.
Сведём полученные данные
в таблицу 2.2
Таблица 2.2 - Результаты
выбора компенсирующих устройств
|
Номер подстанции
|
|
   Количество и тип
компенсирующих устройств
|
|
|
|
|
Вариант сети №1
|
|
1
|
28
|
0,59
|
0,329
|
9,6
|
4 ШКБ 2,4 Мвар
|
|
2
|
23
|
0,329
|
0,329
|
0
|
-
|
|
3
|
72
|
0,329
|
0,329
|
0
|
-
|
|
4
|
72
|
0,48
|
0,329
|
14,4
|
4 ШКБ 3,6 Мвар
|
|
Вариант сети №2
|
|
1
|
28
|
0,59
|
0,329
|
9,6
|
4 ШКБ 2,4 Мвар
|
|
2
|
23
|
0,329
|
0,329
|
0
|
-
|
|
3
|
72
|
0,329
|
0,329
|
0
|
-
|
|
4
|
72
|
0,48
|
0,329
|
14,4
|
4 ШКБ 3,6 Мвар
|
3. ВЫБОР ЧИСЛА И МОЩНОСТИ
ТРАНСФОРМАТОРОВ НА ПОНИЖАЮЩИХ ПОДСТАНЦИЯХ
Потребитель №1
Минимальная мощность каждого
трансформатора:
Выбираем по [1, таблица 5.18]
трансформатор ТРДН-25000/110.
Для второго варианта выбираем
трансформатор ТРДН-25000/220
Коэффициент загрузки трансформатора:
в нормальном режиме
в аварийном режиме
Потребитель №2
Минимальная мощность каждого
трансформатора:
Выбираем по [1, таблица 5.18]
трансформатор ТРДН-25000/110.
Для второго варианта выбираем
трансформатор ТРДН-25000/220
Коэффициент загрузки трансформатора
Потребитель №3.
Минимальная мощность каждого
трансформатора:
Выбираем по [1, таблица 5.18]
трансформатор ТРДН-63000/220.
Для второго варианта выбираем
трансформатор ТРДН-63000/220
Коэффициент загрузки трансформатора
Коэффициент аварийной перегрузки
Потребитель №4.
Минимальная мощность каждого
трансформатора:
Выбираем по [1, таблица 5.18]
трансформатор ТДН-63000/220.
Коэффициент загрузки трансформатора:
в нормальном режиме
в аварийном режиме
Потребитель №5. II категория,
напряжение линии - 10 кВ. Требуется установка двух трансформаторов 10/0,4 кВ.
Полная мощность потребителя
Минимальная мощность каждого
трансформатора:
Выбираем по [2, таблица 24.4]
трансформатор ТС-400/10.
Коэффициент загрузки трансформатора:
в нормальном режиме
в аварийном режиме
Потребитель №6. II категория,
напряжение линии - 10 кВ. Требуется установка одного трансформатора 10/0,4 кВ.
Полная мощность потребителя
Минимальная мощность трансформатора:
Выбираем по [2, таблица 24.5]
трансформатор ТМ-400/10.
Коэффициент загрузки трансформатора
Коэффициент аварийной перегрузки
Результаты выбора трансформаторов
сводим в таблицу 3.1
Таблица 3.1 - Результаты выбора
трансформаторов
|
Номер подстанции
|
|
Категория потребителей
|
Число трансформаторов
|
|
Марка трансформаторов
|
|
|
|
1
|
28,84
|
1
|
2
|
25
|
ТРДН-25000/110
|
0,58
|
1,15
|
|
2
|
24,2
|
3
|
1
|
25
|
ТРДН-25000/110
|
0,97
|
-
|
|
3
|
75,8
|
1
|
2
|
63
|
ТРДН-63000/220
|
|
|
|
4
|
72,6
|
1
|
2
|
63
|
ТРДН-63000/220
|
0,58
|
1,15
|
|
5
|
|
2
|
2
|
400
|
ТС-400/10
|
|
|
|
6
|
|
2
|
2
|
400
|
ТМ-400/10
|
|
|
|
Вариант сети №2
|
|
1
|
28,84
|
1
|
2
|
25
|
ТРДН-25000/220
|
0,58
|
1,15
|
|
2
|
24,2
|
3
|
1
|
25
|
ТРДН-25000/220
|
0,97
|
-
|
|
3
|
75,8
|
1
|
2
|
63
|
ТРДН-63000/220
|
|
|
|
4
|
72,6
|
1
|
2
|
63
|
ТРДН-63000/220
|
0,58
|
1,15
|
|
5
|
|
2
|
2
|
400
|
ТС-400/10
|
|
|
|
6
|
|
2
|
2
|
400
|
ТМ-400/10
|
|
|
|
|
|
|
|
|
|
|
|
Структурные схемы сетей представлены
на рисунке 3.1
а) Вариант №1
б) Вариант №2
Рисунок 3.1 - Структурные схемы
сетей
4. ВЫБОР КОНСТРУКТИВНОГО ИСПОЛНЕНИЯ
СЕТИ И СЕЧЕНИЙ ПРОВОДНИКОВ
электрическая сеть проектирование
4.1 Сечения проводников 35 кВ и выше
Для передачи электроэнергии
используем сталеалюминевые воздушные линии.
Вариант №1
Мощность, передаваемая линией Л1:
Расчётный ток в Л1 в режиме
наибольших нагрузок при нормальном режиме работы сети:
Так как для всех
потребителей 
, то экономическая
плотность тока для всех линий 
[1, таблица 3.12].
Экономическое сечение
линии Л1:
По условию короны
сечение линии 110 кВ не может быть менее 
. Принимаем
предварительно провод АС-150/24.
Производим проверку по
нагреву. Длительно допустимый ток для проводов АС-150/24 вне помещений 
[1, таблица 3.15].
Послеаварийный ток в
линии Л1 
Так как 
, то провод АС-150/24
проходит проверку по нагреву, принимаем его для линии Л1.
Аналогично выполним
подбор сечений проводников для всех остальных линий и сведём результаты в
таблицу 4.1
Таблица 4.1 - Результаты
выбора сечений проводов ВЛ 35 кВ и выше
|
Участок сети
|
|
Ток, А
|
|
Сечение по условию:
|
|
Марка провода
|
|
|
Нормальный режим
|
Послеаварийный режим
|
|
 короны
|
|
|
|
|
Вариант сети №1
|
|
Л1
|
110
|
139
|
278
|
0,9
|
150
|
70
|
450
|
АС150/24
|
|
Л2
|
110
|
127
|
127
|
0,9
|
150
|
70
|
450
|
АС120/19
|
|
Л3
|
220
|
100
|
200
|
0,8
|
120
|
240
|
310
|
АС 240/32
|
|
Л4
|
220
|
96
|
192
|
0,8
|
120
|
240
|
610
|
АС 240/32
|
|
Вариант сети №2
|
|
Л1
|
220
|
262,5
|
526,7
|
0,9
|
240
|
240
|
610
|
АС240/32
|
|
Л2
|
220
|
191
|
446
|
0,9
|
180
|
240
|
610
|
АС240/32
|
|
Л3
|
220
|
123
|
380
|
0,9
|
150
|
240
|
610
|
АС240/32
|
|
Л4
|
220
|
71
|
189
|
0,9
|
120
|
240
|
610
|
АС240/32
|
|
Л5
|
220
|
264,2
|
526,7
|
0,9
|
240
|
240
|
610
|
АС240/32
|
4.2 Сечения проводников до 35 кВ
Схема питания потребителей №№ 5, 6
приведена на рисунке 4.1. Питание осуществляется ВЛ 10 кВ.
Рисунок 4.1 - Схема питания
потребителей №№ 5, 6
Производим выбор сечения ВЛ.
Провод, питающий потребителя №6
) Выбор по экономической плотности
тока.
Принимаем ближайшее
стандартное сечение жилы 
Выбираем провод марки
СИП-3-16
Сведём результаты в
таблицу 4.2.
Таблица 4.2 - Результаты
выбора сечений кабелей КЛ 10 кВ
|
Потребитель
|
Ток, А
|
|
Сечение по условию:
|
|
Марка кабеля
|
Нормальный режим Послеаварийный
режим 
|
|
|
|
|
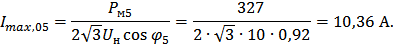
5
|
10,36
|
20,72
|
1,1
|
16
|
80
|
СИП 
|
|
6
|
10,89
|
21,78
|
1,1
|
16
|
80
|
СИП 
|
5. ТЕХНИКО-ЭКОНОМИЧЕСКОЕ СРАВНЕНИЕ
ВАРИАНТОВ СЕТИ
При сравнении двух вариантов
электрических сетей используем метод приведённых затрат.
Приведённые затраты при
одновременных капитальных вложениях (при сроке строительства не более года) и
постоянных годовых эксплуатационных расходах вычисляются по формуле:
где 
- нормативный
коэффициент эффективности капитальных вложений, равный 0,12;
К - капитальные затраты
на сооружение электрической сети;
И - ежегодные издержки
на эксплуатацию сети.
.1 Определение
капитальных затрат
Капитальные вложения на
сеть состоят из затрат на сооружение линий и на сооружение подстанций.
.1.1 Затраты на
сооружение линий
В капитальные вложения
на линии входят затраты: на подготовку трассы линий, опоры, изоляторы, провода,
монтаж линий и пр.
В качестве опор для
сооружения ВЛ 220 кВ и выше принимаем стальные опоры.
Таблица 5.1 - Оценка
капитальных затрат на сооружение ВЛ для варианта сети №1
|
Участок сети
|
Л1
|
Л2
|
Л3
|
Л4
|
|
Номинальное напряжение, кВ
|
110
|
110
|
220
|
220
|
|
Количество цепей на опоре, шт
|
1
|
1
|
1
|
1
|
|
Марка провода
|
АС150/24
|
АС120/19
|
АС240/32
|
АС240/32
|
|
Длина линий, км
|
57
|
17
|
45
|
66
|
|
Количество линий на участке, шт
|
2
|
1
|
2
|
2
|
|
Базовые показатели стоимости, тыс. руб./км
|
1050
|
1050
|
1200
|
1200
|
|
Базовая стоимость участка сети, тыс. руб.
|
119700
|
17850
|
108000
|
158400
|
|
Капитальные затраты с учётом повышающего коэффициента, тыс. руб.
|
318881
|
47552
|
287712
|
421978
|
|
Итоговые капитальные затраты на линии, тыс. руб.
|
1076122
|
Таблица 5.2 - Оценка капитальных
затрат на сооружение ВЛ для варианта сети №2
|
Участок сети
|
Л1
|
Л2
|
Л3
|
Л4
|
Л5
|
|
Номинальное напряжение, кВ
|
220
|
220
|
220
|
220
|
220
|
|
Количество цепей на опоре, шт
|
1
|
1
|
1
|
1
|
1
|
|
Марка провода
|
АС240/32
|
АС240/32
|
АС240/32
|
АС240/32
|
АС240/32
|
|
Длина линий, км
|
57
|
17
|
17
|
45
|
66
|
|
Количество линий на участке, шт
|
1
|
1
|
1
|
1
|
1
|
|
Базовые показатели стоимости, тыс. руб./км
|
1200
|
1200
|
1200
|
1200
|
1200
|
|
Коэффициент приведения затрат к 2005 году
|
2,664
|
2,664
|
2,664
|
2,664
|
2,664
|
|
Базовая стоимость участка сети, тыс. руб.
|
68400
|
20400
|
20400
|
54000
|
79200
|
|
Капитальные затраты с учётом повышающего коэффициента
|
182217,6
|
54345,6
|
54345,6
|
143856
|
210988,8
|
|
Итоговые капитальные затраты на линии, тыс. руб.
|
645753,6
|
5.1.2 Затраты на сооружение
подстанций
В обоих вариантах сети все
подстанции являются одинаковыми или отличия в них несущественны и не влияют на
стоимость. Поэтому сравнивать их не имеет смысла так как их стоимость будет
одинакова.
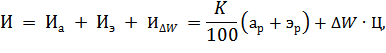
.2 Определение годовых
эксплуатационных расходов
Ежегодные издержки сети
состоят из отчислений от капитальных затрат на амортизацию эксплуатацию 
и подстанций 
и стоимости 
потерь электроэнергии 
за год:
где 
- издержки на
амортизацию;

- издержки на
эксплуатацию;

- затраты на возмещение
потерь электроэнергии;

- коэффициент
амортизации, %;

- отчисления на ремонты
и обслуживание элементов сети, %.

- стоимость 1кВт∙ч
потерянной энергии, руб.
.2.1 Определение
ежегодных издержек на амортизацию и эксплуатацию
Издержки на амортизацию
и эксплуатацию линий варианта сети №1
Аналогично рассчитываются ежегодные
издержки на амортизацию и эксплуатацию других линий и подстанций обоих
вариантов сети. Вычисляем эти издержки и сводим результат в таблицу.
Таблица 5.4 - Расчёт ежегодных
издержек на амортизацию и эксплуатацию
|
Вариант №1
|
Вариант №2
|
|
Капитальные затраты на сооружение, тыс. руб.:
|
|
|
|
линий
|
|
645753,6
|
|
Издержки на амортизацию и эксплуатацию, тыс. руб.:
|
|
|
|
линий
|
72100,17
|
43265,5
|
|
итого
|
72100,17
|
43265,5
|
.2.2 Определение затрат на
возмещение потерь электроэнергии
Вариант сети №2
Время наибольшей нагрузки для участка
ИП-1:
Время наибольших потерь на участке
Потери активной мощности на участке:
Потери электроэнергии на участке
Аналогично вычислим потери
электроэнергии на остальных участках и сведём результаты расчётов в таблицу.
Таблица 5.5 - Определение потерь
электроэнергии в сетях
|
Параметр
|
Вариант №1
|
Вариант №2
|
|
А-1
|
2-1
|
А-4
|
3-4
|
А-1
|
1-2
|
2-3
|
3-4
|
4-5
|
|
Время наибольшей нагрузки, ч
|
2159
|
3790
|
5755
|
5720
|
4934
|
5306
|
5790
|
5790
|
5755
|
|
Время наибольших потерь, ч
|
1012
|
2216
|
4286
|
4243
|
3339
|
3754
|
4329
|
4329
|
4286
|
|
Потери активной мощности, МВт
|
9,42
|
3,85
|
3,88
|
0,93
|
3,88
|
1,27
|
0,796
|
1,69
|
2,29
|
|
Потери электроэнергии, МВт∙ч
|
9533
|
8532
|
16630
|
12955
|
4768
|
3463
|
7316
|
9815
|
|
38641
|
32317
|
Потери электроэнергии в трансформаторах
включают потери в стали, величина которых зависит только от параметров
трансформатора и потери в меди, величина которых зависит ещё и от загрузки
трансформатора.
Например, для варианта сети №2
потери в стали на ПС№2:
где 
- потери холостого хода
одного трансформатора, МВт;

- количество часов
работы в год;

- количество
трансформаторов на ПС.
Таблица 5.6 -
Определение потерь электроэнергии в трансформаторах ПС №3
|
Параметр
|
Вариант №1
|
Вариант №2
|
|
Мощность потерь холостого хода 1-го трансформатора, МВт
|
0,030
|
0,025
|
|
Потери холостого хода, МВт∙ч
|
220,2
|
183,5
|
|
Время наибольшей нагрузки, ч
|
3670
|
3670
|
|
Мощность нагрузочных потерь в трансформаторах ПС, МВт
|
9845
|
9201
|
|
Итоговые потери в трансформаторах
|
10062,2
|
9384,5
|
Итого потери электроэнергии
составляют:
для варианта сети №1 48703,2 МВт∙ч;
для варианта сети №2 - 41707,5 МВт∙ч,
затраты на возмещение этих потерь
при стоимости электроэнергии 313 коп/кВт∙ч составляют соответственно
161207,6 и 125051,8 тыс. руб.
.3 Сравнение двух вариантов сетей
Полученные в предыдущих пунктах
данные подставим в формулу 5.1 и используем полученные данные для
технико-экономического сравнения двух выбранных вариантов сетей.
Таблица 5.7 - Технико-экономическое
сравнение вариантов
|
Параметр
|
Вариант №1
|
Вариант №2
|
|
Капитальные затраты на сооружение, тыс. руб.
|
1076122
|
645753,6
|
|
Ежегодные издержки на амортизацию и эксплуатацию, тыс. руб.
|
72100,17
|
43265,5
|
|
Ежегодные издержки на на возмещение потерь электроэнергии, тыс.
руб.
|
161207,6
|
125051,8
|
|
Приведённые затраты, тыс. руб.
|
362442,41
|
246007,73
|
Очевидно, вариант сети №2 является
более предпочтительным.
6. ЭЛЕКТРИЧЕСКИЙ РАСЧЁТ ХАРАКТЕРНЫХ
РЕЖИМОВ СЕТИ
Определим расчётные нагрузки
подстанций.
Для ПС №4
Мощность в режиме наибольших
нагрузок:
С учётом компенсации:
Потери мощности в трансформаторах
Зарядовая мощность примыкающих
линий:
Аналогично выполняется расчёт для
режима наименьших нагрузок и для других районных подстанций. Результаты
расчётов сводим в таблицу 6.1
Таблица 6.1 - Определение расчётных
нагрузок подстанций
|
Определяемый параметр
|
Номер подстанции
|
|
1
|
2
|
3
|
4
|
|
Мощность нагрузки, МВА
|
max
|
28+j6,92
|
23+j7,59
|
72+j23,76
|
72,631+j10,41
|
|
min
|
18,76+j4,636
|
15,41+j5,09
|
48,24+j15,92
|
48,24+j6,271
|
|
Мощность компенсирующих устройств, Мвар
|
9,6
|
0
|
0
|
10,8
|
|
Потери мощности в трансформаторах, МВА
|
max
|
0,377+j6,296
|
0,15+j2,883
|
0,186+j3,339
|
0,434+j1,286
|
|
min
|
0,189+j2,948
|
0,066+j1,024
|
0,104+j1,315
|
0,395+j0,519
|
|
Зарядная мощность линий, примыкающих к подстанции, Мвар
|
4,66
|
2,143
|
3,718
|
6,806
|
|
Расчётная нагрузка подстанции, МВА
|
max
|
28,377+j13,21
|
23,15+j10,213
|
72,186+j27,1
|
73.07+j11,696
|
|
min
|
18,95+j7,584
|
16,07+j6,114
|
48,344+j17,24
|
48,64+j6,79
|
Рассчитаем 3 характерных режима сети
- режимы наибольших и наименьших нагрузок и послеаварийный.
Сведем данные в таблицы:
Таблица 6.2 - Режим наибольших
нагрузок
|
Определяемый параметр
|
Участок сети
|
|
A-1
|
A-4
|
1-2
|
2-3
|
3-4
|
|
Сопротивление участка, Ом
|
6,73+j24,8
|
7,79+j28.71
|
2,006+j7,4
|
2,006+j7,4
|
4,956+j18,27
|
|
Потери мощности на участке, МВА
|
1,061+j2,775
|
0,721+j2,66
|
0,054+j0,077
|
0,071+j0,039
|
0,254+j0,368
|
|
Мощность в начале участка, МВА
|
99,18+j24,05
|
99,27+j20,4
|
70,02+j17,15
|
46,9+j9,99
|
25,53+j9,46
|
|
Напряжение в начале участка, кВ
|
242
|
242
|
237,3
|
236,2
|
235,5
|
|
Падение напряжения на участке, кВ
|
4,7
|
1,9
|
1,1
|
0,7
|
4,6
|
|
Напряжение в конце участка, кВ
|
237,3
|
240,1
|
236,2
|
235,5
|
240,1
|
Расчёт режима наименьших
нагрузок отличается от режима наибольших нагрузок только сниженными расчётными
нагрузками подстанций (коэффициент 0,56) и напряжением источника питания - оно
составляет не 
, а 
. Сведём результаты
расчётов этого режима в таблицу 6.3.
Таблица 6.3 - Режим
наименьших нагрузок
|
Определяемый параметр
|
Участок сети
|
|
A-1
|
A-4
|
1-2
|
2-3
|
3-4
|
|
Сопротивление участка, Ом
|
6,73+j24,8
|
7,79+j28.71
|
2,006+j7,4
|
2,006+j7,4
|
4,956+j18,27
|
|
Потери мощности на участке, МВА
|
0,416+j0,853
|
0,42+j0,932
|
0,013+j0,123
|
0,013+j0,123
|
0,365+j1,12
|
|
Мощность в начале участка, МВА
|
66,17+j9,98
|
66,45+j7,53
|
46,89+j8,127
|
31,37+j4,154
|
17,45+j5,125
|
|
Напряжение в начале участка, кВ
|
231
|
231
|
228,2
|
227,6
|
227,1
|
|
Падение напряжения на участке, кВ
|
2,8
|
1,1
|
0,6
|
0,5
|
2,8
|
|
Напряжение в конце участка, кВ
|
228,2
|
229,9
|
227,6
|
227,1
|
229,9
|
В качестве послеаварийного режима
рассматриваем повреждение на участке А-1, а для расчёта послеаварийного режима
на этом участке - повреждение на участке А-4. Расчёт послеаварийного режима
отличается от режима наибольших нагрузок также изменением расчётных нагрузок
подстанций (вследствие отсутствия зарядовых мощностей, поступающих с участков,
подвергшихся повреждению). Сведём результаты расчётов этого режима в таблицу 6.4.
Таблица 6.4 - Послеаварийный режим
|
Определяемый параметр
|
Участок сети
|
|
A-1
|
1-2
|
2-3
|
3-4
|
|
Сопротивление участка, Ом
|
6,73+j24,8
|
2,006+j7,4
|
2,006+j7,4
|
4,956+j18,27
|
|
Потери мощности на участке, МВА
|
4,385+j8,389
|
0,672+j0,707
|
0,176+j0,361
|
2,286+j3,297
|
|
Мощность в начале участка, МВА
|
201,04+j47,58
|
169,17+j35,61
|
145,38+j27,84
|
72,983+j8,7
|
|
Напряжение в начале участка, кВ
|
242
|
233,3
|
230,8
|
228,7
|
|
Падение напряжения на участке, кВ
|
8,7
|
2,7
|
2,1
|
1,6
|
|
Напряжение в конце участка, кВ
|
233,3
|
230,8
|
228,7
|
227,1
|
7. ВЫБОР ОТВЕТВЛЕНИЙ ТРАНСФОРМАТОРОВ
И ДРУГИХ СРЕДСТВ ОБЕСПЕЧЕНИЯ КАЧЕСТВА НАПРЯЖЕНИЯ
Напряжение в точке 2:
в режиме наибольших нагрузок
Напряжение ответвления, которое
обеспечивает желаемое напряжение в точке 3:
в режиме наибольших
нагрузок (
):
Устройство регулирования
трансформатора имеет пределы 
.
Подберём аналогичным
образом ответвления для других подстанций и послеаварийного режима. Сводим
результаты в табл. 7.1 (первое число - для режима наибольших нагрузок, второе -
для режима наименьших нагрузок, третье - для послеаварийного режима).
Таблица 7.1 - Результаты
выбора ответвлений трансформаторов с РПН
|
Определяемый показатель
|
Номер подстанции
|
|
1
|
2
|
3
|
4
|
|
Напряжение на стороне ВН, кВ
|
233,9/226/230
|
232,7/224,3/223,6
|
230,1/226/225,2
|
234,8/229/223
|
|
Потеря напряжения в трансформаторе, кВ
|
3,4/2,2/3,3
|
3,5/3,2/6,0
|
5,3/1,1/3,3
|
5,4/0,9/2,8
|
|
Требуемое напряжение на стороне НН, кВ
|
10,5/10/10,5
|
10,5/10/10,5
|
10,5/10/10,5
|
10,5/10/10,5
|
|
Расчётное напряжение регулировочного ответвления, кВ
|
243,3/232/242
|
245,5/231,5/240
|
244,5/233/239,6
|
244,1/231,8/245.8
|
|
Выбранное ответвление  2/4/-11/4/-3-2/1/-33/6/-2
|
|
|
|
|
|
Действительное напряжение на стороне НН, кВ
|
10,53/9,9/10,5
|
10,5/9,9/10,4
|
10,6/9,9/10,4
|
10,5/9,9/10,5
|
Таблица 7.2 - Результаты выбора
ответвлений трансформаторов с ПБВ
|
Определяемый показатель
|
Номер подстанции
|
|
5
|
6
|
|
Напряжение на стороне ВН, кВ
|
10,4/9,9/10,6
|
10,4/10/10,6
|
|
Потеря напряжения в трансформаторе, кВ
|
0,2/0,1/0,5
|
0,4/0,3/0,4
|
|
Напряжение на стороне НН, приведённое к обмотке ВН, кВ
|
10,2/9,8/10,1
|
10/9,7/10,2
|
|
Требуемое напряжение на стороне НН, кВ
|
0,38…0,42
|
0,38…0,42
|
|
Выбранное ответвление  00
|
|
|
|
Стандартное напряжение выбранного регулировочного ответвления,
кВ
|
10
|
10
|
|
Действительное напряжение на стороне НН, кВ
|
0,408/0,393/0,405
|
0,401/0,389/0,409
|
8. ТЕХНИКО-ЭКОНОМИЧЕСКИЕ ПОКАЗАТЕЛИ
ЭЛЕКТРИЧЕСКОЙ СЕТИ
Сводим в таблицу
технико-экономические показатели сети.
|
Параметр
|
Значение
|
|
Номинальное напряжение сети, кВ
|
220/10
|
|
Длина линий, км 220 кВ 10 кВ
|
199 4,3
|
|
Мощность компенсирующих устройств, Мвар
|
24
|
|
Общая активная мощность потребителей, МВт
|
195,672
|
|
Установленная мощность трансформаторов подстанций, МВ∙А
|
176,8
|
|
Капитальные вложения в сеть, тыс. руб.
|
635753,6
|
|
Годовые эксплуатационные расхода по сети, тыс. руб.
|
43262,5
|
|
Приведённые затраты электрической сети, тыс. руб.
|
119552,9
|
|
Потери мощности в линиях и трансформаторах сети, МВ∙А
|
11,25
|
|
Потери электроэнергии в линиях и трансформаторах сети, МВт∙ч
|
25121
|
|
Годовая потребляемая всеми потребителями электроэнергия, МВт∙ч
|
393170
|
|
Удельные капитальные вложения, тыс. руб./МВт∙км
|
30
|
|
Себестоимость передачи электроэнергии, руб./МВт∙ч
|
0,12
|
|
Стоимость передачи электроэнергии, руб./МВт∙ч
|
0,31
|
ЗАКЛЮЧЕНИЕ
Итог выполненной работы:
) Разработаны несколько возможных
конфигураций электрической сети, выбраны наилучшие из них, подобраны напряжения
участков;
) Для крупных потребителей выполнен
упрощённый подбор компенсаторов реактивной мощности;
) Выбраны трансформаторы для
подстанций;
) Выбраны сечения и конструктивное
исполнение проводников сети;
) Произведён электрический расчёт
характерных режимов окончательного варианта сети;
) Произведён выбор ответвлений
трансформаторов сети.
СПИСОК ИСПОЛЬЗОВАННЫХ ИСТОЧНИКОВ
1. 1 Карпетян, И.Г.
Справочник по проектированию электрических сетей [Текст] / И.Г. Карпетян, Д.Л.
Файбисович, И.М. Шапиро, под редакцией Д.Л. Файбисовича. - 3-е изд. перераб. и
доп. - М.: ЭНАС, 2009. - 392с.
2. 2 Авторы
Электротехнический справочник В 4 т. Т. 2 Электротехнические изделия и
устройства [Текст]/ Под общ. ред. профессоров МЭИ В.Г. Герасимова и др. (гл.
ред. И.Н. Орлов) - 9-е изд., стер. - М.: Издательство МЭИ, 2003. - 518 с.
. 3 Идельчик,
В.И. Электрические системы и сети [Текст]: учебник для вузов / В.И. Идельчик -
М.: Энергоатомиздат, 2014. - 592 с.
. 4 Правила
устройства электроустановок: все действующие разделы шестого и седьмого изданий
[Текст]
. 5 Неклепаев,
Б.Н. Электрическая часть станций и подстанций: Справочные материалы для
курсового и дипломного проектирования [Текст]: Учеб. пособие для вузов / Б.Н.
Неклепаев, И.П. Крючков - М.: Энергоатомиздат, 2009. - 608 с.