Создание приложения в инструментальной графической среде
задание 1. СОЗДАНИЕ
ПРОЕКТА В СРЕДЕ ISаGRAF НА ЯЗЫКЕ FBD
Цель: знакомство со средой программирования
промышленных контроллеров ISaGRAF версии 3.4 и языком программирования FBD.
Разработать приложение на языке FBD, реализующее
вычисление следующих арифметических и логических выражений (табл. 1).
Таблица 1
|
№
|
Задание
1
|
Задание
2
|
|
6
|

|
|
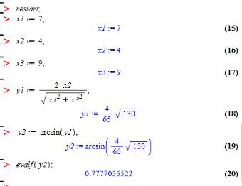
Тест № 1
Задаём переменным х1, х2, х3 произвольные
значения. Логические переменные z1,
z2, z3
имеют значения false .
Проверка: Программой
“Maple”
Результат совпадает.
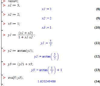
Тест № 2. Изменяем значения переменных х1, х2,
х3, а логические переменные z1,
z2 переводим в
значение true.
Проверка: Программой
“Maple”
Результат совпадает.
Тест № 3 Еще раз изменяем значения входных
переменных.
графический программирование контроллер арифметический
Проверка: Программой
“Maple”
Результат совпадает.
задание 2. СОЗДАНИЕ
ПРОЕКТА В СРЕДЕ ISаGRAF НА ЯЗЫКЕ LD
Цель: знакомство со средой программирования
промышленных контроллеров ISaGRAF версии 3.4 и языком программирования LD.
Разработать приложение на языке LD,
реализующее вычисление следующих арифметических и логических выражений (табл.
2).
Таблица 2
|
№
|
Задание
1
|
Задание
2
|
|
6
|

|
|
Тестирование программы и проверка полученных
результатов.
Тест № 1
Проверка: Программой
“Maple”
Результат совпадает.
Тест № 2
Проверка: Программой
“Maple”
Результат совпадает.
Тест № 3
Проверка: Программой
“Maple”
Результат совпадает.
задание 3. СОЗДАНИЕ
ПРОЕКТА В СРЕДЕ ISаGRAF НА ЯЗЫКЕ ST
Цель: знакомство со средой программирования
промышленных контроллеров ISaGRAF версии 3.4 и языком программирования ST.
Разработать приложение на языке ST,
реализующее вычисление следующих арифметических и логических выражений (табл.
3).
Тест № 1
Таблица 3
|
№
|
Задание
1
|
Задание
2
|
|
6
|

|
|
Проверка: Программой
“Maple”
Результат совпадает.
Тест№ 2
Проверка: Программой
“Maple”
Результат совпадает.
Тест № 3
Проверка: Программой
“Maple”
Результат совпадает.
задание 4. СОЗДАНИЕ
ПРОЕКТА В СРЕДЕ ISаGRAF НА ЯЗЫКЕ IL
Цель: знакомство со средой программирования
промышленных контроллеров ISaGRAF версии 3.4 и языком программирования IL.
Разработать приложение на языке IL,
реализующее вычисление следующих арифметических и логических выражений (табл.
4).
Таблица 4
|
№
|
Задание
1
|
Задание
2
|
|
6
|

|
|
Тест № 1
Проверка: Программой
“Maple”
Результат совпадает.
Тест № 2
Проверка: Программой
“Maple”
Результат совпадает.
Тест № 3
Проверка: Программой
“Maple”
Результат совпадает.