Автоматизация торговых операций в автосалоне

  • Вид работы:
    Курсовая работа (т)
  • Предмет:
    Информационное обеспечение, программирование
  • Язык:
    Русский
    ,
    Формат файла:
    MS Word
    5,03 Мб
  • Опубликовано:
    2016-04-13
Вы можете узнать стоимость помощи в написании студенческой работы.
Помощь в написании работы, которую точно примут!

Автоматизация торговых операций в автосалоне

Содержание

Введение

. Анализ деятельности автосалона

.1 Общие сведения об объекте автоматизации

.2 Описание учета реализации автомобилей

.3 Описание бизнес-процессов учета реализации автомобилей

.4 Исследование информационных потоков

. Анализ и выбор проектных решений

.1 Обзор существующих аналогов

.2 Обоснование разработки ИС «Автоматизация торговых операций в автосалоне»

.3 Выбор и обоснование выбора используемого программного обеспечения

. Разработка приложения АИС автосалона

.1 Описание структурной схемы АИС

.2 Описание логической и физической модели данных

.3 Разработка форм приложения

.4 Создание модуля данных

.5 Создание запросов и отчетов

.6 Тестирование

. Экономическое обоснование эффективности

.1 Построение проектной диаграммы Ганта

.2 Определение трудозатрат

Заключение

Список используемых источников

Введение


Информационная система - это взаимосвязанная совокупность средств, методов и персонала, используемых для хранения, обработки и выдачи информации в интересах достижения поставленной цели. БД и СУБД являются составными частями информационной системы (ИС). Для управления БД используются системы управления базами данных (СУБД) - программное обеспечение, позволяющее создавать БД, обновлять хранимую в ней информацию и обеспечивающее удобный доступ к ней с целью просмотра и поиска.

Современный мир информационных технологий трудно представить себе без использования баз данных (БД). Практически все системы в той или иной степени связаны с функциями долговременного хранения и обработки информации. Увеличение информационных потоков и повышение требований к скорости обработки данных требуют применения наиболее перспективных компьютерных технологий, поэтому наличие БД играет важную роль в функционировании любой организации. БД представляют собой совокупность специальным образом организованных данных, хранимых в памяти вычислительной системы и отображающих состояние объектов, и их взаимосвязей в рассматриваемой предметной области. Большинство предприятий, фирм используют именно такой метод хранения информации.

В настоящее время процесс автоматизации затрагивает все сферы деятельности человека: производственную, техническую, технологическую, а также информационное пространство.

Основное преимущество автоматизации - это сокращение избыточности хранимых данных, а следовательно, экономия объема используемой памяти, уменьшение затрат на многократные операции обновления избыточных копий и устранение возможности возникновения противоречий из-за хранения в разных местах сведений об одном и том же объекте, увеличение степени достоверности информации и увеличение скорости обработки информации; излишнее количество внутренних промежуточных документов, повторное внесение одной и той же информации в различные промежуточные документы. Также значительно сокращает время автоматический поиск информации, который производится из специальных экранных форм, в которых указываются параметры поиска объекта.

Целью курсовой работы является разработка автоматизированной информационной системы (АИС) учета торговых операций в автосалоне.

Основная задача курсовой работы - разработать базу данных для накопления необходимой информации и приложение, позволяющее вести учет и контроль за базой данных. Произведем декомпозицию основной задачи курсовой работы на подзадачи:

-       Проведение анализа деятельности автосалона;

-       Анализ и описание предметной области (построение IDEF0-модели, DFD-диаграмм);

-       Разработка информационной базы данных;

-       Разработка технологической архитектуры системы;

-       Разработка пользовательского интерфейса приложения;

-       Осуществление программной реализации приложения;

-       Тестирование и отладка разработанного приложения.

В качестве СУБД выступает Microsoft Office Access 2010. Средой разработки приложения является программный продукт Borland C++ Builder, позволяющий создавать приложения на языке С++. Разработка информационной системы «Автоматизация учета торговых операций в автомобильном салоне» позволит оперативно предоставлять запрашиваемую пользователями информацию, обеспечит удобный доступ к ней, снизит объем бумажного документооборота.

1       Анализ деятельности автосалона

запрос отчет диаграмма данные

1.1    Общие сведения об объекте автоматизации


Объект автоматизации автосалон «Along the road» - один из самых амбициозных игроков автомобильного рынка. Основным видом деятельности автосалона является реализация автомобилей. Автосалон - юридическое лицо, имеет зарегистрированный товарный знак, фирменный знак, расчетный и иные счета в рублях и иностранной валюте в учреждениях банков. Автосалон имеет в своем составе юридический отдел, бухгалтерию, отдел сбыта, отдел рекламы, отдел закупки. Общее руководство предприятием осуществляет директор. Организационная структура представлена на рисунке 1.1

Рисунок 1.1 - Организационная структура

Функции юридического отдела:

-       Проверка соответствия закону представляемых на подпись руководителю предприятия проектов приказов, инструкций, положений и других документов правового характера;

-       Организация систематизированного учета и хранения поступающих на предприятие нормативных актов;

-       Оказание юридической помощи в заключении договоров (например, договора купли-продажи).

Отдел сбыта выполняет следующие функции:

-        Организация принятия заказа от клиента;

-       Сервисное обслуживание клиентов;

-       Отслеживание состояния заказов;

-       Составление отчета о заказах и оплатах этого заказа.

Основные функции отдела бухгалтерии:

-       Осуществление предварительного контроля за своевременным и правильным оформлением документов и законностью совершаемых операций;

-       Начисление и выплата заработной платы рабочим и служащим;

-       Своевременное проведение расчетов, возникающих в процессе реализации автомобилей;

-       Хранение бухгалтерских документов, смет расходов, других документов, а также сдача их в архив в установленном порядке;

-       Оформление приказов, связанных с деятельностью учреждения.

Отдел рекламы и PR занимается организацией работ по рекламе, продвижению товара. Основные функции отдела закупок связаны с определением потребности компании в заказе автомобилей, поиске и отборе надежных поставщиков, заключением договоров или контрактов, а также с контролем за точным исполнением этих договоров, получением поставок, проверкой купленных автомобилей на предмет количественного и качественного соответствия условиям договора поставки.

Основная стратегическая цель компании заключается в организации эффективных продаж автомобилей, которые существенно увеличат доходность компании.

Миссия: обеспечение доступности автомобилей для каждого клиента, показание конкурентных преимуществ бренда, предоставление широкого спектра качественных, комфортных, технически совершенных автомобилей.

Перед компанией стоят следующие стратегические цели (рис.1.2):

-       Поиск новых рынков сбыта;

-       Укрепление позиций на рынке;

-       Увеличение уровня продаж;

-       Обеспечение конкурентоспособности компании.

Для достижения этих стратегических целей необходимо:

-       Расширение ассортимента;

-       Привлечение клиентов путем доступности и качества услуг;

-       Привлечение новых сотрудников;

-       Постоянное улучшение оказываемых услуг.

Рисунок 1.2 - Стратегические цели и задачи автосалона

Таким образом, укрепление лидирующих позиций на рынке достигается за счет реализации автомобилей, востребованных сегодня и дающих импульс к развитию в будущем.

1.2    Описание учета реализации автомобилей

Основные функции отдела сбыта заключаются в реализации автомобилей и ведении их учета. Деятельность отдела сбыта регулирует начальник отдела сбыта, который осуществляет руководство по развитию и функционированию, организовывает подготовку и проводит внутренние проверки, анализирует их результаты, контролирует выполнение корректирующих мероприятий.

Менеджер по продажам осуществляет связь между покупателем и производителем товаров или услуг. Главная задача менеджера по продажам - реализация товара. Продавцы-консультанты - это специалисты по консультационным продажа. Консультационные продажи предполагают информационное сопровождение клиента, ведение переговоров с клиентами всех уровней, обслуживание покупателей в соответствии с технологиями продаж, оказание консультационной помощи покупателям относительно свойств, характеристик товаров, расчет итоговой стоимости покупки.

.3      Описание бизнес-процессов учета реализации автомобилей

Организация учета реализации автомобилей в автосалоне предполагает следующие бизнес-процессы:

. Заказ автомобиля - после выбора автомобиля оформляется заказ на выбранную модель, подготавливается и отправляется запрос на завод - изготовитель, принимается предоплата и выдается квитанция о предоплате;

. Прием автомобиля - принятие автомобиля на внутренний учет, проведение предпродажной подготовки и диагностики автомобиля, оповещение покупателя;

. Реализация автомобиля - осмотр автомобиля покупателем, оформление договора купли-продажи;

4. Регистрация оплаты;

. Формирование отчетных документов:

-       Формирование отчета «Прайс-лист»;

-       Формирование отчета «Анализ продаж»;

-       Формирование отчета «Заказы автомобилей»;

-       Формирование отчета «Состояние заказов».

Для формализованного описания вышеописанных бизнес-процессов построим функциональную модель IDEF0. Основной структурной единицей IDEF0-модели является диаграмма, представляющая собой графическое описание модели предметной области или ее части. Главными компонентами IDEF0-диаграммы являются блоки. Каждый блок диаграммы соответствует некоторой функции, для которой необходимо определить исходные данные, результат, управляющую функцию и механизм ее реализации. Взаимодействие функций с внешним миром и между собой описывается с помощью дуг (связей). В IDEF0 различают пять типов дуг:

)        Вход - материал или информация, которые используются или преобразуются блоком для получения результата (выхода);

)        Выход - результат выполнения функции (материал или информация);

)        Управление - условия, правила, стандарты, которые влияют на выполнение функции;

)        Механизм - ресурсы, с помощью которых выполняется работа;

)        Вызов - специальная дуга, указывающая на другую модель предметной области.

На рисунках 1.3 (а, б, в) представлена IDEF0-модель «Информационная система автосалона», декомпозированная на 3 подуровня. На первом уровне блок А0 отвечает за реализацию автомобилей на основе следующих данных: заказ клиента и поставщик автомобилей. В результате на выходе получаем выполненный заказ. В качестве управления выступают: законодательство РФ, лицензия на продажу, каталог автомобилей. Механизм - Автосалон «AlongTheRoad».

Рисунок 1.3 (а)

При декомпозиции (рис. 1.3(б) ) блок А0 разбивается на 4 блока: А1, А2, А3, А4. В блоке А1 формируется план закупок, руководствуясь входными данными заказ клиента, поставщик автомобилей. Блок А2 - Договор с поставщиками соединяется с блоком А3 - Формирование каталога автомобилей. Блок А4 отвечает за сбыт автомобилей, на выходе - выполненный заказ. Механизмами выступают: отдел по закупке автомобилей, юридический отдел, отдел рекламы и PR, отдел бухгалтерии, отдел сбыта автомобилей. Таким образом, выделили 4 подзадачи, произведя детализацию первого уровня.

Рисунок 1.3 (б) - Диаграмма декомпозиции

Перейдем на 3 уровень декомпозиции блока А4 - Сбыт автомобилей (рис. 1.3(в)). Диаграмма представлена тремя блоками: А41 - Принятие заявки, А42 - Оформление договора, А43 - Продажа автомобиля. В качестве управления остаются те же стандарты и правила, что и на первом уровне, на выходе получаем выполненный заказ.

Рисунок 1.3 (в) - Диаграмма декомпозиции

.4      Исследование информационных потоков

В результате анализа деятельности отдела сбыта был выявлен комплекс информационных потоков.

Входные данные:

-       Сведения о клиентах;

-       Заказы клиентов;

-       Сведения об автомобилях;

-       Данные для формирования отчетов;

-       Сведения о поставщиках.

Выходные документы:

-     Отчет «Прайс-лист»;

-       План закупок;

-       Договор с поставщиками;

-       Каталог автомобилей;

-       отчет «Анализ продаж»;

-       отчет «Заказы автомобилей»;

-       отчет «Состояние заказов».

В результате исследования информационных потоков была построена DFD модель, которая показывает, какие информационные потоки возникают при выполнении функций. Она будет применяться при проектировании базы данных. В приложении А представлены диаграммы потоков данных ИС «Автоматизация торговых операций в автосалоне».

Таким образом, целью методологии является построение модели рассматриваемой системы в виде диаграммы потоков данных (DFD). Диаграммы потоков данных предназначены для описания документооборота и обработки информации. При создании диаграммы потоков данных используются четыре основных понятия:

–       Потоки данных;

–       Процессы (работы) преобразования входных потоков данных в выходные;

–       Внешние сущности;

–       Накопители данных (хранилища).

Потоки данных являются абстракциями, использующимися для моделирования передачи информации (или физических компонент) из одной части системы в другую. Потоки на диаграммах изображаются именованными стрелками, ориентация которых указывает направление движения информации.

Процессы (работы) служат для преобразования входных потоков данных в выходные. Каждый процесс имеет уникальный номер для ссылок на него внутри диаграммы, который может использоваться совместно с номером диаграммы для получения уникального индекса процесса во всей модели. Хранилище (накопитель) данных моделирует данные, которые будут сохраняться в памяти между процессами. Информация, которую содержит хранилище, может использоваться в любое время после ее получения, при этом данные могут выбираться в любом порядке. Внешняя сущность представляет собой материальный объект вне контекста системы, являющейся источником или приемником данных.

2       Анализ и выбор проектных решений

.1 Обзор существующих аналогов

На сегодняшний день существует достаточно автоматизированных систем учета автомобилей в автосалоне, но в большинстве случаев АИС спроектирована под конкретный автосалон, имеет ограниченные возможности или входит в состав большого комплекса программ. Рассмотрим некоторые из них.

1)      «Альфа-Авто: Автосалон + Автосервис + Автозапчасти»

Программный продукт «Альфа-Авто: Автосалон + Автосервис + Автозапчасти» предназначен для комплексной автоматизации учета на предприятиях автобизнеса (магазинов оптовой и розничной продажи запчастей, автосервисов и станций технического обслуживания автомобилей, автосалонов и дилерских центров).

С помощью «Альфа-Авто: Автосалон + Автосервис + Автозапчасти» можно:

­    Оформлять заказы и продажи автомобилей;

­    Выполнять предпродажную подготовку автомобилей;

­    Оказывать услуги по ремонту и обслуживанию автомобилей;

­    Вести оптовую и розничную торговлю запасными частями;

­    Организовать работу склада;

­    Учитывать оплаты и отслеживать состояние взаиморасчетов с покупателями и поставщиками;

Конфигурация позволяет:

-       Запасные части:

-       Оптовая продажа запчастей;

-       Розничная продажа запчастей;

-       Работа по заказам запчастей;

-       Закупки запчастей;

Автосервис:

-       Планирование ресурсов;

-       Оформление ремонтов;

-       Автоматизированное рабочее место сотрудника автосервиса;

Автосалон:

-       Клиентские и складские заказы;

-       Покупка и продажа автомобилей;

-       Предпродажная подготовка автомобилей;

-       Сделки «Trade-in»;

-       Ответственное хранение автомобилей.

Пользователи программы имеют возможность быстро формировать необходимые документы. Руководство может оперативно получать и использовать данные о различных аспектах деятельности компании. Система предоставляет информацию, необходимую для принятия управленческих решений. Цена системы: 51 000 руб.

2)      «АвтоСалон 3»

Программа АвтоСалон 3 предназначена для автоматизации деятельности автосалонов, торгующих автомобилями, в части, касающейся ведения учета, продаж автомобилей и формирования договорных документов. Также предусмотрено формирование и печать документов, специфичных для данного вида деятельности (справка-счет, ПТС, транзитный номер).

Третья версия программы является продолжением серии одноименных программных продуктов, созданных специалистами нашей компании, и написана с учетом пожеланий и рекомендаций пользователей.

Возможности системы:

–       Печать документов на бланках строгой отчетности (справка-счет, ПТС, транзитный номер);

–       Неограниченное количество рабочих мест в рамках одной локальной сети;

–       Сколько угодно много предприятий (торгующих организаций);

–       Полная мультивалютность;

–       Ведение различных справочников (клиенты, автомобили, комплектации и т.д.);

–       Ведение Склада и Журнала продаж;

–       Формирование различных отчетов и статистики;

Цена системы: 15 000 руб.

 

.2 Обоснование разработки ИС «Автоматизация торговых операций в автосалоне»


У существующих аналогов были выявлены следующие недостатки:

-       Нет гибких механизмов разграничения доступа к данным;

-       Недостаточная функциональность;

-       Нет многопользовательского доступа;

-       Высокая цена.

Решением выше указанных проблем является разработка АИС, которая отвечает заданным условиям:

-       Возможность создания распределенной информационной базы;

-       Удобство работы с базой данных;

-       Ускорение процесса поиска автомобилей;

-       Низкая цена за конечный продукт.

Создание собственной автоматизированной системы позволит учесть все особенности учета автомобилей в автосалоне.

Функции системы:

-        Хранение и изменение информации: об автомобилях (идентификатор, марка, модель, цвет, страна производитель, стоимость); о сотрудниках (ФИО, дата рождения); о клиентах (ФИО, адрес, телефон, дата рождения, адрес); о продажах (дата, стоимость за оформление, общая стоимость);

-       Поиск информации об автомобилях, клиентах, сотрудниках;

-       Формирование заявок на заказ;

-       Расчет стоимости покупки;

-       Формирование отчетов.

Данная система не требует дорогого оборудования, ее не нужно устанавливать. Необходимо лишь операционная система семейства Windows, оперативная память от 1 Гб, принтер.

Предполагается, что система будет использована сотрудниками автосалона. Разработка может служить основой для дальнейшего проектирования. Система выполняет основные функции, необходимые для автосалона.

Дизайн выполнен в спокойных тонах не напрягающий глаза пользователей. Расположение кнопок на форме максимально удобно для работы. При разработке дизайна учитывался ряд общепринятых правил: гармоничное сочетание цветов, пропорциональность размеров элементов, интуитивно понятный интерфейс.

Ожидаемый эффект от внедрения:

-       Актуальность - возможность оперативно отражать изменения;

-       Полнота информации, то есть предоставление максимально полной информации о заказах, об оплате, об автомобилях;

-       Удобство - понятный интерфейс;

-       Непротиворечивость и достоверность данных.

 

.3 Выбор и обоснование выбора используемого программного обеспечения


Выбор программного обеспечения представляет собой сложную многопараметрическую задачу и является важнейшим этапом при разработке базы данных. Выбранный программный продукт должен удовлетворять требованиям разработчика и заказчика, при этом следует учитывать затраты на приобретение данного программного продукта и на обучение персонала.

Для управления БД используются системы управления базами данных (СУБД) - программное обеспечение, позволяющее создавать БД, обновлять хранимую в ней информацию и обеспечивающее удобный доступ к ней с целью просмотра и поиска. БД и СУБД являются составными частями информационной системы (ИС). При выборе СУБД необходимо оценить технические параметры системы, также необходимо убедиться, что данная СУБД способна принести предприятию выгоду.

По способу доступа к БД различают следующие виды СУБД:

)        Файл-серверные СУБД. В файл-серверных СУБД файлы данных располагаются централизованно на файл-сервере. СУБД располагается на каждом клиентском компьютере (рабочей станции). Доступ СУБД к данным осуществляется через локальную сеть. Синхронизация чтений и обновлений осуществляется посредством файловых блокировок.

Преимуществом этой архитектуры является низкая нагрузка на процессор файлового сервера.

Недостатки: потенциально высокая загрузка локальной сети; затрудненность или невозможность централизованного управления. Применяются чаще всего в локальных приложениях, которые используют функции управления БД; в системах с низкой интенсивностью обработки данных и низкими пиковыми нагрузками на БД.

Примеры: Microsoft Access, Paradox, dBase, FoxPro, Visual FoxPro.

2)      Клиент-серверные СУБД. Клиент-серверная СУБД располагается на сервере вместе с БД и осуществляет доступ к БД непосредственно, в монопольном режиме. Все клиентские запросы на обработку данных обрабатываются клиент-серверной СУБД централизованно.

Недостаток клиент-серверных СУБД состоит в повышенных требованиях к серверу.

Достоинства: потенциально более низкая загрузка локальной сети; удобство централизованного управления; удобство обеспечения таких важных характеристик как высокая надёжность, высокая доступность и высокая безопасность.

Примеры: Oracle, Sybase Adaptive ServerEnterprise, PostgreSQL, MySQL.

3)      Встраиваемые СУБД. Встраиваемая СУБД - СУБД, которая может поставляться как составная часть некоторого программного продукта, не требуя процедуры самостоятельной установки. Встраиваемая СУБД предназначена для локального хранения данных своего приложения и не рассчитана на коллективное использование в сети. Доступ к данным со стороны приложения может происходить через SQL либо через специальные программные интерфейсы.

Примеры: OpenEdge, SQLite, BerkeleyDB, Microsoft SQL Server Compact, ЛИНТЕР.

В качестве СУБД выступает Microsoft Office Access 2010. Средой разработки приложения является программный продукт Borland C++ Builder инструмент быстрой разработки приложений, позволяющий создавать приложения на языке С++. Access имеет удобный и понятный интерфейс, позволяющая выполнить все заложенные в БД функции понятные любому пользователю. Также в него встроены различные мастера, конструкторы, которые облегчают процесс проектирования. Borland C++ Builder является универсальной системой, позволяющая разрабатывать самые разнообразные приложения, позволяющий работать почти со всеми современными СУБД.

3        Разработка приложения АИС автосалона

3.1     Описание структурной схемы АИС

Проектируемая база данных предназначена для хранения данных об учете торговых операций в автосалоне, что позволит повысить эффективность своей компании за счет систематизации и быстрого поиска требуемой информации. В БД должны храниться следующие сведения: каталог автомобилей, журнал заказов, информация о клиентах и менеджерах автосалона, а также должна быть учтена реализация автомобилей.

Исходя из выполняемых системой функций и требований, декомпозируем систему:

−       Подсистема ввода и редактирования информации (модули ввода сведений о клиентах, авто, заказах, автосалоне, менеджерах;

−       Подсистема учета реализации автомобилей (модули заказа автомобиля, продажи);

−       Подсистема формирования отчетов (модули формирования отчетов о клиентах, заказах, каталоге автомобилей).

Система построена на основе двухуровневой клиент-серверной архитектуры обработки данных, именно модель файл-сервера. Удаленная база данных размещается на компьютере - сервере, а клиентское приложение, осуществляющее работу с этой базой данных, находится на рабочей станции. Клиент посылает запрос на предоставление данных и получает множество данных, извлеченных на сервере. Структурная схема АИС на концептуальном уровне представлена в приложении Б.

3.2    Описание логической и физической модели данных

Менеджер автосалона должен иметь возможность получить следующие сведения:

-       Какие автомобили доступны в каталоге (их основные характеристики и стоимость);

-       Сведения о заказах клиентов;

-       Сведения о реализации автомобилей.

Таким образом, имеется заданная предметная область - автомобильный салон. Следует организовать автоматизацию учета торговых операций в автомобильном салоне. В процессе продажи автомобилей участвуют продавец(автосалон) и покупатель(клиент). Объектом продажи является автомобиль. Спроектированная логическая модель данных имеет следующие сущности, представленные в таблицах:

Полужирным шрифтом в таблицах выделены ключевые поля.

Таблица1. - Автомобиль

ID авто

ID модели

Название

Год выпуска

Цвет

Тип коробки

Комплектация

Материал салона

Стоимость


Таблица .2. - Заказ

Код заказа

Дата заказа

ID модели

Название

Год выпуска

Цвет

Тип коробки

Комплектация

Материал салона

Стоимость


Таблица .3. - Реализация

Номер договора

Код заказа

ID авто

№ паспорта

ФИО

ID менеджера

Стоимость

Количество

Название автосалона


Таблица .4. - Клиенты

№ паспорта

ФИО

Телефон


Таблица .5. - Менеджеры

ID менеджера

ФИО

Телефон


Таблица .6. - Автосалон

Название

Адрес

Телефон справочной

Телефон главного менеджера

Карта

Ключ - атрибут или набор атрибутов, используемый для идентификации экземпляра сущности, то есть по значениям ключевых полей можно однозначно найти требуемый экземпляр сущности. Каждая сущность обладает хотя бы одним возможным ключом. Ключами сущностей являются соответственно поля:

-       для сущности «Автомобиль» поле «ID автомобиля»;

-       для сущности «Заказ» поле «Код заказа»;

-       для сущности «Реализация» поле «Номер договора»;

-       для сущности «Клиенты» поле «Паспортные данные»;

-       для сущности «Менеджеры» поле «ID менеджера»;

-       для сущности «Автосалон» поле «Название».

В качестве модели данных для проектируемой системы была выбрана реляционная модель. Исходя из выбранной модели данных, была спроектирована схема логической (диаграмма ERD - модель сущность-связь) модели данных, представленная в приложении В.

Технологическая архитектура - это архитектура оборудования, в ней описывается структура используемых технологий, связи между ними, а также принципы поддержки этими технологиями эксплуатационных требований организации. Технологическая архитектура описывает используемое в организации оборудование и программное обеспечение. Технологическая архитектура представляет собой логическое, не привязанное к конкретным производителям описание инфраструктуры и системных компонентов, требующихся для поддержки архитектуры приложений и информационной архитектуры

Физическая организация сети выбрана в виде звезды. Центром является маршрутизатор, который соединяет сети всех подразделов организации в единственную вычислительную сеть. Присутствующие концентраторы служат для соединения отдельных узлов сети и использования маршрутизатора, позволяющего локализовать трафик подразделов. Технологическая архитектура представлена в приложении Г.

.3 Разработка форм приложения

Для удобства работы приложение будет открываться с главной формы (рис. 3.1). Формы связываются с главной формой функцией подключением к главной форме файлов: #include "Unit1.h". Оформим внешний вид формы фоновым рисунком. Это можно сделать с помощью метода LoadFromFile:

Image1->Picture->LoadFromFile("train.bmp");

Или добавить в свойство Picture компонента Image нужное изображение. Воспользуемся вторым способом.

Рисунок 3.1 - Главная форма приложения

Кнопки для удобства перехода между формами (Автосалон, Автомобиль, Реализация и т.д.) сделаны также с помощью компонента Image.

Создадим форму для просмотра данных и навигации по ним на примере таблицы «Автомобиль» (рис. 3.2.). Для этого добавим на форму компоненты Panel, DBGrid, ComboBox, Button, BitBtn, Edit, Image, Label, CroupBox, Navigator и не визуальный компонент OpenPictureDialog.

Рисунок 3.2 - Форма для просмотра и поиска данных

Аналогичным образом созданы остальные формы для просмотра и поиска данных.

Рассмотрим создание форм для просмотра отчетов(рис.3.3). Используем компонент QuickReport, основанный на наборе горизонтальных полос (bands). При построении отчета на форму помещаются несколько компонентов QRBand различных типов, также используются компоненты QRImage, QRLabel, QRSysData.

Рисунок 3.3 - Форма отчета «Каталог автомобилей»

Для создания формы запросов (рис. 3.4.) будем использовать компоненты DBGrid - позволяет просматривать запрашиваемые данные, RadioButton - Отражает критерии запроса, RadioGroup - группирует критерии для удобства. Кнопка BitBtn закрывает форму.

Рисунок 3.4 - Форма просмотра запросов

.4 Создание модуля данных

Наличие на форме большого количества невидимых компонентов в ряде случаев затрудняет проектирование пользовательского интерфейса. Отделение компонентов, отвечающих за доступ к данным и бизнес-логику информационной системы, от интерфейсных элементов, применяется для облегчения ее дальнейшей модернизации. Для этой цели в C++ Builder имеется специальный тип, называемый модулем данных - TDataModule. Компонент этого типа можно условно считать специальным видом формы. Такой компонент-контейнер может содержать компоненты со страницы Data Access, а сам он не виден пользователю во время выполнения.

Создание модуля данных выполняется следующим образом:

File/New/Other/DataModule

В появившемся окне разместить компоненты: ADOConnection, DataSource и ADOTable. Количество компонентов DataSource и ADOTable должно соответствовать количеству таблиц в БД (рис.3.5). Свойство каждого компонента DataSource DataSet установить на имя соответствующего ему ADOTable (например, DataSet->ADOTable1).

Рисунок 3.5 - Окно модуля данных с компонентами

Комонент ADOConnection1 обеспечит связь других компонентов с базой данных при помощи механизма ADO. Связь обеспечивается свойством компонента ConnectionString:

)        Выполнить двойной щелчок по свойству ConnectionString компонента ADOConnection1. Откроется окно подключения компонента к ADO:

Рис.3.6 - Окно подключения компонента к ADO

)        Нажать кнопку Build. Открывается новое окно, содержащее настройки подключения, выбираем поставщика данных на вкладке Поставщик данных:

Рисунок 3.7 - Выбор поставщика данных

3)      На вкладке Подключение указать источник данных -путь к БД:

G:\БД\БД авто.accdb

4) Нажать Проверить подключение:

Рисунок 3.8 - Окно проверки связи с данными

Выделить компоненты ADOTable и установить свойство Connection на ADOConnection1. Для каждого компонента ADOTable выбрать имя таблицы в свойстве TableName. Установить свойство Active->true.

Рисунок 3.9 - Окно инспектора объектов с установленными свойствам

Для обеспечения подключения формы приложения к данным с помощью модуля данных следует заранее создать форму приложения и добавить ее в хранилище (repository):

Рисунок 3.10 - Добавление формы в репозиторий

После создания макеты формы выполнить:

File/Include/Unit/DataModule

Для отображения таблицы на форме расположить компонент DBGrid и установить его свойство DataSource на имя одного из компонентов в модуле. После выполнения указанных действий на каждой из созданных форм отобразится таблица БД.

Рисунок 3.11 - Форма с отображенной таблицей

3.5 Создание запросов и отчетов

В модуль данных добавляем компоненты DataSource, ADOQuery для связи с таблицей БД. Устанавливаем свойство DataSet компонента DataSource7 на имя компонента ADOQuery1. Свойство Connection компонента ADOQuery1 устанавливаем на ADOConnection1.

Рисунок 3.12 - Модуль данных с компонентами DataSource, ADOQuery.

Создаем форму следующего вида: DBGrid, RadioButton, RadioGroup, BitBtn

Рисунок 3.13 - Форма просмотра запросов

Cвойство DataSource компонента DBGrid устанавливаем соответственно модулю данных: DataModule1->Datasource7.

В обработчикe события OnClick компонента RadioButton:

__fastcall TForm8::RadioButton1Click(TObject *Sender)

{->ADOQuery1->SQL->Clear();->ADOQuery1->SQL->Add("SELECT Автомобиль.Название, Автомобиль.Цвет, Автомобиль.Цена FROM Автомобиль");->ADOQuery1->Open();

}

//---------------------------------------------------------------------------__fastcall TForm8::RadioButton2Click(TObject *Sender)

{->ADOQuery1->SQL->Clear();->ADOQuery1->SQL->Add("SELECT Автомобиль.[ID автомобиля], Автомобиль.Название, Автомобиль.Мощность FROM Автомобиль GROUP BY Автомобиль.[ID автомобиля], Автомобиль.Название, Автомобиль.Мощность ORDER BY Автомобиль.Мощность;");->ADOQuery1->Open();

}

//---------------------------------------------------------------------------__fastcall TForm8::RadioButton3Click(TObject *Sender)

{->ADOQuery1->SQL->Clear();->ADOQuery1->SQL->Add("SELECT Реализация.[ФИО клиента], Автомобиль.Название, Автомобиль.Цвет, Заказ.[Год выпуска], Реализация.[ID менеджера]FROM Заказ INNER JOIN (Автосалон INNER JOIN (Автомобиль INNER JOIN Реализация ON Автомобиль.[ID автомобиля] = Реализация.[ID автомобиля]) ON Автосалон.[Название автосалона] = Реализация.[Название автосалона]) ON Заказ.[Код заказа] = Реализация.[Код заказа];");->ADOQuery1->Open();

}

//---------------------------------------------------------------------------__fastcall TForm8::RadioButton4Click(TObject *Sender)

{->ADOQuery1->SQL->Clear();->ADOQuery1->SQL->Add("SELECT Клиенты.[ФИО клиента], Клиенты.[Паспортные данные], Реализация.[Дата заказа]FROM Клиенты INNER JOIN (Автомобиль INNER JOIN Реализация ON Автомобиль.[ID автомобиля] = Реализация.[ID автомобиля]) ON Клиенты.[Паспортные данные] = Реализация.[Паспортные данные]ORDER BY Реализация.[Дата заказа];");1->ADOQuery1->Open();

}

//-------------------------------------------------------------------------

Отчетом называется организованная и отформатированная информация, взятая из базы данных и предназначенная для вывода на печать. Он может иметь вид таблицы или оформлен по разработанной пользователем свободной форме. Отчет позволяет выбрать критерии, согласно которым извлекается информация из базы данных. Его можно дополнить рисунками, диаграммами, комментариями.

Создавая форму для просмотра отчета, размещаем следующие компоненты:

-       Для подключения к БД - ADOConnection, ADOTable, DataSource;

-       Для отображения отчета - QuickRep, QRBand, QRDBText, QRLabel, QRDBImage ( вкладка QReport);

Задаем свойство Caption компонента QRLabel в соответствии с названиями столбцов таблицы в БД Access.

Рисунок 3.14 - Форма для просмотра отчета

Затем задаем свойство BandType-> rbDetail компонента QRBand1 и BandType-> rbColumnHeader компонента QRBand2. Свойство DataSet компонента QRDBText устанавливаем на имя компонента ADOTable для связи с таблицей БД. Затем в свойстве DataField выбираем имя требуемого поля таблицы. На форме работы с таблицей БД зараенее создана кнопка Каталог автомобилей, которая будет отвечать за открытие отчета. В обработчике события OnClick этой кнопки:

__fastcall TForm1::Button2Click(TObject *Sender)

Form7->QuickRep1->Preview();

}

.6 Тестирование

Проверим работу приложения. Для этого запустим файл Project1.exe. После запуска приложение отображает главную форму, содержащую главное меню (рис. 3.15)

Рисунок 3.15 - Главная форма приложения

При выборе пункта меню «Автосалон» на экране появляется следующая форма, представленная на рис 3.16. При нажатии на кнопку Close, возвращаемся в главное меню приложения.

Рисунок 3.16 - Форма «Автосалон»

При нажатии на пункт меню «Автомобиль» на экране появляется форма, представленная на рис 3.17.

Рисунок 3.17 - Форма «Автомобиль»

То же самое происходит при нажатии остальных пунктов меню. Форма просмотра и поиска данных «Заказ» представлена на рис. 3.18.

Рисунок 3.18 - Форма «Заказ»

Выбрав пункт главного меню «Автосалон» произведем поиск по адресу (рис. 3.19.). Стрелка в области данных переместилась на вторую запись в соответствии с введенным критерием поиска. Произведем поиск по названию автосалона (рис. 3.20.), введя требуемое название «Киа», так же происходит перемещение по записям.

Рисунок 3.19 - Поиск данных по адресу

Рисунок 3.20 - Поиск данных по названию автосалона

При нажатии на запись в области данных в верхней части формы отображается карта, соответствующая адресу автосалона (рис. 3.21.). Кнопки «Открыть» и «Сохранить» позволяют загружать другие изображения и сохранять их в существующей БД.

Рисунок 3.21 - Форма «Автосалон» с картой месторасположения

Кнопка «Увеличить» открывает отчет с увеличенным изображением карты (рис. 3.22.)

Рисунок 3.22 - Просмотр отчета

Рассмотрим работу формы Avto, вызываемую в главном меню при нажатии на кнопку «Автомобиль». Здесь так же возможно осуществление поиска по записям при введении определенных критериев. Кроме того, доступна фильтрация данных по типу комплектации автомобиля.  Фильтрация производится следующим образом: в выпадающем списке выбирается критерий фильтрации и нажимается кнопка «ОК».

При нажатии в области данных на требуемую запись в правой части отображается фото автомобиля (рис. 3.23.).

Рисунок 3.23 - Отображение фото выбранной записи таблицы

Возможно добавление и удаление записей с помощью компонента Navigator. На рисунке 3.24 добавлена шестая запись с помощью кнопки «+», а также загружено изображение с помощью кнопок «Открыть» и «Сохранить». Таким образом, обеспечивается обновление данных каталога автомобилей.

Рисунок 3.24 - Обновление данных таблицы

Рассмотрим работу кнопок «Каталог автомобилей», открывающую форму просмотра отчета и «Просмотр запросов», открывающую форму запросов соответственно. При нажатии на первую кнопку открывается следующая форма в виде отчета, содержащая данные о моделях автомобиля (рис. 3.25.).

Рисунок 3.25 - Отчет «Каталог автомобилей»

При нажатии на кнопку «Просмотр запросов» на экране появляется форма просмотра запросов (рис. 3.26.)

Рисунок 3.26 - Форма просмотра запросов

При выборе параметров запросов данные моментально отображаются в верхней области формы (рис. 3.27 а, б, в)

Рисунок 3.27 (а) - Форма просмотра запросов в различных режимах

Рисунок 3.27 (б) - Форма просмотра запросов в различных режимах

Рисунок 3.27 (в) - Форма просмотра запросов в различных режимах

4       Экономическое обоснование эффективности

4.1    Построение проектной диаграммы Ганта

Диаграмма Ганта - это популярный тип столбчатых диаграмм (гистограмм), который используется для иллюстрации плана, графика работ по какому-либо проекту. Является одним из методов планирования проектов. Диаграмма Ганта состоит из полос, ориентированных вдоль оси времени. Каждая полоса на диаграмме представляет отдельную задачу в составе проекта (вид работы), её концы - моменты начала и завершения работы, её протяженность - длительность работы. Вертикальной осью диаграммы служит перечень задач. Определим этапы проектирования и внедрения ИС (таблица 4.1).

Таблица 4.1 - Этапы разработки АИС

Этап проекта

Начало

Длительность

Конец

Изучение и анализ предметной области

17.11.2016

3

19.11.2016

Изучение и анализ области внедрения

20.11.2016

3

22.11.2016

Составление технического задания

23.11.2016

4

26.11.2016

Построение концептуальной модели ИС

27.11.2016

5

01.12.2016

Описание входных и выходных данных

02.12.2016

7

08.12.2016

Разработка структур данных

09.12.2016

8

16.12.2016

Разработка технического проекта

17.12.2016

10

26.12.2016

Написание программ, модулей утилит

27.12.2016

10

05.01.2017

Отладка

06.01.2017

7

12.01.2017

Тестирование

13.01.2017

5

17.01.2017

Разработка справочной и технической документации

18.01.2017

2

19.01.2017

Внедрение

20.01.2017

7

26.01.2017

Итого


71

дней


На основании таблицы построим диаграмму Ганта с помощью MS Exel:

Рисунок 4.1 - Диаграмма Ганта

Таким образом, при разработке АИС одним из важнейших ресурсов является временной ресурс. Диаграмма Ганта является наглядным и удобным инструментом для управления проектом. Этот метод легок и доступен каждому.

.2 Определение трудозатрат

COst MOdel (COCOMO - модель издержек разработки) - это алгоритмическая модель оценки стоимости разработки программного обеспечения, разработанная Барри Боэмом (Barry Boehm). В модели используется формула регрессии с параметрами, определяемыми на основе отраслевых данных и характеристик конкретного проекта.

Различаются две стадии оценки проекта: предварительная оценка на начальной фазе и детальная оценка после проработки архитектуры.

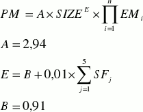
Формула оценки трудоемкости проекта в чел.*мес. имеет вид:

,

где SIZE - размер продукта в KSLOC

EMi - множители трудоемкости- факторы масштаба=7 - для предварительной оценки=17 - для детальной оценки

Главной особенностью методики является то, что для того, чтобы оценить трудоемкость, необходимо знать размер программного продукта в тысячах строках исходного кода.

Если мы провели анализ продукта методом функциональных точек, то его размер может быть рассчитан с использованием собственных статистических данных или с использованием статистики по отрасли таблица представлена в приложении

Определим трудозатраты с помощью модели COCOMO 2 (Constructive cost model):

Трудозатраты для базовой модели:

Е = А * (размер / 1000)В,

где А и В коэффициенты

Для определения коэффициентов необходимо определить режим системы (уровень сложности):

1.       Органический режим (то 2000 до 50000 строк).

−       Сроки разработки не сложные.

−       Среда разработки комфортная.

−       Не требуется новшеств.

−       А = 2,4; В = 1,05.

2.       Сбалансированный режим (от 50000 до 300000 строк).

−       Требования к срокам разработки средние.

−       Требования к среде разработки средние.

−       А = 3,0; В = 1,12.

3.       Внедренный режим (свыше 300000 строк).

−       Требования к срокам разработки максимальные.

−       Требования к среде разработки максимальные.

−       А = 3,6; В = 1,2.

Для расчета выбран органический режим, потому что проект не сложный, тогда по формуле

Е = 2,4 * (420)^1,05 = 1,1 чел./месяц.

Длительность проекта:

 = 2,5 * EС = 2,5 * (1,1)0,38= 2,5 месяца

где С - коэффициент для органического уровня сложности, который равен С = 0,38.

Основная заработная плата рассчитывается с учетом затраченного времени на разработку системы. Оклад программиста на период разработки составлял 6000 рублей за месяц.

-    Кпр - коэффициент, учитывающий премиальные доплаты - 1,5;

-       Кр - коэффициент, учитывающий зональные (районные) выплаты - 1,15;

Зобш = 6000 × 1,5 × 1,15 = 10350 руб.

Общая заработная плата программиста (Зобш) за весь период разработки информационной системы (2 месяца):

Зобш =10350*2 = 20700,00руб.

Базовая ставка единого социального налога составляет 26 %. Сумма единого социального налога за весь период разработки информационной системы:

Сесн = Сесн(дн) × Тразр

Сесн =20700,00 × 0,26 = 5382,00 руб.

Стоимость трудозатрат за весь период разработки информационной системы:

ЗП = Зо6щ + Сесн

ЗП = 20700+ 5382= 10764,00руб.

Заключение


В ходе курсового проектирования проведен анализ деятельности автосалона. В результате анализа была выявлена и обоснована необходимость разработки АИС учета автомобиля.

В результате выполнения курсовой работы спроектирована структура АИС. Спроектированы: подсистема реализации автомобиля, подсистема ввода и редактирования информации, подсистема составления отчетов. При проектировании были изучены и использованы CASE средства AllFusion Process Modeler 7, использовавшейся для создания моделей бизнес процессов, Microsoft Office Visio , использовавшейся для создания логической модели.

В результате разработана информационная система «Автоматизация учета торговых операций в автосалоне».

Проектирование и разработка ИС осуществлялось в несколько этапов:

-       Проведение анализа деятельности автосалона;

-       Анализ и описание предметной области;

-       Разработка информационной базы данных;

-       Разработка структурной схемы системы;

-       Разработка алгоритма на языке С++;

-       Разработка пользовательского интерфейса приложения;

-       Осуществление программной реализации приложения;

-       Тестирование и отладка разработанного приложения.

Выполнены поставленные цели и задачи: создана ИС автоматизации учета торговых операций в автомобильном салоне, включающая в себя БД и приложение, позволяющее вести учет и контроль за базой данных. Разработанное приложение отвечает всем требованиям предметной области, таблицы созданной базы данных отвечают требованиям нормализации, что позволяет обеспечить целостность и непротиворечивость информации. В ходе проектирования БД изучена сфера деятельности автосалона, собрана необходимая информация. Назначение данной БД состоит в возможности вести учет торговых операций компании, хранить и получать необходимые данные, а также обновлять их. Существует возможность корректировки информации. Созданные формы, запросы и отчеты позволяют быстро и эффективно обновлять данные, осуществлять поиск нужных данных, анализировать данные.

Таким образом, получены навыки работы с автоматизированными системами в условиях, приближенных к реальным, закреплены практические навыки разработки БД, запросов на языке SQL, прикладных программ в среде визуального программирования Borland C++ Builder 6.0. Созданное приложение позволяет сократить затраты времени и средств на хранение, обработку и транспортировку информации, обеспечивает удобный доступ к ней, снижает объем бумажного документооборота.

Список используемых источников


)            Карпова Т.С. Базы данных: модели, разработка. - СПб.: Питер, 2006,. 304 с.

2)      Лапина Т.И. Управление данными [Текст]. - Юго-Зап. гос. ун-т, Курск, 2011. - 255 с.

3) Илюшечкин В.М. основы использования и проектирования БД [Текст]: учебное пособие. - М.: Высшее образование, 2009. - 213с.

4)          Хомоненко А.Д. Базы данных: Учебник для высших учебных заведений / Под ред. проф. А.Д. Хомоненко. - СПб.: Корона-принт, 2005. - 416 с.

5) Верхова Г.В. Базы данных: учебное пособие. - СПб.: Политехника, 2008. - 171с.

6) Горбаченко В. И., Убиенных Г. Ф., Бобрышева Г. В. Создание функциональной модели информационной системы с помощью CASE-средства CA ERwin Process Modeler 7.3. - Пенза: ПГУ, 2010. - 66 с.

7)      Копейкин М.В., Спиридонов В.В., Шумова Е.О. Базы данных. Концепция баз данных: Учеб. пособие. - СПб.: СЗТУ, 2004. - 116 с.

)        Маркин А.В. Построение запросов и программирование на SQL [Текст]: учебное пособие. - М.: Диалог - МИФИ, 2008. - 320с.

)        Голицына О. Л. Программное обеспечение [Текст] : учебное пособие. - 3-е изд., перераб. и доп. - М. : Форум, 2010.

Похожие работы на - Автоматизация торговых операций в автосалоне

 

Не нашли материал для своей работы?
Поможем написать уникальную работу
Без плагиата!
Без нейросетей!