Организация систем водоснабжения и водоотведения для предприятия по производству волокна и нити – капрон

  • Вид работы:
    Курсовая работа (т)
  • Предмет:
    Другое
  • Язык:
    Русский
    ,
    Формат файла:
    MS Word
    101,78 Кб
  • Опубликовано:
    2016-04-24
Вы можете узнать стоимость помощи в написании студенческой работы.
Помощь в написании работы, которую точно примут!

Организация систем водоснабжения и водоотведения для предприятия по производству волокна и нити – капрон














Курсовая работа

Организация систем водоснабжения и водоотведения для предприятия по производству волокна и нити - капрон


Введение

водоподготовка синтетический волокно сточный

Сточные воды, спускаемые в водоем, должны быть очищены до такой степени, чтобы они не оказывали на него вредного влияния.

Для того чтобы правильно определить необходимую степень очистки сточных вод, в каждом случае нужно иметь подробные данные об их объеме и составе, а также данные детальных обследований водоема, позволяющие характеризовать местные гидрологические и санитарные условия. Необходимая степень очистки сточных вод определяется применительно к общесанитарным и органолептическим показателям вредности и к каждому из нормативных показателей загрязнения. [2]

Расчеты по определению необходимой степени очистки сточных вод, спускаемых в водоем, производят по содержанию взвешенных веществ, потреблению сточными водами растворенного кислорода, допустимой величине БПК в смеси речной воды и сточных вод, изменению активной реакции воды водоема, окраске, запаху, солевому составу и температуре воды, а также по предельно допустимым концентрациям токсичных примесей и других вредных веществ.

Значение расчетного показателя загрязнения сточных вод Сст, определяемое расчетом для нового или для существующего объекта и положенное в основу проектирования очистных сооружений, приобретает значение контрольной величины на период эксплуатации этих сооружений.

Во избежание отложения взвешенных веществ в водоеме гидравлическая крупность их не должна превышать при выпуске в реку 0,4 мм/с и в водохранилище 0,2 мм/с. Если в сточной воде содержатся взвешенные частицы, не удовлетворяющие этому требованию, то сточную жидкость перед сбросом в водоем необходимо подвергнуть отстаиванию для задержания частиц, оседающих с указанной скоростью.

В тех случаях, когда примеси к сточной воде представляют собой токсичные вещества или вещества, потребляющие большой объем растворенного в воде водоема кислорода, возможность их сброса в водоем определяется по предельно допустимой концентрации вредных веществ или по потреблению растворенного кислорода. [1]


1 Литературный обзор

.1 Водосбережение

В количественном отношении потребление воды в России превышает суммарное использование всех иных природных ресурсов. Нерациональное и неэффективное использование водных ресурсов с высоким удельным расходом воды в промышленности, агропромышленном комплексе и жилищно-коммунальном хозяйстве является важнейшей проблемой водопользования в современной России. В целом по стране из поверхностных водных объектов забирается для использования относительно небольшая часть воды (около 2%), однако в бассейнах рек Волга, Дон, Кубань, Терек, Урал, Иртыш и ряда других отмечается напряженная водохозяйственная обстановка, усугубляющаяся из-за неудовлетворительного качества воды. [3]

Водосбережение называют одной из тотальных мер для сохранения гармоничного водного баланса, обеспечения водными ресурсами всех нуждающихся. В этих целях совершенствуются технологии, повышается технический уровень систем водоснабжения, что способно снизить удельное водопотребление и минимизировать потери воды.

Негативное воздействие на водные объекты оказывают антропогенные источники загрязнений. В последние годы из общего количества сточных вод, подлежащих очистке, только 11-12% очищается до нормативного качества. Каждый второй российский житель вынужден использовать для питьевых целей воду, несоответствующую по ряду показателей гигиеническим требованиям, почти треть населения страны пользуется источниками водоснабжения без соответствующей подготовки.

Естественное очищение вод протекает крайне медленно, поэтому в зависимости от источника и характера загрязнения для очистки водных ресурсов применяют механические, химические, биологические методы. [6]

1.2 Водоподготовка

Обработка воды, поступающей из природного водоисточника, для приведения её качества в соответствие с требованиями технологических потребителей. Может производиться на сооружениях или установках водоподготовки для нужд коммунального хозяйства, практически во всех отраслях промышленности (напр.теплогенерирующих предприятий). Для оценки качества питьевых вод используются различные методы, предполагающие изучение гидрохимических, микробиологических и иных показателей. Качество подготавливаемой воды для пищевых целей описывается СанПиН 2.1.4.1074-01. Питьевая вода. Гигиенические требования к качеству воды централизованных систем питьевого водоснабжения. Контроль качества. [10]

Цели водоподготовки. Водоподготовка заключается в освобождении воды от грубодисперсных и коллоидных примесей и содержащихся в ней солей, тем самым предотвращаются отложение накипи, унос солей паром, коррозия металлов, а также загрязнение обрабатываемых материалов при использовании воды в технологических процессах.

Водоподготовка включает следующие основные методы обработки:

- осветление (удаление из воды коагуляцией, отстаиванием и фильтрованием коллоидальных и суспензированных загрязнений);

умягчение (устранение жёсткости воды осаждением солей кальция и магния, известью и содой или удаление их из воды катионированием);

обессоливание и обескремнивание (ионный обмен или дистилляцией в испарителях);

удаление растворённых газов (термическим или химическим методом) и окислов железа и меди (фильтрованием).

биологическая очистка воды от бактерий, вирусов и других микроорганизмов. В настоящее время в основном используется хлор, озон и УФ-стерилизация. Проводятся эксперименты с ультразвуком.

улучшение органолептических свойств воды (удаление из воды веществ, придающих воде запах (сероводород, хлор), и ряда органических веществ). [9]

.3 Особенности производства синтетических волокон

К синтетическим волокнам относятся выпускаемые отечественной промышленностью полиамидные волокна - капрон и анид, полиэфирное волокно лавсан и акрилонитрильное волокно нитрон.

Основное сырье и химикалии, применяемые при производстве этих волокон: капролактам, адипиновая кислота и гексаметилендиамин, диметилтерефталат, этиленгликоль, метанол, нитрилакриловая кислота, метилакрилат, роданид натрия.

Производственные загрязненные сточные воды образуются в процессах отмывки волокна капрон, формования и отмывки волокна нитрон, регенерации мономеров и растворителей. [6]

Концентрированные жидкие отходы, образующиеся в промежуточных процессах производства синтетических волокон, в канализацию не сбрасываются, а направляются на сжигание в специальных печах. Загрязненные сточные воды, за исключением вод от установок крашения волокна лавсан, кристаллизации и экстракции роданистых растворов производства волокна нитрон, как правило, загрязнены только остатками органических веществ в концентрациях, позволяющих направлять воду после усреднения непосредственно на общегородские или районные сооружения биологической очистки. Удельное количество загрязненных сточных вод на 1 т продукции составляет для производства волокна капрон - 50-180 м3, лавсан -20-100 м3 и нитрон-110 м3. [8]

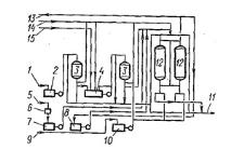
Локальная очистка сточных вод установок для крашения волокна лавсан сводится к удалению из воды красителей, ПАВ и других органических веществ до пределов, допускающих ее последующую биологическую очистку. Локальная очистка осуществляется путем обработки воды коагулянтами, ее отстаивания, нейтрализации и фильтрации. Схема локальной очистки приведена на рис. 1.

При проектировании очистных сооружений принимаются следующие параметры: объем усреднителей - на суточный приток воды; время отстаивания воды 4 ч; скорость фильтрации 6 м/ч; конечная БПКполн после локальной очистки 200-300 мг О2/л.

Сточная вода от установок кристаллизации производства волокна нитрон подлежит очистке от роданида натрия методом ионного обмена в напорных фильтрах, загруженных анионитом. Вода проходит последовательно через два фильтра. После полного насыщения первого фильтра оба фильтра выключаются на регенерацию. При этом вода из первого фильтра сначала вытесняется обессоленной водой во второй фильтр. Затем в первый фильтр подаются растворы едкого натра. Часть эллюата, насыщенную роданидом, возвращают в производство, остальную используют для регенерации других фильтров или сбрасывают в канализацию. В первый фильтр затем подается раствор соляной кислоты для замещения иона ОН - на канализацию. После регенерации фильтры включаются в работу таким образом, чтобы второй фильтр был первым по ходу движения сточных вод.

Схема локальной очистки приведена на рис. 2.

При проектировании очистных сооружений принимается: объемная емкость анионита 50-60 кг/м3, скорость фильтрации 5-6 м/ч концентрация регенерационных растворов 60 г/л NaOH и 80 г/л НСl, концентрация роданистого натрия в эллюате, возвращенном в производство, 60-70 г/л, в очищенных стоках 2-3 мг/л; общая продолжительность цикла фильтрации и регенерации 8-10 ч.

В случае применения в производстве волокна нитрон установок экстракции появляются высококонцентрированные жидкие отходы, содержащие 70-80 г/л серной кислоты, 70-80 г/л сульфата натрия и примеси органических веществ. При нецелесообразности утилизации эти жидкие отходы нейтрализуются и направляются в пруды накопители-испарители. [4]

Рисунок 1 - Схема локальной очистки сточных вод от установок крашения волокна лавсан: 1 - загрязненные стоки; 2 - усреднители; 3 - реактор; 4 - дозатор раствора коагулянта - железного купороса; 5 - отстойники; 6 - дозатор серной кислоты; 7 - дозатор едкого натра; 8 - фильтры; 9 - очищенные сточные воды на биологическую доочистку; 10 - обезвоженный шлам в печь сжигания; 11 - вакуум-фильтры; 12 - маслонасос для шлама; 13 - насосы; 14 - емкость

Рисунок 2 - Схема локальной очистки сточных вод производства волокна нитрон от роданида натрия: 1 - загрязненные сточные воды; 2 - приемный резервуар; 3 - напорные песчаные фильтры; 4 - резервуар-смеситель; 5 - крепкий едкий натр; 6 - дозатор концентрированного раствора едкого натра; 7 - бак для приготовления свежего раствора едкого натра; 8 - бак для отработавшего раствора щелочи; 9 - крепкая соляная кислота; 10 - бак для раствора соляной кислоты; 11 - очищенные сточные воды на биологическую доочистку; 12 - ионообменные фильтры; 13 - раствор регенерированного роданида натрия; 14 - обессоленная вода; 15 - отработавшие технологические растворы

2. Практическая часть

Цели курсовой работы:

рассчитать возможность организации предприятия заданной мощности, исходя из балансовой схемы его водопотребления и водоотведения, а также наличия в планируемом районе строительства водных источников и их хозяйственного назначения;

рассчитать необходимую степень очистки сточных вод на локальных очистных сооружениях и доочистки на общегородских сооружениях для повторной подачи очищенных жидкостей в общегородской промышленный водопровод;

разработать план мероприятий и технологические схемы по водоподготовке или очистке сточных вод и подачи их в систему промышленного водопровода и промузла.

Исходя из технологии производства капрона рассчитываем возможную организацию систем водоснабжения и водоотведения на предприятии.

Для расчета систем водоснабжения и водоотведения принимаем расчетные данные, приведенные в таблице 1.

Таблица 1. Данные по предприятию отрасли производства капрон

Показатели

Единица измерения

Данные

Содержание влаги в 1 т сырья

кг

120

Суточная мощность

т

2,5

Число работающих

чел. в холодном цеху

18


чел. в горячем цеху

7

Число работающих в первую смену

чел.

16

Степень огнестойкости зданий

-

IV

Категория помещений по пожарной опасности

-

Д

Объем здания

тыс. куб. м

50

Наличие фонарного освещения

-

есть

Площадь полива

га

25

Расстояние от предприятия до источника водоснабжения

м

800

Расстояние от предприятий до сооружений локальной очистки

м

300

Расстояние от сооружений локальной очистки до их сброса

м

400


Сточные воды от производства капрона отводятся двумя сетями: производственных загрязненных совместно с бытовыми и производственно-дождевых стоков, не требующих очистки. Загрязнённые сточные воды образуются от промывки оборудования, волокна, фильтров, системы трубопроводов и баков с замасливателем, а также от мытья полов. Характеристика сточных вод приведена в таблице 2 и 3.

Таблица 2. Характеристика сточных вод от производств капрона

Показатели

Единица измерения

Сточные воды



До очистки

После очистки

Температура

°С

15- 30

15-25

Прозрачность по шрифту

см

1,7-7

14-25

Взвешенные вещества

Мг/л

57-200

3-15

Эфирорастворимые

»

4-40

До 5

pH

-

7-8,4

7,4-8

Жесткость


общая

Мг-экв/л

4-8

4,5-7,5

карбонатная

»

4-7

4-7

Щелочность общая

»

2,4-6

4,8-6,8

Остаток:


Сухой

мг/л

260-1000

300-1000

Прокаленный

»

До 800

До 800

Са 2+

»

200

200

Mg2+

»

50

50

Cl-

»

30-300

До 300

SO2-4

»

200

200

Feобш

»

4

0,4-2,4

Поверхностно активные вещества

»

5-15

До 3

Окисляемость перманганатная

мгО/л

12-28

-

ХПК

»

250-800

25-60

БПКполн

мгО2

200-600

5-12

Фосфор(в пересчете на P2O5)

мг/л

5-7

До 2,7

Азот общий

»

17-40

»20

Вещества мешающие повторному использованию сточных вод:


гексаметилендиамин

»

До 1

Отсутствие

капролактам

»

50-232

»

Токсичные вещества-хром

»

0,1-0,78

До 0,08


Производственные загрязненные стоки подвергаются биохимической локальной очистке и направляются на городские водоочистные сооружения для дальнейшей биологической доочистки.

Таблица 3. Укрупненные нормы водопотребления и водоотведения для предприятий по производству волокна и нити - капрон

Наименование и способ производства

Единица измерения

Система водоснабжения

Среднегодовой расход воды на единицу измерения, м3

Среднегодовое количество выпускаемых в водоемы сточных вод

Безвозвратное потребдение и потери воды, м3

Количество сточных вод, используемых в системах водоснабжения (взамен свежей воды), м3

Коэффициенты измерения среднегодовой нормы




оборотной, последовательно используемой

технической

питьевой

всего




Клет

Кзим








Всего

В том числе



 

 






для производственных целей

Для хозяйственно-бытовых целей



Подлежащих очистке

Не требующих очистки

Фильтрационных из шламонакопителя



 

 










Производствен-ных

бытовых





 

 

Производство волокна и нити капрон

1т нити или волокна

Оборотная и прямоточная с последовательным использованием воды

2000

100

30

10

140

80

70

10

0

0

60

50



Для того чтобы рассчитать необходимую степень очистки сточных вод на локальных очистных сооружениях и доочистки на общегородских сооружениях для повторной подачи очищенных жидкостей в общегородской промышленный водопровод необходимо также знать и химический состав природных вод. Данные по химическому составу приведены в таблице 4.

Таблица 4. Химический состав природных вод

Параметры природных вод

Единица измерения

Данные

Расход воды, Q

м3

36

Коэффициент смешивания, j

-

0,30

Концентрация взвешенных веществ до сброса сточных вод, Св

мг/л

6,0

Биохимическая потребность в кислороде, Lв

мг/л

2,2

Содержание растворенного кислорода в речной воде до сброса сточных вод*, Ов

мг/л

7,5

рН

-

7,0

Щелочность

мг/л

3,5

Максимальная температура, t

0С

19

Содержание вредных веществ

   мг/л


-кадмий, Cd


0,060

-ртуть, Hg


0,002

-свинец, Pb


0,001

-фтор, F


0,7

-цинк, Zn


0,050

-мышьяк, As


-

-аммиак, NH3 (по азоту)


0,30


2.1 Расчет балансовых схем потребления воды промышленными предприятиями

Для систем водоснабжения рекомендуется составить баланс воды, включающий потери, необходимые сбросы и добавление воды в систему для компенсации убыли для нее. На некоторых производствах вода может также поступать в систему с сырьем или перерабатываемым полупродуктом.

Для расчета балансовых схем потребления, расхода воды и количества образующихся сточных вод необходимо рассчитать, полный расход воды на промышленном предприятии, безвозвратные потери воды, расход производственных и бытовых сточных вод, расход воды на полив территории предприятия, расход воды на хозяйственно-бытовые нужды предприятия и определить расход сточных вод, подлежащих очистке. Для расчета данных показателей используют следующие формулы:

Полный расход воды на промышленном предприятии рассчитывают по формуле (1):

,                                      (1)

Q= 2140 × 2,5=5350м3/сут

Безвозвратные потери воды рассчитывают по формуле (2):

, (2)

Qn=2,5 × 60=150 м3/сут

Количество условно чистых вод, подлежащих обороту, определяют из выражения (3);

, (3)

Qоб=50 × 2,5=125 м3/сут

Расход производственных сточных вод определяется по формуле (4):

, (4)

Qпр=5350-(150+125)=5075 м3/сут

Концентрацию основных технологических загрязнений производственных сточных вод определяются согласно среднеотраслевым данным, приведенным в справочной литературе укрупненных норм водопотребления и водоотведения для соответствующей отрасли промышленности.

Расход бытовых сточных вод на промышленном предприятии по смене с максимальным числом работающих с учетом числа рабочих часов в смену рассчитывают по формуле (5):

, (5)

Qц==0,765 м3/сут

Расход душевых вод Qдуш в смену с максимальным числом работающих определяют по формуле (6):

 

Qдуш==0,375 × md, (6)

Qдуш = ==1,2 м3/сут

Число душевых сеток рассчитываем по формуле (7):

 

md=, (7)

md = = 3,2

Расход воды на поливку территории промышленного предприятия рассчитывают по формуле (8):

, (8)


Qпол= = 100 м3/сут

Расход воды на хозяйственно-бытовые нужды предприятия рассчитывают по формуле (9):

хб=Qц+Qдуш+Q пол, (9)

Qхб=0,765+1,2+100=101,965 м3/сут

Расход сточных вод подлежащих очистке на предприятии рассчитывают по формуле (10):

с=Qхб+Qпр, (10)

Qc=101,965+5075=5176,965 м3/сут

Расход воды на пожаротушение. При расчете балансовых схем водопотребления необходимо также учитывать воду, требуемую для пожаротушения. Данный расход зависит от объема и огнестойкости здания, пожарной категории производства. Расходы воды для наружного пожаротушения составляют от 10 до 80 л/с, при продолжительности тушения пожара 3 часа. Подача воды для внутреннего пожаротушения должна производится от пожарных кранов, которые устанавливаются в производственных цехах и административных зданиях. На крупных промышленных предприятиях, производство которых связано, характеризуется повышенной взрыво- или пожароопасностью предусматривается централизованная или автономная система водоснабжения для подачи воды в стационарные системы пожаротушения.

Требуемый расход воды для установок изменяется от 30 л/с до 240 л/с. В отдельных случаях расход воды для стационарных систем пожаротушения составляет 700-1000 л/с. В крупных стационарных системах противопожарного водоснабжения используют условно чистую воду промышленного предприятия либо свежую природную воду.

Критерии эффективности использования воды

Эффективность использованя воды в производстве может быть оценена следующими тремя показателями в совокупности.

Техническое совершенство системы водоснабжения оценивается количеством использованной оборотной воды и рассчитывается по формуле (11):

 

Роб=×100%; (11)

Роб=

Эффективность использования воды, забираемой из источника, оценивается коэффициентом использования, рассчитанного по формуле (12):

 

Ки= (12)

Ки ===0,421

Безвозвратное потребление и потери воды, определяют по формуле (13):

 

Рпот= ×100%, (13)

Pпот=100=1,45%

По результатам вычисления составлена балансовая схема поступления и убыли воды в системе водоснабжения предприятия по производству капрона мощностью 2,5 т в сутки, которая представлена в таблице 5.


Таблица 5. Поступление и убыль воды в системах водоснабжения предприятия

Прибыль воды в систему Qпост

Убыль воды из системы Qуб

Из источника водоснабжения Qист.=140 м3/сут

Сброс собственно сточных вод в водоем, Qсбр.ст.=5075 м3/сут

Сточная вода, повторно сбрасываемая после очистки, Qст.повт.= 5176,965 м3/сут

Безвозвратное портебление - унос с продуктом и отходами, Qп.п. =150 м3/сут

С исходным сырьем и полуфабрикатом, Qсыр =0,12 м3/сут

*Вода восполняемая потери, Qвоспол.=334,845 м3/сут

На пожарные нужды,  Qпож =324 м3/сут

∑Qпост=5650,965 м3/сут

∑Qуб=5650,965 м3/сут

Количество использованной оборотной воды  Роб = 93,4%

Коэффициент использования воды Ки=0,42

Безвозвратное потребление и потери воды  Рпотр=1,45%

.2 Расчёт необходимой степени очистки сточных вод

 

Требования к качеству воды. Вода требуется для удовлетворения самых разнообразных нужд.

В зависимости от целевой направленности применение воды подразделяется на два вида: водопользование и водопотребление.

Природные воды часто обладают специфическим запахом и привкусом и бывают мутными из-за присутствия в них взвешенных частиц глины, песка, ила, органических взвесей.

Сточные воды могут усилить мутность воды. Поэтому определяют её прозрачность.

Чистая вода, взятая в малом объёме, бесцветна, в толстом слое она голубоватого оттенка. Иные оттенки свидетельствуют о наличии в воде различных растворённых и взвешенных примесей. Причиной, обуславливающей изменения цветности воды, могут быть коллоидные соединения железа, гуминовые, взвешенные и окрашенные вещества отходов производства, и массовое развитие водорослей.

Взвешенные вещества - это крупные частицы (d > 110-4 мм), задерживающиеся бумажными фильтрами. Они свидетельствуют о загрязнении воды глиной, песком, силикатными породами и тд.

Сухой остаток характеризует содержание и количество коллоидно - растворимых веществ. Окисляемостью называется общее содержание в воде восстановителей, реагирующих с сильными окислителями. Окисляемость определяется количеством кислорода, мг, идущего на окисление примесей, содержащихся в 1 л воды. Окисляемость иногда сокращённо называют ХПК - химическое потребление кислорода. Резкое повышение окисляемости воды свидетельствует об её загрязнении.

Активная реакция природных вод (рН) обычно близка к нейтральной. Изменение реакции воды говорит об её загрязнённости стоками различных предприятий.

Растворённый кислород. Кислород попадает в воду из воздуха, а также образуется в результате жизнедеятельности зелёных растений. Концентрация кислорода в воде зависит от её температуры и загрязнённости. Максимально возможная концентрация кислорода в воде при 0оС - 14,56 мг/л. С повышением температуры содержание растворённого кислорода уменьшается. Наличие в воде аммиака, железа, нитратов, легко окисляющихся органических веществ снижает концентрацию растворённого кислорода.

Биохимическая потребность в кислороде (БПК) - это количество кислорода мг/л, идущее на окисление примесей воды при протекании в ней биохимических процессов. БПК характеризует загрязнённость воды органическими веществами. БПК измеряется в мг кислорода на 1 г окисляемого вещества (мгО2/г).

Наиболее часто определяется потребность кислорода за 5 или 20 суток (БПК5 и БПК20). Количество кислорода для полного окисления всех органических примесей воды, обозначают БПКполн.

Оптимальная температура воды, идущей для питья, должна быть не выше 11оС и не ниже 7оС. Вода с высокой температурой содержит в себе малорастворимых газов, поэтому она плохо утоляет жажду и неприятна на вкус.

Температура сточных вод по нормативам СНиП 2.04.03-85 должна быть не менее 6оС и не более 30оС, так как она влияет на жизнедеятельность микроорганизмов, ведущих биологический процесс очистки. При температуре ниже 6оС биологическая очистка практически прекращается.

Степень разбавления сточных вод. При определении возможности спуска сточных вод проектируемого предприятия в водоём, прежде всего рассчитывают степень разбавления сточных вод речной водой. Разбавление сточных вод - это процесс снижения концентрации загрязняющих веществ в водоотводах и водоёмах, протекающей вследствие перемешивания сточных вод с природными водами.

Интенсивность процесса разбавления количественно характеризуется степенью разбавления, которая определяется по формуле (14):

 

n=, (14)

n==3,55

Необходимая степень очистки сточных вод по содержанию взвешенных веществ определяется по формуле (15):

 

Эвзв=100, (15)


Эвзв=100=86,56%

Расчётную концентрацию взвешенных веществ в очищенных сточных водах перед сбросом их в водоём определяем по формуле (16):

 

, (16)

=6+(3,550,25)=6,88 мг/л

Расчёт степени очистки сточных вод по БПК смеси речной воды и сточных вод

При поступлении сточных вод в реки и водоёмы снижение концентрации органических веществ, выраженное в БПК, происходит вследствие не только разбавления, но и самоочищения.

Концентрацию сточных вод, при которой БПК воды в реке в ближайшем пункте водопользования ниже спуска сточных вод будет не больше принятых нормативов, находят по формуле (17):

 

=- )+, (17)

=-2,2)+=5,33 мг/л

Формула для определения расчётной концентрации растворённого кислорода сточных вод имеет следующий вид (18):

 

Ор=Oв-0,4ОБПК- Одоп) - , (18)

Ор=7,5-0,42,2- 4)- =6,7 мг/л

Если расчётная концентрация меньше той, которая характерна для проектируемых к спуску в водоём сточных вод, то они должны быть очищены. Тогда необходимую степень очистки определяют по формуле (19):

ЭБПК=100, (19)

ЭБПК=100=92,4%

Расчёт степени очистки сточных вод по изменению показателя рН

Согласно общим требованиям к составу и свойствам воды водоёмов у пунктов культурно-бытового водопользования, реакция (рН) не должна выходить за пределы 6,5-8,5.

Допустимую концентрацию кислоты в сточных водах находят по формуле (20):

 

Сдоп=(n-1)Xк, (20)

Сдоп=(3,55-1)2,7=6,88 мг-экв/л

Необходимая степень очистки сточных вод от кислоты определяется по формуле (21):

 

Эк=100, (21)

Эк=100=96,53%

Расчёт температуры сточных вод перед сбросом в водоём. Расчёт производится с учётом санитарных требований: летняя температура речной воды не должна превышать в результате спуска сточных вод более чем на 30С. Максимально допустимую температуру сточных вод определяют по формуле (22):

 

tcт=( + 1)tдоп-tmax, (22)


tст=( + 1)22 - 19=13,8оС

Расчёт степени очистки сточных вод от вредных веществ. Определяем сумму отношений концентраций веществ по отдельности для каждой группы ЛПВ в сточной воде к их предельно - допустимым концентрациям (ПДК) по формуле (23) (Данные для расчета представлены в таблице 6):

Сст =  +  + … + , (23)

 

Таблица 6. Содержание вредных веществ в сточной воде

Вредные вещества

Концентрация, мг/л

ПДК, мг/л

Группа ЛПВ

Са2+

200

200

органический

Mg2+

50

100

органический

SO42-

200

100

общесанитарный

Фосфор (Р)

6

0,0001

санитарно- токсикологический

Азот(N)

30

2

санитарно-токсикологический

Хром(Cr)

0,4

0,5

органический

Хлор(Cl)

150

300

общесанитарный


Определяем сумму отношений концентраций веществ по санитарно - токсикологическому показателю вредности:

Сст.общ = +  =60’015

Определяем сумму отношений концентраций веществ по общесанитарному лимитирующему показателю вредности:

Сст.общ =  +=2,5

Определяем сумму отношений концентраций веществ по органическому лимитирующему показателю вредности:

Сст=  + =2,3

После этого подсчитываем сумму отношений концентраций этих веществ в воде водоёма до спуска в него сточных вод к их ПДК (24)(Данные для расчета представлены в таблице 7):

 

Св= +  + … + , (24)

Таблица 7. Содержание вредных веществ в воде водоема до спуска в него сточных вод

Вредные вещеста

Концентрация, мг/л

ПДК, мг/л

Группа ЛПВ

Кадмий(Cd)

0,06

0,01

общесанитарный

Ртуть(Hg)

0,002

0,005

санитарно-токсикологический

Свинец(Pb)

0,001

0,1

санитарно-токсикологический

Фтор(F)

0,7

1,5

санитарно-токсикологический

Цинк(Zn)

0,05

1,0

общесанитарный

Аммиак(NH3)

0,3

2,0

общесанитарный


Подсчитываем сумму отношений концентраций веществ в воде водоёма до спуска в него сточных вод к их ПДК по санитарно - токсикологическому показателю вредности:

Св.общ =  +  +  =0,876

Подсчитываем сумму отношений концентраций веществ в воде водоёма до спуска в него сточных вод к их ПДК по общесанитарному лимитирующему показателю вредности:

Св.общ =  +  += 6,2

Подсчитываем сумму отношений концентраций веществ в воде водоёма до спуска в него сточных вод к их ПДК по органическому лимитирующему показателю вредности:

Св=0

Определяем необходимую степень очистки (Эвр,%) по формуле (25):

 

Э= 100, (25)

где n - степень разбавления сточных вод.

Необходимая степень очистки по санитарно - токсикологическому показателю вредности:

Э=100= 99%

Необходимая степень очистки по общесанитарному лимитирующему показателю вредности:

Э= 100= 77%

Необходимая степень очистки по органическому лимитирующему показателю вредности:

Э= 100= 100%

Так как не всегда удаётся достигнуть необходимой степени очистки из-за несовершенства существующих технологий очистки, на практике часто пользуются нормативами предельно допустимых сбросов (ПДС), которые для каждого водопользователя определяются по формуле (26):

 

ПДС=qCдоп, (26)

Таблица 8. Концентрация вредных веществ в сточных водах, после очистки воды

Вредные вещества

Концентрация, мг/л

Са2+

200

Mg2+

50

SO42-

200

Фосфор (Р)

2,7

Азот(N)

20

Хром(Cr)

0,08

Хлор(Cl)

30


ПДСкальций= 3200= 600

ПДСхром= 30,08= 0,24

ПДСмагний= 350= 150

ПДСхлор= 330= 90

ПДСso4= 3200= 600

ПДСфосфор= 3= 8,1

ПДСазот= 3= 60

Требуемая степень очистки сточных вод по рассматриваемому показателю загрязнения, определяется как (27):

 

Эдоп=   100, (27)

Требуемая степень очистки сточных вод по санитарно - токсикологическому показателю вредности:

Экальций=   100= 0%

Эдоп.магний=   100= 0%

Эдоп.so4=   100= 0%

Эдоп.фосфор=   100= 55%

Эдоп.азот=   100= 33,3%

Эдоп.хром=   100= 80%

Эдоп.хлор=   100= 80%

Все результаты расчётов приведены в таблице 9 и 10.


Таблица 9. Расчёт необходимой степени очистки сточных вод на очистных станциях

Степень разбавления

Эвзв,%

ЭБПК,%

Ор, мг/л

Эк, %

Максимально допустимая температура, tоС

Сст/Cвзвс.о

3,55

86,56

94,01

6,70

96,5

13,8

13,24


Таблица 10. Расчёты по определению степени эффективности очистки

Ингредиенты, содержащиеся в сточной воде

Концентрация в сточной воде, г/м3

Концентрация загрязнений, содержащихся в очищенной сточной воде, Сдоп, г/м3

ПДС

Требуемая степень очистки сточных вод, Эдоп,%

1. По санитарно-токсикологическому лимитирующему показателю

Фосфор

6

2,7

8,1

55

Азот

30

20

60

33,3

2. По общесанитарному лимитирующему показателю

SO42-

200

200

600

0

Хлор

150

30

90

80

3. По органическому лимитирующему показателю

Кальций

200

200

600

0

Магний

50

50

150

0

Хром

0,4

0,08

0,24

80

.3 Комплекс мероприятий по водоподготовке

Промышленное предприятие обеспечивается водой из городского водопровода или из собственной системы водоснабжения. Система водоснабжения это комплекс сооружений, предназначенных для забора воды из источника, ее очистки, хранения и подачи воды к потребителю.

Нередко на предприятиях строят два раздельных водопровода: производственный и хозяйственно-противопожарный, иногда пожарный водопровод выделяется в отдельную линию.

Система водоснабжения предприятия, промышленного узла или водохозяйственного комплекса зависит от источников водоснабжения, которые бывают поверхностным (реки, водохранилища, озера) и подземные (грунтовые и артезианские).

При использовании поверхностных источников для хозяйственно-питьевого водообеспечения, вода из них должна быть очищена и обеззаражена. Вода, получаемая из артезианских скважин, расположенных на большой глубине, как правило, достаточно чистая, не требует очистки и может быть использована для хозяйственно-питьевого водоснабжения. Грунтовые воды из-за высокой их загрязненности не могут быть использованы для питьевых нужд без предварительной их очистки и дезинфекции.

Очистка воды при организации системы водоснабжения необходима в том случае, когда ее качественные характеристики не соответствуют требованиям стандарта на питьевую воду или требованиям производства. Качество воды обуславливается рядом показателей, таких как щелочность, окисляемость воды, активная реакция, бактериологическое загрязнение, количество растворенных солей.

Организация систем водоснабжения на предприятиях должна быть организованна с учетом особенностей технологического процесса и требований рационального использования воды. Существует несколько схем водоснабжения позволяющих значительно экономить воду.

Кроме этого качество воды характеризуется рядом физических свойств: температурой, прозрачностью, количественным и качественным содержанием взвешенных веществ, цветом, вкусом, запахом. Основными показателями, характеризующими качество питьевой воды, являются прозрачность и жесткость. Общий расход воды на производственные нужды предприятий определяют по укрупненным нормам водопотребления для данной отрасли промышленности. При проектировании вновь строящихся или реконструируемых систем водоснабжения необходимо руководствоваться положениями СНиП 2.04.02-84 "Водоснабжение, наружные сети и сооружения". Водоподготовка зависит от качества потребляемой воды и требований, предъявляемых к ней. Очистка воды сводится главным образом к ее осветлению и обеззараживанию. Осветление воды проводят путем отстаивания ее в отстойниках, фильтрованием, а также осаждением тонких взвесей в осветлителях. Для ускорения процесса осветления могут использоваться коагуляторы - химические реагенты, добавляемые в воду с целью дестабилизации образованной коллоидной системы придающей цветность воде. Обеззараживание воды проводится хлорированием или УФ-облучением. Если вода не соответствует требованиям государственного стандарта, ее необходимо подвергнуть специальной обработке (умягчению, удалению солей железа, марганца и др.). В зависимости от местных условий комплекс очистных сооружений может быть различным. При использовании в водоснабжении подземных источников схема водоснабжения значительно упрощается. В этом случае очистные сооружения не нужны, а иногда нет необходимости в строительстве резервуаров чистой воды и в насосной станции II подъема, так как вода может подаваться в сеть насосами установленными в буровых скважинах.

.4 Расчет водопроводных сетей

Наружные водопроводные сети, составляют большую стоимость всей системы водоснабжения, поэтому требуется их расчет. Расчет необходим для правильного выбора диаметра труб, определения потерь напора для преодоления сопротивления в трубах при пропуске по ним воды в расчетном количестве.

Расчетный расход воды - это максимальный расход воды, который находят умножением среднего расхода воды на коэффициент неравномерности. Средний расход воды определяется расходом воды на технологические нужды или по данным конкретного предприятия с учетом расхода воды на хозяйственно-питьевые и противопожарные нужды. Расход воды на пожаротушение.

Расход воды на пожаротушение и нормы расхода воды на хозяйственно-питьевые нужды для промышленных предприятий на одного человека в смену принимают по СНиП 2.04.02-84 "Водоснабжение, наружные сети и сооружения". Часовой расход воды на одну душевую сетку составляет 500 л, продолжительность пользования душем 45 мин после окончания смены.

После определения расхода воды разбивают водопроводную сеть на участки и рассчитывают расход воды по участкам, диаметры труб и потери напора в сети.

Количество воды Q, м3/с, отбираемой из участка сети пропорционально длине участка (28):

, (28)

м3/c

м3/c

м3/c

Удельный расход воды (qуд) находят из уравнения (29):

, (29)

 м3/(с×м)

Диаметр труб определяют (30):

 

, (30)

 

Средние экономичные скорости движения воды принимают для труб диаметром до 300 мм 0,6-0,8 м/с, диаметром от 400 мм до 900 мм 1,0-1,4 м/с, диаметром более 1000 мм 1,5-1,7 м/с. При расчете сети для противопожарных нужд допускается повышение скорости в трубопроводе до 3 м/с.

=0,48м

Потери напора в сети определяют по формуле (31):

 

, (31)

Трубы принимаем бетонные и железобетонные, примем коэффициент сопротивления трению (по графикам Никурадзе), равным 1,5, из чего:

В практике проектирования пользуются приближенным методом подбора труб по средним экономическим скоростям, выявленным в результате исследований и опыта проектирования и эксплуатации. Экономичные диаметры труб в участках транзитных магистралей можно определить по номограммам, составленным проф. В.П. Сироткиным, зная секундные расходы воды. При расчёте водопроводных сетей были получены данные, приведенные в таблице 11.

Таблица 11. Расчет водопроводных сетей

Данные

Результаты

Количество воды (расход воды) Q

0.033 м3

Удельный расход воды qуд

0,00004128 м3/(м×с)

Диаметр трубы d

0,48 м

Потери напора в сети h

2.81


2.5 Расчет водоотводящей сети

Расчет водоотводящих сетей состоит в определении диаметров и уклонов трубопроводов, обеспечивающих пропуск расходов сточной воды в любой момент времени при наиболее благоприятных гидравлических условиях. Так как самотечное движение сточных вод наиболее энергетически выгодно, то основная задача при проектировании заключается в построении продольного профиля коллекторов, определяющего объемы земляных работ и положение водоотводящих трубопроводов в подземной части относительно других инженерных коммуникаций. Основой для определения диаметров трубопроводов является расчетный расход, зависящий от удельной нормы водоотведения сточных вод (промышленных, бытовых) от предприятия, промышленного узла или водохозяйственного комплекса.

Промышленный узел - группа взаимосвязанных предприятий на определенной территории. Использует сырьевые и другие ресурсы, транспортные сооружения, инженерные коммуникации, строительную базу данной территории. Он может быть ограничен одним городом, либо представлять систему городов вместе с окружающими их рабочими поселками. Узел представляет собой территориально-производственного комплекса. Большое значение для этого имеет развитие систем автоматического контроля и управления процесса водопотребления, укрупнения единичных мощностей и агрегатов, борьба с потерями и утечками, за счет которых может быть на 10-15% сокращено потребление воды. Потребление воды из природных источников можно сократить в результате многократного ее использования в промышленности и привлечения очищенных или частично очищенных сточных вод. При применении сточных вод требования к качеству используемой воды по существу определяют необходимую степень очистки и, следовательно, обуславливают затраты на их подготовку. Для упрощения гидравлических расчетов водоотводящих сетей движение в них условно принимается установившимся и равномерным.

Для расчета рекомендуется формула постоянства расхода сточной воды (33):

 

q=ω×ν, (33)

q=1.1304×0,321=0.0418м3

Скорость движения жидкости находят из уравнения Шези (34):

 

ν= С, (34)

Для выполнения курсовой работы показатель гидравлического уклона принимаем равным =0,005.

ν= 36.2431=0,321

Гидравлический радиус принимаем по формуле (35):

 

R =, (35)

R ==0,0157

При выполнении расчета водоотводящих сетей по самотечному режиму заполнение труб предусмотреть на ½ живого сечения, тогда χ рассчитывается по формуле (36):

χ=, (36)

χ=×0.6=72

Площадь живого сечения ω определяется по формуле (37):

ω= π×r2, (37)

где r - радиус трубы, м (число π=3,14).

ω= π×r2=3,14*(0.6)2=1.1304м2

 

Для определения коэффициента Шези рекомендуется формула (38) Н.Н. Павловского (при 0.1 м<R<3 м):

 

С=, (38)

 

y=2.5×-0.13-0.75(-0.1), (39)

y=2.5×-0.13-0.75(-0.1)=0,163

С==36.2431

Определение местных потерь напора рассчитывают по формуле Вейсбаха (40):

hм=, (40)

м==1.10103

Результаты проведенных расчетов представлены в таблице 12.

Таблица 12. Результаты расчетов водоотводящих сетей

Данные

Результаты

Постоянство расхода сточной воды q

0,0418 м3

Скорость движения жидкости ν

0,321 м/с

Гидравлический радиус R

0,0157 м

Смоченный периметр χ

72 м

Площадь живого сечения ω

1,1304 м

Коэффициент Шези С

36,2431

Показатель степени y

0,163

Местные потери напора hм

1,10103




Заключение

В выполненной курсовой работе на основе информации о мощности предприятия, объеме образующихся сточных вод и их составе, проведены расчеты основных технико-экономических показателей предприятия при организации систем водопотребления и водоотведения.

Концентрированные жидкие отходы, образующиеся в промежуточных процессах производства синтетических волокон, в канализацию не сбрасываются, а направляются на сжигание в специальных печах. Загрязненные сточные воды, за исключением вод от установок крашения волокна лавсан, кристаллизации и экстракции роданистых растворов производства волокна нитрон, как правило, загрязнены только остатками органических веществ в концентрациях, позволяющих направлять воду после усреднения непосредственно на общегородские или районные сооружения биологической очистки.


Список использованной литературы

1 http://www.biysk.ru/~karman/mat_vol_x_sintet.htm (6.06.2015)

С.В. Яковлев, Я. А Карелин, А. И. Жуков, С. К. Колобанов "Водоснабжение и канализация". Сройиздат 1975.

,https://ru.wikipedia.org/wiki/%D0%92%D0%BE%D0%B4%D0%BE%D0%BF%D0%BE%D0%B4%D0%B3%D0%BE%D1%82%D0%BE%D0%B2%D0%BA%D0%B0 (6.06.2015)

Справочник химика,Т.V сырье и продукты промышленности неорганических веществ.(Госхимиздат 1944)

5 Н.В. Гончарова. Комплексное использование водных ресурсов: методические указания к выполнению курсовой работы по организации систем водоснабжения и водоотведения для предприятий различных отраслей промышленности.

Укрупнённые нормы водопотребления и водоотведения для различных отраслей промышленности/ Совет Экон. Взаимопомощи ВНИИ водоснабжения, канализации, гидротехн. Сооружений и инж. гидрогеологии. - 2-е изд.,перераб. - М.: Стройиздат, 1982. - 528с.

СНиП 2.04.02-84 Водоснабжение. Наружные сети и сооружения

Большая Советская Энциклопедия;

Калмыкова Е.А., Лобацкая О.В. Материаловедение швейного производства: Учеб. Пособие,- Мн.: Выш. шк., 2001- 412с.

http://enviropark.ru/course/category.php?id=19 (6.06.2015)

http://www.ngpedia.ru/id334871p2.html (6.06.2015)

http://chem21.info/info/1845839/ (6.06.2015)

http://www.vodalos.ru/spravochniki-stroitelya/spravochnik-proektirovshika/11/4/2 (6.06.2015)

Похожие работы на - Организация систем водоснабжения и водоотведения для предприятия по производству волокна и нити – капрон

 

Не нашли материал для своей работы?
Поможем написать уникальную работу
Без плагиата!
Без нейросетей!