Проектирование земснаряда для дноуглубительных и очистных работ
Введение
В настоящее время актуальной проблемой является загрязнение окружающей
среды. Качество воды, состояние рек и озер прямым образом сказывается на
здоровье людей. Важность данной проблемы на сегодняшний день осознана
обществом, властью, руководителями предприятий. Существуют люди желающие
вложить деньги в улучшение экологической обстановки.
Темой моего дипломного проекта является разработка земснаряда,
предназначенного для очищения и дноуглубительных работ со средней
производительностью 125 м3/ч. Верхний слой осадочных отложений
представляет собой сегодня смесь ила и песка содержащего нефтепродукты,
органические компоненты, большое количество сероводорода, токсичные отложения.
На сегодняшний день существует очень мало разработок в данной области.
Поэтому мне пришлось взять в качестве аналога земснаряд проекта 8597 для добычи
сапропела кафедры судовых устройств и вспомогательных механизмов Волжской
Государственной Академии Водного Транспорта, ГЦКБ Судоремонтного Завода "
Память Парижской Коммуны "
Данный проект земснаряда предполагает его двойное назначение: очистка
прудов, малых рек, каналов, отстойников, а также возведение дамб, насыпей,
намыв пляжей, добыча инертных материалов и дноуглубление.
1. Основные данные
.1 Общие сведения
.1.1 Тип земснаряда
Тип земснаряда - дизель-электрический разборный фрезерный
производительностью 125 м3/ч.
.1.2 Область применения
Земснаряд предназначен для дноуглубительных и очистных работ на прудах,
малых реках, каналах, отстойниках и др., в том числе заросших водной
растительностью.
Земснаряд так же может быть использован для возведения насыпей, дамб,
намыва пляжей и площадок, для добычи инертных материалов (песка,
песчано-гравийной смеси). Эксплуатация земснаряда допускается в интервале
температур наружного воздуха от минус 5°С до плюс 35°С. Глубина воды в забое не
менее 0,8 м.
.1.3 Архитектурно-конструктивный тип
Земснаряд выполнен разборным и условно состоит из двух функциональных
частей. Кормовая часть - энергетический блок, включающий в себя центральный
понтон с вставленным в него дизель - генератором и главным распределительным
щитом и боковые поддерживающие понтона. На палубе центрального понтона
установлена рубка управления земснарядом и лебёдками подъёма свай, на кормовом
транце установлена одна свая в неподвижной направляющей, а также поворотный
шарнир для присоединения плавучего грунтопровода с площадкой обслуживания.
Носовая часть - грунтозаборный блок, включающий в себя сдвоенный понтон с
прорезью, в которой установлено грунтозаборное устройство. На понтонах также
установлены папильонажные лебёдки и копер с лебёдкой подъёма грунтозаборного
устройства. Внутри понтонов установлены насос гидрорыхлителя и промывочной
воды, а также гидравлическая станция привода фрезы. Наружный открытый контур
понтона и прорези имеют леерные ограждения высотой 1100 мм.
.1.4 Класс земснаряда
Основные эксплуатационные и прочностные характеристики соответствуют
классу "Л" Российского Речного Регистра. По санитарным правилам и
нормам СанПиН 2.5.2.-703-98 земснаряд относится к 3-ей группе, т.е. экипаж
находится на земснаряде только во время работы, а проживает на берегу.
.2 Основные характеристики
Производительность по грунту 2й категории не менее, м3/ч 125
Максимальная дальность транспортировки пульпы при высоте подъема 5м над
уровнем воды, м 600
Максимальная глубина грунтозабора, м не менее 5
Осадка средняя максимальная, м 0,6
Мощность энергетической установки, кВт 200
Автономность по топливу, ч 40
Доковая масса, т не более 40
Размеры габаритные, м не более:
Длина 22,0
Ширина 5,4
Высота 9,0
Высота без свай и молниеотвода 6,2 Размеры основных блоков по несъёмным
частям, м
Энергоблок 6,5х3,25х2,95
Боковые понтоны 6,5х1,3х1,5
Носовые понтоны 9,25х2,8х2,0
Грунтозаборное устройство (без рыхлителя) 9,0х1,5х2,5
Свая 9,0х0,35х0,4
Диаметр корпусного грунтопровода, мм 250
Диаметр плавучего грунтопровода, мм 300
Длина плавучего грунтопровода, м 32
Диаметр берегового грунтопровода, мм 200-300
Длина берегового грунтопровода, м 100-500
.3 Комплектация и размещение экипажа
Во время работы земснаряд обслуживается двумя членами экипажа. Один
человек - командир земснаряда (вахтенный начальник) располагается в рубке
управления земснарядом, второй человек моторист-матрос (вспомогательный
рабочий) выполняет вспомогательные операции по обслуживанию механизмов и
устройств, завозке канатов и закреплению их на берегу.
Проектом предусмотрено нахождение экипажа на земснаряде только во время
его работы или проведением ремонтных и профилактических работ без
дополнительного проживания. Организация отдыха, питание и проживания экипажа, а
так же сантехнические и бытовые помещения обеспечиваются владельцем земснаряда
на берегу.
Для кратковременного отдыха на земснаряде предусмотрен блок-приставка к
дежурным помещениям и туалетом (головной понтон плавучего грунтопровода). Кроме
основного экипажа по карте намыва периодически привлекаются дополнительные
рабочие и вспомогательная техника (краны, бульдозеры, трубоукладчики,
автомобили т др.). Их количество и время работы от конкретных местных условий.
1.4 Транспортировка и хранение
Транспортирование металлоконструкций, узлов и устройств земснаряда
заказчику осуществляется автомобильным транспортом с соблюдением действующих
требований и правил.
Металлоконструкции земснаряда должны храниться на открытой выровненной
площадке с установкой под них прокладок (брусьев). Группа условий хранения по
СТ 15150-69-ОЖС (особо жесткая)
При длительном хранении изделий (более 8 месяцев) следует производить
периодический осмотр консервации и при необходимости возобновить её.
.5 Корпус и корпусные конструкции
Конструкция, материалы и прочность корпусов понтонов, составляющих
земснаряд, соответствует назначению и заданным условиям эксплуатации и
удовлетворяют действующим правилам и нормам.
В качестве материала корпуса понтона, рамы, фундаментов принимается
строительная сталь по ГОСТ 5521-93. Допускается замена на сталь на сталь
углеродистую обыкновенного качества марки Ст 3 по ГОСТ 380-88. Корпуса понтонов
выполняют цельносварными. Между собой понтоны соединяются крюками в днищевой
части и болтами или пальцами-по палубе.
Корпуса понтонов набраны по поперечной системе. Шпация по всей длине
корпусов-500 мм.
Наружняя корпусов и настил палуб имеет толщину 4 мм.
Набор из углеродистой неравнополочной стали по ГОСТ 8510-86, допускается
замена равнополочными гнутыми и неравнополочными уголками. По периметру понтона
Н.О. в плоскости наружных стенок устанавливаются стенки подстройки, на крыше
которой на амортизаторах устанавливается рубка управления.
Стенки надстройки и рубки выполняются из гофрированного листа толщиной 2
мм. Крышка надстройки выполняется из листа толщиной 3 мм, крышка рубки-толщиной
2 мм.
Набор надстройки и рубки выполняется из уголка45х28х4 мм.
Для доступа в отсеки понтонов на палубах понтонов устанавливаются
горловины 450х800 мм по ГОСТ 2021-90, а для отсеков носовых понтонов с
механизмами-входные люки размером 600х9000 мм.
Доступ в понтон М.О.осуществляется оп вертикальному трапу шириной 400 мм
через боковую водо-газонепроницаемую дверь размером 1400х600 мм.
Подъём на крышку надстройки для входа в рубку осуществляется по
наклонному трапу шириной 600 мм.
По периметру земснаряда устанавливается четырёхпрутковое леерное
ограждение, высотой 1100 мм со съёмными стойками и цепными леерами.
Для замены оборудования в М.О. на крыше предусмотрен съёмный лист в
районе 3-11 шп. Размером 1450х3100 мм с открывающимися световыми фонарями
освещения, в дневное время на боковых стенках М.О. круглые иллюминаторы.
Испытание корпусов на непроницаемость осуществляется по ОСТ 5.1180-87
.6 Устройства технологические
Устройство рабочих помещений
Устройство рабочих помещений включает в себя свайное устройство, две
папильонажные лебёдки, канаты и направляющие блоки, блоки в обоимах. Свайное
устройство представляет собой сваю расположенную на кормовом понтоне в неподвижной
разъёмной направляющей. Подъём сваи осуществляется лебёдкой ЛШ1.
Технические характеристики лебёдки подъёма свай ЛШ 1
Тяговое усилие, кН 16
Нормальная скорость движения каната, м/мин
При спуске сваи 36-60
При подъёме электродвигателем 10-16
При подъёме вручную 0,3
Усилие на рукоятке ручного привода, кН 0,09
Канатоёмкость барабана, м 40
Диаметр каната, мм 11,5
Мощность электродвигателя, кВт 2,2
В качестве папильонажных приняты лебёдки ЛЯЭ 0,5/0,7
Техническая характеристика лебёдки ЛЯЭ 0,5/0,7
Максимальное тяговое усилие, кН 12
Скорость движения каната, м/мин 11,5/5,4
Канатоёмкость барабана, м 125
Диаметр каната, мм 11,5
Мощность электродвигателя, кВт 1,3/0,8
Свободный ход барабана имеется
Устройство грунтозаборное
Устройство грунтозаборное включает насос ГрАТ 1400/40
Электродвигатель А 0102-6 м, валопровод, грунтопровод, смонтированное на
общей раме, установленной на общих шарнирных опорах на корпусе земснаряда. К
раме на болтах крепится рыхлительная головка с фрезой и соплами для
одновременного размыва грунта. Привод фрезы осуществляется гидромотором
3102.112 через соосный планетарный редуктор, который обеспечивает частоту
вращения фрезы ~ 30, 40 и 60 об/мин.
Техническая характеристика грунтового насоса ГрАТ 1400/40
Подача, м3/ч 1400
Напор, м 40
Потребляемая мощность, кВт 113,9
Мощность электродвигателя, кВт 125
Частота вращения, об/мин 965
КПД, % 67
Размер проходного сечения, мм 90
Подъём грунтозаборного устройства осуществляется лебёдкой ЛШ1,
установленной на копре, через четырёхкратный полиспаст. Техническая
характеристика лебёдки приведена выше. В систему контроля входят приборы
контролирующие работу грунтозаборного устройства: манувакууметр во всасывающей
линии грунтового насоса, манометр в системе гидрорыхления и промывочной воды,
манометр на нагнетательной линии грунтового насоса. Для подачи масла к
гидроприводу фрезы в отсеке носового понтона Л.Б. устанавливается насосная
станция с электродвигателем от дизель-генератора.
Масляный насос 3102-112.00 , подача 112 см3/об, давление 35
мПа Max.
Электродвигатель А 02-92-8/6/4 У3 мощностью 36/40/50 кВт, частотой
вращения 1000/1500 об/мин, 380 В
Объём масляного бака - 160 л.
2. Расчет высоты надводного борта и валовой вместимости
Расчёт высоты надводного борта.
Главные размеры и основные характеристики.
Тип судна - несамоходный разборный фрезерный земснаряд.
Длина судна по КВД, L ква, м 15,28
Ширина по KB Л, Вквл, м 5,30
Высота борта, Нвп, м 1,00
Осадка по КВЛ, Тквл, м 0,60
Водоизмещение в исходом положении с 100%
запасом, т 40,84
при этом осадка, Тср, м 0,60
Класс судна по Российскому Речному Регистру "Л"
Настоящий расчет высоты надводного борта выполнен в соответствии с
"Правилами Российского Речного Регистра" том 1 часть 4 "
устойчивость, непотопляемость и надводный борт" изд. 1995 г, далее "
Правил…"
Наименьший надводный борт.
Согласно таблице 5.2.1. "Правил..." наименьшая высота
надводного борта закрытых судов класса "Л" длиной менее 30 м должна
быть не менее hmin=200 мм =0,2 м Поправки к величине надводного борта.
Согласно табл. 5.3.2 " Правил…" для всех судов класса " Л
"стандартная седловатость не требуется. В соответствии с п 5.4.4 "
Правил…" на палубе установлены крышки с комингсом 110 мм-высотой, поэтому
поправка на устройство комингсов не вводится.
Действительный надводный борт
Величина действительного надводного борта, мм
д=Hвп - Тср
Где Нвп - высота борта, м
Тср- осадка судна в походном положении 100 % запаса, м
д=1,00-0,60=0,40 м
Вывод.
Произведённый расчёт показал, что требование " Правил Российского
Речного Регистра" к величине надводного борта удовлетворяется, т.к.
действительный надводный борт Нд=0,4 м больше минимального необходимого
Нmin=0,20 м.
Расчет валовой вместимости.
Согласно "Правил..." том 1, часть 1. "Общие
положения" изд. 1995г. валовая вместимость - полный объем всех помещений
судна, м3. Определяется путем обмера судна или по формуле. Методом
обмера получим объем корпуса, м3= 97 м3
Валовая вместимость в регистровых тоннах, реч. - т.
3.
Расчёт грунтонасосной установки землесоса
.1
Общие указания
Целью
расчетов выполняемых в данной работе является определение диаметра
грунтопроводов, технических показателей грунтового насоса, определение частоты
его вращения, выбор главного двигателя, оценка производительности землесоса при
полном использовании мощности выбранного двигателя.
.2
Расчет диаметра грунтопровода
Исходные
данные для расчета:
Производительность
землесоса по грунту - Qrp =125 м3/ч
Максимальная
глубина разработки - Нi =5,0 м
Возвышение
выкидного патрубка - Нсб=5,0 м
Общая
длина грунтопровода - L = 600 м
Коэффициент
зависящий от крупности твердых частиц - VCxcp = 2,0
Внутренний
диаметр нагнетательного грунтопровода является важнейшим параметром
грунтонасосной установки. Его значение можно определить по формуле, м
где
Qcm - подача грунтового насоса по смеси, м3/с;- скорость движения,
м/с;
где
qгр -производительность по грунту, м3/с,
р
- плотность гидросмеси, кг/м3
рв
- плотность воды, кг/м3
Для
землесосов с гидравлическим рыхлителем примем равным p=1200 кг/м3
=2,2
кр=2,2
(3)
Из
(1), (2) и (3) следует:
(4)
Полученный
в результате расчета диаметр грунтопровода округляем до стандартного в
соответствии с ГОСТ 5466-75 - D=250 мм. Скорость движения смеси в грунтопроводе
принятого диаметра, м/с:
Для
уменьшения скорости движения в плавучем грунтопроводе, его диаметр увеличен до
Dпл г.п=300 мм
.3
Расчет характеристик грунтопровода
Под
характеристикой грунтопровода понимают зависимость потерь напора в
грунтопроводе от скорости движения смеси или подачи грунтового насоса. С
использованием характеристики грунтопровода при известной мощности главного
двигателя можно определить технические показатели грунтового насоса,
необходимые для его проектирования или выбора из числа имеющихся. С помощью
характеристики грунтопровода решаются и эксплуатационные задачи, определяются
производительность землесоса по грунту и режим работы главного двигателя для
заданных условий эксплуатации. Суммарные потери в нагнетательном и всасывающем
грунтопроводах можно определить, не принимая во внимание разность их диаметров,
так как потери трения и в местных сопротивлениях всасывающего грунтопровода,
которые зависят от диаметра, относительно невелики. Потому неточность в их
расчете заметной роли не играет.
При
указанном условии потери напора в грунтопроводе можно предоставить в виде суммы
следующих слагаемых:
Н
= hгp+hnl+hn2+hт+hм+hv
где
hrp - потери в грунтоприемнике, м;гр - потери в грунтоприёмнике, м- затраты
напора на подъем грунта до уровня воды, м;- затраты напора на подъем смеси до
уровня сброса, м;т- потери напора на трение, м;м - потери напора в местных
сопротивлениях, м2;- затраты напора на создании скорости в выходном
сечении грунтопровода, м;
Значение
hгp зависит от многих факторов. Для грунтозаборных устройств с гидравлическими
рыхлителями его можно принять hгp=1 м. Величины hnl и hn2 определяются по
формулам:
=Hl*(l-pв/p)=5*(1-1000/1200)=0,83
м=Hc6=5 м
Потери
напора на трение, м:
где
ho-потери напора на трение при движении воды, м;ч - число Фруда для трубы,
-коэффициент,
зависящий от крупности твердых частиц. Потери напора при движении воды
Потери
напора при движении воды, м:
Где
- коэффициент трения
Значение
λ является функцией числа Рейнольдса Re:
При
температуре С=15 v=0,l14*0,00001м2/с
Число
Фруда при движении смеси со скоростью:
Основным
видом местных сопротивлений hm в грунтопроводах речных дноуглубительных
землесосов является гибкие шаровые соединения плавучего грунтопровода. Каждое
соединение имеет свой угол изгиба, от которого зависят потери. Поэтому удобнее
определять местные потери не для каждого источника сопротивления, а
рассматривать их как часть общих потерь на трение, используя коэффициент
Значение
принимают из таблицы 1 стр. 51
Для
D=300mm -
=0,39
Потери
напора hm в местных сопротивлениях при движении смеси со скоростью
V
=(1
-0,19)0,19*l,7[+ 1,6*О,19(1000/1200-1)] =6,88
Затраты
напора на создание скорости, м:
Значение
потерь напора грунтопровода при движении по нему воды определяются по
формулам;=Hc6=5 м;т=h0=11,3 м;м=15 м;=0,5м;
НВ=
hn2 +hт+ hм +hv=5+11,3+15+0,5=31,8м
При
расчете потерь на трение при движении воды, все особенности движения смеси в
режимах с заилением снимаются. По напору, соответствующему расчетной скорости
Vp, и ранее определенной подачи Qcm рассчитывается мощность насоса, кВт:
Где
- КПД грунтового насоса:
=0,7
.4
Выбор двигателя грунтового насоса
Для
выбора двигателя, кроме мощности, необходимо знать опустимые границы частоты
вращения. Интенсивность абразивного знашивания входных элементов рабочего
колеса зависит от кружной скорости на входе U1. Приняв максимальное значение
этой скорости U1 макс и учитывая, что диаметр входа на лопасти рабочего колеса
близок к диаметру грунтопровода D получим, мин-1;
где
- максимальное значение окружной скорости на выходе
Значение
следует принять равным 13 м/с. Минимальная частота
вращения насоса ограничивается, хотя и не строго, наименьшим значением
коэффициента быстроходности
Где
=60…70
По
мощности и диапазону частоты вращения выбираем электродвигатель АО-102-6М
:
N=125 кВт; N=965 об/мин;
=60%; U=220/380 В
Выбор
насоса.
Исходные
данные:
Длина
плавучего грунтопровода -100 м
Длина
берегового грунтопровода -100-500 м
Мощность
двигателя грунтового насоса -125 кВт
Категория
грунта -2(песок)
Выбираем
по рекомендации НПД ЦКБ
"Судоремонт"
насос ГрАТ 700/40
Характеристики
насоса ГрАТ 700/40 на воде n=965об/мин:
Табл.1
|
Подача, м3/ч
|
Напор, м
|
Мощность, кВт
|
|
200
|
47,1
|
72
|
|
400
|
45,2
|
91
|
|
600
|
41,9
|
107
|
|
800
|
38,1
|
120
|
Определение величины обрезки рабочего колеса.
Величины обрезки рабочего колеса грунтового насоса ГрАТ 700/40
определяются из условия обеспечения производительности по грунту 100 м3/ч
при плотности грунтосмеси 1,2 т/м3 и длине берегового грунтопровода
500 м, что соответствует подаче 540 м3/ч и напору 39,9 на гидросмеси.
Исходя из этих данных рассчитываем параболу обрезок. Результаты расчётов
в табл. 2.
Таблица 2
|
Величина обрезки
|
Подача насоса, м3/ч
|
Напор насоса на гидросмеси,
м
|
Напор насоса на воде
|
|
1,05
|
584
|
38,93
|
40,98
|
|
1,06
|
593
|
39,98
|
41,88
|
|
1,07
|
602
|
40,56
|
42,80
|
|
1,08
|
611
|
41,54
|
43,73
|
Из этих данных видно, что обрезки должны составлять 6%
Выводы: для предотвращения перегрузки грунтового насоса необходима
обрезка рабочего колеса по наружнему диаметру на 6%. При этом гарантируется
производительность по грунту не менее 100 см3/ч. При длине
берегового грунтопровода 300, 400, 500 м обеспечивается мощность насоса менее
125 кВт. При длине берегового грунтопровода 200 м рекомендуется установка на
его конце конической насадки с выходным диаметром 200 мм, а при длине 100 м -
150 мм. В этом случае подача насоса составит - 800 м3/ч,
производительность по грунту ~ 150 м3/ч, а мощность насоса не
превысит 125 кВт.
4. Расчёт для построения фрезы
Мы разбили фрезу на 13 сечений
Построение лучше всего принимать с базового сечения. На нем из точки А
проводят луч О1А1 под углом
к радиусу ОА и по формуле
Где
ro - сечение внутренней поверхности отвала, смф и rс радиусы фрезы и ступицы
Радиус
ro можно подобрать циркулем, имея виду, что центр его дуги должен лежать на
луче О1А из точки В проводят дугу во2 и радиусом ro.
На
продолжении АО и ВО откладывают отрезки Аа и Вв, длину которых определяет
требование прочности, из точек а и в проводят лучи bm1 и bm2 под углом
, значение его можно получить из выражения
=130
Остальные
сечения рассчитываются аналогично
4.1
Расчет механического рыхлителя грунта
.1.1
Расчет геометрических параметров фрезы.
Диаметр фрезы по С.П. Огородникову [10]
Где Qгр - производительность по грунту;фр-длина фрезы;п-скоростъ
папильонирования;
Кдв - коэффициент, характеризующий степень использования фрезы по
диаметру (Кдв =0,85.. .9,95)коэффициент, характеризующий степень использования
фрезы по длине. (KL =0,9.,.0,95)
Кпр- коэффициент просора грунта, (Кпр =0,8)
Согласно исследований С.П.Огородникова 
=0,6.. .6,7.
Принимаем
= 0,65%Dcpp
Известно, что
где
- скорость вращения фрезы.
Принимаем
=170 м/мин=8, тогда из (1) следует:
Диаметр фрезы по Б.М.Шкундину[10] для легких грунтов,
(2)
Из (2) получим
В качестве искомого значения, принимаем среднее Dфр=0,9 м
Принимаем митрообразную форму фрезы с углом 15°.
Тогда для фрез, имеющих коническую форму вращения, можно определить:
Угол наклона ножей к оси вращения принимаем
=50°
Тогда число ножей фрезы
Принимаем Zфр=4
Для режущих частей фрезы можно записать выражение:
(3)
где
- угол резания,
-угол
заточки профиля;
-задний
угол:
Для
плотных абразивных грунтов можно принять
=28°.
Задний угол определяем из выражения В.А. Иванова
Действительно из формулы (3) следует, что:
Действительный
угол резания по В.А.Иванову определяется:
(4)
Должно
быть
Из
(4):
Следовательно
значение
попадает в оптимальный интервал. Длина отвальной
направляющей поверхности:
4.2 Расчет потребляемой мощности фрезы
При разработке грунтов с обрушением по С.П. Огородникову [7]:
ф=e*Qгр (5)
где е - удельная энергоемкость подводной разработки грунтов, кВт/(м3/ч)
Согласно исследований С.П.Огородникова для слежавшихся песков и песков
поросших растительностью е=0,35.. .0,45
тогда из (5) получим:
ф=e*100=35…45 кВт
Принимаем Nф =40 кВт
Число оборотов фрезы:
.3 Определение вертикальной составляющей резания грунта
Вертикальной составляющей резания грунта определяется по формуле
выведенной В.А. Ивановым
где
-угол
контакта фрезы с грунтом;
-
толщина затупленной режущей кромки ножа;
Ф
- текущее значение контакта фрезы с грунтом;
- угол
наклона площади износа задней поверхности ножа к траектории его движения;
. - угол
внешнего трения грунта;
- длина
ножа;
- число
ножей фрезы;,K5 - удельное сопротивление грунта соответственно сдвигу и смятию;
- угол
внутреннего трения;
Для
4 категории грунта (K4=50 кПа; K5=300 кПа)
После
подстановки в формулу (6) получим, кН;
Рв=215*0.026*0.933*0.45*(0.5*3.14)+186*0.035*((0.933*4)/(2*3.14))*2=15.1
кН
Принимаем
Рв=1500 кг.
4.4 Расчет горизонтальной составляющей резания грунта
Согласно исследований В.А. Иванова, горизонтальную составляющую резания
грунта определим по формуле:
(7)
Для 4 категории грунта определим:
Р1=215*0,026*0,933*0,45*0,026*2+186*0,035*((0,933*4)/(2*3,14))*(0,026*3,14*2*ctg(170+190))=11.1
кН
С учетом коэффициента запаса принимаем Рт=1500 кг
.5 Расчет режимов резания грунта
Спроектированная фреза с отвально-режущей кромкой, в которой лопасти
расположены по спиральной поверхности является не только режущим элементом, но
и осевым насосом, нагнетающим грунтовую смесь к всасывающему грунтоприемнику.
Фреза предназначена не только резать грунт, но и измельчать его до состояния
оптимального для всасывания.
Известно, что состояние грунта, отделенного от массива фрезой, зависит от
соотношения Vн/Vфр. При увеличении Vн и снижении Vфр снижаются удельные
энергетические затраты на процесс резания, однако при этом отрезаются куски
грунта, исключающие процесс грунтозабора. Грунт можно отрезать мелкой стружкой,
которая способна засасываться грунтоприемником. Из опыта эксплуатации
земснарядов с фрезами установлено оптимальное значение Сопт.
Сопт= Vн/Vфр=0,04...0,05
При нем удельные затраты энергии на резание и забор грунта минимально.
С учетом
Vф=
ф*Rф
получено
выражение для определения оптимального значения
где Np-мощность привода фрезы:
-КПД
передачи от привода к фрезе;
-площадь
сечения разрабатываемой папильонажной ленты;
=0,95*Dф*Lф
коэффициент
запаса мощности привода фрезы (m=1,15... 1,25) для 4 категории грунта,
Производительность
по грунту определим из формулы (1):
(9)
Толщина отрезаемой стружки определяется по формуле, мм:
Отсюда
=3,5/(28*4)*1000=31мм
Для
3 категории грунта (
)
земснаряд грунтонасосный рама надводный
Для
2 категории грунта (к4=23 кПа; к5=133 кПа;
)
Примем
=60об/мин
5. Расчёт гидравлического механизма для передвижения сваи
На рисунке 6.1 показана схема гидравлического механизма
Рисунок 6.1 Схема гидравлического механизма
Ц - цилиндр, ГД- гидрозамок, РН- золотниковый распределитель, ДР-
дроссель, К2- обратный клапан, К1- предохранительный клапан, Н- насос, ЭД-
электродвигатель, Ф- фильтр, ОХ- охладитель, ГБ- гидробак.
.1 Режимы работы гидроприводов передвижения тележек свай
Оцениваются в зависимости от продолжительности работы гидроприводов под
нагрузкой, учитывают коэффициентом Кn, числа включения гидропривода в час и
степени использования номинального давления Kg. Режим гидропривода определяется
по таблице 4.1 (1)
Режим работы - мягкий
Кg - менее 0,4
Кn - 0,1-0,3
Число включений в час - до 100
Номинальное давление Рном=0,63
5.2 Выбор марки рабочей жидкости
В соответствии с техническими требованиями в гидроприводах машин,
работающих на открытом воздухе, в средне-климатической зоне следует применять
масло МГ-30, имеющее вязкость 0,3*10-4 м2/с
.3 Определение диаметра гидроцилиндра
Внутренний диаметр гидроцилиндра зависит от направлений действий рабочих
усилий. При работе штока на сжатие рабочей жидкости под давлением Р в поршневую
полость и создаёт на штоке усилие Р. При этом в штоковой полости возникает сила
сопротивления, которая вызвана противодавлением Рм
В этом случае диаметр гидроцилиндра
заданное рабочее усилие, кНрабочее давление при входе, мПа
-
коэффициент мультипликации
-
механическое КПД гидроцилиндра
(1)
Pm=0,4мПа
=0,93( с
резиновыми манжетами)
5.4
Определение расхода, потребляемого гидроцилиндрами
При
работе штока на выталкивание для получения заданной скорости рабочего хода в
поршневую полость с площадью Fn следует подать теоретический расход (t л/мин)
=24
Где
V- скорость штока, м/мин
Одновременно
из штоковой полости Fm гидроцилиндр будет вытеснять теоретический расход л/мин
.5
Выбор насоса
Рабочий
объём насоса gн (см3/об) должен соответствовать расходу
гидропривода, приходящем на один оборот вала насоса
Выбираем
насос НШ gn=98 см3/об
Р=10/13,5
мПа=1100/2000 мин-1
Выбранный
насос должен развивать давление
Где
Р - давление на входе в гидроцилиндр или гидромотор
-полная
потеря давления в гидроприводе от насоса до гидробака
.6
Гидравлический расчёт трубопроводов
.6.1
Расчёт диаметров труб и рукавов
Внутренний
резинометаллического рукава определяется по формуле:
Где- расход жидкости на рассматриваемом участке, л/мин- средняя скорость
жидкости, м/с
Исходные данные для расчёта гидравлических потерь
|
N участка
|
Назначение
|
V допустимая
|
Расход Q л/мин
|
Диаметр d, мм
|
Длина участка L, м
|
|
|
|
|
Вычисленный
|
Принятый по ГОСТ
|
|
|
1
|
Напорный
|
3
|
133
|
30,6
|
32
|
3,5
|
|
5
|
Всасывающий
|
1
|
133
|
53
|
63
|
1
|
|
2
|
Дренажный
|
1,4
|
80,6
|
35
|
40
|
1
|
|
4
|
Сливной
|
1,4
|
80,6
|
35
|
40
|
0,5
|
|
3
|
Сливной
|
1,4
|
80,6
|
35
|
40
|
3,5
|
5.6.2 Расчёт гидравлических потерь
Гидравлические потери в гидролиниях слагаются из потерь на гидравлическое
трение, потерь в местных сопротивлениях
И потерь в гидроаппаратах
Потри давления на трение (Па)
Где
-
плотность
- коэффициент трениядлина участкасредняя скорость
жидкости- диаметр шланга
Для вычисления коэффициента
трения необходимо определить режим движения по числу Рейнольдца:
При минимальном движении Re< 2300 для резиновых рукавов
При турбулентном движении Re>2300
Расчёт потерь на трение
|
N участка
|
L, м
|
d, мм
|
Q, л/мин
|
V, м/с
|
V2/c2
|
Re
|
|
|
|
1
|
3.5
|
32
|
133
|
3
|
9
|
3600
|
7.74
|
3.9
|
|
5
|
1
|
63
|
133
|
1
|
1
|
2100
|
0.047
|
0.37*10-3
|
|
2
|
1
|
35
|
80.6
|
1.4
|
1.96
|
1630
|
0.046
|
1.26*10-3
|
|
4
|
0.5
|
35
|
80.6
|
1.4
|
1.96
|
1630
|
0.046
|
0.63*10-3
|
|
3
|
3.5
|
35
|
80.6
|
1.4
|
1.96
|
1630
|
0.046
|
4.41*10-3
|
Расчёт потерь в гидравлических сопротивлениях
|
N участка
|
Вид сопротивлений
|
Количество
|
|
V2
|
|
|
|
1
|
Внезапное расширение Внезапное
сужение Разделение потоков
|
3 2 0,9
|
2,4 1 0,9
|
9
|
0,018
|
0,018
|
|
5
|
Внезапное сужение Внезапное
расширение
|
1 1
|
0,5 0,8
|
1
|
0,006
|
0,006
|
|
2
|
Внезапное расширение
Предохранительный клапан
|
1 1
|
0,9 2,5
|
1,96
|
0,003
|
0,003
|
|
4
|
Дроссель
|
1
|
2
|
1,96
|
0,002
|
0,002
|
|
3
|
Внезапное расширение Выход
Разделение потоков
|
3
|
2,4
|
1,96
|
0,0046
|
0,0046
|
Перечень установленных гидроаппаратов
|
N участка
|
Буквенное обозначение
|
Наименование гидроаппарата
|
Марка и типоразмер
|
Параметры
|
|
|
|
|
|
Q
|
P, мПа
|
|
|
1
|
Н
|
Насос
|
НШ 98
|
98 см3/об
|
10/13,5
|
0,18
|
|
Кд
|
Обратный клапан
|
41.5157
|
32-12 л/мин
|
32
|
0,18
|
|
РЗ
|
Золотниковый распределитель
|
Р
|
По графику (1)
|
32
|
По графику П.27 (1)
|
|
ГД
|
Гидрозамок
|
КУ
|
40-400 л/мин
|
32
|
0,4
|
|
2
|
КО
|
Предохранительный клапан
|
БГ52-15Д
|
10 л/мин
|
0,3
|
0,15
|
|
5
|
Ф
|
Фильтр
|
ФС 7
|
160 л/мин
|
6,3
|
0,25
|
|
4
|
ДР
|
Дроссель
|
ДР 20
|
63 л/мин
|
|
0,2
|
|
3
|
ГД
|
Гидрозамок
|
|
|
|
|
Суммарные потери в гидролиниях гидроцилиндра
Тип фильтра 1.2.40-25
Номинальный расход- 160 л/мин
Тонкость фильтрации- 25мкм
.7 Расчёт мощности гидропривода
Номинальная мощность гидропривода (кВт) равна мощности, потребляемой
насосом.
6. Расчет технологических параметров работы установки и определение
характеристик оперативных лебедок
.1 Скорость рабочих перемещений земснаряда
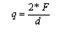
=Qp/60F
где Qp-расчетная производительность земснаряда по грунту, м3/ч;площадь
поперечного сечения разрабатываемой траншеи, м2;
=100/60x0,15 =11 м/мин
Где
В - ширина грунтоприемника, м
В=0,45
=3,14x0,45/4=0,15 м2
Тяговое усилие лебедок.
Натяжение каната лебедки, кН
=RZ
Гдерезультирующая внешняя нагрузка на земснаряд, кН
6.2 Сопротивление воды
где Сох- коэффициент сопротивления подводной поверхности носового транца
земснаряда при отрывном обтекании,
Сох=1,3;
рв - плотность воды, 1 т/м
Т,В - осадка и ширина корпуса земснаряда; Т=0,6 м и В=5.32 м;скорость
движения земснаряда относительно воды;
Км - коэффициент учитывающий увеличение сопротивления при работе
земснаряда на мелководье, Км = 1,05... 1,1.
=1.3*1/2*0.6*5.3*0.182*1.1=0.076 кН
.3 Инерционные нагрузки
При плоском передвижении земснаряда инерционные нагрузки рассчитываются
по формуле, Кн:
Где
рв- плотность воды, 1 т/м3
Кv -коэффициент присоединенных массе жидкости,=0,2;водоизмещение
земснаряда, м
V=LxBxT
где L,B T-Длина, ширина и осадка земснаряда, м
=21*5.3*0.6=66.7 м3
/dt-ускорение центра масс земснаряда, 0,025 м/с2
Ри=1*(1-0,2)*66,7*0,025=1,34 кН
.4 Нагрузка на гибкий грунтопровод
Согласно экспериментальным данным на земснарядах, грунтопровод располагается
по кривой, близкой к параболе. В связи с этим проекции силы Ргр натяжения
грунтопровода в точке его присоединения к земснаряду (рис. 1 (7)), определяем
по формулам, кН:
гp.x=qrpxBгp,
Вгр, Нгр - длина проекции головной части грунтопровода, передающей
нагрузку на земснаряд
Вгр=100 м; Нгр=40 мгp - погонная нагрузка на грунтопровод, кН/м
где V-скорость течения, V=0,I6 м/с; fh-осадка грунтопровода, fn=0,2
м;коэффициент сопротивления формы грунтопровода,гp=0,3
При определении нагрузок на лебедки, учитывают силы, вызванные изменением
количества движения водогрунтовой смеси в изогнутом плавучем грунтопроводе.
Величины их проекций можно определить по выражениям. кН:
где
- объемный вес водогрунтовой смеси,
=20,4 кН/м3;ускорение силы тяжести,
м/спроизводительность грунтового насоса, м3/с;скорость движения
смеси в грунтопроводе, Vc=3,05 м/с;
-угол между вектором скорости смеси и оси прорези,
45°.=0.443 кН=- 0,189 кН
Суммарная сила действующая со стороны плавучего грунтопровода на
земснаряд определяем по формуле, кН:
Отсюда Ртр=1 кН
Эта сила направлена к оси прорези под углом:
гp=arctg(Prp.y-Py )/(Prp.x+Fx) Hp^arctgCO, 16-0,1 )/(0,15+0,19)=60°
.5 Ветровые нагрузки
При определении ветровой нагрузки, расчетное направление ветра принимаем
совпадающей с направлением рабочего перемещения земснаряда. Центр приложения
будем считать в точке, совпадающей с центром тяжести надводного борта и боковой
поверхности надстройки земснаряда, т.е. приближенно на расстоянии 0,05-0,10
длины корпуса в нос земснаряда от мидель - шпангоута. Величину ветровой
нагрузки на земснаряд определяем по формуле, кН:
Рв= Руд*fв
где Руд- удельное давление ветра, Руд=0,063 кН/м2;в - площадь
поверхности воспринимающей ветровую нагрузку, fв= 18 м2
Рв=0,063*18=1,134 кН
.6 Сопротивление грунта смятию
Pгp=K*fгp
где К - удельное сопротивление грунта смятию, К=50 кН/м2гp -
полезная площадь грунтозаборника, fгp=0,15 м
Ргр=50х0,15=7,5 кН
Результирующая нагрузка на лебедки, кН:
.7 Мощность привода лебедок
Потребная мощность Nп привода лебедок определяется по результатам расчета
внешней нагрузки при соответствующих ей скоростях рабочих и вспомогательных
перемещений земснаряда, кВт
где Тн - номинальное тяговое усилие лебедки для принятого способа
перемещений земснаряда, Тн=11 кН- скорость выбирания каната, обеспечивающая
расчетную скорость передвижения земснаряда:
=V=0,183 м/с
-КПД механизма привода лебедки, =0,75;
Потребная мощность одной лебедки, кВт. Nn=1,3 кВт
В качестве папильонажных приняты по рекомендации НПО ЦКБ
"Судоремонт"
Лебёдки ЛЯЭ 0,5/0,7 АО " Московский ССРЗ "
Максимальное тяговое усилие 12 кН
Скорость движения каната 11,5 м/мин
Канатоёмкость барабана 125 м
Диаметр каната 11,5 мм
Мощность электродвигателя 1,3 кВт
Свободный ход барабана емеется
7. Расчёт рамы грунтозаборного устройства
.1 Расчёт на прочность
Расчётная для горизонтального положения.
Раму представляем из 2-х балочных элементов.
М1 - момент от электродвигателя
Р - сумма от веса рамы, валопровода, колена и грунтового насоса.
М1=Р1*L1=9,81*1,58*0,1=1,55 кНм
М2=H2*L2=9,81*1,23*1,67=20,11 кНм
Где L1 и L2 - плечи сил.
Р1 - вес электродвигателя
Р2 - вес рыхлителя
Р=9,81*(2,284+0,261+0,250+1,123)=38,44 кН
Определение реакций опор
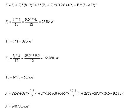
Строим эпюры Q и M
M=M1+Ra*z=0=M1=1.55 кН=a=1.55+12.34*4.8=60.8 кН
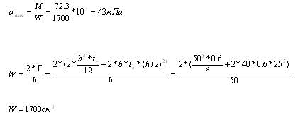
Подбираем сечение по максимальному моменту. Сечение будет состоять из 2-х
швеллеров.
Требуемый момент сопротивления 1-го швеллера
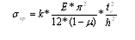
/2=414.4/2=207.2см2
По сортаменту подбираем швеллер №22 а Wшв=212 см3
.2 Расчёт на жёсткость
Расчёт проведём из условия чертежа аналога (черт 8597-30-10 сб), что
смещение относительно общей оси должно быть не более 3,36 мм .
Определяется прогиб в месте крепления грунтового насоса, методом
напольных параметров
Граничные условия Wz=0 Wz=l=0
Из первого условия W0=0
Из второго
Тогда требуемый момент инерции одной ветви рамы
Подойдёт двутавр J=27450 №45
Применение швеллеров №22 а в составе рамы предполагает смещение
валопровода на
Что требует применения кардана или упругой муфты
.3 Подбор
параметров шарнирного соединения рамы на понтоне
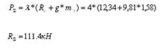
Усилие на соединение будет складываться из реакции от упора рыхлителя в
грунт и реакции веса электродвигателя. Составляющую от упора рыхлителя учтём с
помощью коэффициента динамичности
- так кА скорость направления понтона на рыхлитель неизвестна.
В практике расчётов коэффициент динамичности принимают равным 3…4.
Итак
7.3.1
Подбираем диаметр штыря из расчёта на срез
Зададим соотношение размеров отверстия
=d/2
и наружного радиуса проушины R
/r=5,
тогда R=5 см
Толщина стенки определяется из условия
Окончательно толщину стенок проушины принимаем 15 мм
.4 Расчёт
рамы грунтозаборного устройства в положении под углом 450
Расчётная схема
М1=1,55 кН- момент от электродвигателя
Р1- составляющая от веса рамы, валопровода колена и грунтового насоса
М2- момент от реакции упора грунторыхлителя о дно водоёма
- Длина рыхлителя
Где
- коэффициент динамичности
Определим реакции опор
Строим эпюры Q и M
Подбор сечения оп максимальному моменту.
Сечение состоит из 2-х швеллеров.
Требуемый момент сопротивления W/2=431,15 см3
По сортаменту подбираем швеллер №33
Этот вариант и будет считаться окончательным, для него прогиб составит на
опорах насоса
7.5 Расчёт
копра
7.5.1 Расчёт
опорного фланцевого соединения
Расчёт диаметра болта фланцевого соединения
Будем считать, что усилия в болтах пропорциональны их расстоянию от линии
поворота
S- площадь сечения болта
Фланец соединён 14-ю болтами, тогда
Диаметр болтов принимаем 14 мм.
Для обеспечения плотности стыка вычислим напряжения первоначальной
затяжки
Где
- коэффициент запаса плотности стыка- расстояние от оси
поворота до наиболее удалённой точки фланца
А0 - суммарная площадь сечения болтов
А1 - площадь стыка
У - момент инерции стыка
- ширина фланца , b=9,5 смр - периметр, lр=199 см
Определим новый диаметр болтов находя из усилия растяжки
Болт при первоначальной затяжке работает на растяжение, тогда новая площадь
сечения
Окончательный диаметр болтов примем d=18 мм.
Толщину фланца определим из расчёта пластины.
Воспользуемся результатом расчёта жёсткой пластины, у которой 2
противоположные кромки заделаны (нулевой угол поворота фланца на конце), одна
свободно оперта на жёсткую опору и одна совершенно свободна и загружена
равномерно вдоль совершенно распределенной нагрузкой.
Интенсивность давления найдём как
Где F- усилие приходящее на один нагруженный болт
- коэффициент Пуассона
=20 см- расстояние между шлицами
Толщину фланца найдём как
Примем толщину фланца копра 8 мм
7.6 Расчёт
поперечного сечения копра
Пусть сечение копра имеет коробчатый профиль в районе стоек.
Минимальный момент сопротивления найдём из условия прочности на изгиб
Толщину стенки выбираем из технологических условий tc=6 мм (1 стр 165-166
)
Тогда высота профиля
Площадь поясов
В результате минимальная ширина пояска
Примем толщину поясов tn=tc
С технологической точки зрения расстояние между стенками коробчатого
профиля должно быть не менее 300 мм, поэтому принимаем 400 мм.
Расчёт диафрагм
Стенки профиля копра могут потерять устойчивость при деформациях изгиба.
Расстояние между диафрагмами примем из условия обеспечения устойчивости на
изгиб. Считаем стенку, как пластину свободно опертую на контуре, и загруженную
по торцам( высоте стенки) нормальным напряжением, распределённым по линейному
закону.
Устойчивость пластины нарушается при достижении критических напряжений
Коэффициент К зависит от соотношения сторон пластины и имеет квадратный
контур. Поэтому расстояние между диафрагмами примем равными высоте стенки
Проверим устойчивость стенки по условию
Где n- коэффициент запаса
Действующие напряжения
Запас по устойчивости
7.7 Расчёт
балочных конструкций горизонтальной части копра
Сечение найдём из условия прочности на изгиб
Несущие балки Г- образного профиля с фланцем (не симметричные
относительно горизонтальной оси), тогда
Толщину стенки примем tc=6 мм
Так как балки две - получим
Из условия прочности при срезе (учитывая 2 балки)
Таким образом высоту балки в узловом сечении примем h= 400 мм.
Ширину фланца по условиям устойчивости примем
7.8 Расчет сварных швов
Проверка прочности сварного шва соединения продольной рамой связи с
коробчатым профилем копра.
Сварка произведена двухсторонним швом с катетом k = 4 мм


= 400 мм
- фактическая длинна
расчетная
длина

20 мм =
780 мм
Условия
прочности при изгибе:
Требуется
увеличить катет шва до k = 0,5 мм
Условия
прочности на срез

; 
Проверка
прочности углового шва присоединением фундамента капра к понтону.
Размер
катета к = 4 мм
Расчетная
длина шва

Проверка
прочности по металлу шва

- ширина
расчетного сечения шва
Проверка
прочности по металлу границы сплавления

- ширина
расчетного сечения по металлу сплавления
Вывод:
прочность обеспечена.
8. Расчет
нагрузок электростанции
.1 Задача
расчета
Определить мощность и выбрать тип трансформатора 380/220В для питания
электроприемников напряжением 220В во всех режимах эксплуатации земснаряда.
Определить достаточность мощности электроагрегата АД-200С-Т400-1Р для
питания электроприемников напряжением 380В во всех режимах эксплуатации
земснаряда
.2 Данные для
расчета
Электроприемники напряжением 220В приведены в таблице 1.
Электроприемники напряжением 380В приведены в таблице 2.
Электроагригат АД-200С-Т400-1Р мощностью 200кВт, напряжением 400В
переменного тока, частотой 50Гц
Режим работы земснаряда
Технологический режим
стояночно-профилактический режим
.3 Условия расчета
Расчет выполняется по методики, изложенной в РД 5.6168-80, "Судовые
электроэнергетические системы. Методы расчета электрических нагрузок и
определение состава генераторов электростанции"
"Технологический режим", режим, в котором земснаряд работает по
своему назначению. В работу включены механизмы технологического процесса.
"Стояночно-профилактический режим" - режим, в котором
производится выполнение ремонтной работы на земснаряде и подготовка механизмов
и систем к "Технологическому режиму".
Расчет производится для случаев пожара на земснаряде.
При пожаре тушение производится огнетушителями, электрофицированые
механизмы проектом не предусматриваются.
Приемники электроэнергии по характеру работы подразделяются на:
эпизодически работающие (ЭР) - однократно или многократно подключаемые
приемники, суммарное время работы которых менее 15% от продолжительности
рассматриваемого режима (менее 3,5 часа в сутки)
периодически работающие (ПР) - многократно подключаемые приемники,
суммарное время работы которых находится в пределах 15-70% от продолжительности
режима (3,5-17 часов в сутки)
непрерывно работающие (НР) - приемники, суммарное время работы которых
находится в пределах 70-100% от продолжительности режима (17-24 часа в сутки).
В
связи с отсутствием данных полной мощности электроагригата коэффициент мощности
принимается равным 
.4
Формулы для расчета

(1)
Где

-
мощность потребляемая приемником, кВт

-
установленная мощность приемника, кВт- коэффициент полезного действия

(2)
Где
Р - активная мощность, потребляемая приемником в данном режиме, кВт

-
коэффициент загрузки приемников, кВт- количество одноименных приемников,
работающих в данном режиме, шт

(3)
Где
Q - реактивная мощность, потребляемая приемником в данном режиме, КВ2р-
коэффициент мощности в данном режиме, выраженный через tgy

(4)
Где

-
суммарная активная мощность приемников в данном режиме, с учетом коэффициентов
одновременности, кВт.

-
коэффициент одновременности для периодических работающих приемников.
Р
- суммарная активная мощность приемников в данном режиме, кВт

-
коэффициент одновременности для периодически работающих приемников.

-
коэффициент одновременности для эпизодически работающих приемников.

(5)
Где

-
суммарная реактивная мощность приемников в данном режиме с учетом коэффициентов
в данном режиме с учетом коэфициентов одновременности, кВт- суммарная
реактивная мощность преемников в данном режиме, кВт

(6)
Где

-
суммарная активная мощность приемников в данном режиме с учетом потерь в сети,
кВт

-
коэффициент потерь активной мощности в сети

(7)
Где

-
суммарная реактивная мощность приемников в данном режиме с учетом потерь в
сети, кВт

(8)
Где
S - полная мощность для каждого режима, кВт

(9)
Где

- средне
взвешенный коэффициент мощности
.5 Расчет
Результаты расчета мощности трансформатора 380/220В приведены в табл. 1.
Принимаем
к установке трансформатор ТСЗМ-10-74.
с
параметрами

380В -
напряжение в первичной обмотке.

220В -
напряжение во вторичной обмотке

10 кВт -
мощность номинальная

97% -
коэффициент полезного действия

5,5% -
напряжение короткого замыкания в процентах от наминального

12% - ток
холостого хода в процентах от номинального
Активная
мощность, потребления трансформатором из сети 380В

кВт - в
техническом режиме

кВт -
состоянии профилактического режима
Коэффициент
загрузки трансформатора

- в
техническом режиме

- в
стояночном режиме
Реактивная
мощность, потребляемая трансформатором из сети:

- в
техническом режиме

- в
стояночно - профилактическом режиме.
Полная
мощность, потребляемая трансформатором из сети

кВА - в
техническом режиме

кВА - в
стояночно - профилактическом режиме
Коэффициент
мощности трансформатора

- в
техническом режиме

- в
стояночно - профилактическом режиме
.6 Заключение
Для питания электроприемников напряжением 220В принимаем к к установке
трансформатор трехфазный сухой ТСЗМ - 10 - 74.ОМ5 380/220В мощностью 10кВА.
Мощность электроагрегата АД 200С - Т400 - 1Р достаточно для питания
электроприемников напряжением 380В во всех режимах эксплуатации.
8.7
Электрооборудование и электрическая схема
.7.1
Источники электроэнергии
Для питания электрофицированных механизмов на землесосе установлен дизель
- генератор АД - 200С - Т400 1Р мощностью 400В, 50Гц трехфазного переменного
тока
Для пинания потребителей 220В на землесосе установлен понижающий трех
фазный трансформатор с напряжением обмоток 380/220В мощностью 10кВА типа ТСЗМ -
10 - 74ОМ5
Для питания потребителей 24В постоянного тока в рубке установлен
трансформатор ОСН7 - 06 кВА с напряжением 220/26 В и выпрямитель
.7.2 Распределение электроэнергии
Для распределения электроэнергии по потребителям на землесосе применена
система изолирования нейтралью при следующих велечинах напряжения
Трехфазная трехпроводная для силовых сетей напряжением 380В.
Трехфазная трехпроводная для потребителей 220В
Однофазная двухпроводная для потребителей 220В
Двухпроводная для систем контроля и сигнализации 24В постоянного тока
Для распределения электродвигателей по потребителям предусмотрен главный
распределительный щит (ГРЩ) каркасной конструкции с автоматическим выключение
типа А3700 и Ак-50 с комбинированными расцепителями. Для контроля величин
напряжения, тока и частоты на лицевых панелях, ГРЩ установлены вольтметры
(0-500В) ампметры (0-500А) и частотометры (45-56Гц) ГРЩ расположен в трюме под
рубкой установления.
Для сокращения числа жильности кабелей и более рационального использования
электроэнергии рядом с ГРЩ установлена станция управления механизмов и лебедок
землесоса.
Для управления технологическими механизмами в рубке управления установлен
пульт управления, на котором установлена необходимая электро аппаратура для включения
и отключения и сигнализации работающих механизмов и систем. На пульт так же
выведена сигнализация системы контроля попадания воды в понтоны.
8.7.3
Электроприводы
В качестве электроприводов механизмов и устройств на землесосе применены
короткозамкнутые асинхронные электродвигатели для пуска которых предусмотрены
электромагнитные пускатели.
Управление электроприводов предусмотрено ручное дистанционное с пульта
управления.
Для экстренной остановки каждый привод снабжен аварийным выключателем.
Электроприводы грунтового насоса, фрезы, папильонажные лебедки имеют
контур нагрузки выполненный с помощью амперметров, расположенных на пульте
управления.
Для защиты электроприводов от перегрузок предусмотрено тепловое реле. Для
защиты от токов короткого замыкания установлены автоматические выключатели
комбинированные расцепителями. Цепи управления электроприводов защищены от
короткого замыкания предохранителями с плавкими вставками.
.7.4
Освещение
Для освещения помещений землесоса и грунтопровода предусмотрено основное
освящение напряжением 220В. Освящение выполнено светильниками с лампами
накаливания.
Для освещения заборного пространства и места грунтозабора предусмотрена
установка прожекторов на крыше рубки управления.
Для аварийного освещения предусматривается использования переносных
акамуляторных фонарей, которые должны находится -один в рубке, второй -в
дежурном помещении.
Освещение отсеков понтонов в местах установки оборудования осуществляется
светильниками с напряжением 12В
8.7.5
Сигнализация
Для подачи звуковых сигналов из рубки управления предусмотрен комплект
судовых сигналов с - 3131с - 314.
Для контроля попадания воды в понтоны и в отсеки, где установлено
оборудование, предусмотрена световая и звуковая сигнализация с расшифровкой
места (потопа) повреждения.
Сигналы о работающих механизмах выполнены на базе светосигнальной
арматуры, которая снабжена регулирующими шторками для регулирования яркости
свечения.
.7.6 Защита
С целью повышения надежности системы энергоснабжения землесоса для
потребителей электроэнергии применены судовые кабели КНРк, НРШМ, КГН. Для
монтажа сетей освещения, сигнализации и контроля предусмотрены соединительные
коробки и штепсельные разъемы, позволяющие сократить электромонтажные работы
при сборке и разборке землесоса.
Для защиты обслуживающего персонала поражения электрическим током в
устройствах землесоса с напряжением выше малого(42В) предусмотрено заземление
корпусов понтона гибкими медными проводниками.
Кроме защиты заземление на землесосе предусмотрена установка УЗО (устройства
защитного отключения) - тип РУП 380/220В, в которые при снижение сопротивления
изоляции ниже нормы воздействует на независимый расцепитель автоматического
выключения в ГРЩ и отключает установку землесоса. Для защиты рабочих зон на
палубе землесоса от падания молнии и поражение персонала предусмотрено
молнезащитное устройство, выведенное в виде металлических штырей.
9. Безопасность труда при эксплуатации земснаряда
Задача данного раздела заключается в том, чтобы учесть в проекте
требования нормативных документов по безопасности труда, согласно следующим
источникам: "Требование техники безопасности к суднам внутреннего
плаванья" РТМ, "Опасные и вредные производственные факторы" ГОСТ
12.0.003-74: "Оборудование производственное. Общие требования".
На земснаряде обеспечены безопасные и удобные пути сообщения между
рабочими местами. На всех рабочих местах, а так же на путях сообщения настилы
из материалов, предусматривающие предотвращение скольжения согласно
"Техники безопасности к судам внутреннего и смешенного плаванья" РТМ
212.00 95-79.
Рабочие места защищены от воздействия опасных и вредных производственных
факторов, угрожающих здоровью и жизни человека (ожог, отравление, шум). Опасные
и вредные производственные факторы смотри ГОСТ 12.0.003-74.
Такая эксплуатация земснаряда не предусматривается в темное время сумок,
наличие искусственного освещения выполненного в виде светильников с лампами
накаливания, для освещения землеснаряда с прожекторов, для освещения заборного
пространства позволяет продлить время суточной эксплуатации.
Конструкции всех устройств должны обеспечивать безопасное, легкое
обслуживание и уход. Предусмотрен удобный доступ к оборудованию для проведения
технических осмотров, обслуживания и ремонтов, особенно к устройствам
расположенным на высоте.
Наружная часть конструкции земснаряда не должны иметь острых краев,
кромок и углов. Органы управления всех устройств сконцентрированы так, чтобы
исключалась возможность их случайного включения.
Движущиеся и вращающиеся части, в особенности канатоперематывающиеся
лебедка, канаты и вал привода снабжены кожухами и огорождениями, которые в свою
очередь не являлись бы источниками дополнительной вибрации и шума, согласно
Правилам Российского Речного Регистра.
Все устройства управления, контрольно измерительные приборы, рычаги,
выключатели и др. отчетливо обозначены четкими надписями. Для работы должны
быть обеспечены свободное пространство на палубе на расстоянии не менее 1,5 м
по линии натяжения каната согласно правилам Российского Речного Регистра.
Конструкция места управления должна обеспечивать удобный и полный обзор
палубного оборудования, акватории с разработанной прорезью. На главном пульте
управления все приборы должны быть сгруппированы по их назначению. Каждая
лебедка должна быть оборудована добавочным выключателем непосредственно от
центрального поста управления. Реборды барабанов лебедок должны быть возвышены
над верхним слоем навивки каната не менее чем на диаметр каната при полной
намотки каната на барабан.
На земснаряде должны быть приняты меры для предотвращения соприкосновения
открытых частей тела с токопроводящими частями оборудования согласно ГОСТ
12.0.003 - 74 (См СЭВ 13.790 - 77) "Опасные и вредные производственные
факторы".
На палубе не должно быть деталей, конструкций, выполненных из горючих,
легковоспламеняющихся материалов. Из них не должно быть изоляция бортов, палуб,
переборок и других перекрытий. Допускается применение материалов с медленным
распространением пламени. Все трапы на земснаряде выполнены из негорючих
материалов согласно "Правилам пожарной безопасности на судах и береговых
объектах М.Р.Ф. Р.Ф.
По периметру палуб и вокруг открытого межпонтонного пространства
устанавливается мерное ограждение.
Безопасность эксплуатации энергетических установок обеспечивается выбором
серийно - изготовленного агрегата, имеющего широкое применение.
В процессе эксплуатации необходимо выполнить следующие требования,
предъявляемые к земснаряду. При подготовке грунтозаборного устроиства к
действию необходимо:
Убедиться, что фрезерный рыхлитель двигается свободно.
Проверить исправность рамоподъемного устройства.
Проверить состояние трубопроводов на надежность и плавность их
соединения.
Убедиться в отсутствии посторонних предметов в рамной прорези.
Во время работы земснаряда необходимо следить за однородностью данного
грунта, поступающего из трубопровода сброса и частотой вращения фрезы.
Нельзя допускать попадания воздуха во всасывающий грунтопровод, т.к.
наличие вакуума ведет к уменьшению подачи грунтового насоса и грунтопровода,
необходимо следить за состоянием уплотнения.
Пуск и остановку насоса следует выполнять по команде командира
земснаряда.
В качестве аварийного спасательного снаряжения предусмотрены огнетушители
и спасательные жилеты.
10. Расчет нагрузок электростанции
.1 Задача
расчета
Определить мощность, необходимую для питания электроприемников землесоса
от берегового источника электроэнергии
10.2 Данные
для расчета
Береговой источник переменного трехфазного тока частотой 50 Гц
напряжением 380 В.
Электроприемники напряжением 380 В приведены в таблице 1.
Режимы работы землесоса:
технологический;
стояночно-профилактический;
.3 Условия расчета
Расчет выполняется по методике, изложенной в РД 5.6168-80 "Судовые
электроэнергетические системы. Методы расчета электрических нагрузок и определение
состава генераторов электростанций".
"Технологический режим" - режим, в котором землесос работает по
своему назначению. В работу включены механизмы технологического процесса и
потребители, обеспечивающие обитаемость землесоса. "Стояночно-профилактический"
- режим, в котором производится выполнение ремонтных работ на землесосе и
подготовка механизмов и систем к технологическому режиму. Расчет не
производится для случаев пожара на землесосе или заполнение понтонов при
получении пробоины. Тушение пожара производится огнетушителями;
электрофицированные механизмы проектом не предусматриваются.
Приемники электрической энергии по характеру работы подразделяются на:
эпизодически работающие (ЭР) - однократно или многократно подключаемые
приемники, суммарное время работы которых менее 15% от продолжительности
рассматриваемого режима (менее 3,5 часа в сутки);
периодически работающие (ПР) - многократно подключаемые приемники,
суммарное время работы которых находится в пределах 15-70% от продолжительности
режима (3,5-17 часов в сутки):
непрерывно работающие (HP) - приемники, суммарное время работы которых
находится в пределах 70-100% от продолжительности режима.
.4 Формулы для расчета
Рнп=Рну/ч|;
где Рнп - мощность, потребляемая приемником, кВт; Рнц - установленная
мощность приемника, кВт; л, - коэффициент полезного действия
Р=Рнпхкзхт
где Р активная мощность, потребляемая приемниками в данном режиме, кВт;
кз - коэффициент загрузки приемника;
га - количество одноименных приемников, работающих в данном режиме, шт.
=Pxtg(|>
где Q - реактивная мощность, потребляемая приемниками в данном режиме,
кВАр;- коэффициент мощности в данном режиме, выраженный через tgcp-
РО=Рхко
где Р0 - суммарная активная мощность приемников в данном режиме
с учетом коэффициента одновременности, кВт;
Р - суммарная активная мощность приемников в данном режиме,
кВт;
ко = 1 - коэффициент одновременности для непрерывно работающих
приемников;
ко = 0,5...0,8 - коэффициент одновременности для периодически работающих
приемников;
ко = 0,1.. .9,5 - коэффициент одновременности для эпизодически работающих
приемников.
= Qxko
где Q - суммарная реактивная мощность приемников в данном
режиме с учетом коэффициента одновременности, кВАр;- суммарная реактивная
мощность приемников в данном режиме, кВАр.
Рр = КпхРО
где Рр - суммарная активная мощность приемников в данном режиме с учетом
потерь в сети, кВт;
кп = 1,05 - коэффициент потерь активной мощности в сети.
Qp=QO
где Qp - суммарная реактивная мощность приемников в данном режиме с
учетом потерь в сети, кВ Ар..
= VPp2+Qp2
где S - полная мощность для каждого режима, кВА.
=Pp/Sp
где cosq)c|3 - средневзвешенный коэффициент мощности.
Результаты расчета приведены в таблице 1.
Для питания электроприемников землесоса от берегового источника
необходима его мощность не менее 60 кВт при coscpce = 0,88 в технологическом
режиме и не менее 2,5 кВт в стояночно - профилактическом режиме работы судна.
11. Электрооборудования
.1 Основные
параметры
Основным родом тока на земснаряде является переменный ток частота 50 Гц.
Электроэнергия распределяется при следующих величинах напряжения:
380 В трехфазного тока для силовых потребителей;
220 В однофазного тока для питания тепловентилятора;
24 В постоянного тока для питания сетей освещения,
стеклоочистителя, сирены, сигнализации.
.2 Источники электроэнергии
Источником электроэнергии для работы механизмов земснаряда является
передвижная электростанция ЭД 60-Т400-РП.60/75 кВт/кВа напряжением 3x50 Гц, 380
В, размещенная на берегу. Питания так же может осуществляться от береговой
электросети переменного тока 50 Гц.
Для питания тепловентилятора установлен трансформатор ОСВМ - 2,5 - 740
М5, 2,5 кВА, 380/220 В. Трансформатор расположен в насосном отделении.
Источником напряжения 24 В постоянного тока является трансформатор ОСМ -1-0,4
УЗ, 0,4 кВа, 380/24 В и полупроводниковый выпрямитель, выполненный на диодах Д
1 1 2 - 25 (4 шт). Трансформатор и выпрямитель расположены в станции
управления.
.3 Распределение электроэнергии
Распределение электроэнергии на земснаряде осуществляется по системе с
изолированной нейтралью:
по трехфазной - для силовых потребителей напряжением 380 В;
по однофазной двухпроводной - для сети тепловентилятора;
по двухпроводной - для потребителей постоянного тока напряжением 24 В.
Для приема электроэнергии от электростанции предусмотрен питающий кабель
3x50 мм2 типа КГН (КГ, НРШМ) и штепсельный разъем (вилка и розетка)
типа "С" на ток 160 А, степень защиты JP67, который установлен на
кормовой стенке понтона земснаряда.
Для распределения электроэнергии по потребителям в насосном отделении
установлена станция управления (А1) каркасной конструкции JP4 I исполнения МЗ с
автоматическими выключателями типа А51-31 с комбинированными расщепителями,
электромагнитными пускателями типа ПМ 12 и измерительными приборами (амперметр
О-200 А, вольтметр О-500 В, частотометр 45-55 Гц, омметр О-2 Мом).
Обслуживание станции предусмотрено с двух сторон. Станция управления
соответствует ОСТ5Р6083-82.
Для управления механизмами земснаряда в кабине установлен пульт
управления (AS I) на котором имеется следующая аппаратура управления:
тумблеры типа ПТ 26-1 для включения освещения насосного отделения, фар,
стеклоочистителя и сирены;
аварийная кнопка отключения всех электроприводов земснаряда типа КМЕ,
отклоняющая питание с помощью независимого расцепления автоматического
выключателя;
сигнальные лампы перегрузки папильонажных лебедок HL 3-HL 6 типа СМ-2,8;
сигнальная лампа наличия воды в понтонах (HL 2);
Для проверки исправности ламп предусмотрена кнопка SB 2 "Проверка
ламп". Для контроля нагрузок грунтового насоса и рыхлителя на пульте
установлены амперметры типа Э8030 на 75А и 25А.
Все потребители сетей освещения и сигнализации имеют защиту от токов
короткого замыкания выполненную на базе предохранителей ПВЗО, ПВ60 с блоками
защиты БЗЗО, Б320.
11.4
Электроприводы
В качестве электроприводов механизмов земснаряда применены асинхронные
электродвигатели с короткозамкнутым ротором с прямым пуском при помощи
электромагнитных пускателей типа ПМ 12-010, ПМ-12-040, ПМ 12-060.
Все электроприводы снабжены защитой от токов короткого замыкания и
перегрузок, выполненной на базе автоматических выключателей и тепловых реле
электромагнитных пускателей. Цепи управления электроприводов снабжены защитой
от токов короткого замыкания с помощью предохранителей с плавкими вставками.
Электроприводы папильонажных лебедок выполнены на базе двухскоростных
электродвигателей и снабжены предупредительной сигнализацией о перегрузке (на
базе тепловых реле КК7, КК10, КК16 и сигнальных ламп HL3 - HL6).
Электропривод рамоподъемной лебедки снабжен конечным выключателем
"Ограничение подъема. (SQ1) и защитой от провисания троса при достижении
рамы уровня грунта, выполненную на базе токового реле КА1 и реле времени КТ1.
Для аварийного отключения электродвигателя предусмотрен выключатель.
Для очистки стекол установлен стеклоочиститель типа СЛ1 35-А, 24В
поставляемый в комплекте с кабиной.
11.5 Освещение и отопление
Проектом предусмотрено основное освещение (внутреннее и наружное) и
переносное (ремонтное).
Все освещение выполнено на напряжение 24В постоянного тока и
обеспечивается светильниками, фарами и плафонами с лампами накаливания.
Освещение насосного отделения выполнено четырьмя светильниками СС56АЕ с
опаловыми колпаками с лампами мощностью по 25Вт.
Освещение наружное выполнено с помощью фар типа 2012, 3711 с лампой
АКГ24-70 (две фары расположены на носовой части кабины и одна - на кормовой).
Освещение кабины обеспечивается штатным плафоном (типа 16.3714 с лампой
АС24-0), поставляемым с кабиной.
Переносное освещение (ремонтное) обеспечивается с помощью светильника
переносного типа ПД525 с лампой А25-21-3 на напряжение 24В. Для выключения
переносном отделении предусмотрена розетка штепсельная ПС500.
Для обогрева кабины и подогрева стекол в холодное время года
предусмотрена установка тепловентилятора ТВВ-2/220,2кВт, 220В.
Для подключения тепловентилятора в кабине и насосном отделении
установлены розетки с заземляющим штифтом.
.6 Сигнализация
Для оповещения обслуживающего персонала о наличии воды в понтоне
предусмотрена сигнализация на пульте управления (лампы красного цвета), которая
получает питание при срабатывании датчика РОС-401-1, расположенного в насосном
отделении.
Для контроля работ насоса промывки сальников предусмотрена сигнализация о
минимальном давлении развиваемым насосом или его остановке (лампы HL2 красного
цвета), которая получает питание при срабатывании датчика давления.
Электроприводы папильонажных лебедок выполнены на базе ьдвухскоростных
электродвигателей и снабжены предупредительной сигнализацией о перегрузке (на
базе тепловых реле КК7, КК10, КК16 и сигнальных ламп HL3 - HL6).
Электропривод рамоподъемной лебедки снабжен конечным выключателем
"Ограничение подъема. (SQ1) и защитой от провисания троса при достижении
рамы уровня грунта, выполненную на базе токового реле КА1 и реле времени КТ1.
Для аварийного отключения электродвигателя предусмотрен выключатель.
Для очистки стекол установлен стеклоочиститель типа СЛ1 35-А, 24В
поставляемый в комплекте с кабиной.
.7 Канализации кабелей
Для питания потребителей электроэнергии предусмотрено применение судовых
кабелей марок КГН (НРШМ), КНРк.
Крепление кабельных трасс предусматривается в кабельных подвесках, на
скобмостах и трубах.
Проход кабелей через палубы и переборки выполнен через герметичные
сальники, стаканы и коробки.
11.8 Защитное
заземление
Для защиты обслуживающего персонала от поражения электрическим током в
устройствах земснаряда с напряжением выше малого (24В), предусмотрено
заземление корпусов электрооборудования на корпус понтона с помощью гибких
медных перемычек и планок (бонок) заземления.
Для контроля состояния изоляции в сети 380В на панели станции управления
установлен омметр М419, 0-2м Ом, 380В, позволяющий контролировать состояние
изоляции.
12. Охрана труда
12.1
Безопасность труда при эксплуатации земснаряда.
Задача данного раздела заключается в том, чтобы учесть в проекте
требования нормативных документов по безопасности труда, согласно следующим
источникам:
"Требования техники безопасности к судам внутреннего плавания"
РТМ;
"Опасные и вредные производственные факторы". ГОСТ 12.0.003-74:
"Оборудование производственное. Общие требования". На земснаряде
обеспечены безопасность и удобные пути сообщения между рабочими местами.
На всех рабочих местах, а также на путях сообщения настилы из материалов,
предотвращающих скольжение согласно "Техники безопасности к судам
внутреннего и смешанного плавания" РТМ 212.0095-79. Рабочий места защищены
от воздействия опасных и вредных производственных факторов, угрожающих здоровью
и жизни человека (ожоги, отравления, шум). Опасные и вредные производственные
факторы предусмотрены ГОСТ 12.0.003-74.
Так как эксплуатация земснаряда не предусматривается в темное время
суток, наличие искусственного освещения выполненного в виде фар с лампами
позволяет продлить время суточной эксплуатации. Конструкции всех устройств
должны обеспечивать безопасное, легкое обслуживание и уход. Предусмотрен
удобный доступ к оборудованию для проведения технических осмотров, обслуживания
и ремонтов, особенно к устройствам, расположенным на высоте. Наружные части
конструкций земснаряда не должны иметь острых краев, кромок и углов.
Органы управления всех устройств сконструированы так, чтобы исключалось
возможность их случайного включения.
Движущиеся и вращающиеся части, в особенности канатоперематывающие лебедки,
канаты и вал привода снабжены кожухами и ограждениями, которые в свою очередь
не являлись бы источниками дополнительной вибрации и шума, согласно
"Правил Российского Речного Регистра".
Безопасность эксплуатации энергетической установки обеспечивается выбором
серийно-изготовляемого агрегата, имеющего широкое применение.
В процессе эксплуатации необходимо выполнять следующие требования,
предъявляемые к земснаряду.
При подготовке грунтозаборного устройства к действию необходимо:
убедиться, что фрезерный рыхлитель двигается свободно;
проверить состояние трубопроводов на надежность и плотность их
соединений;
проверить исправность рамоподъемного устройства;
убедиться в отсутствии в рамной прорези посторонних предметов. Во время
работы земснаряда необходимо следить за однородностью данного грунта,
поступающего из трубопровода сброса и частотой вращения фрезы рьшштеля.
Нельзя допускать попадания воздуха во всасывающий грунтопровод, так как
наличие вакуума ведет к уменьшению подачи грунтового насоса.
В процессе эксплуатации насоса и грунтопровода необходимо следить за
состоянием уплотнений.
Пуск и остановку насоса следует выполнять по команде командира
земснаряда.
В качестве аварийно-спасательного снаряжения предусмотрены огнетушитель и
спасательные жилеты.