|
1,8
2.1 Определение нагрузок, действующих на
качалку
Известно, что силы Р1 и Р2
перпендикулярны нейтральному положению качалки. Принята следующая расчетная
схема - рис.1.
На качалку действуют нагрузки Р1, Р2
и их реакции Rax Ray
неизвестными являются Р2‚ Rаx,
Rау
они определены таким образом.
Плечи сил Р1 и Р2
относительно точки А соответственно h1
и h2.
Определим их.
АВ=h1=r1·cosβ=140·cos19°=132,37
мм=h2=r2·cosβ=150·cos19°=141,83
мм
Условием равновесия качалки будет следующее
уравнение моментов всех сил, действующих на качалку относительно точки А.
ΣМА=0; P1·h1-P2·h2=0
Известно‚ что: α=90°+δ=90+6=96°
где δ
- угол между осью АУ системы координат ХАУ и осью АВ, соответствующей
нейтральному положению одного из плеч качалки (рис.1).
Определение реакций действующих сил в точке А (Rax‚
Rау).
Для определения реакций Rах,
Rау
составлено два уравнения равновесия.
Сумма проекций всех действующих сил на ось АХ
равна нулю.
ΣFX=0,
RAX+P1·cosδ=0
RAX=-Р1·cosδ=-920·cos6°=-914,96
кгс
где δ=а-90=96-90=6°
И сумма проекций всех действующих сил на ось АУ
равна нулю.
ΣFy=0
Откуда находим неизвестную реакцию Rау:
P2+P1·sinδ+Ray=0,=-P2-P1·sinδ=-920-858,67·sin6°=954,83
кгс
По знакам RАХ и RАУ
определено, что эти реакции направлены в сторону, противоположную
положительному направлению соответствующих осей АХ и АУ, (рис. 1). Показанные
на рис.1 реакции имеют знак «минус».
Рисунок 1 - Расчетная схема качалки.
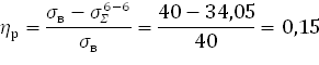
.2 Проектирование качалки
Каждое плечо качалки необходимо рассчитать по
трем сечениям: 1-1‚ 2-2‚ 3-3.
Сечение 1-1 проходит по оси болта крепления
качалки и тяги. Сечение 2-2 дано в середине плеча качалки. Сечение 3-3
максимально удаленное от линии действия силы (оси болта крепления качалки и
тяги) сечение.
Сечение 1-1 работает на срез.
Необходимо определить максимально допустимую
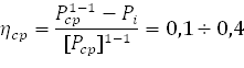
нагрузку по срезу [Рср]1-1 и сравнить ее c действующей.
При проектировании проушина качалки (сечение
1-1) необходимо чтобы:
[Pcp]1-1>Pi (i=1,
2).
При этом коэффициент запаса прочности по срезу
должен составлять:
где:
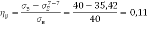
σв=40
кг/мм2
[τср]=0,6σв=0,6·40=24
кг/мм2
Примем с1=6 мм, d1=5
мм, b1=10
мм, H1=20 мм.
Fcp=(H1-d1)·(b1-c1)=(20-5)·(10-6)=60
мм2
[Рср]1-1=[τср]·Fср=
24·60=1440 кгс
Сечение 2-2 (также и сечение 3-3) воспринимает
изгибные напряжения от силы Рі на плече h2-2 (для сечения
3-3 на плече h3-3)‚
сжимающие для левого плеча качалки, от составляющей силы Р1, (Р1sіnβ)
и растягивающие для правого плеча от составляющей силы Р2 (Р2sіnβ).
Приближение первое:
Примем с2=7 мм, b2=18
мм, h2=32
мм, H2=40 мм, h2-2=65
мм.
Изгибающий момент в сечении 2-2 составит:
Mi2-2=Pi·cosβ·h2-2 (i=1,
2)
i=1 левое плечо, i=2
правое плечо.
M12-2=920·cos19°·65=56542,01
кгс·мм
M22-2=858,67·cos19°·65=52772,54
кгс·мм
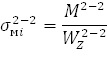
Момент сопротивления сечения 2-2 относительно
оси z:
Напряжения от изгибающего момента в сечении 2-2.
Напряжение от сжимающей нагрузки в сечении 2-2
(для левого плеча):
где: F 2-2- площадь сечения 2-2.
F2-2=b2·(H2-h2)+(b2-2·c2)·h2=
18·(40-32)+(18-2·7)·32=272 мм2
Напряжение от растягивающей нагрузки во втором
сечении правого плеча.
Суммарные напряжения для сечения 2-2:
σΣ12-2= σM2-2·σСЖ2-2=23,45·1,1=24,56

σΣ22-2= σM2-2+σP2-2=21,89+1,03=22,92

Напряжения будут максимальны для
внутренней полки левого плеча (здесь сжимающие напряжения складываются) и
наружней полки правого плеча (складываются растягивающие напряжения).
Параметры с2, b2, h2, H2
подбираются исходя из требуемого коэффициента запаса прочности.
Коэффициенты запаса прочности для
левого и правого плеча очень высокие, поэтому изменим параметры с2, b2, h2, H2.
Приближение второе:
Примем с2=4 мм, b2=13 мм, h2=33 мм, H2=38
мм, h2-2=65 мм.
M12-2=920·cos19°·65=56542,01
кгс·мм
M22-2=858,67·cos19°·65=52772,54
кгс·мм
Момент сопротивления сечения 2-2
относительно оси z:
Напряжения от изгибающего момента в
сечении 2-2.
Напряжение от сжимающей нагрузки в
сечении 2-2 (для левого плеча):
F2-2=13·(38-33)+(13-2·4)·33=230
мм2
Напряжение от растягивающей нагрузки
во втором сечении правого плеча.
Суммарные напряжения для сечения
2-2:
σΣ12-2=33,72·1,3=35,03

σΣ22-2=31,47+1,22=32,69

Коэффициенты запаса прочности:
Коэффициенты в пределах нормы.
Сечение 3-3
Примем с3=5 мм, b3=16 мм, h3=45 мм, H3=50
мм, h3-3=100 мм.
Изгибающий момент в сечении 3-3
составит:
M13-3=920·cos19°·100=86987,71
кгс·мм
M23-3=858,67·cos19°·100=81188,53
кгс·мм
Момент сопротивления сечения 2-2
относительно оси z:
Напряжения от изгибающего момента в
сечении 2-2.
Напряжение от сжимающей нагрузки в
сечении 3-3 (для левого плеча):
F3-3=16·(50-45)+(16-2·5)·45=230
мм2
Напряжение от растягивающей нагрузки
во втором сечении правого плеча.
Суммарные напряжения для сечения
2-2:
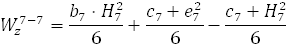
σΣ13-3= · =27,28 
σΣ23-3= + =25,46 
Коэффициенты запаса прочности:
Коэффициенты в пределах нормы.
3.
Проектирование кронштейна
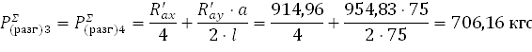
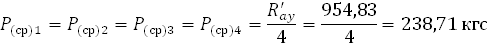
Определение нагрузок, действующих на кронштейн
На кронштейн действуют две силы R’ay
и R’ax
равные по модулю силам Ray
и Rax, но
противоположно направленные, поэтому:
|R’ax|=|Rax|=914,96
кгс
|R’ay|=|Ray|=954,83
кгс
Далее проектируем проушину кронштейна - сечение
5-5 и определяем диаметр болта - d6
крепления качалки.
Сечение 5-5 работает на срез и растяжение (от
силы R’ay
- на срез, от R’ax
- на растяжение).
Fcp5-5
-
площадь среза проушины кронштейна.
Fp5-5
- площадь разрыва проушины кронштейна - площадь сечения 5-5.
Fcp5-5=Fp5-5=(b5-c5)·(H5-d6)
Диаметр болта d6
определяется по справочным материалам по суммарной нагрузке RΣ
d6=6
мм.
Размеры проушины b5,
c5,
H5
определяются проектировочным расчетом с учетом следующего. В первом приближении
можно принять, что:
H5=18
мм, с5=22 мм, b5=26
мм.
Fcp5-5=Fp5-5=(26-22)·(18-6)=48
мм2
Первое соотношение:
Второе соотношение:
Коэффициенты запаса прочности в пределах нормы.
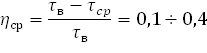
Далее рассчитываются сечения 6-6 и 7-7. Методика
расчета данных сечений аналогична. Разница состоит в уровне действующих
нагрузок.
Сечения 6-6 расположено на расстоянии равном
половине высоты кронштейна, т.е. на расстоянии a/2
от подошвы кронштейна. В сечении 6-6 и 7-7 действует растягивающая сила R’ax
и изгибающий момент:

b5=b6=b7;
c5=c6=c7;
Размеры e6 и е7 могут быть
выбраны из следующих соотношений:
Из-за габаритов качалки примем e6=0
мм.
Проведем расчет сечения 6-6.
Примем Н6=40 мм
где:  - момент сопротивления сечения 6-6
относительно оси z.
F6-6 - площадь
сечения 6-6
F6-6=H6·b6+c6·e6-c6·H6=40·26+22·2-22·40=160
мм2
Коэффициент запаса прочности в
пределах нормы.
Проведем расчет сечения 7-7.
Примем Н7=40 мм
где:  - момент сопротивления сечения 7-7
относительно оси z.
F7-7 - площадь
сечения 7-7.
F7-7=H7· b7+c7·e7-c7·H7=55·26+22·2-22·55=264
мм2
Коэффициент запаса прочности в
пределах нормы.
4.
Расчет крепления кронштейна
Кронштейн крепится к лонжерону четырьмя болтами
- №1, №2, №3, №4.
Необходимо определить нагрузки, действующие на
каждый из болтов и по данным нагрузкам подобрать из справочника диаметры
болтов. Используем болты из материала 30ХГСА.
Все четыре болта испытывают нагрузку на разрыв
от силы R’ax.
Кроме того, от изгибающего момента два болта №3
и №4 догружаются осевыми силами на разрыв, два другие болта - №1 и №2 наоборот
разгружаются.
При этом все четыре болта работают на срез от
силы R’ay.
Найдем нагрузку на разрыв, приходящуюся на
каждый из четырех болтов от силы R’ax.
Далее найдём нагрузку на разрыв, приходящаяся на
болты №3 и №4 от изгибающего момента.
Так как болты №1 и №2 разгружаются на разрыв от
момента М=R’ay·а,
то далее рассмотрены более нагруженные болты №3 и №4.
Суммарная нагрузка на разрыв болтов №3 и №4:
где  - расстояние между болтами вдоль
лонжерона. Нагрузки от силы среза:
По двум нагрузкам -  и  из справочника определяют диаметр
болтов №3 и №4. Диаметры №1 и №2 выбираются аналогично.
d№1, №2, №3,
№4=4
мм.
качалка кронштейн
лонжерон фитинг
5.
Усиление лонжерона и нервюры стабилизатора
Для усиления лонжерона от местных нагрузок,
приходящихся на кронштейн и передаваемых на лонжерон установлена накладка,
толщина которой равна толщине стенки лонжерона.
Для усиления нервюры и корректной передачи
нагрузок на нее от кронштейна использованы четыре фитинга - по два от оси
нервюры.
.1 Расчет крепления накладки к лонжерону
Крепление накладки к стенке лонжерона
рассчитывается от действующей вдоль оси лонжерона нагрузки - в данном случае от
силы R’ay.
Крепление осуществляется заклепками, которые
частично установлены впотай под подошвой кронштейна и равными частями перед
подошвой кронштейна и за ней.
Общее количество заклепок крепления накладки к
стенке лонжерона (Пн) может быть определено следующим образом:
где [Pср]
- максимальная нагрузка на срез, которую может выдержать заклепка данного
диаметра.
Выбираем заклепки диаметром d=3 мм - 
Минимальное количество заклепок
Пн=14 шт.
5.2 Крепление фитингов
Фитинги (4 шт.) крепятся одной полкой (вдоль оси
лонжерона) к стенке лонжерона (болтами крепления кронштейна и совместно -
заклепками крепления усиливающей накладки и стенки лонжерона), другой полкой
(вдоль оси нервюры) к полке и стенке нервюры.
Крепление фитингов к полке и стенке нервюры
рассчитывается от нагрузки R'ax.первом приближении можно принять,
что на каждую полку фитинга вдоль оси нервюры приходится сила R'ax/4.
Количество заклепок (nØ)
крепления данной полки фитинга (каждого) к нервюре может быть подсчитано
следующим образом:
Минимальное количество nØ=5
шт. Кроме того, полка фитинга, приходящаяся под горизонтальную полку пояса
лонжерона‚ крепится (в данном месте) совместно с полкой лонжерона и обшивкой с
помощью заклепок установленных по обшивке.
Толщины полок фитингов приравниваются к
соответствующим толщинам полок нервюры и лонжерона (к которым они прилегают), а
общие габариты определяются исходя из габаритов кронштейна и количества заклепок
крепления к нервюре nØ
с учетом стандартного шага между заклепками: t=(4÷5)·d=4·3=12
мм
Вывод
В ходе выполнения данной самостоятельной работы
была изучена методика расчета узла управления рулем высоты. Были произведены
расчеты качалки, кронштейна, крепления кронштейна, усиления лонжерона и нервюры
стабилизатора (крепления накладки к лонжерону и крепления фитингов). Выполнены
рабочие чертежи качалки, кронштейна, фитингов и сборочный чертеж узла.
Похожие работы на - Проектирование узла системы управления рулем высоты
|