Проектирование транспортной развязки
ВВЕДЕНИЕ
Транспортная
развязка - соединение автомобильных дорог
<#"871370.files/image001.gif">
.
Обе дороги соответствуют ІІ технической категории [1, таблица 1].
Этой категории соответствуют расчётные скорости:
на пересекающихся дорогах - 100 км/ч;
на правоповоротном съезде - 60 км/ч;
на левоповоротном съезде - 50 км/ч [1, п. 6.1.6].

Рисунок 2.1 - Схема распределения интенсивности транспортных потоков по
направлениям развязки
. РАСЧЕТ ПАРАМЕТРОВ ГЕОМЕТРИЧЕСКИХ ЭЛЕМЕНТОВ СЪЕЗДОВ
Для принятых в пункте 2 значений расчетной скорости определяются следующие
геометрические параметры элементов съезда:
минимальный радиус горизонтальной кривой;
необходимая длина переходной кривой;
ширина проезжей части и земляного полотна съездов;
длины переходно-скоростных полос.
Минимальный радиус горизонтальной кривой виража устанавливается в
зависимости от расчетных скоростей, с учетом обеспечения удобства и
безопасности движения автомобиля. Определяется по формуле
(3.1)
где
- расчетная скорость движения на съезде, км/ч;
μ - коэффициент поперечной силы, для
расчетов принимается μ=0,12;
iв - поперечный уклон виража, равный
для районов с частым гололедом, iв = 40‰.
Для правоповоротного съезда
Для левоповоротного съезда
Согласно ТКП [1, п.5.3.6] принимаем:
;
.
Необходимая длина переходной кривой определяется из выражения
(3.2)
где R - принятое значение радиуса
горизонтальной кривой на съезде, м;
I
-допустимая скорость нарастания центробежного ускорения, принимаем для расчетов
I=0,7 м/с.
Для правоповоротного съезда
Для левоповоротного съезда
Согласно ТКП [1, п.5.3.14] принимаем:
;
Ширина проезжей части съездов определяется по формуле
(3.3)
где а - расстояние между внешними гранями следа наиболее широко
расставленных колёс,м. В качестве расчетного принят автомобиль МАЗ 5111, с
шириной колеи а=1,85 м;
х - расстояние от внешней грани следа колеса до края проезжей части, м.
Определяется по эмпирической формуле
(3.4)
На правоповоротном съезде
На левоповоротном съезде
Тогда ширина проезжей части:
- на правоповоротном съезде
- на левоповоротном съезде
В соответствии с ТКП [1, п.6.1.8], для правоповоротного съезда - 5,0 м, а
для левоповоротного съезда - 5,5 м, в соответствии с расчетами принимаем
большее из значений.
Длина переходно-скоростной полосы входа на съезд состоит:
клина отгона;
тормозного шлюза.
Клин отгона предназначен для совершения маневра (перестроения) на
расчетной скорости для основной дороги.
Тормозной шлюз (полоса торможения) предназначен для снижения скорости на
основной дороге до расчетной на съезде. Торможение рекомендовано осуществлять
на протяжении всей полосы. Необходимая длина клина отгона в соответствии с ТКП
[1, таблица 17] равна 30 м.
Длина тормозного шлюза определяется по формуле
(3.5)
где v0, vс - расчетные скорости движения на
основной дороге и на съезде;
φ - коэффициент продольного сцепления
колеса с дорогой, принимаем в расчетах φ=0,6;
f -
коэффициент сопротивления качению, который согласно [2,стр.36] при скоростях
свыше 60 км/ч определяется по эмпирической формуле
(3.6)
где f0 - коэффициент сопротивления качению зависит от
ровности покрытия, скорости и эластичности шин. При скорости до 50 км/ч
принимаем равным 0,01…0,02, для дальнейших расчетов принимаем f0=0,013.
Тогда коэффициент сопротивления качению
Длины тормозных шлюзов
Принимаем
Длина переходно-скоростной полосы выхода со съезда состоит из участка
скоростного шлюза, на котором автомобиль разгоняется до расчетной скорости
движения на основной дороге и длины клина отгона.
Минимальная длина скоростного шлюза определяется по формуле
где ас - среднее ускорение при разгоне, ас = 0,28
м/с2.
Принимаем
Длина клина отгона на выходе со съезда, принимается по ТКП равной 60 м.
4. Характеристика плана транспортной развязки
Согласно заданию, в пределах транспортной развязки пересекаются две
дороги с интенсивностью, соответствующей ІІ технической категории. Выбранная
схема транспортной развязки типа "клеверный лист" с двумя однопутными
съездами для данных условий и при данной интенсивности движения, является
наиболее простой, экономичной и безопасной.
Развязка запроектирована в масштабе 1:2000. Угол пересечения существующей
и проектируемой дорог равен 90º.
Сооружение путепровода предусматривается на вновь проектируемой дороге
А-В, с одним правоповоротным и одним левоповоротным съездами. В этом случае не
потребуется реконструировать существующую дорогу C-Д, в пределах примерно 1,5
км, что значительно снизит объёмы работ и строительную стоимость развязки.
Правоповоротные съезды, согласно расчетам, вписываются радиусом 180 м, а
левоповоротные съезды - 130 м.
Левоповоротные съезды в соответствии с требованиями ТКП [1] сопрягаются с
круговыми кривыми по средствам переходных кривых, при этом одна половина
переходной кривой размещается на участке переходно-скоростной полосы, а вторая
половина - на участке круговой кривой.
Положение осей правоповоротных съездов выбирается после размещения
правоповоротных съездов так, чтобы между подошвами откосов насыпей право- и
левоповоротных съездов оставалось свободное пространство, достаточное для
размещения элементов водоотвода, инженерных сооружений, обеспечивающих
безопасность движения.
Для обеспечения плавного и безопасного входа на съезд и выхода с него на
основную дорогу предусматривается устройство переходно-скоростных полос со
следующими основными параметрами:
-
-
Поскольку переходно-скоростные полосы на участках торможения и разгона,
одновременно принадлежат основной дороге и съезду, то пикетаж съездов
соответствующим образом увязывается с пикетажем основных дорог, к которым примыкают
съезды.
Левоповоротный съезд рассчитывается на основании данных определенных в
разделе 3:
Определяем геометрические элементы левоповоротного съезда.
Тангенс круговой кривой определяется по формуле
(4.1)
Длина кривой определяется по формуле
(4.2)
Элементы переходной кривой t=24,95м, р=1,04 м по [3,стр. 245].
Длина круговой кривой определяется по формуле
(4.3)
Полная длина кривой с учётом переходных кривых
(4.4)
Длина полного тангенса кривой с учётом переходных кривых
(4.5)
Определяется пикетажное положение начала и конца съезда на основных
дорогах и съездах.
Положение начала замера располагается на существующей дороге С-Д.
Пикет начала съезда:
ПК НС (ПК0л + 00)
ПК1274 +00 - Тп
- 154,95= 127245,05 (ПК1272 +45,05).
Положение конца замера на левоповоротном съезде:
ПК КЗ 0л+00 +K
+612,61= ПК6л+12,61.
Положение конца съезда на проектируемой дороге А-В:
ПК КС (6л + 12,61)
ПК5 + 00 + Тп
+154,95= 654,95 (ПК 6 + 54,95).
Левоповоротный съезд изображен на плане транспортной развязки, начинается
на ПК 0+00, соответствующем ПК1272+45 на существующей дороге С-Д и
заканчивается на ПК 6+13, соответствующем ПК6+55 на проектируемой дороге А-В.
Детальная разбивка левоповоротного съезда представлен на листе 1.
Правоповоротный съезд рассчитывается на основании данных определенных в
разделе 3:
Определяем геометрические элементы правоповоротного съезда.
Тангенс круговой кривой определяется по формуле (4.1)
Длина кривой определяется по формуле (4.2)
Элементы переходной кривой t=29,96м, р=1,00м по [3,табл.3,стр. 245].
Длина круговой кривой определяется по формуле (4.3)
Полная длина кривой с учётом переходных кривых определяется по формуле
(4.4)
Длина полного тангенса определяется по формуле (4.5)
Рассчитываем пикетажное положение начала и конца съезда
(4.6)
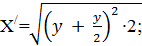
Расстояние от пикета начала замера на основной дороге до вершины угла
поворота правоповоротного съезда определяется также по теореме Пифагора
где b-длина правоповоротного съезда
существующих осей дорог,b = d + a + 6.
"X=2∙375,57=751,14 м."
Расстояние между вершинами углов поворота правоповоротного съезда
определяется по формуле
(4.8)
Расстояние между вершинами углов поворота правоповоротного съезда
определяется по формуле
(4.9)
Прямой участок между концевыми точками переходных кривых в начале и в
конце съезда определяется по формуле
(4.10)
Определяется пикетаж начала и конца съезда на основных дорогах и съездах:
ПК НС (0п + 00)
ПК 5+00 + с - 5,25 +
+531,14 - 5,25 +104,52= 1130,41(ПК11+30,41).
ПК КЗ ПК0п+ 00+2Kп +
+527,26 + 2
181,37= 890 (ПК 8 + 90).
ПК КС (8п + 90)
ПК1274+00 -с +5,25 −
- 531,14 +5,25 −104,52=126769,59 (ПК1267 + 69,59).
. ХАРАКТЕРИСТИКА ПРОДОЛЬНОГО ПРОФИЛЯ ОСНОВНЫХ ДОРОГ И СЪЕЗДОВ
транспортный
развязка дорога съезд
Основой для составления продольного профиля местности по осям каждой из
пересекающихся дорог и соединяющих их съездов служит план транспортной
развязки, выполняемый на плане местности в горизонталях.
Отметки земли на каждом пикете определяется интерполяцией между рядом
расположенными горизонталями.
После нанесения "черного" профиля проектируется
"красная" линия продольного профиля основных дорог и съездов в
пределах участка, изображенного на плане развязки, при этом используются
рекомендуемые и допускаемые нормы ТКП.
Проектирование продольного профиля в пределах развязки начинается с
основных дорог, при этом существующая дорога во избежание её реконструкции
прокладывается в нижнем уровне и проектируется первой.
Произведем расчет вертикальных кривых:
вертикальная кривая, запроектированная на проектируемой а/д А-В
Рисунок
5.1 - Схема проектирования вертикальной кривой на проектируемой а/д А-В
ПКВУ=ПК5
+00;
R = 10000 м;





ПКНК=ПКВУ
- Т = ПК 5 + 00 - 150 = ПК3 + 50;
ПККК=ПКВУ+Т
= ПК 5 + 00 +150 = ПК6 + 50;
ПК
ВК (О) = ПК НК +
= 350 + 120 = ПК 4+70;
ПК
ВК (О) = ПК КК −
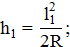
= 650 − 180 = ПК 4+70;
ННК= НВУ −
= 108,55 - 0,012
150 = 106,75 м;
НКК= НВУ −
= 108,55 - 0,018
150 = 105,85 м;
НВК= ННК+
= 106,75 +
= 107,47 м;
НВК= НКК +
= 105,85+ 1,62 = 107,47 м.
вертикальная кривая, запроектированная на существующей а/д С-Д
ПКВУПК=
1273 + 00;= 4000 м;







ПКНК=ПКВУ - Т = ПК 1273 + 00 - 18 = ПК 1272 + 82;
ПККК=ПКВУ + Т = ПК 1273 + 00 + 18 = ПК 1273 + 18;
ПК ВК (О) = ПК НК +
= 1272 + 82 + 60 = ПК 1273 + 42;
ПК ВК (О) = ПК КК +
= 1273 + 18 + 24 = ПК 1273 + 42;
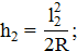
ННК= НВУ+
= 102,25 + 0,015
18 = 102,52 м;
НКК= НВУ-
= 102,25 - 0,006
18 = 102,142 м;
НВК= ННК -
= 102,52 -0,45 = 102,07 м;
НВК= НКК -
= 102,142 - 0,072 = 102,07 м.
вертикальная кривая, запроектированная на левопоротном съезде
Рисунок
5.3 - Схема проектирования вертикальной кривой на левоповоротном съезде
ПКВУ=ПК4
+ 04;
R = 4000 м;







ПКНК=ПКВУ
- Т = ПК 4 + 04 - 76 = ПК 3 + 28;
ПККК=ПКВУ
+ Т = ПК 4 + 04 + 76 = ПК 4 + 80;
ПК
ВК (О) = ПК НК +
= 3 + 28 + 80 = ПК 4 + 08;
ПК
ВК (О) = ПК КК −
= 4+ 80− 72 = ПК 4+ 08;
ННК= НВУ +
= 102,0 + 0,02
76 = 103,52 м;
НКК= НВУ+
= 102,0 + 0,018
76 = 103,368 м;
НВК= ННК -
= 103,52 - 0, 8 = 102,72 м;
НВК= НКК -
= 103,368 - 0,648 = 102,72 м.
вертикальная кривая, запроектированная на правоповоротном съезде
Рисунок
5.4 - Схема проектирования вертикальной кривой на правоповоротном съезде
ПКВУ=ПК1 + 80;= 4000 м;






ПКНК=ПКВУ - Т = ПК1 + 80 - 30 = ПК1 + 50;
ПККК=ПКВУ + Т = ПК1 + 80 + 30 = ПК2 + 10;
ПК ВК (О) = ПК НК −
= 1 + 50−0 = ПК 1+ 50;
ПК ВК (О) = ПК КК −
= 2 + 10− 60 = ПК 1+50;
ННК= НВУ −
= 99,55 - 0 = 99,55 м;
НКК= НВУ+
= 99,55+ 0,015
30 = 100,0 м;
НВК= ННК−
= 99,55 − 0 = 99,55 м;
НВК= НКК−
= 100,0 − 0,45 = 99,55 м.
При проектировании продольного профиля дороги верхнего уровня учитывается
проектная отметка дороги нижнего уровня под путепроводом, от нее отсчитывается
нормативный габарит, принимаемый равным 5 м, конструктивная высота главной
балки путепровода 0,6 м и толщина покрытия 0,12 м:
,65+5+0,6+0,12 = 107,37 м.
ЗАКЛЮЧЕНИЕ
В связи с непрерывным увеличением интенсивности движения на дорогах,
вызванным быстрым ростом автомобильного парка, проблема рационального
проектирования пересечений и примыканий дорог с каждым годом становится все
более актуальной. Решить эти проблемы возможно только за счет строительства
новых транспортных развязок и скоростных дорог
Принимаемые в проектах основные технические решения по проложению дорог
на местности, по элементам плана, продольного и поперечного профилей и их
основным сочетаниям, типам пересечений и примыканий дорог, конструкциям
дорожных одежд и земляного полотна должны создавать предпосылки для обеспечения
роста производительности труда, экономии основных строительных материалов и
топливно-энергетических ресурсов. При проектировании автомобильных дорог и
транспортных развязок необходимо предусматривать мероприятия по охране
окружающей природной среды, обеспечивающие минимальное нарушение сложившихся
экологических, геологических, гидрогеологических и других естественных условий.
При разработке мероприятий необходимо учитывать бережное отношение к ценным
сельскохозяйственным угодьям, к зонам отдыха и местам расположения
лечебно-профилактических учреждений и санаториев. Места расположения мостов,
конструктивные и другие решения не должны приводить к резкому изменению режимов
рек, а сооружение земляного полотна - к резкому изменению режима грунтовых и
стока поверхностных вод.
ЛИТЕРАТУРА
1. ТКП
45-3.03-19-2006 «Автомобильные дороги». - Мн.: Минстройархитектуры, 2006. -
42с.
.
Автомобильные дороги Беларуси. Энциклопедия / коллектив авторов ; под общ.ред.
А. В. Минина. - Мн. :БелЭн, 2002. - 672 с.
. Ксенодохов
В.И., Таблицы для проектирования и разбивки клотоидной трассы автомобильных
дорог. - М.: Транспорт, 1969. - 296 с.
.
Автомобильные дороги. Примеры проектирования. Под ред. В.С. Порожнякова. М.:
Транспорт, 1983. - 304 с.
. Бабков В.Ф.
, Андреев О.В. Проектирование автомобильных дорог. Ч.1. М.: Транспорт, 1987. -
368 с.
. Антонов
Н.М. и др. Проектирование и разбивка вертикальных кривых на автомобильных
дорогах (описание и таблицы). - М.: Транспорт, 1968. - 200 с.