Оптимизация процесса получения ароматических углеводородов платформингом прямогонного бензина
Содержание
Введение
1. Литературный обзор
. Теоретические основы
проектируемого процесса
3. Оптимизация реакционного узла
Вывод
Список используемых источников
Введение
Бензин (от франц. benzine) - смесь легких
углеводородов с температурой кипения 30 - 205°С. Прозрачная жидкость плотностью
0,70-0,78 г/см³. Производится
путем смешивания компонентов первичной (прямой) перегонки нефти, продуктов
крекинга отдельных ее фракций и присадок.
Бензин является топливом для автомобильных
двигателей с искровым зажиганием. Детонационная стойкость - важнейший
показатель качества бензина. Несоответствие марки бензина параметрам двигателя
может вызывать детонационное сгорание топлива, сопровождаемое характерным
металлическим стуком, повышением дымности отработавших газов и температуры в
цилиндрах двигателя. Октановое число (ОЧ) бензина - основной показатель,
характеризующий детонационную стойкость бензина. Определяют подбором смеси
эталонных углеводородов - гептана (ОЧ = 0) и изооктана (ОЧ = 100),
детонационная стойкость, которой равна детонационной стойкости испытываемого
бензина при равных условиях испытания. Процентное содержание изооктана в
полученной смеси принимают за октановое число бензина.
Бензины являются одним из основных видов
горючего для двигателей современной техники. Автомобильные и мотоциклетные,
лодочные и авиационные поршневые двигатели потребляют бензины. В настоящее
время производство бензинов является одним из главных в нефтеперерабатывающей
промышленности и в значительной мере определяющим развитие этой отрасли.
Развитие производства бензинов связано со
стремлением улучшить основное эксплуатационное свойство топлива - детонационную
стойкость бензина, оцениваемую октановым числом.
Высокооктановый бензин-это бензин с высокими
антидетонационными свойствами.
Каталитический риформинг
бензинов является важнейшим процессом современной нефтепереработки и
нефтехимии. Он служит для одновременного получения высокооктанового базового
компонента автомобильных бензинов, ароматических углеводородов - сырья для нефтехимического
синтеза - и водородосодержащего газа - технического водорода, используемого в
гидрогенизационных процессах нефтепереработки. Каталитический риформинг
является в настоящее время наиболее распространенным методом каталитического
облагораживания прямогонных бензинов. Установки каталитического риформинга
имеются практически на всех отечественных и зарубежных нефтеперерабатывающих
заводах. Платформинг - процесс каталитического риформинга бензиново-лигроиновых
фракций на платинированном катализаторе в нескольких последовательно
соединенных реакторах. Разработан фирмой ЮОП (Юниверсал ойл продактс).
"Платформинг" является процессом, модификацией традиционного метода
производства ароматических углеводородов риформингом на платиновых катализаторах
при реализации на малотоннажных установках (минизаводах) в составе комплексов
по переработке нефти и газового конденсата и имеет ряд существенных преимуществ
по сравнению с риформингом. В зависимости от режима эксплуатации на одной и той
же установке "Платформинг" можно получать бензины от А-76 до АИ-93.
Выходы бензина зависят от состава исходного сырья и при работе в режиме
получения бензина А-76 (А-80) составляют 80-95%, в режиме получения АИ-93 -
60-85%.
Количество углеводородного газа
(в основном пропан-бутановая фракция) варьируется в пределах от 4 до 40% в
зависимости от состава сырья и марки товарного бензина.
При реализации получения
ароматических углеводородов по технологии "Платформинг" присутствует
стадия гидроочистки от сернистых соединений.[1]
1. Литературный
обзор
Автомобильные бензины получают путем переработки
нефти, газового конденсата, природного газа, угля, торфа и горючих сланцев, а
также синтезом из окиси углерода и водорода.
Основным сырьем для производства автомобильных
бензинов является нефть: около 25% нефти, добываемой в мире, перерабатывают в
бензин.
В России все товарные бензины получают из нефти
и газоконденсатов. На газоперерабатывающих заводах путем выделения из газов
жидких углеводородов получают газовый бензин.
Современные автобензины готовят смешением
компонентов, получаемых путем прямой перегонки, каталитического риформинга и
каталитического крекинга, изомеризации, алкилирования, полимеризации и других
процессов переработки нефти и газа.
Качество компонентов, используемых для приготовления
тех или иных марок товарных автомобильных бензинов, существенно различается и
зависит от технологических возможностей предприятия. Товарные бензины одной и
той же марки, но выработанные на различных нефтеперерабатывающих заводах (НПЗ),
имеют неодинаковый компонентный и фракционный составы, что связано с различием
технологических процессов и перерабатываемого на них сырья на каждом конкретном
нефтеперерабатывающем предприятии. Даже бензины одной марки, выработанные
конкретным заводом в разное время, могут отличаться по компонентному составу в
связи с проведением регламентных работ на отдельных технологических установках,
изменением состава сырья и программы завода по выпуску продукции.
Основными технологическими процессами
производства бензинов является каталитический риформинг и каталитический
крекинг. Несмотря на ограничения по содержанию ароматических углеводородов,
процесс каталитического риформинга по-прежнему остается определяющим процессом
производства бензинов, так как он является основным источником высокооктановых
компонентов, а также водорода для установок гидроочистки.
Вследствие ужесточения норм на содержание серы в
моторных топливах необходимо увеличение мощностей гидрообессеривания, что
требует дополнительного водорода.
Снижение доли и роли бензина риформинга в
производстве экологически чистых реформулированных бензинов обусловлено не
только ограничением содержания ароматических углеводородов, но и
неудовлетворительным распределением октановых характеристик.
В связи с этим процесс бензинового риформинга
целесообразно и необходимо сочетать с процессами удаления бензола и
изомеризации бензина С 5-100 °С. В последние годы технология и коммерческая
активность по созданию на НПЗ мира новых установок каталитического крекинга в
псевдоожиженном слое микросферического катализатора приобрела рекордно высокий
уровень за все время применения этого процесса.
На отечественных НПЗ эксплуатируются установки
каталитического крекинга с лифт-реактором с предварительной гидроочистки
исходного сырья - вакуумного газойля мощностью 2 млн. т/год по сырью. Эти
установки обеспечивают выход бензина более 50% на сырье, который имеет
октановое число по моторному методу 80-82 ед. и по исследовательскому методу
90-93 ед.
Улучшение октановых характеристик достигают
выбором катализатора и ужесточением режима работы установок. Это сопровождается
так же приростом выхода низкокипящих олефинов С3 - С4,
что благоприятно для увеличения ресурсов сырья алкилирования и получения
высокооктановых оксигенатов: метилтретбутилового эфира (МТБЭ),
метилтретамилового эфира (МТАЭ), ди-изопропилового эфира (ДИПЭ) и др.
В целом, технический прогресс в технологии
каталитического крекинга позволяет существенно увеличить выход легких олефинов
C3 - С7 и вырабатывать меньше высококипящих фракций бензина,
обогащенных ароматическими углеводородами.
При эффективном использовании этих возможностей
суммарный эффект облагораживания бензинов каталитического крекинга (включая
ДИПЭ + МТБЭ + алкилат + этерификат С5 - С7) - значительно
возрастает.
На смену широко применяемому МТБЭ, мировое
потребление которого в 2001 году превысило 25,7 млн. тонн, приходит
денатурированный этанол, так как его получают из возобновляемого сырья
(биомасса, древесина и т.д.), и он не оказывает вредного влияния на источники
водоснабжения, что является причиной запрещения применения МТБЭ в США (штат
Калифорния).
В то же время, по оценке сторонников МТБЭ,
эффект от его вклада в решение экологической проблемы значительно превосходит
риск, связанный с его применением.
Вовлечение в состав автобензинов этанола до 10%
позволяет уменьшить на то же количество содержание ароматических углеводородов
без снижения детонационной стойкости товарного бензина.
Недостатками спиртовых добавок являются низкая
гидролитическая устойчивость, низкие противоизносные и антикоррозионные
свойства. При использовании спиртов в 2-3 раза возрастает содержание альдегидов
в составе отработавших газов.
Одним из основных процессов
производства ароматических углеводородов является процесс каталитического
риформинга, осуществляемый на платиновых или полиметаллических катализаторах.
Главными недостатками
каталитического риформинга являются:
. Чувствительность катализатора
к природе сырья - предпочтительным сырьем являются углеводородные фракции 85 -
180°С. При переработке сырья с высоким содержанием парафиновых углеводородов
практически невозможно производить бензины с ОЧ выше 82 ММ.
. Высокая чувствительность
катализатора к содержанию серы в сырье - требуется гидроочистка.
. Высокое содержание бензола в
риформатах (5 - 15%), что ограничивает их применение в качестве
автобензинов без дополнительной переработки.
. Низкие скорости процесса по
сырью, следствием чего является необходимость использования больших количеств
дорогостоящих катализаторов и строительства крупномасштабных установок.
. Необходимость в водородном
хозяйстве для гидроочистки и риформинга.
Вследствие всех этих факторов
строительство малотоннажных НПЗ на основе каталитического риформинга требует
огромных капитальных затрат и нерентабельно.
Наиболее перспективным для
использования на малотоннажных НПЗ в настоящее время является процесс
риформирования прямогонных бензинов в ароматические углеводороды с
использованием катализаторов на основе платины с предварительной гидроочисткой.
Повышение детонационной стойкости перерабатываемых
на платиносодержащих катализаторах бензиновых фракций происходит в основном при
конверсии алифатических парафинов и нафтенов в ароматические углеводороды.
Использование платиносодержащих катализаторов, позволяет снизить образование
тяжелых ароматических углеводородов. Гидрирующие / дегидрирующие компоненты в
составе катализатора - обычно такие металлы как Zn, Ga, Cd, Pt, Pb и другие -
позволяют повысить селективность образования ароматических углеводородов,
активность катализатора и продолжительность его работы до регенерации.
Катализатор может включать и другие компоненты.
Существует ряд способов
получения моторных топлив из углеводородного сырья в присутствии катализаторов
ароматизации, например патенты США 3953366, 4590323, 4861933, Российские
патенты 2103322, 2208624, 2218319, 2024585. Условия каталитической конверсии
бензиновых фракций зависят от их состава, требований к качеству продукта и от
активности используемого катализатора. Типичные условия следующие: температура
350-500 °С, давление до 3 Мпа, объемная скорость подачи сырья до 5 ч.-1. Из
прямогонного бензина с концом кипения 180°С можно получить с выходом 40-80 %
бензин с октановым числом 81-88 ИМ, содержащий до 30 массовых процентов
ароматических углеводородов. При конверсии сырья образуется 20-60 массовых
процентов водородсодержащего газа (около 60 объемных процентов водорода),
включающего 70-75 массовых процентов пропана и бутана.
Основными недостатками данного
способа, также как и остальных, являются относительно низкие выходы и октановые
числа получаемых бензинов, высокое содержание бензола в бензине, низкая
скорость по сырью, длительная регенерация закоксованного катализатора.
Промышленная технология
процесса "Платформинг" и технология производства катализатора
разработаны в 1949 г. фирмой ЮОП.
Процесс "Платформинг"
имеет ряд преимуществ перед традиционными процессами:
· Повышение выхода продуктов в
условиях работы реактора при пониженном давлении.
· Увеличение времени межрегенерационного пробега
(однако, необходимость периодической регенерации катализатора в исходных
реакторах сохраняется).
· Внедрение технологии ЮОПи
непрерывной регенерации катализатора
. Теоретические
основы проектируемого процесса
Химизм процесса каталитического
риформинга довольно сложен, но в основном он сводится к реакциям нафтенов и
н-алканов. Реакции, которым подвергаются углеводороды, могут быть представлены
следующей схемой:
) дегидрирование С6Н14→С6Н12+Н2
) дегидрирование ц-С6Н12→С6Н6+3Н2;
) разложение С6Н6
→ 6С + 3Н2;
4) дегидрирование С6Н14
→ СН2=СН-(СН2)3 -СН3 + 2Н2;
) разложение СН2=СН-(СН2)3
-СН3 → С6Н6 + 3Н2;
Все реакции идут в газовой фазе при температуре
60-70 °С[3]
Рассчитываем стандартные константы равновесия,
для данного интервала температур, считая все реакции жидкофазными и считая, что
все компоненты подчиняются закону идеальных газов.
Стандартное изменение термодинамических функций
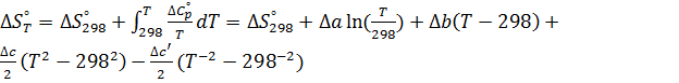
в результате протекания химической реакции рассчитывают по формулам [4]:

,

,
где 
∆Нобр - энтальпия
образования;
∆Sобр - стандартная
энтропия образования вещества.
Стандартное изменение
термодинамических функций при любой температуре можно рассчитать по следующим
уравнениям:

,

,

,

где 
; 

; 
,
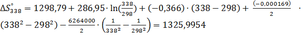
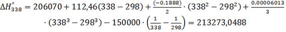
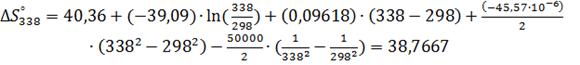
Таблица 2.1 Расчет термодинамических функций в
результате протекания химической реакции при температуре 338 К.
|
Вещество
|
DHоб,
298, кДж/моль
|
Sº298, Дж/(моль×К)
|
Коэффициенты
уравнения
|
|
|
|
а
|
b×103
|
с×106 (с’×10-5)
|
|
1.
Циклогексан ц-С6Н12
|
-123,14
|
298,24
|
-51,71
|
598,77
|
-230
|
|
2.
Бензол С6Н6
|
82,93
|
269,20
|
-21,09
|
400,12
|
-169,87
|
|
3.
Ацетилен С2Н2
|
226,75
|
200,82
|
26,44
|
66,65
|
-26,48
|
|
4.
Гексен-1 С6Н14
|
-41,38
|
395,40
|
0,3649
|
309,4
|
30,875
|
|
5.
Гексан С6Н14
|
-167,19
|
388,60
|
8,66
|
505,85
|
-184,43
|
|
6.
Водород Н2
|
0
|
130,52
|
27,28
|
3,26
|
0,5
|
|
7.
Углерод С(г)
|
820,86
|
199,31
|
30,67
|
3,97
|
10,19
|
1)
С6Н14→С6Н12+Н2


= 0,09618
) ц-С6Н12
→ С6Н6 + 3Н2;

= 82,93
= 206070







= 830,86
= 


) С6Н14 →
СН2=СН-(СН2)3 -СН3 + 2Н2;

=2
= -125810


5) СН2=СН-(СН2)3
-СН3 → С6Н6 + 3Н2

= 82,93+3
= 124310

)-0,3649=60,38
Таблица 2.2 Стандартные константы равновесия
реакций при температуре = 338 К.
|
Реакции
|
Константы
равновесия при Т, К
|
|
1)
С6Н14→С6Н12+Н2
|
1,96∙10-5
|
|
2)
ц-С6Н12 → С6Н6 + 3Н2
|
2,25∙10-14
|
|
3)
С6Н6 → 6С + 3Н2
|
2∙10-270
|
|
4)
С6Н14 → СН2=СН-(СН2)3
-СН3 + 2Н2
|
2,61∙10-5
|
|
5)
СН2=СН-(СН2)3 -СН3 → С6Н6
+ 3Н2
|
8,36∙1074
|
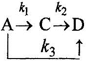
Выбираем упрощенную схему протекания процесса:
Рис 2.1. Схема протекания процесса, где A
- гексан, С - циклогексан (целевой продукт), D
- бензол.
Допускаем, что эти реакции описываются
кинетическими уравнениями 1-го порядка.



Дифференциальная избирательность по
продуктам, при проведении процесса в дифференциальном реакторе можно
представить следующим образом [4].

,
где 
; 

; 
=4 [6]
Таблица 2. 3 Избирательность
продукта С в зависимости от степени превращения
|
ХА
|
ФС(РИС)
|
0,2
|
|
0,1
|
0,156
|
|
0,2
|
0,122
|
|
0,3
|
0,095
|
|
0,4
|
0,074
|
|
0,5
|
0,056
|
|
0,6
|
0,041
|
|
0,7
|
0,029
|
|
0,8
|
0,018
|
|
0,9
|
0,008
|
|
1
|
0
|
Рис.2.2. Зависимость интегральной
избирательности по целевому продукту от степени превращения от степени
превращения.
. Оптимизация реакционного узла
бензин риформинг углеводород
катализатор
Для последовательных реакций случай, когда
целевым является первый промежуточный продукт, его выход в РИС и РИВ
рассчитываем по следующим формулам.[4]
Проводим анализ уравнения зависимости выхода
целевого продукта от степени превращения для реактора идеального вытеснения:
где 
; 

[6].


Проводим анализ уравнения
зависимости выхода целевого продукта от степени превращения для реактора
идеального смешения:
где ХА- степень превращения; ФС-
селективность.

,

,

,

,

,

,

,

,

,

,

.
Выход продукта С в зависимости от степени
превращения
|
ХА
|
УС(РИВ)
|
УС(РИС)
|
|
0
|
0
|
0
|
|
0,1
|
0,018
|
0,016
|
|
0,2
|
0,030
|
0,024
|
|
0,3
|
0,038
|
|
0,4
|
0,042
|
0,030
|
|
0,5
|
0,043
|
0,028
|
|
0,6
|
0,039
|
0,025
|
|
0,7
|
0,033
|
0,020
|
|
0,8
|
0,024
|
0,014
|
|
0,9
|
0,013
|
0,007
|
|
1
|
0
|
0
|
Рис.3.1. Зависимость выхода от степени
превращения.
По данным рис. 3.1 и табл. 3.1 находим значение
степени превращения при максимальном выходе в выбранном типе реактора:

= 0,5;
Далее рассчитываем интегральную
избирательность для выбранного типа реактора по формуле:

;
Данные рис 3.1. показывают, что
процесс целесообразнее проводить в РИВ, т. к. выход продукта в этом реакторе
будет выше, чем в реакторе идеального смешения (кривая РИВ выше, чем кривая
РИС).
Рис 3.2. Схематическое изображение реактора для
проведения процесса платформинга прямогонного бензина [4].
Вывод
В данной курсовой работе была проведена
оптимизация процесса получения ароматических углеводородов платформингом
прямогонного бензина. Данный процесс следует проводить в реакторе идеального
вытеснения (РИВ) на платиносодержащем катализаторе.
Оптимальными условиями являются: температура 450
°С, давление 5 - 6 МПа.

= 0,5 
; 
.
Список используемых источников
. Журавлев, В.А. Химия и
технология органических веществ: учеб. пособие / В.А. Журавлев, Т.С.
Котельникова. - Кемерово: КузГТУ, 2011. - 214 с.
2. Силидович Е.В. Технология
переработки нефти и газа/ Е.В. Силидович.- Москва: Альянс.-2011.-328с.
. Агабеков В.Е. Нефть и газ.
Технология и продукты переработки.- Ростов-на-Дону: Феникс.-2014.- 455с.
. Тюрин Ю.Н. Расчёты по
технологии органических веществ: учеб. Пособие. - Кемерово: КузГТУ, 2004. - 232
с.
. Краткий справочник
физико-химических величин / под ред. А.А. Равделя и А .М. Пономаревой. - 11- е
изд., испр. и дополн. - М. : ООО "ТИД "Аз-book",
2009. - 240 с.
. Островский Н.М. Кинетика
дезактивации катализаторов: Математические модели и их применение.-Омск:
Наука.- 2001.- 256 с.
. Назимок В.Ф., Овчинников
В.И., Потехин В.М. Жидкофазное окисление алкилароматических углеводородов.
М.:Химия,1987.-240с.
. Денисов Е.Т. Кинетика
гомогенных химических реакций: Учеб. пособие для хим. спец. вузов.- 2-е
изд.,перераб. и доп.-М.: Высш. шк.,1988.-391с.