Особенности внимания хорошо и плохо успевающих младших школьников

  • Вид работы:
    Курсовая работа (т)
  • Предмет:
    Психология
  • Язык:
    Русский
    ,
    Формат файла:
    MS Word
    48,25 Кб
  • Опубликовано:
    2015-10-18
Вы можете узнать стоимость помощи в написании студенческой работы.
Помощь в написании работы, которую точно примут!

Особенности внимания хорошо и плохо успевающих младших школьников

Введение

 

Важнейшей особенностью протекания психических процессов является их избирательный, направленный характер. Этот избирательный, направленный характер психической деятельности связывают с таким свойством нашей психики, как внимание. Объектом внимания может быть все, что угодно, - предметы и их свойства, явления, отношения, действия, мысли, чувства других людей и свой собственный внутренний мир. Это особая форма психической активности человека, и она входит как необходимый компонент во все виды психических процессов.

Внимание - это всегда характеристика какого-то психического процесса: восприятия, когда мы вслушиваемся, рассматриваем, принюхиваемся, пытаясь различить какой-либо зрительный или звуковой образ, запах; мышления, когда мы решаем какую-то задачу; памяти, когда мы что-то определенное вспоминаем или пытаемся запомнить; воображения, когда мы стараемся что-то отчетливо представить себе. Таким образом, внимание - это способность человека выбирать важное для себя и сосредоточивать на нем свое восприятие, мышление, воображение и др. Оно также выполняет функцию контроля и особенно необходимо при обучении, когда человек сталкивается с новыми знаниями, объектами, явлениями[7.c.469]

Проблема внимания нередко рассматривается лишь в связи с другими психическими функциями: памятью, мышлением, воображением, восприятием.

Проблемы, связанные с развитием внимания у школьников, сегодня вызывают беспокойство и у педагогов, и у родителей, и у психологов, работающих с детьми. Многие взрослые жалуются на невнимательность детей, их неумение сосредоточиться, сколько либо долго удерживать внимание при решении учебных задач.

Дети младшего школьного возраста чаще всего страдают от рассеянности, низкой устойчивости, недостаточного развития своего внимания, что приводит к их дезадаптации, влияет на выполнение учебной и трудовой деятельности. Развивать и совершенствовать внимание столь же важно, как и учить письму, счету, чтению, это главное условие осуществления познавательной деятельности. Именно поэтому вопросы развития внимания младших школьников относятся к числу наиболее актуальных проблем современной педагогической науки и практики.

В связи с актуальностью данного вопроса была определена тема курсовой работы: «Особенности внимания хорошо и плохо успевающих младших школьников».

Цель исследования:

Эмпирически выявить особенности внимания хорошо и плохо успевающих младших школьников.

Задачи исследования:

. На основе психолого-педагогической литературы описать возрастные особенности младших школьников.

. На основе психолого-педагогической литературы дать характеристику внимания младшего школьника.

. На основе психолого-педагогической литературы раскрыть понятие «успеваемость», дать характеристику типам успеваемости.

. Эмпирически выявить особенности внимания у детей младшего школьного возраста.

. На основе методов математической статистики выявить особенности внимания хорошо и плохо успевающих младших школьников.

Предмет исследования: особенности внимание хорошо и плохо успевающих младших школьников.

Объект исследования: младшие школьники.

Гипотеза исследования: «Вероятно, внимание хорошо успевающих младших школьников отличается от внимания плохо успевающих младших школьников.

Практическая значимость состоит в том, что результаты проведенного исследования можно использовать при проведении коррекционных мероприятий, направленных на повышение уровня внимания на формирования мотивации к успеху в успеваемости у младших школьников.

Методы исследования:

1) теоретические: анализ, синтез, обобщение научной литературы;

) эмпирические: эксперимент, тестирование;

) методы количественного и качественного анализа.

База исследования: МОУ «Костинская СОШ» Свердловской области Алапаевского района , 3 класс

Курсовая работа состоит из введения, теоретической части, практической части, заключения, списка литературы.

ГЛАВА 1. Теоретические основы развития внимания и успеваемости младших школьников

.1 Характеристика возрастных особенностей младших школьников

В современной периодизации психического развития младший школьный возраст охватывает период от 6-7 до 9-11 лет.

Возраст от 6 до 11 лет является чрезвычайно важным для психического и социального развития ребёнка. Кардинально изменяется его социальный статус - он становится школьником, что приводит к перестройке всей системы жизненных отношений ребёнка. У него появляются обязанности, которых ранее не было и которые определяются теперь не только взрослыми, но и окружающими его сверстниками.

В этот период происходит дальнейшее физическое и психофизиологическое развитие ребенка, обеспечивающее возможность систематического обучения в школе. Прежде всего, совершенствуется работа головного мозга и нервной системы [15,с.26]

В младшем школьном возрасте развивается внимание. Особую роль в развитие произвольного внимания у ребёнка играет школа и учебный процесс. В процессе школьных занятий ребёнок дисциплинируется, у него формируется усидчивость, способность контролировать своё поведение.

В 7 лет ребенок поступает учиться в школу, что кардинально меняет социальную ситуацию его развития. Школа становится центром его жизни, а учитель - одной из ключевых фигур, во многом заменяющей родителей. В этот период формируется важное личностное образование - чувство социальной и психологической компетентности (при неблагоприятных условиях развития - социальной и психологической неполноценности), а также способности дифференцировать свои возможности. Семилетний возраст также относят к критическим. Сложность учебной деятельности и необычность переживаний могут стать причиной тормозных реакций у подвижных и возбудимых детей и, наоборот, делают возбудимыми спокойных и уравновешенных детей. Успех или неудача в школьной жизни определяют внутреннюю психическую жизнь ребенка.

Особую роль в жизни первоклассника играет учитель. Именно от него во многом зависит эмоциональное самочувствие ребенка. Оценка учителя является для него главным мотивом и мерилом его усилий, стремлений к успеху. Самооценка младшего школьника конкретна, ситуативна, имеет тенденцию к переоценке достигнутых результатов и возможностей и во многом зависит от оценок учителя. Преобладание в учебной деятельности у отстающих неуспеха над успехом, постоянно подкрепляемое низкими оценками учителя, ведет к нарастанию у школьников неуверенности в себе и чувства неполноценности.[9, с.349].

Справедливая и обоснованная оценка учителя, данная ученику, имеет значение для формирования позитивного отношения к нему одноклассников. По наблюдениям В.А.Сухомлинского, ошибки в поведении учителей приводят к отклонениям в поведении учеников. У одних они приобретают «характер взвинченности», у других - это мания несправедливых обид и преследований, у третьих - озлобленность, у четвертых - напускная беззаботность, у пятых - безучастность, у шестых - страх перед наказанием, у седьмых - кривлянье и паясничание.[10,с.286].

Однако есть учащиеся, у которых даже под влиянием педагогических ошибок не формируется отклонений в поведении. Гарантией устойчивости состояния таких детей является отношение родителей к ребенку. Если с раннего детства ребенок чувствует свою защищенность, у него вырабатывается «иммунитет» к социальным стрессам вне семьи. На практике же бывает скорее наоборот. Общение со школьником в семье не только не компенсирует трудности, возникающие у ребенка в школе, но и усугубляет их. Родители могут сами чувствовать неуверенность перед школой, у них могут актуализироваться страхи, связанные с собственным опытом обучения. Кроме того, не редкость - ожидание высоких результатов и активное демонстрирование своего недовольства в случае их недостижения. Ориентация на результативную, а не процессуальную сторону учебной деятельности ведет к тому, что ребенок всеми силами старается быть отличником в ущерб психологическому здоровью.

А.Л. Венгором выделены пять основных типов неблагоприятного развития младших школьников [9 с.425]:

. «Хроническая неуспешность». Нарушения деятельности ведут к неуспеху, который порождает тревогу. Тревога дезорганизует деятельность ребенка и способствует закреплению неудач. Наиболее распространенные примеры «хронической неуспешности»: недостаточная готовность ребенка к школе; негативная «Я-концепция» ребенка как следствие семейного воспитания; ошибочные действия педагога; неадекватная реакция родителей на естественные затруднения ребенка при освоении учебной деятельности.

. «Уход от деятельности». Ребенок погружен в собственный фантазийный мир, уходит в свою жизнь, мало связанную с задачами, стоящими перед учеником начальной школы. Причины: повышенная потребность во внимании, которая не удовлетворяется; инфантилизация как проявление незрелости; богатое воображение, которое не находит своего выражения в учебе.

. «Негативистическая демонстративность». Ребенок нарушает правила поведения, стремясь получить внимание. Наказанием для него является лишение внимания. Причины: акцентуации характера, повышенная потребность во внимании со стороны окружающих.

. «Вербализм». Дети, развивающиеся по этому типу, отличаются высоким уровнем развития речи, но задержкой в развитии мышления. Проявляется в демонстративности, связанной с ориентацией на достижения, и в инфантильности мотивов общения. Причины: «вербализм» сочетается с повышенной самооценкой ребенка и с переоценкой способностей ребенка родителями.

. «Интеллектуализм». Этот тип развития связан с особенностями познавательных процессов. Хорошо развито логическое мышление, хуже развита речь, и слабо развито образное мышление. Причина: недооценка родителями значимости собственно детских видов деятельности. Причины наиболее частых запросов к психологу со стороны родителей и запросов и психологу педагогов можно выделить следующие:

случаи, группирующиеся вокруг тревожащих взрослых индивидуальных особенностей ребенка: медлительный, неорганизованный, упрямый, неуправляемый, некоммуникабельный, эгоист, драчлив и агрессивен, плаксивый, неуверенный в себе, лживый, всего боится и т.п.;

случаи, группирующиеся вокруг особенностей межличностных отношений со сверстниками: необщительный, замкнутый, нет друзей, не умеет вести себя с другими детьми, плохие отношения с братом (сестрой), не ходит гулять, так как с ним не дружат и т.п.[9,с.427].

Задача школьного психолога вместе с учителем обеспечить благоприятное вхождение ребенка в школьную жизнь, помочь ему освоить позицию школьника, способствовать формированию положительных отношений в классном коллективе.

Начальный период школьной жизни занимает возрастной диапазон от 6-7 до 10-11 лет (I-IV классы школы). Хронологически социально-психологические границы этого возраста в жизни ребенка нельзя считать неизменными. Они зависят от готовности ребенка к обучению в школе, а также от того, с какого времени начинается и как идет обучение в соответствующем возрасте. Если оно начинается с 6-летнего возраста, как это и происходит сейчас в большинстве случаев, то возрастные психологические границы обычно смещаются назад, т.е. охватывают возраст от 6 до примерно 10 лет, если умение начинается с семилетнего возраста, то, соответственно, границы данного психологического возраста перемещаются приблизительно на один год вперед, занимая диапазон от 7 до 11 лет. Границы этого возраста могут сужаться и расширяться также в зависимости от применяемых методов обучения: более совершенные методы обучения ускоряют развития, а менее совершенные замедляют его.

Вместе с тем в целом некоторая вариативность границ этого возраста не особенно сказывается на последующих успехах ребенка.

В младшем школьном возрасте дети располагают значительными резервами развития. Их выявление и эффективное использование - одна из главных задач возрастной и педагогической психологии. Но прежде чем использовать имеющиеся резервы, необходимо подтянуть детей до нижнего уровня готовности к обучению.

С поступлением ребенка в школу под влиянием обучения начинается перестройка всех его познавательных процессов, приобретение ими качеств, свойственных взрослым людям. Это связано с тем, что дети включаются в новые для них виды деятельности и системы межличностных отношений, требующие от них наличия новых психологических качеств. Общими характеристика всех познавательных процессов ребенка должны стать их производительность, продуктивность и устойчивость. На уроках, например, ребенку с первых дней обучения необходимо в течение длительного времени сохранять повышенное внимание, быть достаточно усидчивым, воспринимать и хорошо запоминать все то, о чем говорит учитель[5,с.269].

Психологами доказано, что обычные дети в младших классах школы вполне способны, если только их правильно обучать, усваивать и более сложный материал, чем тот, который дается по действующей программе обучения. Однако для того, чтобы умело использовать имеющиеся у ребенка резервы, необходимо решить предварительно две важные задачи. Первая из них состоит в том, чтобы как можно быстрее адаптировать детей к работе в школе и дома, научить их учиться, не тратя лишних физических усилий, быть внимательными, усидчивыми. В этой связи учебная программа должна быть составлена таким образом, чтобы вызывать и поддерживать постоянный интерес у учащихся.

Вторая задача возникает в связи с тем, что многие дети приходят в школу не только не подготовленными к новой для них социально-психологической роли, но и со значительными индивидуальными различиями в мотивации, знаниях, умениях и навыках, что делает учение для одних слишком легким, неинтересным делом, для других чрезвычайно трудным (и вследствие этого также неинтересным) и только для третьих, которые не всегда составляют большинство, соответствующим их способностям. Возникает необходимость психологического выравнивая детей с точки зрения их готовности к обучению за счет подтягивания отстающих к хорошо успевающим.

Еще одна проблема состоит в том, что углубленная и продуктивная умственная работа требует от детей усидчивости, сдерживания эмоций и регуляции естественной двигательной активности, сосредоточения и поддержания внимания на учебных задачах, а это в начальных классах умеют делать далеко не все дети. Многие из них быстро утомляются, устают.

Особую трудность для детей 6-7-летнего возраста, начинающих обучаться в школе, представляет саморегуляция поведения. Ребенок должен сидеть на месте во время урока, не разговаривать, не ходить по классу, не бегать по школе во время перемен. В других ситуациях, напротив, от него требуется проявление необычной, довольно сложной и тонкой двигательной активности, как, например, при обучении рисованию и письму. Многим первоклассникам явно не хватает силы воли для того, чтобы постоянно удерживать себя в определенном состоянии, управлять собой в течение длительного периода времени

На занятиях учитель задает детям вопросы, заставляет их думать, а дома то же самое от ребенка требуют родители при выполнении домашних заданий. Напряженная умственная работа в начале обучения детей в школе утомляет их, но это часто происходит не потому, что ребенок устает именно от умственной работы, а по причине его неспособности к физической саморегуляци [7.c.489].

Внимание- это активная направленность сознания человека на те или иные предметы и явления действительности или на определённые их свойства, качества при одновременном отвлечении от всего остального. Именно внимание определяет, что из окружающего мира выделит, увидит, услышит, запомнит ребёнок, что и как войдёт в систему его знаний. Поэтому интересен и важен период обучения детей в начальной школе. В поле внимания младших школьников попадает много нового, у них возникают яркие впечатления. Однако особенностью внимания детей этого возраста является непроизвольность, легкая переключаемость, не большой объём. Это не позволяет надолго сосредоточится на одном предмете или действии. Младшие школьники обращают внимание лишь на то, что вызывает их непосредственный интерес. Именно невнимательность и является одной из причин плохой успеваемости. Учебные задания содержат больше новой информации, а процесс их выполнения требует более длительного сосредоточения. И чтобы справится со всем этим, нужно уметь управлять своим вниманием, подчинять его своей воле. Помочь в этом может работа по развитию внимания, его основных свойств: концентрации, объёма, переключения, распределения и устойчивости. Это будет влиять не только на его собственную продуктивность, но и на уровень функционирования познавательной сферы в целом.

Многие проблемы, возникающие в учении, особенно в начальный его период, непосредственно связаны с недостатками в развитии внимания. Они могут быть устранены, если известны особенности внимания и тот уровень, на котором оно находится в данный момент

.2 Особенности внимания у младших школьников

Известно, что хорошо развитые свойства внимания и его организованность являются факторами, непосредственно определяющими успешность обучения в младшем школьном возрасте. Как правило, хорошо успевающие школьники имеют лучшие показатели развития внимания. При этом специальные исследования показывают, что различные свойства внимания имеют неодинаковый «вклад» в успешность обучений по разным предметам. Так, при овладении математикой ведущая роль принадлежит объёму внимания, успешность усвоения русского языка связана с точностью распределения внимания, а обучение чтению связано с устойчивостью внимания. Из этого можно сделать вывод: развивая различные свойства внимания, можно повысить успеваемость школьников по разным предметам.

Учитель должен изо дня в день, на каждом уроке и в разнообразных естественных ситуациях наблюдать за поведением детей, характером их учебной и внеучебной деятельности. В результате он имеет возможность получить достаточно полное, целостное представление о внимании школьников [8.c.105].

Общее направление развития внимания состоит в том, что от достижения цели, которую ставит учитель, ребенок переходит к контролируемому решению задач, поставленных им самим. Опытный учитель прибегает к разнообразным видам учебной работы, сменяющим друг друга на уроке и не утомляющим детей (устный счет разными способами, решение задач и проверка результатов, объяснение нового приема письменных вычислений, тренировка в их выполнении и т.д.).

У учащихся 1-2 классов внимание более устойчиво при выполнении внешних, чем собственно умственных действий. Эту особенность важно использовать на уроках, чередуя умственные занятия с составлением графических схем, рисунков, макетов, созданием аппликаций. При выполнении простых, но однообразных занятий младшие школьники отвлекаются чаще, чем при решении более сложных заданий, требующих применения разных способов и приемов работы [11.c.415].

Развитие внимания связано также с расширением объема внимания и умением распределять его между разными видами действий. Поэтому учебные задачи целесообразно ставить так, чтобы ребенок, выполняя свои действия, мог и должен был следить за работой товарищей. Например, читая заданный текст, школьник обязан следить за поведением других учеников. В случае ошибки он замечает отрицательные реакции товарищей и стремится сам исправить ее.

Некоторые дети бывают «рассеянными» в классе именно потому, что не умеют распределять свое внимание: занимаясь одним делом, они теряют из виду другие. Учителю нужно так организовывать разные виды учебной работы, чтобы дети приучались к одновременному контролю за несколькими действиями (вначале, конечно, относительно простыми), подготавливаясь к общей фронтальной работе класса[5 c.284].

Внимание - это направленность и сосредоточенность нашего сознания на определенном объекте. Объектом внимания может быть все, что угодно, - предметы и их свойства, явления, отношения, действия, мысли, чувства других людей и свой собственный внутренний мир.

Внимание не является самостоятельной психической функцией, его нельзя наблюдать само по себе. Это особая форма психической активности человека, и она входит как необходимый компонент во все виды психических процессов. Внимание - это всегда характеристика какого-то психического процесса: восприятия, когда мы вслушиваемся, рассматриваем, принюхиваемся, пытаясь различить какой-либо зрительный или звуковой образ, запах; мышления, когда мы решаем какую-то задачу; памяти, когда мы что-то определенное вспоминаем или пытаемся запомнить; воображения, когда мы стараемся что-то отчетливо представить себе. Таким образом, внимание - это способность человека выбирать важное для себя и сосредоточивать на нем свое восприятие, мышление, припоминание, воображение и др.

Внимание - необходимое условие качественного выполнения любой деятельности. Оно выполняет функцию контроля и особенно необходимо при обучении, когда человек сталкивается с новыми знаниями, объектами, явлениями.

У школьника, как бы талантлив или способен он ни был, всегда будут пробелы в знаниях, если внимание его недостаточно развито, и он часто бывает невнимательными или рассеянными на занятиях. Внимание в значительной мере определяет ход и результаты учебной работы.

Различают внимание внешнее и внутреннее. Внешнее внимание направлено на окружающие предметы и явления, внутреннее - на собственные мысли, чувства и переживания.

Физиологическую основу внимания составляют ориентировочно-исследовательские рефлексы, которые вызываются новыми раздражителями или неожиданными изменениями обстановки. И.П. Павлов назвал их рефлексами «что такое?». Он писал: «Ежеминутно всякий новый раздражитель, падающий на нас, вызывает соответствующее движение с нашей стороны, чтобы лучше, полнее осведомиться относительно этого раздражителя. Мы вглядываемся в появляющийся образ, прислушиваемся к возникшим звукам, усиленно втягиваем коснувшийся нас запах и, если новый предмет поблизости от нас, стараемся осязать его и вообще стремимся охватить или захватить всякое новое явление или предмет... соответствующими органами чувств»[9.с.28].

К.Д. Ушинский отмечал огромную роль внимания в психической деятельности: «...внимание есть именно та дверь, через которую проходит все, что только входит в душу человека из внешнего мира [17.с.339]

Внимание может быть непроизвольным (непреднамеренным) и произвольным (преднамеренным). Термин «произвольный» образован не от слова «произвол», а от слова «изволение», означающего волю, желание. Непроизвольное внимание ни от нашего желания, ни от нашей воли или намерений не зависит. Оно происходит, возникает как бы само по себе, без всяких усилий с нашей стороны.

Непроизвольное внимание может быть вызвано и внутренним состоянием организма. Человек, испытывающий чувство голода, не может не обратить внимания на запах пищи, звон посуды, вид тарелки с едой.

Когда речь идет о непроизвольном внимании, можно сказать, что не мы обращаем внимание на те или иные объекты, а они сами завладевают нашим вниманием. Но иногда, и весьма часто, приходится делать над собой усилие - оторваться от интересной книги или другого занятия и начать делать что-то иное, намеренно переключить свое внимание на другой объект. Здесь мы имеем дело уже с произвольным (преднамеренным) вниманием, когда человек ставит себе цель и прилагает усилия для ее достижения. Иными словами, у человека есть определенные намерения, и он старается (сам, по своей доброй воле) их осуществить. Сознательная цель, намерение всегда выражаются в словах.

Выполнение учебной деятельности предъявляет высокие требования к уровню развития произвольного внимания. Ряд условий организации учебной деятельности способствует развитию и укреплению произвольного внимания школьников:

осознание учеником значения задачи: чем важнее задача, чем сильнее желание выполнить ее, тем в большей мере привлекается внимание;

интерес к конечному результату деятельности заставляет напоминать самому себе, что надо быть внимательным;

постановка вопросов по ходу выполнения деятельности, ответы на которые требуют внимания;

словесный отчет, что сделано и что еще нужно сделать;

определенная организация деятельности.

Произвольное внимание иногда переходит в так называемое послепроизвольное внимание. Одним из условий такого перехода является интерес к определенной деятельности. Пока деятельность не очень интересна, от человека требуются волевые усилия, чтобы сосредоточиться на ней. Например, чтобы ученику запомнить какие-либо сведения на уроке природоведения, естествознания, надо постоянно удерживать на них свое внимание. Однако процесс познания становится для школьника столь интересным делом, что напряжение ослабляется, а порой исчезает совсем, все внимание само по себе сосредоточивается на этой деятельности, и его уже не отвлекают разговоры других людей, звуки музыки и пр. Тогда можно говорить, что внимание из произвольного превратилось вновь в непроизвольное, или послепроизвольное (постпроизвольное)

Различают пять свойств внимания: сосредоточенность, устойчивость, объем, распределение и переключение. Перечисленные свойства могут проявляться во всех видах внимания - в непроизвольном, произвольном и послепроизвольном.

Сосредоточенность внимания - это удержание внимания на одном объекте или одной деятельности при отвлечении от всего остального. Сосредоточенность внимания обычно связана с глубоким, действенным интересом к деятельности, какому-либо событию или факту. Степень или сила сосредоточенности - это концентрация, или интенсивность, внимания.

Концентрация - это поглощение внимания одним объектом или одной деятельностью. Показателем интенсивности является невозможность отвлечь внимание от предмета деятельности посторонними раздражителями.

Устойчивость и колебания внимания. Внимание характеризуется различной степенью устойчивости. Устойчивость внимания - это длительное удержание внимания на предмете или какой-нибудь деятельности. Устойчивым мы называем такое внимание, которое способно в течение долгого времени оставаться непрерывно сосредоточенным на одном предмете или на одной и той же работе. И.П. Павлов говорил о своей работе, что это, прежде всего, упрямая сосредоточенность мысли, умение неотступно думать об избранном предмете, с ним ложиться и с ним вставать.

Внимание не может долго задерживаться на каком-то неподвижном объекте (например, точка на листе), если мы не можем рассматривать его с разных сторон. Чем богаче свойства объекта, тем легче сосредоточить на нем внимание в течение длительного времени.

Объем внимания. На сколько объектов одновременно может быть направлено внимание? Объем внимания обычно колеблется у взрослых в пределах от 4 до 6 объектов, у школьников (в зависимости от возраста) - от 2 до 5 объектов. Объем внимания - это количество объектов, которые охватываются вниманием одномоментно, одновременно.

Распределение внимания - это умение выполнять две или более различные деятельности, удерживая на них свое внимание.

Чтобы успешно выполнять одновременно две работы, хотя бы одну из них надо знать настолько хорошо, чтобы она выполнялась автоматически, сама собой, а человек лишь время от времени контролировал и регулировал ее сознательно. В этом случае основное внимание можно будет уделить второй работе, менее знакомой человеку.

Умение распределять внимание развивается постепенно, с возрастом. Так, младшие школьники плохо распределяют внимание, они еще не умеют этого делать, у них нет опыта, автоматических умений, поэтому не следует предлагать им одновременно выполнять два дела или при выполнении одного дела отвлекать внимание ребенка на другое. Но способствовать развитию этого умения необходимо.

Переключение внимания. Существенной стороной внимания является его переключение, т.е. способность быстро переходить от одной деятельности к другой. Сознательное переключение внимания не надо путать с отвлекаемостью внимания.

Переключение внимания - это сознательное и осмысленное перемещение внимания с одного предмета или действия на другие, перестройка внимания, его переход с одного объекта на другой в связи с изменением задачи деятельности.

Переключение внимания всегда сопровождается некоторым напряжением, которое выражается в волевом усилии. Отсюда понятно, почему школьнику трудно бывает начинать новую работу, особенно если она не вызывает приятных чувств, а предыдущая деятельность, наоборот, была более интересной. Например, переключение внимания на урок от дел, которыми дети занимались на перемене. Частая смена видов работы в процессе учебной деятельности может вызывать у школьников большие трудности.

Если, отвлекаясь, человек меняет объект внимания непроизвольно, то, переключая внимание, он сознательно ставит цель заняться чем-то новым. Внимание быстрее и легче переключается от менее важного для личности предмета к более значимому.

Внимание и рассеянность. Обычно внимание противопоставляется рассеянности. В нашем языке рассеянность часто понимается как синоним невнимательности. Помните стихотворение С.Я. Маршака «Вот какой рассеянный»: «Вместо шапки на ходу он надел сковороду, вместо валенок перчатки натянул себе на пятки».

В младшем школьном возрасте регулирующее влияние высших корковых центров постепенно совершенствуется, в результате чего происходят существенные преобразования характеристик внимания, идет интенсивное развитие всех его свойств: особенно резко - в 2,1 раза - увеличивается объем внимания, повышается его устойчивость, развиваются навыки переключения и распределения. Однако только к 9-10 годам дети становятся способны достаточно долго сохранять и выполнять произвольно заданную программу действий.

Возрастными особенностями внимания младших школьников являются сравнительная слабость произвольного внимания и его небольшая устойчивость. Первоклассники и отчасти второклассники еще не умеют длительно сосредоточиваться на работе, особенно если она неинтересна и однообразна, их внимание легко отвлекается. Возможности волевого регулирования внимания, управления им в начале младшего школьного возраста весьма ограниченные.

Значительно лучше у младших школьников развито непроизвольное внимание. Все новое, неожиданное, яркое, интересное само собой привлекает внимание учеников, без всяких усилий с их стороны. Дети могут упустить важные существенные моменты в учебном материале и обратить внимание на несущественные только потому, что они привлекают их своими интересными деталям [13.c.50]

Перед учителем начальной школы в учебном процессе стоит сложнейшая задача - строго продумывать специальную работу по организации внимания детей, иначе оно окажется во власти окружающих вещей и случайного стечения обстоятельств.

Строить обучение только на непроизвольном внимании ошибочно. Это и невозможно. Педагогический процесс предполагает умение: 1) использовать непроизвольное внимание; 2) содействовать развитию произвольного.

Условием поддержания внимания является разнообразие сообщаемого материала, последовательность его изложения и раскрытия. Очень важным для организации внимания является умение учителя предложить задание и так его мотивировать, чтобы оно было принято ребенком,- возбудить интерес, внести известную эмоциональную насыщенность.

Детский интерес приобретает чрезвычайное педагогическое значение как самая частая форма проявления непроизвольного внимания. Детское внимание, подчеркивал Л.С. Выготский, направляется и руководствуется почти всецело интересом, и поэтому естественной причиной рассеянности ребенка всегда является несовпадение двух линий в педагогическом деле: собственно интереса и тех занятий, которые предлагает учитель как обязательны [1.c.150].

Л.С. Выготский высказал интересную мысль о том, что педагогу следует проявлять заботу как о внимании, так и о рассеянности и что глубоко ошибается тот учитель, который в рассеянности видит своего злейшего врага и не понимает, что наиболее внимательным может быть именно тот, кто наиболее рассеян у него в классе. «Секрет превращения рассеянности во внимание есть, в сущности говоря, секрет перевода стрелки внимания с одного направления на другое и достигается он общим воспитательным приемом переноса интереса с одного предмета на другой, путем связывания их обоих. В этом и заключается основная работа по развитию внимания и по превращению непроизвольного внешнего внимания во внимание произвольное» [1.с. 159].

Развитие произвольного внимания младшего школьника является одним из важнейших приобретений личности на данном этапе онтогенеза. Оно связано с формированием у ребенка волевых качеств и находится в теснейшем взаимодействии с его общим умственным развитием.

Внимание развивается постепенно и на определенный момент становится свойством личности, ее постоянной особенностью, которая называется внимательностью. Внимательный человек - это человек наблюдательный, он полно и точно воспринимает окружающее, и учение и трудовая деятельность у него протекают успешнее, чем у человека, не обладающего этим свойством личности.

Подчеркивая педагогическое значение внимания, Л.С. Выготский указывает на его интегральный, целостный характер. От работы внимания зависит вся картина воспринимаемого нами мира и самих себя. «Управляя вниманием, - писал Л.С. Выготский, - мы берем в свои руки ключ к образованию и к формированию личности и характера» [1.c.150]

1.3 Характеристика типов успеваемости в младшем школьном возрасте

Важнейшей задачей педагогической науки является раскрытие сущности успеваемости, выявление структуры успеваемости, признаков, по которым могут опознаваться ее компоненты, разработка научно- обоснованных приемов обнаружения этих признаков. Без этого невозможно научное изучение факторов неуспеваемости и разработка мер борьбы с нею.

Современный толковый словарь по педагогике определяет успеваемость, как степень усвоения знаний, умений, навыков, установленных учебной программой, с точки зрения их полноты, глубины, сознательности и прочности. Находит свое внешнее выражение в оценочных баллах. Сравнительные данные отметок по отдельным предметам характеризуются успеваемость по каждому учебному предмету, по циклу предметов, по классам или школе в целом. Высокая успеваемость учащихся достигается системой дидактических методов, форм и средств, а также воспитательных мер [16.c.132].

Из рассмотренного выше положения может быть построена система показателей успеваемости. Выполнение этих требований несет наибольшую информацию об успеваемости:

·              Делать хотя бы один опосредованный вывод, комбинировать имеющиеся знания, умения и навыки при добывании новых знаний;

·              Применять имеющиеся знания, умения и навыки в новой ситуации, отбирая их и комбинируя, выполняя отдельные опосредованные выводы;

·              Стремиться к знаниям теоретического характера, к самостоятельному их добыванию;

·              Активно преодолевать трудности в процессе творческой деятельности;

·              Стремиться к оценке своих достижений в познавательной деятельности.

Изучение психолого-педагогической литературе по проблеме школьной успеваемости позволило выделить три основных фактора успеваемости: требования к учащимся, вытекающие из целей школы; психофизические возможности учащихся; социальные условия их жизни, воспитания и обучения в школе и вне школы.[16,с.158]

Правильное отношение к учению у младших школьников формируется постепенно. Сначала не понимают, зачем нужно учиться. Но вскоре оказывается, что учение - труд, требующий волевых усилий, мобилизации внимания, интеллектуальной активности, самоограничений. Если ребёнок к этому не привык, то у него наступает разочарование, возникает отрицательное отношение к учению. По мнению Н.В. Касициной, для того чтобы этого не случилось, учитель должен внушать ребёнку мысль, что учение - это напряжённая работа, однако очень интересная, так как она позволит узнать много нового, занимательного, нужного. Важно, чтобы и сама организация учебной работы подкрепляла слова учителя [12, с.29].

Высокий уровень мотивации учения необходим для достижения успеха в учебе и в этом вклад мотивации в общую успешность деятельности школьника можно рассматривать наравне с когнитивными способностями ученика. Иногда менее способный ученик, но имеющий высокий уровень мотивации может достичь более высоких результатов в учебе, потому что стремится к этому и уделяет учению больше времени и внимания. В то же время у ученика недостаточно мотивированного успехи в учебе могут быть незначительными, даже, несмотря на его способности.

Мотивация учения может выступить, к тому же хорошим показателем уровня психического благополучия ученика, а также показателем уровня его развития. Нередко мотивы учения учащихся могут быть весьма прозаическими: получить желаемые подарки от родителей, похвалу родителей и учителей, желание стать отличником, выделиться среди товарищей и т.п. На первых порах учащиеся начальной школы хорошо учатся, руководствуясь своими отношениями в семье, иногда ребёнок хорошо учится по мотивам взаимоотношений с коллективом. Большую роль играет и личный мотив: желание получить хорошую оценку, одобрение учителей и родителей.

Вначале у него формируется интерес к самому процессу учебной деятельности без осознания её значения. Только после возникновения интереса к результатам своего учебного труда формируется интерес к содержанию учебной деятельности, к приобретению знаний. Вот эта основа и является благоприятной почвой для формирования у младшего школьника мотивов учения высокого общественного порядка, связанных с подлинно ответственным отношением к учебным занятиям.

Формирование интереса к содержанию учебной деятельности, приобретению знаний связано с переживанием школьниками чувства удовлетворения от своих достижений. А подкрепляется это чувство одобрением, похвалой учителя, который подчеркивает каждый, даже самый маленький успех, самое маленькое продвижение вперёд. Младшие школьники испытывают чувство гордости, особый подъём сил, когда учитель хвалит их.

Непосредственно влияет школьная оценка и на становление самооценки. Дети, ориентируясь на оценку учителя, сами считают себя и своих сверстников отличниками, "двоечниками" и "троечниками", хорошими и средними учениками, наделяя представителей каждой группы набором соответствующих качеств. Оценка успеваемости в начале школьного обучения, по существу, является оценкой личности в целом и определяет социальный статус ребенка.

Неудовлетворенность в общении с одноклассниками сказывается на всех сферах жизни младшего школьника: от поведения до успеваемости, толкает порой на различные противоправные поступки. В связи с этим возникает ряд важнейших психолого-педагогических проблем, прежде всего проблема изолированного ученика. [9,с.136]

Дифференциация в группах детей подвержена определенным закономерностям. Одной из них можно назвать связь статуса ученика в группе с его успеваемостью. В то же время не столько сама по себе успеваемость определяет статус ученика в классе, сколько те личностные качества, которые характеризуют его отношение к учебе: трудолюбие, добросовестность и т.д. Популярными в учебном коллективе, как правило, являются ученики с широким кругом интересов и серьезными духовными запросами. Эту группу школьников отличает серьезное отношение к учебной деятельности. Учащиеся, занимающие неблагоприятное положение в структуре межличностных отношений, относятся либо к слабо успевающим, либо к неуспевающим и имеют низкий статус.

Итак, взаимосвязь статуса и успеваемости учащихся имеет свое психологическое основание. Успеваемость для школьников выступает показателем уровня интеллектуальных и волевых свойств личности. Хорошие отметки выступают как социальная оценка компетентности учеников в различных областях знаний, их ответственности, целеустремленности, общительности, а именно это высоко ценится в группах школьников и даёт возможность школьнику занимать наиболее комфортное место в группе сверстников.

Успеваемость - сложное и многогранное явление школьной действительности, требующее разносторонних подходов при ее изучении. В основе неуспеваемости в школе всегда лежит комплекс причин. Среди них можно обозначить: несовершенство методов преподавания, отсутствие позитивного контакта с педагогом, страх оказаться лучше других учеников, высокая одаренность в какой-либо конкретной области, несформированность мыслительных процессов.

ГЛАВА 2. Методы установления особенностей внимания у хорошо и плохо успевающих младших школьников

.1 Эмпирические исследования особенностей внимания у хорошо и плохо успевающих младших школьников

Для учителя начальной школы проблема развития внимания детей является традиционной. Это во многом обусловлено особенностями психического развития младших школьников. Наиболее характерны невнимательность, несобранность, отвлекаемость для детей 6-7 лет, т. е. первоклассников. Их внимание действительно еще слабо организовано, имеет небольшой объем, плохо распределяемо, неустойчиво, что во многом объясняется недостаточной зрелостью регулирующих нейрофизиологических механизмов, обеспечивающих произвольное управление поведением в целом и вниманием в частности. [16,с.152]

Хорошо развитые свойства внимания и его организованность являются факторами, непосредственно определяющими успешность обучения в младшем школьном возрасте. Как правило, хорошо успевающие школьники имеют лучшие показатели развития внимания. При этом специальные исследования показывают, что различные свойства внимания имеют неодинаковый вклад в успешность обучения по разным предметам. Так, при овладении математикой ведущая роль принадлежит объему внимания; успешность усвоения русского языка связана с точностью распределения внимания, а обучение чтению - с устойчивостью внимания. Из этого напрашивается вывод: развивая определенные свойства внимания, можно повысить успеваемость школьников по разным учебным предметам.

Сложность, однако, заключается в том, что разные свойства внимания поддаются развитию в неодинаковой степени. Наименее подвержен влиянию объем внимания, он индивидуален, в то же время свойства распределения и устойчивости можно и нужно тренировать[16.c.154].

Предлагаемые далее задания рекомендуется использовать с учащимися в целях исследования внимания

Данное исследование проводилось в марте 2014 г. на базе Костинской общеобразовательной школы Алапаевского района Свердловской области. В нём принимали участие 20 учащихся третьего класса. Средний возраст детей 9-10 лет.

Чем более развиты свойства внимания, тем эффективнее обычно ученик справляется с учебными заданиями. Но и среди слабо успевающих учеников встречаются дети с объективно высокими свойствами внимания Поэтому в данном исследовании были протестированы две группы детей: хорошо успевающие и слабо успевающие по школьным дисциплинам.Были протестированы ученики третьих классов по методике «Да и нет». Также была использована корректурная проба: таблица Бурдона (5-минутный вариант заполнения) При работе с корректурной пробой Бурдона цель работы было измерение количественных характеристик внимания.

Методика "Корректурная проба" (Тест Бурдона) позволяет диагностировать концентрацию внимания, устойчивость внимания, переключаемость внимания.

Для проведения исследования потребуется стандартный бланк теста "Корректурная проба" и секундомер. На бланке в случайном порядке напечатаны некоторые буквы русского алфавита, в том числе буквы "к" и "р"; всего 2000 знаков, по 50 букв в каждой строчке.

Порядок работы. Исследование необходимо проводить индивидуально. Начинать нужно, лишь убедившись, что у испытуемого есть желание выполнять задание. При этом у него не должно создаваться впечатление, что его экзаменуют. Испытуемый должен сидеть за столом в удобной для выполнения данного задания позе.

Экспериментатор выдает ему бланк "корректурной пробы" (см. приложение 1) разъясняет по следующей инструкции: "На бланке напечатаны буквы русского алфавита. Последовательно рассматривая каждую строчку, отыскивайте буквы "к" и "р" и зачеркивайте их. Задание нужно выполнять быстро и точно". Испытуемый начинает работать по команде экспериментатора. Когда через некоторое время экспериментатор произнесет: "Черта!"- Вы должны поставить вертикальную черту в том месте строки, где Вас застала команда. Через десять минут отмечается последняя рассмотренная буква.

При обработке полученных данных психолог сверяет результаты в корректурных бланках испытуемого с программой - ключом к тесту.

Из протокола занятия в психологический паспорт школьника вносятся следующие данные: общее количество просмотренных букв за 10 мин, количество правильно вычеркнутых букв за время работы, количество букв, которые необходимо было вычеркнуть (Приложение1).

Методика «да» и «нет» (Н.И.Гуткина)

Методика представляет собой игру, позволяющую выявить умение ребенка действовать по правилу, что невозможно без произвольного внимания,

Методика является модификацией известной детской игры «“Да” и “нет” не говорите, черного с белым не носите». По ходу игры ведущий задает ее участникам такие вопросы, на которые проще всего ответить словами «да» или «нет», а также употребив названия белого или черного цвета. Но именно этого но условиям игры делать нельзя.

Для методики взята только первая часть правила игры, а именно: детям запрещено отвечать на вопросы словами «да» и «нет».

Инструкция испытуемому: «Сейчас мы будем играть в игру, в которой нельзя произносить слово “да” и слово “нет”. Повтори, пожалуйста, какие слова нельзя будет произносить. (Испытуемый повторяет эти слова.) Теперь будь внимателен, я буду задавать тебе вопросы, отвечая на которые нельзя произносить слова “да” и “нет”. Понятно?» После того, как испытуемый подтвердит, что ему понятно правило игры, экспериментатор начинает задавать ему вопросы, провоцирующие ответы «да» и «нет».

Умение действовать по правилу предполагает достаточное развитие произвольного внимания и произвольной памяти. Чтобы правильно ответить на вопросы, ребенку необходимо, не отвлекаясь, постоянно удерживать в памяти условие игры и принятое им намерение отвечать определенным образом. По ходу игры он должен контролировать свои ответы, сдерживая непосредственное желание ответить словами «да» и «нет», и одновременно обдумывать содержательный ответ. Все это невозможно без определенного развития произвольной регуляции деятельности.

Обработка результатов проводится путем подсчета ошибок, под которыми понимаются только слова «да» и «нет». Слова «ага», «неа» и тому подобные не рассматриваются в качестве ошибок. Также не считается ошибкой бессмысленный ответ, если он удовлетворяет формальному правилу игры. Вполне допустимо, если ребенок вообще молчит и лишь ограничивается утвердительным или отрицательным движением головы

Задание выполнено на хорошем уровне, если не допущено ни одной ошибки. Если допущена одна ошибка, то это - средний уровень выполнения задания. Если допущено более одной ошибки, то считается, что испытуемый с заданием не справился.

. Ты любишь ходить в школу?

. Ты любишь, когда тебе читают сказки?

. Ты любишь смотреть мультфильмы?

4. Ты любить лето?

. Ты любишь гулять?

. Ты любишь играть?

. Ты хочешь учиться?

. Ты любишь болеть?

2.2 Результаты диагностики особенностей внимания у младших школьников

внимание младший школьник возрастной

При обработке результатов корректурной пробы - таблицы Бурдона, вычислялся показатель концентрации внимания k. Для этого необходимо было подсчитать:

общее количество правильно зачеркнутых букв - n 1 ;

количество пропусков букв к , р - n2 ; количество ошибочно зачеркнутых букв - n3 ;

общее количество в просмотренных строках букв к, р , подлежащих вычеркиванию - n .


Показатель концентрации внимания k вычисляется как отношение:

В зависимости величины этого коэффициента можно было получить качественную оценку.

Средний-41...60%

Плохой-21...40%.

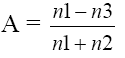
Коэффициент точности и аккуратности внимания А вычислялся по формуле:


Полученные результаты показывают, что дети с хорошей успеваемостью, как правило, имеют достаточно высокий уровень концентрации внимания и его точности. У большинства слабо успевающих детей уровень внимания средний или низкий. Хотя среди второй группы учащихся имеются и школьники с достаточно высоким уровнем внимания(Рис.1).

Рис.1


Таблица1. Результаты хорошо успевающих учеников

Группа хорошо успевающих учеников

Показатель концентрации внимания k

Уровень концентрации внимания

Коэффициент точности и аккуратности внимания А

Средний балл успеваемости

1

47

средний

0.74

4,3

2

90

высокий

1

5,0

3

44

средний

0.6

4,1

4

66

выше среднего

0.9

4,05

5

72

выше среднего

1

4,72

6

40

довольно низкий

0.55

4,22

7

62

выше среднего

0.8

4,9

8

69

выше среднего,

0.8

4,83

9

58

средний

0.7

4,77

10

88

высокий

1

4,97

11

77

выше среднего

1

4,02



Таблица2 Результаты слабо успевающих учеников:

Группа слабо успевающих учеников

Показатель концентрации внимания k

Уровень концентрации внимания

Коэффициент точности и аккуратности внимания А

Средний балл успеваемости

1

34

довольно низкий

0.5

3,63

2

42

средний

0.6

3,33

3

66

выше среднего, хороший.

0.9

3,43

4

39

довольно низкий

0.5

3,38

5

33

довольно низкий

0.5

3,01

6

57

средний

0.8

3,05

7

74

выше среднего, хороший.

1

3,97

8

43

средний

0.6

3,52

9

55

средний

0.7

3,54


При ответе на заданные вопросы в методике «Да и нет» испытуемым нужно было постоянно помнить правила игры и отвечать определённым образом, контролируя свои ответы. При этом от них также требовалось одновременное обдумывание своих ответов, чтобы не произнести запрещённых слов. Эти действия были бы невозможны без определенного развития произвольности. Некоторые дети постарались облегчить поставленную задачу различными способами и, например, давали повторяющийся односложный ответ (например, «хочу»). Это действие лишало смысла их ответов. Для таких детей самым главным было лишь соблюдение формальности правила игры. Некоторые просто подменяли слова «да» и «нет» соответствующими движениями головы. Тем самым они соблюдали условия игры и не утруждали себя поиском адекватного ответа, что в достаточной степени сложно. Многие дети довольно долго молчали и обдумывали свой ответ прежде, чем дать содержательный ответ, не включающей запретные слова.

Обработка результатов проводится путем подсчета баллов, начисляющихся за ошибки, под которыми понимаются только слова «да» и «нет», «чёрное», «белое». Употребление детьми просторечной лексики (слова «ага», «не-а» и т.п.) не рассматриваются в качестве ошибки. Также не считается ошибкой бессмысленный ответ, если он удовлетворяет формальному правилу игры. Каждая ошибка оценивалась в 1 балл. Если ребенок правильно ответил на все вопросы, за его результат выставляется 0 (ноль). Таким образом, чем хуже выполнено задание, тем выше суммарный балл. При обработке результатов методики изучения внимание у школьников третьего класса высшую оценку получали ученики, не пропустившие в тексте ни одной или не заметившие одной-двух ошибок. Средний уровень показали учащиеся, упустившие из своего внимания 3-4 ошибки в тексте. Низкий уровень внимания у учеников, не обнаруживших более пяти ошибок.

Таблица 3 Результаты хорошо успевающих учеников:

Группа хорошо успевающих учеников

Показатели

Уровень концентрации внимания

Средний балл успеваемости

1

3

средний

4,3

2

0

высокий

5,0

3

3

средний

4,1

4

2

выше среднего

4,05

5

2

выше среднего

4,72

6

5

довольно низкий

4,22

7

2

выше среднего

4,9

8

2

выше среднего,

4,83

9

3

средний

4,77

10

0

высокий

4,97

11

2

выше среднего

4,02


Таблица 4. Результаты слабо успевающих учеников:

Группа слабо успевающих учеников

показатели

Уровень концентрации внимания

Средний балл успеваемости

1

6

довольно низкий

3,63

2

4

средний

3,33

3

3

выше среднего, хороший.

3,43

4

6

3,38

5

7

довольно низкий

3,01

6

2

средний

3,05

7

2

выше среднего, хороший.

3,97

8

3

средний

3,52

9

3

средний

3,54


Проведенное экспериментальное исследование подтвердило гипотезу и позволило сделать следующие выводы :

Хорошо успевающие ученики обычно имеют достаточно высокий уровень внимания.

2.3 Методы выявления особенностей внимания у хорошо и плохо успевающих младших школьников

Параметрический метод корреляционного анализа - критерий r-Пирсона

Назначение

Коэффициент корреляции Пирсона позволяет определить силу и направление корреляционной связи между двумя признаками (переменными).

Описание метода

Для подсчета коэффициента корреляции Пирсона необходимо располагать двумя рядами значений. Такими рядами могут быть:

два признака, измеренные в одной и той же группе испытуемых;

два ряда значений по одному и тому же признаку, полученные в двух группах испытуемых.

Расчет коэффициента корреляции Пирсона предполагает, что переменные X и Y измерены в интервальной шкале и распределены нормально.

Гипотезы:

Н0: Корреляция между переменными X и Y не отличается от нуля.

Н1: Корреляция между переменными X и Y достоверно отличается от нуля.

Ограничения коэффициента корреляции Пирсона

.        Сравниваемые переменные должны быть получены в интервальной шкале или шкале отношений.

.        Распределение переменных X и Y должно быть близким к нормальному.

.        Число варьирующих признаков в сравниваемых переменных X и Y должно быть одинаковым.

.        По каждой переменной должно быть представлено не менее 30 наблюдений. Верхняя граница выборки определяется имеющимися таблицами критических значений, а именно n ≤ 5000.

Таблица 5.


Группа хорошо успевающих учеников

Показатель концентрации внимания k

Средний балл успеваемости

Группа хорошо успевающих учеников

1



Показатель концентрации внимания k

0,323666

1


Средний балл успеваемости

0,170274

0,542783

1



Группа слабо успевающих учеников

Показатель концентрации внимания k

Средний балл успеваемости

Группа слабо успевающих учеников

1



Показатель концентрации внимания k

0,381165

1


Средний балл успеваемости

0,149735

0,457007

1


Вывод:. Результаты хорошо успевающих учеников более приближены к успеху (Приложение1). Благодаря корреляционному анализу выявлена взаимосвязь свойств внимания и успеваемости. Дети с более высокий показателем сформированности произвольного внимания, в основном, имеют более высокую успеваемость (Таблица5).

ЗАКЛЮЧЕНИЕ

В результате подготовки курсовой работы были решены следующие задачи:

На основе психолого-педагогической литературы описаны возрастные особенности младших школьников.

На основе психолого-педагогической литературы была дана характеристику внимания младшего школьника.

На основе психолого-педагогической литературы раскрыты понятия «успеваемость»

Эмпирически были выявлены особенности внимания у детей младшего школьного возраста.

По результатам проведенной экспериментальной работы можно сделать следующие выводы: основной целью опытно-экспериментальной работы была проверка выдвинутой в исследовании гипотезы. Положения гипотезы проверялись в ходе опытно-экспериментальной работы, которая проводилась с детьми, имеющими разные уровни успеваемости . Опытно-экспериментальная работа проводилась по двум методикам: методике Бурдона и методике Гуткиной Цель констатирующего эксперимента - выявление уровня развития внимания детей младшего школьного возраста с разным уровнем успеваемости. Результаты констатирующего эксперимента показали достаточно низкий уровень развития внимания детей у плохо успевающих учащихся и наоборот, дети хорошо успевающие имели высокий уровень проверяемых умений.

Для повышения уровня развития произвольного внимания младших школьников необходимо проводить систематическую работу по активизации их индивидуальных возможностей. В результате реализации программы формирования и развития произвольного внимания происходит положительная динамика в его развитии.

На основе теоретического анализа литературы и проведенных исследований можно подтвердить, выдвинутую ранее гипотезу, - особенности внимания влияют на успеваемость младших школьников.

СПИСОК ЛИТЕРАТУРЫ

1.      Выготский Л. С. Педагогическая психология. - М., 1991. - С. 155.

.        Выготский Л.С. Собрание сочинений: В 6-ти т. Т. 2: Вопросы общей психологии / Гл. ред. А.В. Запорожец. - М.: Педагогика, 1982.-53с.

.        Гальперин П.Я., Кабылъницкая С.Л. Экспериментальное формирование внимания. - М, 1974.-89с.

.        Лурия А.Р. Внимание и память. - М., 1975.-69с.

.        Люблинская А.А. Детская психология. - М.: Просвещение, 1971.- 415с.

6.     Кикоин Е. И. Младший школьник: возможности изучения и развития внимания/ Е. И. Кикоин -М. :Педагогика, 2010.-284с.

7.      Маклаков А.Г. Общая психология: учебник для вызов. - СПб.: Питер, 2006. - 583 с.

.        Матюгин И.Ю., Аскоченко Т.Ю., Бонк И.А. Как развивать внимание и память вашего ребенка. - М.: Эйдос, 1996. - 114 с.

.        Обухова Л.Ф. Возрастная психология. - М.: Педагогическое общество России, 2003. - 448с.

.        Общая психология: Учебник для вузов / А. Маклаков. - СПб.: Питер, 2003. - 592 с:

.        Общая психология/ Под ред. А.В. Петровского. - М.: Просвещение, 1976. - 479с.

.        Павлов И.П. Полное собрание сочинений. Т. 3. Кн. 2. - М: Изд. АН СССР, 1952.- 28с.

.        Психокоррекционная и развивающая работа с детьми: Учеб. пособие для студ. сред. пед. учеб. заведений / Под ред. И.В.Дубровиной. - М.: Издательский центр "Академия", 1998. - С. 50.

.        Рубинштейн С.Л. Основы общей психологии. - СПб.: Питер, 1999.

.        Сеченов И.М. Физиология нервных центров: из лекций, чит. в собрании врачей в Москве в 1889-1890 гг. - М: Изд. АМН СССР, 1952.

.        Тихомирова Л.Ф. Развитие познавательных способностей детей. - Ярославль: Академия развития, 1996. - 192с.

.        Ушинский К. Д. Избр. пед. соч. В 2 т.- М., 1954. - Т. II.- C. 339.

Приложение1

КРИТИЧЕСКИЕ ЗНАЧЕНИЯ КОЭФФИЦИЕНТОВ КОРРЕЛЯЦИИ

г-ПИРСОНА (г-СПИРМЕНА)

(для проверки ненаправленных альтернатив, п - объем выборки)

п

Р

п

Р

 


0,10

0,05

0,01

0,001


0,10

0,05

0,01

0,001

 

5

0,805

0,878

0,959

0,991

46

0,246

0,291

0,376

0,469

 

6

0,729

0,811

0,917

0,974

47

0,243

0,288

0,372

0,465

 

7

0,669

0,754

0,875

0,951

48

0,240

0,285

0,368

0,460

 

8

0,621

0,707

0,834

0,925

49

0,238

0,282

0,365

0,456

 

9

0,582

0,666

0,798

0,898

50

0,235

0,279

0,361

0,451

 

10

0,549

0,632

0,765

0,872

51

0,233

0,276

0,358

0,447

 

11

0,521

0,602

0,735

0,847

52

0,231

0,273

0,354

0,443

 

12

0,497

0,576

0,708

0,823

53

0,228

0,271

0,351

0,439

 

13

0,476

0,553

0,684

0,801

54

0,226

0,268

0,348

0,435

 

14

0,458

0,532

0,661

0,780

55

0,224

0,266

0,345

0,432

 

15

0,441

0,514

0,641

0,760

56

0,222

0,263

0,341

0,428

 

16

0,426

0,497

0,623

0,742

57

0,220

0,261

0,339

0,424

 

17

0,412

0,482

0,606

0,725

58

0,218

0,259

0,336

0,421

 

18

0,400

0,468

0,590

0,708

59

0,216

0,256

0,333

0,418

 

19

0,389

0,456

0,575

0,693

60

0,214

0,254

0,330

0,414

 

20

0,378

0,444

0,561

0,679

61

0,213

0,252

0,327

0,411

 

21

0,369

0,433

0,549

0,665

62

0,211

0,250

0,325

0,408

 

22

0,360

0,423

0,537

0,652

63

0,209

0,248

0,322

0,405

 

23

0,352

0,413

0,526

0,640

64

0,207

0,246

0,320

0,402

 

24

0,344

0,404

0,515

0,629

65

0,206

0,244

0,317

0,399

 

25

0,337

0,396

0,505

0,618

66

0,204

0,242

0,315

0,396

 

26

0,330

0,388

0,496

0,607

67

0,203

0,240

0,313

0,393

 

27

0,323

0,381

0,487

0,597

68

0,201

0,239

0,310

0,390

 

28

0,317

0,374

0,479

0,588

69

0,200

0,237

0,308

0,388

 

29

0,367

0,471

0,579

70

0,198

0,235

0,306

0,385

 

30

0,306

0,361

0,463

0,570

80

0,185

0,220

0,286

0,361

 

31

0,301

0,355

0,456

0,562

90

0,174

0,207

0,270

0,341

 

32

0,296

0,349

0,449

0,554

100

0,165

0,197

0,256

0,324

33

0,291

0,344

0,442

0,547

110

0,158

0,187

0,245

0,310

34

0,287

0,339

0,436

0,539

120

0,151

0,179

0,234

0,297

35

0,283

0,334

0,430

0,532

130

0,145

0,172

0,225

0,285

36

0,279

0,329

0,424

0,525

140

0,140

0,166

0,217

0,275

37

0,275

0,325

0,418

0,519

150

0,135

0,160

0,210

0,266

38

0,271

0,320

0,413

0,513

200

0,117

0,139

0,182

0,231

39

0,267

0,316

0,408

0,507

250

0,104

0,124

0,163

0,207

40

0,264

0,312

0,403

0,501

300

0,095

0,113

0,149

0,189

41

0,260

0,308

0,398

0,495

350

0,088

0,105

0,138

0,175

42

0,257

0,304

0,393

0,490

400

0,082

0,098

0,129

0,164

43

0,254

0,301

0,389

0,484

450

0,078

0,092

0,121

0,155

44

0,251

0,297

0,384

0,479

500

0,074

0,088

0,115

0,147

45

0,248

0,294

0,380

0,474

600

0,067

0,080

0,105

0,134


Похожие работы на - Особенности внимания хорошо и плохо успевающих младших школьников

 

Не нашли материал для своей работы?
Поможем написать уникальную работу
Без плагиата!
Без нейросетей!